Incorporar apresentação


























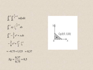
Este documento calcula o centro de gravidade de uma peça composta por 12 partes. Ele lista cada parte da peça e seu respectivo centro de gravidade ou indica que a parte é simétrica a outra já calculada. No final, resume o cálculo do centro de gravidade total da peça considerando a simetria das partes.
























