VITAMINA E
Lucas Linhares
Fabrízia Sampaio
Paulo Regino
Valeska Rodrigues
Universidade Estadual do Ceará – UECE
Curso de Nutrição
Disciplina: Nutrição e Metabolismo
INTRODUÇÃO
 Descoberta por H. Evans e K. Bishop
 1920
 CLASSES
 Forma biológica ativa
TOCOFERÓIS TRIENÓIS
α-TOCOFEROL
FONTES
ALIMENTARES
FONTES ALIMENTARES
 Alimentos de origem animal e vegetal;
 ↑ óleos vegetais;
 Limitar ingestão de gorduras: ↓ vitamina E;
 Origem animal → tecidos gordurosos; menor em
relação aos vegetais;
 α-tocoferol: 80% do total de Vit. E
Alimento Mg/100g
Óleos:
Germe de trigo 192
Milho 21
Semente de algodão 38
Amendoim 13
Cártamo 43
Soja 18
Girassol 51
Margarina 15
Frutas secas (nozes) 0,69 – 9
Pães 0,4
Verduras e legumes 0,1 – 2,0
Frutas 0,1 – 1,1
Carnes e peixes 1
Ovos 1
FATORES QUE DESFAVORECEM A
BIODISPONIBILDADE
 Preparo, processamento e armazenamento dos
alimentos;
 Oxidação;
 Luz e calor;
DIGESTÃO
 MICELAS
FORMAS
ESTERES
CARBOXIL
ESTER
HIDROXILASE
SAIS
BILIARES
ABSORÇÃO &
TRANSPORTE
ABSORÇÃO & TRANSPORTE
 Principalmente JEJUNO
 DIFUSÃO (transportador)
 QUILOMÍCRON, RQ, VLDL, LDL e HDL
ARMAZENAMENTO
+ 90%
Gotículas de gordura
Tecido adiposo
FORMA NÃO
ESTEREIFICADA
FUNÇÕES
FUNÇÕES
 Manutenção da integridade de membranas
celulares;
 Capacidade de prevenir a oxidação (peroxidação)
dos AG poli-insaturados (PUFA) das membranas
celulares;
 Importante para a reprodução - ante esterilidade;
 ANTIOXIDANTE – impede reações que
envolvam radicais livres;
FUNÇÃO ANTIOXIDANTE
 ESPECIALMENTE O ALFA – TOCOFEROL.
 TERMINO DOS RADICAIS LIVRES
 DESTRUIR O OXIGÊNIO MOLECULAR
SINGLETE.
TERMINO DOS RADICAIS LIVRES
RADICAL LIVRE:
•Qualquer átomo, molécula ou íon que possui um ou mais que um
elétrons livres na sua órbita externa.
•Apresentam grande capacidade reativa.
•Para sua estabilização, acontecem reações em cadeia de lesão
celular.
•Devido a esta característica, é denominado de substância oxidante.
•Formação é inevitável.
REAÇÕES EM CADEIA DO RADICAL
LIVRE:
 3 Fases
 I – INICIAÇÃO
LH + *
OH ———> L*
+ H2O
LH + O2 ———> L*
+ HO2
 II – PROPAGAÇÃO
L* 
+ O2 ———> LOO*
LOO*
 + L’H ———> L’*
+ LOOH 
(LH) componentes lipídicos-PUFA (HO2*
) radical hidroperoxila
(*
OH) radicais livre hidroxila (LOO*) radical lipídico peroxil
(L*
) radical alquila (L’H) acido graxo poli-insaturado
TERMINO DOS RADICAIS LIVRES
 A vit E pode reagir com os radicais peroxil
(LOO*) antes que eles interajam com os ácidos
graxos nas membranas, assim a vitamina E
termina as reações em cadeia.
LOO*
 + EH ———> LOOH + E*
L* +
EH ———> LH + E*
(E*) Vit E oxidada
OXIGÊNIO MOLECULAR SINGLETE.
 O oxigênio molecular singlete é um composto
muito reativo gerado no organismo. Proveniente
da peroxidação lipídica e outros meios.
 Reage facilmente com moléculas orgânicas, tipo
proteínas e DNA
 Pode causar danos nos componentes celulares
DESTRUIÇÃO O OXIGÊNIO
MOLECULAR SINGLETE ¹O2
 A sua exclusão se dá pelo processo de desativação
desse oxigênio singlete (Quenching).
 Essa capacidade de desativar o ¹O2 esta
relacionada ao grupo hidroxila livre do anel
cromanol da Vita E
 Alfa-tocoferol e beta- tocoferol são os principais
desativadores de ¹O2
INTERAÇÃO
COM OUTROS
NUTRIENTES
INTERAÇÕES COM OUTROS
NUTRIENTES
 Vitamina E e Selênio
 Vitamina E e Vitamina C
 Vitamina E e S-aa
VITAMINA E & SELÊNIO (SE)
Glutationa Peroxidase (GPx-Se)
Peróxidos lipídicos Álcoois lipídicos
Co-fator =
Destrói os peróxidos
Auxilia na absorção e retenção de
Vit E
Evita formação de peróxidos
VITAMINA E & S-AA
S-aa = Aminoácido que contém enxofre.
Metionina
Cisteína
Sintetiza a Glutationa
VITAMINAS E & C
METABOLISMO
E EXCREÇÃO
METABOLISMO E EXCREÇÃO
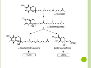
 Oxidação do α-tocoferol → tocoferoxil cromonaxil;
+ oxidação → tocoferil quinona;
 Vit. C/glutationa → redução do α-tocoferol
 Fígado
 Ácido α-tocoferônico → oxidação da cadeia
lateral do tocoferol hidroquinona ;
TOCOFERIL
QUINONA
TOCOFEROL
HIDROQUINONA
α-tocoferil-quinona
redutase
METABOLISMO E EXCREÇÃO
 Ácido tocoferônico + ÁCIDO GLICURÔNICO →
URINA;
 α-TOCOFEROL: excreção através da bile para as
fezes; (MDR-2);
 Vit. E + ácido glicurônico → excreção;
 ↑ concentração fecal;
 ↓ absorção e ↓ utilização;
DEFICIÊNCIA
&
TOXICIDADE
DEFICIÊNCIA
Sintomas
Miopatia e
fraqueza
Acúmulo de
pigmentação
ceróide
Anemia
hemolítica
Neuropatia
periférica
Ataxia
cerebelar
Perda de
senso
vibratório e
coordenação
PREMATUROS
anemia
hemolítica
Redução da vida
média dos
eritrócitos
TOXICIDADE
Vitamina E - metabolismo

Vitamina E - metabolismo

  • 1.
    VITAMINA E Lucas Linhares FabríziaSampaio Paulo Regino Valeska Rodrigues Universidade Estadual do Ceará – UECE Curso de Nutrição Disciplina: Nutrição e Metabolismo
  • 2.
    INTRODUÇÃO  Descoberta porH. Evans e K. Bishop  1920  CLASSES  Forma biológica ativa TOCOFERÓIS TRIENÓIS α-TOCOFEROL
  • 5.
  • 6.
    FONTES ALIMENTARES  Alimentosde origem animal e vegetal;  ↑ óleos vegetais;  Limitar ingestão de gorduras: ↓ vitamina E;  Origem animal → tecidos gordurosos; menor em relação aos vegetais;  α-tocoferol: 80% do total de Vit. E
  • 7.
    Alimento Mg/100g Óleos: Germe detrigo 192 Milho 21 Semente de algodão 38 Amendoim 13 Cártamo 43 Soja 18 Girassol 51 Margarina 15 Frutas secas (nozes) 0,69 – 9 Pães 0,4 Verduras e legumes 0,1 – 2,0 Frutas 0,1 – 1,1 Carnes e peixes 1 Ovos 1
  • 8.
    FATORES QUE DESFAVORECEMA BIODISPONIBILDADE  Preparo, processamento e armazenamento dos alimentos;  Oxidação;  Luz e calor;
  • 9.
  • 10.
  • 11.
  • 12.
    ABSORÇÃO & TRANSPORTE Principalmente JEJUNO  DIFUSÃO (transportador)  QUILOMÍCRON, RQ, VLDL, LDL e HDL
  • 14.
  • 15.
    + 90% Gotículas degordura Tecido adiposo FORMA NÃO ESTEREIFICADA
  • 16.
  • 17.
    FUNÇÕES  Manutenção daintegridade de membranas celulares;  Capacidade de prevenir a oxidação (peroxidação) dos AG poli-insaturados (PUFA) das membranas celulares;  Importante para a reprodução - ante esterilidade;  ANTIOXIDANTE – impede reações que envolvam radicais livres;
  • 18.
    FUNÇÃO ANTIOXIDANTE  ESPECIALMENTEO ALFA – TOCOFEROL.  TERMINO DOS RADICAIS LIVRES  DESTRUIR O OXIGÊNIO MOLECULAR SINGLETE.
  • 19.
    TERMINO DOS RADICAISLIVRES RADICAL LIVRE: •Qualquer átomo, molécula ou íon que possui um ou mais que um elétrons livres na sua órbita externa. •Apresentam grande capacidade reativa. •Para sua estabilização, acontecem reações em cadeia de lesão celular. •Devido a esta característica, é denominado de substância oxidante. •Formação é inevitável.
  • 20.
    REAÇÕES EM CADEIADO RADICAL LIVRE:  3 Fases  I – INICIAÇÃO LH + * OH ———> L* + H2O LH + O2 ———> L* + HO2  II – PROPAGAÇÃO L*  + O2 ———> LOO* LOO*  + L’H ———> L’* + LOOH  (LH) componentes lipídicos-PUFA (HO2* ) radical hidroperoxila (* OH) radicais livre hidroxila (LOO*) radical lipídico peroxil (L* ) radical alquila (L’H) acido graxo poli-insaturado
  • 22.
    TERMINO DOS RADICAISLIVRES  A vit E pode reagir com os radicais peroxil (LOO*) antes que eles interajam com os ácidos graxos nas membranas, assim a vitamina E termina as reações em cadeia. LOO*  + EH ———> LOOH + E* L* + EH ———> LH + E* (E*) Vit E oxidada
  • 24.
    OXIGÊNIO MOLECULAR SINGLETE. O oxigênio molecular singlete é um composto muito reativo gerado no organismo. Proveniente da peroxidação lipídica e outros meios.  Reage facilmente com moléculas orgânicas, tipo proteínas e DNA  Pode causar danos nos componentes celulares
  • 25.
    DESTRUIÇÃO O OXIGÊNIO MOLECULARSINGLETE ¹O2  A sua exclusão se dá pelo processo de desativação desse oxigênio singlete (Quenching).  Essa capacidade de desativar o ¹O2 esta relacionada ao grupo hidroxila livre do anel cromanol da Vita E  Alfa-tocoferol e beta- tocoferol são os principais desativadores de ¹O2
  • 26.
  • 27.
    INTERAÇÕES COM OUTROS NUTRIENTES Vitamina E e Selênio  Vitamina E e Vitamina C  Vitamina E e S-aa
  • 28.
    VITAMINA E &SELÊNIO (SE) Glutationa Peroxidase (GPx-Se) Peróxidos lipídicos Álcoois lipídicos Co-fator = Destrói os peróxidos Auxilia na absorção e retenção de Vit E Evita formação de peróxidos
  • 29.
    VITAMINA E &S-AA S-aa = Aminoácido que contém enxofre. Metionina Cisteína Sintetiza a Glutationa
  • 30.
  • 31.
  • 32.
    METABOLISMO E EXCREÇÃO Oxidação do α-tocoferol → tocoferoxil cromonaxil; + oxidação → tocoferil quinona;  Vit. C/glutationa → redução do α-tocoferol  Fígado  Ácido α-tocoferônico → oxidação da cadeia lateral do tocoferol hidroquinona ; TOCOFERIL QUINONA TOCOFEROL HIDROQUINONA α-tocoferil-quinona redutase
  • 33.
    METABOLISMO E EXCREÇÃO Ácido tocoferônico + ÁCIDO GLICURÔNICO → URINA;  α-TOCOFEROL: excreção através da bile para as fezes; (MDR-2);  Vit. E + ácido glicurônico → excreção;  ↑ concentração fecal;  ↓ absorção e ↓ utilização;
  • 35.
  • 36.
  • 37.
  • 39.

Notas do Editor

  • #29 Selênio é um co-fator de glutationa peroxidase, que é uma importante enzima que converte os peróxidos lipídicos em álcoois lipídicos. A GPx-Se junto a vit E, são os principais antioxidantes do corpo. O Se destrói os peróxidos e auxilia na absorção e retenção da vit E que, por sua vez, evita a formação dos peróxidos. Ou seja, os dois nutrientes têm ações complementares: a alta concentração de um deles ajuda a reduzir os efeitos de baixas concentrações do outro.
  • #30 S-aa = Aminoácido que contém enxofre. A cisteína, um aminoácido que contém enxofre e gerado de outro S-aa, a metionina, é necessária para sintetizar a Glutationa, que atua com agente redutor na reação da glutationa peroxidase e regenera (reduz) a vit E, quando a mesma já passou por oxidação.
  • #31 Algumas funções da Vit C também complementam a vitamina E. Além disso, a Vit C pode regenerar a Vit E, após sua oxidação.