UNIVERSIDADE FEDERAL DE ALAGOAS
INSTITUTO DE FÍSICA
Professores: José Maria de Lima
Vlamir Gama Rocha
Joselito Quirino
Everton Leobino
ELETROSTÁTICA
Estuda situações onde as cargas elétricas estão em repouso.
TALES DE MILETO (600 a. C) - Notou que o âmbar, atritado com a
pele de um animal ou um tecido qualquer, adquiria a propriedade de atrair
objetos leves. Estudou também a magnetita.
ERA UMA VEZ
WILLIAM GILBERT (1600) - verificou que várias outras substâncias
atritadas tinham o mesmo comportamento do âmbar e o primeiro a usar o
termo “elétrico” derivando-o de elektron (âmbar em grego).
OTTO VON GUERICKE (1670) – Inventor da primeira máquina
eletrostática com a qual concluiu que corpos eletrizados tanto podiam
provocar atração tanto como repulsão, interpretando adequadamente o
fenômeno que o associou com a mesma natureza dos trovões e relâmpagos.
STEPHEN GRAY (1730) – Primeiro a caracterizar condutor e isolante
(dielétricos). Descobriu que era possível eletrizar um corpo por contato com
outro corpo já eletrizado.
CHARLES DU FAY (1734) – Verificou a existência de duas espécies de
eletricidade: a vítrea e a resinosa. Ele observou que a carga elétrica
adquirida por um bastão de vidro eletrizado com seda era diferente da carga
adquirida por uma vareta de ebonite eletrizada por um pedaço de lã.
Cargas com sinais diferentes = Atração
Cargas com sinais iguais = Repulsão
Cargas com sinais iguais = Repulsão
PARA ENTENDERMOS MELHOR
A partir dos anos 1600, a busca do átomo se tornou um exercício
experimental. Diversos cientistas notáveis, começando por John Dalton
até Werner Weisenberg para chegar hoje ao modelo abaixo:
Os elétrons (carga elétrica negativa) giram ao redor do núcleo, que possui os
prótons (carga elétrica positiva) e nêutrons (sem carga elétrica).
A matéria é constituída de átomos
CARGA ELÉTRICA
Neutro - Tem igual quantidade de
prótons e elétrons.
Quando um corpo perde elétrons, ele
fica eletrizado positivamente.
Quando ganha elétrons , fica
eletrizado negativamente.
Unidade de medida: Coulomb (C)
- Carga elementar: e = ± 1,6.10−19C
Q - Carga elétrica (em Coulombs)
n = 1, 2, 3,... - número de elétrons
e - Carga elementar
enQ .
QUANTIZAÇÃO DA CARGA ELÉTRICA
Robert Millikan com sua experiência da gota de óleo mostrou que a
carga de um corpo é sempre um múltiplo inteiro de uma carga
fundamental.
Como determinar o número de elétrons existentes em uma carga de 3,2
Coulomb.
Q = 3,2C
e =1,6⋅10−19C
n =?
Q = n⋅e
3,2 = n⋅1,6⋅10−19
n=3,2/1,6⋅10−19
n = 2⋅1018
EXERCÍCIO
“Em um sistema eletricamente isolado, a soma algébrica das cargas
elétricas é constante”.
PRINCÍPIO DA CONSERVAÇÃO DE CARGAS
PARA ENTENDERMOS MELHOR
Neste exemplo, estando A com uma quantidade x de carga elétrica e B
eletricamente neutro e havendo o contato entre ambos, B passa a adquirir
metade da carga de A causando assim um equilíbrio elétrico entre os dois.
Têm seus elétrons da última camada eletrônica fracamente unidos, e
podem perdê-los com facilidade. Esses elétrons recebem o nome de
elétrons livres.
Ex:
Metais
Ar úmido
Solo
CONDUTORES
ISOLANTES
Seus elétrons estão fortemente ligados aos átomos e assim não se
movem com facilidade.
Ex:
Borracha Cerâmica
Vidro Madeira
PROCESSOS DE
ELETRIZAÇÃO
Dois corpos de materiais diferentes e inicialmente neutros são atritados
entre si onde elétrons são transferidos de um corpo para outro, em
consequência, um fica eletrizado positivamente e o outro negativamente,
com cargas iguais em modulo.
ELETRIZAÇÃO POR ATRITO
PARA ENTENDERMOS MELHOR
SÉRIE TRIBOELÉTRICA
É uma lista que mostra quais materiais que têm uma maior tendência de
se tornarem positivamente eletrizados (+) e os de se tornarem
negativamente eletrizados (-). Essa lista é uma ferramenta indispensável
para se determinar que combinação de materiais podemos usar para um
eficiente processo de eletrização por atrito.
PARA ENTENDERMOS MELHOR
Durante a aula, uma aluna de cabelos longos começa a penteá-los usando
um pente de plástico. Após pentear, nota que o pente atrai pequenos
pedaços de papel que se encontram sobre sua carteira. Admirada, pergunta
ao professor o por que? O professor então indaga aos demais alunos e
cinco deles dão respostas diferentes. Qual acertou a explicação?
EXERCÍCIO
Aluno A — O pente é um bom condutor elétrico.
Aluna B — O papel é um bom condutor elétrico.
Aluno C — Os pedaços de papel já estavam eletrizados.
Aluna D — O pente ficou eletrizado por atrito no cabelo.
Aluno E — Entre o pente e o papel ocorre atração gravitacional.
Aluno A — O pente é feito de plástico não é bom condutor elétrico.
Aluna B — O papel não é bom condutor elétrico.
Aluno C — Os pedaços de papel já estavam eletrizados.
Aluna D — O pente ficou eletrizado por atrito no cabelo. (Correta)
Aluno E — Entre o pente e os pedaços de papel ocorre atração eletrostática
que concorre com a gravitacional.
RESOLUÇÃO
EXERCÍCIO
Ocorre quando um condutor eletrizado e colocado em contato com um
condutor neutro, ficando este com carga elétrica de mesmo sinal que o
primeiro.
n
Q
Q
,
ELETRIZAÇÃO POR CONTATO
PARA ENTENDERMOS MELHOR
(Unifor-CE) Duas pequenas esferas idênticas estão eletrizadas com cargas
de 6 μC e –10 μC, respectivamente. Colocando-se as esferas em contato, o
número de elétrons que passam de uma esfera para a outra vale:
a) 5,0 .1013. d) 4,0 .106.
b) 4,0 .1013. e) 2,0 .106.
c) 2,5.1013.
Dado: carga elementar e = 1,6 .10–19 C
EXERCÍCIO
A Corrente e o fio servem para o escoamento (Contato) dos elétrons (que
foram adquiridos por Atrito com o ar) pois uma faísca durante o
abastecimento poderia causar uma explosão.
Asa de um AviãoCarro tanque Abastecendo
APLICAÇÃO NO COTIDIANO
Ocorre por uma simples aproximação entre um corpo eletrizado e outro
neutro, sem contato entre eles.
ELETRIZAÇÃO POR INDUÇÃO
OBS: Se o indutor for negativo, elétrons serão repelidos através do fio-
terra. Assim, o induzido ficará eletrizado positivamente, pois perdeu
elétrons para a Terra.
Na eletrização por indução , o corpo induzido eletriza-se com carga
de sinal contrário ao do indutor.
São aparelhos que indicam se um corpo está ou não eletrizado.
ELETROSCÓPIOS
É composto por uma esfera condutora neutra, bastante leve, e suspensa
por um fio isolante.
Se a esfera se aproximar do objeto, este terá carga oposta a da esfera.
ELETROSTÁTICOS
É composto por uma esfera metálica
neutra ligada a uma haste metálica e duas
folhas metálicas, também neutras.
Aproxima-se um corpo A da esfera metálica neutra do eletroscópio. Se
as folhas metálicas abrirem, devido à indução eletrostática, ele estará
eletrizado; caso contrário, estará neutro.
FOLHAS
I. À medida que o objeto for se aproximando, as folhas vão se abrindo.
II. À medida que o objeto for se aproximando, as folhas permanecem como
estavam.
III. Se o objeto tocar o terminal, as folhas devem necessariamente fechar-se.
Nesse caso, pode-se afirmar que:
a) somente a afirmativa I é correta
b) as afirmativas II e III são corretas
c) as afirmativas I e III são corretas
d) somente a afirmativa III é correta
e) nenhuma das afirmativas é correta
(ITA-SP) Um objeto metálico carregado
positivamente, com carga Q, é
aproximado de um eletroscópio de
folhas, que foi previamente carregado
negativamente com carga igual a Q.
EXERCÍCIO
Com a aproximação do objeto carregado positivamente aumenta o número de
cargas negativas na esfera do eletroscópio e diminui nas suas lâminas. Logo,
aproximam-se uma da outra.
Ao se tocarem, ambos os corpos se neutralizam e as lâminas se fecham.
Alternativa d.
RESOLUÇÃO
FORÇA ELETRICA
APLICAÇÃO NO COTIDIANO
Nas copiadoras a folha fica com carga positiva e o toner
(pó plástico) com negativa, a luz derrete e depois os
cilindros fixam no papel.
Copiadoras
Filtros
APLICAÇÃO NO COTIDIANO
Gases tóxicos emitidos por chaminés de fabricas possuem
Precipitadores eletrostáticos eletrizam negativamente as
partículas em suspensão e depois uma placa eletrizada
positivamente coleta as partículas nocivas.
Pintura Eletrostática
ou Lacagem
A tinta recebe uma carga elétrica oposta à peça, fazendo
com que ela se fixe na peça.
APLICAÇÃO NO COTIDIANO
https://www.youtube.com/watch?v=f4kUJpEX_YQ
https://www.youtube.com/watch?v=TLjVC5W1pPE#t=93
Como é feita a Pintura Eletrostática
Como surgiu a Eletricidade
VÍDEOS EDUCATIVOS
“A intensidade da força entre duas cargas pontuais varia com o inverso
do quadrado da distância entre elas e é diretamente proporcional ao
produto dos valores absolutos das cargas”
2
..
d
qQK
F o

229
/.10.9 CmNKo 
A - Cargas elétricas de nome (sinal) contrário se atraem.
B - Cargas elétricas de mesmo nomes contrários se repelem.
LEI DE COULOMB
1. Duas partículas de mesma massa têm cargas Q e 3Q. Sabendo-se que
a força gravitacional é desprezível em comparação com a força elétrica,
indique qual das figuras melhor representa as acelerações vetoriais das
partículas
EXERCÍCIO
RESOLUÇÃO:
As forças elétricas obedecem o principio de ação e reação (3° Lei de
Newton), isto é, têm a mesma intensidade, mesma direção e sentidos
opostos, agindo em corpos diferentes.
As cargas tem o mesmo sinal então é uma repulsão e respeitando a 3° lei de
Newton devem ter a mesma intensidade.
A letra C é a Correta
2. Determine o módulo da força de interação entre duas partículas
eletrizadas com + 4 μC e – 3 μC, estando elas no vácuo à distância de 6
cm uma da outra.
Dado: constante eletrostática do vácuo K0 = 9.109 N.m2/C2
EXERCÍCIO
RESOLUÇÃO:
3. (Unesp-SP) Duas esferas condutoras idênticas carregadas com cargas
+ Q e – 3Q, inicialmente separadas por uma distância d, atraem-se com
uma força elétrica de intensidade (módulo) F. Se as esferas são postas em
contato e, em seguida, levadas de volta para suas posições originais, a
nova força entre elas será:
a) maior que F e de atração.
b) menor que F e de atração.
c) igual a F e de repulsão.
d) menor que F e de repulsão.
e) maior que F e de repulsão.
EXERCÍCIO
RESOLUÇÃO:
4. Duas partículas A e B, eletrizadas com cargas de mesmo sinal e
respectivamente iguais a QA e QB, tal que QA = 9 QB, são fixadas no vácuo
a 1,0 m de distância uma da outra. Determine o local, no segmento que une
as cargas A e B, onde deverá ser colocada uma terceira carga C, para que
ela permaneça em repouso.
EXERCÍCIO
Lei dos Cossenos
FORÇA ELÉTRICA DE VÁRIAS CARGAS
Para determinar a força
resultante é usada a
Regra do Paralelogramo
6. Nos vértices de um triângulo equilátero, de 3 m de lado, estão colocadas
as cargas q1 = q2 = 4·10–7 C; e q3 = 10–7 C. Determine a intensidade da
força resultante que atua em q3. (K0 = 9·109 N · m2/C2)
EXERCÍCIO
RESOLUÇÃO:
d
F
1

GRÁFICO
7. (UFPE) O gráfico abaixo representa a força F entre duas cargas
pontuais positivas de mesmo valor, separadas pela distância r.
Determine o valor das cargas, em unidades de 10-7C.
a) 1,0 b) 2,0 c) 3,0 d) 4,0 e) 5,0
EXERCÍCIO
RESOLUÇÃO:
O campo é como uma “gostosa fragrância de um frasco de perfume
aberto” que podemos perceber o odor, ainda que não possamos vê-lo.
Criando uma espécie de “campo de cheiro” em todos os pontos desse
ambiente.
CAMPO ELETRICO
PARA ENTENDER
Muito semelhante a correnteza ou a temperatura que um
ponto representa o todo (vetor)
O Campo desempenha o papel de transmissor de
interações entre as cargas elétricas
VETOR CAMPO ELÉTRICO
Tomando o vetor campo gravitacional temos que de maneira
análoga colocando uma carga q num ponto P o vetor campo elétrico no
ponto P é definido por:

 gmP .

 EqF . )(SI
q
F
E


ou
sentidosmesmosostêmEeFq .........0


opostossentidostêmEeFq .......0


direçãomesmaatêmEeF .........

MACK-SP) As cargas puntiformes q1= 20 C e q2 = 64 mC
estão fixas no vácuo (k0 = 9.109 N.m2/C2), respectivamente nos
pontos A e B. O campo elétrico resultante no ponto P tem
intensidade de:
a) 3.106 N/C d) 4,5. 106 N/C
b) 3,6. 106 N/C e) 5,4. 106 N/C
c) 4,0. 106N/C
EXERCÍCIO

Resolução:
(PUC-MG) A figura mostra duas cargas de mesmo módulo e sinais
opostos, colocadas a uma distância 2a, formando o que chamamos
dipolo elétrico.
EXERCÍCIO
O vetor que representa corretamente o campo elétrico resultante E,
produzido por essas cargas num ponto P, a uma distância d, é:
a) E1 d) E4
b) E2 e) E5
c) E3
Resolução:
Representação geométrica que indicar a presença de campos elétricos,
são linhas que tangenciam os vetores cada ponto e jamais se cruzam e
tem a mesma orientação do vetor campo elétrico.
LINHAS DE FORÇA
b) Carga negativa – Morre as linhas de força
a) Carga positiva – Nasce as linhas de força
c) Duas cargas puntiformes de mesmo
modulo e sinais opostos
e) Duas cargas puntiformes de
sinais opostos e módulos diferentes
d)Duas cargas puntiforme com
mesmo sinal e mesmo módulo
O campo elétrico é mais intenso na região onde
existe linhas mais próximas umas das outras.
(UFRRJ) A figura abaixo mostra duas cargas q1 e q2, afastadas a
uma distância d, e as linhas de campo do campo eletrostático criado.
Observando a figura acima, responda:
a) Quais os sinais das cargas q1 e q2?
b) A força eletrostática entre as cargas é de repulsão? Justifique.
EXERCÍCIO
Resolução:
a) q1 ⇒ positiva pois a linhas estão saindo
q2 ⇒ negativa pois as linhas estão chegando
b) Não, é de atração, pois as cargas q1 e q2 possuem sinais
opostos.
APLICAÇÃO
O corpo humano é capaz de gerar campos elétricos e que o nosso coração é capaz
de gerar correntes elétricas que percorrem o tecido muscular deste, resultando em
seu funcionamento. Toda corrente elétrica gera um campo elétrico que podem ser
captados por aparelhos e transformados em traçados. Esse aparelho que capta e
analisa o campo elétrico, gerado no coração.
é a capacidade que um corpo tem de realizar trabalho ,ou seja ,atrair
ou repelir outras cargas .
POTENCIAL ELÉTRICO
(Ufl a-MG) O diagrama potencial elétrico versus distância de uma carga
elétrica puntiforme Q no vácuo é mostrado a seguir
Pode-se af irmar que o valor de Q é:
a) +3,0 · 10–12 C. d) +0,1 · 10–9 C.
b) +0,1 · 10–12 C. e) –3,0 · 10–12 C.
c) +3,0 · 10–9 C.
EXERCÍCIO
Resolução:
POTENCIAL COM VÁRIAS CARGAS
(FEI-SP) Na figura, a carga puntiforme Q está fixa em O. Sabe-se que
OA = 0,5 m, OB = 0,4 m e que a diferença de potencial entre B e A vale
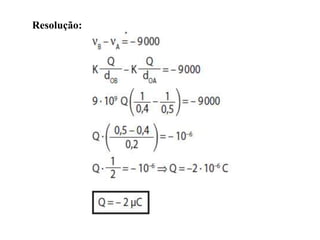
VB – VA = –9 000 V. Qual o valor da carga elétrica Q?
EXERCÍCIO
Resolução:
POTENCIAL COM VÁRIAS CARGAS
(Mack-SP) Na figura abaixo, Q = 2,0 μC e q = 1,5 μC são cargas
puntiformes no vácuo (k0 = 9 · 109 N m2/C2). O trabalho realizado pela
força elétrica ao levar a carga q do ponto A para o B é:
a) 2,4 J. d) 4,5 J.
b) 2,7 J. e) 5,4 J.
c) 3,6 J.
EXERCÍCIO
Resolução:
CONCLUINDO
É graças a eletrostática que se conhecem interações básicas
entre os corpos, o que ajudou os cientistas a criarem o modelo
de átomo como conhecemos hoje.
Com uma nova abordagem no uso de tirinhas ,filmes e vídeos
o assunto não é um mero exercício de imaginação e sim o uso
da teoria no cotidiano deixando cada vez mas prazeroso
estudar .
REFERÊNCIAS
HALLIDAY, David. Fundamentos de Física, vol 4. Ondas, David Halliday,
Robert Resnick, Jearl Walkei; trad. e revisão técnica Ronaldo Sérgio de Biasi
– 8 ed – Rio de Janeiro; LTC 2008, p.115-127.
GASPAR, A.. Física – Eletricidade. ed. São Paulo: Ática, 2000.
RAMALHO JR. , F ; FERRARO, N.G. ; SOARES, P.AT. Fundamentos da
Física - Vol.3. 8.ed. São Paulo: Moderna, 2004
Tirinhas - http://www.ensinodefisica.net/1_THs/molduras/index_ths.htm

Eletrização

  • 1.
    UNIVERSIDADE FEDERAL DEALAGOAS INSTITUTO DE FÍSICA Professores: José Maria de Lima Vlamir Gama Rocha Joselito Quirino Everton Leobino
  • 2.
    ELETROSTÁTICA Estuda situações ondeas cargas elétricas estão em repouso.
  • 3.
    TALES DE MILETO(600 a. C) - Notou que o âmbar, atritado com a pele de um animal ou um tecido qualquer, adquiria a propriedade de atrair objetos leves. Estudou também a magnetita. ERA UMA VEZ WILLIAM GILBERT (1600) - verificou que várias outras substâncias atritadas tinham o mesmo comportamento do âmbar e o primeiro a usar o termo “elétrico” derivando-o de elektron (âmbar em grego).
  • 4.
    OTTO VON GUERICKE(1670) – Inventor da primeira máquina eletrostática com a qual concluiu que corpos eletrizados tanto podiam provocar atração tanto como repulsão, interpretando adequadamente o fenômeno que o associou com a mesma natureza dos trovões e relâmpagos. STEPHEN GRAY (1730) – Primeiro a caracterizar condutor e isolante (dielétricos). Descobriu que era possível eletrizar um corpo por contato com outro corpo já eletrizado.
  • 5.
    CHARLES DU FAY(1734) – Verificou a existência de duas espécies de eletricidade: a vítrea e a resinosa. Ele observou que a carga elétrica adquirida por um bastão de vidro eletrizado com seda era diferente da carga adquirida por uma vareta de ebonite eletrizada por um pedaço de lã.
  • 6.
    Cargas com sinaisdiferentes = Atração Cargas com sinais iguais = Repulsão Cargas com sinais iguais = Repulsão PARA ENTENDERMOS MELHOR
  • 7.
    A partir dosanos 1600, a busca do átomo se tornou um exercício experimental. Diversos cientistas notáveis, começando por John Dalton até Werner Weisenberg para chegar hoje ao modelo abaixo: Os elétrons (carga elétrica negativa) giram ao redor do núcleo, que possui os prótons (carga elétrica positiva) e nêutrons (sem carga elétrica). A matéria é constituída de átomos CARGA ELÉTRICA
  • 8.
    Neutro - Temigual quantidade de prótons e elétrons. Quando um corpo perde elétrons, ele fica eletrizado positivamente. Quando ganha elétrons , fica eletrizado negativamente. Unidade de medida: Coulomb (C) - Carga elementar: e = ± 1,6.10−19C
  • 9.
    Q - Cargaelétrica (em Coulombs) n = 1, 2, 3,... - número de elétrons e - Carga elementar enQ . QUANTIZAÇÃO DA CARGA ELÉTRICA Robert Millikan com sua experiência da gota de óleo mostrou que a carga de um corpo é sempre um múltiplo inteiro de uma carga fundamental.
  • 10.
    Como determinar onúmero de elétrons existentes em uma carga de 3,2 Coulomb. Q = 3,2C e =1,6⋅10−19C n =? Q = n⋅e 3,2 = n⋅1,6⋅10−19 n=3,2/1,6⋅10−19 n = 2⋅1018 EXERCÍCIO
  • 11.
    “Em um sistemaeletricamente isolado, a soma algébrica das cargas elétricas é constante”. PRINCÍPIO DA CONSERVAÇÃO DE CARGAS
  • 12.
    PARA ENTENDERMOS MELHOR Nesteexemplo, estando A com uma quantidade x de carga elétrica e B eletricamente neutro e havendo o contato entre ambos, B passa a adquirir metade da carga de A causando assim um equilíbrio elétrico entre os dois.
  • 13.
    Têm seus elétronsda última camada eletrônica fracamente unidos, e podem perdê-los com facilidade. Esses elétrons recebem o nome de elétrons livres. Ex: Metais Ar úmido Solo CONDUTORES
  • 14.
    ISOLANTES Seus elétrons estãofortemente ligados aos átomos e assim não se movem com facilidade. Ex: Borracha Cerâmica Vidro Madeira
  • 15.
  • 16.
    Dois corpos demateriais diferentes e inicialmente neutros são atritados entre si onde elétrons são transferidos de um corpo para outro, em consequência, um fica eletrizado positivamente e o outro negativamente, com cargas iguais em modulo. ELETRIZAÇÃO POR ATRITO
  • 17.
  • 18.
    SÉRIE TRIBOELÉTRICA É umalista que mostra quais materiais que têm uma maior tendência de se tornarem positivamente eletrizados (+) e os de se tornarem negativamente eletrizados (-). Essa lista é uma ferramenta indispensável para se determinar que combinação de materiais podemos usar para um eficiente processo de eletrização por atrito.
  • 19.
  • 20.
    Durante a aula,uma aluna de cabelos longos começa a penteá-los usando um pente de plástico. Após pentear, nota que o pente atrai pequenos pedaços de papel que se encontram sobre sua carteira. Admirada, pergunta ao professor o por que? O professor então indaga aos demais alunos e cinco deles dão respostas diferentes. Qual acertou a explicação? EXERCÍCIO Aluno A — O pente é um bom condutor elétrico. Aluna B — O papel é um bom condutor elétrico. Aluno C — Os pedaços de papel já estavam eletrizados. Aluna D — O pente ficou eletrizado por atrito no cabelo. Aluno E — Entre o pente e o papel ocorre atração gravitacional.
  • 21.
    Aluno A —O pente é feito de plástico não é bom condutor elétrico. Aluna B — O papel não é bom condutor elétrico. Aluno C — Os pedaços de papel já estavam eletrizados. Aluna D — O pente ficou eletrizado por atrito no cabelo. (Correta) Aluno E — Entre o pente e os pedaços de papel ocorre atração eletrostática que concorre com a gravitacional. RESOLUÇÃO
  • 22.
  • 23.
    Ocorre quando umcondutor eletrizado e colocado em contato com um condutor neutro, ficando este com carga elétrica de mesmo sinal que o primeiro. n Q Q , ELETRIZAÇÃO POR CONTATO
  • 24.
  • 25.
    (Unifor-CE) Duas pequenasesferas idênticas estão eletrizadas com cargas de 6 μC e –10 μC, respectivamente. Colocando-se as esferas em contato, o número de elétrons que passam de uma esfera para a outra vale: a) 5,0 .1013. d) 4,0 .106. b) 4,0 .1013. e) 2,0 .106. c) 2,5.1013. Dado: carga elementar e = 1,6 .10–19 C EXERCÍCIO
  • 27.
    A Corrente eo fio servem para o escoamento (Contato) dos elétrons (que foram adquiridos por Atrito com o ar) pois uma faísca durante o abastecimento poderia causar uma explosão. Asa de um AviãoCarro tanque Abastecendo APLICAÇÃO NO COTIDIANO
  • 28.
    Ocorre por umasimples aproximação entre um corpo eletrizado e outro neutro, sem contato entre eles. ELETRIZAÇÃO POR INDUÇÃO
  • 29.
    OBS: Se oindutor for negativo, elétrons serão repelidos através do fio- terra. Assim, o induzido ficará eletrizado positivamente, pois perdeu elétrons para a Terra. Na eletrização por indução , o corpo induzido eletriza-se com carga de sinal contrário ao do indutor.
  • 30.
    São aparelhos queindicam se um corpo está ou não eletrizado. ELETROSCÓPIOS
  • 31.
    É composto poruma esfera condutora neutra, bastante leve, e suspensa por um fio isolante. Se a esfera se aproximar do objeto, este terá carga oposta a da esfera. ELETROSTÁTICOS
  • 32.
    É composto poruma esfera metálica neutra ligada a uma haste metálica e duas folhas metálicas, também neutras. Aproxima-se um corpo A da esfera metálica neutra do eletroscópio. Se as folhas metálicas abrirem, devido à indução eletrostática, ele estará eletrizado; caso contrário, estará neutro. FOLHAS
  • 33.
    I. À medidaque o objeto for se aproximando, as folhas vão se abrindo. II. À medida que o objeto for se aproximando, as folhas permanecem como estavam. III. Se o objeto tocar o terminal, as folhas devem necessariamente fechar-se. Nesse caso, pode-se afirmar que: a) somente a afirmativa I é correta b) as afirmativas II e III são corretas c) as afirmativas I e III são corretas d) somente a afirmativa III é correta e) nenhuma das afirmativas é correta (ITA-SP) Um objeto metálico carregado positivamente, com carga Q, é aproximado de um eletroscópio de folhas, que foi previamente carregado negativamente com carga igual a Q. EXERCÍCIO
  • 34.
    Com a aproximaçãodo objeto carregado positivamente aumenta o número de cargas negativas na esfera do eletroscópio e diminui nas suas lâminas. Logo, aproximam-se uma da outra. Ao se tocarem, ambos os corpos se neutralizam e as lâminas se fecham. Alternativa d. RESOLUÇÃO
  • 35.
  • 36.
    APLICAÇÃO NO COTIDIANO Nascopiadoras a folha fica com carga positiva e o toner (pó plástico) com negativa, a luz derrete e depois os cilindros fixam no papel. Copiadoras
  • 37.
    Filtros APLICAÇÃO NO COTIDIANO Gasestóxicos emitidos por chaminés de fabricas possuem Precipitadores eletrostáticos eletrizam negativamente as partículas em suspensão e depois uma placa eletrizada positivamente coleta as partículas nocivas.
  • 38.
    Pintura Eletrostática ou Lacagem Atinta recebe uma carga elétrica oposta à peça, fazendo com que ela se fixe na peça. APLICAÇÃO NO COTIDIANO
  • 39.
    https://www.youtube.com/watch?v=f4kUJpEX_YQ https://www.youtube.com/watch?v=TLjVC5W1pPE#t=93 Como é feitaa Pintura Eletrostática Como surgiu a Eletricidade VÍDEOS EDUCATIVOS
  • 40.
    “A intensidade daforça entre duas cargas pontuais varia com o inverso do quadrado da distância entre elas e é diretamente proporcional ao produto dos valores absolutos das cargas” 2 .. d qQK F o  229 /.10.9 CmNKo  A - Cargas elétricas de nome (sinal) contrário se atraem. B - Cargas elétricas de mesmo nomes contrários se repelem. LEI DE COULOMB
  • 41.
    1. Duas partículasde mesma massa têm cargas Q e 3Q. Sabendo-se que a força gravitacional é desprezível em comparação com a força elétrica, indique qual das figuras melhor representa as acelerações vetoriais das partículas EXERCÍCIO
  • 42.
    RESOLUÇÃO: As forças elétricasobedecem o principio de ação e reação (3° Lei de Newton), isto é, têm a mesma intensidade, mesma direção e sentidos opostos, agindo em corpos diferentes. As cargas tem o mesmo sinal então é uma repulsão e respeitando a 3° lei de Newton devem ter a mesma intensidade. A letra C é a Correta
  • 43.
    2. Determine omódulo da força de interação entre duas partículas eletrizadas com + 4 μC e – 3 μC, estando elas no vácuo à distância de 6 cm uma da outra. Dado: constante eletrostática do vácuo K0 = 9.109 N.m2/C2 EXERCÍCIO
  • 44.
  • 45.
    3. (Unesp-SP) Duasesferas condutoras idênticas carregadas com cargas + Q e – 3Q, inicialmente separadas por uma distância d, atraem-se com uma força elétrica de intensidade (módulo) F. Se as esferas são postas em contato e, em seguida, levadas de volta para suas posições originais, a nova força entre elas será: a) maior que F e de atração. b) menor que F e de atração. c) igual a F e de repulsão. d) menor que F e de repulsão. e) maior que F e de repulsão. EXERCÍCIO
  • 46.
  • 47.
    4. Duas partículasA e B, eletrizadas com cargas de mesmo sinal e respectivamente iguais a QA e QB, tal que QA = 9 QB, são fixadas no vácuo a 1,0 m de distância uma da outra. Determine o local, no segmento que une as cargas A e B, onde deverá ser colocada uma terceira carga C, para que ela permaneça em repouso. EXERCÍCIO
  • 49.
    Lei dos Cossenos FORÇAELÉTRICA DE VÁRIAS CARGAS Para determinar a força resultante é usada a Regra do Paralelogramo
  • 50.
    6. Nos vérticesde um triângulo equilátero, de 3 m de lado, estão colocadas as cargas q1 = q2 = 4·10–7 C; e q3 = 10–7 C. Determine a intensidade da força resultante que atua em q3. (K0 = 9·109 N · m2/C2) EXERCÍCIO
  • 51.
  • 52.
  • 53.
    7. (UFPE) Ográfico abaixo representa a força F entre duas cargas pontuais positivas de mesmo valor, separadas pela distância r. Determine o valor das cargas, em unidades de 10-7C. a) 1,0 b) 2,0 c) 3,0 d) 4,0 e) 5,0 EXERCÍCIO
  • 54.
  • 55.
    O campo écomo uma “gostosa fragrância de um frasco de perfume aberto” que podemos perceber o odor, ainda que não possamos vê-lo. Criando uma espécie de “campo de cheiro” em todos os pontos desse ambiente. CAMPO ELETRICO
  • 56.
    PARA ENTENDER Muito semelhantea correnteza ou a temperatura que um ponto representa o todo (vetor) O Campo desempenha o papel de transmissor de interações entre as cargas elétricas
  • 57.
    VETOR CAMPO ELÉTRICO Tomandoo vetor campo gravitacional temos que de maneira análoga colocando uma carga q num ponto P o vetor campo elétrico no ponto P é definido por:   gmP .   EqF . )(SI q F E   ou sentidosmesmosostêmEeFq .........0   opostossentidostêmEeFq .......0   direçãomesmaatêmEeF ......... 
  • 58.
    MACK-SP) As cargaspuntiformes q1= 20 C e q2 = 64 mC estão fixas no vácuo (k0 = 9.109 N.m2/C2), respectivamente nos pontos A e B. O campo elétrico resultante no ponto P tem intensidade de: a) 3.106 N/C d) 4,5. 106 N/C b) 3,6. 106 N/C e) 5,4. 106 N/C c) 4,0. 106N/C EXERCÍCIO 
  • 59.
  • 60.
    (PUC-MG) A figuramostra duas cargas de mesmo módulo e sinais opostos, colocadas a uma distância 2a, formando o que chamamos dipolo elétrico. EXERCÍCIO O vetor que representa corretamente o campo elétrico resultante E, produzido por essas cargas num ponto P, a uma distância d, é: a) E1 d) E4 b) E2 e) E5 c) E3
  • 61.
  • 62.
    Representação geométrica queindicar a presença de campos elétricos, são linhas que tangenciam os vetores cada ponto e jamais se cruzam e tem a mesma orientação do vetor campo elétrico. LINHAS DE FORÇA b) Carga negativa – Morre as linhas de força a) Carga positiva – Nasce as linhas de força
  • 63.
    c) Duas cargaspuntiformes de mesmo modulo e sinais opostos e) Duas cargas puntiformes de sinais opostos e módulos diferentes d)Duas cargas puntiforme com mesmo sinal e mesmo módulo O campo elétrico é mais intenso na região onde existe linhas mais próximas umas das outras.
  • 64.
    (UFRRJ) A figuraabaixo mostra duas cargas q1 e q2, afastadas a uma distância d, e as linhas de campo do campo eletrostático criado. Observando a figura acima, responda: a) Quais os sinais das cargas q1 e q2? b) A força eletrostática entre as cargas é de repulsão? Justifique. EXERCÍCIO
  • 65.
    Resolução: a) q1 ⇒positiva pois a linhas estão saindo q2 ⇒ negativa pois as linhas estão chegando b) Não, é de atração, pois as cargas q1 e q2 possuem sinais opostos.
  • 66.
    APLICAÇÃO O corpo humanoé capaz de gerar campos elétricos e que o nosso coração é capaz de gerar correntes elétricas que percorrem o tecido muscular deste, resultando em seu funcionamento. Toda corrente elétrica gera um campo elétrico que podem ser captados por aparelhos e transformados em traçados. Esse aparelho que capta e analisa o campo elétrico, gerado no coração.
  • 67.
    é a capacidadeque um corpo tem de realizar trabalho ,ou seja ,atrair ou repelir outras cargas . POTENCIAL ELÉTRICO
  • 68.
    (Ufl a-MG) Odiagrama potencial elétrico versus distância de uma carga elétrica puntiforme Q no vácuo é mostrado a seguir Pode-se af irmar que o valor de Q é: a) +3,0 · 10–12 C. d) +0,1 · 10–9 C. b) +0,1 · 10–12 C. e) –3,0 · 10–12 C. c) +3,0 · 10–9 C. EXERCÍCIO
  • 69.
  • 70.
  • 71.
    (FEI-SP) Na figura,a carga puntiforme Q está fixa em O. Sabe-se que OA = 0,5 m, OB = 0,4 m e que a diferença de potencial entre B e A vale VB – VA = –9 000 V. Qual o valor da carga elétrica Q? EXERCÍCIO
  • 72.
  • 73.
  • 74.
    (Mack-SP) Na figuraabaixo, Q = 2,0 μC e q = 1,5 μC são cargas puntiformes no vácuo (k0 = 9 · 109 N m2/C2). O trabalho realizado pela força elétrica ao levar a carga q do ponto A para o B é: a) 2,4 J. d) 4,5 J. b) 2,7 J. e) 5,4 J. c) 3,6 J. EXERCÍCIO
  • 75.
  • 76.
    CONCLUINDO É graças aeletrostática que se conhecem interações básicas entre os corpos, o que ajudou os cientistas a criarem o modelo de átomo como conhecemos hoje. Com uma nova abordagem no uso de tirinhas ,filmes e vídeos o assunto não é um mero exercício de imaginação e sim o uso da teoria no cotidiano deixando cada vez mas prazeroso estudar .
  • 77.
    REFERÊNCIAS HALLIDAY, David. Fundamentosde Física, vol 4. Ondas, David Halliday, Robert Resnick, Jearl Walkei; trad. e revisão técnica Ronaldo Sérgio de Biasi – 8 ed – Rio de Janeiro; LTC 2008, p.115-127. GASPAR, A.. Física – Eletricidade. ed. São Paulo: Ática, 2000. RAMALHO JR. , F ; FERRARO, N.G. ; SOARES, P.AT. Fundamentos da Física - Vol.3. 8.ed. São Paulo: Moderna, 2004 Tirinhas - http://www.ensinodefisica.net/1_THs/molduras/index_ths.htm