Ψ
Fundamentos Teóricos em Psicologia II – Comportamentalismo
Aula 6
Discriminação e controle de estímulos 2
Prof. Dr. Caio Maximino
Ψ
Objetivos da aula
● Aprofundar os conceitos de discriminação e
generalização e conceitos correlatos
● Exemplificar e aprender a interpretar
resultados experimentais sobre controle de
estímulos
● Analisar o conceito de encadeamento de
respostas e sua relação com a contingência
de três termos
Ψ
O conceito de discriminação
● O estudo do controle de estímulos promete produzir
resultados importantes “na compreensão de
comportamentos humanos complexos, como é o caso
dos comportamentos envolvidos no conhecimento do
mundo e de si próprio” (SÉRIO et al., 2010, p. 8) →
COGNIÇÃO
● De fato, boa parte da obra de “divulgação” de Skinner
(Ciência e Comportamento Humano, Sobre o
Behaviorismo) busca a redução inter-teórica
● O controle de estímulos já estava presente em The
Behavior of Organisms (Skinner, 1938)
Controle
de estímulos
Gradientes
Exemplos
experimentais
Respostas
encadeadas
Fading
Ψ
Pombos podem ler?
Controle
de estímulos
Gradientes
Exemplos
experimentais
Respostas
encadeadas
Fading
Ψ
Controle de estímulos em 1938
● “Uma conexão entre um operante e um estímulo reforçador pode ser estabelecida independentemente de
qualquer estimulação específica que esteja agindo antes da resposta. (...) com atenção constante, é
possível reforçar uma resposta (…) sob muitos conjuntos diferentes de forças estimuladoras e
independentemente de qualquer conjunto específico. Na natureza, entretanto, a contingência de
reforçamento para uma dada resposta não é mágica; o operante deve operar sobre a natureza para produzir
seu reforçamento. Embora a resposta seja livre para ocorrer em um número muito grande de situações
estimuladoras, ela será efetiva na produção de reforçamento somente em uma pequena parte delas.
Usualmente, a situação favorável é marcada de alguma maneira e o organismo faz uma discriminação (...).
Ele passa a responder sempre que estiver presente o estímulo que estava presente na ocasião do
reforçamento anterior e a não responder em outras situações. O estímulo anterior (...) meramente
estabelece a ocasião na qual a resposta será reforçada.”
Controle
de estímulos
Gradientes
Exemplos
experimentais
Respostas
encadeadas
Fading
Ψ
Controle de estímulos em 1938
● Ao afirmar que “Embora a resposta seja livre para ocorrer em um número muito
grande de situações estimuladoras, ela será efetiva na produção de
reforçamento somente em uma pequena parte delas”, Skinner está delineando
a proposta que o operante discriminado é definido por sua relação com o
antecendente e com o consequente
● “Dizer que essa dupla relação é característica do comportamento operante é
supor que a sensibilidade aos estímulos que antecedem a resposta é produto
evolucionário.” (SÉRIO et al., 2010, p. 11)
● Como vimos na aula passada, isso não significa que o operante discriminado
seja eliciado; na verdade, o contexto (“antecedentes”) só pode estabelecer
controle sobre a resposta dentro de uma história de reforçamento diferencial.
● Discriminação é o controle de estímulos estabelecido dessa forma.
Controle
de estímulos
Gradientes
Exemplos
experimentais
Respostas
encadeadas
Fading
Ψ
SD
e S∆
● Estímulos discriminativos (SD
ou S+
) – Aumentam a
probabilidade da resposta ocorrer porque foram
associados à consequência
– “o estímulo na presença do qual a resposta foi reforçada”
● Estímulos delta (S∆
ou S-
) – Diminuem a
probabilidade da resposta ocorrer porque foram
associados à ausência de consequência
– “os estímulos na presença dos quais a resposta não foi
seguida de reforço”
Controle
de estímulos
Gradientes
Exemplos
experimentais
Respostas
encadeadas
Fading
Ψ
Discriminação e generalização
descrevem relações de controle
● Na psicologia do senso comum, os termos são entendidos como atividades do
organismo ou como propriedades do estímulo
● “[...] generalização não é uma atividade do organismo; é simplesmente um
termo que descreve o fato de que o controle adquirido por um estímulo é
compartilhado por outros estímulos com propriedades comuns ou, colocado de
outro modo, que o controle é compartilhado por todas as propriedades do
estímulo consideradas separadamente. (...) a discriminação (...) também não é
uma forma de ação por parte do organismo” (CCH, p. 147)
● “É verdade que estímulos podem ter propriedades físicas comuns e, em um
sentido físico, são, portanto, 'semelhantes'. Mas, quando as pessoas dizem que
as coisas são semelhantes, elas querem dizer que tendem a reagir a elas da
mesma maneira” (Keller e Schoenfeld, 1950, p. 124)
● “Discriminação e generalização descrevem relações de controle. São termos
que descrevem o fato de que uma determinada classe de respostas está sob
controle de uma classe de estímulos.” (SÉRIO et al., 2010, p. 28).
Controle
de estímulos
Gradientes
Exemplos
experimentais
Respostas
encadeadas
Fading
Ψ
Aquisição dos operantes
discriminados
● “O processo de estabelecimento de uma discriminação
envolve experiência com, pelo menos, uma classe de
respostas e dois conjuntos de estímulos: aqueles que
deverão assumir uma função de SD
para essa classe de
respostas e aqueles que deverão assumir uma função de
S∆
com relação a essa classe” (SÉRIO et al., p. 13)
● Discriminação sucessiva: SD
e S∆
apresentados em
sucessão; intervalo inter-estímulos é crucial
● Discriminação simultânea: SD
e S∆
apresentados em ao
mesmo tempo; posição dos estímulos é crucial
Controle
de estímulos
Gradientes
Exemplos
experimentais
Respostas
encadeadas
Fading
Ψ
Estímulos contínuos
● “Chamamos de estímulo qualquer evento do mundo que afeta
o comportamento. Um estímulo tem múltiplas dimensões
(características, atributos, propriedades)” (SÉRIO et al., p. 16)
● Se uma resposta é reforçada em durante um SD
, e alguma
propriedade do SD
é variada, o responder pode depender de
quanto o estímulo mudou; nesse caso, os efeitos do reforço
podem se estender para outros estímulos semelhantes
(generalização)
● “A extensão do efeito a outros estímulos denomina-se
generalização (...). O processo sugere que a noção de um
estímulo discreto é tão arbitrária quanto a de um operante
discreto.” (CCH, p. 132)
Controle
de estímulos
Gradientes
Exemplos
experimentais
Respostas
encadeadas
Fading
Ψ
Generalização
● Para avaliar um gradiente de generalização, treinamos um operante
discriminado e então, em extinção, apresentamos estímulos que
variam na mesma dimensão do SD
e avaliamos o responder
● “Assim, com base em um procedimento de discriminação, podemos
identificar duas classes de estímulos que aumentam a probabilidade
de ocorrência de uma resposta: a classe de estímulos na presença
da qual ocorreu o reforçamento e a classe de estímulos que, a partir
dessa experiência, efetivamente passa a controlar o responder.”
(SÉRIO et al., p. 18)
Controle
de estímulos
Gradientes
Exemplos
experimentais
Respostas
encadeadas
Fading
Ψ
Gradientes de generalização
● Um grupo de pombos foi treinado em
VI na presença constante do tom
●
Nem a frequência do tom nem sua
presença ou ausência
●
Outro grupo de pombos, o tom estava
presente em correlação com a resposta
●
A frequência original produziu a maior
frequência de Rs; quanto mais próxima
a frequência de teste da frequência
original, maior a taxa de R a essa nova
frequência
Jenkins e Harrison, 1960
Controle
de estímulos
Gradientes
Exemplos
experimentais
Respostas
encadeadas
Fading
Ψ
Gradientes de pós-discriminação
●
Aqui, um grupo de pombos teve seu
responder observado após o treino de
discriminação com somente SD
●
Em outro grupo, as bicadas ao disco
foram reforçadas sob SD
e extintas sob
outro comprimento de onda (S∆
)
●
O pico do gradiente foi deslocado em
direção oposta ao S∆
●
Spence (1937): O reforço na presença
de SD
cria um gradiente de resposta
“excitatório” centrado no SD
, enquanto
a extinção na presença de S∆
produz
um gradiente “inibitório”
●
Pode refletir propriedades fisiológicas
Hanson, 1959
Controle
de estímulos
Gradientes
Exemplos
experimentais
Respostas
encadeadas
Fading
Ψ
Gradientes de inibição
●
Um grupo de pombos foi treinado a
bicar um disco com uma linha vertical
com SD
, para outro grupo a linha vertical
era um S∆
●
No primeiro grupo, o responder em teste
de generalização diminuiu com os
maiores desvios na vertical; no segundo
grupo, o responder aumentou com os
maiores desvios da vertical
Honig et al., 1963
Controle
de estímulos
Gradientes
Exemplos
experimentais
Respostas
encadeadas
Fading
Ψ
Guttman (1974): Controle de
frequência e distribuição da resposta
● 7 pombos (Columba livia)
● 12 sessões de treino de discriminação:
– Sob uma luz de 550 nm, o comportamento de
bicar o disco era reforçado em um esquema
VI1min
– Sob uma luz de 570 nm, o comportamento
era reforçado em um esquema VI5min
Controle
de estímulos
Gradientes
Exemplos
experimentais
Respostas
encadeadas
Fading
Ψ
Resultados do treino
Controle
de estímulos
Gradientes
Exemplos
experimentais
Respostas
encadeadas
Fading
Ψ
Guttman (1974) – Teste de
generalização
● 1 teste de generalização: 10 estímulos
(510-590 nm, em incrementos de 10 nm)
apresentados aleatoriamente.
● Hanson (1959): Treino com SD
em 550 nm
e SΔ
em 570 nm
Controle
de estímulos
Gradientes
Exemplos
experimentais
Respostas
encadeadas
Fading
Ψ
Guttman (1974) e Hanson (1959) –
Teste de generalização
Controle
de estímulos
Gradientes
Exemplos
experimentais
Respostas
encadeadas
Fading
● A generalização parece estar sob controle das diferentes probabilidades
de reforço relacionadas com os diferentes estímulos
Ψ
Gradientes e atenção
● Gradientes são medidas do responder durante diferentes estímulos
como uma função de sua localização ao longo de um contínuo
● “Qualquer que seja o gradiente, podemos sempre formular questões
sobre as dimensões de estímulo a que de fato um organismo presta
atenção.” (Catania, 1999)
● “O controle exercido por um estímulo discriminativo é tratado
tradicionalmente no tópico atenção. Este conceito inverte a direção da
ação ao sugerir que não é o estímulo que controla o comportamento do
observador, mas é o observador que atenta para o estímulo e assim o
controla. Não obstante, às vezes reconhecemos que o objeto 'chama ou
mantém a atenção' do observador.” (CCH, p. 135)
Controle
de estímulos
Gradientes
Exemplos
experimentais
Respostas
encadeadas
Fading
Ψ
Exemplos cotidianos
● “Uma orientação dos olhos não é o único resultado
possível. O comportamento de procurar enxergar no
escuro ou em um espesso nevoeiro é um exemplo
de olhar com orientação para o campo visual inteiro.
O comportamento de examinar o campo - ou
responder a cada parte do campo de acordo com
algum padrão exploratório - é o comportamento que
é mais frequentemente reforçado pela descoberta de
objetos importantes; por consequência, torna-se
mais provável.” (CCH, p. 136)
● O controle de estímulos pode explicar vigilância
(“atentar para”) e atenção seletiva
Controle
de estímulos
Gradientes
Exemplos
experimentais
Respostas
encadeadas
Fading
Ψ
Reynolds, 1961: Discriminação de
orientação espacial
● 4 pombos
● Resposta de bicar o disco reforçada com
acesso ao alimento em esquema VI90s
● Estímulos: orientação do ápice de um
triângulo
● Várias fases experimentais
– Treino 1
– Treino discriminativo 1 (42 sessões): Rs
reforçadas somente quando emitidas diante
de duas posições do triângulo
– Treino discriminativo 2 (14 sessões): Durante
partes do percurso do triângulo, o disco era
escurecido
– Treino discriminativo 3 (43 sessões):
Reversão da discriminação
– Treino 2: Todas as respostas de bicar
reforçadas
Controle
de estímulos
Gradientes
Exemplos
experimentais
Respostas
encadeadas
Fading
Ψ
Ψ
Ψ
Lubinski e Thompson (1987):
Discriminação de estado interno
●
5 pombos
●
5 operanda (discos) associados a um reforçador (água ou alimento) ou a S
condicionados (letras N, D, ou S)
●
Sujeitos submetidos a um esquema de privação alternado: 28 h de privação de
alimento / 4 h de privação de água, OU 4 h de privação de alimento / 28 h de
privação de água
●
Treino inicial: Bicar o disco associado à água ou a alimento na presença de uma
luz azul piscante é reforçado com acesso aos reforçadores
●
Treino discriminativo: Injeção de pentobarbital (D), cocaína (S), ou salina (N); o
responder no disco correspondente na presença da luz produz água ou alimento
●
Teste de generalização: Clordiazepóxido, anfetamina, ou salina
Controle
de estímulos
Gradientes
Exemplos
experimentais
Respostas
encadeadas
Fading
Ψ
Encadeamento
● Um estímulo discriminativo também torna-se um estímulo
reforçador condicionado; “se apresentado como
conseqüência de uma determinada resposta, aumentará a
probabilidade de essa resposta voltar a ser emitida” (SÉRIO
et al., 2010, p. 47)
● Lubinski e Thompson (1987): A luz azul piscante é
estabelecida como SD
para a R e então utilizada como
reforçador condicionado para a R de bicar um dos 3 discos
com letras → ENCADEAMENTO
● A EMISSÃO DE UMA RESPOSTA ALTERA O AMBIENTE,
PRODUZINDO AS CONDIÇÕES QUE EVOCAM OUTRAS
RESPOSTAS.
Controle
de estímulos
Gradientes
Exemplos
experimentais
Respostas
encadeadas
Fading
Ψ
Encadeamento
● Cadeias de respostas podem ser mais ou menos organizadas
– “Quando saímos para um passeio, andando sem rumo pelo campo ou passeando ao
acaso em um museu ou uma loja, um episódio em nosso comportamento gera as
condições responsáveis por um outro.” (CCH, p. 244)
● Cadeias de respostas podem apresentar-se como uma unidade altamente
organizada, de forma que os elos (comportamentos) ocorrem mais ou menos na
mesma ordem e toda a cadeia é controlada por uma única consequência
● A aquisição de Rs encadeadas depende de:
– Modelagem de cada R
– Estabelecimento de controle discriminativo adequado para cada R
– Utilização da consequência de uma R como SD
para a R seguinte da cadeia
Controle
de estímulos
Gradientes
Exemplos
experimentais
Respostas
encadeadas
Fading
Ψ
Fading
● Transformação gradual de um S em outro, ou mudança
gradual de uma dimensão do estímulo
● Terrace (1963a): Intensidade de luz do SD
mantida
constante; SΔ
introduzido gradualmente, manipulando
intensidade do S e duração de sua apresentação
– Animais expostos a esse procedimento não emitem respostas ao
SΔ
mesmo não tendo passado por EXT
● Terrace (1963b): Animais que já discriminavam verde e
vermelho aprendem nova discriminação, com S vermelho
com linha vertical branca e S verde com linha horizontal
branca; esvanecimento da cor do S coloca os animais sob
controle da posição das linhas
Controle
de estímulos
Gradientes
Exemplos
experimentais
Respostas
encadeadas
Fading

Discriminação e controle de estímulos 2

  • 1.
    Ψ Fundamentos Teóricos emPsicologia II – Comportamentalismo Aula 6 Discriminação e controle de estímulos 2 Prof. Dr. Caio Maximino
  • 2.
    Ψ Objetivos da aula ●Aprofundar os conceitos de discriminação e generalização e conceitos correlatos ● Exemplificar e aprender a interpretar resultados experimentais sobre controle de estímulos ● Analisar o conceito de encadeamento de respostas e sua relação com a contingência de três termos
  • 3.
    Ψ O conceito dediscriminação ● O estudo do controle de estímulos promete produzir resultados importantes “na compreensão de comportamentos humanos complexos, como é o caso dos comportamentos envolvidos no conhecimento do mundo e de si próprio” (SÉRIO et al., 2010, p. 8) → COGNIÇÃO ● De fato, boa parte da obra de “divulgação” de Skinner (Ciência e Comportamento Humano, Sobre o Behaviorismo) busca a redução inter-teórica ● O controle de estímulos já estava presente em The Behavior of Organisms (Skinner, 1938) Controle de estímulos Gradientes Exemplos experimentais Respostas encadeadas Fading
  • 4.
    Ψ Pombos podem ler? Controle deestímulos Gradientes Exemplos experimentais Respostas encadeadas Fading
  • 5.
    Ψ Controle de estímulosem 1938 ● “Uma conexão entre um operante e um estímulo reforçador pode ser estabelecida independentemente de qualquer estimulação específica que esteja agindo antes da resposta. (...) com atenção constante, é possível reforçar uma resposta (…) sob muitos conjuntos diferentes de forças estimuladoras e independentemente de qualquer conjunto específico. Na natureza, entretanto, a contingência de reforçamento para uma dada resposta não é mágica; o operante deve operar sobre a natureza para produzir seu reforçamento. Embora a resposta seja livre para ocorrer em um número muito grande de situações estimuladoras, ela será efetiva na produção de reforçamento somente em uma pequena parte delas. Usualmente, a situação favorável é marcada de alguma maneira e o organismo faz uma discriminação (...). Ele passa a responder sempre que estiver presente o estímulo que estava presente na ocasião do reforçamento anterior e a não responder em outras situações. O estímulo anterior (...) meramente estabelece a ocasião na qual a resposta será reforçada.” Controle de estímulos Gradientes Exemplos experimentais Respostas encadeadas Fading
  • 6.
    Ψ Controle de estímulosem 1938 ● Ao afirmar que “Embora a resposta seja livre para ocorrer em um número muito grande de situações estimuladoras, ela será efetiva na produção de reforçamento somente em uma pequena parte delas”, Skinner está delineando a proposta que o operante discriminado é definido por sua relação com o antecendente e com o consequente ● “Dizer que essa dupla relação é característica do comportamento operante é supor que a sensibilidade aos estímulos que antecedem a resposta é produto evolucionário.” (SÉRIO et al., 2010, p. 11) ● Como vimos na aula passada, isso não significa que o operante discriminado seja eliciado; na verdade, o contexto (“antecedentes”) só pode estabelecer controle sobre a resposta dentro de uma história de reforçamento diferencial. ● Discriminação é o controle de estímulos estabelecido dessa forma. Controle de estímulos Gradientes Exemplos experimentais Respostas encadeadas Fading
  • 7.
    Ψ SD e S∆ ● Estímulosdiscriminativos (SD ou S+ ) – Aumentam a probabilidade da resposta ocorrer porque foram associados à consequência – “o estímulo na presença do qual a resposta foi reforçada” ● Estímulos delta (S∆ ou S- ) – Diminuem a probabilidade da resposta ocorrer porque foram associados à ausência de consequência – “os estímulos na presença dos quais a resposta não foi seguida de reforço” Controle de estímulos Gradientes Exemplos experimentais Respostas encadeadas Fading
  • 8.
    Ψ Discriminação e generalização descrevemrelações de controle ● Na psicologia do senso comum, os termos são entendidos como atividades do organismo ou como propriedades do estímulo ● “[...] generalização não é uma atividade do organismo; é simplesmente um termo que descreve o fato de que o controle adquirido por um estímulo é compartilhado por outros estímulos com propriedades comuns ou, colocado de outro modo, que o controle é compartilhado por todas as propriedades do estímulo consideradas separadamente. (...) a discriminação (...) também não é uma forma de ação por parte do organismo” (CCH, p. 147) ● “É verdade que estímulos podem ter propriedades físicas comuns e, em um sentido físico, são, portanto, 'semelhantes'. Mas, quando as pessoas dizem que as coisas são semelhantes, elas querem dizer que tendem a reagir a elas da mesma maneira” (Keller e Schoenfeld, 1950, p. 124) ● “Discriminação e generalização descrevem relações de controle. São termos que descrevem o fato de que uma determinada classe de respostas está sob controle de uma classe de estímulos.” (SÉRIO et al., 2010, p. 28). Controle de estímulos Gradientes Exemplos experimentais Respostas encadeadas Fading
  • 9.
    Ψ Aquisição dos operantes discriminados ●“O processo de estabelecimento de uma discriminação envolve experiência com, pelo menos, uma classe de respostas e dois conjuntos de estímulos: aqueles que deverão assumir uma função de SD para essa classe de respostas e aqueles que deverão assumir uma função de S∆ com relação a essa classe” (SÉRIO et al., p. 13) ● Discriminação sucessiva: SD e S∆ apresentados em sucessão; intervalo inter-estímulos é crucial ● Discriminação simultânea: SD e S∆ apresentados em ao mesmo tempo; posição dos estímulos é crucial Controle de estímulos Gradientes Exemplos experimentais Respostas encadeadas Fading
  • 10.
    Ψ Estímulos contínuos ● “Chamamosde estímulo qualquer evento do mundo que afeta o comportamento. Um estímulo tem múltiplas dimensões (características, atributos, propriedades)” (SÉRIO et al., p. 16) ● Se uma resposta é reforçada em durante um SD , e alguma propriedade do SD é variada, o responder pode depender de quanto o estímulo mudou; nesse caso, os efeitos do reforço podem se estender para outros estímulos semelhantes (generalização) ● “A extensão do efeito a outros estímulos denomina-se generalização (...). O processo sugere que a noção de um estímulo discreto é tão arbitrária quanto a de um operante discreto.” (CCH, p. 132) Controle de estímulos Gradientes Exemplos experimentais Respostas encadeadas Fading
  • 11.
    Ψ Generalização ● Para avaliarum gradiente de generalização, treinamos um operante discriminado e então, em extinção, apresentamos estímulos que variam na mesma dimensão do SD e avaliamos o responder ● “Assim, com base em um procedimento de discriminação, podemos identificar duas classes de estímulos que aumentam a probabilidade de ocorrência de uma resposta: a classe de estímulos na presença da qual ocorreu o reforçamento e a classe de estímulos que, a partir dessa experiência, efetivamente passa a controlar o responder.” (SÉRIO et al., p. 18) Controle de estímulos Gradientes Exemplos experimentais Respostas encadeadas Fading
  • 12.
    Ψ Gradientes de generalização ●Um grupo de pombos foi treinado em VI na presença constante do tom ● Nem a frequência do tom nem sua presença ou ausência ● Outro grupo de pombos, o tom estava presente em correlação com a resposta ● A frequência original produziu a maior frequência de Rs; quanto mais próxima a frequência de teste da frequência original, maior a taxa de R a essa nova frequência Jenkins e Harrison, 1960 Controle de estímulos Gradientes Exemplos experimentais Respostas encadeadas Fading
  • 13.
    Ψ Gradientes de pós-discriminação ● Aqui,um grupo de pombos teve seu responder observado após o treino de discriminação com somente SD ● Em outro grupo, as bicadas ao disco foram reforçadas sob SD e extintas sob outro comprimento de onda (S∆ ) ● O pico do gradiente foi deslocado em direção oposta ao S∆ ● Spence (1937): O reforço na presença de SD cria um gradiente de resposta “excitatório” centrado no SD , enquanto a extinção na presença de S∆ produz um gradiente “inibitório” ● Pode refletir propriedades fisiológicas Hanson, 1959 Controle de estímulos Gradientes Exemplos experimentais Respostas encadeadas Fading
  • 14.
    Ψ Gradientes de inibição ● Umgrupo de pombos foi treinado a bicar um disco com uma linha vertical com SD , para outro grupo a linha vertical era um S∆ ● No primeiro grupo, o responder em teste de generalização diminuiu com os maiores desvios na vertical; no segundo grupo, o responder aumentou com os maiores desvios da vertical Honig et al., 1963 Controle de estímulos Gradientes Exemplos experimentais Respostas encadeadas Fading
  • 15.
    Ψ Guttman (1974): Controlede frequência e distribuição da resposta ● 7 pombos (Columba livia) ● 12 sessões de treino de discriminação: – Sob uma luz de 550 nm, o comportamento de bicar o disco era reforçado em um esquema VI1min – Sob uma luz de 570 nm, o comportamento era reforçado em um esquema VI5min Controle de estímulos Gradientes Exemplos experimentais Respostas encadeadas Fading
  • 16.
    Ψ Resultados do treino Controle deestímulos Gradientes Exemplos experimentais Respostas encadeadas Fading
  • 17.
    Ψ Guttman (1974) –Teste de generalização ● 1 teste de generalização: 10 estímulos (510-590 nm, em incrementos de 10 nm) apresentados aleatoriamente. ● Hanson (1959): Treino com SD em 550 nm e SΔ em 570 nm Controle de estímulos Gradientes Exemplos experimentais Respostas encadeadas Fading
  • 18.
    Ψ Guttman (1974) eHanson (1959) – Teste de generalização Controle de estímulos Gradientes Exemplos experimentais Respostas encadeadas Fading ● A generalização parece estar sob controle das diferentes probabilidades de reforço relacionadas com os diferentes estímulos
  • 19.
    Ψ Gradientes e atenção ●Gradientes são medidas do responder durante diferentes estímulos como uma função de sua localização ao longo de um contínuo ● “Qualquer que seja o gradiente, podemos sempre formular questões sobre as dimensões de estímulo a que de fato um organismo presta atenção.” (Catania, 1999) ● “O controle exercido por um estímulo discriminativo é tratado tradicionalmente no tópico atenção. Este conceito inverte a direção da ação ao sugerir que não é o estímulo que controla o comportamento do observador, mas é o observador que atenta para o estímulo e assim o controla. Não obstante, às vezes reconhecemos que o objeto 'chama ou mantém a atenção' do observador.” (CCH, p. 135) Controle de estímulos Gradientes Exemplos experimentais Respostas encadeadas Fading
  • 20.
    Ψ Exemplos cotidianos ● “Umaorientação dos olhos não é o único resultado possível. O comportamento de procurar enxergar no escuro ou em um espesso nevoeiro é um exemplo de olhar com orientação para o campo visual inteiro. O comportamento de examinar o campo - ou responder a cada parte do campo de acordo com algum padrão exploratório - é o comportamento que é mais frequentemente reforçado pela descoberta de objetos importantes; por consequência, torna-se mais provável.” (CCH, p. 136) ● O controle de estímulos pode explicar vigilância (“atentar para”) e atenção seletiva Controle de estímulos Gradientes Exemplos experimentais Respostas encadeadas Fading
  • 21.
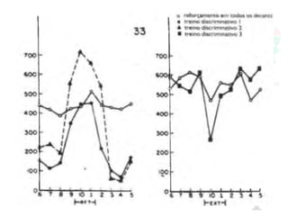
    Ψ Reynolds, 1961: Discriminaçãode orientação espacial ● 4 pombos ● Resposta de bicar o disco reforçada com acesso ao alimento em esquema VI90s ● Estímulos: orientação do ápice de um triângulo ● Várias fases experimentais – Treino 1 – Treino discriminativo 1 (42 sessões): Rs reforçadas somente quando emitidas diante de duas posições do triângulo – Treino discriminativo 2 (14 sessões): Durante partes do percurso do triângulo, o disco era escurecido – Treino discriminativo 3 (43 sessões): Reversão da discriminação – Treino 2: Todas as respostas de bicar reforçadas Controle de estímulos Gradientes Exemplos experimentais Respostas encadeadas Fading
  • 22.
  • 23.
  • 24.
    Ψ Lubinski e Thompson(1987): Discriminação de estado interno ● 5 pombos ● 5 operanda (discos) associados a um reforçador (água ou alimento) ou a S condicionados (letras N, D, ou S) ● Sujeitos submetidos a um esquema de privação alternado: 28 h de privação de alimento / 4 h de privação de água, OU 4 h de privação de alimento / 28 h de privação de água ● Treino inicial: Bicar o disco associado à água ou a alimento na presença de uma luz azul piscante é reforçado com acesso aos reforçadores ● Treino discriminativo: Injeção de pentobarbital (D), cocaína (S), ou salina (N); o responder no disco correspondente na presença da luz produz água ou alimento ● Teste de generalização: Clordiazepóxido, anfetamina, ou salina Controle de estímulos Gradientes Exemplos experimentais Respostas encadeadas Fading
  • 25.
    Ψ Encadeamento ● Um estímulodiscriminativo também torna-se um estímulo reforçador condicionado; “se apresentado como conseqüência de uma determinada resposta, aumentará a probabilidade de essa resposta voltar a ser emitida” (SÉRIO et al., 2010, p. 47) ● Lubinski e Thompson (1987): A luz azul piscante é estabelecida como SD para a R e então utilizada como reforçador condicionado para a R de bicar um dos 3 discos com letras → ENCADEAMENTO ● A EMISSÃO DE UMA RESPOSTA ALTERA O AMBIENTE, PRODUZINDO AS CONDIÇÕES QUE EVOCAM OUTRAS RESPOSTAS. Controle de estímulos Gradientes Exemplos experimentais Respostas encadeadas Fading
  • 26.
    Ψ Encadeamento ● Cadeias derespostas podem ser mais ou menos organizadas – “Quando saímos para um passeio, andando sem rumo pelo campo ou passeando ao acaso em um museu ou uma loja, um episódio em nosso comportamento gera as condições responsáveis por um outro.” (CCH, p. 244) ● Cadeias de respostas podem apresentar-se como uma unidade altamente organizada, de forma que os elos (comportamentos) ocorrem mais ou menos na mesma ordem e toda a cadeia é controlada por uma única consequência ● A aquisição de Rs encadeadas depende de: – Modelagem de cada R – Estabelecimento de controle discriminativo adequado para cada R – Utilização da consequência de uma R como SD para a R seguinte da cadeia Controle de estímulos Gradientes Exemplos experimentais Respostas encadeadas Fading
  • 27.
    Ψ Fading ● Transformação gradualde um S em outro, ou mudança gradual de uma dimensão do estímulo ● Terrace (1963a): Intensidade de luz do SD mantida constante; SΔ introduzido gradualmente, manipulando intensidade do S e duração de sua apresentação – Animais expostos a esse procedimento não emitem respostas ao SΔ mesmo não tendo passado por EXT ● Terrace (1963b): Animais que já discriminavam verde e vermelho aprendem nova discriminação, com S vermelho com linha vertical branca e S verde com linha horizontal branca; esvanecimento da cor do S coloca os animais sob controle da posição das linhas Controle de estímulos Gradientes Exemplos experimentais Respostas encadeadas Fading