Noção Intuitiva
de Limite
 O que acontece com um círculo de raio R
quando efetuamos divisões sucessivas de
R por 2?
 Tendo um polígono regular inscrito em
uma circunferência o que acontecerá com
sua área se o número de lados for sendo
aumentado gradativamente?
Noção Intuitiva
Sucessões
numéricas
Dizemos
que:
1, 2, 3, 4, 5, ....
Os termos tornam-se cada vez
maiores, sem atingir um limite x → + ∞
Os números aproximam-se
cada vez mais de 1, sem
nunca atingir esse valor
x → 1
1, 0, -1, -2, -3, ...
Os termos tornam-se cada vez
menor, sem atingir um limite x → - ∞
Os termos oscilam sem tender
a um limite
,.....
6
5
,
5
4
,
4
3
,
3
2
,
2
1
,...7,
7
6
,5,
4
5
,3,
2
3
,1
Limites
Seja y = f(x) = 2x + 1
Aproximação à direita Aproximação à esquerda
x y
1,5 4
1,3 3,6
1,1 3,2
1,05 3,1
1,02 3,04
1,01 3,02
x y
0,5 2
0,7 2,4
0,9 2,8
0,95 2,9
0,98 2,96
0,99 2,98
0,4 0,6 0,8 1,0 1,2 1,4 1,6
2,0
2,5
3,0
3,5
4,0
y
x
Limites
Nota-se que quando x tende para 1, pelos
dois lados, ao mesmo tempo, y tende para 3,
ou seja, (x 1) implica em (y 3). Assim,
diz-se que:
3)12(lim)(lim
11
=+=
→→
xxf
xx
Neste caso o limite é igual ao valor da função.
f(x) = f(1) = 3
1
lim
→x
Limites
x f(x) = x + 3
2 5
1,5 4,5
1,25 4,25
1,1 4,1
1,01 4,01
1,001 4,001
1,0001 4,0001
4)(lim
1
=
−→
xf
x
4)(lim
1
=
+→
xf
x
Estudemos o comportamento da função f(x) quando x estiver
próximo de 1, mas não for igual a 1.
x f(x) = x + 3
0 3
0,25 3,25
0,75 3,75
0,9 3,9
0,99 3,99
0,999 3,999
Dada a função f: IR → IR, definida por f(x) = x + 3.
4
1 x
y
Pela esquerda
Pela direita
Definição de Limites
 Seja f(x) definida em um intervalo aberto
em torno de “a” (um número real), exceto
talvez em a.
c a d
 Dizemos que f(x) tem limite L quando x
tende a “a”.
Seja f(x) uma função definida em um intervalo aberto em
torno de x0, exceto, possivelmente em x0.
Se f(x) fica arbitrariamente próxima de L para todos os
valores de x suficientemente próximos de x0, então
dizemos que a função f tem limite L quando x tende para
x0 e escrevemos:
Definição informal de limite
0x x
lim f(x) L
→
=
x0
 Quando faz-se x tender para a, por valores menores que a,
está-se calculando o limite lateral esquerdo. x a -
 Quando faz-se x tender para a, por valores maiores que a,
está-se calculando o limite lateral direito. x a +
 Para o limite existir, os limites laterais devem ser iguais:
[f(x)] = [f(x)] +
→ax
lim−
→ax
lim
Limites Laterais
)(lim
1
xf
x→
Determinar, graficamente,
Dada a função f: IR → IR, definida por



>+
≤+
=
1,3
1,1
)(
xparax
xparax
xf
4)(lim
1
=+
→
xf
x
2)(lim
1
=−
→
xf
x
1
Não existe limite de f(x), quando x tende para 1
2
4
“O limite da função f(x) = x2
quando x tende a 2 é 4”.
Noção Intuitiva de Limite
→
∴ 2
x 2
lim(x ) = 4
Limites Intuitivos
≠
=
0)(lim)(
0)(lim)(
)(lim)(
)(lim)(
0
0
=
=
+∞=
−∞=
+∞→
−∞→
→
→
+
−
xfd
xfc
xfb
xfa
x
x
x
x
)(b
←
)(a
→
)(d
→
)(c
←
<
1)(lim)(
0)(lim)(
1)(lim)(
0)(lim)(
0
0
=
=
=
=
+∞→
−∞→
→
→
+
−
xfd
xfc
xfb
xfa
x
x
x
x
)(b
←
)(a
→ )(d
→
)(c
←
>
]1,1[)(lim)(
0)(lim)(
]1,1[)(lim)(
0)(lim)(
0
0
−=
=
−=
=
+∞→
−∞→
→
→
+
−
entrexfd
xfc
entrexfb
xfa
x
x
x
x
)(b
←
)(a
→
)(d
→
)(c
←
)(lim
0)(lim
2)(lim
3
3
3
xf
xf
xf
x
x
x
→
−→
−→
∴




=
=
+
−
existenão
diferentessão
0)(lim
0)(lim
0)(lim
3
3
3
=∴




=
=
→
→
→
+
−
xf
xf
xf
x
x
x
iguaissão
Limites laterais
+∞=
=
∞+→
→ +
)(lim)(
0)(lim)(
1
xfb
xfa
x
x
)(b
→
)(a
←
Limites infinitos
2 2
x 1 x 1
2
x 1
2 2
lim e lim
(x 1) (x 1)
2
lim
(x 1)
− +→ →
→
= +∞ = +∞
− −
∴ = +∞
−
2
2
y
(x 1)
=
−
y = tg x
Limites infinitos
xtg
xtgextg
x
xx
2
22
lim
limlim
π
ππ
→
→→
∴
−∞=+∞= +−
existenão
x x
lim f(x) 1 e lim f(x) 1
→ −∞ → +∞
= =
Limites infinitos
Limites nos extremos do domínio da
Função Exponencial
Limites nos extremos do domínio da
Função Logarítmica
Limite trigonométrico fundamental
x 0
senx
lim 1
x→
=
EXERCÍCIO 1
y
x1 5
2
1
O que ocorre com f(x) próximo de x = 1?
Lim f(x) não existe
x 1
O que ocorre com f(x) quando x = 1?
y
x1 5
3
2
EXERCÍCIO 2
Lim f(x) = L = 2
x 1
Lim f(x) sim existe, mas não coincide com f(1)
x 1
x1
y
5
2
1
EXERCÍCIO 3
O que ocorre com f(x) quando x = 1?
Dado o gráfico de f(x):
33
55
-3-3
33
-2-2
xx
ff(x)(x)
3.53.5
f(x)d)f(x)c)
f(x)b)f(x)a)
limlim
limlim
2x0x
3x3x
−→→
→−→
Encontre:
EXERCÍCIO 4
Limite Exponencial Fundamental
x
x
1
lim 1 e
x→±∞
 
+ = ÷ 
Uma função f é contínua em um número x0 se
)()(lim 0
0
xfxf
xx
=
→
Nenhuma destas funções é contínua em x = xo.
Continuidade de uma função em um número
a) b) c)
Uma função f é contínua em um intervalo aberto
se for contínua em todos os pontos desse intervalo.
] [ba,
Continuidade de uma função em um intervalo aberto
Propriedades dos limites
I. Limite da soma é igual à soma dos limites.
II. Limite do produto é igual ao produto dos
limites.
III.Limite do quociente é igual ao quociente dos
limites.
Exemplos:
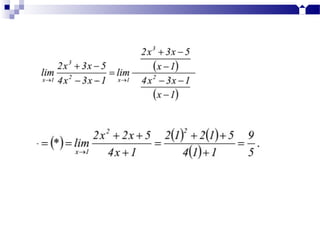
Vamos resolver este limite usando o dispositivo
prático para dividir polinômios de Briot-Ruffini.
Precisaremos antes do...
Teorema de D’Alembert: Um polinômio f(x) é
divisível por (x – a), a , se, e somente se, a é∈ ℜ
uma raiz de f(x), isto é, f(a) = 0.
Como o ponto x=1 anula os polinômios do numerador
e denominador, então ambos são divisíveis por (x – 1).
Assim,
Algumas fórmulas que auxiliam as simplificações nos
cálculos dos limites.
Produtos notáveis:
Fatorações:
onde x' e x'' são as raízes obtidas pela
Conjugado de radicais:

Limites - Matemática