CICLO
                  TRIGONOMÉTRICO




                                                                                         Many Notes
                                    Many Notes




Fontes: Trabalho da Professora Gertrudes, PUC-RS e http://professorwaltertadeu.mat.br/
Medidas de Arcos
As unidades mais usadas são o grau (°) e o
radiano (rad).




                                                Many Notes
Grau: é quando dividimos uma circunferência
em 360 partes congruentes, sendo cada uma
dessas partes correspondentes a um arco de um
grau (1o).
Radiano: um arco de um radiano ( 1rad ) é um
arco cujo comprimento é igual ao do raio da
circunferência que o contém.
                                        Comprimento do arco
                                r       igual à medida do raio




                                                                 Many Notes
                        1 rad
                                    •
                    •     r              ≅ 0,28 rad


   6,28 rad ou
      2π rad


Relembrando: o comprimento da circunferência
mede 2πr onde r é o raio.
Transformação de graus para radianos

                 360°        2π rad

                  180°       π rad




                                                 Many Notes
                   90°        π/2
                       rad
Exemplo: Quantos radianos correspondem a 540°?



  540°          x rad
Circunferência Trigonométrica -
    Preliminares
Consideremos uma circunferência de raio unitário
(r = 1), cujo centro coincide com a origem de um
sistema cartesiano ortogonal.




                                                   Many Notes
                          1
                         •

                 –1•           •1
                         •0


                         •
                       –1
1
                           •
                                ⊕
                  –1•               •1
                          •0
                                     A
                                ⊖        O ponto A (1 , 0) é a




                                                                 Many Notes
                           •             origem de todos os
                         –1                 arcos a serem
                                             medidos na
                                           circunferência.
• Se um arco for medido no sentido horário, então a
essa medida será atribuído o sinal negativo (-).

• Se um arco for medido no sentido anti-horário,
então a essa medida será atribuído o sinal positivo
(+).
1
                              •
                       2° Q     1° Q
                 –1•                      •1
                              •0
                                           A
                       3° Q        4° Q




                                                     Many Notes
                            •
                          –1

 Os eixos coordenados dividem o plano cartesiano
em quatro regiões chamadas quadrantes; esses
quadrantes são contados no sentido anti-horário, a
partir do ponto A.

Como a circunferência tem 360° ou 2π rad, cada um
desses arcos medem 90° ou π/2 rad.
Se temos um arco de origem A e extremidade B, ele pode
assumir infinitos valores, dependendo do número de voltas
no sentido anti-horário (+), ou no sentido horário (–).

     Sentido POSITIVO                   Sentido
       ou anti-horário                NEGATIVO ou
                   B                    horário




                                                                Many Notes
           π/2 rad                        –3π/2 rad
              •                                 •
                           A
 π rad                          –π rad                    –2π rad
      •       •0       •0 rad         •        •0       •
                          2π                            0 rad
                         rad                                A

              •                                •
          3π/2 rad                         –π/2 rad
                                                    B
5π/2 rad = 450°
                 π/2 rad = 90°
                        •


3ππ rad = 180°




                                                   Many Notes
  rad = 540°                       0 rad = 0°
             •          •          •
                         0         2π rad ==360°
                                     4π rad 720°


                         •
                 3π/2 rad ==270°
                  7π/2 rad 630°


             Infinitos valores
Exercícios




                  Many Notes
ARCOS E ÂNGULOS
1. Expresse em graus:
   10
a)     rad
    9
   11
b)     rad
    8




                        Many Notes
  
c) rad
   9
   
d) rad
   20
   4
e)    rad
    3
Solução: Esse cálculo também poderia ser realizado pela
regra de três, mas outra forma é substituir π rad pelo seu
correspondente em graus, 180º, e simplificar a fração.
                        20

a)
                        45




                                                              Many Notes
                    1
b)                                                   clicar

                    2
Solução: Esse cálculo também poderia ser realizado pela
regra de três, mas outra forma é substituir π rad pelo seu
correspondente em graus, 180º, e simplificar a fração.
                                20

a)
                                45




                                                             Many Notes
                           1
b)
                  20       2                        9

c)                                   d)
              1                60               1

e)
                       1
2. Determine, em radianos, a medida do menor ângulo
formado pelos ponteiros de um relógio às 4 horas.
                          Solução: Os ponteiros de um
                          relógio estão ambos na direção
                          dos números somente na hora
                          exata. Após esse momento, o
                          único a ficar na direção é o




                                                            Many Notes
                          ponteiro dos minutos (grande).
                          O relógio representa uma
                          circunferência dividida em 12
                          partes iguais. Logo, cada
                          número dista um arco que
                          mede 30°.
                          Às 4h o menor ângulo central
                          formado      pelos    ponteiros
                          corresponde a
3. Se o ponteiro menor de um relógio percorre um arco
de ( π/12) radianos, que arco ponteiro maior percorre?
Solução:

Em graus a medida percorrida pelo menor
corresponde a 15°.




                                                         Many Notes
Esse valor corresponde à metade da distância
entre dois números consecutivos.
O tempo para percorrer essa distância pelo
menor é de meia hora.
Enquanto isso o ponteiro maior dá meia volta
completa, isto é, 180°.

Logo, o ponteiro maior percorre π rad.
3. Se o ponteiro menor de um relógio percorre um
arco de ( π/12) radianos, que arco ponteiro maior
percorre?
   Esta questão também pode ser resolvida através
   se uma regra-de-três simples:




                                                    Many Notes
  Ponteiro    Ponteiro
  Pequeno     Grande
    (π/6)       2π rad                  2
     rad
 (π/12) rad     x rad


                           Resposta: π rad
4. Um relógio foi acertado exatamente ao meio-
dia. Determine as horas e os minutos que estará
marcando esse relógio após o ponteiro menor ter
percorrido um ângulo de 42°.

 Ponteiro
             Tempo                       2




                                                  Many Notes
 Pequeno
    30°       60 min
   42°          x


Passaram-se 84 minutos após o meio-dia, que
corresponde a 1h 24min. Observe que este
horário é vespertino, logo pode ser indicado
como 13:24 h.
5. Qual a medida, em graus, do menor ângulo
central formado pelos ponteiros de um relógio
que está marcando 9h 30min?




                                                Many Notes
                               x


                               α



       09:00 h                     09:30 h
Solução: Ao marcar 9h em
                    ponto, os ponteiros estavam
                    na direção dos números como
                    indicado na primeira figura.
                    Às 9h30min o ponteiro
                    pequeno deslocou-se de um
                    ângulo “x”.




                                                   Many Notes
                    Aplicando    ax regra-de-rês
                    descobrimos quantos graus
                                  α
                    ele se afastou da direção do
                    número 9 em 30 minutos.
Ponteiro
Pequeno    Tempo          60 x = 900 ⇒ x = 15°
  30°      60 min                   09:30 h
                          α = 90° + x e x = 15°
  x        30 min              ⇒ α = 105°
6. Determine:
a) o comprimento de um arco de circunferência
(em cm), sabendo que ela tem 12cm de raio e o
ângulo central correspondente mede 20°.




                                                   Many Notes
b) o ângulo central (em radianos) correspondente
a um arco de 15cm de comprimento, sabendo que
ela tem raio de 20cm.
c) a medida do raio de uma circunferência (em
cm), sabendo que nela um ângulo central de 15°
corresponde a um arco de 30cm.
a) o comprimento de um arco de circunferência
(em cm), sabendo que ela tem 12cm de raio e o
ângulo central correspondente mede 20°.




                                                Many Notes
                               ⇒
b) o ângulo central (em radianos) correspondente
a um arco de 15cm de comprimento, sabendo que
ela tem raio de 20cm.




                                                   Many Notes
                               ⇒
c) a medida do raio de uma circunferência (em
cm), sabendo que nela um ângulo central de 15°
corresponde a um arco de 30cm.




                                                 Many Notes
                    ⇒
7. A roda dianteira de uma bicicleta tem 40cm de raio.
Quantos metros ela percorre ao dar 5.000 voltas?
Quantas voltas ela deve dar para percorrer 9420m?

 40 cm = 0,4 m    ⇒   C = 2π × 0,4 m ∴ C ≅ 2,5 m




                                                           Many Notes
1 volta = 2,5 m ⇒ 5000 voltas = 5000 × 2,5 m = 12.500 m

        1 volta = 2,5 m   ⇒   x voltas = 2,5 x = 9.420 m
8. As rodas de um automóvel têm 70cm de diâmetro.
Determine o número de voltas efetuadas pelas rodas
quando o automóvel percorre 9.891km. Adote π =
3,14.




                                                      Many Notes
d = 70 cm ∴ r = 35 cm
1 volta = C = 2π × 35 = 70π cm = 219,8 cm = 2,198 m
Percurso = 9.891 km = 9.891.000 m
 x voltas = 2,198 . x
2,198 . x = 9891000 ∴ x = 4.500.000 voltas
9. Obtenha as menores determinações não negativas
dos arcos.   Solução:
a) 1300°     Encontra-se   o   número   de     voltas
b) 1440°     completas que é múltiplo de 360° ou




                                                        Many Notes
c) 170°      de 2π.
   11       As   menores      determinações     não
d)     rad
     2       negativas serão os arcos encontrados
   43
e)     rad   nos restos percorridos no sentido
    5
f) –1200°    positivo.
             São chamadas 1ªs determinações.
a) 1300°    360°            1300°= 3 × 360° + 220°
    22 0°
            3 voltas     3 voltas completas ∴ volta ao ponto de
                                        partida
              Logo a 1ª determinação de 1300° é 220°.

b) 1440°




                                                                  Many Notes
            360°            1440°= 4 × 360° + 0°
    00 0°
            4 voltas     4 voltas completas ∴ volta ao ponto de
                                        partida
                   Logo a 1ª determinação de 1440° é 0°.

c) 170° < 360° não completando uma volta. Logo a 1ª
   determinação é o próprio 170°.
d)
            Vamos dividir o arco por 2π rad




                                               Many Notes
  Sabemos que:                    ou seja, 2
voltas
mais ¾ de volta.
 ¾ de uma volta, em radianos, serão:
                      1


                2
e)
            Vamos dividir o arco por 2π rad




                                                       Many Notes
Sabemos que:                       ou seja, 4 voltas
mais 3/10 de volta.

 3/10 de uma volta, em radianos,
 serão:               1


                5
f)
     –1200° 360°               –1300°= –3 × 360° – 120°
      –1 2 0°
              –3 voltas   3 voltas completas no sentido horário
                          (negativo) ∴ volta ao ponto de partida


 –120° é a 1ª determinação negativa de –1200°.




                                                                   Many Notes
 Para encontrar a 1ª determinação positiva, devemos
 somar 360° a –120°.
 –120° + 360° = 240°
 Logo a 1ª determinação não negativa de –1200° é
 240° (sentido positivo).
Visualização de determinações positiva e
               negativa:

                     90°
                    •




                                           Many Notes
       180° •               • 0°

  +240° ≡ –120° •

                    •
                    270°
10. Dê as expressões gerais dos arcos côngruos a:

a) 1700°
                  Solução: A expressão geral
b) –700°          será        dada     pela      1ª




                                                      Many Notes
   49            determinação       dos   ângulos
c)     rad
    4
                  adicionadas a múltiplos de
d) 11 rad
                  360°   ou    2π,   positivos   ou
     33
e)      rad      negativos.
      8
a) 1700°    360°            1700°= 4 × 360° + 260°
    26 0°
            4 voltas   4 voltas completas no sentido horário
                       (negativo) ∴ volta ao ponto de partida


      260° é a 1ª determinação positiva de 1700°.




                                                                Many Notes
   Dizemos então que a EXRESSÃO GERAL dos
   arcos côngruos a 1700° é dada por:
a) 1700°    360°
    26 0°
            4 voltas


Sendo k um número inteiro, ao escrevermos




                                                 Many Notes
360°k, queremos expressar um número qualquer
de voltas completas em qualquer sentido –
positivo ou negativo.

Ao somarmos 260°, dizemos que, depois de
voltar ao ponto de partida – não importando
quantas voltas foram dadas antes – percorremos
mais 260° e chegamos sempre ao mesmo ponto.
90°
                •




                                  Many Notes
180° •                 • 0°
                         ≡ 360°

           •    •
         260°
                270°
90°
                •




                                          Many Notes
180° •                 • 0°     1 volta
                         ≡ 360°
                                 + 260°

           •    •
         620°
                270°
90°
                •




                                          Many Notes
180° •                 • 0°     1 volta
                               2 voltas
                         ≡ 360°
                                 + 260°

           •    •
         980°
                270°
90°
                 •




                                          Many Notes
180° •                  • 0°       –1
                          ≡ 360° volta
                                 + 260°

            •    •
         –100°
                 270°
Many Notes
 Todos os arcos
têm extremidade
no mesmo ponto!
b)  700º 360º  2(voltas)  resto(340º )

⇒ 1ª determinação positiva de –700° = 360° – 340° = 20°

    Logo a expressão geral é 20º 360k , k  Z




                                                          Many Notes
c) 49 rad  48 rad   rad  12 (6voltas)   rad
    4         4        4                       4
                            
    Logo a expressão geral é  2k rad , k  Z
                              4
d) 11 rad  10 rad   rad  (5voltas)   rad
   Logo a expressão geral é  rad  2k , k  Z

     33         32                             
e)      rad       rad  rad  4 (2 voltas)  rad
      8           8       8                       8




                                                         Many Notes
          – 2 voltas significa duas
          voltas no sentido horário
                  (negativo)

                                                15
A 1ª determinação positiva        2 rad  rad      rad
será                                      8       8
                          15
   Logo a expressão geral     rad  2k , k  Z
   é                       8
11. Assinale com “X” os pares que representam
arcos côngruos.
                        Solução:
( ) 740° e 1460°        Para    que     representem




                                                     Many Notes
( ) 400° e 940°         arcos      côngruos,    suas
                        extremidades deverão ser
( )
                        as mesmas.
( )                     Isto pode ser verificado
                        comparando as primeiras
                        determinações de cada par.
1º) 740º 360º  2(voltas)  resto(20º )
     
⊠    1460º 360º  4(voltas)  resto(20º )

     400º 360º  1(voltas)  resto(40º )
 2º) 
     940º 360º  2(voltas)  resto(220º )




                                                                      Many Notes
     38 rad  36 rad  2 rad  12rad  2 rad  6(voltas)  2 rad
      3          3         3                 3                    3
 3º) 
      26 rad  24 rad  2 rad  8rad  2 rad  4(voltas)  2 rad
⊠     3          3         3                3                    3
    74 rad  70 rad  4 rad  14rad  4 rad  7(voltas)  4 rad
     5          5        5                  5                     5
4º) 19       10       9               9                   9
        rad      rad     rad  2rad      rad  1(volta)     rad
     5         5         5                5                    5
11. Assinale com “X” os pares que representam
arcos côngruos.


⊠) 740° e 1460°
(




                                                Many Notes
( ) 400° e 940°

⊠)
(

( )
12. Os arcos da forma k.180º 30.(1)k
                      ,                                          ,k∈ℤ,
têm extremidades em que quadrantes?
Solução: Atribuindo alguns valores para “k”,
observa-se a regularidade dos quadrantes:
   k    2  (2).180º  (1) 2 .30º  360º 30º  330º  30º  (1º Q)
   




                                                                              Many Notes
   k    1  (1).180º  (1) 1.30º  180º 30º  210º  150º  (2º Q)
   
   k    0  (0).180º  (1)0 .30º  30º  (1º Q)
   k    1  (1).180º  (1)1.30º  180º 30º  150º  (2º Q)
   
   k
        2  (2).180º  (1) 2 .30º  360º 30º  390º  30º  (1º Q)

Observa-se que, para valores ÍMPARES de k, a
extremidade do arco pertence ao 2º quadrante e,
para valores PARES, ao 1º quadrante. Logo, a
resposta é 1º e 2º quadrantes.
Seno e Cosseno na Circunferência
   Trigonométrica
Dado um arco trigonométrico AM de medida α,
chama-se de cosseno de α a abscissa do ponto M e
seno de α a ordenada do ponto M.




                                               Many Notes
                         •    M
                              •
                     sen α
                            α      A
                 •       •cos α   •


                         •
sen

                           •       M
                                   •
                     sen α
                               α        A
                 •         •cos α      •    cos




                                                  Many Notes
                           •




Sendo M o ponto de coordenadas (cos α, sen α),
consideraremos o eixo horizontal como Eixo dos
Cossenos e o eixo vertical como Eixo dos Senos.
90° ou π/2                 sen
                   rad                 (0,1)
                                      •

                                                 •

                                                            0° ou 0 rad




                                                                      Many Notes
       (–1 , 0 )                                      ( 1 , 0 ) cos
                   •                  •              •

180° ou π rad                                            360° ou 2π
                                                            rad


                                       •
                             ( 0 , –1 )
                                                 270° ou 3π/2
                                                     rad
Ponto       Arco   Cosseno   Seno
        (1,0)         0       1        0
        (0,1)        π/2      0        1
       (–1 , 0 )      π      –1        0
       ( 0 , –1 )   3π/2      0       –1




                                                Many Notes
        (1,0)        2π       1        0

Complete:

         1                 1                0

            0              0                0
Exercício
Converta de graus para radianos:

a) 30° = _____

 180°        π rad




                                                Many Notes
  30°        x rad




 b) 45° = _____                c) 60° = _____
sen




          • 30° ou π/6




                               Many Notes
                         cos
•
sen



          • 45° ou π/4




                               Many Notes
                         cos
•
sen


          • 60° ou π/3




                               Many Notes
                         cos
•
sen




                          • 30° ou π/6




                                               Many Notes
                                         cos
                •


210° ou 7π/6•
sen




150° ou 5π/6 •             • 30° ou π/6




                                                Many Notes
                                          cos
                 •


210° ou 7π/6 •
sen




150° ou 5π/6 •             • 30° ou π/6




                                                Many Notes
                                          cos
                 •


210° ou 7π/6 •             • 330° ou 11π/6
0      π/2      π     3π/2    2π
sen
cos




                                          Many Notes
      1º Q     2º Q       3º Q     4º Q
      π/6     π – π/6 π + π/6 2π – π/6
              = 5π/6 = 7π/6 = 11π/6
sen
cos
Agora vamos fazer o mesmo para
todos os arcos associados a π/4 e π /6




                                            Many Notes
          1º Q    2º Q    3º Q     4º Q
          π/4    π – π/4 π + π/4 2π – π/4
                 = 3π/4 = 5π/4 = 7π/4
   sen
   cos
sen

180° – 45° = 135°ou
π – π/4 = (3π /4)
rad                 •               • 45° ou (π/4) rad




                                                                 Many Notes
 180° ou π rad                              0° ou 0 rad cos
                          •
                                            360° ou 2π
                                            rad


                      •             •
180° + 45° = 225°ou                     360° – 45° = 315°ou
π + π/4 = (5π /4)                       2π – π/4 = (7π /4) rad
rad
•




•
       •
                     sen



                 •




•
        cos




    Many Notes
sen


(3π /4) rad                     (π/4) rad
              •             •




                                                    Many Notes
                                              cos
                  •



              •             •
(5π /4) rad                     (7π /4) rad
1º Q    2º Q    3º Q     4º Q
      π/4    π – π/4 π + π/4 2π – π/4
             = 3π/4 = 5π/4 = 7π/4
sen
cos




                                        Many Notes
      1º Q    2º Q    3º Q     4º Q
      π/3    π – π/3 π + π/3 2π – π/3
             = 2π/3 = 4π/3 = 5π/3
sen
cos
sen
180° – 60° = 120°ou
π – π/3 = (2π /3)
rad                   •             • 60° ou (π/3) rad




                                                                 Many Notes
180° ou π rad                                  0° ou 0 rad cos
                          •
                                               360° ou 2π
                                               rad



                      •             •
180° + 60° = 240°ou                     360° – 60° = 300°ou
π + π/3 = (4π /3)                       2π – π/3 = (5π /3) rad
rad
•
                 •




       •
                     sen


                 •




•
        cos




    Many Notes
sen

120°                     60°
       •             •




                                      Many Notes
                                cos
           •




       •             •
240°                     300°
1º Q    2º Q    3º Q     4º Q
      π/3    π – π/3 π + π/3 2π – π/3
             = 2π/3 = 4π/3 = 5π/3




                                        Many Notes
sen
cos
Tangente na Circunferência
   Trigonométrica
Seja t a reta perpendicular ao eixo das abscissas
pelo ponto A.                  t
                              •    T
                      B
                       •




                                                    Many Notes
                               M
                               •

                A’         α        A
                 •    0•           •


                       •
                        B’


O prolongamento do raio 0M intercepta a reta t no
                  ponto T.
t
                                    •T
                       B
                        •       M
                                •        tg α
                A’          α        A
                 •     0•           •




                                                 Many Notes
                        •B’


Chamaremos a reta t de eixo das tangentes, assim:
Dado um arco trigonométrico AM, M ≠ B e M ≠ B’,
de medida α, chama-se tangente de α (tg α) a
ordenada do ponto T obtido pela intersecção do
prolongamento do raio 0M com o eixo das tangentes.
t
                                    •T
                       B
                        •       M
                                •        tg α
                 A’         α        A
                  •    0•           •




                                                 Many Notes
                        •B’


OBS: O ponto M não pode coincidir com B, nem com
B’, pois os prolongamentos dos raios 0B e 0B’, não
interceptam o eixo das tangentes.
Por isso dizemos que não existe tangente de um arco
com extremidade em B ou B’.
Tabela das principais razões
trigonométricas

            30º ou    45º ou    60º ou
           (π/6) rad (π/4) rad (π/3) rad




                                           Many Notes
               1         2         3
     sen
               2        2         2
                3        2        1
     cos
               2        2         2
                3       1
      tg                           3
               3
sen                tg




                       T
                 •




                                  Many Notes
          30° ou π/6        cos
•
sen                tg

                       T

                •
                            1




                                      Many Notes
          45° ou π/4            cos
•
tg T
    sen




          •




                                Many Notes
      60° ou π/3          cos
•
Variação do sinal da tangente
  Sabemos que no triângulo retângulo ABC, temos:
        b              c          b
sen           cos      tg  
                                      C

        a              a          c




                                                          Many Notes
Vamos calcular o seguinte                         a
quociente:                            b
            b
 sen     a  b  a  b  tg 
                                                     α
 cos   c     a c     c
          a                               A   c           B
sen


     ⊕ ⊕                     ⊖ ⊕
                                   cos
     ⊖ ⊖                     ⊖ ⊕




                                         Many Notes
                            tg
  Lembre-se que
⊕/⊕ = ⊕, ⊖/⊖ = ⊕,
 ⊕/⊖ = ⊖/⊕ = ⊖      ⊖ ⊕
                    ⊕   ⊖
1º Q    2º Q    3º Q     4º Q
      π/6    π – π/6 π + π/6 2π – π/6
             = 5π/6 = 7π/6 = 11π/6
sen




                                        Many Notes
cos

tg
1º Q    2º Q    3º Q     4º Q
      π/4    π – π/4 π + π/4 2π – π/4
             = 3π/4 = 5π/4 = 7π/4
sen




                                        Many Notes
cos

tg    1        –1       1      –1
1º Q    2º Q    3º Q     4º Q
      π/3    π – π/3 π + π/3 2π – π/3
             = 2π/3 = 4π/3 = 5π/3
sen




                                        Many Notes
cos

 tg
Agora, muita atenção!

              0      π/2     π    3π/2     2π
      sen




                                                    Many Notes
      cos

       tg      0     ∞       0      ∞      0

A divisão por zero não é definida em
Matemática, mas podemos considerar aqui que
os prolongamentos dos raios nos arcos π/2 e 3π/2
resultariam em paralelas ao eixo das tangentes e,
como sabemos, define-se que retas paralelas se
“encontram” no infinito.
Exemplos:       sen                tg




                                   T
                             •




                                              Many Notes
                      30° ou π/6        cos
            •         330° ou
                      11π/6
                             •
                                   T’
sen                tg

                                      T

                               •
                                           1




                                                     Many Notes
                         45° ou π/4            cos
               •
135° ou 5π/4



    •
tg T
                   sen



       •                 •




                                          Many Notes
120° ou 2π/3         60° ou π/3
               •                    cos
Exercícios




               Many Notes
 CONTINUAÇÃO
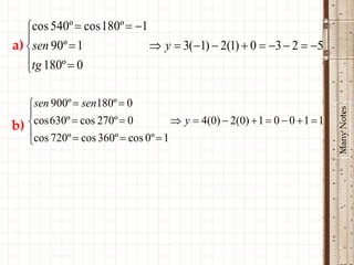
13. Determine os valores de:
a) y  3 cos 540º 2sen90º tg180º
b) y  4sen900º 2 cos 630º  cos 720º




                                                   Many Notes
 Solução: Encontram-se os arcos côngruos,
 reduzindo ao 1° quadrante para determinações
 dos valores das funções e atribuindo seus
 respectivos sinais de acordo com os quadrantes.
cos 540º  cos 180º  1
   
a) sen 90º  1               y  3(1)  2(1)  0  3  2  5
   tg 180º  0
   

   sen 900º  sen180º  0
   




                                                                                 Many Notes
b) cos 630º  cos 270º  0           y  4 ( 0)  2( 0 )  1  0  0  1  1
   cos 720º  cos 360º  cos 0º  1
   
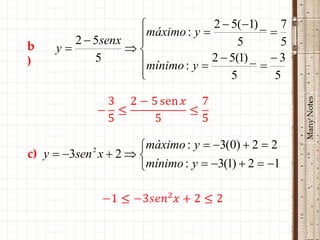
14. Determine os valores máximos e mínimos das
expressões:
       4 cos x  1
a) y 
           3
b) y  2  5senx




                                                   Many Notes
            5
c) y  3sen 2 x  2

Solução: As funções seno e cosseno variam no
intervalo [ – 1 , 1] onde (–1) é mínimo e (1) é
máximo.
No caso das funções estarem ao quadrado, o valor
mínimo passa a ser (0), pois nenhum número ao
quadrado pode ser negativo.
ATENÇÃO!




                                                         Many Notes
                                  4(1)  1 5
                      máximo : y          
        4 cos x  1 
                                     3      3
a)   y            
            3       mínimo : y  4(1)  1   3  1
                    
                                     3        3
             2  5(1) _ 7
        2  5senx  máximo : y 
                                      5
                                              
                                                5
b    y           
)           5      mínimo : y  2  5(1) _   3
                   
                                    5         5




                                                    Many Notes
                     máximo : y  3(0)  2  2
c) y  3sen x  2  
            2

                     mínimo : y  3(1)  2  1
15. Que valores de m satisfarão a ambas as
 condições:


Solução: Aplicando a relação fundamental




                                              Many Notes
relacionando senos e cossenos, temos:




                     ou
3
                                    senx 
16. Sendo x um arco do 2° quadrante e           ,
                                           5
determine:

a) cos x




                                                    Many Notes
b) tg x

Solução: No 2° quadrante o cosseno é negativo
e a tangente também é negativa. Aplicando as
relações fundamentais, temos:
a)




b)




     Many Notes
17. Relacione as colunas:




                                             Many Notes
Solução:
Encontrando o arco côngruo correspondente,
avalia-se o sinal da função.
a) 5240° 360°
   1640
    200° 14
                           sen
                           90°
  cos 200° = –cos 20°
                            •




                                                          Many Notes
                  –cos 20°             20°
           180° •         •                  • 0°   cos
                     20°         cos
            200° •               20°


                            •
                           270°
b) 1200° 360°
    120°
         3
                               sen 60° = cos 30°
                       sen
                       90°
                        •




                                                   Many Notes
           120° •

                 60°          60°
        180° •          •           • 0°    cos



                        •
                       270°
c) –210° + 360° = 150°

                                 sen 150° = sen 30°
                          sen
                          90°
                           •




                                                      Many Notes
           150° •
                    30°          30°
          180° •           •           • 0°   cos



                           •
                          270°
d)


                     sen          tg

                     90°
                      •




                                               Many Notes
      150° •
               30°          30°
     180° •           •           • 0°   cos



                      •
                     270°
d)


                    sen
                    90°
                     •




                                              Many Notes
        120° •

              60°          60°
     180° •          •           • 0°   cos



                     •
                    270°
d)


              sen
                               cos 330° = cos 30°
              90°
               •




                                                    Many Notes
                     30°
     180° •    •            • 0°    cos
                     30°

                           • 330°

               •
              270°
d)




Many Notes
17. Relacione as colunas:




                            Many Notes
1  sen300º
18. A expressão                             é igual a:
                tg 540º  cos( 120º )

                         sen
                         90°
                          •




                                                         Many Notes
                                60°
           180° •         •           • 0°    cos
                                60°    ≡ 360°


                                 • 300°
                          •
                         270°
540° 360°
180° 1
              sen    tg

              90°
               •




                                  Many Notes
     180° •    •     • 0°   cos



               •
              270°
–120° + 360° = 240°


                      sen
                      90°
                       •




                                                Many Notes
                             60°
       180° •          •           • 0°   cos
                60°


            240° •
                       •
                      270°
1  sen300º
    tg 540º  cos( 120º )

      0




                             Many Notes
             ⇒



∴
Many Notes

Ciclo trigonométrico

  • 1.
    CICLO TRIGONOMÉTRICO Many Notes Many Notes Fontes: Trabalho da Professora Gertrudes, PUC-RS e http://professorwaltertadeu.mat.br/
  • 2.
    Medidas de Arcos Asunidades mais usadas são o grau (°) e o radiano (rad). Many Notes Grau: é quando dividimos uma circunferência em 360 partes congruentes, sendo cada uma dessas partes correspondentes a um arco de um grau (1o).
  • 3.
    Radiano: um arcode um radiano ( 1rad ) é um arco cujo comprimento é igual ao do raio da circunferência que o contém. Comprimento do arco r igual à medida do raio Many Notes 1 rad • • r ≅ 0,28 rad 6,28 rad ou 2π rad Relembrando: o comprimento da circunferência mede 2πr onde r é o raio.
  • 4.
    Transformação de grauspara radianos 360° 2π rad 180° π rad Many Notes 90° π/2 rad Exemplo: Quantos radianos correspondem a 540°? 540° x rad
  • 5.
    Circunferência Trigonométrica - Preliminares Consideremos uma circunferência de raio unitário (r = 1), cujo centro coincide com a origem de um sistema cartesiano ortogonal. Many Notes 1 • –1• •1 •0 • –1
  • 6.
    1 • ⊕ –1• •1 •0 A ⊖ O ponto A (1 , 0) é a Many Notes • origem de todos os –1 arcos a serem medidos na circunferência. • Se um arco for medido no sentido horário, então a essa medida será atribuído o sinal negativo (-). • Se um arco for medido no sentido anti-horário, então a essa medida será atribuído o sinal positivo (+).
  • 7.
    1 • 2° Q 1° Q –1• •1 •0 A 3° Q 4° Q Many Notes • –1 Os eixos coordenados dividem o plano cartesiano em quatro regiões chamadas quadrantes; esses quadrantes são contados no sentido anti-horário, a partir do ponto A. Como a circunferência tem 360° ou 2π rad, cada um desses arcos medem 90° ou π/2 rad.
  • 8.
    Se temos umarco de origem A e extremidade B, ele pode assumir infinitos valores, dependendo do número de voltas no sentido anti-horário (+), ou no sentido horário (–). Sentido POSITIVO Sentido ou anti-horário NEGATIVO ou B horário Many Notes π/2 rad –3π/2 rad • • A π rad –π rad –2π rad • •0 •0 rad • •0 • 2π 0 rad rad A • • 3π/2 rad –π/2 rad B
  • 9.
    5π/2 rad =450° π/2 rad = 90° • 3ππ rad = 180° Many Notes rad = 540° 0 rad = 0° • • • 0 2π rad ==360° 4π rad 720° • 3π/2 rad ==270° 7π/2 rad 630° Infinitos valores
  • 10.
    Exercícios Many Notes ARCOS E ÂNGULOS
  • 11.
    1. Expresse emgraus: 10 a) rad 9 11 b) rad 8 Many Notes  c) rad 9  d) rad 20 4 e) rad 3
  • 12.
    Solução: Esse cálculotambém poderia ser realizado pela regra de três, mas outra forma é substituir π rad pelo seu correspondente em graus, 180º, e simplificar a fração. 20 a) 45 Many Notes 1 b) clicar 2
  • 13.
    Solução: Esse cálculotambém poderia ser realizado pela regra de três, mas outra forma é substituir π rad pelo seu correspondente em graus, 180º, e simplificar a fração. 20 a) 45 Many Notes 1 b) 20 2 9 c) d) 1 60 1 e) 1
  • 14.
    2. Determine, emradianos, a medida do menor ângulo formado pelos ponteiros de um relógio às 4 horas. Solução: Os ponteiros de um relógio estão ambos na direção dos números somente na hora exata. Após esse momento, o único a ficar na direção é o Many Notes ponteiro dos minutos (grande). O relógio representa uma circunferência dividida em 12 partes iguais. Logo, cada número dista um arco que mede 30°. Às 4h o menor ângulo central formado pelos ponteiros corresponde a
  • 15.
    3. Se oponteiro menor de um relógio percorre um arco de ( π/12) radianos, que arco ponteiro maior percorre? Solução: Em graus a medida percorrida pelo menor corresponde a 15°. Many Notes Esse valor corresponde à metade da distância entre dois números consecutivos. O tempo para percorrer essa distância pelo menor é de meia hora. Enquanto isso o ponteiro maior dá meia volta completa, isto é, 180°. Logo, o ponteiro maior percorre π rad.
  • 16.
    3. Se oponteiro menor de um relógio percorre um arco de ( π/12) radianos, que arco ponteiro maior percorre? Esta questão também pode ser resolvida através se uma regra-de-três simples: Many Notes Ponteiro Ponteiro Pequeno Grande (π/6) 2π rad 2 rad (π/12) rad x rad Resposta: π rad
  • 17.
    4. Um relógiofoi acertado exatamente ao meio- dia. Determine as horas e os minutos que estará marcando esse relógio após o ponteiro menor ter percorrido um ângulo de 42°. Ponteiro Tempo 2 Many Notes Pequeno 30° 60 min 42° x Passaram-se 84 minutos após o meio-dia, que corresponde a 1h 24min. Observe que este horário é vespertino, logo pode ser indicado como 13:24 h.
  • 18.
    5. Qual amedida, em graus, do menor ângulo central formado pelos ponteiros de um relógio que está marcando 9h 30min? Many Notes x α 09:00 h 09:30 h
  • 19.
    Solução: Ao marcar9h em ponto, os ponteiros estavam na direção dos números como indicado na primeira figura. Às 9h30min o ponteiro pequeno deslocou-se de um ângulo “x”. Many Notes Aplicando ax regra-de-rês descobrimos quantos graus α ele se afastou da direção do número 9 em 30 minutos. Ponteiro Pequeno Tempo 60 x = 900 ⇒ x = 15° 30° 60 min 09:30 h α = 90° + x e x = 15° x 30 min ⇒ α = 105°
  • 20.
    6. Determine: a) ocomprimento de um arco de circunferência (em cm), sabendo que ela tem 12cm de raio e o ângulo central correspondente mede 20°. Many Notes b) o ângulo central (em radianos) correspondente a um arco de 15cm de comprimento, sabendo que ela tem raio de 20cm. c) a medida do raio de uma circunferência (em cm), sabendo que nela um ângulo central de 15° corresponde a um arco de 30cm.
  • 21.
    a) o comprimentode um arco de circunferência (em cm), sabendo que ela tem 12cm de raio e o ângulo central correspondente mede 20°. Many Notes ⇒
  • 22.
    b) o ângulocentral (em radianos) correspondente a um arco de 15cm de comprimento, sabendo que ela tem raio de 20cm. Many Notes ⇒
  • 23.
    c) a medidado raio de uma circunferência (em cm), sabendo que nela um ângulo central de 15° corresponde a um arco de 30cm. Many Notes ⇒
  • 24.
    7. A rodadianteira de uma bicicleta tem 40cm de raio. Quantos metros ela percorre ao dar 5.000 voltas? Quantas voltas ela deve dar para percorrer 9420m? 40 cm = 0,4 m ⇒ C = 2π × 0,4 m ∴ C ≅ 2,5 m Many Notes 1 volta = 2,5 m ⇒ 5000 voltas = 5000 × 2,5 m = 12.500 m 1 volta = 2,5 m ⇒ x voltas = 2,5 x = 9.420 m
  • 25.
    8. As rodasde um automóvel têm 70cm de diâmetro. Determine o número de voltas efetuadas pelas rodas quando o automóvel percorre 9.891km. Adote π = 3,14. Many Notes d = 70 cm ∴ r = 35 cm 1 volta = C = 2π × 35 = 70π cm = 219,8 cm = 2,198 m Percurso = 9.891 km = 9.891.000 m x voltas = 2,198 . x 2,198 . x = 9891000 ∴ x = 4.500.000 voltas
  • 26.
    9. Obtenha asmenores determinações não negativas dos arcos. Solução: a) 1300° Encontra-se o número de voltas b) 1440° completas que é múltiplo de 360° ou Many Notes c) 170° de 2π. 11 As menores determinações não d) rad 2 negativas serão os arcos encontrados 43 e) rad nos restos percorridos no sentido 5 f) –1200° positivo. São chamadas 1ªs determinações.
  • 27.
    a) 1300° 360° 1300°= 3 × 360° + 220° 22 0° 3 voltas 3 voltas completas ∴ volta ao ponto de partida Logo a 1ª determinação de 1300° é 220°. b) 1440° Many Notes 360° 1440°= 4 × 360° + 0° 00 0° 4 voltas 4 voltas completas ∴ volta ao ponto de partida Logo a 1ª determinação de 1440° é 0°. c) 170° < 360° não completando uma volta. Logo a 1ª determinação é o próprio 170°.
  • 28.
    d) Vamos dividir o arco por 2π rad Many Notes Sabemos que: ou seja, 2 voltas mais ¾ de volta. ¾ de uma volta, em radianos, serão: 1 2
  • 29.
    e) Vamos dividir o arco por 2π rad Many Notes Sabemos que: ou seja, 4 voltas mais 3/10 de volta. 3/10 de uma volta, em radianos, serão: 1 5
  • 30.
    f) –1200° 360° –1300°= –3 × 360° – 120° –1 2 0° –3 voltas 3 voltas completas no sentido horário (negativo) ∴ volta ao ponto de partida –120° é a 1ª determinação negativa de –1200°. Many Notes Para encontrar a 1ª determinação positiva, devemos somar 360° a –120°. –120° + 360° = 240° Logo a 1ª determinação não negativa de –1200° é 240° (sentido positivo).
  • 31.
    Visualização de determinaçõespositiva e negativa: 90° • Many Notes 180° • • 0° +240° ≡ –120° • • 270°
  • 32.
    10. Dê asexpressões gerais dos arcos côngruos a: a) 1700° Solução: A expressão geral b) –700° será dada pela 1ª Many Notes 49 determinação dos ângulos c) rad 4 adicionadas a múltiplos de d) 11 rad 360° ou 2π, positivos ou 33 e)  rad negativos. 8
  • 33.
    a) 1700° 360° 1700°= 4 × 360° + 260° 26 0° 4 voltas 4 voltas completas no sentido horário (negativo) ∴ volta ao ponto de partida 260° é a 1ª determinação positiva de 1700°. Many Notes Dizemos então que a EXRESSÃO GERAL dos arcos côngruos a 1700° é dada por:
  • 34.
    a) 1700° 360° 26 0° 4 voltas Sendo k um número inteiro, ao escrevermos Many Notes 360°k, queremos expressar um número qualquer de voltas completas em qualquer sentido – positivo ou negativo. Ao somarmos 260°, dizemos que, depois de voltar ao ponto de partida – não importando quantas voltas foram dadas antes – percorremos mais 260° e chegamos sempre ao mesmo ponto.
  • 35.
    90° • Many Notes 180° • • 0° ≡ 360° • • 260° 270°
  • 36.
    90° • Many Notes 180° • • 0° 1 volta ≡ 360° + 260° • • 620° 270°
  • 37.
    90° • Many Notes 180° • • 0° 1 volta 2 voltas ≡ 360° + 260° • • 980° 270°
  • 38.
    90° • Many Notes 180° • • 0° –1 ≡ 360° volta + 260° • • –100° 270°
  • 39.
    Many Notes Todosos arcos têm extremidade no mesmo ponto!
  • 40.
    b)  700º360º  2(voltas)  resto(340º ) ⇒ 1ª determinação positiva de –700° = 360° – 340° = 20° Logo a expressão geral é 20º 360k , k  Z Many Notes c) 49 rad  48 rad   rad  12 (6voltas)   rad 4 4 4 4  Logo a expressão geral é  2k rad , k  Z 4
  • 41.
    d) 11 rad 10 rad   rad  (5voltas)   rad Logo a expressão geral é  rad  2k , k  Z 33 32   e)  rad   rad  rad  4 (2 voltas)  rad 8 8 8 8 Many Notes – 2 voltas significa duas voltas no sentido horário (negativo)  15 A 1ª determinação positiva 2 rad  rad  rad será 8 8 15 Logo a expressão geral rad  2k , k  Z é 8
  • 42.
    11. Assinale com“X” os pares que representam arcos côngruos. Solução: ( ) 740° e 1460° Para que representem Many Notes ( ) 400° e 940° arcos côngruos, suas extremidades deverão ser ( ) as mesmas. ( ) Isto pode ser verificado comparando as primeiras determinações de cada par.
  • 43.
    1º) 740º 360º 2(voltas)  resto(20º )  ⊠ 1460º 360º  4(voltas)  resto(20º ) 400º 360º  1(voltas)  resto(40º ) 2º)  940º 360º  2(voltas)  resto(220º ) Many Notes 38 rad  36 rad  2 rad  12rad  2 rad  6(voltas)  2 rad  3 3 3 3 3 3º)   26 rad  24 rad  2 rad  8rad  2 rad  4(voltas)  2 rad ⊠  3 3 3 3 3 74 rad  70 rad  4 rad  14rad  4 rad  7(voltas)  4 rad  5 5 5 5 5 4º) 19 10 9 9 9  rad  rad  rad  2rad  rad  1(volta)  rad  5 5 5 5 5
  • 44.
    11. Assinale com“X” os pares que representam arcos côngruos. ⊠) 740° e 1460° ( Many Notes ( ) 400° e 940° ⊠) ( ( )
  • 45.
    12. Os arcosda forma k.180º 30.(1)k , ,k∈ℤ, têm extremidades em que quadrantes? Solução: Atribuindo alguns valores para “k”, observa-se a regularidade dos quadrantes: k  2  (2).180º  (1) 2 .30º  360º 30º  330º  30º  (1º Q)  Many Notes k  1  (1).180º  (1) 1.30º  180º 30º  210º  150º  (2º Q)  k  0  (0).180º  (1)0 .30º  30º  (1º Q) k  1  (1).180º  (1)1.30º  180º 30º  150º  (2º Q)  k   2  (2).180º  (1) 2 .30º  360º 30º  390º  30º  (1º Q) Observa-se que, para valores ÍMPARES de k, a extremidade do arco pertence ao 2º quadrante e, para valores PARES, ao 1º quadrante. Logo, a resposta é 1º e 2º quadrantes.
  • 46.
    Seno e Cossenona Circunferência Trigonométrica Dado um arco trigonométrico AM de medida α, chama-se de cosseno de α a abscissa do ponto M e seno de α a ordenada do ponto M. Many Notes • M • sen α α A • •cos α • •
  • 47.
    sen • M • sen α α A • •cos α • cos Many Notes • Sendo M o ponto de coordenadas (cos α, sen α), consideraremos o eixo horizontal como Eixo dos Cossenos e o eixo vertical como Eixo dos Senos.
  • 48.
    90° ou π/2 sen rad (0,1) • • 0° ou 0 rad Many Notes (–1 , 0 ) ( 1 , 0 ) cos • • • 180° ou π rad 360° ou 2π rad • ( 0 , –1 ) 270° ou 3π/2 rad
  • 49.
    Ponto Arco Cosseno Seno (1,0) 0 1 0 (0,1) π/2 0 1 (–1 , 0 ) π –1 0 ( 0 , –1 ) 3π/2 0 –1 Many Notes (1,0) 2π 1 0 Complete: 1 1 0 0 0 0
  • 50.
    Exercício Converta de grauspara radianos: a) 30° = _____ 180° π rad Many Notes 30° x rad b) 45° = _____ c) 60° = _____
  • 51.
    sen • 30° ou π/6 Many Notes cos •
  • 52.
    sen • 45° ou π/4 Many Notes cos •
  • 53.
    sen • 60° ou π/3 Many Notes cos •
  • 54.
    sen • 30° ou π/6 Many Notes cos • 210° ou 7π/6•
  • 55.
    sen 150° ou 5π/6• • 30° ou π/6 Many Notes cos • 210° ou 7π/6 •
  • 56.
    sen 150° ou 5π/6• • 30° ou π/6 Many Notes cos • 210° ou 7π/6 • • 330° ou 11π/6
  • 57.
    0 π/2 π 3π/2 2π sen cos Many Notes 1º Q 2º Q 3º Q 4º Q π/6 π – π/6 π + π/6 2π – π/6 = 5π/6 = 7π/6 = 11π/6 sen cos
  • 58.
    Agora vamos fazero mesmo para todos os arcos associados a π/4 e π /6 Many Notes 1º Q 2º Q 3º Q 4º Q π/4 π – π/4 π + π/4 2π – π/4 = 3π/4 = 5π/4 = 7π/4 sen cos
  • 59.
    sen 180° – 45°= 135°ou π – π/4 = (3π /4) rad • • 45° ou (π/4) rad Many Notes 180° ou π rad 0° ou 0 rad cos • 360° ou 2π rad • • 180° + 45° = 225°ou 360° – 45° = 315°ou π + π/4 = (5π /4) 2π – π/4 = (7π /4) rad rad
  • 60.
    • • • sen • • cos Many Notes
  • 61.
    sen (3π /4) rad (π/4) rad • • Many Notes cos • • • (5π /4) rad (7π /4) rad
  • 62.
    1º Q 2º Q 3º Q 4º Q π/4 π – π/4 π + π/4 2π – π/4 = 3π/4 = 5π/4 = 7π/4 sen cos Many Notes 1º Q 2º Q 3º Q 4º Q π/3 π – π/3 π + π/3 2π – π/3 = 2π/3 = 4π/3 = 5π/3 sen cos
  • 63.
    sen 180° – 60°= 120°ou π – π/3 = (2π /3) rad • • 60° ou (π/3) rad Many Notes 180° ou π rad 0° ou 0 rad cos • 360° ou 2π rad • • 180° + 60° = 240°ou 360° – 60° = 300°ou π + π/3 = (4π /3) 2π – π/3 = (5π /3) rad rad
  • 64.
    • • sen • • cos Many Notes
  • 65.
    sen 120° 60° • • Many Notes cos • • • 240° 300°
  • 66.
    1º Q 2º Q 3º Q 4º Q π/3 π – π/3 π + π/3 2π – π/3 = 2π/3 = 4π/3 = 5π/3 Many Notes sen cos
  • 67.
    Tangente na Circunferência Trigonométrica Seja t a reta perpendicular ao eixo das abscissas pelo ponto A. t • T B • Many Notes M • A’ α A • 0• • • B’ O prolongamento do raio 0M intercepta a reta t no ponto T.
  • 68.
    t •T B • M • tg α A’ α A • 0• • Many Notes •B’ Chamaremos a reta t de eixo das tangentes, assim: Dado um arco trigonométrico AM, M ≠ B e M ≠ B’, de medida α, chama-se tangente de α (tg α) a ordenada do ponto T obtido pela intersecção do prolongamento do raio 0M com o eixo das tangentes.
  • 69.
    t •T B • M • tg α A’ α A • 0• • Many Notes •B’ OBS: O ponto M não pode coincidir com B, nem com B’, pois os prolongamentos dos raios 0B e 0B’, não interceptam o eixo das tangentes. Por isso dizemos que não existe tangente de um arco com extremidade em B ou B’.
  • 70.
    Tabela das principaisrazões trigonométricas 30º ou 45º ou 60º ou (π/6) rad (π/4) rad (π/3) rad Many Notes 1 2 3 sen 2 2 2 3 2 1 cos 2 2 2 3 1 tg 3 3
  • 71.
    sen tg T • Many Notes 30° ou π/6 cos •
  • 72.
    sen tg T • 1 Many Notes 45° ou π/4 cos •
  • 73.
    tg T sen • Many Notes 60° ou π/3 cos •
  • 74.
    Variação do sinalda tangente Sabemos que no triângulo retângulo ABC, temos: b c b sen   cos  tg   C a a c Many Notes Vamos calcular o seguinte a quociente: b b sen a  b  a  b  tg   α cos c a c c a A c B
  • 75.
    sen ⊕ ⊕ ⊖ ⊕ cos ⊖ ⊖ ⊖ ⊕ Many Notes tg Lembre-se que ⊕/⊕ = ⊕, ⊖/⊖ = ⊕, ⊕/⊖ = ⊖/⊕ = ⊖ ⊖ ⊕ ⊕ ⊖
  • 76.
    1º Q 2º Q 3º Q 4º Q π/6 π – π/6 π + π/6 2π – π/6 = 5π/6 = 7π/6 = 11π/6 sen Many Notes cos tg
  • 77.
    1º Q 2º Q 3º Q 4º Q π/4 π – π/4 π + π/4 2π – π/4 = 3π/4 = 5π/4 = 7π/4 sen Many Notes cos tg 1 –1 1 –1
  • 78.
    1º Q 2º Q 3º Q 4º Q π/3 π – π/3 π + π/3 2π – π/3 = 2π/3 = 4π/3 = 5π/3 sen Many Notes cos tg
  • 79.
    Agora, muita atenção! 0 π/2 π 3π/2 2π sen Many Notes cos tg 0 ∞ 0 ∞ 0 A divisão por zero não é definida em Matemática, mas podemos considerar aqui que os prolongamentos dos raios nos arcos π/2 e 3π/2 resultariam em paralelas ao eixo das tangentes e, como sabemos, define-se que retas paralelas se “encontram” no infinito.
  • 80.
    Exemplos: sen tg T • Many Notes 30° ou π/6 cos • 330° ou 11π/6 • T’
  • 81.
    sen tg T • 1 Many Notes 45° ou π/4 cos • 135° ou 5π/4 •
  • 82.
    tg T sen • • Many Notes 120° ou 2π/3 60° ou π/3 • cos
  • 83.
    Exercícios Many Notes CONTINUAÇÃO
  • 84.
    13. Determine osvalores de: a) y  3 cos 540º 2sen90º tg180º b) y  4sen900º 2 cos 630º  cos 720º Many Notes Solução: Encontram-se os arcos côngruos, reduzindo ao 1° quadrante para determinações dos valores das funções e atribuindo seus respectivos sinais de acordo com os quadrantes.
  • 85.
    cos 540º cos 180º  1  a) sen 90º  1  y  3(1)  2(1)  0  3  2  5 tg 180º  0  sen 900º  sen180º  0  Many Notes b) cos 630º  cos 270º  0  y  4 ( 0)  2( 0 )  1  0  0  1  1 cos 720º  cos 360º  cos 0º  1 
  • 86.
    14. Determine osvalores máximos e mínimos das expressões: 4 cos x  1 a) y  3 b) y  2  5senx Many Notes 5 c) y  3sen 2 x  2 Solução: As funções seno e cosseno variam no intervalo [ – 1 , 1] onde (–1) é mínimo e (1) é máximo. No caso das funções estarem ao quadrado, o valor mínimo passa a ser (0), pois nenhum número ao quadrado pode ser negativo.
  • 87.
    ATENÇÃO! Many Notes  4(1)  1 5 máximo : y   4 cos x  1   3 3 a) y  3 mínimo : y  4(1)  1   3  1   3 3
  • 88.
    2  5(1) _ 7 2  5senx máximo : y   5  5 b y  ) 5 mínimo : y  2  5(1) _   3   5 5 Many Notes máximo : y  3(0)  2  2 c) y  3sen x  2   2 mínimo : y  3(1)  2  1
  • 89.
    15. Que valoresde m satisfarão a ambas as condições: Solução: Aplicando a relação fundamental Many Notes relacionando senos e cossenos, temos: ou
  • 90.
    3 senx  16. Sendo x um arco do 2° quadrante e , 5 determine: a) cos x Many Notes b) tg x Solução: No 2° quadrante o cosseno é negativo e a tangente também é negativa. Aplicando as relações fundamentais, temos:
  • 91.
    a) b) Many Notes
  • 92.
    17. Relacione ascolunas: Many Notes Solução: Encontrando o arco côngruo correspondente, avalia-se o sinal da função.
  • 93.
    a) 5240° 360° 1640 200° 14 sen 90° cos 200° = –cos 20° • Many Notes –cos 20° 20° 180° • • • 0° cos 20° cos 200° • 20° • 270°
  • 94.
    b) 1200° 360° 120° 3 sen 60° = cos 30° sen 90° • Many Notes 120° • 60° 60° 180° • • • 0° cos • 270°
  • 95.
    c) –210° +360° = 150° sen 150° = sen 30° sen 90° • Many Notes 150° • 30° 30° 180° • • • 0° cos • 270°
  • 96.
    d) sen tg 90° • Many Notes 150° • 30° 30° 180° • • • 0° cos • 270°
  • 97.
    d) sen 90° • Many Notes 120° • 60° 60° 180° • • • 0° cos • 270°
  • 98.
    d) sen cos 330° = cos 30° 90° • Many Notes 30° 180° • • • 0° cos 30° • 330° • 270°
  • 99.
  • 100.
    17. Relacione ascolunas: Many Notes
  • 101.
    1  sen300º 18.A expressão é igual a: tg 540º  cos( 120º ) sen 90° • Many Notes 60° 180° • • • 0° cos 60° ≡ 360° • 300° • 270°
  • 102.
    540° 360° 180° 1 sen tg 90° • Many Notes 180° • • • 0° cos • 270°
  • 103.
    –120° + 360°= 240° sen 90° • Many Notes 60° 180° • • • 0° cos 60° 240° • • 270°
  • 104.
    1  sen300º tg 540º  cos( 120º ) 0 Many Notes ⇒ ∴
  • 105.