UNIFESSP
A
Psicofarmacologia
Aula 3:
Farmacocinética e ADME
UNIFESSP
A
ObjetivosObjetivos
1.Definir farmacocinética e os conceitos básicos
de absorção, distribuição, metabolismo, e
excreção
2.Analisar o conceito de biodisponibilidade e
bioequivalência
3.Discutir a importância das enzimas de
metabolismo como fatores de interação
medicamentosa
UNIFESSP
A
IntroduçãoIntrodução
Farmacodinâmica
“o que um fármaco faz com o
organismo”
Eventos resultantes das
interações fármaco-receptor ou
outros sítios de ação primário
FARMACOCINÉTICA
“o que o organismo faz com a
droga”
Relação da evolução temporal das
concentrações de um fármaco obtidas em
diferentes regiões do organismo, durante e
após a administração de uma dose
UNIFESSP
A
Definição do problemaDefinição do problema
● Para que um fármaco exerça seu efeito fisiológico:
1. Processado pelo corpo, e
2. Transportado até seu receptor.
Liberação
Absorção
Distribuição
Metabolismo
Excreção
Farmacocinética
UNIFESSP
A
Os caminhos da drogaOs caminhos da droga
no organismono organismo
Princípios geraisPrincípios gerais
[FÁRMACO LIVRE]
DOSE DO
FÁRMACO
DOSE DO
FÁRMACO
AbsorçãoAbsorção
LiberaçãoLiberação
MetabolizaçãoMetabolizaçãoExcreçãoExcreção
LOCAL DE AÇÃO
TERAPÊUTICA
LOCAL DE AÇÃO
TERAPÊUTICA
Reservatórios
(tecidos)
Reservatórios
(tecidos)
Local de ação
inesperada
Local de ação
inesperada
MetabolizaçãoMetabolização
[METABÓLITOS
ATIVOS]
[METABÓLITOS
INATIVOS]
“Corpora non agunt nisi fixata” – Paul Ehrlich
UNIFESSP
A
Formas de administraçãoFormas de administração
Oral
Sublingual
Transdérmica
Retal
Pulmonar
Parenteral
– Intravenosa
– Subcutânea
– Intramuscular
– Intra-arterial
– Intratecal
UNIFESSP
A
Formas de administraçãoFormas de administração
UNIFESSP
A
AbsorçãoAbsorção
●
Definição: Movimentação da droga do
local de administração/liberação até a
circulação plasmática;
● Na maioria dos casos o fármaco deve
entrar na circulação antes de chegar ao
local de ação:
– É o primeiro movimento do fármaco em
direção ao sítio de ação;
● Exige a entrada das moléculas no
compartimento vascular;
●
Biodisponibilidade sistêmica: Fração da
dose administrada que, de fato, alcança a
circulação.
Goldberg M, Gomez-Orellana I (2003). Challenges
for the oral delivery of macromolecules. Nature
Reviews Drug Discovery 2: 289-295
UNIFESSP
A
Velocidade de absorçãoVelocidade de absorção
Quanto mais rápida a absorção, menor o tempo (tmax) necessário para
alcançar a concentração plasmática máxima (cmax), e mais cedo se inicia a
queda dos níveis plasmáticos.
UNIFESSP
A
Velocidade de absorçãoVelocidade de absorção
UNIFESSP
A
Barreiras para a absorçãoBarreiras para a absorção
● Para um fármaco ser absorvido, ela precisa superar “barreiras”
físicas, químicas e biológicas:
– Trato gastro-intestinal e outras mucosas;
– Membranas celulares, etc.
● Mesmo após a absorção, o fármaco pode precisar atravessar
outras barreiras para agir no seu sítio específico:
– Ligar-se a um receptor e produzir um efeito.
● Um fármaco pode ser transportado de várias maneiras, até
chegar ao seu sítio de ligação
UNIFESSP
A
Fatores que afetam a absorçãoFatores que afetam a absorção
● Tempo de contato com a
superfície de absorção;
● Área da superfície de absorção;
● Fluxo sanguíneo local;
● Estados patológicos;
● Interações medicamentosas ou
alimentares;
● Solubilidade da droga;
● Concentração da droga;
● pH da droga;
● pH ambiental.
UNIFESSP
A
pH e absorçãopH e absorção
• Drogas que são ácidos fracos encontram-se na
forma lipossolúvel em maior quantidade em um pH
ácido
• Drogas que são bases fracas encontram-se na
forma lipossolúvel em maior quantidade em um pH
básico
UNIFESSP
A
BiodisponibilidadeBiodisponibilidade
● Nem todas as moléculas de um fármaco são
absorvidas, apenas uma fração delas chega à
corrente sanguínea: BIODISPONIBILIDADE;
● Nem toda molécula de um fármaco consegue
agir no seu tecido-alvo, mesmo que ela tenha
sido absorvida: EFEITO DE PRIMEIRA
PASSAGEM.
UNIFESSP
A
Fatores que alteram aFatores que alteram a
biodisponibilidadebiodisponibilidade
● Natureza química;
● Forma farmacêutica;
● Dose administrada;
● Interação no TGI;
● Trânsito GI;
● Metabolismo de primeira passagem.
UNIFESSP
A
Efeito de primeira passagemEfeito de primeira passagem
● Eliminação de Primeira Passagem, ou Metabolismo de Primeira
Passagem;
● Após a absorção no TGI:
– Sangue do sistema portal leva o fármaco ao fígado antes de sua entrada
na circulação sistêmica.
● Nem todo fármaco biodisponível vai chegar ao tecido-alvo;
● O fármaco pode ser metabolizado na parede intestinal, no
sangue do sistema portal, ou no fígado (+ comum).
UNIFESSP
A
DistribuiçãoDistribuição
● Absorção: pré-requisito para atingir níveis plasmáticos
adequados de um determinado fármaco;
● O fármaco precisa alcançar seu órgão(s)-alvo em
concentrações terapêuticas para exercer o efeito
desejado sobre determinado processo fisiológico –
DISTRIBUIÇÃO
Após a entrada na circulação, a droga deve ser DISTRIBUÍDA “para
seu local de ação, permeando através das várias barreiras que
separam esses compartimentos” (Katzung).
UNIFESSP
A
DistribuiçãoDistribuição
Administração
oral
Administração
oral
Absorção no
trato GI
Absorção no
trato GI
Sistema
portal
Sistema
portal
FígadoFígado
Circulação
sangüínea
Circulação
sangüínea
ÓRGÃOSÓRGÃOS
UNIFESSP
A
A barreira hemato-encefálicaA barreira hemato-encefálica
● Estrutura semi-
membranosa que
protege o SNC de
substâncias químicas
● Composta por células
endoteliais agrupadas
nos capilares cerebrais
e astrócitos
associados
UNIFESSP
A
A barreira hemato-encefálicaA barreira hemato-encefálica
● Substâncias lipofílicas difundem
pela BHE de maneira
dependente/proporcional à sua
lipossolubilidade
● A captação de algumas
substâncias é menor do que o
esperado por sua
lipossolubilidade devido à
ligação a proteínas plasmática
UNIFESSP
A
P-glicoproteínas na BHEP-glicoproteínas na BHE
● ATPases transmembrânicas que expressam-se nas
céls. endoteliais da BHE
● Limitam a permeabilidade de substratos bombeando-as
de volta para a circulação sistêmica
● Substratos importantes para a psicofarmacologia:
– Carbamazepina
– Morfina
– Fenitoína
UNIFESSP
A
Fatores que afetam a distribuiçãoFatores que afetam a distribuição
● Propriedades físico-químicas do fármaco (taxa de difusão)
● Ligação em estruturas celulares e teciduais, criando reservatórios do
fármaco
● Ligação a proteínas plasmáticas (principalmente albumina e α1
-glicoproteína)
● Meia-vida da droga
● Fluxo sanguíneo tecidual e volume de distribuição
● Patologias que afetam a permeabilidade das barreias
UNIFESSP
A
Ligação a proteínas plasmáticasLigação a proteínas plasmáticas
“Fármacos com alto grau de ligação à proteínas, precisam de uma
Concentração Plasmática Total MAIS ELEVADA”:
UNIFESSP
A
Ligação a proteínas plasmáticasLigação a proteínas plasmáticas
● Os sítios proteicos de ligação são passíveis de saturação, mas
geralmente isso não ocorre porque há abundância de sítios
de ligação;
● A variação na concentração das proteínas plasmáticas pode
influenciar a relação entre fração livre/fração ligada:
– Hipoalbuminemia: cirrose, síndrome nefrótica, desnutrição grave, idoso,
gestação.
● Competição entre os fármacos pelo sítio proteico: o fármaco de
maior afinidade desloca o de menor afinidade.
UNIFESSP
A
Ligação a proteínas plasmáticasLigação a proteínas plasmáticas
● Fármacos podem alterar a estrutura das proteínas plasmáticas
alterando a afinidade da proteína por outros fármacos:
– Ex: AAS: acorre a acetilação do resíduo lisina da molécula da albumina;
● Os fármacos competem entre si e também competem com as
substâncias endógenas pelo sítio de ligação proteica.
UNIFESSP
A
Metabolismo de drogasMetabolismo de drogas
Principal órgão na
BIOTRANSFORMAÇÃO de
drogas;
Altamente perfundido.
• Quais órgãos envolvidos?
– Rins;
– TGI;
– Pulmões;
– Pele;
– Outros...
A maioria das drogas é metabolizada antes da
catabolização pelo organismo
UNIFESSP
A
Metabolismo de drogasMetabolismo de drogas
● Diversos sistemas enzimáticos catalisam a
transformação de fármacos de modo a formar
compostos que são, no geral, mais polares (mais
facilmente excretados).
● Classificação das reações de metabolização:
– Fase I: Oxidação, redução, hidrólise;
– Fase II: Reações de conjugação.
UNIFESSP
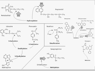
A
Metabolismo de drogasMetabolismo de drogas
UNIFESSP
A
Reações de fase IReações de fase I
OXIDAÇÃO, REDUÇÃO, HIDRÓLISE
Fornecem um grupo funcional (OH, SH, NH2, CO2H) que
aumenta a polaridade da droga, em um sítio que é
utilizado em reações para o metabolismo de fase 2
Conversão do fármaco original em um metabólito mais
polar
O metabólito resultante pode ser farmacologicamente
inativo, menos ativo ou, às vezes, mais ativo que a molécula
original
UNIFESSP
A
UNIFESSP
A
Reações de fase IReações de fase I
● Sistema de monoxigenase do citocromo P450
● Sistema de monoxigenase continente de flavina
● Álcool desidrogenase
● Aldeído desidrogenase
● Monoamina oxigenase
● Co-oxidação por peroxidases
UNIFESSP
A
CYP450CYP450
● Superfamília de isoformas enzimáticas das proteínas;
● Catalisam a monoxidação de grande quantidade de compostos não-
relacionados estruturalmente (esteróides endógenos, ácidos graxos,
fármacos lipofílicos);
● As enzimas que metabolizam drogas localizam-se primariamente no
RE; são encontradas em altas concentrações no fígado, porém
também estão presentes no pulmão, rins, TGI, mucosa nasal, pele, e
cérebro.
UNIFESSP
A
Substratos, indutores, eSubstratos, indutores, e
inibidoresinibidores
UNIFESSP
A
Substratos de isozimasSubstratos de isozimas
do CYPdo CYP
●
1A2: Cafeína, teofilina, tricíclicos, ropinirol, duloxetina, mirtazapina,
clozapina, haloperidol, olanzapina, zolmitriptano
● 2C19: BZDs, citalopram, amitriptilina
● 2D6: β-bloqueadores, amitriptilina, sertralina, haloperidol, tricíclicos,
risperidona, iloperidona, tramadol, venlafaxina, duloxetina, aripiprazol
● 3A4: Paracetamol, BZDs, buspirona, sertralina, venlafaxina,
mirtazapina, haloperidol, iloperidona, trazodona
UNIFESSP
A
Indução das enzimasIndução das enzimas
do CYP450do CYP450
● Aumento na expressão gênica de determinadas isoenzimas.
● Provavelmente se deve à “desrepressão” de um gene
repressor e subsequente síntese de RNAm para as
proteínas específicas.
● Várias drogas psiquiátricas são indutores de enzimas do
CYP450
UNIFESSP
A
Indutores de isozimas CYPIndutores de isozimas CYP
Isozima Psicotrópicos Outros
1A2 Fenobarbital
Secobarbital
Carbamazepina
Fenitoína
Modafinil
Tabaco
Carne queimada
Rifampicina
2C9 Secobarbital
Carbamazepina
Rifampicina
2C19 Carbamazepina
Ácido valpróico
Fenobarbital
Fenitoína
Rifampicina
3A4 Carbamazepina
Fenitoína
Fenobarbital
Erva de São João
Morfina
Nicotina
Topiramato
Felbamato
Rifampicina
Ritonavir
Indivavir
Efavirenz
Pioglitazona
Glicocorticóides
UNIFESSP
A
Inibição enzimáticaInibição enzimática
● A inibição enzimática é resultado de mudanças patológicas no órgão ou
da ação de droga inibidoras
● Essa inibição pode ocorrer por uma queda na síntese, aumento na
degradação da enzima, ou competição de 2+
drogas pelo mesmo sítio.
– Ex. 1: infecções por influenza A ou adenovírus geram interferonas que inibem uma
isoenzima do CYP450, diminuindo a biotransformação da teofilina – alterando a
eliminação.
– Ex. 2.: O suco de toranja pode inibir o metabolismo de certos bloqueadores de canal
de cálcio e da cafeína, aumentando a concentração de cafeína no organismo -
alterando a eliminação.
UNIFESSP
A
Inibidores de isozimas CYPInibidores de isozimas CYP
Isozima Psicotrópicos Outros
1A2 Fluvoxamina
Fluoxetina
Paroxetina
Sertralina
Cimetidina
Omeprazol
Fluoroquinolonas
Ticlopidina
2C9 Ácido valpróico
Fluoxetina
Fluconazol
Miconazol
Amiodarona
2C19 Fluvoxamina
Fluoxetina
Cetoconazol
Cimetidina
Omeprazol
Lansoprazol
2D6 Bupropiona
Fluoxetina
Paroxetina
Duloxetina
Sertralina
Citalopram
Escitalopram
Haloperidol
Tioridazina
Terbinafina
Quinidina
Cimetidina
Amiodarona
Mibefradil
Ritonavir
3A4 Fluvoxamina
Nefazodona
Claritromicina
Eritromicina
Troleandomicina
Fluconazol
Cetoconazol
Itraconazol
Indinavir
Cimetidina
Verapamil
Diltiazem
UNIFESSP
A
Farmacogenômica e epigenética:Farmacogenômica e epigenética:
O caso da CYP1A2O caso da CYP1A2
● CYP1A2_1545T>C: Genótipo TT associado a mais efeitos
colaterais da clozapina (Vikki et al., 2014)
● CYP1A2*1C: Presença do alelo A aumenta a severidade da
discinesia tardia (Basille et al., 2000)
● CYP1A2*1F: Genótipo *1F/*1F associado com efeito pró-
convulsivo da clozapina (Kohlrausch et al., 2013); presença do
alelo C diminui a indutibilidade da isozima pela nicotina
UNIFESSP
A
Estudo de casoEstudo de caso
●
Um homem de 57 anos, com histórico de fibrilação atrial e transtorno
depressivo maior, está em tratamento estável de varfarina 5 mg/dia e
desipramina 200 mg/dia. O paciente fuma 2 a 3 maços de cigarro por dia, e
inicia o tratamento com bupropiona (150 mg/dia) como adjuvante na terapia
anti-tabagismo. Após 14 dias de tratamento com bupropiona, reporta
palpitações, tontura, e confusão. O médico da família solicita um ECG, que
apresenta taquicardia sinusal e intervalo QRS ampliado. O paciente inicia
monitoramento cardíaco e exames clínicos, que revelam níveis séricos de
desipramina de 595 ng/ml (a amplitude normal está entre 50-300 ng/ml).
● O que fazer?
UNIFESSP
A
Manejo clínicoManejo clínico
Tabela no SIGAA
UNIFESSP
A
Reações oxidativas não-Reações oxidativas não-
catalizadas pela CYP450catalizadas pela CYP450
● Monoxigenase microsomal continente de flavina (FMO): sistema
enzimático NADPH- e –oxigênio dependente que funciona como
oxigenase de enxofre, nitrogênio e fósforo; associada ao
metabolismo de aminas terciárias (p. ex., nicotina, olanzapina,
clozapina).
● Xantina desidrogenase-xantina oxidase (XD-XO): XD tem papel no
metabolismo de primeira passagem; XO oxida agentes
quimioterápicos.
● Monoamina oxidase (MAO): Enzima mitocondrial que metaboliza
monoaminas.
UNIFESSP
A
Reações redutivas na fase IReações redutivas na fase I
UNIFESSP
A
Reações hidrolíticas na fase IReações hidrolíticas na fase I
● Pode envolver enzimas microssomais hepáticas ou ocorrem
no plasma e em outros tecidos;
● Ligações éster e amida são sucetíveis à hidrólise;
● As proteases hidrolisam os polipeptídeos e proteínas e têm
grande importância na aplicação terapêutica.
UNIFESSP
A
Reações de fase IIReações de fase II
● Conjugação:
– A molécula pode possuir um
grupo aceptor (ou adquirir
após a fase I) que permite a
fixação de um grupo
substitutivo;
● Grupos mais comuns:
Glicuronil, sulfato, metil,
acetil, glicil, e glutamil.
● Metil-transferase
● Glutationa S-transferases
● Sulfotransferases
● N-acetiltransferases
● Aminoácido N-acil
transferases
● UDP-glicuronosiltransferases
(UGT)
UNIFESSP
A
GlicuronidaçãoGlicuronidação
● A família dos genes UGT humanos codifica 20+ isoenzimas
microssomais.
● Essa família de enzimas cataliza a transferência do ácido glucurônico
para uma grande quantidade de compostos endo- e xenobióticos,
incluindo fármacos, pesticidas e carcinogênicos.
● A síntese de glucuronidas de éter, éster, carboxila, sulfurila, carbonila
e nitrogenila: aumento na polaridade e hidrossolubilidade e,
portanto, potencial para excreção.
UNIFESSP
A
Substratos das UGTsSubstratos das UGTs
● Antipsicóticos de primeira e segunda geração
● Tricíclicos
● AINEs
● Carvedilol
● Furosemida
● Morfina
● Tramadol
● Lorazepam
● Oxazepam
UNIFESSP
A
Indutores e inibidoresIndutores e inibidores
das UGTsdas UGTs
Ação Psicotrópicos Outros
Indutores Carbamazepina
Fenitoína
Fenobarbital
Lamotrigina
Rifampicina
Carbapenemas
Inibidores Diclofenaco
AINEs
Valproato
Probenecid
UNIFESSP
A
Farmacogenética das UGTsFarmacogenética das UGTs
● UGT1A1*28: Diminuição da eliminação da
tolbutamida, rifampicina, e haloperidol;
elevações da bilirrubina
● Alelos raros (0,5-10% apresentam CA, e 3%
apresentam AS)
UNIFESSP
A
Inibição e indução enzimáticaInibição e indução enzimática
e não-linearidade da cinéticae não-linearidade da cinética
● Algumas drogas psiquiátricas inibem seu próprio metabolismo, levando a
aumentos desproporcionais nos seus níveis plasmáticos em doses mais altas
– Fluoxetina, paroxetina, fluvoxamina apresentam cinética não-linear
● Em pacientes com metabolismo ou eliminação alterados (p. ex., problemas
renais ou hepáticos; polimorfismos nos genes das enzimas), as doses devem
ser ajustadas para baixo, para evitar efeitos colaterais
● A sertralina e o citalopram apresentam cinética de primeira ordem, e podem
ser escolhas melhores para pacientes com estas características
UNIFESSP
A
EliminaçãoEliminação
● As drogas, ou seus metabólitos, podem ser secretadas pelos rins,
pulmões, e fígado e nas secreções corporais.
● Eliminação é o “processo pelo qual uma droga ou um metabólito é
eliminado do organismo sem alterações químicas suplementares”;
● Uma característica cinética importante da eliminação é o fato de
que a concentração de uma droga é maior nos órgãos que a
excretam do que no resto do organismo.
● A pele e o cabelo não são órgãos de excreção, mas servem de
depósito para algumas substâncias.
UNIFESSP
A
Excreção renalExcreção renal
● Os produtos do metabolismo de fase 1 e de fase 2 são
quase sempre eliminados mais rapidamente que o
composto original;
● Fatores fisiológicos que influenciam:
– Filtração glomerular;
– Reabsorção ou secreção tubular ativa;
– Difusão passiva através do epitélio tubular.
UNIFESSP
A
UNIFESSP
A
DepuraçãoDepuração
● A depuração pode ser conceituada de duas
maneiras diferentes:
1)A taxa de eliminação de um fármaco em relação à
concentração plasmática do fármaco
2)A taxa à qual o plasma teria de ser depurado do
fármaco para justificar a cinética da mudança
observada na quantidade total do fármaco no corpo
Depuração=
Metabolismo+Excreção
[Fármaco]plasma
UNIFESSP
A
Cinética da depuraçãoCinética da depuração
●
A taxa de metabolismo e excreção de um fármaco por um órgão é
limitada pela taxa de fluxo sanguíneo deste órgão
●
A maioria dos fármacos exibe cinética de primeira ordem quando
esses fármacos são utilizados em doses terapêuticas padrões
– a quantidade de fármaco que é metabolizado ou excretado em determinada
unidade de tempo é diretamente proporcional à concentração do fármaco na
circulação sistêmica nesse exato momento
– A taxa de depuração em primeira ordem segue a cinética de Michaelis-Menten
UNIFESSP
A
Meia-vida de eliminaçãoMeia-vida de eliminação
● A taxa de eliminação de uma droga é diretamente dependente da sua
meia-vida (t1/2)
– quantidade de tempo necessária para reduzir a quantidade de droga
no corpo à metade, durante o processo de eliminação (concentração
plasmática da droga reduzida em 50%).
● Vários fatores podem prolongar a t1/2 de uma droga: falências do fígado e
dos rins, idade avançada, alterações na função renal.
● O conhecimento da t1/2 permite ao clínico planejar a frequência de doses
necessária para manter a a concentração plasmática do fármaco dentro
da faixa terapêutica
UNIFESSP
A
Impactos da meia-vida naImpactos da meia-vida na
psicofarmacoterapiapsicofarmacoterapia
● ISRSs com meia-vida curta determinam
maiores chances de desenvolver Síndrome de
Descontinuação de ISRSs
● Por outro lado, ISRSs com meia-vida longa
devem ser retirados com um intervalo maior
antes de introduzir iMAOs
UNIFESSP
A
Cinética de alguns ISRSsCinética de alguns ISRSs
Droga Relação entre
dose e níveis
plasmáticos
Meia-vida Doses Potencial de
interação
Citalopram Linear 33 h 20 – 60 mg/dia Relativamente
baixo
Fluoxetina Não-linear 4 – 6 dias
(metabólito ativo:
7 – 15 dias)
20 – 80 mg/dia Alto
Fluvoxamina Não-linear 15 – 26 h 50 – 300 mg/dia Alto
Paroxetina Não-linear 21 h 20 – 60 mg/dia Moderado
Sertralina Linear 26 h 50 – 200 mg/dia Relativamente
baixo
UNIFESSP
A
Dosagem terapêutica eDosagem terapêutica e
frequência de dosefrequência de dose
●
ADME influenciam o planejamento de um esquema posológico
ótimo de um fármaco
– Fármacos com acentuada absorção necessitam de doses menores (ainda
que o principal determinante da dose seja a potência)
– Fármacos com acentuada distribuição necessitam de doses maiores
– Taxa de eliminação determina meia-vida e, portanto, frequência de doses
●
A dosagem terapêutica procura manter a concentração plasmática
máxima do fármaco abaixo da concentração tóxica e a
concentração mínima acima de seu nível minimamente efetivo.
UNIFESSP
A
Dosagem terapêuticaDosagem terapêutica
● Imediatamente após iniciar uma terapia
farmacológica, a taxa de entrada do fármaco
no corpo é muito maior do que a sua taxa de
eliminação → Aumento da [fármaco]plasma
→
Aumento da taxa de eliminação
● Estado de equilíbrio dinâmico – as duas
taxas tornam-se iguais
UNIFESSP
A
UNIFESSP
A
Formas de dosagemFormas de dosagem
●
A melhor forma de manter um fármaco dentro da
concentração desejada é através de liberação
contínua (infusão intravenosa contínua, bomba
subcutânea, comprimidos de liberação prolongada);
entretanto, essas vias são geralmente pouco
convenientes para o paciente
●
Alternativas: administração de doses pequenas e
frequentes (inconveniente), ou de doses altas e
menos frequentes (flutuações maiores)
●
Na ausência de dose de ataque, são necessárias 4 a
5 meias-vidas para que um fármaco alcance o
equilíbrio entre distribuição tecidual e concentração
plasmática

Farmacocinética e ADME

  • 1.
  • 2.
    UNIFESSP A ObjetivosObjetivos 1.Definir farmacocinética eos conceitos básicos de absorção, distribuição, metabolismo, e excreção 2.Analisar o conceito de biodisponibilidade e bioequivalência 3.Discutir a importância das enzimas de metabolismo como fatores de interação medicamentosa
  • 3.
    UNIFESSP A IntroduçãoIntrodução Farmacodinâmica “o que umfármaco faz com o organismo” Eventos resultantes das interações fármaco-receptor ou outros sítios de ação primário FARMACOCINÉTICA “o que o organismo faz com a droga” Relação da evolução temporal das concentrações de um fármaco obtidas em diferentes regiões do organismo, durante e após a administração de uma dose
  • 4.
    UNIFESSP A Definição do problemaDefiniçãodo problema ● Para que um fármaco exerça seu efeito fisiológico: 1. Processado pelo corpo, e 2. Transportado até seu receptor. Liberação Absorção Distribuição Metabolismo Excreção Farmacocinética
  • 5.
    UNIFESSP A Os caminhos dadrogaOs caminhos da droga no organismono organismo
  • 6.
    Princípios geraisPrincípios gerais [FÁRMACOLIVRE] DOSE DO FÁRMACO DOSE DO FÁRMACO AbsorçãoAbsorção LiberaçãoLiberação MetabolizaçãoMetabolizaçãoExcreçãoExcreção LOCAL DE AÇÃO TERAPÊUTICA LOCAL DE AÇÃO TERAPÊUTICA Reservatórios (tecidos) Reservatórios (tecidos) Local de ação inesperada Local de ação inesperada MetabolizaçãoMetabolização [METABÓLITOS ATIVOS] [METABÓLITOS INATIVOS] “Corpora non agunt nisi fixata” – Paul Ehrlich
  • 7.
    UNIFESSP A Formas de administraçãoFormasde administração Oral Sublingual Transdérmica Retal Pulmonar Parenteral – Intravenosa – Subcutânea – Intramuscular – Intra-arterial – Intratecal
  • 8.
  • 9.
    UNIFESSP A AbsorçãoAbsorção ● Definição: Movimentação dadroga do local de administração/liberação até a circulação plasmática; ● Na maioria dos casos o fármaco deve entrar na circulação antes de chegar ao local de ação: – É o primeiro movimento do fármaco em direção ao sítio de ação; ● Exige a entrada das moléculas no compartimento vascular; ● Biodisponibilidade sistêmica: Fração da dose administrada que, de fato, alcança a circulação. Goldberg M, Gomez-Orellana I (2003). Challenges for the oral delivery of macromolecules. Nature Reviews Drug Discovery 2: 289-295
  • 10.
    UNIFESSP A Velocidade de absorçãoVelocidadede absorção Quanto mais rápida a absorção, menor o tempo (tmax) necessário para alcançar a concentração plasmática máxima (cmax), e mais cedo se inicia a queda dos níveis plasmáticos.
  • 11.
  • 12.
    UNIFESSP A Barreiras para aabsorçãoBarreiras para a absorção ● Para um fármaco ser absorvido, ela precisa superar “barreiras” físicas, químicas e biológicas: – Trato gastro-intestinal e outras mucosas; – Membranas celulares, etc. ● Mesmo após a absorção, o fármaco pode precisar atravessar outras barreiras para agir no seu sítio específico: – Ligar-se a um receptor e produzir um efeito. ● Um fármaco pode ser transportado de várias maneiras, até chegar ao seu sítio de ligação
  • 13.
    UNIFESSP A Fatores que afetama absorçãoFatores que afetam a absorção ● Tempo de contato com a superfície de absorção; ● Área da superfície de absorção; ● Fluxo sanguíneo local; ● Estados patológicos; ● Interações medicamentosas ou alimentares; ● Solubilidade da droga; ● Concentração da droga; ● pH da droga; ● pH ambiental.
  • 14.
    UNIFESSP A pH e absorçãopHe absorção • Drogas que são ácidos fracos encontram-se na forma lipossolúvel em maior quantidade em um pH ácido • Drogas que são bases fracas encontram-se na forma lipossolúvel em maior quantidade em um pH básico
  • 15.
    UNIFESSP A BiodisponibilidadeBiodisponibilidade ● Nem todasas moléculas de um fármaco são absorvidas, apenas uma fração delas chega à corrente sanguínea: BIODISPONIBILIDADE; ● Nem toda molécula de um fármaco consegue agir no seu tecido-alvo, mesmo que ela tenha sido absorvida: EFEITO DE PRIMEIRA PASSAGEM.
  • 16.
    UNIFESSP A Fatores que alteramaFatores que alteram a biodisponibilidadebiodisponibilidade ● Natureza química; ● Forma farmacêutica; ● Dose administrada; ● Interação no TGI; ● Trânsito GI; ● Metabolismo de primeira passagem.
  • 17.
    UNIFESSP A Efeito de primeirapassagemEfeito de primeira passagem ● Eliminação de Primeira Passagem, ou Metabolismo de Primeira Passagem; ● Após a absorção no TGI: – Sangue do sistema portal leva o fármaco ao fígado antes de sua entrada na circulação sistêmica. ● Nem todo fármaco biodisponível vai chegar ao tecido-alvo; ● O fármaco pode ser metabolizado na parede intestinal, no sangue do sistema portal, ou no fígado (+ comum).
  • 18.
    UNIFESSP A DistribuiçãoDistribuição ● Absorção: pré-requisitopara atingir níveis plasmáticos adequados de um determinado fármaco; ● O fármaco precisa alcançar seu órgão(s)-alvo em concentrações terapêuticas para exercer o efeito desejado sobre determinado processo fisiológico – DISTRIBUIÇÃO Após a entrada na circulação, a droga deve ser DISTRIBUÍDA “para seu local de ação, permeando através das várias barreiras que separam esses compartimentos” (Katzung).
  • 19.
    UNIFESSP A DistribuiçãoDistribuição Administração oral Administração oral Absorção no trato GI Absorçãono trato GI Sistema portal Sistema portal FígadoFígado Circulação sangüínea Circulação sangüínea ÓRGÃOSÓRGÃOS
  • 20.
    UNIFESSP A A barreira hemato-encefálicaAbarreira hemato-encefálica ● Estrutura semi- membranosa que protege o SNC de substâncias químicas ● Composta por células endoteliais agrupadas nos capilares cerebrais e astrócitos associados
  • 21.
    UNIFESSP A A barreira hemato-encefálicaAbarreira hemato-encefálica ● Substâncias lipofílicas difundem pela BHE de maneira dependente/proporcional à sua lipossolubilidade ● A captação de algumas substâncias é menor do que o esperado por sua lipossolubilidade devido à ligação a proteínas plasmática
  • 22.
    UNIFESSP A P-glicoproteínas na BHEP-glicoproteínasna BHE ● ATPases transmembrânicas que expressam-se nas céls. endoteliais da BHE ● Limitam a permeabilidade de substratos bombeando-as de volta para a circulação sistêmica ● Substratos importantes para a psicofarmacologia: – Carbamazepina – Morfina – Fenitoína
  • 23.
    UNIFESSP A Fatores que afetama distribuiçãoFatores que afetam a distribuição ● Propriedades físico-químicas do fármaco (taxa de difusão) ● Ligação em estruturas celulares e teciduais, criando reservatórios do fármaco ● Ligação a proteínas plasmáticas (principalmente albumina e α1 -glicoproteína) ● Meia-vida da droga ● Fluxo sanguíneo tecidual e volume de distribuição ● Patologias que afetam a permeabilidade das barreias
  • 24.
    UNIFESSP A Ligação a proteínasplasmáticasLigação a proteínas plasmáticas “Fármacos com alto grau de ligação à proteínas, precisam de uma Concentração Plasmática Total MAIS ELEVADA”:
  • 25.
    UNIFESSP A Ligação a proteínasplasmáticasLigação a proteínas plasmáticas ● Os sítios proteicos de ligação são passíveis de saturação, mas geralmente isso não ocorre porque há abundância de sítios de ligação; ● A variação na concentração das proteínas plasmáticas pode influenciar a relação entre fração livre/fração ligada: – Hipoalbuminemia: cirrose, síndrome nefrótica, desnutrição grave, idoso, gestação. ● Competição entre os fármacos pelo sítio proteico: o fármaco de maior afinidade desloca o de menor afinidade.
  • 26.
    UNIFESSP A Ligação a proteínasplasmáticasLigação a proteínas plasmáticas ● Fármacos podem alterar a estrutura das proteínas plasmáticas alterando a afinidade da proteína por outros fármacos: – Ex: AAS: acorre a acetilação do resíduo lisina da molécula da albumina; ● Os fármacos competem entre si e também competem com as substâncias endógenas pelo sítio de ligação proteica.
  • 27.
    UNIFESSP A Metabolismo de drogasMetabolismode drogas Principal órgão na BIOTRANSFORMAÇÃO de drogas; Altamente perfundido. • Quais órgãos envolvidos? – Rins; – TGI; – Pulmões; – Pele; – Outros... A maioria das drogas é metabolizada antes da catabolização pelo organismo
  • 28.
    UNIFESSP A Metabolismo de drogasMetabolismode drogas ● Diversos sistemas enzimáticos catalisam a transformação de fármacos de modo a formar compostos que são, no geral, mais polares (mais facilmente excretados). ● Classificação das reações de metabolização: – Fase I: Oxidação, redução, hidrólise; – Fase II: Reações de conjugação.
  • 29.
  • 30.
    UNIFESSP A Reações de faseIReações de fase I OXIDAÇÃO, REDUÇÃO, HIDRÓLISE Fornecem um grupo funcional (OH, SH, NH2, CO2H) que aumenta a polaridade da droga, em um sítio que é utilizado em reações para o metabolismo de fase 2 Conversão do fármaco original em um metabólito mais polar O metabólito resultante pode ser farmacologicamente inativo, menos ativo ou, às vezes, mais ativo que a molécula original
  • 31.
  • 32.
    UNIFESSP A Reações de faseIReações de fase I ● Sistema de monoxigenase do citocromo P450 ● Sistema de monoxigenase continente de flavina ● Álcool desidrogenase ● Aldeído desidrogenase ● Monoamina oxigenase ● Co-oxidação por peroxidases
  • 33.
    UNIFESSP A CYP450CYP450 ● Superfamília deisoformas enzimáticas das proteínas; ● Catalisam a monoxidação de grande quantidade de compostos não- relacionados estruturalmente (esteróides endógenos, ácidos graxos, fármacos lipofílicos); ● As enzimas que metabolizam drogas localizam-se primariamente no RE; são encontradas em altas concentrações no fígado, porém também estão presentes no pulmão, rins, TGI, mucosa nasal, pele, e cérebro.
  • 34.
    UNIFESSP A Substratos, indutores, eSubstratos,indutores, e inibidoresinibidores
  • 35.
    UNIFESSP A Substratos de isozimasSubstratosde isozimas do CYPdo CYP ● 1A2: Cafeína, teofilina, tricíclicos, ropinirol, duloxetina, mirtazapina, clozapina, haloperidol, olanzapina, zolmitriptano ● 2C19: BZDs, citalopram, amitriptilina ● 2D6: β-bloqueadores, amitriptilina, sertralina, haloperidol, tricíclicos, risperidona, iloperidona, tramadol, venlafaxina, duloxetina, aripiprazol ● 3A4: Paracetamol, BZDs, buspirona, sertralina, venlafaxina, mirtazapina, haloperidol, iloperidona, trazodona
  • 36.
    UNIFESSP A Indução das enzimasInduçãodas enzimas do CYP450do CYP450 ● Aumento na expressão gênica de determinadas isoenzimas. ● Provavelmente se deve à “desrepressão” de um gene repressor e subsequente síntese de RNAm para as proteínas específicas. ● Várias drogas psiquiátricas são indutores de enzimas do CYP450
  • 37.
    UNIFESSP A Indutores de isozimasCYPIndutores de isozimas CYP Isozima Psicotrópicos Outros 1A2 Fenobarbital Secobarbital Carbamazepina Fenitoína Modafinil Tabaco Carne queimada Rifampicina 2C9 Secobarbital Carbamazepina Rifampicina 2C19 Carbamazepina Ácido valpróico Fenobarbital Fenitoína Rifampicina 3A4 Carbamazepina Fenitoína Fenobarbital Erva de São João Morfina Nicotina Topiramato Felbamato Rifampicina Ritonavir Indivavir Efavirenz Pioglitazona Glicocorticóides
  • 38.
    UNIFESSP A Inibição enzimáticaInibição enzimática ●A inibição enzimática é resultado de mudanças patológicas no órgão ou da ação de droga inibidoras ● Essa inibição pode ocorrer por uma queda na síntese, aumento na degradação da enzima, ou competição de 2+ drogas pelo mesmo sítio. – Ex. 1: infecções por influenza A ou adenovírus geram interferonas que inibem uma isoenzima do CYP450, diminuindo a biotransformação da teofilina – alterando a eliminação. – Ex. 2.: O suco de toranja pode inibir o metabolismo de certos bloqueadores de canal de cálcio e da cafeína, aumentando a concentração de cafeína no organismo - alterando a eliminação.
  • 39.
    UNIFESSP A Inibidores de isozimasCYPInibidores de isozimas CYP Isozima Psicotrópicos Outros 1A2 Fluvoxamina Fluoxetina Paroxetina Sertralina Cimetidina Omeprazol Fluoroquinolonas Ticlopidina 2C9 Ácido valpróico Fluoxetina Fluconazol Miconazol Amiodarona 2C19 Fluvoxamina Fluoxetina Cetoconazol Cimetidina Omeprazol Lansoprazol 2D6 Bupropiona Fluoxetina Paroxetina Duloxetina Sertralina Citalopram Escitalopram Haloperidol Tioridazina Terbinafina Quinidina Cimetidina Amiodarona Mibefradil Ritonavir 3A4 Fluvoxamina Nefazodona Claritromicina Eritromicina Troleandomicina Fluconazol Cetoconazol Itraconazol Indinavir Cimetidina Verapamil Diltiazem
  • 40.
    UNIFESSP A Farmacogenômica e epigenética:Farmacogenômicae epigenética: O caso da CYP1A2O caso da CYP1A2 ● CYP1A2_1545T>C: Genótipo TT associado a mais efeitos colaterais da clozapina (Vikki et al., 2014) ● CYP1A2*1C: Presença do alelo A aumenta a severidade da discinesia tardia (Basille et al., 2000) ● CYP1A2*1F: Genótipo *1F/*1F associado com efeito pró- convulsivo da clozapina (Kohlrausch et al., 2013); presença do alelo C diminui a indutibilidade da isozima pela nicotina
  • 41.
    UNIFESSP A Estudo de casoEstudode caso ● Um homem de 57 anos, com histórico de fibrilação atrial e transtorno depressivo maior, está em tratamento estável de varfarina 5 mg/dia e desipramina 200 mg/dia. O paciente fuma 2 a 3 maços de cigarro por dia, e inicia o tratamento com bupropiona (150 mg/dia) como adjuvante na terapia anti-tabagismo. Após 14 dias de tratamento com bupropiona, reporta palpitações, tontura, e confusão. O médico da família solicita um ECG, que apresenta taquicardia sinusal e intervalo QRS ampliado. O paciente inicia monitoramento cardíaco e exames clínicos, que revelam níveis séricos de desipramina de 595 ng/ml (a amplitude normal está entre 50-300 ng/ml). ● O que fazer?
  • 42.
  • 43.
    UNIFESSP A Reações oxidativas não-Reaçõesoxidativas não- catalizadas pela CYP450catalizadas pela CYP450 ● Monoxigenase microsomal continente de flavina (FMO): sistema enzimático NADPH- e –oxigênio dependente que funciona como oxigenase de enxofre, nitrogênio e fósforo; associada ao metabolismo de aminas terciárias (p. ex., nicotina, olanzapina, clozapina). ● Xantina desidrogenase-xantina oxidase (XD-XO): XD tem papel no metabolismo de primeira passagem; XO oxida agentes quimioterápicos. ● Monoamina oxidase (MAO): Enzima mitocondrial que metaboliza monoaminas.
  • 44.
    UNIFESSP A Reações redutivas nafase IReações redutivas na fase I
  • 45.
    UNIFESSP A Reações hidrolíticas nafase IReações hidrolíticas na fase I ● Pode envolver enzimas microssomais hepáticas ou ocorrem no plasma e em outros tecidos; ● Ligações éster e amida são sucetíveis à hidrólise; ● As proteases hidrolisam os polipeptídeos e proteínas e têm grande importância na aplicação terapêutica.
  • 46.
    UNIFESSP A Reações de faseIIReações de fase II ● Conjugação: – A molécula pode possuir um grupo aceptor (ou adquirir após a fase I) que permite a fixação de um grupo substitutivo; ● Grupos mais comuns: Glicuronil, sulfato, metil, acetil, glicil, e glutamil. ● Metil-transferase ● Glutationa S-transferases ● Sulfotransferases ● N-acetiltransferases ● Aminoácido N-acil transferases ● UDP-glicuronosiltransferases (UGT)
  • 47.
    UNIFESSP A GlicuronidaçãoGlicuronidação ● A famíliados genes UGT humanos codifica 20+ isoenzimas microssomais. ● Essa família de enzimas cataliza a transferência do ácido glucurônico para uma grande quantidade de compostos endo- e xenobióticos, incluindo fármacos, pesticidas e carcinogênicos. ● A síntese de glucuronidas de éter, éster, carboxila, sulfurila, carbonila e nitrogenila: aumento na polaridade e hidrossolubilidade e, portanto, potencial para excreção.
  • 48.
    UNIFESSP A Substratos das UGTsSubstratosdas UGTs ● Antipsicóticos de primeira e segunda geração ● Tricíclicos ● AINEs ● Carvedilol ● Furosemida ● Morfina ● Tramadol ● Lorazepam ● Oxazepam
  • 49.
    UNIFESSP A Indutores e inibidoresIndutorese inibidores das UGTsdas UGTs Ação Psicotrópicos Outros Indutores Carbamazepina Fenitoína Fenobarbital Lamotrigina Rifampicina Carbapenemas Inibidores Diclofenaco AINEs Valproato Probenecid
  • 50.
    UNIFESSP A Farmacogenética das UGTsFarmacogenéticadas UGTs ● UGT1A1*28: Diminuição da eliminação da tolbutamida, rifampicina, e haloperidol; elevações da bilirrubina ● Alelos raros (0,5-10% apresentam CA, e 3% apresentam AS)
  • 51.
    UNIFESSP A Inibição e induçãoenzimáticaInibição e indução enzimática e não-linearidade da cinéticae não-linearidade da cinética ● Algumas drogas psiquiátricas inibem seu próprio metabolismo, levando a aumentos desproporcionais nos seus níveis plasmáticos em doses mais altas – Fluoxetina, paroxetina, fluvoxamina apresentam cinética não-linear ● Em pacientes com metabolismo ou eliminação alterados (p. ex., problemas renais ou hepáticos; polimorfismos nos genes das enzimas), as doses devem ser ajustadas para baixo, para evitar efeitos colaterais ● A sertralina e o citalopram apresentam cinética de primeira ordem, e podem ser escolhas melhores para pacientes com estas características
  • 52.
    UNIFESSP A EliminaçãoEliminação ● As drogas,ou seus metabólitos, podem ser secretadas pelos rins, pulmões, e fígado e nas secreções corporais. ● Eliminação é o “processo pelo qual uma droga ou um metabólito é eliminado do organismo sem alterações químicas suplementares”; ● Uma característica cinética importante da eliminação é o fato de que a concentração de uma droga é maior nos órgãos que a excretam do que no resto do organismo. ● A pele e o cabelo não são órgãos de excreção, mas servem de depósito para algumas substâncias.
  • 53.
    UNIFESSP A Excreção renalExcreção renal ●Os produtos do metabolismo de fase 1 e de fase 2 são quase sempre eliminados mais rapidamente que o composto original; ● Fatores fisiológicos que influenciam: – Filtração glomerular; – Reabsorção ou secreção tubular ativa; – Difusão passiva através do epitélio tubular.
  • 54.
  • 55.
    UNIFESSP A DepuraçãoDepuração ● A depuraçãopode ser conceituada de duas maneiras diferentes: 1)A taxa de eliminação de um fármaco em relação à concentração plasmática do fármaco 2)A taxa à qual o plasma teria de ser depurado do fármaco para justificar a cinética da mudança observada na quantidade total do fármaco no corpo Depuração= Metabolismo+Excreção [Fármaco]plasma
  • 56.
    UNIFESSP A Cinética da depuraçãoCinéticada depuração ● A taxa de metabolismo e excreção de um fármaco por um órgão é limitada pela taxa de fluxo sanguíneo deste órgão ● A maioria dos fármacos exibe cinética de primeira ordem quando esses fármacos são utilizados em doses terapêuticas padrões – a quantidade de fármaco que é metabolizado ou excretado em determinada unidade de tempo é diretamente proporcional à concentração do fármaco na circulação sistêmica nesse exato momento – A taxa de depuração em primeira ordem segue a cinética de Michaelis-Menten
  • 57.
    UNIFESSP A Meia-vida de eliminaçãoMeia-vidade eliminação ● A taxa de eliminação de uma droga é diretamente dependente da sua meia-vida (t1/2) – quantidade de tempo necessária para reduzir a quantidade de droga no corpo à metade, durante o processo de eliminação (concentração plasmática da droga reduzida em 50%). ● Vários fatores podem prolongar a t1/2 de uma droga: falências do fígado e dos rins, idade avançada, alterações na função renal. ● O conhecimento da t1/2 permite ao clínico planejar a frequência de doses necessária para manter a a concentração plasmática do fármaco dentro da faixa terapêutica
  • 58.
    UNIFESSP A Impactos da meia-vidanaImpactos da meia-vida na psicofarmacoterapiapsicofarmacoterapia ● ISRSs com meia-vida curta determinam maiores chances de desenvolver Síndrome de Descontinuação de ISRSs ● Por outro lado, ISRSs com meia-vida longa devem ser retirados com um intervalo maior antes de introduzir iMAOs
  • 59.
    UNIFESSP A Cinética de algunsISRSsCinética de alguns ISRSs Droga Relação entre dose e níveis plasmáticos Meia-vida Doses Potencial de interação Citalopram Linear 33 h 20 – 60 mg/dia Relativamente baixo Fluoxetina Não-linear 4 – 6 dias (metabólito ativo: 7 – 15 dias) 20 – 80 mg/dia Alto Fluvoxamina Não-linear 15 – 26 h 50 – 300 mg/dia Alto Paroxetina Não-linear 21 h 20 – 60 mg/dia Moderado Sertralina Linear 26 h 50 – 200 mg/dia Relativamente baixo
  • 60.
    UNIFESSP A Dosagem terapêutica eDosagemterapêutica e frequência de dosefrequência de dose ● ADME influenciam o planejamento de um esquema posológico ótimo de um fármaco – Fármacos com acentuada absorção necessitam de doses menores (ainda que o principal determinante da dose seja a potência) – Fármacos com acentuada distribuição necessitam de doses maiores – Taxa de eliminação determina meia-vida e, portanto, frequência de doses ● A dosagem terapêutica procura manter a concentração plasmática máxima do fármaco abaixo da concentração tóxica e a concentração mínima acima de seu nível minimamente efetivo.
  • 61.
    UNIFESSP A Dosagem terapêuticaDosagem terapêutica ●Imediatamente após iniciar uma terapia farmacológica, a taxa de entrada do fármaco no corpo é muito maior do que a sua taxa de eliminação → Aumento da [fármaco]plasma → Aumento da taxa de eliminação ● Estado de equilíbrio dinâmico – as duas taxas tornam-se iguais
  • 62.
  • 63.
    UNIFESSP A Formas de dosagemFormasde dosagem ● A melhor forma de manter um fármaco dentro da concentração desejada é através de liberação contínua (infusão intravenosa contínua, bomba subcutânea, comprimidos de liberação prolongada); entretanto, essas vias são geralmente pouco convenientes para o paciente ● Alternativas: administração de doses pequenas e frequentes (inconveniente), ou de doses altas e menos frequentes (flutuações maiores) ● Na ausência de dose de ataque, são necessárias 4 a 5 meias-vidas para que um fármaco alcance o equilíbrio entre distribuição tecidual e concentração plasmática

Notas do Editor

  • #7 <number>