Sistema nervoso autonômico: Fármacos adrenérgicos Aula 7
Programa Síntese e metabolismo de catecolaminas A sinapse adrenérgica Eixo simpático e eixo parassimpático e a organização de sinapses noradrenérgicas e colinérgicas; Co-transmissão no SNA Aferentes do SNA: Nocicepção, interocepção, sentidos especiais. Eferentes do SNA: gânglios simpáticos, nervos cranianos, vias pélvicas, regulação pelo SNC; Algumas funções do SNA: Controle e acomodação do diâmetro da pupila e lacrimação; piloereção; atividade sexual; carga alostática; mal-estar.
 
 
 
 
 
 
Dessensibilização dos GPCR Fosforilação inespecífica Fosforilação específica Ser Tre
FÁRMACOS ADRENÉRGICOS Mecanismo de ação Estrutura química Catecolaminas N ã o-catecolaminas Ação DIRETA Ação INDIRETA Ação MISTA Adrenalina Noradrenalina Dopamina Isoprenalina Efedrina Anfetamina Fenilefrina Metoxamina Catecolaminas Fenilefrina Tiramina Anfetamina Efedrina Metaraminol
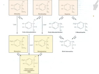
CH CH 2 CH 2 NH 2 DOPAMINA NÃO-CATECOLAMINAS - POTENTE + BIODISPONIBILIDADE ORAL (COMT) E MAIS DURAÇ Ã O + DISTRIBUIÇ Ã O (SNC) NH CH 3 CH 3 CH 3 + AFINIDADE POR RECEPTORES  β ADRENALINA ISOPROTENEROL ARMAZENAMENTO EM VESÍCULAS FAVORECE AÇ ÃO DIRETA NORADRENALINA CH CH ANFETAMINA AÇ Ã O PROLONGADA (MAO) FAVORECE AÇ Ã O INDIRETA EFEDRINA HO OH OH CH 3
FÁRMACOS ADRENÉRGICOS Mecanismo de ação Estrutura química Catecolaminas N ã o-catecolaminas Ação DIRETA Ação INDIRETA Ação MISTA Adrenalina Noradrenalina Dopamina Isoprenalina Efedrina Anfetamina Fenilefrina Metoxamina Seletivos ↑  liberação Efedrina Metaraminol Não-seletivos Inibe captação Inibe MAO/COMT
 
 
Tiramina Inativa por via oral (MAO no fígado) Grandes concentrações em: Queijos Cheddar, Gruyère e Stilton Peixe defumado ou em conserva (por exemplo, arenque em conserva) Salsicha, fermentada (por exemplo, salame, pepperoni) Paciente em uso de inibidor irreversível da MAO, a presença de 20-50 mg de tiramina numa refeição pode elevar a PA
 
Ações dos simpaticomiméticos Contração de músculos lisos e excitação glandular Relaxamento de músculos lisos Aç ã o excitatória cardíaca Aç õ es metabólicas que disponibilizam glicose Aç õ es endócrinas de modulaç ã o Modulação da liberação de neurotransmissores Ações sobre o SNC
 
 
Aplicações oftálmicas Exame de Retina : fenilefrina (máximo efeito aos 30 minutos, recuperação até em 3 horas) Descongestionante  (hiperemia alérgica, prurido)
Glaucoma ↑  pressão intraocular Não sintoma -> lesão Tipos: ângulo fechado: Íris dilatada oclui drenagem ângulo aberto: crônica
Glaucoma Aumento do efluxo de humor aquoso Proteção direta das células neuronais na retina Mecanismo = ?
Efeitos cardíacos
Aplicações cardíacas Emergência do bloqueio cardíaco completo e parada cardíaca: isoprotenerol, adrenalina (redistribuição do volume) Insuficiência cardíaca: dobutamina (efeitos inotrópicos positivos, desenvolvimento de tolerância)
Vasoconstrição e vasodilatação
Aplicações Clínicas Condiç õ es em que é necessário  aumentar  o fluxo sangüíneo (hipotensão sistêmica) Condiç õ es em que é necessário  reduzir  o fluxo sangüíneo (restrição local)
1. Condiç õ es que precisam  aumentar  o fluxo sangüíneo (hipotensão sistêmica) Choque  (hipovolemia, insuficiência cardíaca,  reaç õ es adversas a medicações , anafilaxia,  infecção ): isoprotenerol e melhora da perfusão tecidual Emergência hipotensiva : agonistas  α de ação direta (fenilefrina, noradrenalina, metoxamina) Hipotens ã o ortostática crônica : efedrina oral
2. Condiç õ es que precisam  reduzir  o fluxo sangüíneo (restrição local) Hemostasia cirúrgica (face, orais e nasofaríngeas): adrenalina tópica e/ou cocaína Reduzir a difusão de anestésicos locais (prolonga duração de ação e reduz a dose): adrenalina 1:200.000 ou outros  α-adrenérgicos   (efeitos sistêmicos) Diminuir a congestão das mucosas (febre do feno, resfriado):  fenilefrina, efedrina, oximetazolina (longa ação)
Bronquioconstrição e bronquiodilatação
Efeitos metabólicos
 
Ação sobre o SNC Depende de se atravessará a BHE Anfetamina: (mecanismo = ?) efeito euforizante estimula estado de vigília aumentam atenção por tarefas repetitivas redução do apetite Farmacologia Clínica: Narcolepsia: modafinil (menos inconvenientes) Supressão do apetite: longo prazo? Distúrbio de hiperatividade com déficit de atenção em crianças: baixas doses de clonidina Redução do desejo mórbido de narcóticos e álcool durante a abstinência (fumo de cigarros): clonidina
 
Fármacos Antiadrenérgicos Ação Direta Ação Indireta
 
Fármacos Antiadrenérgicos Ação Direta Ação Indireta Bloqueadores  α Bloqueadores  β Irreversíveis Reversíveis
bloqueio   1  > bloqueio   2 oral (biodisponibilidade baixa, ?) duração de ação muito longa penetra no SNC
bloqueio   1  = bloqueio   2 absorção oral limitada (?) t ½ = 5-7 horas
inibidores   inibem a contração dos vasos ↓  resistência vascular periférica ↓  pressão arterial (hipotensão postural) (taquicardia reflexa, bloqueio α 2  pré-sinap no coração)   1 contração Vasos  contração  2 dilatação
 
Outras aplicações clínicas Excesso de vasoconstritor local (infiltrações subcutâneas durante administração intravenosa): fentolamina Condições com vasoespasmo excessivo e reversível (fenômeno de Raynaud)
HIPERPLASIA PROSTÁTICA BENIGNA (HPB) Fenoxibenzamina, Prazosina e análogos (hipotensão postural, melhor com hipertensão) α 1A   ->  Tansulosina (sem efeito na pressão arterial) DISFUNÇ Ã O SEXUAL  Injeção no pênis: Fentolamina+papaverina=Ereção Fentolamina oral para disfunção erétil e distúrbios de excitação
Feocromocitoma Tumor geralmente encontrado na medula supra-renal, que libera uma mistura de adrenalina e noradrenalina Diagnóstico = Nível de catecolaminas em sangue e excreção urinaria de metabólitos Tratamento pré-operatório ou crônico (inoperável ou metastásico): Fenoxibenzamina 10-20mg até 100mg/dia oral
 
Fármacos Antiadrenérgicos Ação Direta Ação Indireta Bloqueadores  α Bloqueadores  β Reversíveis Irreversíveis β 1 -seletivos n ã o seletivos
Antagonistas ou  β -Bloqueadores Do ponto de vista químico, assemelham-se ao isoprotenerol Em sua maioria, bem absorvidas após administração oral, com obtenção de concentrações máximas dentro de 1-3 horas após ingestão. Em geral, distribuem-se rapidamente com grandes volumes de distribuição
Propanolol:  primeira passagem (pode saturar e grande variabilidade individual), apenas pequena quantidade inalterada na urina hepatopatia, redução do fluxo sangüíneo hepático ou inibição de enzimas hepáticas Nadolol: excretado inalterado na urina (insuficiência renal) Pindolol: potencializa a ação dos antidepressivos (serotonina) B = Biodisponibilidade oral
Esmolol: rápida hidrólise Metoprolol:  apenas pequena quantidade inalterada na urina (CYP2D6) hepatopatia, redução do fluxo sangüíneo hepático ou inibição de enzimas hepáticas   B = Biodisponibilidade oral
Mais populares: bloqueadores  β e prostaglandinas (conveniência e poucos efeitos adversos) Bloqueadores  β :  N ÃO  para pacientes com asma, marca-passo cardíaco ou doença das vias de condução
Farmacologia Clínica:  Aplicações cardíacas Angina: timolol, propanolol, metoprolol reduzem a freqüência dos episódios e melhoram a tolerância ao exercício insuficientemente utilizados Arritmias: melhoram sobrevida depois do infarto Sotalol: bloqueio dos canais iônicos
Freqüentemente, bloqueador  β + diurético ou vasodilatador Labetalol, propanolol Evidências de uma menor eficácia em indivíduos negros ou idosos
inibidores  β inibem a contração do     inibem vasodilataç ã o ↓  freqüência e força ↑ resistência vascular  periférica primeiro, pressão arterial sem variações depois (crônico), ↓ pressão arterial β 1 -seletivo * Doses convencionais geralmente não causam hipotensão em sadios
Outras aplicações clínicas Hipertireoidismo:  ação excessiva de catecolaminas (coraç ã o) Propanolol (bloqueador  β e, talvez, inibição da conversão periférica de tiroxina em triiodotironina)
Enxaqueca: propanolol reduz freqüência e intensidade (?) Eliminação de manifestações somáticas da ansiedade (tremores): baixas doses de propanolol abstinência do álcool medo do palco Outras aplicações clínicas
Alterações dos lipídeos plasmáticos (crônico) Bradicardia excessiva Manifestações alérgicas SNC: sedação, distúrbios do sono e depressão (contraindicado) Efeitos adversos de bloqueadores  β

Aula 7 Biomedicina

  • 1.
    Sistema nervoso autonômico:Fármacos adrenérgicos Aula 7
  • 2.
    Programa Síntese emetabolismo de catecolaminas A sinapse adrenérgica Eixo simpático e eixo parassimpático e a organização de sinapses noradrenérgicas e colinérgicas; Co-transmissão no SNA Aferentes do SNA: Nocicepção, interocepção, sentidos especiais. Eferentes do SNA: gânglios simpáticos, nervos cranianos, vias pélvicas, regulação pelo SNC; Algumas funções do SNA: Controle e acomodação do diâmetro da pupila e lacrimação; piloereção; atividade sexual; carga alostática; mal-estar.
  • 3.
  • 4.
  • 5.
  • 6.
  • 7.
  • 8.
  • 9.
    Dessensibilização dos GPCRFosforilação inespecífica Fosforilação específica Ser Tre
  • 10.
    FÁRMACOS ADRENÉRGICOS Mecanismode ação Estrutura química Catecolaminas N ã o-catecolaminas Ação DIRETA Ação INDIRETA Ação MISTA Adrenalina Noradrenalina Dopamina Isoprenalina Efedrina Anfetamina Fenilefrina Metoxamina Catecolaminas Fenilefrina Tiramina Anfetamina Efedrina Metaraminol
  • 11.
    CH CH 2CH 2 NH 2 DOPAMINA NÃO-CATECOLAMINAS - POTENTE + BIODISPONIBILIDADE ORAL (COMT) E MAIS DURAÇ Ã O + DISTRIBUIÇ Ã O (SNC) NH CH 3 CH 3 CH 3 + AFINIDADE POR RECEPTORES β ADRENALINA ISOPROTENEROL ARMAZENAMENTO EM VESÍCULAS FAVORECE AÇ ÃO DIRETA NORADRENALINA CH CH ANFETAMINA AÇ Ã O PROLONGADA (MAO) FAVORECE AÇ Ã O INDIRETA EFEDRINA HO OH OH CH 3
  • 12.
    FÁRMACOS ADRENÉRGICOS Mecanismode ação Estrutura química Catecolaminas N ã o-catecolaminas Ação DIRETA Ação INDIRETA Ação MISTA Adrenalina Noradrenalina Dopamina Isoprenalina Efedrina Anfetamina Fenilefrina Metoxamina Seletivos ↑ liberação Efedrina Metaraminol Não-seletivos Inibe captação Inibe MAO/COMT
  • 13.
  • 14.
  • 15.
    Tiramina Inativa porvia oral (MAO no fígado) Grandes concentrações em: Queijos Cheddar, Gruyère e Stilton Peixe defumado ou em conserva (por exemplo, arenque em conserva) Salsicha, fermentada (por exemplo, salame, pepperoni) Paciente em uso de inibidor irreversível da MAO, a presença de 20-50 mg de tiramina numa refeição pode elevar a PA
  • 16.
  • 17.
    Ações dos simpaticomiméticosContração de músculos lisos e excitação glandular Relaxamento de músculos lisos Aç ã o excitatória cardíaca Aç õ es metabólicas que disponibilizam glicose Aç õ es endócrinas de modulaç ã o Modulação da liberação de neurotransmissores Ações sobre o SNC
  • 18.
  • 19.
  • 20.
    Aplicações oftálmicas Examede Retina : fenilefrina (máximo efeito aos 30 minutos, recuperação até em 3 horas) Descongestionante (hiperemia alérgica, prurido)
  • 21.
    Glaucoma ↑ pressão intraocular Não sintoma -> lesão Tipos: ângulo fechado: Íris dilatada oclui drenagem ângulo aberto: crônica
  • 22.
    Glaucoma Aumento doefluxo de humor aquoso Proteção direta das células neuronais na retina Mecanismo = ?
  • 23.
  • 24.
    Aplicações cardíacas Emergênciado bloqueio cardíaco completo e parada cardíaca: isoprotenerol, adrenalina (redistribuição do volume) Insuficiência cardíaca: dobutamina (efeitos inotrópicos positivos, desenvolvimento de tolerância)
  • 25.
  • 26.
    Aplicações Clínicas Condiçõ es em que é necessário aumentar o fluxo sangüíneo (hipotensão sistêmica) Condiç õ es em que é necessário reduzir o fluxo sangüíneo (restrição local)
  • 27.
    1. Condiç ões que precisam aumentar o fluxo sangüíneo (hipotensão sistêmica) Choque (hipovolemia, insuficiência cardíaca, reaç õ es adversas a medicações , anafilaxia, infecção ): isoprotenerol e melhora da perfusão tecidual Emergência hipotensiva : agonistas α de ação direta (fenilefrina, noradrenalina, metoxamina) Hipotens ã o ortostática crônica : efedrina oral
  • 28.
    2. Condiç ões que precisam reduzir o fluxo sangüíneo (restrição local) Hemostasia cirúrgica (face, orais e nasofaríngeas): adrenalina tópica e/ou cocaína Reduzir a difusão de anestésicos locais (prolonga duração de ação e reduz a dose): adrenalina 1:200.000 ou outros α-adrenérgicos (efeitos sistêmicos) Diminuir a congestão das mucosas (febre do feno, resfriado): fenilefrina, efedrina, oximetazolina (longa ação)
  • 29.
  • 30.
  • 31.
  • 32.
    Ação sobre oSNC Depende de se atravessará a BHE Anfetamina: (mecanismo = ?) efeito euforizante estimula estado de vigília aumentam atenção por tarefas repetitivas redução do apetite Farmacologia Clínica: Narcolepsia: modafinil (menos inconvenientes) Supressão do apetite: longo prazo? Distúrbio de hiperatividade com déficit de atenção em crianças: baixas doses de clonidina Redução do desejo mórbido de narcóticos e álcool durante a abstinência (fumo de cigarros): clonidina
  • 33.
  • 34.
    Fármacos Antiadrenérgicos AçãoDireta Ação Indireta
  • 35.
  • 36.
    Fármacos Antiadrenérgicos AçãoDireta Ação Indireta Bloqueadores α Bloqueadores β Irreversíveis Reversíveis
  • 37.
    bloqueio 1 > bloqueio  2 oral (biodisponibilidade baixa, ?) duração de ação muito longa penetra no SNC
  • 38.
    bloqueio 1 = bloqueio  2 absorção oral limitada (?) t ½ = 5-7 horas
  • 39.
    inibidores inibem a contração dos vasos ↓ resistência vascular periférica ↓ pressão arterial (hipotensão postural) (taquicardia reflexa, bloqueio α 2 pré-sinap no coração)   1 contração Vasos  contração  2 dilatação
  • 40.
  • 41.
    Outras aplicações clínicasExcesso de vasoconstritor local (infiltrações subcutâneas durante administração intravenosa): fentolamina Condições com vasoespasmo excessivo e reversível (fenômeno de Raynaud)
  • 42.
    HIPERPLASIA PROSTÁTICA BENIGNA(HPB) Fenoxibenzamina, Prazosina e análogos (hipotensão postural, melhor com hipertensão) α 1A -> Tansulosina (sem efeito na pressão arterial) DISFUNÇ Ã O SEXUAL Injeção no pênis: Fentolamina+papaverina=Ereção Fentolamina oral para disfunção erétil e distúrbios de excitação
  • 43.
    Feocromocitoma Tumor geralmenteencontrado na medula supra-renal, que libera uma mistura de adrenalina e noradrenalina Diagnóstico = Nível de catecolaminas em sangue e excreção urinaria de metabólitos Tratamento pré-operatório ou crônico (inoperável ou metastásico): Fenoxibenzamina 10-20mg até 100mg/dia oral
  • 44.
  • 45.
    Fármacos Antiadrenérgicos AçãoDireta Ação Indireta Bloqueadores α Bloqueadores β Reversíveis Irreversíveis β 1 -seletivos n ã o seletivos
  • 46.
    Antagonistas ou β -Bloqueadores Do ponto de vista químico, assemelham-se ao isoprotenerol Em sua maioria, bem absorvidas após administração oral, com obtenção de concentrações máximas dentro de 1-3 horas após ingestão. Em geral, distribuem-se rapidamente com grandes volumes de distribuição
  • 47.
    Propanolol: primeirapassagem (pode saturar e grande variabilidade individual), apenas pequena quantidade inalterada na urina hepatopatia, redução do fluxo sangüíneo hepático ou inibição de enzimas hepáticas Nadolol: excretado inalterado na urina (insuficiência renal) Pindolol: potencializa a ação dos antidepressivos (serotonina) B = Biodisponibilidade oral
  • 48.
    Esmolol: rápida hidróliseMetoprolol: apenas pequena quantidade inalterada na urina (CYP2D6) hepatopatia, redução do fluxo sangüíneo hepático ou inibição de enzimas hepáticas B = Biodisponibilidade oral
  • 49.
    Mais populares: bloqueadores β e prostaglandinas (conveniência e poucos efeitos adversos) Bloqueadores β : N ÃO para pacientes com asma, marca-passo cardíaco ou doença das vias de condução
  • 50.
    Farmacologia Clínica: Aplicações cardíacas Angina: timolol, propanolol, metoprolol reduzem a freqüência dos episódios e melhoram a tolerância ao exercício insuficientemente utilizados Arritmias: melhoram sobrevida depois do infarto Sotalol: bloqueio dos canais iônicos
  • 51.
    Freqüentemente, bloqueador β + diurético ou vasodilatador Labetalol, propanolol Evidências de uma menor eficácia em indivíduos negros ou idosos
  • 52.
    inibidores βinibem a contração do  inibem vasodilataç ã o ↓ freqüência e força ↑ resistência vascular periférica primeiro, pressão arterial sem variações depois (crônico), ↓ pressão arterial β 1 -seletivo * Doses convencionais geralmente não causam hipotensão em sadios
  • 53.
    Outras aplicações clínicasHipertireoidismo: ação excessiva de catecolaminas (coraç ã o) Propanolol (bloqueador β e, talvez, inibição da conversão periférica de tiroxina em triiodotironina)
  • 54.
    Enxaqueca: propanolol reduzfreqüência e intensidade (?) Eliminação de manifestações somáticas da ansiedade (tremores): baixas doses de propanolol abstinência do álcool medo do palco Outras aplicações clínicas
  • 55.
    Alterações dos lipídeosplasmáticos (crônico) Bradicardia excessiva Manifestações alérgicas SNC: sedação, distúrbios do sono e depressão (contraindicado) Efeitos adversos de bloqueadores β