 Carboidratos, Hidratos de Carbono, Glicídios   são
  compostos orgânicos formados, basicamente,     por
  Carbono, Hidrogênio e Oxigênio.
 Energética                  Estrutural
    Glicose                     Celulose
    Amido                       Quitina
    Glicogênio
 Monossacarídeos: Apresentam entre 3 e 7 átomos de
  carbono na molécula e fórmula geral Cn(H2O)n

  Nº DE CARBONOS      FÓRMULA          NOME

        3              C3H6O3           Triose

        4              C4H8O4          Tetrose

        5              C5H10O5         Pentose

        6              C6H12O6         Hexose

        7              C7H14O7         Heptose
1. Glicose
2. Frutose
3. Galactose
4. Ribose
5. Desoxirribose
 Dissacarídeos: A reação de formação de um dissacarídeo é
  uma síntese por desidratação
1. Sacarose
2. Lactose
MONOSSACARÍDEOS
DISSACARÍDEO                             FUNÇÃO
                CONSTITUINTES

                                     Apresenta função
                                      energética. Está
  Sacarose      Glicose + Frutose      presente nos
                                         vegetais,
                                     principalmente na
                                      cana-de-açúcar
                                     Apresenta função
                                      energética e é o
  Lactose      Glicose + Galactose
                                      açúcar presente
                                          no leite
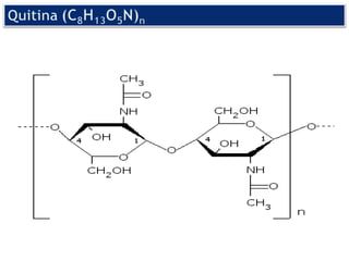
 São hidratos de Carbono formados por mais de duas
  moléculas de Monossacarídeos.


  Principais:
Celulose                   Quitina
 Principal reserva energética de
  plantas e algas.
 Mistura de dois polissacarídeos:
  Amilose e Amilopectina.
 Molécula de cadeia reta:
  AMILOSE e de cadeia
  ramificada: AMILOPECTINA.
 Configuração de milhares de
  moléculas de glicose com
  configuração α.
 Armazenamento de amido pela
  fotossíntese, liberando
  moléculas de glicose.
 Amilose: Macromolécula constituída a de 250 a 300
  resíduos de D-glicopiranose, ligadas por pontes glicosídicas
  α-1,4, que conferem à molécula uma estrutura helicoidal,
  20-30% da composição de amido.




 Amilopectina: Macromolécula constituída de 1400 resíduos
  de α-glicose ligadas por pontes glicosidica α-1,4, ocorrendo
  também ligações α-1,6, que dão a ela uma estrutura
  ramificada.
 Na digestão o amido é decomposto por reações de
  hidrólise em carboidratos menores. Essa hidrólise é
  efetuada pelas enzimas amilases existentes na saliva e
  suco pancreático.
 É um polissacarídeo e a
  principal reserva energética
  nas células animais,
  encontrado, principalmente,
  no fígado e nos músculos.
 Apresenta uma ramificação a
  cada oito a doze unidades.
 A síntese do glicogênio é
  semelhante a do amido.
 Tem formula estrutural
  semelhante da amilopectina.
 Cada ramificação do glicogênio
  termina com um açúcar não
  redutor.
 Seu consumo é vital para
  a nossa existência


 Desempenha diversas
  funções em nosso
  organismo, entre elas: a
  nutrição das células do
  sistema nervoso central


 Todos os carboidratos
  devem ser consumidos de
  forma eficaz
 Hiperglicemia: Aumento de Glicídios no Sangue
1.Diabetes Mellitus
2.Galactosemia
3.Glicogenoses


 Hipoglicemia: Diminuição da Glicose no Sangue
 Diabetes Mellitus: Causada pela falta ou má absorção
  de insulina.


1.Diabetes tipo I
2.Diabetes tipo II
3.Diabetes gestacional
 Causada pela falta de galactose 1-fosfatouridiltransferase
 Ausência de uma ou mais das muitas enzimas
  necessárias para converter o açúcar em glicogênio
 Hipoglicemia de Jejum
 Hipoglicemia Pós-prandial

Carboidratos slideshare

  • 2.
     Carboidratos, Hidratosde Carbono, Glicídios são compostos orgânicos formados, basicamente, por Carbono, Hidrogênio e Oxigênio.  Energética  Estrutural  Glicose  Celulose  Amido  Quitina  Glicogênio
  • 3.
     Monossacarídeos: Apresentamentre 3 e 7 átomos de carbono na molécula e fórmula geral Cn(H2O)n Nº DE CARBONOS FÓRMULA NOME 3 C3H6O3 Triose 4 C4H8O4 Tetrose 5 C5H10O5 Pentose 6 C6H12O6 Hexose 7 C7H14O7 Heptose
  • 4.
    1. Glicose 2. Frutose 3.Galactose 4. Ribose 5. Desoxirribose
  • 5.
     Dissacarídeos: Areação de formação de um dissacarídeo é uma síntese por desidratação
  • 6.
  • 7.
    MONOSSACARÍDEOS DISSACARÍDEO FUNÇÃO CONSTITUINTES Apresenta função energética. Está Sacarose Glicose + Frutose presente nos vegetais, principalmente na cana-de-açúcar Apresenta função energética e é o Lactose Glicose + Galactose açúcar presente no leite
  • 8.
     São hidratosde Carbono formados por mais de duas moléculas de Monossacarídeos.  Principais: Celulose Quitina
  • 11.
     Principal reservaenergética de plantas e algas.  Mistura de dois polissacarídeos: Amilose e Amilopectina.  Molécula de cadeia reta: AMILOSE e de cadeia ramificada: AMILOPECTINA.  Configuração de milhares de moléculas de glicose com configuração α.  Armazenamento de amido pela fotossíntese, liberando moléculas de glicose.
  • 12.
     Amilose: Macromolécula constituídaa de 250 a 300 resíduos de D-glicopiranose, ligadas por pontes glicosídicas α-1,4, que conferem à molécula uma estrutura helicoidal, 20-30% da composição de amido.  Amilopectina: Macromolécula constituída de 1400 resíduos de α-glicose ligadas por pontes glicosidica α-1,4, ocorrendo também ligações α-1,6, que dão a ela uma estrutura ramificada.
  • 13.
     Na digestãoo amido é decomposto por reações de hidrólise em carboidratos menores. Essa hidrólise é efetuada pelas enzimas amilases existentes na saliva e suco pancreático.
  • 14.
     É um polissacarídeo ea principal reserva energética nas células animais, encontrado, principalmente, no fígado e nos músculos.  Apresenta uma ramificação a cada oito a doze unidades.  A síntese do glicogênio é semelhante a do amido.  Tem formula estrutural semelhante da amilopectina.  Cada ramificação do glicogênio termina com um açúcar não redutor.
  • 15.
     Seu consumoé vital para a nossa existência  Desempenha diversas funções em nosso organismo, entre elas: a nutrição das células do sistema nervoso central  Todos os carboidratos devem ser consumidos de forma eficaz
  • 17.
     Hiperglicemia: Aumentode Glicídios no Sangue 1.Diabetes Mellitus 2.Galactosemia 3.Glicogenoses  Hipoglicemia: Diminuição da Glicose no Sangue
  • 18.
     Diabetes Mellitus:Causada pela falta ou má absorção de insulina. 1.Diabetes tipo I 2.Diabetes tipo II 3.Diabetes gestacional
  • 20.
     Causada pelafalta de galactose 1-fosfatouridiltransferase
  • 21.
     Ausência deuma ou mais das muitas enzimas necessárias para converter o açúcar em glicogênio
  • 22.
     Hipoglicemia deJejum  Hipoglicemia Pós-prandial