Teste de hipóteses para
comparação de duas médias
Comparação de duas médias
• Objetivo: Comparar as médias amostrais de
  duas populações.

• 1º passo: Verificar se as variáveis estão ou não
  relacionadas.
• 2º passo: Considerar a variabilidade associada
  aos valores populacionais e amostrais.
dependentes

2 amostras

                             variâncias iguais
             independentes

                             variâncias diferentes
Amostras dependentes (teste t-pareado)
• São comparadas duas médias populacionais sendo
  que, para cada unidade amostral, realizou-se duas
  medições da característica de interesse.
  Correspondem a medidas tomadas antes e após uma
  dada intervenção.

• Ex: Uma distribuidora de combustíveis deseja verificar se
  um novo tipo de gasolina é eficaz na revitalização de
  motores velhos. Selecionou-se 12 automóveis de um
  mesmo modelo com mais de 8 anos de uso e, após
  regulagem dos motores, verifica-se o consumo de
  combustível. Em seguida, o carro é abastecido com o
  novo tipo de combustível durante 15 semanas e uma
  nova aferição é feita.
• Como o desempenho dos automóveis foi
  medido antes e depois das 15 semanas, é
  razoável assumir que exista alguma
  dependência entre as variáveis.
• Essa é a típica situação que o teste t-pareado
  deve ser utilizado.

• As medidas tomadas antes e após a
  intervenção realizada serão representadas
  pelas v.a.s Xi e Yi.

• O efeito produzido pelo i-ésimo indivíduo,
  pode ser representado pela variável Di= Yi - Xi.
• Supondo, para i=1,...,n, “ASSUMIMOS”, por
  hipótese, que:
                 Di ~ N(D ,2D)

Queremos testar as hipóteses:
H0: A intervenção não produz efeito (D = 0)
Ha: A intervenção produziu algum efeito (D  0)

A hipótese alternativa também pode ser
  unilateral!!!!
• O parâmetro D é estimado pela média amostral de
  D e sua variância é estimada por:
                          n
                 1
            S 
              2
              D       ( Di  D ) .
                n  1 i 1
                                 2



• O teste de hipóteses é realizado utilizando-se a
  quantidade :
                       D  D
                    t
                       SD
                            n
• Que sob H0, segue uma distribuição t-Student com n-
  1 graus de liberdade.
• Valores observados para os 12 automóveis:

Autom.      1      2     3     4     5      6     7      8      9      10     11     12
Após (Y)    11,6   8,8   9,9   9,5   11,6   9,1   10,6   10,8   13,4   10,6   10,5   11,4
Antes (X)   8,1    7,9   6,8   7,8   7,6    7,9   5,7    8,4    8,0    9,5    8,0    6,8
D=Y-X       3,5    0,9   3,1   1,7   4,0    1,2   4,9    2,4    5,4    1,1    2,5    4,6

 • A média e a variância amostrais de D são:
                     Dm=2,9 e S2=2,4.

 • 1º Passo: Definir as hipóteses nula e alternativa:
 H0: D = 0 (O novo combustível não aumenta o rendimento)
 Há: D > 0 (o novo combustível aumenta o rendimento)
• 2 Passo: Definir a região crítica com base na
  hipótese alternativa:
         Teste unilateral, RC:{xR|x>xc}
• 3 Passo: Identificar a distribuição do
  estimador e encontrar a estimativa:

                     D
                        d     i

                           n
    Por “HIPÓTESE”, tem-se: D~N(D , 2D/n)
• 4 Passo: Fixar  e determinar a região crítica.
               =5%  t=1,796
xc  0
 tc 
       2,4
           12
                           RC={x  : x>0,80}
                2,4
 xc  0  1,796
                12
 xc  0,80


• 5 Passo: Conclusão
Como Dobs = 2,9 e Dobs>0,80, rejeitamos H0 e
  concluímos que o novo combustível é eficaz
  na melhora do rendimento.
Amostras independentes
             Variâncias IGUAIS
• Geralmente não se tem informações a respeito do
  valor das variâncias das populações. Entretanto,
  alguns processos nos levam a crer que, apesar de
  desconhecidas, as variâncias são iguais para duas
  populações.

• Ex.: Digitadores são treinados em uma empresa em duas
  turmas distintas. Na primeira (TURMA J) utiliza-se um método
  japonês, na segunda (TURMA A) utiliza-se um método
  alemão. Deseja-se comparar os dois métodos. Foram
  escolhidas duas amostras aleatoriamente (uma de cada
  turma) e mediu-se o tempo gasto na realização de uma tarefa
  para cada aluno.
• Apesar de não conhecidas, as variâncias
  populacionais para as duas turmas são consideradas
  iguais com base em estudos anteriores.
• Os dados obtidos foram:

 Turma                                 Tempos (min)

 J       10   13   9    10   14   13     10   15   12   10   9    10   13   14
 A       15   12   18   16   15   17     17   15   16   17   11   17   14



• Formalizando o problema temos:
• Supomos que os dados apresentados para as turmas
  J e A são variáveis aleatórias independentes (X1,...,Xn)
  e (Y1,...Yn), respectivamente e que seguem a
  distribuição Normal.
• Portanto
             Xi ~ N(X, 2), i= 1, 2, ..., n1
             Yj ~ N(Y, 2), j= 1, 2, ..., n2

OBS: Para ambas as populações temos a mesma
 variância (desconhecida!!!)

Queremos testar se existe diferença entre o tempo
 médio de digitação dos dois métodos, ou seja:
    H0: X = Y
    Ha: X  Y     ou (Ha: X < Y | Ha: X > Y)
• Testar se as médias populacionais são iguais é
  equivalente a testar se a diferença entre elas é
  “estatisticamente” igual a 0.

• Logo podemos reescrever as hipóteses em
  termos de D = X - Y
     H0: D = 0
     Ha: D  0 ou (Ha: D < 0 | Ha: D > 0)

Desta forma usaremos o estimador (intuitivo)
                  D=X-Y
• Do TLC tem-se que se n>30

                       2
                                       
                                         2
          X ~ N   X ,  e Y ~ N  Y , 
                
                      n1 
                                  
                                       n2 
                                           
• Se n30 usaremos a distribuição t-Student !!!
• Como as amostras são independentes:
E(D) = E(X-Y) = E(X + (-1)Y) = E(X) + (-1)E(Y) = E(X) - E(Y)
  = X - Y

Var(D) = Var(X-Y) = Var(X + (-1)Y) = Var(X) + Var(-1Y) =
                                           2       2
Var(X) + (-1)2Var(Y) = Var(X) + Var(Y) =        
                                           n1       n2
• Como X e Y têm distribuição normal (se n>30)
  então:
                                2  2 
          D ~ N   X  Y , 
                               n       
                
                               1    n2  
                                         
• Se n  30 usa-se a distribuição t–Student
  (cuidado com os graus de liberdade!!!)

• Como 2 é desconhecida, precisará ser
  estimada. Como SX2 e SY2 são estimadores não
  viciados dessa variância, usaremos como
  estimativa para 2 uma combinação deles
  dada por:
S 
 2  (n1  1) S  (n2  1) S
             2
             X
                           2
                           Y
                            
                                    ( X i  X ) 2  (Y j  Y ) 2
       (n1  1)  (n2  1)                    n1  n2  2
 C




 SC2 é uma média ponderada entre SX2 e SY2 e é um
   estimador não viciado!!!

 Se n30
                      D  (  X  Y )
                 t                      ~ t( n1  n2 2)
                               2
                             S C
                           n1  n2
• Logo
     =P(Rejeitar H0|H0 verd) = P(t<-tc ou t>tc|H0)

tc é obtido pela tabela da distribuição t-Student com
   n1+n2 -2 graus de liberdade.

A região crítica será dada por:
                  RC={tR|t<-tc ou t>tc}
Obtidas as amostras, substituindo as estimativas de D e
  Sc na expressão de t, obtém-se o valor tobs.

• Rejeita-se H0 se tobs pertencer à região crítica.
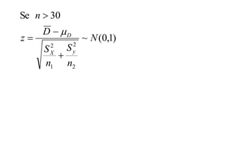
Se n>30

                      D  (  X  Y )
                 z                      ~ N (0,1)
                              2
                             SC
                           n1  n2

Então
        =P(Rejeitar H0|H0 verd) = P(z<-zc ou z>zc|H0)

zc é obtido pela tabela da distribuição Normal (0,1)

A região crítica será dada por:
                   RC={zR|z<-zc ou z>zc}
Obtidas as amostras, substituindo as estimativas de D e
  Sc na expressão de t, obtém-se o valor zobs.

• Rejeita-se H0 se zobs pertencer à região crítica.

• Voltando ao exemplo: Digitadores são treinados em uma
  empresa em duas turmas distintas. Na primeira (TURMA J)
  utiliza-se um método japonês, na segunda (TURMA A) utiliza-
  se um método alemão. Deseja-se comparar os dois métodos.
  Foram escolhidas duas amostras aleatoriamente (uma de cada
  turma) e mediu-se o tempo gasto na realização de uma tarefa
  para cada aluno.
Turma                                 Tempos (min)

 J       10   13   9    10   14   13     10   15   12   10   9    10   13   14

 A       15   12   18   16   15   17     17   15   16   17   11   17   14


• As amostras forneceram os seguintes valores:
        Turma J: n1=14, Xobs=11,57e SX2=4,1
       Turma A: n2=13, Yobs= 15,38 e SY2= 4,3

Então:
 Dobs = 11,57 – 15,38 = -3,81
      (n1  1) S X  (n2  1) SY 13 * 4,1  12 * 4,3
                 2             2
 SC 
  2
                                                     4,2
         (n1  1)  (n2  1)             25
• Como a hipótese alternativa é bilateral e n<30, a
  região crítica tem a forma:
                  RC={tR|t<-tc ou t>tc}.

Logo para =0,01, temos:
     =P(Rejeitar H0|H0 verd) = P(t<-tc ou t>tc|H0).

Da tabela da t-Student com 25 graus de liberdade,
  obtemos tc=2,787.

Então RC={tR|t<-2,787 ou t>2,787}.
• Usando a estatística do teste temos:
           D  (  X  Y )      3,81  0
      t                                   4,83
                   2
                  SC
                                    4,2
                n1  n2           14  13



• Como -4,83 pertence a região crítica,
  concluímos que os métodos de fato diferem a
  um nível de significância de 1%.
Amostras independentes
           Variâncias DIFERENTES
• O teste para o caso com as variâncias desconhecidas
  e desiguais é semelhante ao anterior, mas a
  quantidade a ser usada para aceitar ou rejeitar H0 se
  n30 será:

                 D  (  X  Y )
            t                      ~t 
                       2      2
                     S   S
                       
                       X      y

                     n1 n2
• Mas os graus de liberdade  são corrigidos
  pela expressão:

                              2
                SX S 
                   2      2
                       y
               n       n2 
              1         
                            2 2
             SX   Sy 
                 2   2

                    
             n  n 
             1   2 
              n1  1     n2  1
• Se n>30


             D  (  X  Y )
        z                      ~ N (0,1)
                  2      2
                 S   S
                  X
                        y

                 n1 n2


• A seqüência do teste é igual aos casos
  anteriores.
RESUMO
1) Amostras relacionadas (teste t-pareado)
• Estimadores:

    D
         Di            SD 
                          2     ( Di  D ) 2
          n                        n 1
• Estatística do teste:
   Para todo n                Por aprox. se n  120
        D  D                     D  D
   t            ~ t( n 1)   z            ~ N (0,1)
            2                         2
          S D                        SD
           n                          n
2) Amostras independentes com variâncias
  desconhecidas e iguais
• Estimadores:
                                        (n1  1) S X  (n2  1) SY
                                                   2             2

       D  X Y                    SC 
                                    2

                                           (n1  1)  (n2  1)

• Estatística do teste:
Se n  30                              Se n  30
     D  D                                  D  D
t             ~ t( n1  n2  2)        z              ~ N (0,1)
         2                                        2
       SC                                       SC
     n1  n2                                  n1  n2
3) Amostras independentes com variâncias
  desconhecidas e desiguais
• Estimadores:
                                   2   2
                                 S X SY
       D  X Y             SD 
                             2
                                     
                                 n1 n2

• Estatística do teste:
  Se n  30                       S 2
                                         S 
                                           2   2

                                    X
                                         y
                                  n     n2 
        D  D                   1       
  t                 ~t                     2 2
          2
             S   2
                                SX   Sy 
                                    2 2
         SX
                y                    
                                n  n 
         n1 n2                  1   2 
                                 n1  1   n2  1
Se n  30
     D  D
z               ~ N (0,1)
      2      2
     S      Sy
      X
       
     n1 n2
Exercício: Num estudo sobre doenças infantis, desejamos
investigar se a incidência de casos de contaminação por
vermes é afetada pela idade. Dois grupos de crianças, um
com idades de 2 a 4 anos (GRUPO I) e outro, com idades
de 7 a 9 anos (GRUPO II) foram escolhidos para serem
examinados quanto à ocorrência de vermes. Os dados são
apresentados:
              Grupo Amostra Proporção com Verminose
                I     120             0,085
                II    260             0,103


Para saber se as duas faixas etárias acima tem o mesmo
comportamento, realize um teste de hipóteses
envolvendo a proporção de crianças com verminose.
Considere =5% e variâncias iguais.

Aula 14 new

  • 1.
    Teste de hipótesespara comparação de duas médias
  • 2.
    Comparação de duasmédias • Objetivo: Comparar as médias amostrais de duas populações. • 1º passo: Verificar se as variáveis estão ou não relacionadas. • 2º passo: Considerar a variabilidade associada aos valores populacionais e amostrais.
  • 3.
    dependentes 2 amostras variâncias iguais independentes variâncias diferentes
  • 4.
    Amostras dependentes (testet-pareado) • São comparadas duas médias populacionais sendo que, para cada unidade amostral, realizou-se duas medições da característica de interesse. Correspondem a medidas tomadas antes e após uma dada intervenção. • Ex: Uma distribuidora de combustíveis deseja verificar se um novo tipo de gasolina é eficaz na revitalização de motores velhos. Selecionou-se 12 automóveis de um mesmo modelo com mais de 8 anos de uso e, após regulagem dos motores, verifica-se o consumo de combustível. Em seguida, o carro é abastecido com o novo tipo de combustível durante 15 semanas e uma nova aferição é feita.
  • 5.
    • Como odesempenho dos automóveis foi medido antes e depois das 15 semanas, é razoável assumir que exista alguma dependência entre as variáveis. • Essa é a típica situação que o teste t-pareado deve ser utilizado. • As medidas tomadas antes e após a intervenção realizada serão representadas pelas v.a.s Xi e Yi. • O efeito produzido pelo i-ésimo indivíduo, pode ser representado pela variável Di= Yi - Xi.
  • 6.
    • Supondo, parai=1,...,n, “ASSUMIMOS”, por hipótese, que: Di ~ N(D ,2D) Queremos testar as hipóteses: H0: A intervenção não produz efeito (D = 0) Ha: A intervenção produziu algum efeito (D  0) A hipótese alternativa também pode ser unilateral!!!!
  • 7.
    • O parâmetroD é estimado pela média amostral de D e sua variância é estimada por: n 1 S  2 D  ( Di  D ) . n  1 i 1 2 • O teste de hipóteses é realizado utilizando-se a quantidade : D  D t SD n • Que sob H0, segue uma distribuição t-Student com n- 1 graus de liberdade.
  • 8.
    • Valores observadospara os 12 automóveis: Autom. 1 2 3 4 5 6 7 8 9 10 11 12 Após (Y) 11,6 8,8 9,9 9,5 11,6 9,1 10,6 10,8 13,4 10,6 10,5 11,4 Antes (X) 8,1 7,9 6,8 7,8 7,6 7,9 5,7 8,4 8,0 9,5 8,0 6,8 D=Y-X 3,5 0,9 3,1 1,7 4,0 1,2 4,9 2,4 5,4 1,1 2,5 4,6 • A média e a variância amostrais de D são: Dm=2,9 e S2=2,4. • 1º Passo: Definir as hipóteses nula e alternativa: H0: D = 0 (O novo combustível não aumenta o rendimento) Há: D > 0 (o novo combustível aumenta o rendimento)
  • 9.
    • 2 Passo:Definir a região crítica com base na hipótese alternativa: Teste unilateral, RC:{xR|x>xc} • 3 Passo: Identificar a distribuição do estimador e encontrar a estimativa: D d i n Por “HIPÓTESE”, tem-se: D~N(D , 2D/n) • 4 Passo: Fixar  e determinar a região crítica. =5%  t=1,796
  • 10.
    xc  0 tc  2,4 12 RC={x  : x>0,80} 2,4 xc  0  1,796 12 xc  0,80 • 5 Passo: Conclusão Como Dobs = 2,9 e Dobs>0,80, rejeitamos H0 e concluímos que o novo combustível é eficaz na melhora do rendimento.
  • 11.
    Amostras independentes Variâncias IGUAIS • Geralmente não se tem informações a respeito do valor das variâncias das populações. Entretanto, alguns processos nos levam a crer que, apesar de desconhecidas, as variâncias são iguais para duas populações. • Ex.: Digitadores são treinados em uma empresa em duas turmas distintas. Na primeira (TURMA J) utiliza-se um método japonês, na segunda (TURMA A) utiliza-se um método alemão. Deseja-se comparar os dois métodos. Foram escolhidas duas amostras aleatoriamente (uma de cada turma) e mediu-se o tempo gasto na realização de uma tarefa para cada aluno.
  • 12.
    • Apesar denão conhecidas, as variâncias populacionais para as duas turmas são consideradas iguais com base em estudos anteriores. • Os dados obtidos foram: Turma Tempos (min) J 10 13 9 10 14 13 10 15 12 10 9 10 13 14 A 15 12 18 16 15 17 17 15 16 17 11 17 14 • Formalizando o problema temos: • Supomos que os dados apresentados para as turmas J e A são variáveis aleatórias independentes (X1,...,Xn) e (Y1,...Yn), respectivamente e que seguem a distribuição Normal.
  • 13.
    • Portanto Xi ~ N(X, 2), i= 1, 2, ..., n1 Yj ~ N(Y, 2), j= 1, 2, ..., n2 OBS: Para ambas as populações temos a mesma variância (desconhecida!!!) Queremos testar se existe diferença entre o tempo médio de digitação dos dois métodos, ou seja: H0: X = Y Ha: X  Y ou (Ha: X < Y | Ha: X > Y)
  • 14.
    • Testar seas médias populacionais são iguais é equivalente a testar se a diferença entre elas é “estatisticamente” igual a 0. • Logo podemos reescrever as hipóteses em termos de D = X - Y H0: D = 0 Ha: D  0 ou (Ha: D < 0 | Ha: D > 0) Desta forma usaremos o estimador (intuitivo) D=X-Y
  • 15.
    • Do TLCtem-se que se n>30   2     2 X ~ N   X ,  e Y ~ N  Y ,    n1    n2   • Se n30 usaremos a distribuição t-Student !!! • Como as amostras são independentes: E(D) = E(X-Y) = E(X + (-1)Y) = E(X) + (-1)E(Y) = E(X) - E(Y) = X - Y Var(D) = Var(X-Y) = Var(X + (-1)Y) = Var(X) + Var(-1Y) = 2 2 Var(X) + (-1)2Var(Y) = Var(X) + Var(Y) =  n1 n2
  • 16.
    • Como Xe Y têm distribuição normal (se n>30) então:    2  2  D ~ N   X  Y ,  n      1 n2    • Se n  30 usa-se a distribuição t–Student (cuidado com os graus de liberdade!!!) • Como 2 é desconhecida, precisará ser estimada. Como SX2 e SY2 são estimadores não viciados dessa variância, usaremos como estimativa para 2 uma combinação deles dada por:
  • 17.
    S  2 (n1  1) S  (n2  1) S 2 X 2 Y   ( X i  X ) 2  (Y j  Y ) 2 (n1  1)  (n2  1) n1  n2  2 C SC2 é uma média ponderada entre SX2 e SY2 e é um estimador não viciado!!! Se n30 D  (  X  Y ) t ~ t( n1  n2 2) 2 S C n1  n2
  • 18.
    • Logo =P(Rejeitar H0|H0 verd) = P(t<-tc ou t>tc|H0) tc é obtido pela tabela da distribuição t-Student com n1+n2 -2 graus de liberdade. A região crítica será dada por: RC={tR|t<-tc ou t>tc} Obtidas as amostras, substituindo as estimativas de D e Sc na expressão de t, obtém-se o valor tobs. • Rejeita-se H0 se tobs pertencer à região crítica.
  • 19.
    Se n>30 D  (  X  Y ) z ~ N (0,1) 2 SC n1  n2 Então =P(Rejeitar H0|H0 verd) = P(z<-zc ou z>zc|H0) zc é obtido pela tabela da distribuição Normal (0,1) A região crítica será dada por: RC={zR|z<-zc ou z>zc}
  • 20.
    Obtidas as amostras,substituindo as estimativas de D e Sc na expressão de t, obtém-se o valor zobs. • Rejeita-se H0 se zobs pertencer à região crítica. • Voltando ao exemplo: Digitadores são treinados em uma empresa em duas turmas distintas. Na primeira (TURMA J) utiliza-se um método japonês, na segunda (TURMA A) utiliza- se um método alemão. Deseja-se comparar os dois métodos. Foram escolhidas duas amostras aleatoriamente (uma de cada turma) e mediu-se o tempo gasto na realização de uma tarefa para cada aluno.
  • 21.
    Turma Tempos (min) J 10 13 9 10 14 13 10 15 12 10 9 10 13 14 A 15 12 18 16 15 17 17 15 16 17 11 17 14 • As amostras forneceram os seguintes valores: Turma J: n1=14, Xobs=11,57e SX2=4,1 Turma A: n2=13, Yobs= 15,38 e SY2= 4,3 Então: Dobs = 11,57 – 15,38 = -3,81 (n1  1) S X  (n2  1) SY 13 * 4,1  12 * 4,3 2 2 SC  2   4,2 (n1  1)  (n2  1) 25
  • 22.
    • Como ahipótese alternativa é bilateral e n<30, a região crítica tem a forma: RC={tR|t<-tc ou t>tc}. Logo para =0,01, temos: =P(Rejeitar H0|H0 verd) = P(t<-tc ou t>tc|H0). Da tabela da t-Student com 25 graus de liberdade, obtemos tc=2,787. Então RC={tR|t<-2,787 ou t>2,787}.
  • 23.
    • Usando aestatística do teste temos: D  (  X  Y )  3,81  0 t   4,83 2 SC 4,2 n1  n2 14  13 • Como -4,83 pertence a região crítica, concluímos que os métodos de fato diferem a um nível de significância de 1%.
  • 24.
    Amostras independentes Variâncias DIFERENTES • O teste para o caso com as variâncias desconhecidas e desiguais é semelhante ao anterior, mas a quantidade a ser usada para aceitar ou rejeitar H0 se n30 será: D  (  X  Y ) t ~t  2 2 S S  X y n1 n2
  • 25.
    • Mas osgraus de liberdade  são corrigidos pela expressão: 2  SX S  2 2   y n n2    1  2 2  SX   Sy  2 2      n  n   1   2  n1  1 n2  1
  • 26.
    • Se n>30 D  (  X  Y ) z ~ N (0,1) 2 2 S S X  y n1 n2 • A seqüência do teste é igual aos casos anteriores.
  • 27.
    RESUMO 1) Amostras relacionadas(teste t-pareado) • Estimadores: D  Di SD  2  ( Di  D ) 2 n n 1 • Estatística do teste: Para todo n Por aprox. se n  120 D  D D  D t ~ t( n 1) z ~ N (0,1) 2 2 S D SD n n
  • 28.
    2) Amostras independentescom variâncias desconhecidas e iguais • Estimadores: (n1  1) S X  (n2  1) SY 2 2 D  X Y SC  2 (n1  1)  (n2  1) • Estatística do teste: Se n  30 Se n  30 D  D D  D t ~ t( n1  n2  2) z ~ N (0,1) 2 2 SC SC n1  n2 n1  n2
  • 29.
    3) Amostras independentescom variâncias desconhecidas e desiguais • Estimadores: 2 2 S X SY D  X Y SD  2  n1 n2 • Estatística do teste: Se n  30 S 2 S  2 2  X  y n n2  D  D   1  t ~t  2 2 2 S 2  SX   Sy  2 2 SX  y      n  n  n1 n2  1   2  n1  1 n2  1
  • 30.
    Se n 30 D  D z ~ N (0,1) 2 2 S Sy X  n1 n2
  • 31.
    Exercício: Num estudosobre doenças infantis, desejamos investigar se a incidência de casos de contaminação por vermes é afetada pela idade. Dois grupos de crianças, um com idades de 2 a 4 anos (GRUPO I) e outro, com idades de 7 a 9 anos (GRUPO II) foram escolhidos para serem examinados quanto à ocorrência de vermes. Os dados são apresentados: Grupo Amostra Proporção com Verminose I 120 0,085 II 260 0,103 Para saber se as duas faixas etárias acima tem o mesmo comportamento, realize um teste de hipóteses envolvendo a proporção de crianças com verminose. Considere =5% e variâncias iguais.