MATRIZES
 
As linhas horizontais da matriz são chamadas de  linhas  e as linhas verticais são chamadas de  colunas .  Uma matriz com  m  linhas e  n  colunas é chamada de uma matriz m por n (escreve-se  m×n ) e m e n são chamadas de suas  dimensões ,  tipo  ou  ordem . Um elemento de uma matriz  A  que está na i-ésima linha e na j-ésima coluna é chamado de elemento  i,j  ou ( i,j )-ésimo elemento de  A .  Ele é escrito como  A i,j ou  A [ i,j ].
Uma matriz onde uma de suas dimensões é igual a 1 é geralmente chamada de  vetor .  Uma matriz  1 × n  (uma linha e n colunas) é chamada de  vetor linha  ou  matriz linha , e uma matriz  m × 1 (uma coluna e m linhas) é chamada de  vetor coluna  ou  matriz coluna .
A matriz a seguir é uma matriz de  ordem  2×3 com elementos  naturais   Nesse exemplo, o elemento a 1 2  é 2, o número na primeira linha e segunda coluna do quadro.
 
 
 
 
 
 
A  transposta  de uma matriz A m × n  é a matriz A t n × m  em que  , ou seja, todos os  elementos  da primeira linha, tornar-se-ão  elementos  da primeira coluna, todos os  elementos  da segunda linha, tornar-se-ão  elementos  da segunda coluna, todos os  elementos  da  n  linha, tornar-se-ão  elementos  da  m  coluna.
 
Uma matriz é dita  quadrada  se tem o mesmo  número  de linhas e colunas, ou seja, quando podemos dizer que,  m  tem a mesma quantidade de elementos que  n . Numa matriz quadrada A de ordem n × n, chama-se de  diagonal principal  os elementos a ij  onde i = j, para i de 1 a n.
 
 
Operações envolvendo Matrizes  Multiplicação por um escalar A  multiplicação  é uma das operações mais simples que podem ser feitas com matrizes.  Para multiplicar um número  k  qualquer por uma matriz n×m A, basta multiplicar cada entrada aij de A por  k .  Assim, a matriz resultante B será também n×m e bij =  k .aij.  Com isso, pode-se pensar também na noção de dividir uma matriz por um número: basta multiplicá-la pelo  inverso  desse número.  Mas essa noção pode ser perigosa: enquanto a multiplicação entre um número e uma matriz pode ser dita " comutativa ", o mesmo não vale para a divisão, pois não se pode dividir um número por uma matriz.
 
Adição e Subtração entre Matrizes  Dado as matrizes  A  e  B  do tipo  m  por  n , sua  soma   A + B  é a matriz  m  por  n  computada adicionando os elementos correspondentes: ( A  +  B )[ i , j ] =  A [ i, j ] +  B [ i, j ].
 
 
 
 
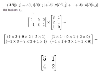
Multiplicação de Matrizes  Multiplicação  de duas matrizes é bem definida apenas se o número de colunas da matriz da esquerda é o mesmo número de linhas da matriz da direita.  Se  A  é uma matriz  m  por  n  e  B  é uma matriz  n  por  p , então seu  produto   AB  é a matriz  m  por  p  ( m  linhas e  p  colunas) dada por:
 
 
 
 
 
 
Matrizes booleanas São matrizes que têm apenas elementos iguais a 0 ou 1. Podemos definir uma operação booleana de multiplicação  A×B  para matrizes booleanas usando multiplicação e soma booleanas, ao invés de multiplicação e adição usuais.
operações booleanas de multiplicação e adição
A multiplicação booleana de matrizes A X B é definida por:
 
 
EXERCÍCIOS Multiplicação de matrizes  O número de transistores e o número de alto-falantes usados para montar três modelos de aparelhos de TV foram especificados em uma tabela.
 
 
 
 
 
 
 
 
 

Matrizes

  • 1.
  • 2.
  • 3.
    As linhas horizontaisda matriz são chamadas de linhas e as linhas verticais são chamadas de colunas . Uma matriz com m linhas e n colunas é chamada de uma matriz m por n (escreve-se m×n ) e m e n são chamadas de suas dimensões , tipo ou ordem . Um elemento de uma matriz A que está na i-ésima linha e na j-ésima coluna é chamado de elemento i,j ou ( i,j )-ésimo elemento de A . Ele é escrito como A i,j ou A [ i,j ].
  • 4.
    Uma matriz ondeuma de suas dimensões é igual a 1 é geralmente chamada de vetor . Uma matriz 1 × n (uma linha e n colunas) é chamada de vetor linha ou matriz linha , e uma matriz m × 1 (uma coluna e m linhas) é chamada de vetor coluna ou matriz coluna .
  • 5.
    A matriz aseguir é uma matriz de ordem 2×3 com elementos naturais Nesse exemplo, o elemento a 1 2 é 2, o número na primeira linha e segunda coluna do quadro.
  • 6.
  • 7.
  • 8.
  • 9.
  • 10.
  • 11.
  • 12.
    A transposta de uma matriz A m × n é a matriz A t n × m em que , ou seja, todos os elementos da primeira linha, tornar-se-ão elementos da primeira coluna, todos os elementos da segunda linha, tornar-se-ão elementos da segunda coluna, todos os elementos da n linha, tornar-se-ão elementos da m coluna.
  • 13.
  • 14.
    Uma matriz édita quadrada se tem o mesmo número de linhas e colunas, ou seja, quando podemos dizer que, m tem a mesma quantidade de elementos que n . Numa matriz quadrada A de ordem n × n, chama-se de diagonal principal os elementos a ij onde i = j, para i de 1 a n.
  • 15.
  • 16.
  • 17.
    Operações envolvendo Matrizes Multiplicação por um escalar A multiplicação é uma das operações mais simples que podem ser feitas com matrizes. Para multiplicar um número k qualquer por uma matriz n×m A, basta multiplicar cada entrada aij de A por k . Assim, a matriz resultante B será também n×m e bij = k .aij. Com isso, pode-se pensar também na noção de dividir uma matriz por um número: basta multiplicá-la pelo inverso desse número. Mas essa noção pode ser perigosa: enquanto a multiplicação entre um número e uma matriz pode ser dita " comutativa ", o mesmo não vale para a divisão, pois não se pode dividir um número por uma matriz.
  • 18.
  • 19.
    Adição e Subtraçãoentre Matrizes Dado as matrizes A e B do tipo m por n , sua soma A + B é a matriz m por n computada adicionando os elementos correspondentes: ( A + B )[ i , j ] = A [ i, j ] + B [ i, j ].
  • 20.
  • 21.
  • 22.
  • 23.
  • 24.
    Multiplicação de Matrizes Multiplicação de duas matrizes é bem definida apenas se o número de colunas da matriz da esquerda é o mesmo número de linhas da matriz da direita. Se A é uma matriz m por n e B é uma matriz n por p , então seu produto AB é a matriz m por p ( m linhas e p colunas) dada por:
  • 25.
  • 26.
  • 27.
  • 28.
  • 29.
  • 30.
  • 31.
    Matrizes booleanas Sãomatrizes que têm apenas elementos iguais a 0 ou 1. Podemos definir uma operação booleana de multiplicação A×B para matrizes booleanas usando multiplicação e soma booleanas, ao invés de multiplicação e adição usuais.
  • 32.
    operações booleanas demultiplicação e adição
  • 33.
    A multiplicação booleanade matrizes A X B é definida por:
  • 34.
  • 35.
  • 36.
    EXERCÍCIOS Multiplicação dematrizes O número de transistores e o número de alto-falantes usados para montar três modelos de aparelhos de TV foram especificados em uma tabela.
  • 37.
  • 38.
  • 39.
  • 40.
  • 41.
  • 42.
  • 43.
  • 44.
  • 45.