UNOPAR – UNIVERSIDADE NORTE DO PARANÁ
TRABALHO DE CÁLCULO Circuito RC
ALUNOS: ALEXANDRE FURUCHO GUILHERME CORTEZI GUSTAVO VARASQUIM JURANDIR FERREIRA LEANDRO ALONSO TANIGUCHI THIAGO ZANI MENON LUIS ANTÔNIO
Equações:
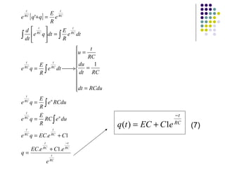
A equação (5) é Diferencial, onde a variável independente é o tempo(t) e a variável dependente é a carga no capacitor(q). Resolver esta equação significa encontrar a função qc=q(t) para uma determinada condição inicial a saber, a carga para o tempo t=0, que descobrimos q(0). Se inicialmente o capacitor está desligado, então q(0)=0.
 
(7)
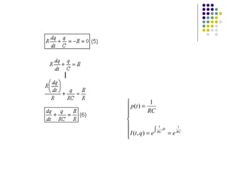
CONDIÇÃO Para uma condição inicial temos que, a carga para o tempo t=0, que denotamos q(0). Se inicialmente o capacitor está descarregado, então q(o)=0 Substituindo: (8) => Equação Solução
Matematicamente, se colocarmos t=0, teremos: De fato, a equação 8 prova que no instante t=0, o capacitor está descarregado, ou seja, q(0)=0. Sendo que experimentalmente podemos realizar três medidas e comprová-las.
A corrente no circuito i(t) varia no tempo e assim ela pode ser definida da seguinte forma:  (2), derivando q em (9) função de t.
Substituindo q(t) “eq. 8” e sua derivada, ou seja, i(t) “eq.9” na equação diferencial “eq. 5”, temos: Mostra que a equação diferencial se reduz a uma identidade . De acordo com a 1ª Lei de KIRCHHOFEF, Lei da Tensões, a soma algébrica das diferenças de potencial em uma malha fechada é igual a ZERO.
A ddp (Vc) entre as placas dos Capacitores A ddp entre as placas do capacitor cresce de acordo com a carga das placas. Então podemos medir q(t) experimentalmente medindo uma grandeza proporcional a ela, a saber, Vc a diferença de potencial através do capacitor. Da equação 8, temos: (8) Sendo que a tensão entre as placas do capacitor é dado por:  Então:
Analogamente, podemos medir i(t), medindo VR, ou seja, a diferença de potencial sobre o resistor. Sendo que a tensão entre os terminais do resistor é dada por: VR=R.i, como a corrente está variando com o tempo i(t), podemos substituir a eq. 6: em VR=R.i   Assim:   A figura X mostra os gráficos de Vc e de VR. Note que em qualquer instante a soma de Vc e Vr é igual E, como exige a equação 5.
Constante de Tempo O produto RC que aparece nas equações 8 e 9 tem dimensão de tempo (porque o expoente nas equações devem ser adimensional). Sendo assim, RC é chamado de constante de tempo capacitiva do circuito. Assim temos: Mas:  Então:
Seu símbolo é a letra grega tau (  ) e sua unidade de medida é o segundo. Então :   Ela é igual ao tempo necessário para que a carga do capacitor atinja uma função  ou aproximadamente 63% é de seu valor final (de equilíbrio). Podemos mostrar isto, substituindo T=RC na eq. 8. Como (CE) é a carga de equilíbrio do capacitor correspondente quanto   na equação.
Delta  720,0ms 1,389Hz Cursor 1 -640,0ms
Na Prática: Capacitor: 100uF Resistor: 10k Tensão: 10v
Jogando Valores: Erro Obtido: 3,5%
Simulador SCAD: 695ms 5,00v
 

Apresentação circuito rc (atualizado)

  • 1.
    UNOPAR – UNIVERSIDADENORTE DO PARANÁ
  • 2.
  • 3.
    ALUNOS: ALEXANDRE FURUCHOGUILHERME CORTEZI GUSTAVO VARASQUIM JURANDIR FERREIRA LEANDRO ALONSO TANIGUCHI THIAGO ZANI MENON LUIS ANTÔNIO
  • 4.
  • 5.
    A equação (5)é Diferencial, onde a variável independente é o tempo(t) e a variável dependente é a carga no capacitor(q). Resolver esta equação significa encontrar a função qc=q(t) para uma determinada condição inicial a saber, a carga para o tempo t=0, que descobrimos q(0). Se inicialmente o capacitor está desligado, então q(0)=0.
  • 6.
  • 7.
  • 8.
    CONDIÇÃO Para umacondição inicial temos que, a carga para o tempo t=0, que denotamos q(0). Se inicialmente o capacitor está descarregado, então q(o)=0 Substituindo: (8) => Equação Solução
  • 9.
    Matematicamente, se colocarmost=0, teremos: De fato, a equação 8 prova que no instante t=0, o capacitor está descarregado, ou seja, q(0)=0. Sendo que experimentalmente podemos realizar três medidas e comprová-las.
  • 10.
    A corrente nocircuito i(t) varia no tempo e assim ela pode ser definida da seguinte forma: (2), derivando q em (9) função de t.
  • 11.
    Substituindo q(t) “eq.8” e sua derivada, ou seja, i(t) “eq.9” na equação diferencial “eq. 5”, temos: Mostra que a equação diferencial se reduz a uma identidade . De acordo com a 1ª Lei de KIRCHHOFEF, Lei da Tensões, a soma algébrica das diferenças de potencial em uma malha fechada é igual a ZERO.
  • 12.
    A ddp (Vc)entre as placas dos Capacitores A ddp entre as placas do capacitor cresce de acordo com a carga das placas. Então podemos medir q(t) experimentalmente medindo uma grandeza proporcional a ela, a saber, Vc a diferença de potencial através do capacitor. Da equação 8, temos: (8) Sendo que a tensão entre as placas do capacitor é dado por: Então:
  • 13.
    Analogamente, podemos mediri(t), medindo VR, ou seja, a diferença de potencial sobre o resistor. Sendo que a tensão entre os terminais do resistor é dada por: VR=R.i, como a corrente está variando com o tempo i(t), podemos substituir a eq. 6: em VR=R.i Assim: A figura X mostra os gráficos de Vc e de VR. Note que em qualquer instante a soma de Vc e Vr é igual E, como exige a equação 5.
  • 14.
    Constante de TempoO produto RC que aparece nas equações 8 e 9 tem dimensão de tempo (porque o expoente nas equações devem ser adimensional). Sendo assim, RC é chamado de constante de tempo capacitiva do circuito. Assim temos: Mas: Então:
  • 15.
    Seu símbolo éa letra grega tau ( ) e sua unidade de medida é o segundo. Então : Ela é igual ao tempo necessário para que a carga do capacitor atinja uma função ou aproximadamente 63% é de seu valor final (de equilíbrio). Podemos mostrar isto, substituindo T=RC na eq. 8. Como (CE) é a carga de equilíbrio do capacitor correspondente quanto na equação.
  • 16.
    Delta 720,0ms1,389Hz Cursor 1 -640,0ms
  • 17.
    Na Prática: Capacitor:100uF Resistor: 10k Tensão: 10v
  • 18.
  • 19.
  • 20.