Aula 1
UFBA
10/07/2021
O curso
Introdução à álgebra matricial
Espaços vetoriais
Transformações lineares
Métodos numéricos
O curso
Introdução à álgebra matricial
Espaços vetoriais
Transformações lineares
Métodos numéricos
Bibliografia
Anton, H., & Rorres, C. (2001). Álgebra linear com aplicações (Vol.
8). Bookman.
Gentle, J. E. (2007). Matrix algebra: theory, computations, and
applications in statistics. Springer Science & Business Media.
Matrizes
Para resolver o sistema de equações lineares
�
5x + y = 3
2x − y = 4
Matrizes
Para resolver o sistema de equações lineares
�
5x + y = 3
2x − y = 4
�





a11 a12 · · · a1n
a21 a22 · · · a2n
.
.
.
.
.
.
...
.
.
.
am1 am2 · · · amn





= A
Uma matriz A, m×n (m por n), é uma tabela de mn números dispostos
em m linhas e n colunas.
Exemplos:
�
1 2 3
4 5 6
�


2
−3
0

 [10]
�
1 0, 3 π e
−102
√
2 0 2
�
A = [aij ]m×n = [aij ] = (aij ) e aij = (A)ij
Uma matriz de tamanho n × n é dita matriz quadrada de ordem n:
A =





a11 a12 · · · a1n
a21 a22 · · · a2n
.
.
.
.
.
.
...
.
.
.
an1 an2 · · · ann





A e B são iguais se tiverem o mesmo tamanho e suas entradas
correspondentes forem iguais:
Se A = [aij ] e B = [bij ] têm o mesmo tamanho, então são iguais se
aij = bij para todo i = 1, . . . , m e j = 1, . . . , n.
Notação
Mm×n(R) = {matrizes m × n com entradas reais}
Mn(R) = {matrizes quadradas de ordem n}
Matriz identidade de ordem n:
In =





1 0 0 · · · 0
0 1 0 · · · 0
.
.
.
.
.
.
.
.
.
...
.
.
.
0 0 0 · · · 1





Matriz nula de tamanho m × n:
0m×n =



0 0 0 · · · 0
.
.
.
.
.
.
.
.
.
...
.
.
.
0 0 0 · · · 0



Operações matriciais: Sejam A = [aij ] e B = [bij ] matrizes do
mesmo tamanho
A soma A + B é a matriz obtida somando as entradas
correspondentes de A e B:
A + B = [aij + bij ]
Operações matriciais: Sejam A = [aij ] e B = [bij ] matrizes do
mesmo tamanho
A soma A + B é a matriz obtida somando as entradas
correspondentes de A e B:
A + B = [aij + bij ]
A diferença A − B é a matriz obtida subtraindo as entradas de B
das entradas correspondentes de A:
A − B = [aij − bij ]
Operações matriciais: Sejam A = [aij ] e B = [bij ] matrizes do
mesmo tamanho
A soma A + B é a matriz obtida somando as entradas
correspondentes de A e B:
A + B = [aij + bij ]
A diferença A − B é a matriz obtida subtraindo as entradas de B
das entradas correspondentes de A:
A − B = [aij − bij ]
Se c é um escalar qualquer, a multiplicação por um escalar cA é a
matriz obtida pela multiplicação de cada entrada de A por c:
cA = [caij ]
Exemplos: Dadas A =
�
2 3 4
1 3 1
�
e B =
�
0 2 7
−1 3 −5
�
,
determine A + B, (−1)A, B + 2A.
Sejam A = [aij ]m×p e B = [bij ]p×n, o produto AB é a matriz de
tamanho m × n cuja entrada ij é a soma dos produtos dos
elementos da i-ésima linha de A pelos elementos correspondentes da
j-ésima coluna de B:
(AB)ij = ai1b1j + ai2b2j + · · · + aipbpj
Sejam A = [aij ]m×p e B = [bij ]p×n, o produto AB é a matriz de
tamanho m × n cuja entrada ij é a soma dos produtos dos
elementos da i-ésima linha de A pelos elementos correspondentes da
j-ésima coluna de B:
(AB)ij = ai1b1j + ai2b2j + · · · + aipbpj
AB =





a11 a12 · · · a1p
a21 a22 · · · a2p
.
.
.
.
.
.
...
.
.
.
am1 am2 · · · amp





m×p
·





b11 b12 · · · b1n
b21 b22 · · · b2n
.
.
.
.
.
.
...
.
.
.
bp1 bp2 · · · bpn





p×n
Exemplos: Dadas A =
�
1 2 −3
3 4 0
�
e B =


−2 1 0
0 3 −1
5 −4 0

,
determine AB.
Seja A = [aij ], definimos a sua transposta como sendo a matriz
AT = [bij ], onde bij = aji .
Seja A = [aij ], definimos a sua transposta como sendo a matriz
AT = [bij ], onde bij = aji .
Se A = [aij ] é uma matriz quadrada, definimos o traço de A como
sendo a soma dos entradas na diagonal principal de A:
tr(A) = a11 + a22 + · · · + ann
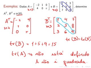
Exemplos: Dadas A =
�
−2 1 0
4 0 π
�
e B =


1 2 3
4 5 6
7 8 9

, determine
AT , BT e tr(B).
Propriedades da aritmética matricial
A + B = B + A
A + (B + C) = (A + B) + C
A(BC) = (AB)C
A(B + C) = AB + AC
a(A + B) = aA + aB
(AT )T = A
(A + B)T = AT + BT
(AB)T = BT AT
Inversa de uma matriz
Seja A uma matriz quadrada de ordem n, dizemos que A é invertı́vel se
existe uma matriz B também de ordem n tal que AB = BA = In.
Inversa de uma matriz
Seja A uma matriz quadrada de ordem n, dizemos que A é invertı́vel se
existe uma matriz B também de ordem n tal que AB = BA = In.
Uma tal matriz B, quando existe, é chamada de matriz inversa de A
Se não existe uma tal B, A é dita não invertı́vel
Dizemos que A e B são inversas entre si
A matriz A =
�
a b
c d
�
é invertı́vel se e somente se ad −bc �= 0. Neste
caso,
A−1
=
1
ad − bc
�
d −b
−c a
�
Exemplos: Determine, quando possı́vel, a inversa das matrizes
A =
�
1 1
4 2
�
e B =
�
−1 2
3 −6
�
.
Propriedades: Se A e B são matrizes invertı́veis do mesmo tamanho,
então
AB é invertı́vel e (AB)−1 = B−1A−1
A−1 é invertı́vel e (A−1)−1 = A
AT é invertı́vel e (AT )−1 = (A−1)T
se n é um número natural, então An = A · A · · · A é invertı́vel e
(An)−1 = (A−1)n
se k é um número real não nulo, então kA é invertı́vel e
(kA)−1 =
1
k
A−1
Algoritmo da inversão
Se a matriz quadrada A é invertı́vel, construimos a matriz [A| I ] e através
de operações elementares a transformamos numa matriz da forma [ I |B].
Então A−1 = B.
Algoritmo da inversão
Se a matriz quadrada A é invertı́vel, construimos a matriz [A| I ] e através
de operações elementares a transformamos numa matriz da forma [ I |B].
Então A−1 = B.
Operações elementares com as linhas de uma matriz
Multiplicar uma linha por uma constante não nula
Trocar duas linhas entre si
Somar uma constante vezes uma linha a uma outra linha
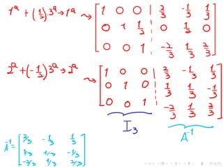
Exemplos: Determine a matriz inversa de A =


1 1 0
0 2 1
1 0 1

.
Uma matriz quadrada A é invertı́vel se, e somente se, det(A) �= 0.

Algebra Matricial

  • 1.
  • 2.
    O curso Introdução àálgebra matricial Espaços vetoriais Transformações lineares Métodos numéricos
  • 3.
    O curso Introdução àálgebra matricial Espaços vetoriais Transformações lineares Métodos numéricos Bibliografia Anton, H., & Rorres, C. (2001). Álgebra linear com aplicações (Vol. 8). Bookman. Gentle, J. E. (2007). Matrix algebra: theory, computations, and applications in statistics. Springer Science & Business Media.
  • 4.
    Matrizes Para resolver osistema de equações lineares � 5x + y = 3 2x − y = 4
  • 5.
    Matrizes Para resolver osistema de equações lineares � 5x + y = 3 2x − y = 4 �      a11 a12 · · · a1n a21 a22 · · · a2n . . . . . . ... . . . am1 am2 · · · amn      = A
  • 6.
    Uma matriz A,m×n (m por n), é uma tabela de mn números dispostos em m linhas e n colunas. Exemplos: � 1 2 3 4 5 6 �   2 −3 0   [10] � 1 0, 3 π e −102 √ 2 0 2 �
  • 7.
    A = [aij]m×n = [aij ] = (aij ) e aij = (A)ij Uma matriz de tamanho n × n é dita matriz quadrada de ordem n: A =      a11 a12 · · · a1n a21 a22 · · · a2n . . . . . . ... . . . an1 an2 · · · ann      A e B são iguais se tiverem o mesmo tamanho e suas entradas correspondentes forem iguais: Se A = [aij ] e B = [bij ] têm o mesmo tamanho, então são iguais se aij = bij para todo i = 1, . . . , m e j = 1, . . . , n.
  • 9.
    Notação Mm×n(R) = {matrizesm × n com entradas reais} Mn(R) = {matrizes quadradas de ordem n} Matriz identidade de ordem n: In =      1 0 0 · · · 0 0 1 0 · · · 0 . . . . . . . . . ... . . . 0 0 0 · · · 1      Matriz nula de tamanho m × n: 0m×n =    0 0 0 · · · 0 . . . . . . . . . ... . . . 0 0 0 · · · 0   
  • 10.
    Operações matriciais: SejamA = [aij ] e B = [bij ] matrizes do mesmo tamanho A soma A + B é a matriz obtida somando as entradas correspondentes de A e B: A + B = [aij + bij ]
  • 11.
    Operações matriciais: SejamA = [aij ] e B = [bij ] matrizes do mesmo tamanho A soma A + B é a matriz obtida somando as entradas correspondentes de A e B: A + B = [aij + bij ] A diferença A − B é a matriz obtida subtraindo as entradas de B das entradas correspondentes de A: A − B = [aij − bij ]
  • 12.
    Operações matriciais: SejamA = [aij ] e B = [bij ] matrizes do mesmo tamanho A soma A + B é a matriz obtida somando as entradas correspondentes de A e B: A + B = [aij + bij ] A diferença A − B é a matriz obtida subtraindo as entradas de B das entradas correspondentes de A: A − B = [aij − bij ] Se c é um escalar qualquer, a multiplicação por um escalar cA é a matriz obtida pela multiplicação de cada entrada de A por c: cA = [caij ]
  • 13.
    Exemplos: Dadas A= � 2 3 4 1 3 1 � e B = � 0 2 7 −1 3 −5 � , determine A + B, (−1)A, B + 2A.
  • 15.
    Sejam A =[aij ]m×p e B = [bij ]p×n, o produto AB é a matriz de tamanho m × n cuja entrada ij é a soma dos produtos dos elementos da i-ésima linha de A pelos elementos correspondentes da j-ésima coluna de B: (AB)ij = ai1b1j + ai2b2j + · · · + aipbpj
  • 16.
    Sejam A =[aij ]m×p e B = [bij ]p×n, o produto AB é a matriz de tamanho m × n cuja entrada ij é a soma dos produtos dos elementos da i-ésima linha de A pelos elementos correspondentes da j-ésima coluna de B: (AB)ij = ai1b1j + ai2b2j + · · · + aipbpj AB =      a11 a12 · · · a1p a21 a22 · · · a2p . . . . . . ... . . . am1 am2 · · · amp      m×p ·      b11 b12 · · · b1n b21 b22 · · · b2n . . . . . . ... . . . bp1 bp2 · · · bpn      p×n
  • 17.
    Exemplos: Dadas A= � 1 2 −3 3 4 0 � e B =   −2 1 0 0 3 −1 5 −4 0  , determine AB.
  • 19.
    Seja A =[aij ], definimos a sua transposta como sendo a matriz AT = [bij ], onde bij = aji .
  • 20.
    Seja A =[aij ], definimos a sua transposta como sendo a matriz AT = [bij ], onde bij = aji . Se A = [aij ] é uma matriz quadrada, definimos o traço de A como sendo a soma dos entradas na diagonal principal de A: tr(A) = a11 + a22 + · · · + ann
  • 21.
    Exemplos: Dadas A= � −2 1 0 4 0 π � e B =   1 2 3 4 5 6 7 8 9  , determine AT , BT e tr(B).
  • 22.
    Propriedades da aritméticamatricial A + B = B + A A + (B + C) = (A + B) + C A(BC) = (AB)C A(B + C) = AB + AC a(A + B) = aA + aB (AT )T = A (A + B)T = AT + BT (AB)T = BT AT
  • 24.
    Inversa de umamatriz Seja A uma matriz quadrada de ordem n, dizemos que A é invertı́vel se existe uma matriz B também de ordem n tal que AB = BA = In.
  • 25.
    Inversa de umamatriz Seja A uma matriz quadrada de ordem n, dizemos que A é invertı́vel se existe uma matriz B também de ordem n tal que AB = BA = In. Uma tal matriz B, quando existe, é chamada de matriz inversa de A Se não existe uma tal B, A é dita não invertı́vel Dizemos que A e B são inversas entre si
  • 26.
    A matriz A= � a b c d � é invertı́vel se e somente se ad −bc �= 0. Neste caso, A−1 = 1 ad − bc � d −b −c a �
  • 27.
    Exemplos: Determine, quandopossı́vel, a inversa das matrizes A = � 1 1 4 2 � e B = � −1 2 3 −6 � .
  • 28.
    Propriedades: Se Ae B são matrizes invertı́veis do mesmo tamanho, então AB é invertı́vel e (AB)−1 = B−1A−1 A−1 é invertı́vel e (A−1)−1 = A AT é invertı́vel e (AT )−1 = (A−1)T se n é um número natural, então An = A · A · · · A é invertı́vel e (An)−1 = (A−1)n se k é um número real não nulo, então kA é invertı́vel e (kA)−1 = 1 k A−1
  • 29.
    Algoritmo da inversão Sea matriz quadrada A é invertı́vel, construimos a matriz [A| I ] e através de operações elementares a transformamos numa matriz da forma [ I |B]. Então A−1 = B.
  • 30.
    Algoritmo da inversão Sea matriz quadrada A é invertı́vel, construimos a matriz [A| I ] e através de operações elementares a transformamos numa matriz da forma [ I |B]. Então A−1 = B. Operações elementares com as linhas de uma matriz Multiplicar uma linha por uma constante não nula Trocar duas linhas entre si Somar uma constante vezes uma linha a uma outra linha
  • 31.
    Exemplos: Determine amatriz inversa de A =   1 1 0 0 2 1 1 0 1  .
  • 34.
    Uma matriz quadradaA é invertı́vel se, e somente se, det(A) �= 0.