Incorporar apresentação
Baixado 58 vezes










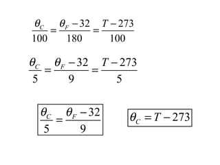
A temperatura está associada ao nível de agitação das partículas de um corpo. Existem três escalas principais de temperatura: Celsius, Fahrenheit e Kelvin. Cada escala usa pontos fixos diferentes como gelo fundente e água fervendo para definir seus valores.








