Curso preparatório para concurso
bombeiros mg 2016
Disciplina: Matemática
Prof. Nicodemos
Material de aula em:
www.quimicaealgomais.blogspot.com.br
nicoquimica@yahoo.com.br
Edital bombeiros 2015, pag 30
Fatoração de Polinômios
• Fatorar é encontrar os menores números primos e fatores em comum
fatoração por evidência:
x² + 2x → x * (x + 2)
x² : x = x
2x : x = 2
4x³ – 2x² → 2x² * (2x – 1)
4x³ : 2x² = 2x
2x : 2x = 1
16x² + 8 → 8 * (2x² + 1)
16x² : 8 = 2x²
8 : 8 = 1
Fatoração por Agrupamento
Na fatoração por agrupamento, utilizamos inicialmente a fatoração por
evidência e logo em seguida agrupamos os termos sob certas condições também
de evidenciação. Observe:
2yx – x – 6y + 3, aplicar evidência entre 2yx e –x e entre –6y e 3.
2yx – x → x * (2y – 1)
–6y + 3 → –3 * (2y – 1)
2yx – x – 6y + 3 → x * (2y – 1) – 3 * (2y – 1) → (x – 3) * (2y – 1)
Diferença entre dois quadrados
Nessa fatoração aplicaremos a raiz quadrada entre os elementos. O valor
resultante das raízes formará uma multiplicação entre binômios no mesmo
modelo do notável produto da soma pela diferença. Veja:
4x² – 16 → (2x + 4) * (2x – 4)
√4x² = 2x
√16 = 4
25x² – 100 → (5x + 10) * (5x – 10)
√25x² = 5x
√100 = 10
81x4 – 144 → (9x² + 12) * (9x² – 12)
√81x4 = 9x²
√144 = 12
Trinômio quadrado perfeito
Determinaremos o produto notável responsável pela formação do trinômio
x² + 2xy + y² ou x² – 2xy + y². Observe:
x² + 18x + 81 → (x + 9)²
√x² = x
√81 = 9
(x + 9)² = (x + 9) * (x + 9) = x² + 9x + 9x + 81 = x² + 18x + 81
4x² – 48x + 144 → (2x – 12)²
√4x² = 2x
√144 = 12
(2x + 12)² = (2x + 12) * (2x + 12) = 4x² + 24x + 24x + 144 = 4x² + 48x + 144
Trinômio Soma e Produto
São as fatorações envolvendo trinômios do tipo x² + Sx + P, que podem ser
fatorados e escritos da seguinte forma (x + a) * (x + b). Nessa situação
temos que Soma = a + b e Produto = a * b. Observe:
x² + 10x + 16 → (x + 8) * (x + 2)
Soma = 10
Produto = 16
Os números são 8 e 2, pois:
8 + 2 = 10
8 * 2 = 16
x² – 13x + 42 → (x – 6) * (x – 7)
Soma = –13
Produto = 42
Os números são –6 e –7, pois:
– 6 – 7 = – 13
(–6) * (–7) = 42
x² + 3x – 10 → (x – 2) * (x + 5)
Soma = 3
Produto = –10
Os números são 3 e –10, pois:
– 2 + 5 = 3
(–2) * 5 = – 10
x² – 2x – 63 → (x – 9) * (x + 7)
Soma = –2
Produto = – 63
Os números são –9 e 7, pois:
– 9 + 7 = – 2
(–9) * 7 = – 63
Multiplicação de binômios com
um término comum
(x + a) (x + b) = x2 + (a + b)x + ab
Teorema do resto de um polinômio
Todo polinômio P(x) quando dividido por um binômio do tipo x – a, resultará
em uma divisão exata, ou seja, terá resto igual a zero se, e somente se, a
constante a for raiz do polinômio P(x).
Ex: Prove que o polinômio P(x) = x4 - 4x3 + 4x2 - 4x +3 é divisível por x - 3
Para divisor igual a x – 3, a = 3.
P(3) = 34 – 4 . 33 + 4 . 32 – 4 . 3 + 3
P(3) = 81 – 4 . 27 + 4 . 9 – 12 + 3
P(3) = 81 – 108 + 36 – 12 + 3
P(3) = -27 + 36 – 12 + 3
P(3) = 9 – 12 + 3
P(3) = -3 + 3
P(3) = 0
Ex1 Calcule o resto da divisão (x2 + 3x – 10) : (x – 3).
Como diz o Teorema de D’Alembert, o resto (R) dessa divisão será igual a:
P(3) = R
32 + 3 * 3 – 10 = R
9 + 9 – 10 = R
18 – 10 = R
R = 8
Portanto, o resto dessa divisão será 8.
Ex2 Verifique se x5 – 2x4 + x3 + x – 2 é divisível por x – 1.
Segundo D’Alembert, um polinômio é divisível por um binômio se P(a) = 0.
P(1) = (1)5 – 2*(1)4 + (1)3 + (1) – 2
P(1) = 1 – 2 + 1 + 1 – 2
P(1) = 3 – 4
P(1) = – 1
Como P(1) é diferente de zero, o polinômio não será divisível pelo binômio x – 1.
Ex3 Calcule o valor de m de modo que o resto da divisão do polinômio
P(x) = x4 – mx3 + 5x2 + x – 3 por x – 2 seja 6.
Temos que, R = P(x) → R = P(2) → P(2) = 6
P(2) = 24 – m*23 + 5*22 + 2 – 3
24 – m*23 + 5*22 + 2 – 3 = 6
16 – 8m + 20 + 2 – 3 = 6
– 8m = 6 – 38 + 3
– 8m = 9 – 38
– 8m = – 29
m = 29/8
Ex4 Calcule o resto da divisão do polinômio 3x3 + x2 – 6x + 7 por 2x + 1.
R = P(x) → R = P(– 1/2)
R = 3*(–1/2)3 + (–1/2)2 – 6*(–1/2) + 7
R = 3*(–1/8) + 1/4 + 3 + 7
R = –3/8 + 1/4 + 10 (mmc)
R = –3/8 + 2/8 + 80/8
R = 79/8
Divisão de polinômios – Briot Ruffini
Método da divisão por chave
f(x) = 2x4 – 2x2 + 3x +1 por x – 1
Assim o quociente da divisão é
2x3 + 2x2 + 0x1 + 3 e o resto é 4.
3 3 2 2 3
( ) 3 3a b a a b ab b    
Cubo do Binômio
3 3 2 2 3
( ) 3 3a b a a b ab b    
a3 – b3 = (a – b) (a2 + ab + b2)
Diferença de Cubos
Equação
Definição: é uma sentença matemática que exprime uma relação de
igualdade e que contém, pelo menos, uma incógnita (representada por
uma letra).
Incógnita: representa um ou um conjunto de valores desconhecidos.
17
Equação
Exemplos:
a)
b)
c)
d)
e)
982 x
1092
 xxx
03 2
 yx
452 x
231
7 xx
x

18
Equação
Princípios aditivo e multiplicativo: aplicação na
resolução de equações.
Exemplo:
Como resolver a
equação 3x + 5 = 11,
utilizando tais princípios?
19
Equação
Resolução
3x + 5 = 11
20
©Erengoksel|Dreamstime.com
Equação do primeiro grau
Uma equação do primeiro grau, na incógnita x, é toda
equação que pode ser escrita na forma:
em que a e b são valores reais, com a ≠ 0.
Exemplos:
a) b) x + 3 = –2x + 7
0bax
0
3
2
5 x
21
Equação do primeiro grau
Solução ou raiz: valor que, atribuído à incógnita, torna a sentença
verdadeira.
Exemplo:
x = 3 é raiz da equação 5x + 2 = 17.
De modo geral:
é raiz da equação
a
b
x  .0 bax
22
Questão
Resolva as equações:
a)
b)
8237  xx
x
x

5
7
2
5
23
Aplicação
Os funcionários de uma empresa foram submetidos a uma
avaliação escrita interna que apresentou 50 questões. A
cada questão certa, o funcionário ganhava 2,0 pontos e, a
cada questão errada, ele perdia 0,5 ponto. Quantas
questões acertou um funcionário que respondeu a todas
as questões e alcançou 45 pontos?
24
Atividade
25
O funcionário de uma firma recebe um salário base de R$ 500,00
sobre o qual é adicionado um valor referente às horas extras
trabalhadas no mês. Ele recebe R$ 10,00 por hora extra. Recebe
ainda um adicional de 5% sobre a soma do salário base com o
valor referente às horas extras trabalhadas. O desconto
previdenciário é de 8,5% sobre o salário total. Quantas horas
extras ele deverá trabalhar num mês para receber R$ 1.000,00 de
salário (líquido)?
Equações
Chamamos de equação toda sentença matemática
expressa por uma igualdade que contém um ou mais
termos desconhecidos representados por letras.
Exemplos:
a) 4x + 8 = 3x - 5
b) 3a - 4 = b + 1
c) 9y - 11 = - 2
d) x² - 3x + 2 = 0
e) sen x = 0,8660254
Exercícios
1) O preço a ser pago por uma corrida de táxi inclui uma parcela fixa,
denominada "bandeirada", e uma parcela que depende da distância
percorrida. Se a bandeirada custa R$ 3,44 e cada quilômetro rodado
custa R$ 0,86, calcule:
a) a equação que determina o preço em função da distância;
b) o preço de uma corrida de 11 km;
c) a distância percorrida por um passageiro que pagou
R$ 21,50 pela corrida.
2) Uma fábrica de camisas tem um custo mensal de R$ 5.000,00 mais
R$15,00 por camisa produzida. Cada camisa é vendida por R$
25,00. Para ter um lucro de R$ 4.000,00, quanto a fábrica deverá
produzir e vender mensalmente?
Sistemas
Método da Substituição





12
72
yx
yx 72  xy
31)72.(2  xxx
1 y
Método da Adição











242
72
)2(12
72
yx
yx
yx
yx
155  yy
3 x
Sistema é um conjunto, no caso, de equações do 1o grau.
Resolver um sistema é encontrar valores para as variáveis
que satisfaçam, simultaneamente, todas as equações.
Exercícios
1) Um taxista trocou uma nota de 50 reais por notas
de 2 reais e 5 reais num total de 19 notas.
Quantas notas de cada valor o taxista recebeu?
2) Um açougue vende dois tipos de carne: de 1ª a
R$ 12,00 o quilo e de 2ª a R$ 10,00 o quilo. Se
um cliente pagou R$ 105,00 por dez quilos de
carne, então determine a quantidade de carne de
1ª que ele comprou.
EQUAÇÃO DO 2º GRAU COM UMA INCÓGNITA
1) DEFINIÇÃO
• Chama-se de equação do 2º grau com uma incógnita, toda
equação que assume a forma:
ax² + bx + c = 0.
Onde:
x é a incógnita.
a, b e c são números reais, com a ≠ 0.
a é coeficiente do termo em x².
b é coeficiente do termo em x.
c é o coeficiente do termo independente de x.
Exemplos:
a) 3x² + 4x + 1 = 0 (incógnita x)
a = 3 b = 4 c = 1 (Equação completa)
b) p² - 5p + 6 = 0 (incógnita p)
a = 1 b = -5 c = 6 (Equação completa)
c) -5t² + 7t – 2 = 0 (incógnita t)
a = -5 b = 7 c = -2 (Equação completa)
d) 2y² - 10y = 0 (incógnita y)
a = 2 b = -10 c = 0 (Equação incompleta)
e) 4z² - 100 = 0 (incógnita z)
a = 4 b = 0 c = -100 (Equação incompleta)
f) 7m² = 0 (incógnita m)
a = 7 b = 0 c = 0 (Equação incompleta)
32
Raízes de uma equação do 2º grau
Resolver uma equação do 2º grau significa determinar suas raízes.
Raiz é o número real que, ao substituir a incógnita de uma equação,
transforma-a numa sentença verdadeira.
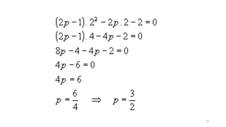
Determine p sabendo que 2 é raiz da equação (2p - 1) x² - 2px² - 2 = 0.
Solução:
Substituindo a incógnita x por 2, determinamos o valor de p.
Exemplo:
33
34
RELAÇÕES ENTRE OS COEFICIENTES E AS RAÍZES
Considere a equação ax2 + bx + c = 0, com a ≠ 0 e sejam x'e x'' as
raízes reais dessa equação.
35
Observe as seguintes relações:
Soma das raízes (S)
36
Produto das raízes (P)
37
Exercícios:
1) O quádruplo de um número, diminuído de três, é igual a 99. Qual é esse número ?
2) Júlio tem 15 anos e Eva tem 17 anos. Daqui a quantos anos a soma de suas idades
será 72 anos?
3) Num pátio há bicicletas e carros num total de 20 veículos e 56 rodas. Determine o
número de bicicletas e de carros.
4) A metade dos objetos de uma caixa mais a terça parte desses objetos é igual a 75.
Quantos objetos há na caixa?
5) Em uma fábrica, um terço dos empregados são estrangeiros e 90 empregados são
brasileiros. Quantos são os empregados da fábrica?
6) Numa caixa, o número de bolas pretas é o triplo de bolas brancas. Se tirarmos 4
brancas e 24 pretas, o número de bolas de cada cor ficará igual. Qual a quantidade de
bolas brancas?
7) Como devo distribuir R$ 438,00 entre três pessoas, de modo que as duas primeiras
recebam quantias iguais e a terceira receba o dobro do que receber as duas
primeiras?
8) Ao triplo de um número foi adicionado 40. O resultado é igual ao quíntuplo do
número. Qual é esse número?
38
9) Resolva as equações :
a) x2 – 12x + 35 = 0
b) x2 + 6x + 5 = 0
c) x2 – 10x + 24 = 0
d) x2 – 14x = 0
e) x2 – 169 = 0
f) x2 – 5x = 0
g) x2 – 3x – 4 = 0
10) Uma mãe tem o triplo da idade de sua filha.
Há dez anos, ela tinha sete vezes a idade da filha.
Qual a idade da mãe e da filha?
11) Compramos 6 kg de chá e 4 kg de café por
um preço total de 16,60 reais. Sabendo que 4 kg de
chá mais 2 kg de café custam 9,40 reais, calcular o
preço do kg de chá e o de café.
FORMA NORMAL OU REDUZIDA DA
EQUAÇÃO DO 2º GRAU
• Uma equação do 2º grau, com uma incógnita, está na
forma normal ou reduzida quando assume a forma geral
ax² + bx + c = 0, com a ≠ 0.
• Exemplos:
a) x² - 7x + 10 = 0
b) y² - 81 = 0
c) -2t² + 5t – 2 = 0
d) -6m² + m = 0
FORMA NORMAL OU REDUZIDA DA
EQUAÇÃO DO 2º GRAU
• Vejamos alguns exemplos de equações do 2º grau, com uma
incógnita, que serão representadas na forma reduzida aplicando os
princípios aditivo e multiplicativo das equações.
a) x² - 16 = 48
x² - 16 – 48 = 0 - Aplicando o princípio aditivo.
x² - 64 = 0 - Forma reduzida.
b) y² + 2y = 3y + 1
y² + 2y – 3y – 1 = 0 - Aplicando o princípio aditivo.
y² - y – 1 = 0 - Reduzindo os termos semelhantes.
y² - y – 1 = 0 - Forma reduzida.
FORMA NORMAL OU REDUZIDA DA
EQUAÇÃO DO 2º GRAU
c) (3m + 1)² = 7 – (m + 8)(m – 3)
9m² + 6m + 1 = 7 – m² - 5m + 24 - Eliminando os parênteses.
9m² + m² + 6m + 5m + 1 – 7 – 24 = 0 - Aplicando o princípio aditivo.
10m² + 11m – 30 = 0 - Forma reduzida.
d)
- Reduzindo ao mesmo denominador.
- Aplicando o princípio aditivo.
- Forma reduzida.
+ =
-
+ - -
=
- -
+ - = -
+ - - + =
- + =
1 2
4 2
2 . .( 4) 2.2( 4)
2 ( 4) 2 ( 4)
2 ² ² 4 4 16
2 ² ² 4 4 16 0
3 ² 8 16 0
x
x x
x x x x x
x x x x
x x x x
x x x x
x x
RESOLUÇÃO DE EQUAÇÕES INCOMPLETAS DO 2º GRAU
1º CASO: Equação do tipo ax² + bx = 0.
a) O quadrado de um número real positivo é igual ao seu quíntuplo. Determine esse número.
RESOLUÇÃO
 Representando o número procurado por x obtemos a equação:
x² = 5x
x² - 5x = 0 - Forma reduzida.
x.(x – 5) = 0 - Fator comum em evidência.
 Para que o produto entre dois números reais seja igual a zero um desses dois números precisa
ser zero. Logo:
x = 0 - Uma raiz da equação.
ou
x – 5 = 0 x = 5 - Outra raiz da equação.
 As raízes da equação são 0 e 5.
 Resposta: Como o problema nos pede um número real positivo, concluímos que o número
procurado é o 5.
RESOLUÇÃO DE EQUAÇÕES INCOMPLETAS DO 2º GRAU
b) Determine os números reais que satisfazem a equação: 3m² - 21m = 0.
RESOLUÇÃO
3m² - 21m = 0
m.(3m – 21) = 0 - Fator comum em evidência.
m = 0 - Uma raiz da equação.
ou
3m – 21= 0
m = 7 - Outra raiz da equação.
As raízes da equação são 0 e 7.
Resposta: Os números procurados são 0 e 7.
RESOLUÇÃO DE EQUAÇÕES INCOMPLETAS DO 2º GRAU
2º CASO: Equação do tipo ax² + c = 0.
a) Do quadrado de um número real subtraí 2 e obtive 34. Qual é esse
número?
RESOLUÇÃO
Representando o número procurado por x, obtemos a equação:
x² - 2 = 34
x² - 2 – 34 = 0
x² - 36 = 0
x² = 36
x = + = +6 , pois (+ )² = 36
x = - = - 6 , pois (- )² = 36
x = ± 6
As raízes da equação são -6 e 6. Resposta: O número real procurado é -6 ou 6.
36
36
36
36
RESOLUÇÃO DE EQUAÇÕES INCOMPLETAS DO 2º GRAU
b) Quais os valores reais de x que satisfazem a proporção: ?
RESOLUÇÃO
x² = 45 - Propriedade fundamental das proporções.
x = - ou x = +
x = - ou x = +
x = ±
As raízes da equação são - e +
RESPOSTA: Os valores de x procurados são - e + .
=
3
15
x
x
45 45
3 5 3 5
3 5
3 5 3 5
3 5 3 5
RESOLUÇÃO DE EQUAÇÕES INCOMPLETAS DO 2º GRAU
c) Existem números reais que satisfazem a equação m² + 9 = 0 ?
RESOLUÇÃO
m² + 9 = 0
m² = - 9
m = - ou m = +
Temos que: não representa um número real.
RESPOSTA: Não existem números reais que satisfaçam tal equação.
- 9
- 9- 9
RESOLUÇÃO DE EQUAÇÕES COMPLETAS DO 2º GRAU
• Seja a equação do 2º grau na forma normal:
ax² + bx + c = 0, com a≠0.
• Para determinarmos as raízes dessa equação, caso existam,
utilizaremos a fórmula resolutiva de Bhaskara:
• Onde: b² - 4.a.c , é chamado de discriminante da equação e
representado pela letra grega delta ( ). Assim:
b b² 4.a.c
x
2.a
  


b
x
2.a
  

RESOLUÇÃO DE EQUAÇÕES COMPLETAS DO 2º GRAU
• Se (positivo), a equação do 2º grau terá duas raízes reais e
diferentes : x’ ≠ x”.
• Se (nulo), a equação terá duas raízes reais e iguais: x’ = x”.
• Se (negativo) , a equação não terá raízes reais: e .
0 
0 
0 
x' x"
RESOLUÇÃO DE EQUAÇÕES COMPLETAS DO 2º GRAU
a) Determine as raízes reais da equação: x² - 5x + 4 = 0.
- Temos que: a=1, b=-5 e c=4.
- Calculando o discriminante da equação, obtemos:
- Substituindo os valores na fórmula resolutiva de Bhaskara:
- A equação tem duas raízes reais e diferentes que são 1 e 4.
       
 
b² 4.a.c ( 5)² 4.1.4 25 16
9
      
  

  

  
1
2
b ( 5) 9 5 3
x
2.a 2.1 2
5 3 8
x 4
2 2
5 3 2
x 1
2 2
RESOLUÇÃO DE EQUAÇÕES COMPLETAS DO 2º GRAU
b) Determine as raízes reais da equação: 3p² + 6p + 3 = 0.
- Calculando o discriminante, obtemos:
- Utilizando a fórmula resolutiva de Bhaskara:
- A equação tem raízes reais e iguais. A raiz é -1.
    
 
6² 4.3.3 36 36
0
   
 

  

  
1
2
6 0 6 0
p
2.3 6
6
p 1
6
6
p 1
6
RESOLUÇÃO DE EQUAÇÕES COMPLETAS DO 2º GRAU
c) Determine as raízes reais da equação: 4y² - 2y + 1 = 0.
- Calculando o discriminante da equação:
- Aplicando na fórmula de Bhaskara, obtemos:
- Observe que no Conjunto dos Números Reais não existe raiz de índice par de radicando
negativo.
- Logo, a equação não tem raízes reais.
     
  
( 2)² 4.4.1 4 16
12
   

( 2) 12
y
2.4
Inequação
São equações onde trocamos o sinal de = pelo sinais...
< , ≤ , > ou ≥.
(<) representa menor que (5 < 8, cinco menor que oito)
(>) representa maior que (7 > 2, sete maior que dois)
Trabalha a idéia de comparação entre equações.
Exercício:
As empresas ALFA e BETA alugam congeladores do mesmo tipo. A
empresa ALFA cobra R$ 350,00 fixos e R$ 10,00 por dia. A
empresa BETA cobra R$ 150,00 fixos e R$ 15,00 por dia. Após n
dias o valor cobrado pela empresa BETA passa a ser maior do que
o cobrado pela empresa ALFA. Determine o valor de n.
Inequação
Observe
b
a
b a
ba
O que podemos dizer delas
 Primeira reta a = b
 Segunda reta a > b
 Terceira reta a < b
É um enunciado que contém
um dos símbolos < ou >.
Uma desigualdade que
contém uma ou mais
variáveis se chama
desigualdade condicional ou
inequação.
Inequação
Para resolver inequações
• Aplicamos a propriedade aditiva da desigualdade
• Exemplo: x + 3 < 7
x + 3 – 3 < 7-3
x < 4
S = { x / x < 4 }
Inequação
Outra maneira de resolver
73 x
37 x
4x
}/{ 4 xxS
.Comp
732 
75 
Certo
Inequação
Exemplo 2
1973 x
7193 x
123 x
3
12
3
3

x
4x
}4/.{. xxSC
.Comp
197)5(3 
19715 
1922 
Certo
Inequação
Exemplo 3
126
3
2
x
612
3
2
x
18
3
2
x












2
3
18
3
2
2
3
x
2
54
x
27x
.Comp
  12630
3
2

126
3
60

12620 
1214 
certo
Inequação
Exemplo 4
2484  x
8244  x
164  x
4
16
4
4



 x
4x
}4/.{. xxSC
Comp
248)5(4 
24820 
2428 
Certo
Inequação
Exemplo 5
6284  xx
8624  xx
22 x
2
2
2
2

x
1x
}1/.{. xxSC
Comp
6)2(28)2(4 
6488 
20 
Certo
Inequação
Exemplo 6
  4
4
1
2
3
1
 xx
4
43
2

 xx
)4(12
4
)(
12
3
)2(
12 
 xx
1
4
1
3
48384  xx
40x
}40/.{. xxSC
.Comp
  4)40(
4
1
240
3
1

4)40(
4
1
)42(
3
1

41014 
1414 
certo
Inequação
Exemplo 7
)32(
8
1
3
4
1
 xx
8
32
3
4
1 

x
x
)
8
32
(8)3(8)
4
1
(8


x
x
32242  XX
24322  XX
270 
CERTO
}.{. xSC
Inequação
Comprovação
)3)4(2(
8
1
3)4(
4
1

)38(
8
1
31 
)11(
8
1
2 
375.12 
Certo
INEQUAÇÕES DE 1º GRAU
Resolva a inequação 2x + 8 > 0
2x + 8 > 0
2x > - 8
X >
x
+
-
S = ] – 4 , +  [
X > - 4
- 4
S = { x  lR / x > - 4 }
- 8
2
+
(Reta cresc.)
INEQUAÇÕES DE 2º GRAU
Resolver a inequação X2 + 5x + 6 < 0
Concavidade para cima
x2 + 5x + 6 = 0
 = 1
X = - 5  1
2
X’ = - 3 e x” = - 2 x- 3 - 2
+ +
-
S = {x  lR / -3 < x < - 2}
S = ] –3, – 2 [
SISTEMAS DE INEQUAÇÕES
Resolva o sistema
X2 – 36 > 0
X – 3 < 0
Conc. P/ cima
Reta crescente
X2 – 36 = 0
X2 = 36
X =  6
x-6 6
+ +
-
X – 3 < 0
X < 3
x3
+
-
I
- 6 6
II
3
I  II
- 6
S = { x  lR / x < - 6 }
S = ] - , - 6 [
Inequação Produto e Inequação Quociente
Resolva a inequação (X2 – 25)(2x – 8)  0
I II
I II
X2 – 25 = 0
+
X2 = 25
X2 =  5
x
+ +
-
- 5
5
2x – 8 = 0
2X = 8
X = 4
x4
+
-
Estudo do sinal
I
II
I . II
-5 4 5
-5 4 5
+ +
+ +
- -
- -
- -+ +
S = { x  lR / - 5  x  4 ou x  5}
S = [– 5, 4]  [5, +  [
Resolva inequação x2 – 3x  0
x + 3
I
II
I
x2 – 3x = 0
Igualar a zero
x(x – 3) = 0
x = 0 e x = 3
++
-0 3 x
II
x + 3 = 0
x = - 3
x-3
+
-
-
Estudo do sinal
I
II
I : II
-3 0 3
-3 0 3
++ - +
- + + +
- + - +
S = { x  lR / x < - 3 ou 0  x  3 }
S = ] – , - 3[  [0, 3 ]
Resolver a inequação x + 4 < - 2x – 1  X2 - 1
Separa-se a inequação em duas partes e forma-se um sistema
Ix + 4 < - 2x - 1
- 2x - 1  X2 - 1 II
I
x + 4 < - 2x - 1
x + 2x < - 1 - 4
x < - 5
x- 5
-
+
II
-2x – 1  x2 – 1
-2x – X2 – 1 + 1  0
– x2 - 2x = 0 . ( - 1)
x2 + 2x = 0
x = 0 e x = - 2
x- 2 0
+ +
-
Fazendo a interseção
I
II
I  II
-5
-2 0
- 5
S = { x  lR / x < - 5 }
S = ] – , - 5[
O conceito de função é um
dos mais importantes em
toda a Matemática.
PASSOS PARA SOLUÇÃO DE INEQUAÇÕES
1.Resolve como uma equação normal, encontrando sua(s)
raiz(es).
2.Insere a(s) raiz(es) na reta dos números reais (eixo x do plano
cartesiano) observando se o número pertence a equação (a
inequação é ≥ ou ≤ e “a bolinha é fechada”) ou se o número
não pertence (a inequação é > ou < e “a bolinha é aberta”).
3.Verifica se a função é crescente (a > 0) ou decrescente (a < 0)
e traça o gráfico (reta ou parábola), observando em que parte
ela é positiva e em que parte ela é negativa.
4.Verifica o sinal da inequação e acha o conjunto solução
de acordo com esse sinal (≥ ou > é positivo; ≤ ou < é negativo).
73
Resolver a inequação 3x² + 10x + 7 < 0
74
x’ = -1 e x” = – 7/3
S = {- 7/3 < x < - 1}
Resolver a inequação – 2x² – x + 1 ≤ 0
75
x’ = -1 e x” = ½
S = {x ≤ - 1 ou x ≥ ½ }
INEQUAÇÃO PRODUTO
𝑓 𝑥 × 𝑔 𝑥 > 0
𝑓 𝑥 × 𝑔 𝑥 < 0
𝑓 𝑥 × 𝑔 𝑥 ≥ 0
𝑓 𝑥 × 𝑔 𝑥 ≤ 0
76
SEMPRE TERÁ O
ZERO APÓS O
SINAL DA
INEQUAÇÃO
INEQUAÇÃO PRODUTO
(2x + 6) (-3x + 12) > 0
77
1ª parte: 2x + 6 = 0
2x = -6
x = -3
2ª parte: -3x + 12 = 0
-3x = -12
x = 4
−𝟑 +
−
𝟒
−
+
+ + + +
+++++
−+−
S = {𝒙 ∈ 𝑹 | − 𝟑 < 𝒙 < 𝟒}
INEQUAÇÃO PRODUTO
(2x + 6) (-3x + 12) < 0
78
1ª parte: 2x + 6 = 0
2x = -6
x = -3
2ª parte: -3x + 12 = 0
-3x = -12
x = 4
−𝟑 +
−
𝟒
−
+
+ + + +
+++++
−+−
S = {𝒙 ∈ 𝑹 | 𝒙 < −𝟑 𝒐𝒖 𝒙 > 𝟒}
INEQUAÇÃO QUOCIENTE
𝑓(𝑥)
𝑔(𝑥)
> 0
𝑓(𝑥)
𝑔(𝑥)
< 0
𝑓(𝑥)
𝑔(𝑥)
≥ 0
𝑓(𝑥)
𝑔(𝑥)
≤ 0
79
SEMPRE TERÁ O
ZERO APÓS O
SINAL DA
INEQUAÇÃO
INEQUAÇÃO QUOCIENTE
𝑥 + 1
2𝑥 − 1
≤ 0
80
1ª parte: x + 1 = 0
x = -1
−𝟏 +
−
+ + + +
2ª parte: 2x - 1 ≠ 0
x ≠ 1/2
𝟏
𝟐
+
−−−−−−−
+ +
+−+
S = {𝒙 ∈ 𝑹 | − 𝟏 ≤ 𝒙 <
𝟏
𝟐
}
INEQUAÇÃO QUOCIENTE
𝑥 + 1
2𝑥 − 1
≥ 0
81
1ª parte: x + 1 = 0
x = -1
−𝟏 +
−
+ + + +
2ª parte: 2x - 1 ≠ 0
x ≠ 1/2
𝟏
𝟐
+
−−−−−−−
+ +
+−+
S = {𝒙 ∈ 𝑹 | 𝒙 ≥ −𝟏 𝒐𝒖 𝒙 >
𝟏
𝟐
}
A idéia de função…
• Toda vez que temos dois
conjuntos e algum tipo de
associação entre eles...
que faça corresponder a
todo elemento do primeiro
conjunto um único elemento
do segundo, ocorre uma
função.
0
10
20
30
40
50
60
70
80
90
1°
Trim.
3°
Trim.
Leste
Oeste
Norte
Temos várias maneiras para
representar a idéia de função.
diagrama de setas gráficos
(plano cartesiano)
lei de formação
Como representar uma função
Algumas funções especiais:
crescente decrescente
que pode ser
o gráfico é uma reta
função do primeiro grau
com concavidade para cima com concavidade para baixo
o gráfico é uma parábola
função do segundo grau
Funções
A = {1, 2}; B = {2, 3, 4}
A x B = { (1, 2), (1, 3), (1, 4), (2, 2), (2, 3), (2, 4)}
A x B = { (x, y) | x  A e y  B}
Produto Cartesiano
Uma função (ou aplicação) f é uma lei segundo a
qual cada elemento x em um conjunto A está
associado a exatamente um elemento, chamado
f(x), em um conjunto B.
Definição de função
Não é função de A em B É função de A em B
Definição de função através de conjuntos
Não é função de A em B É função de A em B
Noção de função através de conjuntos
Im(f)
D(f) = A CD(f) = B
Domínio, Contradomínio e Conjunto-Imagem
Para que uma curva num plano cartesiano seja gráfico de
uma função y = f(x), nenhuma reta vertical deve interceptá-la
mais de uma vez.
Teste da reta vertical
D = {x  IR| –3  x  4 e x  1} e Im = {y  IR| –2 < y  3}
Domínio e imagem através do gráfico
Seja f uma função de A em B. Denominamos raiz (ou zero)
da função f todo elemento de A para o qual temos f(x) =0.
Interpretação geométrica das raízes de uma função
raiz
raiz
FUNÇÃOINJETORA
É quando quaisquer dois elementos diferentes do conjunto A
têm imagens diferentes no conjunto B.
0
-3
2
4
1
6
8
Ou seja, “x” diferente
tem “y” diferente !!!A B
Uma função f(x) é injetora se nenhuma reta horizontal
interceptar seu gráfico em mais de um ponto.
Teste da reta horizontal para verificar
se uma função é injetora
FUNÇÃOSOBREJETORA
É quando o conjunto Imagem da função for igual ao
conjunto contradomínio. (Im = CD)
-1
1
3
1
9
Se M é o conjunto das mulheres
e H é o conjunto dos homens,
então não se pode ter homem
solteiro !!!
M H
FUNÇÃOBIJETORA
É uma função simultaneamente injetora e sobrejetora.
-1
3
7
Ou seja, homens
e mulheres com os
mesmos direitos !!
1
5
9
M H
Injetora: “x” diferente
tem “y” diferente
Sobrejetora: NÃO SOBRAM
elementos no contra domínio.
Não é injetora.
É sobrejetora
É injetora.
Não é sobrejetora
Injeção, sobrejeção e bijeção
a) b)
É injetora
É sobrejetora
 É bijetora
Injeção, sobrejeção e bijeção
c)
Testandoseusconhecimentos
1) Classifique as funções como bijetora, sobrejetora, injetora ou
ainda nenhuma delas:
é injetora é sobrejetora
a)
b)
1
2
3
4
5
6
7
1
2
3
4
6
é bijetora
não é sobrejetora,
nem injetora
c) d)
1
2
3
4
5
6
1
2
3
3
4
5
2) Classifique as funções como bijetora, sobrejetora, injetora, ou
ainda nenhuma delas:
3) Dada a função sobrejetora f : [2; 8]  B, tal que f(x) = x² – 8x +7,
observe atentamente seu gráfico e determine seu domínio e imagem.
D(f) = [2;8]
Im(f) = [-9;7]
y
x
7
-5
2 4
7 8
-9
A função f é
crescente
A função f é
crescente
A função g é
decrescente
A função g é
decrescente
a b
g
g(a)
g(b)
a b
f
f(a)
f(b)
O a b
f
f(a)
f(b)
O a b
g
g(a)
g(b)
Diz-se que f é crescente, se para a < b, então f(a) < f(b).
FUNÇÃOCRESCENTE:
Diz-se que g é decrescente, se a < b então g(a) > g(b).
6) A partir da análise do gráfico, determine os intervalos
onde a função é:
y
x-2 0 2 4 6
a) Decrescente: ]0, 4[
b) Crescente: ]-∞ ; 0[ e ]4 ; +∞[
Função crescente e Função decrescente
Função crescente e Função decrescente
Função crescente e Função decrescente
GRÁFICO PARA x  0 GRÁFICO COMPLETO
Os gráficos das funções pares são simétricos em relação
ao eixo das ordenadas.
Função Par
f(-x) = (-x)4 - (-x)2 = x4 – x2 = f(x)
f(x) = x4 – x2
Função ímpar
Gráfico para x  0
Os gráficos das funções ímpares são simétricos em
relação à origem do sistema cartesiano ortogonal.
Função ímpar
f(-x) = (-x)3 + (-x)5 = -(x3 + x5) = - f(x)
f(x) = x3 + x5
FUNÇÃOPAR: f(x) = f(-x)
Exemplo:
f(x) = x² é par pois 2² = (-2)² = 4
FUNÇÃOÍMPAR: f(a) = - f(-a)
Exemplo:
f(x) = x³ é ímpar pois 2³ = - (-2)³
Uma função é PAR quando ela é
simétrica em relação ao eixo y.
Função ÍMPAR é simétrica em
relação a origem.
y
x
f(x) = x²
y
x
f(x) = x³
4) a) Verifique se f(x) = 2x³ + 5x é par ou ímpar:
Primeiro vejamos que f(1) = 2.1³ + 5.1 = 7
Em seguida, vejamos f(-1) = 2.(-1)³ + 5.(-1) = -7
Logo f(x) = 2x³ + 5x é ÍMPAR, pois f(x) = - f(-x)
ou seja, f(1) = - f(-1), pois 7 = - (-7)
b) Mostre que f(x) = 3x² é par:
Primeiro vejamos que f(1) = 3(1)² = 3
Em seguida, vejamos f(-1) = 3(-1)² = 3
Logo f(x) = x² é PAR, pois f(x) = f(-x)
ou seja, f(1) = f(-1), pois 3 = 3
5) Sendo o gráfico ao lado de f(x), o gráfico
de f(– x) será:
Resposta: E
f(x) = f(-x)
Lembre-se:
Se
Então a função “f” é par
e ela é simétrica ao eixo
“y”.
Sejam f e g duas funções quaisquer.
Denomina-se função composta de g com f a função h
definida por h(x) = g(f(x)).
Esquema para a composição de funções
x y
D R
f(x)
f -1(x)
FUNÇÃOINVERSA
A idéia agora é entender que y = f(x) e seguir o seguinte
procedimento:
1) Isola “x”;
2) Troca “x” por “y” e vice versa.
O símbolo para a função inversa de f é f -1
e lê-se “função inversa de f”.
FUNÇÃOINVERSA
O símbolo “–1” em f-1 não é um expoente; f-1(x)
não significa 1/f(x).
x
y ou f(x)
y = x2 ou
f(x) = x2
2-2
4
0
TESTE DA RETA HORIZONTAL
Uma função f tem inversa se e somente se o gráfico da mesma for
cortado apenas uma vez por qualquer reta horizontal.
EXEMPLO: a função f(x) = x2 tem inversa?
reta horizontal
FUNÇÃOINVERSA
Conclusão: a função f(x) = x2 não tem inversa.
Os gráficos de f e f –1 são simétricos em relação à
bissetriz dos quadrantes ímpares (reta y = x).
Simetria das funções inversas
1.
3.
7.
. 3
. 7
. 15
f
1.
3.
7.
. 3
. 7
. 15
f -1
A B
A B
Como construir um Gráfico
y
x
y = f(x)
x3
y3
x2 x4x1 x5
y4
y2
y1
y5
x y = f(x)
x1 y1
x2 y2
x3 y3
x4 y4
x5 y5
Tabela Plotagem
Denomina-se função constante toda função
cuja lei é do tipo f(x) = b, em que b  IR.
O gráfico é sempre
uma reta horizontal
que passa por (0, b).
Função constante
Função de 1º Grau
baxy 
Uma função de 1º grau, ou RETA, é toda função real do tipo:
Onde:
 a = taxa de variação da função(coeficiente angular);
 b = ponto onde a reta toca o Eixo Y(coeficiente linear);
R
b)(0,
X
Y ),( yx
b
Retas
• Coeficiente angular da reta R:
• Obs.:
• Retas horizontais: a = 0
• Retas verticais: Não tem a
12
12
horizontalvariação
verticalvariação
xx
yy
x
y
a
a







X
R
Y
12 yyy 
12 xxx 
),(P 111 yx
),(P 222 yx
1x 2x
1y
2y
• Equação da Reta:
Forma Ponto – Coeficiente angular
• A equação abaixo é a equação na forma ponto
– coeficiente angular que passa pelo ponto (x1,
y1) e tem coeficiente angular a.
 
11
11
)(
ou
yxxay
xxayy


Retas
• Exemplo 1
• Escreva uma equação para a reta que passa
pelo ponto P(2, 3) com coeficiente angular -
3/2.
• x1 = 2
• y1 = 3
• a = -3/2
 
 
6
2
3
3
2
3
3
2
2
3
3
11




xy
xy
xy
xxayy
Retas
• Exemplo 2
• Escreva uma equação para a reta que passa
pelos pontos P1(-2, -1) e P2(3, 4).
• x1 = -2
• y1 = -1
• x2 = 3
• y2 = 4
• a = ?
 
 
1
21
)2(1)1(
11




xy
xy
xy
xxayy
retadaequaçãodaCálculo
1
5
5
23
14
)2(3
)1(4
12
12










a
xx
yy
a
angularecoeficientdoCálculo
Propriedades da Reta
 É definida por um polinômio de 1° grau;
 Possui uma única raiz real, isto é, ela cruza o Eixo X
em apenas um ponto;
 O sinal da taxa de variação a fornece a informação
sobre o crescimento ou decrescimento da função:
 a < 0  função decrescente;
 a > 0  função crescente;
Propriedades da Reta
Só tocam o eixo X uma vez.
Se a < 0, a função decresce.
Se a > 0, a função cresce.
Raízes da Função de 1º Grau
As funções de 1º Grau possuem apenas uma raiz,
que é justamente onde a reta (que representa a
função de 1º Grau) cruza o Eixo x. Isto é, onde a
função tem valor zero.
a
bxbaxbaxy  00
Denomina-se função polinomial do 1º grau toda
função cuja lei é do tipo f(x) = mx + b, em que m,
b  IR e m  0.
Função do 1.º grau
2 1
2 1
m = tgα ⇔
y - yΔy
m = =
Δx x - x
Coeficiente angular da reta
y – y1 = m(x – x1)
Equação da reta de inclinação “m” que passa por (x1, y1)
Estudo do sinal da função do 1.º grau
Exercícios 1) Dada a função y = 2x + 3 determine:
a) O gráfico
b) A interseção com o eixo x e com o eixo y.
2) O custo de um determinado produto é de R$10,00 fixo mais
R$2,00 por unidade. Determine:
a) A equação que expressa o custo em função da quantidade.
b) O gráfico.
3) Dado o gráfico determine a sua respectiva função.
a) b)
Função de 2º Grau
cbxax  2
y
Uma função de 2º grau, também chamada de função
QUADRÁTICA, representada por uma PARÁBOLA, é
toda função real do tipo:
Desde que a ≠ 0;
Propriedades da Parábola
 É definida por um polinômio de 2o grau;
 Pode possuir:
 Duas raízes reais e distintas;
 Duas raízes reais e iguais;
 Nenhuma raiz real (não cruza o Eixo X).
 O sinal de a fornece a informação sobre a
concavidade da função:
 a < 0  concavidade para baixo;
 a > 0  concavidade para cima;
Propriedades da Parábola
Podem ter três tipos de raízes.
Se a < 0, a concavidade é para baixo.
Se a > 0, a concavidade é para cima.
Raizes da Função de 2º Grau
Para encontrar as raízes de funções de 2o Grau,
resolvemos a equação:
02
 cbxax
Cuja solução pode ser dada pela fórmula de
Bhaskara:
acbcom
a
b
x 4,
2
2



Vértice da Parábola





 

aa
b
v
4
,
2
Se a > 0, Se a < 0 ,
cbxaxy  ²
1) Determine as raízes, o vértice e o gráfico das seguintes
funções :
a) y = x ² - 6x + 8
b) y = – x ² + 4x – 4
c) y = 2 x ² + 4x + 5
2) A trajetória da bola, num chute a gol, descreve uma
parábola. Supondo que sua altura h, em metros, t
segundos após o chute, seja dada por h = – t² +
6 t, determine a altura máxima atingida pela bola.
Função polinomial do 2.º grau (ou função
quadrática) é toda função cuja lei é da forma
f(x) = ax2 + bx + c, em que a, b, c  IR e a  0.
Função do 2.º grau (quadrática)
Coordenadas do vértice
 
   
b
V = ,
2a 4a
Crescimento e decrescimento da função
quadrática
 > 0  = 0  < 0
a > 0
a < 0
Estudo do sinal da função do 2.º grau
Imagem da função quadrática
Im y IR / y Im y IR / y
4a 4a
      
          
    
Denominamos função definida por partes toda
função definida com a aplicação de fórmulas
diferentes a diferentes partes do domínio.
Função definida por partes
0, se t 0
H(t)
1, se t 0

 

Função por Partes
y = x p/ x < 2
e
y = x2 p/ x > 2
-10
-5
0
5
10
15
20
25
30
-6 -4 -2 0 2 4 6
Exercício
Determine o gráfico da função:








3,
3,12
xsex
xsex
y
Função definida por partes
2
1, se x 0
y f(x) x , se 0 x 1
x, se x 1



    


Definição de módulo de um número real
x, se x 0
x
x, se x 0

 
 
2
f(x) x 4 
Denominamos função exponencial toda função f: IRIR do tipo
f(x) = ax, definida para todo número real x, com a > 0 e a  1.
Função exponencial
 O gráfico da função f(x) = ax passa pelo ponto (0,1).
 A função é crescente se a > 1.
 A função é decrescente se 0 < a < 1.
 O domínio é IR;
 O conjunto-imagem é IR*+ (reais positivos).
Função exponencial
 x
aLog b = x a = b
b > 0
a > 0 e a  1
Condições de
existência
Nomenclatura
b logaritmando
a base do logaritmo
x  logaritmo
Definição de logaritmo
Propriedades operacionais dos logaritmos
 
  
a a a
a a a
m
a a
I) log (b.c) =log b+log c
b
II) log =log b log c
c
III) log b =m.log b
 (b >0, 0 <a 1 e 0 <c 1)
Mudança de base
c
a
c
log b
log b =
log a
Seja a função exponencial f: IR  IR*+ definida por y
= ax, com a > 0 e a  1. A sua inversa é chamada de
função logarítmica e é indicada por y = log a x.
Função logarítmica
 A função f(x) = loga x passa pelo ponto (1,0).
 A função é crescente se a > 1.
 A função é decrescente se 0 < a < 1.
 O domínio é IR*+ (Reais positivos).
 O conjunto imagem é IR.

*
Função logarítmica
Função Exponencial
RRf :
Definição
RDomínio
    ,0Im f
Imagem
  x
axf  10  a
*
R
    ,0Im f
  RfD 
Função Exponencial
  x
xf 2
x
1
2
3
4
... ..
x
x
y 2
221
y
422
y
823
y
1624
y
x
y 2
y
1 2123 x
1
2
4
0
Representação Gráfica
Função Exponencial
 
x
xg 






2
1
x1 22
y
1
4
01
2
Representação Gráfica
Função Exponencial
1a
Crescente
10  a
eDecrescent
  x
xf 2
1 2123 x
y
1
2
4
 
x
xg 






2
1
0
Função Exponencial
Representação Gráfica
1x
1,5x2x4x10x0,25x0,5x
Equação Exponencial
322 x
81
9
1






x
171333 112
  xxx
093109  xx
Equação Exponencial
kxaa kx

322 x
5
22 x
5x   42
33  x
42
33  x
81
9
1






x
42  x 2x
Equação Exponencial
63933 1212
  xxx
  633
3
3
33 2
2
2

x
x
x
633
3
3
33 2
2
2
 x
x
x
yx
2
3
63
3
3  y
y
y
3
18939  yyy
1897 y 27y
32
33 x
2
3
 x
Equação Exponencial
224  xx
  02222
 xx
  0222
2
 xx
yx
2
11 y
12 x
1x
022
 yy
22 y
22 x
Inequação Exponencial
322) x
a
81
9
1
) 





x
b
64,08,0) 2
x
c
093109)  xx
d
Inequação Exponencial
kx
aa 
322 x
5
22 x
5x   21
99  x
2
99 x
2 x
2x
1,  asekx
10,  asekx
81
9
1






x
Inequação Exponencial
1x
64,08,0 2
x
100
64
8,0 2
x
100
64
8,0 2
x
10
8
8,0 2
x
8,08,0 2
x
12 x
Inequação Exponencial
yx
3
11 y
09102
 yy
92 y
91  y
093109  xx
  093103
2
 xx x1 – – –
+ +
9
+ +
931  x
20
333  x
20  x
Inequação Exponencial
1232
 xx
x
10100 2
x
11111 0
x
Verificação se 0 ou 1
são soluções
F
V
 11 S
Inequação Exponencial
1232
 xx
x
0232
xx xx

2S
10  x
0232
 xx
11 x 22 x
x1 – – –
+ +
2
+ +
21  x
Como 10  x
Supondo que
Inequação Exponencial
1232
 xx
x
0232
xx xx

Supondo que
23  xS
1x
0232
 xx
11 x 22 x
x1 – – –
+ +
2
+ +
21  xoux
Como 1x
Inequação Exponencial
1232
 xx
x
Solução da inequação será
 2/3  xRxS
321 SSSS 
2S
11 S
 21/  xouxRxS
Exemplo 1
Uma aplicação da função exponencial – 1.º Exemplo
Considere uma população de bactérias em um meio nutriente
homogêneo. Suponha que colhendo amostras da população em
certos intervalos de tempo fique determinado que a população dobra
a cada uma hora. Se o número de bactérias no instante t for p(t),
onde t é medido em horas, e a população inicial for de p(0) = 1000
bactérias, então:
Após 1h  p(1) = 2.p(0) = 2.1000 = 2000;
Após 2h  p(2) = 2.p(1) = 2.2.1000 = 22.1000 = 4000;
Após 3h  p(3) = 2.p(2) = 2.22.1000 = 23.1000 = 8000;
Após th  p(t) = 2.p(t-1) = .... = 2t.1000 = 2t.1000.
Exemplo 1
• Portanto, a função exponencial para este caso é definida por:
p(t) = 2t.1000.
• Assim, se quisermos saber de quanto será a população de
bactérias após 10 horas, basta substituir 10 na equação:
p(10) = 210.1000 = 1024.1000 = 1.024.000 bactérias.
• Por outro lado, se a pergunta for: quanto tempo levará para a
população de bactérias chegar 128.000? Basta substituir p(t) por
128.000 e encontrar o valor de t.
128.000 = 2t.1000  128.000/1000 = 2t  27 = 2t,
portanto, t = 7 horas.
Exemplo 2
A importância do número “e”
• Dentre todas as bases possíveis para uma função exponencial, há
uma que é mais conveniente.
• Essa escolha leva em conta o coeficiente angular da reta tangente
ao gráfico da função exponencial.
• O que desejamos é um coeficiente angular exatamente m = 1, pois
facilitaria muito cálculos futuros.
• Para obtermos um coeficiente angular m = 1 para a reta tangente
à função exponencial, a base mais conveniente é o número “e”.
• O gráfico da função y = ex fica entre os gráficos das funções y = 2x
e y = 3x.
Exemplo 2
Gráfico de y = ex
Coeficiente angular: m = 1
Empréstimo de R$ 800,00 para pagar depois de 3 meses, à
taxa de 5% am.
tempo (meses)
Montante (R$)
1
y = 800 (1,05)t
y = 800 (1 + 0,05 . t)
2 3
882
880
920
840
800
926
Exemplo 2
Exemplo 3
Crescimento da Indústria do turismo nos últimos 50 anos.
tempo (ano)
Turistasinternacionais
(emmilhões)
60 65 70
360
480
240
120
75 80 85 90 95
y = ax
a > 1
Exemplo 4
Crescimento da população brasileira nos últimos 35 anos.
tempo (ano)
Populaçãobrasileira
(emmilhões)
70 80 90
169,1
185
166,1
90
99
y = 90 000 000 (1,018)t
05
y = k.ax
a > 1
Exemplo 5
Depreciação de 15%, a cada ano, de um veículo com valor de
R$ 35 000,00.
tempo (ano)
Valordoveículo
(R$)
1 2 3
29 750
35 000
25 287
21 494
y = 35 000 (0,85)t
y = k.ax
0 < a  1
Proposta de Atividades Práticas
• A empresa e o lucro L(t) = 3000 (1,5)t
• A população de uma cidade P = P0.ei.n
• A planta cresce A = 40 (1,1)t
• A máquina desvaloriza D = K (0,8)t
• O líquido e seu PH
• O terremoto e a escala Richter
• A escala temperada da música e Bach
Logaritmos
xab log
Base do logaritmo
Logaritmando Logaritmo
0a 01  b
Condição de Existência
xab log  abx

Logaritmos
xab log
Base do logaritmo
Logaritmando Logaritmo
Logaritmos
x8log2
 82 x
3x
8log2
38log2 
xab log
Base do logaritmo
Logaritmando Logaritmo
Logaritmos
Consequência da definição
01log1  bP
1log2  bP b
nbP n
b log3
cacaP bb  loglog4
abP ab
 log
5
Logaritmos
Propriedades Operátórias
  babaP ccc logloglog1 
ba
b
a
P ccc logloglog2 






  anaP b
n
b loglog3 
Logaritmos
Mudança de Base
b
a
a
c
c
b
log
log
log 
ba
b
a
a cc
c
c
b loglog
log
log
log 
Logaritmos
(UDESC 2006-1) Se , e ,
pode-se afirmar que:
3log ba 4log ca
x
c
b
a log
x
c
b
a log cb
c
b
aaa logloglog 
43log 
c
b
a
1log 
c
b
a
c
b
a 1
b
c
a 
Logaritmos
(UDESC 2007-2) A expressão que representa a
solução da equação 11x – 130 = 0 é:
130
11x log
11
130x log
130
11
log
x 
130
11
x log
 
  
 
11
130x log
a)
b)
c)
d)
e)
b
c
log a c b a  
11 130x

130
11
a
b
c x



11
130log x
11
130x log
Função Logarítmica
Definição
RRf 
*
:   xxf blog
*
RDomínio
  Rf Im
Imagem R
  *
 RfD
Função Logarítmica
Representação Gráfica
  xxf 2log
1 x
y
1
2
1
2
1
0
Função Logarítmica
  xxg
2
1log
1
2
x
y
1
1
0
Representação Gráfica
Função Logarítmica
  xxg
2
1log
1
2
x
y
1
1
1 x
y
1
2
1
2
1
0 0
  xxf 2log
1b
Crescente
10 b
eDecrescent
Representação Gráfica
Função Exponencial
x
y
1
y = ax
a > 1
y = ax
0 < a  1
Ex:
y = 2 x
Ex:
y = (1/2 )x
Função Logarítmica
x
y
1
y = loga x
a > 1
y = loga x
0 < a  1
y = log2 x
y = log1/2 x
Função Inversa
x
y
1
y = loga x
y = ax
y = x
f(x) = ax
f -1(x) = loga x
a > 1
Crescente
1
Função Inversa
x
y
1
y = loga x
y = ax
y = x
1
f(x) = ax
f -1(x) = loga x
0 < a  1
Decrescente
Exercício
(UDESC 2007-2) A expressão que representa a
inversa da função    3
1f x log x  é:
 1
3 1x
f x
 
 1
3 1x
f x
 
 1
3 1f x x
 
   1
3 1
x
f x
 
   1
1
3x
f x log 


a)
b)
c)
d)
e)
 3
1y log x 
3 1
3 1
3 1
y
x
x
x
y
y
 
 
 
 1
3 1x
f x
 
Equação Logarítmica
       xgxfxgxf bb  loglog
  53log2 x
325
 x
x332
35x
03x
3x
 35S
Equação Logarítmica
       xgxfxgxf bb  loglog
   295log 1  xx
  951
2
 xx
95122
 xxx
095 x
5
9
 x
01x 1 x
11x 2 x
01072
 xx
21 x 51 x
 5S
Equação Logarítmica
       xgxfxgxf bb  loglog
    8log4log3log 555  xx
03x 3 x
04 x 4 x
41 x
3 x
 4S
    8log43log 55  xx
8122
 xx
0202
 xx 52 x
0202
 xx
Exercício
(UDESC 2006-2) O valor de x que torna a expressão
  25log
2
4
1 x
 2
2
5
4
1







x
05 x
9x
verdadeira é:
  25log
2
4
1 x
251016 2
 xx
9102
 xx
11 x 92 x
5x
C.E
Exercício
(UDESC 2006-1) Se , então o valor de
x é: 3
5
2loglog 88  xx
23
5
28 x
3
5
2loglog 88  xx  
3
5
2log8  xx
  23
5
3
22 x
25
22 x
2
16 x
2
232 x
4x
0x
C.E
4x
Inequação Logarítmica
   xgxf bb loglog 
1b
   xgxf 
10 b
   xgxf 
  5log3log 22 x
53x
8x
03x
C.E
3x
 3/  xRxS
  ,3S
Inequação Logarítmica
   xgxf bb loglog 
1b
   xgxf 
10 b
   xgxf 
   2log82log
3
2
3
2  xx
282  xx
6x
082 x
C.E
4x
02 x
2x
I II
4 xIII
Inequação Logarítmica
    34log3log 22  xx
8122
 xx
    3
22 2log43log  xx
    3
22 2log43log  xx
0202
 xx
51 x
42 x
x5 – – – – – –
+ + +
4
+ + +
45  x
Inequação Logarítmica
    34log3log 22  xx
x5 – – – – – –
+ + +
4
+ + +
45  x
03x
C.E
3x
04 x
4x
3x
 43/  xRxS
0202
 xx
Inversa
Funções inversas
• De modo análogo, de todas as possíveis bases “a” para o logaritmo,
veremos que a escolha mais conveniente é a “e”.
• A função logarítmica y = logax é a inversa da função y = ax. Seu gráfico é a
reflexão de y = ax com relação a reta y = x.
• Enquanto y = ax é uma função que cresce muito rapidamente, y = logax é
uma função de crescimento muito lento.
Exemplo
Uma aplicação da função logarítmica
• A escala Richter é uma escala logarítmica de medição da
energia liberada pelos terremotos sob a forma de ondas
que se propagam pela crosta terrestre. Nela é usado o
logaritmo decimal;
• Os valores desta escala são chamados de magnitudes;
• Durante um terremoto um sismógrafo registra essa
magnitude durante um certo intervalo de tempo;
Exemplo
• Essa magnitude pode ser calculada a partir da seguinte equação:
• Onde:
Ms: magnitude na escala Richter;
A: amplitude do movimento da onda (registrada em micrômetros);
f: freqüência da onda (medida em hertz).
30,3).(log10  fAMs
Exemplo
• Suponha que para um certo terremoto foi registrada a amplitude
A = 1000 m e uma freqüência de 0,1 Hz. A magnitude desse terremoto é:
• Para se ter uma idéia, uma magnitude de 9 graus provocaria a destruição
total das construções de uma grande cidade.
• Como a escala é de base 10, um tremor de magnitude 8 seria 10 vezes
menor em relação à magnitude de intensidade 9. Ou seja, a cada grau a
menos, a energia liberada diminui 10 vezes.
• O valor acima é considerado moderado.
33,5
30,32
30,3100log
30,3)1,0.1000(log
30,3).(log
10
10
10





s
s
s
s
s
M
M
M
M
fAM
Exemplo
O record é de 9,5 graus, registrado no terremoto que atingiu o Chile, no
século XX.
Exemplo
Funções inversas
• A vida média do estrôncio-90 90Sr, é de 25 anos. Isso significa que
a metade de qualquer quantidade de 90Sr vai se desintegrar em 25
anos.
• Considere que uma amostra de 90Sr tem uma massa de 24 mg.
Como a massa de 24 mg se reduz a metade a cada 25 anos,
então:
)24.(2)24.(
2
1
....)(
)24(
2
1
)24(
2
1
.
2
1
)50(
2
1
)75(
)24(
2
1
)24(
2
1
.
2
1
)25(
2
1
)50(
)24(
2
1
)0(
2
1
)25(
24)0(
25
25
32
2
t
t
tm
mm
mm
mm
m






Exemplo
Funções inversas
• Portanto, a função para este caso é:
• Como a função logarítmica inversa dessa função é:
• Se quisermos saber, por exemplo, o tempo necessário para que uma massa de 5
mg se desintegre, basta substituir m por 5 na fórmula:
25
2.24)(
t
tm


)ln24(ln
2ln
25
)(1
mmf 
anosf
f
mmf
6,56
693,0
225,39
693,0
)609,1178,3.(25
)5(
)5ln24(ln
2ln
25
)5(
)ln24(ln
2ln
25
)(
1
1
1








Funções Logaritmos Neperianos
Como todas as outras funções logarítmicas com base maior que 1, o
logaritmo neperiano é uma função crescente definida m (0,) tendo
o eixo y como assíntota vertical.
1) Construir o gráfico de y = lnx;
- 8 - 6 - 4 - 2 0 2 4 6 8
- 4
- 2
0
2
4
Funções Logaritmos Neperianos
2) depois, deslocamos 2 unidades para a direita, obtendo o gráfico
y = ln(x-2);

CfSd 2016 matematica - 2 v1

  • 1.
    Curso preparatório paraconcurso bombeiros mg 2016 Disciplina: Matemática Prof. Nicodemos Material de aula em: www.quimicaealgomais.blogspot.com.br nicoquimica@yahoo.com.br
  • 2.
  • 4.
    Fatoração de Polinômios •Fatorar é encontrar os menores números primos e fatores em comum fatoração por evidência: x² + 2x → x * (x + 2) x² : x = x 2x : x = 2 4x³ – 2x² → 2x² * (2x – 1) 4x³ : 2x² = 2x 2x : 2x = 1 16x² + 8 → 8 * (2x² + 1) 16x² : 8 = 2x² 8 : 8 = 1
  • 5.
    Fatoração por Agrupamento Nafatoração por agrupamento, utilizamos inicialmente a fatoração por evidência e logo em seguida agrupamos os termos sob certas condições também de evidenciação. Observe: 2yx – x – 6y + 3, aplicar evidência entre 2yx e –x e entre –6y e 3. 2yx – x → x * (2y – 1) –6y + 3 → –3 * (2y – 1) 2yx – x – 6y + 3 → x * (2y – 1) – 3 * (2y – 1) → (x – 3) * (2y – 1)
  • 6.
    Diferença entre doisquadrados Nessa fatoração aplicaremos a raiz quadrada entre os elementos. O valor resultante das raízes formará uma multiplicação entre binômios no mesmo modelo do notável produto da soma pela diferença. Veja: 4x² – 16 → (2x + 4) * (2x – 4) √4x² = 2x √16 = 4 25x² – 100 → (5x + 10) * (5x – 10) √25x² = 5x √100 = 10 81x4 – 144 → (9x² + 12) * (9x² – 12) √81x4 = 9x² √144 = 12
  • 7.
    Trinômio quadrado perfeito Determinaremoso produto notável responsável pela formação do trinômio x² + 2xy + y² ou x² – 2xy + y². Observe: x² + 18x + 81 → (x + 9)² √x² = x √81 = 9 (x + 9)² = (x + 9) * (x + 9) = x² + 9x + 9x + 81 = x² + 18x + 81 4x² – 48x + 144 → (2x – 12)² √4x² = 2x √144 = 12 (2x + 12)² = (2x + 12) * (2x + 12) = 4x² + 24x + 24x + 144 = 4x² + 48x + 144
  • 8.
    Trinômio Soma eProduto São as fatorações envolvendo trinômios do tipo x² + Sx + P, que podem ser fatorados e escritos da seguinte forma (x + a) * (x + b). Nessa situação temos que Soma = a + b e Produto = a * b. Observe: x² + 10x + 16 → (x + 8) * (x + 2) Soma = 10 Produto = 16 Os números são 8 e 2, pois: 8 + 2 = 10 8 * 2 = 16 x² – 13x + 42 → (x – 6) * (x – 7) Soma = –13 Produto = 42 Os números são –6 e –7, pois: – 6 – 7 = – 13 (–6) * (–7) = 42
  • 9.
    x² + 3x– 10 → (x – 2) * (x + 5) Soma = 3 Produto = –10 Os números são 3 e –10, pois: – 2 + 5 = 3 (–2) * 5 = – 10 x² – 2x – 63 → (x – 9) * (x + 7) Soma = –2 Produto = – 63 Os números são –9 e 7, pois: – 9 + 7 = – 2 (–9) * 7 = – 63 Multiplicação de binômios com um término comum (x + a) (x + b) = x2 + (a + b)x + ab
  • 10.
    Teorema do restode um polinômio Todo polinômio P(x) quando dividido por um binômio do tipo x – a, resultará em uma divisão exata, ou seja, terá resto igual a zero se, e somente se, a constante a for raiz do polinômio P(x). Ex: Prove que o polinômio P(x) = x4 - 4x3 + 4x2 - 4x +3 é divisível por x - 3 Para divisor igual a x – 3, a = 3. P(3) = 34 – 4 . 33 + 4 . 32 – 4 . 3 + 3 P(3) = 81 – 4 . 27 + 4 . 9 – 12 + 3 P(3) = 81 – 108 + 36 – 12 + 3 P(3) = -27 + 36 – 12 + 3 P(3) = 9 – 12 + 3 P(3) = -3 + 3 P(3) = 0
  • 11.
    Ex1 Calcule oresto da divisão (x2 + 3x – 10) : (x – 3). Como diz o Teorema de D’Alembert, o resto (R) dessa divisão será igual a: P(3) = R 32 + 3 * 3 – 10 = R 9 + 9 – 10 = R 18 – 10 = R R = 8 Portanto, o resto dessa divisão será 8. Ex2 Verifique se x5 – 2x4 + x3 + x – 2 é divisível por x – 1. Segundo D’Alembert, um polinômio é divisível por um binômio se P(a) = 0. P(1) = (1)5 – 2*(1)4 + (1)3 + (1) – 2 P(1) = 1 – 2 + 1 + 1 – 2 P(1) = 3 – 4 P(1) = – 1 Como P(1) é diferente de zero, o polinômio não será divisível pelo binômio x – 1.
  • 12.
    Ex3 Calcule ovalor de m de modo que o resto da divisão do polinômio P(x) = x4 – mx3 + 5x2 + x – 3 por x – 2 seja 6. Temos que, R = P(x) → R = P(2) → P(2) = 6 P(2) = 24 – m*23 + 5*22 + 2 – 3 24 – m*23 + 5*22 + 2 – 3 = 6 16 – 8m + 20 + 2 – 3 = 6 – 8m = 6 – 38 + 3 – 8m = 9 – 38 – 8m = – 29 m = 29/8 Ex4 Calcule o resto da divisão do polinômio 3x3 + x2 – 6x + 7 por 2x + 1. R = P(x) → R = P(– 1/2) R = 3*(–1/2)3 + (–1/2)2 – 6*(–1/2) + 7 R = 3*(–1/8) + 1/4 + 3 + 7 R = –3/8 + 1/4 + 10 (mmc) R = –3/8 + 2/8 + 80/8 R = 79/8
  • 13.
    Divisão de polinômios– Briot Ruffini Método da divisão por chave f(x) = 2x4 – 2x2 + 3x +1 por x – 1 Assim o quociente da divisão é 2x3 + 2x2 + 0x1 + 3 e o resto é 4.
  • 16.
    3 3 22 3 ( ) 3 3a b a a b ab b     Cubo do Binômio 3 3 2 2 3 ( ) 3 3a b a a b ab b     a3 – b3 = (a – b) (a2 + ab + b2) Diferença de Cubos
  • 17.
    Equação Definição: é umasentença matemática que exprime uma relação de igualdade e que contém, pelo menos, uma incógnita (representada por uma letra). Incógnita: representa um ou um conjunto de valores desconhecidos. 17
  • 18.
    Equação Exemplos: a) b) c) d) e) 982 x 1092  xxx 032  yx 452 x 231 7 xx x  18
  • 19.
    Equação Princípios aditivo emultiplicativo: aplicação na resolução de equações. Exemplo: Como resolver a equação 3x + 5 = 11, utilizando tais princípios? 19
  • 20.
    Equação Resolução 3x + 5= 11 20 ©Erengoksel|Dreamstime.com
  • 21.
    Equação do primeirograu Uma equação do primeiro grau, na incógnita x, é toda equação que pode ser escrita na forma: em que a e b são valores reais, com a ≠ 0. Exemplos: a) b) x + 3 = –2x + 7 0bax 0 3 2 5 x 21
  • 22.
    Equação do primeirograu Solução ou raiz: valor que, atribuído à incógnita, torna a sentença verdadeira. Exemplo: x = 3 é raiz da equação 5x + 2 = 17. De modo geral: é raiz da equação a b x  .0 bax 22
  • 23.
    Questão Resolva as equações: a) b) 8237 xx x x  5 7 2 5 23
  • 24.
    Aplicação Os funcionários deuma empresa foram submetidos a uma avaliação escrita interna que apresentou 50 questões. A cada questão certa, o funcionário ganhava 2,0 pontos e, a cada questão errada, ele perdia 0,5 ponto. Quantas questões acertou um funcionário que respondeu a todas as questões e alcançou 45 pontos? 24
  • 25.
    Atividade 25 O funcionário deuma firma recebe um salário base de R$ 500,00 sobre o qual é adicionado um valor referente às horas extras trabalhadas no mês. Ele recebe R$ 10,00 por hora extra. Recebe ainda um adicional de 5% sobre a soma do salário base com o valor referente às horas extras trabalhadas. O desconto previdenciário é de 8,5% sobre o salário total. Quantas horas extras ele deverá trabalhar num mês para receber R$ 1.000,00 de salário (líquido)?
  • 26.
    Equações Chamamos de equaçãotoda sentença matemática expressa por uma igualdade que contém um ou mais termos desconhecidos representados por letras. Exemplos: a) 4x + 8 = 3x - 5 b) 3a - 4 = b + 1 c) 9y - 11 = - 2 d) x² - 3x + 2 = 0 e) sen x = 0,8660254
  • 27.
    Exercícios 1) O preçoa ser pago por uma corrida de táxi inclui uma parcela fixa, denominada "bandeirada", e uma parcela que depende da distância percorrida. Se a bandeirada custa R$ 3,44 e cada quilômetro rodado custa R$ 0,86, calcule: a) a equação que determina o preço em função da distância; b) o preço de uma corrida de 11 km; c) a distância percorrida por um passageiro que pagou R$ 21,50 pela corrida. 2) Uma fábrica de camisas tem um custo mensal de R$ 5.000,00 mais R$15,00 por camisa produzida. Cada camisa é vendida por R$ 25,00. Para ter um lucro de R$ 4.000,00, quanto a fábrica deverá produzir e vender mensalmente?
  • 28.
    Sistemas Método da Substituição      12 72 yx yx72  xy 31)72.(2  xxx 1 y Método da Adição            242 72 )2(12 72 yx yx yx yx 155  yy 3 x Sistema é um conjunto, no caso, de equações do 1o grau. Resolver um sistema é encontrar valores para as variáveis que satisfaçam, simultaneamente, todas as equações.
  • 29.
    Exercícios 1) Um taxistatrocou uma nota de 50 reais por notas de 2 reais e 5 reais num total de 19 notas. Quantas notas de cada valor o taxista recebeu? 2) Um açougue vende dois tipos de carne: de 1ª a R$ 12,00 o quilo e de 2ª a R$ 10,00 o quilo. Se um cliente pagou R$ 105,00 por dez quilos de carne, então determine a quantidade de carne de 1ª que ele comprou.
  • 30.
    EQUAÇÃO DO 2ºGRAU COM UMA INCÓGNITA 1) DEFINIÇÃO • Chama-se de equação do 2º grau com uma incógnita, toda equação que assume a forma: ax² + bx + c = 0. Onde: x é a incógnita. a, b e c são números reais, com a ≠ 0. a é coeficiente do termo em x². b é coeficiente do termo em x. c é o coeficiente do termo independente de x.
  • 31.
    Exemplos: a) 3x² +4x + 1 = 0 (incógnita x) a = 3 b = 4 c = 1 (Equação completa) b) p² - 5p + 6 = 0 (incógnita p) a = 1 b = -5 c = 6 (Equação completa) c) -5t² + 7t – 2 = 0 (incógnita t) a = -5 b = 7 c = -2 (Equação completa) d) 2y² - 10y = 0 (incógnita y) a = 2 b = -10 c = 0 (Equação incompleta) e) 4z² - 100 = 0 (incógnita z) a = 4 b = 0 c = -100 (Equação incompleta) f) 7m² = 0 (incógnita m) a = 7 b = 0 c = 0 (Equação incompleta)
  • 32.
    32 Raízes de umaequação do 2º grau Resolver uma equação do 2º grau significa determinar suas raízes. Raiz é o número real que, ao substituir a incógnita de uma equação, transforma-a numa sentença verdadeira. Determine p sabendo que 2 é raiz da equação (2p - 1) x² - 2px² - 2 = 0. Solução: Substituindo a incógnita x por 2, determinamos o valor de p. Exemplo:
  • 33.
  • 34.
    34 RELAÇÕES ENTRE OSCOEFICIENTES E AS RAÍZES Considere a equação ax2 + bx + c = 0, com a ≠ 0 e sejam x'e x'' as raízes reais dessa equação.
  • 35.
    35 Observe as seguintesrelações: Soma das raízes (S)
  • 36.
  • 37.
    37 Exercícios: 1) O quádruplode um número, diminuído de três, é igual a 99. Qual é esse número ? 2) Júlio tem 15 anos e Eva tem 17 anos. Daqui a quantos anos a soma de suas idades será 72 anos? 3) Num pátio há bicicletas e carros num total de 20 veículos e 56 rodas. Determine o número de bicicletas e de carros. 4) A metade dos objetos de uma caixa mais a terça parte desses objetos é igual a 75. Quantos objetos há na caixa? 5) Em uma fábrica, um terço dos empregados são estrangeiros e 90 empregados são brasileiros. Quantos são os empregados da fábrica? 6) Numa caixa, o número de bolas pretas é o triplo de bolas brancas. Se tirarmos 4 brancas e 24 pretas, o número de bolas de cada cor ficará igual. Qual a quantidade de bolas brancas? 7) Como devo distribuir R$ 438,00 entre três pessoas, de modo que as duas primeiras recebam quantias iguais e a terceira receba o dobro do que receber as duas primeiras? 8) Ao triplo de um número foi adicionado 40. O resultado é igual ao quíntuplo do número. Qual é esse número?
  • 38.
    38 9) Resolva asequações : a) x2 – 12x + 35 = 0 b) x2 + 6x + 5 = 0 c) x2 – 10x + 24 = 0 d) x2 – 14x = 0 e) x2 – 169 = 0 f) x2 – 5x = 0 g) x2 – 3x – 4 = 0 10) Uma mãe tem o triplo da idade de sua filha. Há dez anos, ela tinha sete vezes a idade da filha. Qual a idade da mãe e da filha? 11) Compramos 6 kg de chá e 4 kg de café por um preço total de 16,60 reais. Sabendo que 4 kg de chá mais 2 kg de café custam 9,40 reais, calcular o preço do kg de chá e o de café.
  • 39.
    FORMA NORMAL OUREDUZIDA DA EQUAÇÃO DO 2º GRAU • Uma equação do 2º grau, com uma incógnita, está na forma normal ou reduzida quando assume a forma geral ax² + bx + c = 0, com a ≠ 0. • Exemplos: a) x² - 7x + 10 = 0 b) y² - 81 = 0 c) -2t² + 5t – 2 = 0 d) -6m² + m = 0
  • 40.
    FORMA NORMAL OUREDUZIDA DA EQUAÇÃO DO 2º GRAU • Vejamos alguns exemplos de equações do 2º grau, com uma incógnita, que serão representadas na forma reduzida aplicando os princípios aditivo e multiplicativo das equações. a) x² - 16 = 48 x² - 16 – 48 = 0 - Aplicando o princípio aditivo. x² - 64 = 0 - Forma reduzida. b) y² + 2y = 3y + 1 y² + 2y – 3y – 1 = 0 - Aplicando o princípio aditivo. y² - y – 1 = 0 - Reduzindo os termos semelhantes. y² - y – 1 = 0 - Forma reduzida.
  • 41.
    FORMA NORMAL OUREDUZIDA DA EQUAÇÃO DO 2º GRAU c) (3m + 1)² = 7 – (m + 8)(m – 3) 9m² + 6m + 1 = 7 – m² - 5m + 24 - Eliminando os parênteses. 9m² + m² + 6m + 5m + 1 – 7 – 24 = 0 - Aplicando o princípio aditivo. 10m² + 11m – 30 = 0 - Forma reduzida. d) - Reduzindo ao mesmo denominador. - Aplicando o princípio aditivo. - Forma reduzida. + = - + - - = - - + - = - + - - + = - + = 1 2 4 2 2 . .( 4) 2.2( 4) 2 ( 4) 2 ( 4) 2 ² ² 4 4 16 2 ² ² 4 4 16 0 3 ² 8 16 0 x x x x x x x x x x x x x x x x x x x x x x
  • 42.
    RESOLUÇÃO DE EQUAÇÕESINCOMPLETAS DO 2º GRAU 1º CASO: Equação do tipo ax² + bx = 0. a) O quadrado de um número real positivo é igual ao seu quíntuplo. Determine esse número. RESOLUÇÃO  Representando o número procurado por x obtemos a equação: x² = 5x x² - 5x = 0 - Forma reduzida. x.(x – 5) = 0 - Fator comum em evidência.  Para que o produto entre dois números reais seja igual a zero um desses dois números precisa ser zero. Logo: x = 0 - Uma raiz da equação. ou x – 5 = 0 x = 5 - Outra raiz da equação.  As raízes da equação são 0 e 5.  Resposta: Como o problema nos pede um número real positivo, concluímos que o número procurado é o 5.
  • 43.
    RESOLUÇÃO DE EQUAÇÕESINCOMPLETAS DO 2º GRAU b) Determine os números reais que satisfazem a equação: 3m² - 21m = 0. RESOLUÇÃO 3m² - 21m = 0 m.(3m – 21) = 0 - Fator comum em evidência. m = 0 - Uma raiz da equação. ou 3m – 21= 0 m = 7 - Outra raiz da equação. As raízes da equação são 0 e 7. Resposta: Os números procurados são 0 e 7.
  • 44.
    RESOLUÇÃO DE EQUAÇÕESINCOMPLETAS DO 2º GRAU 2º CASO: Equação do tipo ax² + c = 0. a) Do quadrado de um número real subtraí 2 e obtive 34. Qual é esse número? RESOLUÇÃO Representando o número procurado por x, obtemos a equação: x² - 2 = 34 x² - 2 – 34 = 0 x² - 36 = 0 x² = 36 x = + = +6 , pois (+ )² = 36 x = - = - 6 , pois (- )² = 36 x = ± 6 As raízes da equação são -6 e 6. Resposta: O número real procurado é -6 ou 6. 36 36 36 36
  • 45.
    RESOLUÇÃO DE EQUAÇÕESINCOMPLETAS DO 2º GRAU b) Quais os valores reais de x que satisfazem a proporção: ? RESOLUÇÃO x² = 45 - Propriedade fundamental das proporções. x = - ou x = + x = - ou x = + x = ± As raízes da equação são - e + RESPOSTA: Os valores de x procurados são - e + . = 3 15 x x 45 45 3 5 3 5 3 5 3 5 3 5 3 5 3 5
  • 46.
    RESOLUÇÃO DE EQUAÇÕESINCOMPLETAS DO 2º GRAU c) Existem números reais que satisfazem a equação m² + 9 = 0 ? RESOLUÇÃO m² + 9 = 0 m² = - 9 m = - ou m = + Temos que: não representa um número real. RESPOSTA: Não existem números reais que satisfaçam tal equação. - 9 - 9- 9
  • 47.
    RESOLUÇÃO DE EQUAÇÕESCOMPLETAS DO 2º GRAU • Seja a equação do 2º grau na forma normal: ax² + bx + c = 0, com a≠0. • Para determinarmos as raízes dessa equação, caso existam, utilizaremos a fórmula resolutiva de Bhaskara: • Onde: b² - 4.a.c , é chamado de discriminante da equação e representado pela letra grega delta ( ). Assim: b b² 4.a.c x 2.a      b x 2.a    
  • 48.
    RESOLUÇÃO DE EQUAÇÕESCOMPLETAS DO 2º GRAU • Se (positivo), a equação do 2º grau terá duas raízes reais e diferentes : x’ ≠ x”. • Se (nulo), a equação terá duas raízes reais e iguais: x’ = x”. • Se (negativo) , a equação não terá raízes reais: e . 0  0  0  x' x"
  • 49.
    RESOLUÇÃO DE EQUAÇÕESCOMPLETAS DO 2º GRAU a) Determine as raízes reais da equação: x² - 5x + 4 = 0. - Temos que: a=1, b=-5 e c=4. - Calculando o discriminante da equação, obtemos: - Substituindo os valores na fórmula resolutiva de Bhaskara: - A equação tem duas raízes reais e diferentes que são 1 e 4.           b² 4.a.c ( 5)² 4.1.4 25 16 9                   1 2 b ( 5) 9 5 3 x 2.a 2.1 2 5 3 8 x 4 2 2 5 3 2 x 1 2 2
  • 50.
    RESOLUÇÃO DE EQUAÇÕESCOMPLETAS DO 2º GRAU b) Determine as raízes reais da equação: 3p² + 6p + 3 = 0. - Calculando o discriminante, obtemos: - Utilizando a fórmula resolutiva de Bhaskara: - A equação tem raízes reais e iguais. A raiz é -1.        6² 4.3.3 36 36 0               1 2 6 0 6 0 p 2.3 6 6 p 1 6 6 p 1 6
  • 51.
    RESOLUÇÃO DE EQUAÇÕESCOMPLETAS DO 2º GRAU c) Determine as raízes reais da equação: 4y² - 2y + 1 = 0. - Calculando o discriminante da equação: - Aplicando na fórmula de Bhaskara, obtemos: - Observe que no Conjunto dos Números Reais não existe raiz de índice par de radicando negativo. - Logo, a equação não tem raízes reais.          ( 2)² 4.4.1 4 16 12      ( 2) 12 y 2.4
  • 52.
    Inequação São equações ondetrocamos o sinal de = pelo sinais... < , ≤ , > ou ≥. (<) representa menor que (5 < 8, cinco menor que oito) (>) representa maior que (7 > 2, sete maior que dois) Trabalha a idéia de comparação entre equações. Exercício: As empresas ALFA e BETA alugam congeladores do mesmo tipo. A empresa ALFA cobra R$ 350,00 fixos e R$ 10,00 por dia. A empresa BETA cobra R$ 150,00 fixos e R$ 15,00 por dia. Após n dias o valor cobrado pela empresa BETA passa a ser maior do que o cobrado pela empresa ALFA. Determine o valor de n.
  • 53.
    Inequação Observe b a b a ba O quepodemos dizer delas  Primeira reta a = b  Segunda reta a > b  Terceira reta a < b É um enunciado que contém um dos símbolos < ou >. Uma desigualdade que contém uma ou mais variáveis se chama desigualdade condicional ou inequação.
  • 54.
    Inequação Para resolver inequações •Aplicamos a propriedade aditiva da desigualdade • Exemplo: x + 3 < 7 x + 3 – 3 < 7-3 x < 4 S = { x / x < 4 }
  • 55.
    Inequação Outra maneira deresolver 73 x 37 x 4x }/{ 4 xxS .Comp 732  75  Certo
  • 56.
    Inequação Exemplo 2 1973 x 7193x 123 x 3 12 3 3  x 4x }4/.{. xxSC .Comp 197)5(3  19715  1922  Certo
  • 57.
  • 58.
    Inequação Exemplo 4 2484 x 8244  x 164  x 4 16 4 4     x 4x }4/.{. xxSC Comp 248)5(4  24820  2428  Certo
  • 59.
    Inequação Exemplo 5 6284 xx 8624  xx 22 x 2 2 2 2  x 1x }1/.{. xxSC Comp 6)2(28)2(4  6488  20  Certo
  • 60.
    Inequação Exemplo 6  4 4 1 2 3 1  xx 4 43 2   xx )4(12 4 )( 12 3 )2( 12   xx 1 4 1 3 48384  xx 40x }40/.{. xxSC .Comp   4)40( 4 1 240 3 1  4)40( 4 1 )42( 3 1  41014  1414  certo
  • 61.
    Inequação Exemplo 7 )32( 8 1 3 4 1  xx 8 32 3 4 1  x x ) 8 32 (8)3(8) 4 1 (8   x x 32242  XX 24322  XX 270  CERTO }.{. xSC
  • 62.
  • 63.
    INEQUAÇÕES DE 1ºGRAU Resolva a inequação 2x + 8 > 0 2x + 8 > 0 2x > - 8 X > x + - S = ] – 4 , +  [ X > - 4 - 4 S = { x  lR / x > - 4 } - 8 2 + (Reta cresc.)
  • 64.
    INEQUAÇÕES DE 2ºGRAU Resolver a inequação X2 + 5x + 6 < 0 Concavidade para cima x2 + 5x + 6 = 0  = 1 X = - 5  1 2 X’ = - 3 e x” = - 2 x- 3 - 2 + + - S = {x  lR / -3 < x < - 2} S = ] –3, – 2 [
  • 65.
    SISTEMAS DE INEQUAÇÕES Resolvao sistema X2 – 36 > 0 X – 3 < 0 Conc. P/ cima Reta crescente X2 – 36 = 0 X2 = 36 X =  6 x-6 6 + + - X – 3 < 0 X < 3 x3 + - I - 6 6 II 3 I  II - 6 S = { x  lR / x < - 6 } S = ] - , - 6 [
  • 66.
    Inequação Produto eInequação Quociente Resolva a inequação (X2 – 25)(2x – 8)  0 I II I II X2 – 25 = 0 + X2 = 25 X2 =  5 x + + - - 5 5 2x – 8 = 0 2X = 8 X = 4 x4 + -
  • 67.
    Estudo do sinal I II I. II -5 4 5 -5 4 5 + + + + - - - - - -+ + S = { x  lR / - 5  x  4 ou x  5} S = [– 5, 4]  [5, +  [
  • 68.
    Resolva inequação x2– 3x  0 x + 3 I II I x2 – 3x = 0 Igualar a zero x(x – 3) = 0 x = 0 e x = 3 ++ -0 3 x II x + 3 = 0 x = - 3 x-3 + - -
  • 69.
    Estudo do sinal I II I: II -3 0 3 -3 0 3 ++ - + - + + + - + - + S = { x  lR / x < - 3 ou 0  x  3 } S = ] – , - 3[  [0, 3 ]
  • 70.
    Resolver a inequaçãox + 4 < - 2x – 1  X2 - 1 Separa-se a inequação em duas partes e forma-se um sistema Ix + 4 < - 2x - 1 - 2x - 1  X2 - 1 II I x + 4 < - 2x - 1 x + 2x < - 1 - 4 x < - 5 x- 5 - + II -2x – 1  x2 – 1 -2x – X2 – 1 + 1  0 – x2 - 2x = 0 . ( - 1) x2 + 2x = 0 x = 0 e x = - 2 x- 2 0 + + -
  • 71.
    Fazendo a interseção I II I II -5 -2 0 - 5 S = { x  lR / x < - 5 } S = ] – , - 5[
  • 72.
    O conceito defunção é um dos mais importantes em toda a Matemática.
  • 73.
    PASSOS PARA SOLUÇÃODE INEQUAÇÕES 1.Resolve como uma equação normal, encontrando sua(s) raiz(es). 2.Insere a(s) raiz(es) na reta dos números reais (eixo x do plano cartesiano) observando se o número pertence a equação (a inequação é ≥ ou ≤ e “a bolinha é fechada”) ou se o número não pertence (a inequação é > ou < e “a bolinha é aberta”). 3.Verifica se a função é crescente (a > 0) ou decrescente (a < 0) e traça o gráfico (reta ou parábola), observando em que parte ela é positiva e em que parte ela é negativa. 4.Verifica o sinal da inequação e acha o conjunto solução de acordo com esse sinal (≥ ou > é positivo; ≤ ou < é negativo). 73
  • 74.
    Resolver a inequação3x² + 10x + 7 < 0 74 x’ = -1 e x” = – 7/3 S = {- 7/3 < x < - 1}
  • 75.
    Resolver a inequação– 2x² – x + 1 ≤ 0 75 x’ = -1 e x” = ½ S = {x ≤ - 1 ou x ≥ ½ }
  • 76.
    INEQUAÇÃO PRODUTO 𝑓 𝑥× 𝑔 𝑥 > 0 𝑓 𝑥 × 𝑔 𝑥 < 0 𝑓 𝑥 × 𝑔 𝑥 ≥ 0 𝑓 𝑥 × 𝑔 𝑥 ≤ 0 76 SEMPRE TERÁ O ZERO APÓS O SINAL DA INEQUAÇÃO
  • 77.
    INEQUAÇÃO PRODUTO (2x +6) (-3x + 12) > 0 77 1ª parte: 2x + 6 = 0 2x = -6 x = -3 2ª parte: -3x + 12 = 0 -3x = -12 x = 4 −𝟑 + − 𝟒 − + + + + + +++++ −+− S = {𝒙 ∈ 𝑹 | − 𝟑 < 𝒙 < 𝟒}
  • 78.
    INEQUAÇÃO PRODUTO (2x +6) (-3x + 12) < 0 78 1ª parte: 2x + 6 = 0 2x = -6 x = -3 2ª parte: -3x + 12 = 0 -3x = -12 x = 4 −𝟑 + − 𝟒 − + + + + + +++++ −+− S = {𝒙 ∈ 𝑹 | 𝒙 < −𝟑 𝒐𝒖 𝒙 > 𝟒}
  • 79.
    INEQUAÇÃO QUOCIENTE 𝑓(𝑥) 𝑔(𝑥) > 0 𝑓(𝑥) 𝑔(𝑥) <0 𝑓(𝑥) 𝑔(𝑥) ≥ 0 𝑓(𝑥) 𝑔(𝑥) ≤ 0 79 SEMPRE TERÁ O ZERO APÓS O SINAL DA INEQUAÇÃO
  • 80.
    INEQUAÇÃO QUOCIENTE 𝑥 +1 2𝑥 − 1 ≤ 0 80 1ª parte: x + 1 = 0 x = -1 −𝟏 + − + + + + 2ª parte: 2x - 1 ≠ 0 x ≠ 1/2 𝟏 𝟐 + −−−−−−− + + +−+ S = {𝒙 ∈ 𝑹 | − 𝟏 ≤ 𝒙 < 𝟏 𝟐 }
  • 81.
    INEQUAÇÃO QUOCIENTE 𝑥 +1 2𝑥 − 1 ≥ 0 81 1ª parte: x + 1 = 0 x = -1 −𝟏 + − + + + + 2ª parte: 2x - 1 ≠ 0 x ≠ 1/2 𝟏 𝟐 + −−−−−−− + + +−+ S = {𝒙 ∈ 𝑹 | 𝒙 ≥ −𝟏 𝒐𝒖 𝒙 > 𝟏 𝟐 }
  • 82.
    A idéia defunção… • Toda vez que temos dois conjuntos e algum tipo de associação entre eles... que faça corresponder a todo elemento do primeiro conjunto um único elemento do segundo, ocorre uma função. 0 10 20 30 40 50 60 70 80 90 1° Trim. 3° Trim. Leste Oeste Norte
  • 83.
    Temos várias maneiraspara representar a idéia de função. diagrama de setas gráficos (plano cartesiano) lei de formação Como representar uma função
  • 84.
    Algumas funções especiais: crescentedecrescente que pode ser o gráfico é uma reta função do primeiro grau com concavidade para cima com concavidade para baixo o gráfico é uma parábola função do segundo grau Funções
  • 85.
    A = {1,2}; B = {2, 3, 4} A x B = { (1, 2), (1, 3), (1, 4), (2, 2), (2, 3), (2, 4)} A x B = { (x, y) | x  A e y  B} Produto Cartesiano
  • 86.
    Uma função (ouaplicação) f é uma lei segundo a qual cada elemento x em um conjunto A está associado a exatamente um elemento, chamado f(x), em um conjunto B. Definição de função
  • 87.
    Não é funçãode A em B É função de A em B Definição de função através de conjuntos
  • 88.
    Não é funçãode A em B É função de A em B Noção de função através de conjuntos
  • 89.
    Im(f) D(f) = ACD(f) = B Domínio, Contradomínio e Conjunto-Imagem
  • 90.
    Para que umacurva num plano cartesiano seja gráfico de uma função y = f(x), nenhuma reta vertical deve interceptá-la mais de uma vez. Teste da reta vertical
  • 91.
    D = {x IR| –3  x  4 e x  1} e Im = {y  IR| –2 < y  3} Domínio e imagem através do gráfico
  • 92.
    Seja f umafunção de A em B. Denominamos raiz (ou zero) da função f todo elemento de A para o qual temos f(x) =0. Interpretação geométrica das raízes de uma função raiz raiz
  • 94.
    FUNÇÃOINJETORA É quando quaisquerdois elementos diferentes do conjunto A têm imagens diferentes no conjunto B. 0 -3 2 4 1 6 8 Ou seja, “x” diferente tem “y” diferente !!!A B
  • 95.
    Uma função f(x)é injetora se nenhuma reta horizontal interceptar seu gráfico em mais de um ponto. Teste da reta horizontal para verificar se uma função é injetora
  • 96.
    FUNÇÃOSOBREJETORA É quando oconjunto Imagem da função for igual ao conjunto contradomínio. (Im = CD) -1 1 3 1 9 Se M é o conjunto das mulheres e H é o conjunto dos homens, então não se pode ter homem solteiro !!! M H
  • 97.
    FUNÇÃOBIJETORA É uma funçãosimultaneamente injetora e sobrejetora. -1 3 7 Ou seja, homens e mulheres com os mesmos direitos !! 1 5 9 M H Injetora: “x” diferente tem “y” diferente Sobrejetora: NÃO SOBRAM elementos no contra domínio.
  • 98.
    Não é injetora. Ésobrejetora É injetora. Não é sobrejetora Injeção, sobrejeção e bijeção a) b)
  • 99.
    É injetora É sobrejetora É bijetora Injeção, sobrejeção e bijeção c)
  • 100.
    Testandoseusconhecimentos 1) Classifique asfunções como bijetora, sobrejetora, injetora ou ainda nenhuma delas: é injetora é sobrejetora a) b) 1 2 3 4 5 6 7 1 2 3 4 6
  • 101.
    é bijetora não ésobrejetora, nem injetora c) d) 1 2 3 4 5 6 1 2 3 3 4 5 2) Classifique as funções como bijetora, sobrejetora, injetora, ou ainda nenhuma delas:
  • 102.
    3) Dada afunção sobrejetora f : [2; 8]  B, tal que f(x) = x² – 8x +7, observe atentamente seu gráfico e determine seu domínio e imagem. D(f) = [2;8] Im(f) = [-9;7] y x 7 -5 2 4 7 8 -9
  • 103.
    A função fé crescente A função f é crescente A função g é decrescente A função g é decrescente a b g g(a) g(b) a b f f(a) f(b) O a b f f(a) f(b) O a b g g(a) g(b) Diz-se que f é crescente, se para a < b, então f(a) < f(b). FUNÇÃOCRESCENTE: Diz-se que g é decrescente, se a < b então g(a) > g(b).
  • 104.
    6) A partirda análise do gráfico, determine os intervalos onde a função é: y x-2 0 2 4 6 a) Decrescente: ]0, 4[ b) Crescente: ]-∞ ; 0[ e ]4 ; +∞[
  • 105.
    Função crescente eFunção decrescente
  • 106.
    Função crescente eFunção decrescente
  • 107.
    Função crescente eFunção decrescente
  • 108.
    GRÁFICO PARA x 0 GRÁFICO COMPLETO Os gráficos das funções pares são simétricos em relação ao eixo das ordenadas. Função Par f(-x) = (-x)4 - (-x)2 = x4 – x2 = f(x) f(x) = x4 – x2
  • 109.
  • 110.
    Os gráficos dasfunções ímpares são simétricos em relação à origem do sistema cartesiano ortogonal. Função ímpar f(-x) = (-x)3 + (-x)5 = -(x3 + x5) = - f(x) f(x) = x3 + x5
  • 111.
    FUNÇÃOPAR: f(x) =f(-x) Exemplo: f(x) = x² é par pois 2² = (-2)² = 4 FUNÇÃOÍMPAR: f(a) = - f(-a) Exemplo: f(x) = x³ é ímpar pois 2³ = - (-2)³ Uma função é PAR quando ela é simétrica em relação ao eixo y. Função ÍMPAR é simétrica em relação a origem. y x f(x) = x² y x f(x) = x³
  • 112.
    4) a) Verifiquese f(x) = 2x³ + 5x é par ou ímpar: Primeiro vejamos que f(1) = 2.1³ + 5.1 = 7 Em seguida, vejamos f(-1) = 2.(-1)³ + 5.(-1) = -7 Logo f(x) = 2x³ + 5x é ÍMPAR, pois f(x) = - f(-x) ou seja, f(1) = - f(-1), pois 7 = - (-7) b) Mostre que f(x) = 3x² é par: Primeiro vejamos que f(1) = 3(1)² = 3 Em seguida, vejamos f(-1) = 3(-1)² = 3 Logo f(x) = x² é PAR, pois f(x) = f(-x) ou seja, f(1) = f(-1), pois 3 = 3
  • 113.
    5) Sendo ográfico ao lado de f(x), o gráfico de f(– x) será: Resposta: E f(x) = f(-x) Lembre-se: Se Então a função “f” é par e ela é simétrica ao eixo “y”.
  • 114.
    Sejam f eg duas funções quaisquer. Denomina-se função composta de g com f a função h definida por h(x) = g(f(x)). Esquema para a composição de funções
  • 115.
    x y D R f(x) f-1(x) FUNÇÃOINVERSA A idéia agora é entender que y = f(x) e seguir o seguinte procedimento: 1) Isola “x”; 2) Troca “x” por “y” e vice versa.
  • 116.
    O símbolo paraa função inversa de f é f -1 e lê-se “função inversa de f”. FUNÇÃOINVERSA O símbolo “–1” em f-1 não é um expoente; f-1(x) não significa 1/f(x).
  • 117.
    x y ou f(x) y= x2 ou f(x) = x2 2-2 4 0 TESTE DA RETA HORIZONTAL Uma função f tem inversa se e somente se o gráfico da mesma for cortado apenas uma vez por qualquer reta horizontal. EXEMPLO: a função f(x) = x2 tem inversa? reta horizontal FUNÇÃOINVERSA Conclusão: a função f(x) = x2 não tem inversa.
  • 118.
    Os gráficos def e f –1 são simétricos em relação à bissetriz dos quadrantes ímpares (reta y = x). Simetria das funções inversas 1. 3. 7. . 3 . 7 . 15 f 1. 3. 7. . 3 . 7 . 15 f -1 A B A B
  • 119.
    Como construir umGráfico y x y = f(x) x3 y3 x2 x4x1 x5 y4 y2 y1 y5 x y = f(x) x1 y1 x2 y2 x3 y3 x4 y4 x5 y5 Tabela Plotagem
  • 120.
    Denomina-se função constantetoda função cuja lei é do tipo f(x) = b, em que b  IR. O gráfico é sempre uma reta horizontal que passa por (0, b). Função constante
  • 121.
    Função de 1ºGrau baxy  Uma função de 1º grau, ou RETA, é toda função real do tipo: Onde:  a = taxa de variação da função(coeficiente angular);  b = ponto onde a reta toca o Eixo Y(coeficiente linear); R b)(0, X Y ),( yx b
  • 122.
    Retas • Coeficiente angularda reta R: • Obs.: • Retas horizontais: a = 0 • Retas verticais: Não tem a 12 12 horizontalvariação verticalvariação xx yy x y a a        X R Y 12 yyy  12 xxx  ),(P 111 yx ),(P 222 yx 1x 2x 1y 2y
  • 123.
    • Equação daReta: Forma Ponto – Coeficiente angular • A equação abaixo é a equação na forma ponto – coeficiente angular que passa pelo ponto (x1, y1) e tem coeficiente angular a.   11 11 )( ou yxxay xxayy  
  • 124.
    Retas • Exemplo 1 •Escreva uma equação para a reta que passa pelo ponto P(2, 3) com coeficiente angular - 3/2. • x1 = 2 • y1 = 3 • a = -3/2     6 2 3 3 2 3 3 2 2 3 3 11     xy xy xy xxayy
  • 125.
    Retas • Exemplo 2 •Escreva uma equação para a reta que passa pelos pontos P1(-2, -1) e P2(3, 4). • x1 = -2 • y1 = -1 • x2 = 3 • y2 = 4 • a = ?     1 21 )2(1)1( 11     xy xy xy xxayy retadaequaçãodaCálculo 1 5 5 23 14 )2(3 )1(4 12 12           a xx yy a angularecoeficientdoCálculo
  • 126.
    Propriedades da Reta É definida por um polinômio de 1° grau;  Possui uma única raiz real, isto é, ela cruza o Eixo X em apenas um ponto;  O sinal da taxa de variação a fornece a informação sobre o crescimento ou decrescimento da função:  a < 0  função decrescente;  a > 0  função crescente;
  • 127.
    Propriedades da Reta Sótocam o eixo X uma vez. Se a < 0, a função decresce. Se a > 0, a função cresce.
  • 128.
    Raízes da Funçãode 1º Grau As funções de 1º Grau possuem apenas uma raiz, que é justamente onde a reta (que representa a função de 1º Grau) cruza o Eixo x. Isto é, onde a função tem valor zero. a bxbaxbaxy  00
  • 129.
    Denomina-se função polinomialdo 1º grau toda função cuja lei é do tipo f(x) = mx + b, em que m, b  IR e m  0. Função do 1.º grau
  • 130.
    2 1 2 1 m= tgα ⇔ y - yΔy m = = Δx x - x Coeficiente angular da reta
  • 131.
    y – y1= m(x – x1) Equação da reta de inclinação “m” que passa por (x1, y1)
  • 132.
    Estudo do sinalda função do 1.º grau
  • 133.
    Exercícios 1) Dadaa função y = 2x + 3 determine: a) O gráfico b) A interseção com o eixo x e com o eixo y. 2) O custo de um determinado produto é de R$10,00 fixo mais R$2,00 por unidade. Determine: a) A equação que expressa o custo em função da quantidade. b) O gráfico. 3) Dado o gráfico determine a sua respectiva função. a) b)
  • 134.
    Função de 2ºGrau cbxax  2 y Uma função de 2º grau, também chamada de função QUADRÁTICA, representada por uma PARÁBOLA, é toda função real do tipo: Desde que a ≠ 0;
  • 135.
    Propriedades da Parábola É definida por um polinômio de 2o grau;  Pode possuir:  Duas raízes reais e distintas;  Duas raízes reais e iguais;  Nenhuma raiz real (não cruza o Eixo X).  O sinal de a fornece a informação sobre a concavidade da função:  a < 0  concavidade para baixo;  a > 0  concavidade para cima;
  • 136.
    Propriedades da Parábola Podemter três tipos de raízes. Se a < 0, a concavidade é para baixo. Se a > 0, a concavidade é para cima.
  • 137.
    Raizes da Funçãode 2º Grau Para encontrar as raízes de funções de 2o Grau, resolvemos a equação: 02  cbxax Cuja solução pode ser dada pela fórmula de Bhaskara: acbcom a b x 4, 2 2   
  • 138.
    Vértice da Parábola        aa b v 4 , 2 Se a > 0, Se a < 0 , cbxaxy  ²
  • 139.
    1) Determine asraízes, o vértice e o gráfico das seguintes funções : a) y = x ² - 6x + 8 b) y = – x ² + 4x – 4 c) y = 2 x ² + 4x + 5 2) A trajetória da bola, num chute a gol, descreve uma parábola. Supondo que sua altura h, em metros, t segundos após o chute, seja dada por h = – t² + 6 t, determine a altura máxima atingida pela bola.
  • 140.
    Função polinomial do2.º grau (ou função quadrática) é toda função cuja lei é da forma f(x) = ax2 + bx + c, em que a, b, c  IR e a  0. Função do 2.º grau (quadrática)
  • 141.
    Coordenadas do vértice      b V = , 2a 4a
  • 142.
    Crescimento e decrescimentoda função quadrática
  • 143.
     > 0 = 0  < 0 a > 0 a < 0 Estudo do sinal da função do 2.º grau
  • 144.
    Imagem da funçãoquadrática Im y IR / y Im y IR / y 4a 4a                       
  • 145.
    Denominamos função definidapor partes toda função definida com a aplicação de fórmulas diferentes a diferentes partes do domínio. Função definida por partes 0, se t 0 H(t) 1, se t 0    
  • 146.
    Função por Partes y= x p/ x < 2 e y = x2 p/ x > 2 -10 -5 0 5 10 15 20 25 30 -6 -4 -2 0 2 4 6
  • 147.
    Exercício Determine o gráficoda função:         3, 3,12 xsex xsex y
  • 148.
    Função definida porpartes 2 1, se x 0 y f(x) x , se 0 x 1 x, se x 1          
  • 149.
    Definição de módulode um número real x, se x 0 x x, se x 0      2 f(x) x 4 
  • 150.
    Denominamos função exponencialtoda função f: IRIR do tipo f(x) = ax, definida para todo número real x, com a > 0 e a  1. Função exponencial
  • 151.
     O gráficoda função f(x) = ax passa pelo ponto (0,1).  A função é crescente se a > 1.  A função é decrescente se 0 < a < 1.  O domínio é IR;  O conjunto-imagem é IR*+ (reais positivos). Função exponencial
  • 152.
     x aLog b= x a = b b > 0 a > 0 e a  1 Condições de existência Nomenclatura b logaritmando a base do logaritmo x  logaritmo Definição de logaritmo
  • 153.
    Propriedades operacionais doslogaritmos      a a a a a a m a a I) log (b.c) =log b+log c b II) log =log b log c c III) log b =m.log b
  • 154.
     (b >0,0 <a 1 e 0 <c 1) Mudança de base c a c log b log b = log a
  • 155.
    Seja a funçãoexponencial f: IR  IR*+ definida por y = ax, com a > 0 e a  1. A sua inversa é chamada de função logarítmica e é indicada por y = log a x. Função logarítmica
  • 156.
     A funçãof(x) = loga x passa pelo ponto (1,0).  A função é crescente se a > 1.  A função é decrescente se 0 < a < 1.  O domínio é IR*+ (Reais positivos).  O conjunto imagem é IR.  * Função logarítmica
  • 157.
    Função Exponencial RRf : Definição RDomínio    ,0Im f Imagem   x axf  10  a * R     ,0Im f   RfD 
  • 158.
    Função Exponencial  x xf 2 x 1 2 3 4 ... .. x x y 2 221 y 422 y 823 y 1624 y x y 2 y 1 2123 x 1 2 4 0 Representação Gráfica
  • 159.
    Função Exponencial   x xg       2 1 x1 22 y 1 4 01 2 Representação Gráfica
  • 160.
    Função Exponencial 1a Crescente 10 a eDecrescent   x xf 2 1 2123 x y 1 2 4   x xg        2 1 0
  • 161.
  • 162.
    Equação Exponencial 322 x 81 9 1       x 171333112   xxx 093109  xx
  • 163.
    Equação Exponencial kxaa kx  322x 5 22 x 5x   42 33  x 42 33  x 81 9 1       x 42  x 2x
  • 164.
    Equação Exponencial 63933 1212  xxx   633 3 3 33 2 2 2  x x x 633 3 3 33 2 2 2  x x x yx 2 3 63 3 3  y y y 3 18939  yyy 1897 y 27y 32 33 x 2 3  x
  • 165.
    Equação Exponencial 224 xx   02222  xx   0222 2  xx yx 2 11 y 12 x 1x 022  yy 22 y 22 x
  • 166.
    Inequação Exponencial 322) x a 81 9 1 )      x b 64,08,0) 2 x c 093109)  xx d
  • 167.
    Inequação Exponencial kx aa  322x 5 22 x 5x   21 99  x 2 99 x 2 x 2x 1,  asekx 10,  asekx 81 9 1       x
  • 168.
    Inequação Exponencial 1x 64,08,0 2 x 100 64 8,02 x 100 64 8,0 2 x 10 8 8,0 2 x 8,08,0 2 x 12 x
  • 169.
    Inequação Exponencial yx 3 11 y 09102 yy 92 y 91  y 093109  xx   093103 2  xx x1 – – – + + 9 + + 931  x 20 333  x 20  x
  • 170.
    Inequação Exponencial 1232  xx x 101002 x 11111 0 x Verificação se 0 ou 1 são soluções F V  11 S
  • 171.
    Inequação Exponencial 1232  xx x 0232 xxxx  2S 10  x 0232  xx 11 x 22 x x1 – – – + + 2 + + 21  x Como 10  x Supondo que
  • 172.
    Inequação Exponencial 1232  xx x 0232 xxxx  Supondo que 23  xS 1x 0232  xx 11 x 22 x x1 – – – + + 2 + + 21  xoux Como 1x
  • 173.
    Inequação Exponencial 1232  xx x Soluçãoda inequação será  2/3  xRxS 321 SSSS  2S 11 S  21/  xouxRxS
  • 174.
    Exemplo 1 Uma aplicaçãoda função exponencial – 1.º Exemplo Considere uma população de bactérias em um meio nutriente homogêneo. Suponha que colhendo amostras da população em certos intervalos de tempo fique determinado que a população dobra a cada uma hora. Se o número de bactérias no instante t for p(t), onde t é medido em horas, e a população inicial for de p(0) = 1000 bactérias, então: Após 1h  p(1) = 2.p(0) = 2.1000 = 2000; Após 2h  p(2) = 2.p(1) = 2.2.1000 = 22.1000 = 4000; Após 3h  p(3) = 2.p(2) = 2.22.1000 = 23.1000 = 8000; Após th  p(t) = 2.p(t-1) = .... = 2t.1000 = 2t.1000.
  • 175.
    Exemplo 1 • Portanto,a função exponencial para este caso é definida por: p(t) = 2t.1000. • Assim, se quisermos saber de quanto será a população de bactérias após 10 horas, basta substituir 10 na equação: p(10) = 210.1000 = 1024.1000 = 1.024.000 bactérias. • Por outro lado, se a pergunta for: quanto tempo levará para a população de bactérias chegar 128.000? Basta substituir p(t) por 128.000 e encontrar o valor de t. 128.000 = 2t.1000  128.000/1000 = 2t  27 = 2t, portanto, t = 7 horas.
  • 176.
    Exemplo 2 A importânciado número “e” • Dentre todas as bases possíveis para uma função exponencial, há uma que é mais conveniente. • Essa escolha leva em conta o coeficiente angular da reta tangente ao gráfico da função exponencial. • O que desejamos é um coeficiente angular exatamente m = 1, pois facilitaria muito cálculos futuros. • Para obtermos um coeficiente angular m = 1 para a reta tangente à função exponencial, a base mais conveniente é o número “e”. • O gráfico da função y = ex fica entre os gráficos das funções y = 2x e y = 3x.
  • 177.
    Exemplo 2 Gráfico dey = ex Coeficiente angular: m = 1
  • 178.
    Empréstimo de R$800,00 para pagar depois de 3 meses, à taxa de 5% am. tempo (meses) Montante (R$) 1 y = 800 (1,05)t y = 800 (1 + 0,05 . t) 2 3 882 880 920 840 800 926 Exemplo 2
  • 179.
    Exemplo 3 Crescimento daIndústria do turismo nos últimos 50 anos. tempo (ano) Turistasinternacionais (emmilhões) 60 65 70 360 480 240 120 75 80 85 90 95 y = ax a > 1
  • 180.
    Exemplo 4 Crescimento dapopulação brasileira nos últimos 35 anos. tempo (ano) Populaçãobrasileira (emmilhões) 70 80 90 169,1 185 166,1 90 99 y = 90 000 000 (1,018)t 05 y = k.ax a > 1
  • 181.
    Exemplo 5 Depreciação de15%, a cada ano, de um veículo com valor de R$ 35 000,00. tempo (ano) Valordoveículo (R$) 1 2 3 29 750 35 000 25 287 21 494 y = 35 000 (0,85)t y = k.ax 0 < a  1
  • 182.
    Proposta de AtividadesPráticas • A empresa e o lucro L(t) = 3000 (1,5)t • A população de uma cidade P = P0.ei.n • A planta cresce A = 40 (1,1)t • A máquina desvaloriza D = K (0,8)t • O líquido e seu PH • O terremoto e a escala Richter • A escala temperada da música e Bach
  • 183.
    Logaritmos xab log Base dologaritmo Logaritmando Logaritmo 0a 01  b Condição de Existência
  • 184.
    xab log abx  Logaritmos xab log Base do logaritmo Logaritmando Logaritmo
  • 185.
    Logaritmos x8log2  82 x 3x 8log2 38log2 xab log Base do logaritmo Logaritmando Logaritmo
  • 186.
    Logaritmos Consequência da definição 01log1 bP 1log2  bP b nbP n b log3 cacaP bb  loglog4 abP ab  log 5
  • 187.
    Logaritmos Propriedades Operátórias  babaP ccc logloglog1  ba b a P ccc logloglog2          anaP b n b loglog3 
  • 188.
    Logaritmos Mudança de Base b a a c c b log log log ba b a a cc c c b loglog log log log 
  • 189.
    Logaritmos (UDESC 2006-1) Se, e , pode-se afirmar que: 3log ba 4log ca x c b a log x c b a log cb c b aaa logloglog  43log  c b a 1log  c b a c b a 1 b c a 
  • 190.
    Logaritmos (UDESC 2007-2) Aexpressão que representa a solução da equação 11x – 130 = 0 é: 130 11x log 11 130x log 130 11 log x  130 11 x log        11 130x log a) b) c) d) e) b c log a c b a   11 130x  130 11 a b c x    11 130log x 11 130x log
  • 191.
    Função Logarítmica Definição RRf  * :  xxf blog * RDomínio   Rf Im Imagem R   *  RfD
  • 192.
    Função Logarítmica Representação Gráfica  xxf 2log 1 x y 1 2 1 2 1 0
  • 193.
    Função Logarítmica  xxg 2 1log 1 2 x y 1 1 0 Representação Gráfica
  • 194.
    Função Logarítmica  xxg 2 1log 1 2 x y 1 1 1 x y 1 2 1 2 1 0 0   xxf 2log 1b Crescente 10 b eDecrescent Representação Gráfica
  • 195.
    Função Exponencial x y 1 y =ax a > 1 y = ax 0 < a  1 Ex: y = 2 x Ex: y = (1/2 )x
  • 196.
    Função Logarítmica x y 1 y =loga x a > 1 y = loga x 0 < a  1 y = log2 x y = log1/2 x
  • 197.
    Função Inversa x y 1 y =loga x y = ax y = x f(x) = ax f -1(x) = loga x a > 1 Crescente 1
  • 198.
    Função Inversa x y 1 y =loga x y = ax y = x 1 f(x) = ax f -1(x) = loga x 0 < a  1 Decrescente
  • 199.
    Exercício (UDESC 2007-2) Aexpressão que representa a inversa da função    3 1f x log x  é:  1 3 1x f x    1 3 1x f x    1 3 1f x x      1 3 1 x f x      1 1 3x f x log    a) b) c) d) e)  3 1y log x  3 1 3 1 3 1 y x x x y y        1 3 1x f x  
  • 200.
    Equação Logarítmica       xgxfxgxf bb  loglog   53log2 x 325  x x332 35x 03x 3x  35S
  • 201.
    Equação Logarítmica       xgxfxgxf bb  loglog    295log 1  xx   951 2  xx 95122  xxx 095 x 5 9  x 01x 1 x 11x 2 x 01072  xx 21 x 51 x  5S
  • 202.
    Equação Logarítmica       xgxfxgxf bb  loglog     8log4log3log 555  xx 03x 3 x 04 x 4 x 41 x 3 x  4S     8log43log 55  xx 8122  xx 0202  xx 52 x 0202  xx
  • 203.
    Exercício (UDESC 2006-2) Ovalor de x que torna a expressão   25log 2 4 1 x  2 2 5 4 1        x 05 x 9x verdadeira é:   25log 2 4 1 x 251016 2  xx 9102  xx 11 x 92 x 5x C.E
  • 204.
    Exercício (UDESC 2006-1) Se, então o valor de x é: 3 5 2loglog 88  xx 23 5 28 x 3 5 2loglog 88  xx   3 5 2log8  xx   23 5 3 22 x 25 22 x 2 16 x 2 232 x 4x 0x C.E 4x
  • 205.
    Inequação Logarítmica   xgxf bb loglog  1b    xgxf  10 b    xgxf    5log3log 22 x 53x 8x 03x C.E 3x  3/  xRxS   ,3S
  • 206.
    Inequação Logarítmica   xgxf bb loglog  1b    xgxf  10 b    xgxf     2log82log 3 2 3 2  xx 282  xx 6x 082 x C.E 4x 02 x 2x I II 4 xIII
  • 207.
    Inequação Logarítmica    34log3log 22  xx 8122  xx     3 22 2log43log  xx     3 22 2log43log  xx 0202  xx 51 x 42 x x5 – – – – – – + + + 4 + + + 45  x
  • 208.
    Inequação Logarítmica    34log3log 22  xx x5 – – – – – – + + + 4 + + + 45  x 03x C.E 3x 04 x 4x 3x  43/  xRxS 0202  xx
  • 209.
    Inversa Funções inversas • Demodo análogo, de todas as possíveis bases “a” para o logaritmo, veremos que a escolha mais conveniente é a “e”. • A função logarítmica y = logax é a inversa da função y = ax. Seu gráfico é a reflexão de y = ax com relação a reta y = x. • Enquanto y = ax é uma função que cresce muito rapidamente, y = logax é uma função de crescimento muito lento.
  • 210.
    Exemplo Uma aplicação dafunção logarítmica • A escala Richter é uma escala logarítmica de medição da energia liberada pelos terremotos sob a forma de ondas que se propagam pela crosta terrestre. Nela é usado o logaritmo decimal; • Os valores desta escala são chamados de magnitudes; • Durante um terremoto um sismógrafo registra essa magnitude durante um certo intervalo de tempo;
  • 211.
    Exemplo • Essa magnitudepode ser calculada a partir da seguinte equação: • Onde: Ms: magnitude na escala Richter; A: amplitude do movimento da onda (registrada em micrômetros); f: freqüência da onda (medida em hertz). 30,3).(log10  fAMs
  • 212.
    Exemplo • Suponha quepara um certo terremoto foi registrada a amplitude A = 1000 m e uma freqüência de 0,1 Hz. A magnitude desse terremoto é: • Para se ter uma idéia, uma magnitude de 9 graus provocaria a destruição total das construções de uma grande cidade. • Como a escala é de base 10, um tremor de magnitude 8 seria 10 vezes menor em relação à magnitude de intensidade 9. Ou seja, a cada grau a menos, a energia liberada diminui 10 vezes. • O valor acima é considerado moderado. 33,5 30,32 30,3100log 30,3)1,0.1000(log 30,3).(log 10 10 10      s s s s s M M M M fAM
  • 213.
    Exemplo O record éde 9,5 graus, registrado no terremoto que atingiu o Chile, no século XX.
  • 214.
    Exemplo Funções inversas • Avida média do estrôncio-90 90Sr, é de 25 anos. Isso significa que a metade de qualquer quantidade de 90Sr vai se desintegrar em 25 anos. • Considere que uma amostra de 90Sr tem uma massa de 24 mg. Como a massa de 24 mg se reduz a metade a cada 25 anos, então: )24.(2)24.( 2 1 ....)( )24( 2 1 )24( 2 1 . 2 1 )50( 2 1 )75( )24( 2 1 )24( 2 1 . 2 1 )25( 2 1 )50( )24( 2 1 )0( 2 1 )25( 24)0( 25 25 32 2 t t tm mm mm mm m      
  • 215.
    Exemplo Funções inversas • Portanto,a função para este caso é: • Como a função logarítmica inversa dessa função é: • Se quisermos saber, por exemplo, o tempo necessário para que uma massa de 5 mg se desintegre, basta substituir m por 5 na fórmula: 25 2.24)( t tm   )ln24(ln 2ln 25 )(1 mmf  anosf f mmf 6,56 693,0 225,39 693,0 )609,1178,3.(25 )5( )5ln24(ln 2ln 25 )5( )ln24(ln 2ln 25 )( 1 1 1        
  • 216.
    Funções Logaritmos Neperianos Comotodas as outras funções logarítmicas com base maior que 1, o logaritmo neperiano é uma função crescente definida m (0,) tendo o eixo y como assíntota vertical. 1) Construir o gráfico de y = lnx; - 8 - 6 - 4 - 2 0 2 4 6 8 - 4 - 2 0 2 4
  • 217.
    Funções Logaritmos Neperianos 2)depois, deslocamos 2 unidades para a direita, obtendo o gráfico y = ln(x-2);