Equação Exponencial

   Prof. Miguel
   Matemática2
Equação exponencial é toda equação
que apresenta a incógnita no expoente de
uma ou mais potências de base positiva e
diferente de 1.
           5 = 25
              x


           9 − 3 = 6
              x       x


           2 = 5
              x
Resolução
   Primeiramente transformamos as bases em bases
    iguais. (Fatorando)
   Usamos o fato de que a função exponencial é
    injetora, daí temos


          a   x1
                   = a   x2
                              ⇔ x1 = x2
Exemplos simples
3   x− 1
           = 81
3   x− 1
           = 3   4


x− 1= 4
x = 5
S = {5}
x2 − 3x − 4
4                 = 1
    x2 − 3x − 4         0
4                 = 4
    2
x − 3x − 4 = 0
x1 = − 1
x2 = 4
S = {− 1,4}
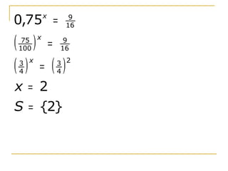
0,75 =  x     9
             16

( ) =
 75 x
100
             9
            16

( ) = ( )
3 x
4
            3 2
            4

x = 2
S = {2}
3    3x
              = 81
    3x

3    2
          = 3     4


3x
 2       = 4
3x = 8
x = 3
    8


S= { }        8
              3
Exemplos que usam artíficios de cálculos


3⋅ 4       x+ 1
                  = 96
2   x+ 2
           + 2    x− 1
                             = 18
2 2x
           − 9⋅2 + 8 = 0 x
3⋅ 4       x+ 1
                  = 96         2x = 3
4   x+ 1
           =      96
                   3
                               x = 2
                                   3



4   x+ 1
           = 32                S=   {}
                                    3
                                    2


(2 )2 x+ 1
                  = 2      5



2    = 2
 2x+ 2                 5


2x + 2 = 5
2 x + 2 + 2 x − 1 = 18
Pela propriedade am ⋅ an = am+ n e am ÷ an = am− n
2 ⋅2 +
  x            2   2x
                   21
                        = 18
Pode - se efutuar mudança de variável 2 x = a
4a + 2 = 18
     a


8 a + a = 36
      2                        Voltando a variável
9a = 36
                               2 = 4
                                x

a= 4
                               2 x = 22
                               x = 2
                               S = {2}
22 x − 9 ⋅ 2 x + 8 = 0
Pela propriedade ( a        )
                           m n
                                 = a   mn



(2 )
  x 2
        − 9 ⋅ 2x + 8 = 0
Pode - se fazer a mudança variável 2 x = m
m2 − 9m + 8 = 0
m1 = 1
m2 = 8
Voltando a variável
2x = 1
2 x = 20
x = 0


2x = 8
2 x = 23
x = 3

S = {0,3}
 x    y   1
2 ⋅ 4 =
          2
 7x+ y = 1

Exercícios

Página 214: 31, 32, 34, 36 e 38
Referências
PAIVA, Manoel Rodrigues. Matemática 1. 1ª edição. São Paulo:
  Moderna, 2009.

Conexões com a matemática/ editora responsável Juliane
  Matsubara Barroso; obra coletiva concebida, desenvolvida e
  produzida pela editora Moderna. 1ª edição. São Paulo: Moderna,
  2010.

Equação exponencial

  • 1.
    Equação Exponencial Prof. Miguel Matemática2
  • 2.
    Equação exponencial étoda equação que apresenta a incógnita no expoente de uma ou mais potências de base positiva e diferente de 1. 5 = 25 x 9 − 3 = 6 x x 2 = 5 x
  • 3.
    Resolução  Primeiramente transformamos as bases em bases iguais. (Fatorando)  Usamos o fato de que a função exponencial é injetora, daí temos a x1 = a x2 ⇔ x1 = x2
  • 4.
    Exemplos simples 3 x− 1 = 81 3 x− 1 = 3 4 x− 1= 4 x = 5 S = {5}
  • 5.
    x2 − 3x− 4 4 = 1 x2 − 3x − 4 0 4 = 4 2 x − 3x − 4 = 0 x1 = − 1 x2 = 4 S = {− 1,4}
  • 6.
    0,75 = x 9 16 ( ) = 75 x 100 9 16 ( ) = ( ) 3 x 4 3 2 4 x = 2 S = {2}
  • 7.
    3 3x = 81 3x 3 2 = 3 4 3x 2 = 4 3x = 8 x = 3 8 S= { } 8 3
  • 8.
    Exemplos que usamartíficios de cálculos 3⋅ 4 x+ 1 = 96 2 x+ 2 + 2 x− 1 = 18 2 2x − 9⋅2 + 8 = 0 x
  • 9.
    3⋅ 4 x+ 1 = 96 2x = 3 4 x+ 1 = 96 3 x = 2 3 4 x+ 1 = 32 S= {} 3 2 (2 )2 x+ 1 = 2 5 2 = 2 2x+ 2 5 2x + 2 = 5
  • 10.
    2 x +2 + 2 x − 1 = 18 Pela propriedade am ⋅ an = am+ n e am ÷ an = am− n 2 ⋅2 + x 2 2x 21 = 18 Pode - se efutuar mudança de variável 2 x = a 4a + 2 = 18 a 8 a + a = 36 2 Voltando a variável 9a = 36 2 = 4 x a= 4 2 x = 22 x = 2 S = {2}
  • 11.
    22 x −9 ⋅ 2 x + 8 = 0 Pela propriedade ( a ) m n = a mn (2 ) x 2 − 9 ⋅ 2x + 8 = 0 Pode - se fazer a mudança variável 2 x = m m2 − 9m + 8 = 0 m1 = 1 m2 = 8
  • 12.
    Voltando a variável 2x= 1 2 x = 20 x = 0 2x = 8 2 x = 23 x = 3 S = {0,3}
  • 13.
     x y 1 2 ⋅ 4 =  2  7x+ y = 1 
  • 14.
  • 15.
    Referências PAIVA, Manoel Rodrigues.Matemática 1. 1ª edição. São Paulo: Moderna, 2009. Conexões com a matemática/ editora responsável Juliane Matsubara Barroso; obra coletiva concebida, desenvolvida e produzida pela editora Moderna. 1ª edição. São Paulo: Moderna, 2010.