Cálculo Diferencial e Integral
II
Disciplina: Cálculo Integral
Prof. Dr. Osmar Pedrochi Junior
Suponha que 𝑓(𝑥) seja definido quando está próximo
ao número 𝑎. (Isso significa que 𝑓 é definido em
algum intervalo aberto que contenha 𝑎 , exceto
possivelmente no próprio 𝑎.) Então escrevemos
𝐥𝐢𝐦
𝒙→𝒂
𝒇(𝒙) = 𝑳
e dizemos “o limite de 𝑓(𝑥), quando 𝑥 tende a 𝑎, é
igual a 𝐿” se pudermos tornar os valores de 𝑓(𝑥)
arbitrariamente próximos de 𝐿 (tão próximos de 𝐿
quanto quisermos), ao tomar 𝑥 suficientemente
próximo de 𝑎 (por ambos os lados de 𝑎), mas não
necessariamente igual a 𝑎.
2
Noção intuitiva de limites
Vamos analisar o comportamento da função
𝑓 𝑥 = 𝑥2
− 𝑥 + 2
para valores de 𝑥 próximos de 2.
3
𝒙 𝒇(𝒙)
1 2
1,5 2,750000
1,8 3,440000
1,9 3,710000
1,95 3,85250
1,99 3,970100
1,999 3,997001
𝒙 𝒇(𝒙)
3 8
2,5 5,750000
2,2 4,640000
2,1 4,310000
2,05 4,152500
2,005 4,015025
2,001 4,003001
4
𝑓 𝑥 = 𝑥2 − 𝑥 + 2
lim
𝑥→2−
𝑥2 − 𝑥 + 2 = 4 lim
𝑥→2+
𝑥2 − 𝑥 + 2 = 4
lim
𝑥→2
𝑥2 − 𝑥 + 2 = 4
5
Exemplo
Sejam a função 𝑓: ℝ → ℝ dada por 𝑓(𝑥) = 3𝑥 − 1 e 𝑎 = 2.
 Quando 𝑥 se aproxima de a = 2, então 3𝑥 se aproxima
de 6 e 3𝑥 − 1 se aproxima de 5.
 Consequentemente,
lim
𝑥→2
𝑓 𝑥 = lim
𝑥→2
3𝑥 − 1 = 5.
6
Limite lateral à esquerda
Escrevemos
lim
𝑥→𝑎−
𝑓(𝑥) = 𝐿
e dizemos que o limite à esquerda de 𝒇(𝒙) quando 𝒙 tende a 𝒂 é igual a 𝐿 se
pudermos tornar os valores de 𝑓(𝑥) arbitrariamente próximos de 𝐿, para 𝑥
suficientemente próximo de 𝑎 e 𝑥 menor que 𝑎.
Indica o sentido, isto é,
aproximar pela esquerda do
número 𝑎
7
Limite lateral à direita
Escrevemos
lim
𝑥→𝑎+
𝑓(𝑥) = 𝐿
e dizemos que o limite à direita de 𝒇(𝒙) quando 𝒙 tende a 𝒂 é igual a 𝐿 se
pudermos tornar os valores de 𝑓(𝑥) arbitrariamente próximos de 𝐿, para
𝑥 suficientemente próximo de 𝑎 e 𝑥 maior que 𝑎.
Indica o sentido, isto é,
aproximar pela direita do
número 𝑎
8
O lim
𝑥→𝑎
𝑓(𝑥)existe se e somente se os limites laterais são
iguais, isto é,
lim
𝑥→𝑎−
𝑓(𝑥) = lim
𝑥→𝑎+
𝑓(𝑥) = 𝐿
9
Limites laterais e bilaterais
Como podemos
interpretar os limites
laterais a partir de um
estudo gráfico?
Fonte: https://image.freepik.com/vetores-gratis/menina-feliz-crianca-fofa-com-
balao-e-livro_97632-1272.jpg
10
Função 𝑓 e o estudo dos limites laterais
(BARBA, 2020, p. 12)
O limite
bilateral não
existe porque os
limites laterais
diferem entre si.
11
(Stewart, 2016) Para a função 𝑓, cujo gráfico é dado, diga o
valor de cada quantidade indicada, se ela existir. Se não existir,
explique o por quê.
• lim
𝑥→1
𝑓 𝑥 =
• lim
𝑥→3−
𝑓 𝑥 =
• lim
𝑥→3+
𝑓 𝑥 =
• lim
𝑥→3
𝑓 𝑥 =
• 𝑓 3 = https://bit.ly/2xEzV0z
(acesso 09 jul. 2019)
12
 lim
𝑥→1
𝑓 𝑥 =
 lim
𝑥→3−
𝑓 𝑥 =
 lim
𝑥→3+
𝑓 𝑥 =
 lim
𝑥→3
𝑓 𝑥 =
 𝑓 3 =
13
Propriedades de Limites
 lim
𝑥→𝑎
[𝑓 𝑥 ± 𝑔 𝑥 ] = lim
𝑥→𝑎
𝑓(𝑥) ± lim
𝑥→𝑎
𝑔(𝑥)
 lim
𝑥→𝑎
[𝑐𝑓 𝑥 ] = 𝑐 ⋅ lim
𝑥→𝑎
𝑓(𝑥)
 lim
𝑥→𝑎
[𝑓 𝑥 ⋅ 𝑔 𝑥 ] = lim
𝑥→𝑎
𝑓(𝑥) ⋅ lim
𝑥→𝑎
𝑔 𝑥
Seja c uma constante
e suponha que
existam os limites
lim
𝑥→𝑎
𝑓(𝑥) e
lim
𝑥→𝑎
𝑔(𝑥).
14
 lim
𝑥→𝑎
𝑓 𝑥
𝑔 𝑥
=
lim
𝑥→𝑎
𝑓 𝑥
lim
𝑥→𝑎
𝑔 𝑥
, se lim
𝑥→𝑎
𝑔(𝑥) ≠ 0
 lim
𝑥→𝑎
𝑓 𝑥 𝑛
= lim
𝑥→𝑎
𝑓 𝑥
𝑛
onde 𝑛 é um inteiro positivo
 lim
𝑥→𝑎
𝑐 = 𝑐 e lim
𝑥→𝑎
𝑥 = 𝑎
 lim
𝑥→𝑎
𝑥𝑛
= 𝑎𝑛
onde 𝑛 é um inteiro positivo
15
 lim
𝑥→𝑎
𝑛
𝑥 = 𝑛
𝑎 onde 𝑛 é um inteiro positivo
(Se n for par, supomos que 𝑎 > 0)
 lim
𝑥→𝑎
𝑛
𝑓(𝑥) = 𝑛
lim
𝑥→𝑎
𝑓 𝑥 onde 𝑛 é um inteiro
positivo. (Se n for par, supomos que lim
𝑥→𝑎
𝑓 𝑥 > 0)
16
Exemplo
Encontrar lim
𝑥→2
(𝑥2 + 3𝑥 − 5)
lim
𝑥→2
𝑥2 + 3𝑥 − 5 = lim
𝑥→2
(𝑥2) + lim
𝑥→2
3𝑥 − lim
𝑥→2
5
= lim
𝑥→2
𝑥
2
+ 3lim
𝑥→2
𝑥 − lim
𝑥→2
5
= 22 + 3 ∙ 2 − 5
= 𝟓
17
Exemplo
Encontrar lim
𝑥→1
𝑥2−1
𝑥−1
lim
𝑥→1
𝑥2 − 1
𝑥 − 1
= lim
𝑥→1
(𝑥 − 1)(𝑥 + 1)
(𝑥 − 1)
= lim
𝑥→1
(𝑥 + 1)
= 𝟐
18
Função polinomial e limite
Para uma função polinomial 𝑃(𝑥) qualquer, e para uma
constante real 𝑎 qualquer, temos que
lim
𝑥→𝑎
𝑃(𝑥) = 𝑃(𝑎)
A partir desse resultado, é possível investigar os limites
associados, por exemplo, à soma, diferença, produto e
quociente de funções polinomiais.
19
𝐥𝐢𝐦
𝒙→𝟐
𝒙𝟑
− 𝟑𝒙𝟐
+ 𝟏
𝟐𝒙 − 𝟏
=
lim
𝑥→2
(𝑥3
−3𝑥2
+ 1)
lim
𝑥→2
(2𝑥 − 1)
=
lim
𝑥→2
𝑥3
+ lim
𝑥→2
(−3𝑥2
) + lim
𝑥→2
1
lim
𝑥→2
2𝑥 + lim
𝑥→2
(−1)
=
lim
𝑥→2
𝑥3
+ (−3) lim
𝑥→2
𝑥2
+ lim
𝑥→2
1
lim
𝑥→2
2𝑥 + lim
𝑥→2
(−1)
=
23
+ −3 ⋅ 22
+ 1
2 ⋅ 2 + (−1)
=
8 − 12 + 1
3
= −1
20
lim
𝑥→𝑎
𝑃(𝑥) = 𝑃 𝑎
𝐥𝐢𝐦
𝒙→𝟐
𝒙𝟑
− 𝟑𝒙𝟐
+ 𝟏
𝟐𝒙 − 𝟏
=
23
− 3 ⋅ 22
+1
2 ⋅ 2 − 1
=
23
− 3 ⋅ 22
+ 1
2 ⋅ 2 − 1
=
8 − 12 + 1
3
= −1
21
Atenção!
Em alguns casos quando substituímos o valor
de 𝑎 na função podemos encontrar resultados
como:
• Divisão por zero: isso significa que a medida
que se aproxima de 𝑎 a função tende ao
infinito ou a menos infinito.
• Indeterminações do tipo
𝟎
𝟎
e
∞
∞
: utilizamos
métodos específicos para resolver esse tipo
de indeterminação.
22
Por exemplo:
lim
𝑥→3
(𝑥2
+ 3𝑥) = 9 + 9 = 18
23
O cálculo de limites
Exemplo: determine lim
𝑥→0
1
𝑥
, com 𝑥 ≠ 0.
𝒙 → 𝟎+ 𝒚 =
𝟏
𝒙
0 Não se
define
0,1 10
0,01 100
0,001 1 000
0,0001 10 000
𝒙 → 𝟎− 𝒚 =
𝟏
𝒙
0 Não se
define
−0,1 −10
−0,01 −100
−0,001 −1 000
−0,0001 −10 000
24
Observamos que:
Quando 𝑥 se aproxima de zero, pela direita, 𝑦 cresce
indefinidamente, isto é, 𝑦 tende a mais infinito:
lim
𝑥→0+
1
𝑥
= ∞
Quando 𝑥 se aproxima de zero, pela esquerda, 𝑦 decresce
indefinidamente, isto é, 𝑦 tende a menos infinito:
lim
𝑥→0−
1
𝑥
= −∞
25
O cálculo de limites
26
Limites infinitos
Seja 𝑓(𝑥) uma função definida em todo número de um
intervalo aberto 𝐼 contendo 𝑎, exceto possivelmente no
próprio 𝑎. Quando 𝑥 tende a 𝑎, 𝑓(𝑥) cresce (ou decresce)
indefinidamente escrevemos:
lim
𝑥→𝑎
𝑓 𝑥 = ∞ lim
𝑥→𝑎
𝑓 𝑥 = −∞
27
Exemplo: Encontrar lim
𝑥→2
−1
𝑥−2 2
𝒙 𝒚
4 −0,25
3 −1
2,5 −4
2,1 −100
2,01 −10.000
2,001 −1.000.000
⋯ ⋯
𝒙 𝒚
0 −0,25
1 −1
1,5 −4
1,9 −100
1,99 −10.000
1,999 −1.000.000
⋯ ⋯
28
𝑥
𝑦
2
lim
𝑥→2
−1
𝑥 − 2 2
= −∞
29
Limites infinitos
• lim
𝑥→𝑎
𝑓(𝑥) = ∞
• lim
𝑥→𝑎
𝑓(𝑥) = −∞
• lim
𝑥→𝑎−
𝑓(𝑥) = ∞
• lim
𝑥→𝑎−
𝑓(𝑥) = −∞
• lim
𝑥→𝑎+
𝑓(𝑥) = ∞
• lim
𝑥→𝑎+
𝑓(𝑥) = −∞
A reta 𝑥 = 𝑎 é chamada assíntota vertical
da curva 𝑦 = 𝑓(𝑥) se pelo menos uma das
seguintes condições estiver satisfeita.
30
Continuidade
Comportamento gráfico de funções
contínuas e descontínuas
Barba (2020, p. 42)
Continuidade
Uma função 𝑓 é contínua em um número 𝒂 se:
1) 𝑓(𝑎) está definida (isto é, 𝑎 está no domínio de 𝑓)
2) lim
𝑥→𝑎
𝑓(𝑥) existe
3) lim
𝑥→𝑎
𝑓(𝑥) = 𝑓(𝑎)
https://bit.ly/2Y0au8s
(acesso 09 jul. 2019)
Exemplo
Dada a função 𝑓 𝑥 =
2𝑥 + 3 𝑠𝑒 𝑥 ≠ 1
2 𝑠𝑒 𝑥 = 1
investigue se ela é
contínua em 𝑥 = 1.
𝑓 1 = 2.
lim
𝑥→1
𝑓(𝑥) = 5
lim
𝑥→1
𝑓 𝑥 ≠ 𝑓(1)
𝑓 𝑥 é descontínua
em 𝑥 = 1
(Adaptado - LEITHOLD, 1994, p. 100)
Derivada de uma função
A derivada de uma função 𝒇 em relação a 𝒙, denotada por
𝑓′(𝑥) é
𝑓′
𝑥 = lim
ℎ→0
𝑓 𝑥 + ℎ − 𝑓(𝑥)
ℎ
Se o limite existir.
35
Exemplo
A derivada da função 𝑓 𝑥 = 2𝑥 é dada por:
𝑓′
𝑥 = lim
ℎ→0
𝑓 𝑥 + ℎ − 𝑓(𝑥)
ℎ
= lim
ℎ→0
2(𝑥 + ℎ) − 2𝑥
ℎ
= lim
ℎ→0
2𝑥 + 2ℎ − 2𝑥
ℎ
= lim
ℎ→0
2ℎ
ℎ
= lim
ℎ→0
2 = 2
Logo a derivada de
𝑓 𝑥 = 2𝑥 é dada
por 𝑓′
𝑥 = 2
36
Notação
Se usarmos a notação tradicional 𝑦 = 𝑓 𝑥 para indicar
que a variável independente é 𝑥 e a variável dependente é
𝑦, então algumas notações alternativas para a derivada são
as seguintes:
𝑓′
𝑥 = 𝑦′
=
𝑑𝑦
𝑑𝑥
=
𝑑𝑓
𝑑𝑥
=
𝑑
𝑑𝑥
𝑓(𝑥)
Para indicar o valor da derivada em um número
específico 𝑎 denotamos 𝑓′ 𝑎 =
𝑑𝑦
𝑑𝑥 𝑥=𝑎
37
𝑑
𝑑𝑥
𝑐 = 0
Derivada de uma função constante
𝑑
𝑑𝑥
𝑥𝑛
= 𝑛𝑥𝑛−1
Derivada de uma função potência
38
𝑑
𝑑𝑥
𝑐𝑓 𝑥 = 𝑐
𝑑
𝑑𝑥
𝑓 𝑥
A Regra da Multiplicação por Constante
𝑑
𝑑𝑥
𝑓 𝑥 ± 𝑔 𝑥 =
𝑑
𝑑𝑥
𝑓(𝑥) ±
𝑑
𝑑𝑥
𝑔(𝑥)
Derivada da soma ou diferença de duas
funções deriváveis.
39
Exemplos
Determine a derivada das funções:
𝒇 𝒙 = 𝒙𝟑
− 𝟐𝒙 + 𝟑
𝑓′ 𝑥 =
𝑑
𝑑𝑥
𝑥3 − 2𝑥 + 3
=
𝑑
𝑑𝑥
𝑥𝟑
− 2
𝑑
𝑑𝑥
𝑥 +
𝑑
𝑑𝑥
3
= 𝟑𝑥𝟑−𝟏 − 2 ⋅ 𝟏𝑥𝟏−𝟏 + 0
= 3𝑥2 − 2
40
𝐟 𝒙 = 𝟖𝒙𝟑
+ 𝟏𝟐𝒙𝟐
− 𝟒𝒙 + 𝟑𝟐
𝑓′
𝑥 = 3 ∙ 8𝑥3−1
+ 2 ∙ 12𝑥2−1
− 4
𝒇′
𝒙 = 𝟐𝟒𝒙𝟐
+ 𝟐𝟒𝒙 − 𝟒
41
Regra do produto
A derivada de um produto de duas funções é a derivada
da primeira função vezes a segunda função mais a
primeira função vezes a derivada da segunda função.
Seja duas funções 𝑓 e 𝑔 deriváveis, então
𝑑
𝑑𝑥
𝑓 𝑥 𝑔 𝑥 =
𝑑
𝑑𝑥
𝑓 𝑥 𝑔 𝑥 + 𝑓 𝑥
𝑑
𝑑𝑥
[𝑔 𝑥 ]
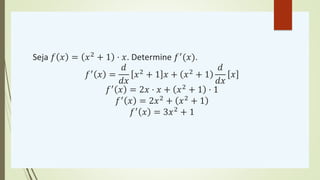
Seja 𝑓 𝑥 = 𝑥2 + 1 ⋅ 𝑥. Determine 𝑓′(𝑥).
𝑓′
𝑥 =
𝑑
𝑑𝑥
𝑥2
+ 1 𝑥 + 𝑥2
+ 1
𝑑
𝑑𝑥
𝑥
𝑓′ 𝑥 = 2𝑥 ⋅ 𝑥 + 𝑥2 + 1 ⋅ 1
𝑓′ 𝑥 = 2𝑥2 + 𝑥2 + 1
𝑓′ 𝑥 = 3𝑥2 + 1
Regra do quociente
A derivada de um quociente é o denominador vezes a derivada
do numerador menos o numerador vezes a derivada do
denominador, todos divididos pelo quadrado do denominador.
Seja duas funções 𝑓 e 𝑔 deriváveis, então
𝑑
𝑑𝑥
𝑓 𝑥
𝑔 𝑥
=
𝑑
𝑑𝑥
𝑓 𝑥 𝑔 𝑥 − 𝑓 𝑥
𝑑
𝑑𝑥
𝑔 𝑥
[𝑔(𝑥)]2
Seja 𝑓 𝑥 =
𝑥2+1
𝑥
. Determine 𝑓′
(𝑥).
𝑓′ 𝑥 =
𝑑
𝑑𝑥
𝑥2 + 1 𝑥 − 𝑥2 + 1
𝑑
𝑑𝑥
𝑥
𝑥2
𝑓′ 𝑥 =
2𝑥 ⋅ 𝑥 − 𝑥2 + 1 ⋅ 1
𝑥2
𝑓′
𝑥 =
2𝑥2 − 𝑥2 + 1
𝑥2
𝑓′ 𝑥 =
𝑥2 − 1
𝑥2
= 1 −
1
𝑥2
Regra da cadeia
Na notação de Leibniz, se 𝑦 = 𝑓(𝑢) e 𝑢 = 𝑔 𝑥 temos

𝑑𝑦
𝑑𝑥
=
𝑑𝑦
𝑑𝑢
𝑑𝑢
𝑑𝑥
Se 𝑔 for derivável em 𝑥 e 𝑓 for derivável em𝑔(𝑥), então a função
composta 𝐹 = 𝑓 ∘ 𝑔 definida por 𝐹 𝑥 = 𝑓(𝑔 𝑥 ) é derivável em 𝑥 e
𝐹′ é dada pelo produto
𝐹′ 𝑥 = 𝑓′ 𝑔 𝑥 ⋅ 𝑔′ 𝑥
Exemplo
Seja 𝐹 𝑥 = 𝑥2 + 1. Determine 𝐹′(𝑥).
A função 𝐹(𝑥) pode ser expressa como 𝐹 𝑥 = 𝑓 ∘ 𝑔 𝑥
= 𝑓(𝑔 𝑥 )
Em que 𝑦 = 𝑢 = 𝑢
1
2 e 𝑢 = 𝑥2 + 1
𝐹′ 𝑥 =
𝑑𝑦
𝑑𝑢
𝑑𝑢
𝑑𝑥
=
1
2 𝑥2 + 1
⋅ 2𝑥 =
𝑥
𝑥2 + 1
Podemos reescrever 𝐹(𝑥) como 𝐹 𝑥 = 𝑥2 + 1
1
2. Assim temos:
Derivada de função Exponencial
A derivada da função 𝑓 𝑥 = 𝑎𝑥
é dada por :
𝑑
𝑑𝑥
𝑎𝑥
= 𝑎𝑥
ln 𝑎
Seja a função 𝑓 𝑥 = 𝑒𝑥 . A sua derivada é dada por
𝑑
𝑑𝑥
𝑒𝑥 = 𝑒𝑥.
Exemplo
Seja a função 𝑓 𝑥 = 𝑒2𝑥
. Determine 𝑓′(𝑥).
Seja 𝑦 = 𝑒𝑢
e 𝑢 = 2𝑥
𝑓′
𝑥 =
𝑑𝑦
𝑑𝑢
𝑑𝑢
𝑑𝑥
= 𝑒2𝑥
⋅ 2 = 2𝑒2𝑥
Derivada de função Logarítmica
A derivada do logaritmo geral é dada por:
𝑑
𝑑𝑥
log𝑎 𝑥 =
1
𝑥 ln 𝑎
A função 𝑓 𝑥 = ln 𝑥 é diferenciável para todo 𝑥 > 0.
Assim temos que:
𝑑
𝑑𝑥
ln 𝑥 =
1
𝑥
, x > 0.
Exemplo
Determine a derivada da função 𝑓 𝑥 = ln(𝑥3
+ 2𝑥) .
Seja 𝑦 = ln 𝑢 e 𝑢 = 𝑥3
+ 2𝑥
𝑓′
𝑥 =
𝑑𝑦
𝑑𝑢
𝑑𝑢
𝑑𝑥
→ 𝑓′
𝑥 =
1
𝑢
𝑑𝑢
Exemplo
𝑓′
𝑥 =
𝑑𝑦
𝑑𝑢
𝑑𝑢
𝑑𝑥
→ 𝑓′
𝑥 =
1
𝑢
𝑑𝑢
=
1
𝑥3 + 2𝑥
⋅ 3𝑥2
+ 2 =
3𝑥2
+ 2
𝑥3 + 2𝑥
𝑦 = ln 𝑢 e 𝑢 = 𝑥3 + 2𝑥
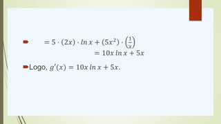
Calcule a derivada da função 𝑔 𝑥 = 5𝑥2
𝑙𝑛 𝑥:
Pelas regras do produto e multiplicação por escalar e sabendo que
𝑑
𝑑𝑥
𝑥2 = 2𝑥 e
𝑑
𝑑𝑥
𝑙𝑛 𝑥 =
1
𝑥
, temos que:
 𝑔′(𝑥) =
𝑑
𝑑𝑥
5𝑥2 𝑙𝑛 𝑥 + 5𝑥2 𝑑
𝑑𝑥
𝑙𝑛 𝑥
= 5
𝑑
𝑑𝑥
𝑥2 𝑙𝑛 𝑥 + 5𝑥2
𝑑
𝑑𝑥
𝑙𝑛 𝑥
= 5 ⋅ 2𝑥 ⋅ 𝑙𝑛 𝑥 + 5𝑥2 ⋅
1
𝑥
𝑑
𝑑𝑥
ln 𝑥 =
1
𝑥
 = 5 ⋅ 2𝑥 ⋅ 𝑙𝑛 𝑥 + 5𝑥2
⋅
1
𝑥
= 10𝑥 𝑙𝑛 𝑥 + 5𝑥
Logo, 𝑔′(𝑥) = 10𝑥 𝑙𝑛 𝑥 + 5𝑥.
Derivadas trigonométricas
Função Derivada
𝑓 𝑥 = 𝑠𝑒𝑛(𝑥) 𝑓′ 𝑥 = cos(𝑥)
𝑓 𝑥 = 𝑐𝑜𝑠(𝑥) 𝑓′ 𝑥 = −𝑠𝑒𝑛(𝑥)
𝑓 𝑥 = 𝑡𝑔(𝑥) 𝑓′ 𝑥 = sec2(𝑥)
𝑓 𝑥 = 𝑠𝑒𝑐(𝑥) 𝑓′
𝑥 = sec 𝑥 ⋅ 𝑡𝑔(𝑥)
𝑓 𝑥 = 𝑐𝑜𝑠𝑠𝑒𝑐(𝑥) 𝑓′ 𝑥 = cossec 𝑥 ⋅ 𝑐𝑜𝑡𝑔(𝑥)
𝑓 𝑥 = 𝑐𝑜𝑡𝑔(𝑥)
𝑓′ 𝑥 = −𝑐𝑜𝑠𝑠𝑒𝑐2(𝑥)
Calcule a derivada das funções que segue:
a) 𝑓 𝑥 =
3
𝑥 + 1
b) 𝑔 𝑥 = cos(𝑠𝑒𝑛 𝑥 )
𝑓 𝑥 =
3
𝑥 + 1
𝑓′
𝑥 =
1
3
𝑥 + 1 2
⋅ 1
𝑔 𝑥 = cos(𝑠𝑒𝑛 𝑥 )
𝑔′
𝑥 = −𝑠𝑒𝑛 𝑠𝑒𝑛 𝑥 ⋅ cos(𝑥)

Aula_02_Cálculo_Integral_Osmar.pptx

  • 1.
    Cálculo Diferencial eIntegral II Disciplina: Cálculo Integral Prof. Dr. Osmar Pedrochi Junior
  • 2.
    Suponha que 𝑓(𝑥)seja definido quando está próximo ao número 𝑎. (Isso significa que 𝑓 é definido em algum intervalo aberto que contenha 𝑎 , exceto possivelmente no próprio 𝑎.) Então escrevemos 𝐥𝐢𝐦 𝒙→𝒂 𝒇(𝒙) = 𝑳 e dizemos “o limite de 𝑓(𝑥), quando 𝑥 tende a 𝑎, é igual a 𝐿” se pudermos tornar os valores de 𝑓(𝑥) arbitrariamente próximos de 𝐿 (tão próximos de 𝐿 quanto quisermos), ao tomar 𝑥 suficientemente próximo de 𝑎 (por ambos os lados de 𝑎), mas não necessariamente igual a 𝑎. 2
  • 3.
    Noção intuitiva delimites Vamos analisar o comportamento da função 𝑓 𝑥 = 𝑥2 − 𝑥 + 2 para valores de 𝑥 próximos de 2. 3
  • 4.
    𝒙 𝒇(𝒙) 1 2 1,52,750000 1,8 3,440000 1,9 3,710000 1,95 3,85250 1,99 3,970100 1,999 3,997001 𝒙 𝒇(𝒙) 3 8 2,5 5,750000 2,2 4,640000 2,1 4,310000 2,05 4,152500 2,005 4,015025 2,001 4,003001 4 𝑓 𝑥 = 𝑥2 − 𝑥 + 2
  • 5.
    lim 𝑥→2− 𝑥2 − 𝑥+ 2 = 4 lim 𝑥→2+ 𝑥2 − 𝑥 + 2 = 4 lim 𝑥→2 𝑥2 − 𝑥 + 2 = 4 5
  • 6.
    Exemplo Sejam a função𝑓: ℝ → ℝ dada por 𝑓(𝑥) = 3𝑥 − 1 e 𝑎 = 2.  Quando 𝑥 se aproxima de a = 2, então 3𝑥 se aproxima de 6 e 3𝑥 − 1 se aproxima de 5.  Consequentemente, lim 𝑥→2 𝑓 𝑥 = lim 𝑥→2 3𝑥 − 1 = 5. 6
  • 7.
    Limite lateral àesquerda Escrevemos lim 𝑥→𝑎− 𝑓(𝑥) = 𝐿 e dizemos que o limite à esquerda de 𝒇(𝒙) quando 𝒙 tende a 𝒂 é igual a 𝐿 se pudermos tornar os valores de 𝑓(𝑥) arbitrariamente próximos de 𝐿, para 𝑥 suficientemente próximo de 𝑎 e 𝑥 menor que 𝑎. Indica o sentido, isto é, aproximar pela esquerda do número 𝑎 7
  • 8.
    Limite lateral àdireita Escrevemos lim 𝑥→𝑎+ 𝑓(𝑥) = 𝐿 e dizemos que o limite à direita de 𝒇(𝒙) quando 𝒙 tende a 𝒂 é igual a 𝐿 se pudermos tornar os valores de 𝑓(𝑥) arbitrariamente próximos de 𝐿, para 𝑥 suficientemente próximo de 𝑎 e 𝑥 maior que 𝑎. Indica o sentido, isto é, aproximar pela direita do número 𝑎 8
  • 9.
    O lim 𝑥→𝑎 𝑓(𝑥)existe see somente se os limites laterais são iguais, isto é, lim 𝑥→𝑎− 𝑓(𝑥) = lim 𝑥→𝑎+ 𝑓(𝑥) = 𝐿 9 Limites laterais e bilaterais
  • 10.
    Como podemos interpretar oslimites laterais a partir de um estudo gráfico? Fonte: https://image.freepik.com/vetores-gratis/menina-feliz-crianca-fofa-com- balao-e-livro_97632-1272.jpg 10
  • 11.
    Função 𝑓 eo estudo dos limites laterais (BARBA, 2020, p. 12) O limite bilateral não existe porque os limites laterais diferem entre si. 11
  • 12.
    (Stewart, 2016) Paraa função 𝑓, cujo gráfico é dado, diga o valor de cada quantidade indicada, se ela existir. Se não existir, explique o por quê. • lim 𝑥→1 𝑓 𝑥 = • lim 𝑥→3− 𝑓 𝑥 = • lim 𝑥→3+ 𝑓 𝑥 = • lim 𝑥→3 𝑓 𝑥 = • 𝑓 3 = https://bit.ly/2xEzV0z (acesso 09 jul. 2019) 12
  • 13.
     lim 𝑥→1 𝑓 𝑥=  lim 𝑥→3− 𝑓 𝑥 =  lim 𝑥→3+ 𝑓 𝑥 =  lim 𝑥→3 𝑓 𝑥 =  𝑓 3 = 13
  • 14.
    Propriedades de Limites lim 𝑥→𝑎 [𝑓 𝑥 ± 𝑔 𝑥 ] = lim 𝑥→𝑎 𝑓(𝑥) ± lim 𝑥→𝑎 𝑔(𝑥)  lim 𝑥→𝑎 [𝑐𝑓 𝑥 ] = 𝑐 ⋅ lim 𝑥→𝑎 𝑓(𝑥)  lim 𝑥→𝑎 [𝑓 𝑥 ⋅ 𝑔 𝑥 ] = lim 𝑥→𝑎 𝑓(𝑥) ⋅ lim 𝑥→𝑎 𝑔 𝑥 Seja c uma constante e suponha que existam os limites lim 𝑥→𝑎 𝑓(𝑥) e lim 𝑥→𝑎 𝑔(𝑥). 14
  • 15.
     lim 𝑥→𝑎 𝑓 𝑥 𝑔𝑥 = lim 𝑥→𝑎 𝑓 𝑥 lim 𝑥→𝑎 𝑔 𝑥 , se lim 𝑥→𝑎 𝑔(𝑥) ≠ 0  lim 𝑥→𝑎 𝑓 𝑥 𝑛 = lim 𝑥→𝑎 𝑓 𝑥 𝑛 onde 𝑛 é um inteiro positivo  lim 𝑥→𝑎 𝑐 = 𝑐 e lim 𝑥→𝑎 𝑥 = 𝑎  lim 𝑥→𝑎 𝑥𝑛 = 𝑎𝑛 onde 𝑛 é um inteiro positivo 15
  • 16.
     lim 𝑥→𝑎 𝑛 𝑥 =𝑛 𝑎 onde 𝑛 é um inteiro positivo (Se n for par, supomos que 𝑎 > 0)  lim 𝑥→𝑎 𝑛 𝑓(𝑥) = 𝑛 lim 𝑥→𝑎 𝑓 𝑥 onde 𝑛 é um inteiro positivo. (Se n for par, supomos que lim 𝑥→𝑎 𝑓 𝑥 > 0) 16
  • 17.
    Exemplo Encontrar lim 𝑥→2 (𝑥2 +3𝑥 − 5) lim 𝑥→2 𝑥2 + 3𝑥 − 5 = lim 𝑥→2 (𝑥2) + lim 𝑥→2 3𝑥 − lim 𝑥→2 5 = lim 𝑥→2 𝑥 2 + 3lim 𝑥→2 𝑥 − lim 𝑥→2 5 = 22 + 3 ∙ 2 − 5 = 𝟓 17
  • 18.
    Exemplo Encontrar lim 𝑥→1 𝑥2−1 𝑥−1 lim 𝑥→1 𝑥2 −1 𝑥 − 1 = lim 𝑥→1 (𝑥 − 1)(𝑥 + 1) (𝑥 − 1) = lim 𝑥→1 (𝑥 + 1) = 𝟐 18
  • 19.
    Função polinomial elimite Para uma função polinomial 𝑃(𝑥) qualquer, e para uma constante real 𝑎 qualquer, temos que lim 𝑥→𝑎 𝑃(𝑥) = 𝑃(𝑎) A partir desse resultado, é possível investigar os limites associados, por exemplo, à soma, diferença, produto e quociente de funções polinomiais. 19
  • 20.
    𝐥𝐢𝐦 𝒙→𝟐 𝒙𝟑 − 𝟑𝒙𝟐 + 𝟏 𝟐𝒙− 𝟏 = lim 𝑥→2 (𝑥3 −3𝑥2 + 1) lim 𝑥→2 (2𝑥 − 1) = lim 𝑥→2 𝑥3 + lim 𝑥→2 (−3𝑥2 ) + lim 𝑥→2 1 lim 𝑥→2 2𝑥 + lim 𝑥→2 (−1) = lim 𝑥→2 𝑥3 + (−3) lim 𝑥→2 𝑥2 + lim 𝑥→2 1 lim 𝑥→2 2𝑥 + lim 𝑥→2 (−1) = 23 + −3 ⋅ 22 + 1 2 ⋅ 2 + (−1) = 8 − 12 + 1 3 = −1 20
  • 21.
    lim 𝑥→𝑎 𝑃(𝑥) = 𝑃𝑎 𝐥𝐢𝐦 𝒙→𝟐 𝒙𝟑 − 𝟑𝒙𝟐 + 𝟏 𝟐𝒙 − 𝟏 = 23 − 3 ⋅ 22 +1 2 ⋅ 2 − 1 = 23 − 3 ⋅ 22 + 1 2 ⋅ 2 − 1 = 8 − 12 + 1 3 = −1 21
  • 22.
    Atenção! Em alguns casosquando substituímos o valor de 𝑎 na função podemos encontrar resultados como: • Divisão por zero: isso significa que a medida que se aproxima de 𝑎 a função tende ao infinito ou a menos infinito. • Indeterminações do tipo 𝟎 𝟎 e ∞ ∞ : utilizamos métodos específicos para resolver esse tipo de indeterminação. 22
  • 23.
  • 24.
    O cálculo delimites Exemplo: determine lim 𝑥→0 1 𝑥 , com 𝑥 ≠ 0. 𝒙 → 𝟎+ 𝒚 = 𝟏 𝒙 0 Não se define 0,1 10 0,01 100 0,001 1 000 0,0001 10 000 𝒙 → 𝟎− 𝒚 = 𝟏 𝒙 0 Não se define −0,1 −10 −0,01 −100 −0,001 −1 000 −0,0001 −10 000 24
  • 25.
    Observamos que: Quando 𝑥se aproxima de zero, pela direita, 𝑦 cresce indefinidamente, isto é, 𝑦 tende a mais infinito: lim 𝑥→0+ 1 𝑥 = ∞ Quando 𝑥 se aproxima de zero, pela esquerda, 𝑦 decresce indefinidamente, isto é, 𝑦 tende a menos infinito: lim 𝑥→0− 1 𝑥 = −∞ 25
  • 26.
    O cálculo delimites 26
  • 27.
    Limites infinitos Seja 𝑓(𝑥)uma função definida em todo número de um intervalo aberto 𝐼 contendo 𝑎, exceto possivelmente no próprio 𝑎. Quando 𝑥 tende a 𝑎, 𝑓(𝑥) cresce (ou decresce) indefinidamente escrevemos: lim 𝑥→𝑎 𝑓 𝑥 = ∞ lim 𝑥→𝑎 𝑓 𝑥 = −∞ 27
  • 28.
    Exemplo: Encontrar lim 𝑥→2 −1 𝑥−22 𝒙 𝒚 4 −0,25 3 −1 2,5 −4 2,1 −100 2,01 −10.000 2,001 −1.000.000 ⋯ ⋯ 𝒙 𝒚 0 −0,25 1 −1 1,5 −4 1,9 −100 1,99 −10.000 1,999 −1.000.000 ⋯ ⋯ 28
  • 29.
  • 30.
    Limites infinitos • lim 𝑥→𝑎 𝑓(𝑥)= ∞ • lim 𝑥→𝑎 𝑓(𝑥) = −∞ • lim 𝑥→𝑎− 𝑓(𝑥) = ∞ • lim 𝑥→𝑎− 𝑓(𝑥) = −∞ • lim 𝑥→𝑎+ 𝑓(𝑥) = ∞ • lim 𝑥→𝑎+ 𝑓(𝑥) = −∞ A reta 𝑥 = 𝑎 é chamada assíntota vertical da curva 𝑦 = 𝑓(𝑥) se pelo menos uma das seguintes condições estiver satisfeita. 30
  • 31.
    Continuidade Comportamento gráfico defunções contínuas e descontínuas Barba (2020, p. 42)
  • 32.
    Continuidade Uma função 𝑓é contínua em um número 𝒂 se: 1) 𝑓(𝑎) está definida (isto é, 𝑎 está no domínio de 𝑓) 2) lim 𝑥→𝑎 𝑓(𝑥) existe 3) lim 𝑥→𝑎 𝑓(𝑥) = 𝑓(𝑎)
  • 33.
  • 34.
    Exemplo Dada a função𝑓 𝑥 = 2𝑥 + 3 𝑠𝑒 𝑥 ≠ 1 2 𝑠𝑒 𝑥 = 1 investigue se ela é contínua em 𝑥 = 1. 𝑓 1 = 2. lim 𝑥→1 𝑓(𝑥) = 5 lim 𝑥→1 𝑓 𝑥 ≠ 𝑓(1) 𝑓 𝑥 é descontínua em 𝑥 = 1 (Adaptado - LEITHOLD, 1994, p. 100)
  • 35.
    Derivada de umafunção A derivada de uma função 𝒇 em relação a 𝒙, denotada por 𝑓′(𝑥) é 𝑓′ 𝑥 = lim ℎ→0 𝑓 𝑥 + ℎ − 𝑓(𝑥) ℎ Se o limite existir. 35
  • 36.
    Exemplo A derivada dafunção 𝑓 𝑥 = 2𝑥 é dada por: 𝑓′ 𝑥 = lim ℎ→0 𝑓 𝑥 + ℎ − 𝑓(𝑥) ℎ = lim ℎ→0 2(𝑥 + ℎ) − 2𝑥 ℎ = lim ℎ→0 2𝑥 + 2ℎ − 2𝑥 ℎ = lim ℎ→0 2ℎ ℎ = lim ℎ→0 2 = 2 Logo a derivada de 𝑓 𝑥 = 2𝑥 é dada por 𝑓′ 𝑥 = 2 36
  • 37.
    Notação Se usarmos anotação tradicional 𝑦 = 𝑓 𝑥 para indicar que a variável independente é 𝑥 e a variável dependente é 𝑦, então algumas notações alternativas para a derivada são as seguintes: 𝑓′ 𝑥 = 𝑦′ = 𝑑𝑦 𝑑𝑥 = 𝑑𝑓 𝑑𝑥 = 𝑑 𝑑𝑥 𝑓(𝑥) Para indicar o valor da derivada em um número específico 𝑎 denotamos 𝑓′ 𝑎 = 𝑑𝑦 𝑑𝑥 𝑥=𝑎 37
  • 38.
    𝑑 𝑑𝑥 𝑐 = 0 Derivadade uma função constante 𝑑 𝑑𝑥 𝑥𝑛 = 𝑛𝑥𝑛−1 Derivada de uma função potência 38
  • 39.
    𝑑 𝑑𝑥 𝑐𝑓 𝑥 =𝑐 𝑑 𝑑𝑥 𝑓 𝑥 A Regra da Multiplicação por Constante 𝑑 𝑑𝑥 𝑓 𝑥 ± 𝑔 𝑥 = 𝑑 𝑑𝑥 𝑓(𝑥) ± 𝑑 𝑑𝑥 𝑔(𝑥) Derivada da soma ou diferença de duas funções deriváveis. 39
  • 40.
    Exemplos Determine a derivadadas funções: 𝒇 𝒙 = 𝒙𝟑 − 𝟐𝒙 + 𝟑 𝑓′ 𝑥 = 𝑑 𝑑𝑥 𝑥3 − 2𝑥 + 3 = 𝑑 𝑑𝑥 𝑥𝟑 − 2 𝑑 𝑑𝑥 𝑥 + 𝑑 𝑑𝑥 3 = 𝟑𝑥𝟑−𝟏 − 2 ⋅ 𝟏𝑥𝟏−𝟏 + 0 = 3𝑥2 − 2 40
  • 41.
    𝐟 𝒙 =𝟖𝒙𝟑 + 𝟏𝟐𝒙𝟐 − 𝟒𝒙 + 𝟑𝟐 𝑓′ 𝑥 = 3 ∙ 8𝑥3−1 + 2 ∙ 12𝑥2−1 − 4 𝒇′ 𝒙 = 𝟐𝟒𝒙𝟐 + 𝟐𝟒𝒙 − 𝟒 41
  • 42.
    Regra do produto Aderivada de um produto de duas funções é a derivada da primeira função vezes a segunda função mais a primeira função vezes a derivada da segunda função. Seja duas funções 𝑓 e 𝑔 deriváveis, então 𝑑 𝑑𝑥 𝑓 𝑥 𝑔 𝑥 = 𝑑 𝑑𝑥 𝑓 𝑥 𝑔 𝑥 + 𝑓 𝑥 𝑑 𝑑𝑥 [𝑔 𝑥 ]
  • 43.
    Seja 𝑓 𝑥= 𝑥2 + 1 ⋅ 𝑥. Determine 𝑓′(𝑥). 𝑓′ 𝑥 = 𝑑 𝑑𝑥 𝑥2 + 1 𝑥 + 𝑥2 + 1 𝑑 𝑑𝑥 𝑥 𝑓′ 𝑥 = 2𝑥 ⋅ 𝑥 + 𝑥2 + 1 ⋅ 1 𝑓′ 𝑥 = 2𝑥2 + 𝑥2 + 1 𝑓′ 𝑥 = 3𝑥2 + 1
  • 44.
    Regra do quociente Aderivada de um quociente é o denominador vezes a derivada do numerador menos o numerador vezes a derivada do denominador, todos divididos pelo quadrado do denominador. Seja duas funções 𝑓 e 𝑔 deriváveis, então 𝑑 𝑑𝑥 𝑓 𝑥 𝑔 𝑥 = 𝑑 𝑑𝑥 𝑓 𝑥 𝑔 𝑥 − 𝑓 𝑥 𝑑 𝑑𝑥 𝑔 𝑥 [𝑔(𝑥)]2
  • 45.
    Seja 𝑓 𝑥= 𝑥2+1 𝑥 . Determine 𝑓′ (𝑥). 𝑓′ 𝑥 = 𝑑 𝑑𝑥 𝑥2 + 1 𝑥 − 𝑥2 + 1 𝑑 𝑑𝑥 𝑥 𝑥2 𝑓′ 𝑥 = 2𝑥 ⋅ 𝑥 − 𝑥2 + 1 ⋅ 1 𝑥2 𝑓′ 𝑥 = 2𝑥2 − 𝑥2 + 1 𝑥2 𝑓′ 𝑥 = 𝑥2 − 1 𝑥2 = 1 − 1 𝑥2
  • 46.
    Regra da cadeia Nanotação de Leibniz, se 𝑦 = 𝑓(𝑢) e 𝑢 = 𝑔 𝑥 temos  𝑑𝑦 𝑑𝑥 = 𝑑𝑦 𝑑𝑢 𝑑𝑢 𝑑𝑥 Se 𝑔 for derivável em 𝑥 e 𝑓 for derivável em𝑔(𝑥), então a função composta 𝐹 = 𝑓 ∘ 𝑔 definida por 𝐹 𝑥 = 𝑓(𝑔 𝑥 ) é derivável em 𝑥 e 𝐹′ é dada pelo produto 𝐹′ 𝑥 = 𝑓′ 𝑔 𝑥 ⋅ 𝑔′ 𝑥
  • 48.
    Exemplo Seja 𝐹 𝑥= 𝑥2 + 1. Determine 𝐹′(𝑥). A função 𝐹(𝑥) pode ser expressa como 𝐹 𝑥 = 𝑓 ∘ 𝑔 𝑥 = 𝑓(𝑔 𝑥 ) Em que 𝑦 = 𝑢 = 𝑢 1 2 e 𝑢 = 𝑥2 + 1 𝐹′ 𝑥 = 𝑑𝑦 𝑑𝑢 𝑑𝑢 𝑑𝑥 = 1 2 𝑥2 + 1 ⋅ 2𝑥 = 𝑥 𝑥2 + 1
  • 49.
    Podemos reescrever 𝐹(𝑥)como 𝐹 𝑥 = 𝑥2 + 1 1 2. Assim temos:
  • 50.
    Derivada de funçãoExponencial A derivada da função 𝑓 𝑥 = 𝑎𝑥 é dada por : 𝑑 𝑑𝑥 𝑎𝑥 = 𝑎𝑥 ln 𝑎 Seja a função 𝑓 𝑥 = 𝑒𝑥 . A sua derivada é dada por 𝑑 𝑑𝑥 𝑒𝑥 = 𝑒𝑥.
  • 51.
    Exemplo Seja a função𝑓 𝑥 = 𝑒2𝑥 . Determine 𝑓′(𝑥). Seja 𝑦 = 𝑒𝑢 e 𝑢 = 2𝑥 𝑓′ 𝑥 = 𝑑𝑦 𝑑𝑢 𝑑𝑢 𝑑𝑥 = 𝑒2𝑥 ⋅ 2 = 2𝑒2𝑥
  • 52.
    Derivada de funçãoLogarítmica A derivada do logaritmo geral é dada por: 𝑑 𝑑𝑥 log𝑎 𝑥 = 1 𝑥 ln 𝑎 A função 𝑓 𝑥 = ln 𝑥 é diferenciável para todo 𝑥 > 0. Assim temos que: 𝑑 𝑑𝑥 ln 𝑥 = 1 𝑥 , x > 0.
  • 53.
    Exemplo Determine a derivadada função 𝑓 𝑥 = ln(𝑥3 + 2𝑥) . Seja 𝑦 = ln 𝑢 e 𝑢 = 𝑥3 + 2𝑥 𝑓′ 𝑥 = 𝑑𝑦 𝑑𝑢 𝑑𝑢 𝑑𝑥 → 𝑓′ 𝑥 = 1 𝑢 𝑑𝑢
  • 54.
    Exemplo 𝑓′ 𝑥 = 𝑑𝑦 𝑑𝑢 𝑑𝑢 𝑑𝑥 → 𝑓′ 𝑥= 1 𝑢 𝑑𝑢 = 1 𝑥3 + 2𝑥 ⋅ 3𝑥2 + 2 = 3𝑥2 + 2 𝑥3 + 2𝑥 𝑦 = ln 𝑢 e 𝑢 = 𝑥3 + 2𝑥
  • 55.
    Calcule a derivadada função 𝑔 𝑥 = 5𝑥2 𝑙𝑛 𝑥:
  • 56.
    Pelas regras doproduto e multiplicação por escalar e sabendo que 𝑑 𝑑𝑥 𝑥2 = 2𝑥 e 𝑑 𝑑𝑥 𝑙𝑛 𝑥 = 1 𝑥 , temos que:  𝑔′(𝑥) = 𝑑 𝑑𝑥 5𝑥2 𝑙𝑛 𝑥 + 5𝑥2 𝑑 𝑑𝑥 𝑙𝑛 𝑥 = 5 𝑑 𝑑𝑥 𝑥2 𝑙𝑛 𝑥 + 5𝑥2 𝑑 𝑑𝑥 𝑙𝑛 𝑥 = 5 ⋅ 2𝑥 ⋅ 𝑙𝑛 𝑥 + 5𝑥2 ⋅ 1 𝑥 𝑑 𝑑𝑥 ln 𝑥 = 1 𝑥
  • 57.
     = 5⋅ 2𝑥 ⋅ 𝑙𝑛 𝑥 + 5𝑥2 ⋅ 1 𝑥 = 10𝑥 𝑙𝑛 𝑥 + 5𝑥 Logo, 𝑔′(𝑥) = 10𝑥 𝑙𝑛 𝑥 + 5𝑥.
  • 58.
    Derivadas trigonométricas Função Derivada 𝑓𝑥 = 𝑠𝑒𝑛(𝑥) 𝑓′ 𝑥 = cos(𝑥) 𝑓 𝑥 = 𝑐𝑜𝑠(𝑥) 𝑓′ 𝑥 = −𝑠𝑒𝑛(𝑥) 𝑓 𝑥 = 𝑡𝑔(𝑥) 𝑓′ 𝑥 = sec2(𝑥) 𝑓 𝑥 = 𝑠𝑒𝑐(𝑥) 𝑓′ 𝑥 = sec 𝑥 ⋅ 𝑡𝑔(𝑥) 𝑓 𝑥 = 𝑐𝑜𝑠𝑠𝑒𝑐(𝑥) 𝑓′ 𝑥 = cossec 𝑥 ⋅ 𝑐𝑜𝑡𝑔(𝑥) 𝑓 𝑥 = 𝑐𝑜𝑡𝑔(𝑥) 𝑓′ 𝑥 = −𝑐𝑜𝑠𝑠𝑒𝑐2(𝑥)
  • 59.
    Calcule a derivadadas funções que segue: a) 𝑓 𝑥 = 3 𝑥 + 1 b) 𝑔 𝑥 = cos(𝑠𝑒𝑛 𝑥 )
  • 60.
    𝑓 𝑥 = 3 𝑥+ 1 𝑓′ 𝑥 = 1 3 𝑥 + 1 2 ⋅ 1 𝑔 𝑥 = cos(𝑠𝑒𝑛 𝑥 ) 𝑔′ 𝑥 = −𝑠𝑒𝑛 𝑠𝑒𝑛 𝑥 ⋅ cos(𝑥)

Notas do Editor

  • #24 Alinhar os limites
  • #32 Intuitivamente, a continuidade de uma função tem relação com a ausência de lacunas, saltos ou interrupções em seu gráfico.