Termologia
www.fisicarildo.blogspot.com
TERMOLOGIA
        Termo + logia

         Temperatura    Estudo

Estuda os fenômenos relacionados ao
aquecimento e resfriamento dos corpos .
1-Conceito de temperatura:           Mede o
                                        nível de
                                        agitação
                                        das
                                        partículas
                                        de um
                                        corpo.
                                        Energia
                                        Interna
Menor temperatura   Maior temperatura   (Cínética).
2-ESCALA TERMOMÉTRICA.
Toda escala de medida necessita de dois
pontos fixos (Fusão do gelo e Ebulição da
 água) (a 1,0 atm) , que são referencias.
Fusão de gelo 0 (zero) .
   A) Escala
   Celsius:                     Ebulição da água o valor 100 (cem).
                                grau Celsius, cujo símbolo é o °C.




(Anders Celsius, 1701- 1744 )
B)Escala Fahrenheit:
                                     Fusão do gelo 32 °F .
                                     Vapor 212 °F.




Daniel Gabriel Fahrenheit
      (1686–1736)
C)Escala Kelvin:
Escala oficial do
S.I.
Gelo fundente é
273K e água em
ebulição 373K.
Escala absoluta
define o 0K como
 zero absoluto.
3-EQUAÇÕES DE CONVERSÃO
100 °C           212 °F       373 °K




        θC            θF           T




 0 °C             32 °F       273 °K


θC − 0           θ F − 32      T − 273
               =            =
100 − 0          212 − 32     373 − 273
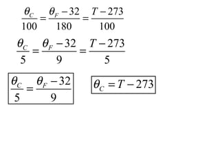
θC θ F − 32 T − 273
     =      =
 100   180     100
 θC θ F − 32 T − 273
    =       =
  5     9       5
θC θ F − 32   θC = T − 273
   =
 5     9
4-VARIAÇÃO ENTRE ESCALAS
            ∆TC ∆TF ∆TK
               =   =
            100 180 100
            ∆TC ∆TF ∆TK
               =   =
             5   9   5
Leitura 1 :SOLUÇÃO GIUAQUE (TOPICOS DE FISICA/ VOLUME 2 -
   TERMOLOGIA ONDAS E OPTICA/ NEWTON VILLAS BOAS -
     RICARDOHELOU DOCA - GUALTER JOSE BISCUOLA)
Leitura 2
Cientistas quebram a barreira do
zero absoluto
Físicos desafiam as leis de sua ciência
e criam, pela primeira vez, um gás
atômico com temperatura abaixo do
zero absoluto.

Leia mais em:
http://www.tecmundo.com.br/fisica/3
4699-cientistas-quebram-a-barreira-
do-zero-
absoluto.htm#ixzz2Io8CCUn1

Termometria

  • 1.
  • 2.
    TERMOLOGIA Termo + logia Temperatura Estudo Estuda os fenômenos relacionados ao aquecimento e resfriamento dos corpos .
  • 3.
    1-Conceito de temperatura: Mede o nível de agitação das partículas de um corpo. Energia Interna Menor temperatura Maior temperatura (Cínética).
  • 5.
    2-ESCALA TERMOMÉTRICA. Toda escalade medida necessita de dois pontos fixos (Fusão do gelo e Ebulição da água) (a 1,0 atm) , que são referencias.
  • 6.
    Fusão de gelo0 (zero) . A) Escala Celsius: Ebulição da água o valor 100 (cem). grau Celsius, cujo símbolo é o °C. (Anders Celsius, 1701- 1744 )
  • 7.
    B)Escala Fahrenheit: Fusão do gelo 32 °F . Vapor 212 °F. Daniel Gabriel Fahrenheit (1686–1736)
  • 8.
    C)Escala Kelvin: Escala oficialdo S.I. Gelo fundente é 273K e água em ebulição 373K. Escala absoluta define o 0K como zero absoluto.
  • 10.
    3-EQUAÇÕES DE CONVERSÃO 100°C 212 °F 373 °K θC θF T 0 °C 32 °F 273 °K θC − 0 θ F − 32 T − 273 = = 100 − 0 212 − 32 373 − 273
  • 11.
    θC θ F− 32 T − 273 = = 100 180 100 θC θ F − 32 T − 273 = = 5 9 5 θC θ F − 32 θC = T − 273 = 5 9
  • 12.
    4-VARIAÇÃO ENTRE ESCALAS ∆TC ∆TF ∆TK = = 100 180 100 ∆TC ∆TF ∆TK = = 5 9 5
  • 13.
    Leitura 1 :SOLUÇÃOGIUAQUE (TOPICOS DE FISICA/ VOLUME 2 - TERMOLOGIA ONDAS E OPTICA/ NEWTON VILLAS BOAS - RICARDOHELOU DOCA - GUALTER JOSE BISCUOLA)
  • 14.
    Leitura 2 Cientistas quebrama barreira do zero absoluto Físicos desafiam as leis de sua ciência e criam, pela primeira vez, um gás atômico com temperatura abaixo do zero absoluto. Leia mais em: http://www.tecmundo.com.br/fisica/3 4699-cientistas-quebram-a-barreira- do-zero- absoluto.htm#ixzz2Io8CCUn1