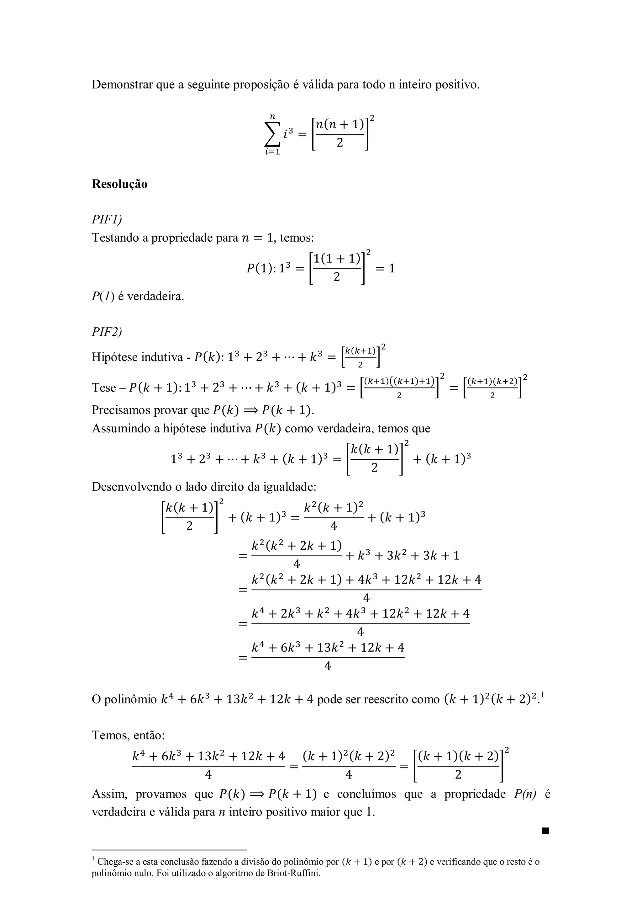
Demonstrar que a seguinte proposição é válida para todo n inteiro positivo.


                                                                       (                   )
                                          ∑                    [                               ]


Resolução

PIF1)
Testando a propriedade para                    , temos:
                                                                   (                       )
                                        ( )                    [                               ]

P(1) é verdadeira.

PIF2)
                                                                                       (            )
Hipótese indutiva - ( )                                                        *                        +
                                                                                               (            )((         )        )            (    )(       )
Tese – (             )                                 (                   )               *                                         +    *                     +
Precisamos provar que ( )      (     ).
Assumindo a hipótese indutiva ( ) como verdadeira, temos que
                                                                                           (                    )
                                                   (               )               [                                ]        (            )

Desenvolvendo o lado direito da igualdade:
                     (      )                                      (                   )
                 [              ]   (          )                                                        (               )

                                           (                                   )

                                           (                                   )




O polinômio                                                        pode ser reescrito como (                                                      ) (               ) .1

Temos, então:
                                                           (                   ) (                          )            (               )(         )
                                                                                                                        [                               ]

Assim, provamos que ( )              (      ) e concluímos que a propriedade P(n) é
verdadeira e válida para n inteiro positivo maior que 1.


1
 Chega-se a esta conclusão fazendo a divisão do polinômio por (                                    ) e por (                 ) e verificando que o resto é o
polinômio nulo. Foi utilizado o algoritmo de Briot-Ruffini.
Demonstrar que a seguinte proposição é válida para todo n inteiro positivo.

                               ∑ (             )


Resolução:
PIF1)
Testando a propriedade para                  , temos:

                               ( )       ( )
P(1) é verdadeira.

PIF2)
Hipótese indutiva - ( )                        ( )
                                                                          (   )
Tese – (       )                   ( )             (      )( )


Precisamos provar que ( )      (     ).
Assumindo a hipótese indutiva ( ) como verdadeira, temos que

                         ( )             (         )( )                       (   )( )


Desenvolvendo o lado direito da igualdade:
                                                                     (    )
                     (          )( )


                     (         )               *                 (       )+              (   )




Assim, provamos que ( )              (      ) e concluímos que a propriedade P(n) é
verdadeira e válida para n inteiro positivo maior que 1.

Exercícios - Princípio da Indução Finita (PIF)

  • 1.
    Demonstrar que aseguinte proposição é válida para todo n inteiro positivo. ( ) ∑ [ ] Resolução PIF1) Testando a propriedade para , temos: ( ) ( ) [ ] P(1) é verdadeira. PIF2) ( ) Hipótese indutiva - ( ) * + ( )(( ) ) ( )( ) Tese – ( ) ( ) * + * + Precisamos provar que ( ) ( ). Assumindo a hipótese indutiva ( ) como verdadeira, temos que ( ) ( ) [ ] ( ) Desenvolvendo o lado direito da igualdade: ( ) ( ) [ ] ( ) ( ) ( ) ( ) O polinômio pode ser reescrito como ( ) ( ) .1 Temos, então: ( ) ( ) ( )( ) [ ] Assim, provamos que ( ) ( ) e concluímos que a propriedade P(n) é verdadeira e válida para n inteiro positivo maior que 1. 1 Chega-se a esta conclusão fazendo a divisão do polinômio por ( ) e por ( ) e verificando que o resto é o polinômio nulo. Foi utilizado o algoritmo de Briot-Ruffini.
  • 2.
    Demonstrar que aseguinte proposição é válida para todo n inteiro positivo. ∑ ( ) Resolução: PIF1) Testando a propriedade para , temos: ( ) ( ) P(1) é verdadeira. PIF2) Hipótese indutiva - ( ) ( ) ( ) Tese – ( ) ( ) ( )( ) Precisamos provar que ( ) ( ). Assumindo a hipótese indutiva ( ) como verdadeira, temos que ( ) ( )( ) ( )( ) Desenvolvendo o lado direito da igualdade: ( ) ( )( ) ( ) * ( )+ ( ) Assim, provamos que ( ) ( ) e concluímos que a propriedade P(n) é verdadeira e válida para n inteiro positivo maior que 1.