ESTADO DE MATO GROSSO SECRETARIA DE ESTADO DE CIENCIAS E TECNOLOGIA  UNIVERSIDADE DO ESTADO DE MATO GROSSO FACULDADE DE CIENCIAS EXATAS CAMPUS UNIVERSITARIOS DE JANE VANINE DEPARTAMENTO DE MATEMÀTICA           AS CÔNICAS NO ENSINO MEDIO       Sidnei Villacien Lopes Silveira   Orientador: Profº  João Severino filho    Cáceres 2005   
INTRODUÇÃO Este trabalho representa um estudo de secções cônicas em seu aspecto histórico e geométrico. Relatando as secções que são obtidas através de um cone circular reto. E uma pesquisa realizada junto ao corpo docente da Escola Estadual “José Bejo” em Glória D’Oeste.
HISTÓRIA DOS TERMOS, ELIPSE HIPÉRBOLE E PARÁBOLA Pode se entender o significado desses termos estudando as descobertas dos grandes matemáticos da história. Ploclus, o comentador grego, registra que essas três curvas foram descobertas por Menaecmus. Apolônio de Perga, repousa principalmente sobre seu extraordinário secções cônicas, no qual vamos estudar a seguir.
AS CÔNICAS AS cônicas foram estudadas por Menaecmus, Euclides e Arquimedes. A obra de nível mais avançada foi precisamente a feita por Apolônio de Perga, que substituiu qualquer estudo anterior.
APOLÔNIO DE PERGA Apolônio nasceu em Perga na Panfilia, Sul da Ásia menor, que hoje é conhecida como Murtina ou Murtuna, na Turquia. Ficando conhecido como o “grande geômetra” ou o “geômetra magno”, deixou  uma vasta obra  que contribuiu para o desenvolvimento da matemática. Os dados da vida de Apolônio são escassos e quase todos de notas que aparecem nas introduções dos diferentes livros de cônicas. Morreu cerca de 190 ac. Em Alexandria no Egito.
A ELIPSE O que é uma elipse?   Dados dois pontos distintos F 1  e F 2 , pertencentes ao plano α, seja 2c a distancia entre eles. Elipse é o conjunto dos pontos α cuja soma das distancias a F 1  e F 2,  é a constante 2a (sendo 2a > 2c).   Elipse = {P є α / PF 1  + PF 2  = 2a}
ELEMENTOS DE UMA ELIPSE          focos :  os pontos  F 1  e  F 2              centro : o ponto  O , que é o ponto médio de           semi-eixo maior :  a            semi-eixo menor :  b            semidistância focal :  c            vértices : os pontos  A 1 ,  A 2 ,  B 1 ,  B 2            eixo maior :           eixo menor :           distância focal :
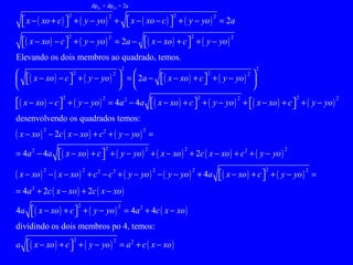
Equação da Elipse com  F 1 F 2  paralela ao eixo X    Vamos determinar uma equação para elipse no caso que F 1 F 2  é paralela ao eixo x. Seja C(x 0 , y 0 ) o centro da elipse; então, as coordenadas dos focos são:  F 1 (x 0  + c ,  y 0 ) e F 2 (x 0  – c ,  y 0 ). Para um ponto P(x, y) qualquer da elipse, temos:
dp F1  + dp F2  = 2a
Que é a equação da elipse com centro C(x 0 , y 0 ) e F 1 F 2  paralela ao eixo x .
Equação reduzida da Elipse com centro na origem e F 1 F 2   contidos no eixo X   Se C = 0, F 1 F 2  pertencentes ao eixo x, então a equação da elipse é a seguinte:  
Equação da Elipse com F 1 F 2  paralela ao eixo Y Vamos agora determinar uma equação para a elipse, no caso em que F 1 F 2  é paralela ao eixo y.  Seja C(x0, y0) o centro da elipse; então, as coordenadas do foco são: F 1 (x 0 , y 0  + c) e F 2 (x 0 , y 0  – c). Qualquer que seja um ponto p(x, y) da elipse, temos:
 
Que é a equação da elipse com F 1 F 2  paralela ao eixo y.
Equação reduzida da Elipse com centro na origem e F 1 F 2   contidos no eixo Y Se C = 0, F1 e F2 pertencerem ao eixo y, então a equação da elipse é :
HIPÉRBOLE Dados dois pontos distintos F 1  e F 2 , pertencentes a um plano α, seja 2c a distancia entre eles. Hipérbole é o conjunto dos pontos de α, cuja diferença (em valor absoluto) das distancias a F 1  e F 2  é a constante 2a (sendo 0 < 2a < 2c). Hipérbole = {p є α / |pF 1  – pF 2 | = 2a}.
ELEMENTOS DE UMA  HIPÉRBOLE
Equação da Hipérbole com F 1 F 2  paralela ao eixo X Seja C(xo , yo) o centro da hipérbole; então os focos são: Para um ponto qualquer P da hipérbole, temos:
Desenvolvendo, temos:   Que é a equação da hipérbole com F 1 F 2  paralela ao eixo X
Equação reduzida da Hipérbole com F 1 F 2  contidos no eixo X Se F1 e F2 pertence ao eixo X e C = 0, a hipérbole tem a seguinte equação:
Equação da Hipérbole com F 1 F 2  paralela ao eixo Y Seja c(xo, yo) o centro da hipérbole, então os focos são. Para um ponto qualquer P(x, y) da hipérbole temos:
Desenvolvendo, temos: Que é a equação da hipérbole com  F 1 F 2  paralela ao eixo Y
Equação reduzida da Hipérbole com centro na origem e F 1 F 2  contidos no eixo Y Se F 1  e F 2  pertencem ao eixo y e c = 0, a hipérbole terá a seguinte equação .
Hipérbole Eqüilátera Uma hipérbole é eqüilátera quando o centro esta na origem e os seus eixos real e imaginário possuem a mesma medida, ou seja, 2a = 2b ou simplesmente a = b. Portanto temos a equação da hipérbole eqüilátera, como  a equação reduzida , que é da formula ,  e a  hipérbole eqüilátera a = b temos  que é a formula da hipérbole eqüilátera.
PARÁBOLA Dados um ponto F e uma reta d, pertencentes a um plano  , com F  d, seja P a distancia entre F e d, parábola é o conjunto dos pontos de,  que estão a mesma distancia de F e de d. Parábola =  PF = Pd  
ELEMENTOS DE UMA PARÁBOLA d: reta diretriz (reta fixa); F: Foco (ponto fixo); = p > 0: parâmetro  VF: eixo de simetria; V: Vértice ( ponto médio de FB, FB ┴ d e B Є d) Sendo p o parâmetro da parábola, BF = p,  BV = .
Equação da Parábola com diretriz d paralela ao eixo Y e o foco à direita de d Seja V(xo, yo), o vértice da parábola, então: o foco é . Para um ponto P(x,y) da parábola. Temos.
Desenvolvendo, temos:   Que é a equação da parábola, quando a diretriz d esta paralela ao eixo y e o foco a direita de d
Equação Reduzida Seja V(0,0), o vértice da parábola, então o foco é  a equação da diretriz d é . Para um ponto qualquer P(x,y) da parábola, temos. Desenvolvendo, temos:
Equação da Parábola com diretriz d paralela ao eixo Y e foco a esquerda da diretriz. Seja V(xo,yo) o vértice da parábola, então, o foco é  e a diretriz d tem equação . Para um ponto qualquer P(x,y) da parábola, temos Desenvolvendo, temos:
Equação Reduzida Seja V(0,0), o vértice da parábola, então o foco é  , a equação da diretriz d é . Para um ponto qualquer da P(x,y) parábola, temos   Desenvolvendo, temos:
Equação da Parábola com diretriz paralela ao eixo X e foco acima da diretriz. Seja V(xo,yo), o vértice da parábola, então , o foco é  , e a diretriz da equação . Para um ponto qualquer P(x,y) da parábola, temos (Fig. 29): Desenvolvendo, temos:
Equação Reduzida Seja V(0,0), o centro da parábola, então o foco é  , e a equação da diretriz d é . Para um ponto qualquer P(x,y) da parábola, temos. Desenvolvendo, temos:
Equação da Parábola com diretriz paralela ao eixo X e foco abaixo da diretriz. Seja V(xo, yo), o vértice da parábola, então o foco é  , e a diretriz tem equação . Para um ponto qualquer P(x,y), da parábola, temos: Desenvolvendo, temos:
Equação Reduzida Seja V(0,0), o vértice da parábola, então o foco é  ,e a equação da diretriz d é . Para um ponto qualquer P(x,y), da parábola, temos: Desenvolvendo, temos:
PESQUISA REALIZADA NA ESCOLA JOSÉ BEJO EM GLÓRIA D’OESTE 1 – Você ensina as cônicas no 3º Ano do ensino médio? (  ) Sim ( x ) Não 2 – Se você não ensina, qual é o motivo que não permite que o aluno adquira este aprendizado? “ Devido o conteúdo estar no final do livro do 3º ano do ensino médio é muito difícil ser trabalhado; não encontramos tempo para ministrar o referido conteúdo. O estado das cônicas fica mesmo restrito ao ensino superior, o máximo que se consegue é uma leve introdução de limite e das integrais, pois sabemos que o conteúdo trabalhado em sala de aula não pode ter somente volume,  mas sim qualidade, porque não adiantaria nada terminar o livro todo se no final ninguém aprendeu nada.” Com a resposta deste professor concluímos que a matéria cônicas está reservado somente para o ensino superior, já que o professor tem uma visão clara da educação, não basta somente o volume, o que é importante é a qualidade.
CONSIDERAÇÕES FINAIS O principal objetivo desta monografia é fazer com que alunos e professores, percebam a importância dos conceitos geométricos, assim como eles podem ser tratados geometricamente. Com isso ao desenvolver com os alunos o estudo das cônicas, como ênfase deve recair sobre a compreensão da história e saber desenvolver uma equação para a obtenção de sua equação geral e também verificaras relações que há entre elipse, hipérbole e parábola, e não apenas  na memorização de uma infinidade de equações. O estudo das cônicas pode ser feito de modo a enfatizar a história como obtê-las, como representa – las, graficamente e como relacionar seu elemento com as equações gerais que as representam.
BIBLIOGRAFIA   SMOLE, Kátia Cristina, KIYUKAWA, Saburo, matemática, vol. 03, ed. Saraiva, São Paulo, 1998.   PAIVA, Manoel, matemática, vol. 03, ed, moderna, São Pulo, 1999.   IESSI, Gelson, Fundamentos da matemática elementar, vol. 07, geometria analítica, 4ª edição, ed. atual, São Paulo. 1993.   EVES, howard, história da geometria, trad. Hygino H. Domingues, São Paulo, ed. Atual, 1992 (tópicos de historia da matemática para uso em sala de aula vol. 03).   BOYER, Carl B., história da matemática, tradução Elza F. Gomid, 2ª edição, Garl Blucher, São Paulo, 1996.

Conicas Bom

  • 1.
      ESTADO DEMATO GROSSO SECRETARIA DE ESTADO DE CIENCIAS E TECNOLOGIA UNIVERSIDADE DO ESTADO DE MATO GROSSO FACULDADE DE CIENCIAS EXATAS CAMPUS UNIVERSITARIOS DE JANE VANINE DEPARTAMENTO DE MATEMÀTICA           AS CÔNICAS NO ENSINO MEDIO       Sidnei Villacien Lopes Silveira   Orientador: Profº João Severino filho   Cáceres 2005  
  • 2.
    INTRODUÇÃO Este trabalhorepresenta um estudo de secções cônicas em seu aspecto histórico e geométrico. Relatando as secções que são obtidas através de um cone circular reto. E uma pesquisa realizada junto ao corpo docente da Escola Estadual “José Bejo” em Glória D’Oeste.
  • 3.
    HISTÓRIA DOS TERMOS,ELIPSE HIPÉRBOLE E PARÁBOLA Pode se entender o significado desses termos estudando as descobertas dos grandes matemáticos da história. Ploclus, o comentador grego, registra que essas três curvas foram descobertas por Menaecmus. Apolônio de Perga, repousa principalmente sobre seu extraordinário secções cônicas, no qual vamos estudar a seguir.
  • 4.
    AS CÔNICAS AScônicas foram estudadas por Menaecmus, Euclides e Arquimedes. A obra de nível mais avançada foi precisamente a feita por Apolônio de Perga, que substituiu qualquer estudo anterior.
  • 5.
    APOLÔNIO DE PERGAApolônio nasceu em Perga na Panfilia, Sul da Ásia menor, que hoje é conhecida como Murtina ou Murtuna, na Turquia. Ficando conhecido como o “grande geômetra” ou o “geômetra magno”, deixou uma vasta obra que contribuiu para o desenvolvimento da matemática. Os dados da vida de Apolônio são escassos e quase todos de notas que aparecem nas introduções dos diferentes livros de cônicas. Morreu cerca de 190 ac. Em Alexandria no Egito.
  • 6.
    A ELIPSE Oque é uma elipse?   Dados dois pontos distintos F 1 e F 2 , pertencentes ao plano α, seja 2c a distancia entre eles. Elipse é o conjunto dos pontos α cuja soma das distancias a F 1 e F 2, é a constante 2a (sendo 2a > 2c).   Elipse = {P є α / PF 1 + PF 2 = 2a}
  • 7.
    ELEMENTOS DE UMAELIPSE         focos : os pontos F 1 e F 2           centro : o ponto O , que é o ponto médio de         semi-eixo maior : a         semi-eixo menor : b         semidistância focal : c         vértices : os pontos A 1 , A 2 , B 1 , B 2         eixo maior :         eixo menor :         distância focal :
  • 8.
    Equação da Elipsecom F 1 F 2 paralela ao eixo X    Vamos determinar uma equação para elipse no caso que F 1 F 2 é paralela ao eixo x. Seja C(x 0 , y 0 ) o centro da elipse; então, as coordenadas dos focos são: F 1 (x 0 + c , y 0 ) e F 2 (x 0 – c , y 0 ). Para um ponto P(x, y) qualquer da elipse, temos:
  • 9.
    dp F1 + dp F2 = 2a
  • 10.
    Que é aequação da elipse com centro C(x 0 , y 0 ) e F 1 F 2 paralela ao eixo x .
  • 11.
    Equação reduzida daElipse com centro na origem e F 1 F 2 contidos no eixo X   Se C = 0, F 1 F 2 pertencentes ao eixo x, então a equação da elipse é a seguinte:  
  • 12.
    Equação da Elipsecom F 1 F 2 paralela ao eixo Y Vamos agora determinar uma equação para a elipse, no caso em que F 1 F 2 é paralela ao eixo y. Seja C(x0, y0) o centro da elipse; então, as coordenadas do foco são: F 1 (x 0 , y 0 + c) e F 2 (x 0 , y 0 – c). Qualquer que seja um ponto p(x, y) da elipse, temos:
  • 13.
  • 14.
    Que é aequação da elipse com F 1 F 2 paralela ao eixo y.
  • 15.
    Equação reduzida daElipse com centro na origem e F 1 F 2 contidos no eixo Y Se C = 0, F1 e F2 pertencerem ao eixo y, então a equação da elipse é :
  • 16.
    HIPÉRBOLE Dados doispontos distintos F 1 e F 2 , pertencentes a um plano α, seja 2c a distancia entre eles. Hipérbole é o conjunto dos pontos de α, cuja diferença (em valor absoluto) das distancias a F 1 e F 2 é a constante 2a (sendo 0 < 2a < 2c). Hipérbole = {p є α / |pF 1 – pF 2 | = 2a}.
  • 17.
    ELEMENTOS DE UMA HIPÉRBOLE
  • 18.
    Equação da Hipérbolecom F 1 F 2 paralela ao eixo X Seja C(xo , yo) o centro da hipérbole; então os focos são: Para um ponto qualquer P da hipérbole, temos:
  • 19.
    Desenvolvendo, temos: Que é a equação da hipérbole com F 1 F 2 paralela ao eixo X
  • 20.
    Equação reduzida daHipérbole com F 1 F 2 contidos no eixo X Se F1 e F2 pertence ao eixo X e C = 0, a hipérbole tem a seguinte equação:
  • 21.
    Equação da Hipérbolecom F 1 F 2 paralela ao eixo Y Seja c(xo, yo) o centro da hipérbole, então os focos são. Para um ponto qualquer P(x, y) da hipérbole temos:
  • 22.
    Desenvolvendo, temos: Queé a equação da hipérbole com F 1 F 2 paralela ao eixo Y
  • 23.
    Equação reduzida daHipérbole com centro na origem e F 1 F 2 contidos no eixo Y Se F 1 e F 2 pertencem ao eixo y e c = 0, a hipérbole terá a seguinte equação .
  • 24.
    Hipérbole Eqüilátera Umahipérbole é eqüilátera quando o centro esta na origem e os seus eixos real e imaginário possuem a mesma medida, ou seja, 2a = 2b ou simplesmente a = b. Portanto temos a equação da hipérbole eqüilátera, como a equação reduzida , que é da formula , e a hipérbole eqüilátera a = b temos que é a formula da hipérbole eqüilátera.
  • 25.
    PARÁBOLA Dados umponto F e uma reta d, pertencentes a um plano , com F d, seja P a distancia entre F e d, parábola é o conjunto dos pontos de, que estão a mesma distancia de F e de d. Parábola = PF = Pd  
  • 26.
    ELEMENTOS DE UMAPARÁBOLA d: reta diretriz (reta fixa); F: Foco (ponto fixo); = p > 0: parâmetro VF: eixo de simetria; V: Vértice ( ponto médio de FB, FB ┴ d e B Є d) Sendo p o parâmetro da parábola, BF = p, BV = .
  • 27.
    Equação da Parábolacom diretriz d paralela ao eixo Y e o foco à direita de d Seja V(xo, yo), o vértice da parábola, então: o foco é . Para um ponto P(x,y) da parábola. Temos.
  • 28.
    Desenvolvendo, temos: Que é a equação da parábola, quando a diretriz d esta paralela ao eixo y e o foco a direita de d
  • 29.
    Equação Reduzida SejaV(0,0), o vértice da parábola, então o foco é a equação da diretriz d é . Para um ponto qualquer P(x,y) da parábola, temos. Desenvolvendo, temos:
  • 30.
    Equação da Parábolacom diretriz d paralela ao eixo Y e foco a esquerda da diretriz. Seja V(xo,yo) o vértice da parábola, então, o foco é e a diretriz d tem equação . Para um ponto qualquer P(x,y) da parábola, temos Desenvolvendo, temos:
  • 31.
    Equação Reduzida SejaV(0,0), o vértice da parábola, então o foco é , a equação da diretriz d é . Para um ponto qualquer da P(x,y) parábola, temos Desenvolvendo, temos:
  • 32.
    Equação da Parábolacom diretriz paralela ao eixo X e foco acima da diretriz. Seja V(xo,yo), o vértice da parábola, então , o foco é , e a diretriz da equação . Para um ponto qualquer P(x,y) da parábola, temos (Fig. 29): Desenvolvendo, temos:
  • 33.
    Equação Reduzida SejaV(0,0), o centro da parábola, então o foco é , e a equação da diretriz d é . Para um ponto qualquer P(x,y) da parábola, temos. Desenvolvendo, temos:
  • 34.
    Equação da Parábolacom diretriz paralela ao eixo X e foco abaixo da diretriz. Seja V(xo, yo), o vértice da parábola, então o foco é , e a diretriz tem equação . Para um ponto qualquer P(x,y), da parábola, temos: Desenvolvendo, temos:
  • 35.
    Equação Reduzida SejaV(0,0), o vértice da parábola, então o foco é ,e a equação da diretriz d é . Para um ponto qualquer P(x,y), da parábola, temos: Desenvolvendo, temos:
  • 36.
    PESQUISA REALIZADA NAESCOLA JOSÉ BEJO EM GLÓRIA D’OESTE 1 – Você ensina as cônicas no 3º Ano do ensino médio? ( ) Sim ( x ) Não 2 – Se você não ensina, qual é o motivo que não permite que o aluno adquira este aprendizado? “ Devido o conteúdo estar no final do livro do 3º ano do ensino médio é muito difícil ser trabalhado; não encontramos tempo para ministrar o referido conteúdo. O estado das cônicas fica mesmo restrito ao ensino superior, o máximo que se consegue é uma leve introdução de limite e das integrais, pois sabemos que o conteúdo trabalhado em sala de aula não pode ter somente volume, mas sim qualidade, porque não adiantaria nada terminar o livro todo se no final ninguém aprendeu nada.” Com a resposta deste professor concluímos que a matéria cônicas está reservado somente para o ensino superior, já que o professor tem uma visão clara da educação, não basta somente o volume, o que é importante é a qualidade.
  • 37.
    CONSIDERAÇÕES FINAIS Oprincipal objetivo desta monografia é fazer com que alunos e professores, percebam a importância dos conceitos geométricos, assim como eles podem ser tratados geometricamente. Com isso ao desenvolver com os alunos o estudo das cônicas, como ênfase deve recair sobre a compreensão da história e saber desenvolver uma equação para a obtenção de sua equação geral e também verificaras relações que há entre elipse, hipérbole e parábola, e não apenas na memorização de uma infinidade de equações. O estudo das cônicas pode ser feito de modo a enfatizar a história como obtê-las, como representa – las, graficamente e como relacionar seu elemento com as equações gerais que as representam.
  • 38.
    BIBLIOGRAFIA   SMOLE,Kátia Cristina, KIYUKAWA, Saburo, matemática, vol. 03, ed. Saraiva, São Paulo, 1998.   PAIVA, Manoel, matemática, vol. 03, ed, moderna, São Pulo, 1999.   IESSI, Gelson, Fundamentos da matemática elementar, vol. 07, geometria analítica, 4ª edição, ed. atual, São Paulo. 1993.   EVES, howard, história da geometria, trad. Hygino H. Domingues, São Paulo, ed. Atual, 1992 (tópicos de historia da matemática para uso em sala de aula vol. 03).   BOYER, Carl B., história da matemática, tradução Elza F. Gomid, 2ª edição, Garl Blucher, São Paulo, 1996.