Equações do 2.º Grau
Entre os vários tipos de equações, encontram-se
as equações do 2.º grau com uma incógnita, com as
quais já tomámos contacto no 8.º ano, mas, apenas em
algumas das formas que estas equações podem tomar.
O que se pretende neste capítulo é estudar a
resolução de qualquer tipo de equações do 2.º grau com
uma incógnita, escolhendo a maneira mais adequadamais adequada de
o fazer.
Problema:
O campo de jogos da nossa escola tem 2800 m2
de área.
Determina as dimensões do campo de futebol.
A equação que permite determinar o comprimento e a largura é
( ) 280030 =+xx
( )
0280030
280030
280030
2
2
=−+⇔
⇔=+⇔
⇔=+
xx
xx
eequivalentéque
xx
Temos assim uma equação e neste caso, mais exactamente, uma equação do 2.º grau,
já que o maior expoente da incógnita é 2.o maior expoente da incógnita é 2.
Chamamos equação do 2.º grau com uma incógnita a toda a expressão
que se possa escrever na forma:
002
≠=++ acomcbxax
02
=++ cbxax 0≠aÀ forma , chamamos forma canónicaforma canónica.
Nota:
A maioria das equações do 2.º grau não estão escritas na forma canónica, temos
que as colocar utilizando as regras de resolução de equações (parênteses,
denominadores,…)
Uma equação está escrita na forma canónica quando:
- o 1.º membro é um polinómio reduzido;- o 1.º membro é um polinómio reduzido;
- o 2.º membro é zero.- o 2.º membro é zero.
2
ax
bx
Quando a equação está escrita na forma canónica, dizemos que:
é o termo de grau 2 e aa o seu coeficiente
em x (de grau 1) e bb o seu coeficiente
independente (de grau zero)é o termo
é o termo
c
02800302
=−+ xxAssim, e voltando ao nosso problema, temos que
é uma equação do 2.º grau, em que:
 a= 1 coeficiente do termo de grau 2 ou do 2.º grau;
 b=30, coeficiente do termo de grau 1;
 c=-2800, coeficiente do termo de grau zero ou termo independente.
002
≠=++ acomcbxax
Exemplos:
x2
- 5x + 6 = 0, onde a = 1, b = -5 e c = 6.
7x2
- x = 0, onde a = 7, b = -1 e c = 0.
-x2
- 36 = 0, onde a = -1, b = 0 e c = -36.
Uma equação do 2º grau é completa quando b e c são diferentes de
zero (porque para ser do segundo grau o valor de a tem de ser
sempre diferente de zero).
A equação que dá resposta ao nosso problema
diz-se completadiz-se completa, porque tem os 3 termos (2.º, 1.º e grau 0).
02800302
=−+ xx
Uma equação do 2º grau é incompletaincompleta quando b ou c é igual a
zero, ou ainda, quando ambos são iguais a zero.
Equações da forma ax² +bx = 0, (c = 0)
x² - 3x = 0, onde a = 1, b = -3.
-2x² + 4x = 0, onde a = -2, b = 4.
Equações do tipo ax² +c = 0, (b = 0)
3x² - 2 = 0, onde a = 3, c = -2.
x² + 5 = 0, onde a = 1, c = 5.
Equações do tipo ax² = 0, (b=c=0)
-2x² = 0, onde a = -2
Raízes de uma Equação do 2º Grau
Resolver uma equação do 2º grau significa determinar as suas 
raízes ou soluções.
Raiz ou solução é o número real que, ao substituir a
incógnita de uma equação, a transforma
numa proposição verdadeira.
O conjunto formado pelas raízes de uma equação denomina-se
conjunto-solução.
Resolução de Equações Incompletas
Equações incompletas do tipo 0,02
=== cbax
0
0
0 22
=⇔=⇔= x
a
xax
Exemplos:
22
2
2
25,0
4
1
0
3
2
08
xx
x
x
=
=−
=−
De uma forma geral a solução deste tipo de equações é zero.
Equações incompletas do tipo 0,02
==+ bcax
a
c
x
a
c
xcaxcax −±=⇔−=⇔−=⇔=+ 222
0
Equações da forma: ax² +c = 0, (b = 0)
No geral, a equação do tipo ax² +c = 0:
• possui duasduas raízes reais simétricasraízes reais simétricas se:
- c/a for um nº positivo.
• Zero, se –c/a=0
• não possui raiz realnão possui raiz real se:
- c/a for um nº negativo.
Equação possível
Equação impossível
0102
025
0142
2
2
2
=−−
=−
=+−
x
x
x
Exemplos:Exemplos:
Se x є R, y є R , x² = y x = √ y ou x = -√ y⇔
0,02
==+ bcax
Equações incompletas do tipo 0,02
==+ cbxax
( )
a
b
xxbaxx
baxxbxax
−=∨=⇔=+∨=⇔
⇔=+⇔=+
000
002
Equações da forma: ax² +bx = 0, (c = 0)
A equação do tipo ax² +bx = 0 tem como
soluções:
x = 0
e
x = - b/a
xx 32
=
( )
10
2
5
1
2
+
=
+ xx
0287 2
=− xx
Exemplos:Exemplos:
Primeiro: Forma canónica;Primeiro: Forma canónica;
Segundo: Factorização do polinómio;Segundo: Factorização do polinómio;
Terceiro: LAPTerceiro: LAP
0,02
==+ cbxax
( )
( )






−=
=+⇔
⇔+=++⇔
⇔
+
=
++
⇔
⇔
+
=
+
×
2
3
,0
.032
2242
min
10
2
5
12
10
2
5
1
2
2
2
2
2
S
resolversabemjáagoraExx
canónicaformanaColocarxxx
adoresdenoosTirar
xxx
parêntesesosTirar
xx
( )
{ }3,0
30
03
03
Re3
2
2
=
=∨=⇔
⇔=−⇔
⇔=−⇔
⇔=
S
xx
produtodoanulamentodoLeixx
polinómiooFactorizarxx
canónicaformaàequaçãoaduzirxx
Equações de 2.º grau completas
Uma equação do 2º grau é completa quando b e c são diferentes de zero.quando b e c são diferentes de zero.
Denomina-se equação do 2º grau, na incógnita x, toda equação da forma:
ax2
+ bx + c=0 ; a ≠ 0.
Observa que:
a representa o coeficiente de  x²;
b representa o coeficiente de x;
c representa o termo independente.
Exemplos:
x2
- 5x + 6 = 0, onde a = 1, b = -5 e c = 6.
7x2
– x-10 = 0, onde a = 7, b = -1 e c =-10.
x2
- 36 = 0, onde a = 1, b = 0 e c = -36. IncompletaIncompleta
Reparem que nas eq.
completas b e c são
diferentes de zero.
Resolução de Equações Completas
Fórmula de Bhaskara
Para solucionar equações completas do 2º grau utilizaremos a
Fórmula de Bhaskara.
A partir da equação ax2
+ bx + c = 0, a ≠ 0, desenvolveremos
passo a passo a dedução da Fórmula de Bhaskara.
1º passo: multiplicaremos ambos os membros por 4a.
(4a).(ax² + bx + c) = 0.(4a)
4a²x² + 4abx + 4ac = 0
2º passo: passar 4ac para o 2º membro.
4a²x² + 4abx = - 4ac
Fórmula de Bhaskara
3º passo: adicionar b² aos dois membros.
4a²x² + 4abx + b² = b² - 4ac
4º passo: factorizar o 1º membro.
(2ax + b) ² = b² - 4ac
5º passo: extrair a raiz quadrada dos dois membros.
6º passo: passar b para o 2º membro.
( ) acbbax 42 22
−±=+
acbbax 42 2
−±=+
acbbax 42 2
−±−=
Fórmula de Bhaskara
7º passo: dividir os dois membros por 2a.
Assim, a fórmula resolvente da equação do 2º grau:Assim, a fórmula resolvente da equação do 2º grau:
a
acbb
a
ax
2
4
2
2 2
−±−
=
a
acbb
x
a
acbb
x
a
acbb
x
2
4
2
4
2
4
22
2
−−−
=∨
−+−
=
⇔
−±−
=
Fórmula resolvente das equações do 2.º grau
Em que:
a é o coeficiente do termo de grau 2.
b é o coeficiente do termo de grau 1.
c é o coeficiente do termo independente.
( )
a
acbb
x
a
acbb
x
a
acbb
xacomcbxax
2
4
2
4
2
4
00
22
2
2
−+−
=∨
−−−
=⇔
⇔
−±−
=⇔≠=++
Nota: Só se pode aplicar a fórmula resolvente quanto uma equação do
2.º grau está na forma canónica.
Exemplo:
⇔=− 1222 2
xx
1.º Colocar a equação na forma
canónica (não está na forma
canónica porque o 2.º membro não é
zero)
( ) ( ) ( )
{ }3,223
4
102
4
102
4
1002
4
9642
22
122422
1222
.
01222
2
2
−=−=∨=⇔
⇔
−
=∨
+
=⇔
±
=⇔
+±
=⇔
⇔
×
−××−−±−−
=⇔
−=−==
−
−⇔=−−⇔
CSxx
xxxx
x
cba
resolventefórmulaaseaplicaeequação
datermosdosescoeficientossemIdentificaxx
a
acbb
x
2
42
−±−
=
Equações do 2.º grau em que o 1.º membro é o desenvolvimento do
quadrado de um binómio
Se conseguirmos identificar estes casos, não precisamos de aplicar a
fórmula resolvente. Repara:
036244 2
=++ xx
6262224
636
24
:.º1
2
porxdedobrooéxx
dequadradooé
xdequadradooéx
equaçãodamembrooObserva
××=
( ) ⇔=+⇔=++ 062036244
,
22
xxx
Logo
33
6262
062062
−=∨−=⇔
⇔−=∨−=⇔
⇔=+∨=+⇔
xx
xx
xx
{ }3−=S
Surgiram duas soluções (ou raízes) iguais. Diz-se que -3 é uma solução ou raiz dupla.
Equações em que o 1.º membro não é o desenvolvimento do quadrado de
um binómio, como no primeiro caso que resolvemos, encontram-se as raízes,
aplicando a fórmula resolvente.
Nota:Nota:
É possível resolver sempre qualquer equação do 2.º grau ,É possível resolver sempre qualquer equação do 2.º grau ,
completa ou incompleta , pela fórmula resolvente.completa ou incompleta , pela fórmula resolvente.
⇔=− 074 2
x
7
0
4
−=
=
=
c
b
a
a
acbb
x
2
42
−±−
=
( )
8
112
8
112
8
112
42
74400 2
−=∨=⇔
⇔
±
=⇔
⇔
×
−××−±
=⇔
xx
x
x
Mas, é muito mais simples, resolver aplicando de imediato, a
definição da raiz quadrada:
4
7
4
7
4
7
4
7
74074
2
22
−=∨=⇔
⇔±=⇔=⇔
⇔=⇔=−
xx
xx
xx
É óbvio que:
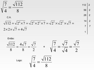
8
112
4
7
=






±=
8
112
.S
8
112
4
7
=
74722
72272272112 22224
=××
=××=××=×=
Então:
2
7
8
74
8
112
== e
2
7
4
7
4
7
==
C.A.
112 2
56 2
28 2
14 2
7 7
1
Logo:
8
112
4
7
=
Muito Importante:
Ao resolver uma equação do 2.º grau,
deve-se procurar sempre utilizar o processo mais simples:
Definição de raiz quadrada.
Lei do anulamento do produto.
 Fórmula resolvente.
NÚMERO DE SOLUÇÕES DE UMA EQUAÇÃO DO 2.º GRAUNÚMERO DE SOLUÇÕES DE UMA EQUAÇÃO DO 2.º GRAU
07152 2
=+− xx 09124 2
=−+− xx 01513 2
=−+− xx
Resolve, utilizando a fórmula resolvente, cada uma das seguintes equações.






=
=∨=⇔
⇔
−
=∨
+
=⇔
⇔
±
=⇔
⇔
−±
=⇔
⇔=+−
7,
2
1
2
17
4
1315
4
1315
4
16915
4
5622515
07152 2
S
xx
xx
x
x
xx






=
=∨=⇔
⇔
−
−−
=∨
−
+−
=⇔
⇔
−
±−
=⇔
⇔
−
−±−
=⇔
⇔=−+−
2
3
2
3
2
3
8
012
8
012
8
012
8
14414412
09124 2
S
xx
xx
x
x
xx
26
275
26
52255
01513 2
−
−±−
=⇔
⇔
−
−±−
=⇔
⇔=−+−
x
x
xx
A equação tem
duas raízes
diferentes.
A equação tem uma raiz
dupla ou duas raízes
iguais.
A equação não tem
solução. É impossível
em R . S={ }
Como não há nenhum número
real que elevado ao quadrado
dê um número negativo, a ex-
pressão não tem significadonão tem significado
em R.em R.
Uma equação do 2.º grau pode portanto, ter 2 soluções diferentes2 soluções diferentes, 11
solução (ou duas soluções iguais)solução (ou duas soluções iguais) ou não ter soluções.não ter soluções.
Observando a resolução destas equações podemos verificar que o número de
soluções depende do cálculo da raiz.
Sem resolver a equação, como podemos saber o número deSem resolver a equação, como podemos saber o número de
raízes?raízes?
a
acbb
2
42
−±−
acb 42
−
Se pensarmos que na fórmula resolvente, , verificamos
que a expressão que determina o número de raízes de uma equação, é:
À expressão chama-se BINÓMIOBINÓMIO
DISCRIMINANTEDISCRIMINANTE por discriminar o número de
soluções de uma equação do 2.º grau.
Representa-se por (letra grega que se lê delta).
acb 42
−
∆
acb 42
−=∆
Δ = b2
- 4ac
Podemos agora, escrever a Fórmula de Bhaskara, da
seguinte forma:
De acordo com o binómio discriminnte, temos três
casos a considerar:
a
b
x
a
acbb
x
22
42
∆±−
=⇔
−±−
=
1º Caso: Se Δ > 0, a equação tem duas soluções
diferentes.
2º Caso: Se Δ = 0, a equação duas soluções iguais,
(raiz dupla).
3º Caso: Se Δ < 0, a equação não tem raízes.
Equação impossível em R.
Δ > O Δ = O Δ < O
O valor de √Δ é realreal
e a equação tem
duas raízes reaisduas raízes reais
diferentes, assim
representadas:
O valor de √Δ é nuloé nulo
e a equação tem
duas raízes reaisduas raízes reais e
iguais (solução
dupla), assim
representadas:
O valor de √Δ
não existe em IR,
não existindo,
portanto, raízes
reais.
Em R a equação é
impossível S=
As raízes da equação
são número
complexos.a
acbb
x
a
acbb
x
2
4
'
2
4
2
2
−−−
=
∨
−+−
=
a
b
xx
2
' −==
∅
Se, dada uma determinada equação,
pretendermos saber apenas o número de
soluções (e não necessariamente quais as
soluções), basta determinar o binómio
discriminante.
Δ = b2
- 4ac
Gráfico de uma equação do 2.º grauGráfico de uma equação do 2.º grau
A representação gráfica de uma equação do 2.º grau é uma curva
que se denomina parábola.
Relações entre os Coeficientes
e as Raízes
1ª Relação: Soma das Raízes (S)
a
b
a
b
a
bb
a
bb
a
b
a
b
xx −=
−
=
−−
=
∆−−∆+−
=
∆−−
+
∆+−
=+
2
2
2222
'
2
202
2
202
0422 −
=∨
+
=⇔=−− xxxx
Concretamente:
2
202202
2
202
2
202 −++
=
−
+
+
a
b
−⇒= 2
2
4
2ª Relação: Produto das Raízes (P)
( )( )
2
2
2
4422
'
a
b
a
bb
a
b
a
b
xx
∆−
=
∆−−∆+−
=
∆−−
×
∆+−
=×
Mas como , podemos escrever:acb 42
−=∆
( )
a
c
aa
ac
a
acbb
a
acbb
a
b
==
+−
=
−−
=
∆−
4
4
4
4
4
4
4 2
22
2
22
2
2
2
202
2
202
0422 −
=∨
+
=⇔=−− xxxx
Concretamente:
( )( )
4
202202
2
202
2
202 −+
=
−
×
+
a
c
⇒−=−=
−
= 4
4
16
4
204
Relações entre os Coeficientes
e as Raízes
Soma das RaízesSoma das Raízes:
É representada pela letra S.
S =-b/a
Obviamente, se a=1,
S=-b
Produto das RaízesProduto das Raízes:
É representado pela letra P.
P = c/aP = c/a
Se a=1, P=c
Composição de uma Equação do
2º Grau, conhecidas as Raízes
Considera a equação do 2º grau ax2
+ bx + c = 0.
Dividindo todos os termos por a, a ≠ 0, obtemos:
000 2
2
2
=++⇔=++⇔=++
a
c
x
a
b
x
a
c
a
bx
a
ax
cbxax
Como: S =-b/a e P = c/a, podemos escrever a equação desta maneira:
x2
- Sx + P = 0
Para que serve tudo isto?Para que serve tudo isto?
O conhecimento destas relações permite-nos rapidamente escrever
uma equação conhecidas as suas soluções e resolver mentalmente
algumas equações.
04032
=−+ xx
Exemplos:Exemplos:
{ }5,8.. −=SC
Somando (S) as duas soluções vem -8 + 5 =Somando (S) as duas soluções vem -8 + 5 = -3-3
Fazendo o produto (P) obtemosFazendo o produto (P) obtemos 4058 −=×−
Comparemos agora os valores obtidos com a nossa equação inicial.
02
=+− PSxx
.
S=-b/a
P=c/a
02
=++
a
c
x
a
b
x
Vejamos ainda um outro exemplo:
0844 2
=−− xx CS= {-1, 2}
S= 1S= 1
P=-2P=-2
1
4
4
=
−
−=−=
a
b
S 2
4
8
−=
−
==
a
c
P
Neste caso verificamos que,
Podemos então concluir:
Numa equação do 2.º grau,
temos que a soma das soluções é igual a e o produto
é
igual a .






−
a
b






a
c
( )002
≠=++ acomcbxax
020
4
8
4
4
4
4 2
2
=−−⇔=−− xx
xx
Escreve uma equação do 2.º grau cujas raízes são -2 e 7.
 
 
A soma das raízes corresponde a:
 
S = -2 + 7 = 5
 
O produto das raízes corresponde a:
 
P = -2 . 7 = -14
 
A equação é dada por x2
- Sx + P = 0, onde S = 5 e P = -14.
 
Logo, x2
- 5x - 14 = 0 é a equação procurada.
Exercício:
Escreve uma equação cuja:
Exercício:
a) solução seja 5 e 10.
S = 15
P = 50
En
tão,
050152
=+− xx
b) solução seja e -6.
S = -11/2
P = -3
Então:
2
1
03
2
112
=−+ xx
Resolve mentalmente a equação 094 2
=−x
S = 0 P = -
9/4
É necessário descobrir dois números cujo produto dê -9/4 e a soma
dê 0.
Assim:
S =






−
2
3
,
2
3
Exercício:
Resolução de problemas
que envolvem equações do 2.º grau.
Existem numerosos e variadíssimos problemas que se traduzem
matematicamente por equações do 2.º grau, cuja resolução permite, portanto,
encontrar as respostas procuradas. Chamam-se por isso problemas do 2.º grau.
Recordemos como se equaciona um problema e de que forma se pode resolver.
PROBLEM
A
EQUAÇÃO
SOLUÇÕES
DA
EQUAÇÃO
ANÁLISE DAS SOLUÇÕES DA
EQUAÇÃO NO CONTEXTO DO
PROBLEMA
SOLUÇÕES DO
PROBLEMA
A Rita é três anos mais nova que a sua irmã e o produto das suas idades é 18.
Quantos anos tem a Rita?
Exemplo 1
Resolução:
x
3+x
Traduzindo em linguagem matemática, vem:
Idade da Rita-
Idade da irmã da Rita-
ou
Idade da Rita-
Idade da irmã da Rita- x
3−x
Equacionando o problema e resolvendo a equação:
( )
36
2
93
2
93
2
93
2
7293
0183183 2
=∨−=⇔
⇔
+−
=∨
−−
=⇔
⇔
±−
=⇔
+±−
=⇔
⇔=−+⇔=+
xx
xx
xx
xxxx A equação tem duas soluções, mas
apenas umaapenas uma é solução do problema,
atendendo que a idade da Rita só pode
ser 3.
R.: A Rita tem 3 anos e a irmã tem 6 anos.
Exemplo 2
De um campo de voleibol sabemos que o seu
perímetro mede 27 metros e a sua área mede 40,5
metros quadrados. Quais são as dimensões do
campo?
Resolução:
x 2722 =+ yx 5,40=xy
Traduzindo para linguagem matemática, vem:
Largura- Comprimento: y Perímetro: Área:
( ) ( )








=
==







=
∨
==







=∨=
⇔





=+−
⇔





=+
⇔








=+
⇔









=+





⇔
=





=+
⇔
=
××
5,4
9
5,4
5,40
9
5,4
9
5,40
5,49
________
081272
_______
27281
_______
272
81
______
272
5,40
2
5,40
2722
5,40
22
y
x
y
x
yy
yyyyy
y
y
y
y
x
yx
xy
yy
R.: As dimensões do camp
o de voleibol são 4,5 por 9 metros.
Problema do caderno de actividades página 80.
23. A figura representa a trajectória de um
foguete que o Jorge lançou no arraial de S.
João.
23.1 Qual foi a altura máxima atingida
pelo foguete?
23.2 A que altura se encontrava o
foguete decorridos 2 segundos? E 10
segundos?
23.4 Onde se encontrava o foguete nos instantes
t=0 e t=12?
23.5 Sabendo que a atura atingida pelo foguete é dada pela expressão
, confirma, analiticamente, o momento de chegada ao solo.
ttth 605)( 2
+−=
23.3 Qual o valor de h(0)? Explica o significado da afirmação: «h(t)=0 quando
t=0.»
30. Num referencial ortonormado xOy, está
representada parte do gráfico da função:
85
2
)(
2
−+−= x
x
xf
No mesmo referencial está também representado um triângulo [ABC], cujos
vértices pertencem ao gráfico da função f. Determina a área do triângulo
[ABC].
9. Um campeão de saltos de trampolim, decide preparar
uma série de saltos para uma competição. A figura mostra
um desses saltos cuja trajectória é dada pela expressão
(h em metros e t em segundos).76)( 2
++−= ttth
9.1 Determina a altura do topo da prancha até ao
solo.
9.2 Determina o instante em que o campeão
penetra na água.
9.3 A que altura do solo está o atleta ao fim de 2 segundos?
32. A Rita saiu de casa para visitar a avó. A distância d, em
quilómetros, que a Rita tem de percorrer para chegar à casa
da avó, t horas após ter iniciado a caminhada é dada pela
expressão:
6)( 2
+−−= tttd
Numa pequena composição, explica os seguintes aspectos:
•a distância que a Rita percorreu até chegar á casa da avó;
•O tempo que demorou a chegar à casa da avó;
•O valor de d(1), indicando o seu significado no contexto do
problema.
31. Um fio encontra-se suspenso entre dois
postes. A distância entre ambos é de 18 metros.
Considera a função f definida por:
( ) 26
12
1
)(
2
+−= xxf
Admite que f(x) é a distância do solo, em
metros, do ponto do fio situado a y metros à
direita do 1.º poste.
31.1 Mostra que a altura do 1.º poste é 5 metros e a altura
do 2.º poste é 14 metros.
31.2 Calcula o valor de y, sabendo que o ponto do fio correspondente
está à mesma altura do solo que o primeiro poste.

Equações do 2º grau

  • 1.
  • 2.
    Entre os váriostipos de equações, encontram-se as equações do 2.º grau com uma incógnita, com as quais já tomámos contacto no 8.º ano, mas, apenas em algumas das formas que estas equações podem tomar. O que se pretende neste capítulo é estudar a resolução de qualquer tipo de equações do 2.º grau com uma incógnita, escolhendo a maneira mais adequadamais adequada de o fazer.
  • 3.
    Problema: O campo dejogos da nossa escola tem 2800 m2 de área. Determina as dimensões do campo de futebol.
  • 4.
    A equação quepermite determinar o comprimento e a largura é ( ) 280030 =+xx ( ) 0280030 280030 280030 2 2 =−+⇔ ⇔=+⇔ ⇔=+ xx xx eequivalentéque xx
  • 5.
    Temos assim umaequação e neste caso, mais exactamente, uma equação do 2.º grau, já que o maior expoente da incógnita é 2.o maior expoente da incógnita é 2. Chamamos equação do 2.º grau com uma incógnita a toda a expressão que se possa escrever na forma: 002 ≠=++ acomcbxax 02 =++ cbxax 0≠aÀ forma , chamamos forma canónicaforma canónica. Nota: A maioria das equações do 2.º grau não estão escritas na forma canónica, temos que as colocar utilizando as regras de resolução de equações (parênteses, denominadores,…) Uma equação está escrita na forma canónica quando: - o 1.º membro é um polinómio reduzido;- o 1.º membro é um polinómio reduzido; - o 2.º membro é zero.- o 2.º membro é zero.
  • 6.
    2 ax bx Quando a equaçãoestá escrita na forma canónica, dizemos que: é o termo de grau 2 e aa o seu coeficiente em x (de grau 1) e bb o seu coeficiente independente (de grau zero)é o termo é o termo c 02800302 =−+ xxAssim, e voltando ao nosso problema, temos que é uma equação do 2.º grau, em que:  a= 1 coeficiente do termo de grau 2 ou do 2.º grau;  b=30, coeficiente do termo de grau 1;  c=-2800, coeficiente do termo de grau zero ou termo independente. 002 ≠=++ acomcbxax
  • 7.
    Exemplos: x2 - 5x +6 = 0, onde a = 1, b = -5 e c = 6. 7x2 - x = 0, onde a = 7, b = -1 e c = 0. -x2 - 36 = 0, onde a = -1, b = 0 e c = -36. Uma equação do 2º grau é completa quando b e c são diferentes de zero (porque para ser do segundo grau o valor de a tem de ser sempre diferente de zero). A equação que dá resposta ao nosso problema diz-se completadiz-se completa, porque tem os 3 termos (2.º, 1.º e grau 0). 02800302 =−+ xx
  • 8.
    Uma equação do2º grau é incompletaincompleta quando b ou c é igual a zero, ou ainda, quando ambos são iguais a zero. Equações da forma ax² +bx = 0, (c = 0) x² - 3x = 0, onde a = 1, b = -3. -2x² + 4x = 0, onde a = -2, b = 4. Equações do tipo ax² +c = 0, (b = 0) 3x² - 2 = 0, onde a = 3, c = -2. x² + 5 = 0, onde a = 1, c = 5. Equações do tipo ax² = 0, (b=c=0) -2x² = 0, onde a = -2
  • 9.
    Raízes de umaEquação do 2º Grau Resolver uma equação do 2º grau significa determinar as suas  raízes ou soluções. Raiz ou solução é o número real que, ao substituir a incógnita de uma equação, a transforma numa proposição verdadeira. O conjunto formado pelas raízes de uma equação denomina-se conjunto-solução.
  • 10.
    Resolução de EquaçõesIncompletas Equações incompletas do tipo 0,02 === cbax 0 0 0 22 =⇔=⇔= x a xax Exemplos: 22 2 2 25,0 4 1 0 3 2 08 xx x x = =− =− De uma forma geral a solução deste tipo de equações é zero.
  • 11.
    Equações incompletas dotipo 0,02 ==+ bcax a c x a c xcaxcax −±=⇔−=⇔−=⇔=+ 222 0 Equações da forma: ax² +c = 0, (b = 0) No geral, a equação do tipo ax² +c = 0: • possui duasduas raízes reais simétricasraízes reais simétricas se: - c/a for um nº positivo. • Zero, se –c/a=0 • não possui raiz realnão possui raiz real se: - c/a for um nº negativo. Equação possível Equação impossível
  • 12.
    0102 025 0142 2 2 2 =−− =− =+− x x x Exemplos:Exemplos: Se x єR, y є R , x² = y x = √ y ou x = -√ y⇔ 0,02 ==+ bcax
  • 13.
    Equações incompletas dotipo 0,02 ==+ cbxax ( ) a b xxbaxx baxxbxax −=∨=⇔=+∨=⇔ ⇔=+⇔=+ 000 002 Equações da forma: ax² +bx = 0, (c = 0) A equação do tipo ax² +bx = 0 tem como soluções: x = 0 e x = - b/a
  • 14.
    xx 32 = ( ) 10 2 5 1 2 + = +xx 0287 2 =− xx Exemplos:Exemplos: Primeiro: Forma canónica;Primeiro: Forma canónica; Segundo: Factorização do polinómio;Segundo: Factorização do polinómio; Terceiro: LAPTerceiro: LAP 0,02 ==+ cbxax
  • 15.
    ( ) ( )       −= =+⇔ ⇔+=++⇔ ⇔ + = ++ ⇔ ⇔ + = + × 2 3 ,0 .032 2242 min 10 2 5 12 10 2 5 1 2 2 2 2 2 S resolversabemjáagoraExx canónicaformanaColocarxxx adoresdenoosTirar xxx parêntesesosTirar xx () { }3,0 30 03 03 Re3 2 2 = =∨=⇔ ⇔=−⇔ ⇔=−⇔ ⇔= S xx produtodoanulamentodoLeixx polinómiooFactorizarxx canónicaformaàequaçãoaduzirxx
  • 16.
    Equações de 2.ºgrau completas Uma equação do 2º grau é completa quando b e c são diferentes de zero.quando b e c são diferentes de zero. Denomina-se equação do 2º grau, na incógnita x, toda equação da forma: ax2 + bx + c=0 ; a ≠ 0. Observa que: a representa o coeficiente de  x²; b representa o coeficiente de x; c representa o termo independente. Exemplos: x2 - 5x + 6 = 0, onde a = 1, b = -5 e c = 6. 7x2 – x-10 = 0, onde a = 7, b = -1 e c =-10. x2 - 36 = 0, onde a = 1, b = 0 e c = -36. IncompletaIncompleta Reparem que nas eq. completas b e c são diferentes de zero.
  • 17.
    Resolução de EquaçõesCompletas Fórmula de Bhaskara Para solucionar equações completas do 2º grau utilizaremos a Fórmula de Bhaskara. A partir da equação ax2 + bx + c = 0, a ≠ 0, desenvolveremos passo a passo a dedução da Fórmula de Bhaskara. 1º passo: multiplicaremos ambos os membros por 4a. (4a).(ax² + bx + c) = 0.(4a) 4a²x² + 4abx + 4ac = 0 2º passo: passar 4ac para o 2º membro. 4a²x² + 4abx = - 4ac
  • 18.
    Fórmula de Bhaskara 3ºpasso: adicionar b² aos dois membros. 4a²x² + 4abx + b² = b² - 4ac 4º passo: factorizar o 1º membro. (2ax + b) ² = b² - 4ac 5º passo: extrair a raiz quadrada dos dois membros. 6º passo: passar b para o 2º membro. ( ) acbbax 42 22 −±=+ acbbax 42 2 −±=+ acbbax 42 2 −±−=
  • 19.
    Fórmula de Bhaskara 7ºpasso: dividir os dois membros por 2a. Assim, a fórmula resolvente da equação do 2º grau:Assim, a fórmula resolvente da equação do 2º grau: a acbb a ax 2 4 2 2 2 −±− = a acbb x a acbb x a acbb x 2 4 2 4 2 4 22 2 −−− =∨ −+− = ⇔ −±− =
  • 20.
    Fórmula resolvente dasequações do 2.º grau Em que: a é o coeficiente do termo de grau 2. b é o coeficiente do termo de grau 1. c é o coeficiente do termo independente. ( ) a acbb x a acbb x a acbb xacomcbxax 2 4 2 4 2 4 00 22 2 2 −+− =∨ −−− =⇔ ⇔ −±− =⇔≠=++
  • 21.
    Nota: Só sepode aplicar a fórmula resolvente quanto uma equação do 2.º grau está na forma canónica. Exemplo: ⇔=− 1222 2 xx 1.º Colocar a equação na forma canónica (não está na forma canónica porque o 2.º membro não é zero) ( ) ( ) ( ) { }3,223 4 102 4 102 4 1002 4 9642 22 122422 1222 . 01222 2 2 −=−=∨=⇔ ⇔ − =∨ + =⇔ ± =⇔ +± =⇔ ⇔ × −××−−±−− =⇔ −=−== − −⇔=−−⇔ CSxx xxxx x cba resolventefórmulaaseaplicaeequação datermosdosescoeficientossemIdentificaxx a acbb x 2 42 −±− =
  • 22.
    Equações do 2.ºgrau em que o 1.º membro é o desenvolvimento do quadrado de um binómio Se conseguirmos identificar estes casos, não precisamos de aplicar a fórmula resolvente. Repara: 036244 2 =++ xx 6262224 636 24 :.º1 2 porxdedobrooéxx dequadradooé xdequadradooéx equaçãodamembrooObserva ××= ( ) ⇔=+⇔=++ 062036244 , 22 xxx Logo 33 6262 062062 −=∨−=⇔ ⇔−=∨−=⇔ ⇔=+∨=+⇔ xx xx xx { }3−=S Surgiram duas soluções (ou raízes) iguais. Diz-se que -3 é uma solução ou raiz dupla.
  • 23.
    Equações em queo 1.º membro não é o desenvolvimento do quadrado de um binómio, como no primeiro caso que resolvemos, encontram-se as raízes, aplicando a fórmula resolvente. Nota:Nota: É possível resolver sempre qualquer equação do 2.º grau ,É possível resolver sempre qualquer equação do 2.º grau , completa ou incompleta , pela fórmula resolvente.completa ou incompleta , pela fórmula resolvente. ⇔=− 074 2 x 7 0 4 −= = = c b a a acbb x 2 42 −±− = ( ) 8 112 8 112 8 112 42 74400 2 −=∨=⇔ ⇔ ± =⇔ ⇔ × −××−± =⇔ xx x x
  • 24.
    Mas, é muitomais simples, resolver aplicando de imediato, a definição da raiz quadrada: 4 7 4 7 4 7 4 7 74074 2 22 −=∨=⇔ ⇔±=⇔=⇔ ⇔=⇔=− xx xx xx É óbvio que: 8 112 4 7 =       ±= 8 112 .S
  • 25.
  • 26.
    Muito Importante: Ao resolveruma equação do 2.º grau, deve-se procurar sempre utilizar o processo mais simples: Definição de raiz quadrada. Lei do anulamento do produto.  Fórmula resolvente.
  • 27.
    NÚMERO DE SOLUÇÕESDE UMA EQUAÇÃO DO 2.º GRAUNÚMERO DE SOLUÇÕES DE UMA EQUAÇÃO DO 2.º GRAU 07152 2 =+− xx 09124 2 =−+− xx 01513 2 =−+− xx Resolve, utilizando a fórmula resolvente, cada uma das seguintes equações.       = =∨=⇔ ⇔ − =∨ + =⇔ ⇔ ± =⇔ ⇔ −± =⇔ ⇔=+− 7, 2 1 2 17 4 1315 4 1315 4 16915 4 5622515 07152 2 S xx xx x x xx       = =∨=⇔ ⇔ − −− =∨ − +− =⇔ ⇔ − ±− =⇔ ⇔ − −±− =⇔ ⇔=−+− 2 3 2 3 2 3 8 012 8 012 8 012 8 14414412 09124 2 S xx xx x x xx 26 275 26 52255 01513 2 − −±− =⇔ ⇔ − −±− =⇔ ⇔=−+− x x xx A equação tem duas raízes diferentes. A equação tem uma raiz dupla ou duas raízes iguais. A equação não tem solução. É impossível em R . S={ } Como não há nenhum número real que elevado ao quadrado dê um número negativo, a ex- pressão não tem significadonão tem significado em R.em R.
  • 28.
    Uma equação do2.º grau pode portanto, ter 2 soluções diferentes2 soluções diferentes, 11 solução (ou duas soluções iguais)solução (ou duas soluções iguais) ou não ter soluções.não ter soluções. Observando a resolução destas equações podemos verificar que o número de soluções depende do cálculo da raiz. Sem resolver a equação, como podemos saber o número deSem resolver a equação, como podemos saber o número de raízes?raízes? a acbb 2 42 −±− acb 42 − Se pensarmos que na fórmula resolvente, , verificamos que a expressão que determina o número de raízes de uma equação, é: À expressão chama-se BINÓMIOBINÓMIO DISCRIMINANTEDISCRIMINANTE por discriminar o número de soluções de uma equação do 2.º grau. Representa-se por (letra grega que se lê delta). acb 42 − ∆ acb 42 −=∆
  • 29.
    Δ = b2 -4ac Podemos agora, escrever a Fórmula de Bhaskara, da seguinte forma: De acordo com o binómio discriminnte, temos três casos a considerar: a b x a acbb x 22 42 ∆±− =⇔ −±− = 1º Caso: Se Δ > 0, a equação tem duas soluções diferentes. 2º Caso: Se Δ = 0, a equação duas soluções iguais, (raiz dupla). 3º Caso: Se Δ < 0, a equação não tem raízes. Equação impossível em R.
  • 30.
    Δ > OΔ = O Δ < O O valor de √Δ é realreal e a equação tem duas raízes reaisduas raízes reais diferentes, assim representadas: O valor de √Δ é nuloé nulo e a equação tem duas raízes reaisduas raízes reais e iguais (solução dupla), assim representadas: O valor de √Δ não existe em IR, não existindo, portanto, raízes reais. Em R a equação é impossível S= As raízes da equação são número complexos.a acbb x a acbb x 2 4 ' 2 4 2 2 −−− = ∨ −+− = a b xx 2 ' −== ∅
  • 31.
    Se, dada umadeterminada equação, pretendermos saber apenas o número de soluções (e não necessariamente quais as soluções), basta determinar o binómio discriminante. Δ = b2 - 4ac
  • 32.
    Gráfico de umaequação do 2.º grauGráfico de uma equação do 2.º grau A representação gráfica de uma equação do 2.º grau é uma curva que se denomina parábola.
  • 33.
    Relações entre osCoeficientes e as Raízes 1ª Relação: Soma das Raízes (S) a b a b a bb a bb a b a b xx −= − = −− = ∆−−∆+− = ∆−− + ∆+− =+ 2 2 2222 ' 2 202 2 202 0422 − =∨ + =⇔=−− xxxx Concretamente: 2 202202 2 202 2 202 −++ = − + + a b −⇒= 2 2 4
  • 34.
    2ª Relação: Produtodas Raízes (P) ( )( ) 2 2 2 4422 ' a b a bb a b a b xx ∆− = ∆−−∆+− = ∆−− × ∆+− =× Mas como , podemos escrever:acb 42 −=∆ ( ) a c aa ac a acbb a acbb a b == +− = −− = ∆− 4 4 4 4 4 4 4 2 22 2 22 2 2
  • 35.
    2 202 2 202 0422 − =∨ + =⇔=−− xxxx Concretamente: ()( ) 4 202202 2 202 2 202 −+ = − × + a c ⇒−=−= − = 4 4 16 4 204
  • 36.
    Relações entre osCoeficientes e as Raízes Soma das RaízesSoma das Raízes: É representada pela letra S. S =-b/a Obviamente, se a=1, S=-b Produto das RaízesProduto das Raízes: É representado pela letra P. P = c/aP = c/a Se a=1, P=c
  • 37.
    Composição de umaEquação do 2º Grau, conhecidas as Raízes Considera a equação do 2º grau ax2 + bx + c = 0. Dividindo todos os termos por a, a ≠ 0, obtemos: 000 2 2 2 =++⇔=++⇔=++ a c x a b x a c a bx a ax cbxax Como: S =-b/a e P = c/a, podemos escrever a equação desta maneira: x2 - Sx + P = 0 Para que serve tudo isto?Para que serve tudo isto? O conhecimento destas relações permite-nos rapidamente escrever uma equação conhecidas as suas soluções e resolver mentalmente algumas equações.
  • 38.
    04032 =−+ xx Exemplos:Exemplos: { }5,8..−=SC Somando (S) as duas soluções vem -8 + 5 =Somando (S) as duas soluções vem -8 + 5 = -3-3 Fazendo o produto (P) obtemosFazendo o produto (P) obtemos 4058 −=×− Comparemos agora os valores obtidos com a nossa equação inicial. 02 =+− PSxx . S=-b/a P=c/a 02 =++ a c x a b x
  • 39.
    Vejamos ainda umoutro exemplo: 0844 2 =−− xx CS= {-1, 2} S= 1S= 1 P=-2P=-2 1 4 4 = − −=−= a b S 2 4 8 −= − == a c P Neste caso verificamos que, Podemos então concluir: Numa equação do 2.º grau, temos que a soma das soluções é igual a e o produto é igual a .       − a b       a c ( )002 ≠=++ acomcbxax 020 4 8 4 4 4 4 2 2 =−−⇔=−− xx xx
  • 40.
    Escreve uma equaçãodo 2.º grau cujas raízes são -2 e 7.     A soma das raízes corresponde a:   S = -2 + 7 = 5   O produto das raízes corresponde a:   P = -2 . 7 = -14   A equação é dada por x2 - Sx + P = 0, onde S = 5 e P = -14.   Logo, x2 - 5x - 14 = 0 é a equação procurada. Exercício:
  • 41.
    Escreve uma equaçãocuja: Exercício: a) solução seja 5 e 10. S = 15 P = 50 En tão, 050152 =+− xx b) solução seja e -6. S = -11/2 P = -3 Então: 2 1 03 2 112 =−+ xx
  • 42.
    Resolve mentalmente aequação 094 2 =−x S = 0 P = - 9/4 É necessário descobrir dois números cujo produto dê -9/4 e a soma dê 0. Assim: S =       − 2 3 , 2 3 Exercício:
  • 43.
    Resolução de problemas queenvolvem equações do 2.º grau.
  • 44.
    Existem numerosos evariadíssimos problemas que se traduzem matematicamente por equações do 2.º grau, cuja resolução permite, portanto, encontrar as respostas procuradas. Chamam-se por isso problemas do 2.º grau. Recordemos como se equaciona um problema e de que forma se pode resolver. PROBLEM A EQUAÇÃO SOLUÇÕES DA EQUAÇÃO ANÁLISE DAS SOLUÇÕES DA EQUAÇÃO NO CONTEXTO DO PROBLEMA SOLUÇÕES DO PROBLEMA
  • 45.
    A Rita étrês anos mais nova que a sua irmã e o produto das suas idades é 18. Quantos anos tem a Rita? Exemplo 1 Resolução: x 3+x Traduzindo em linguagem matemática, vem: Idade da Rita- Idade da irmã da Rita- ou Idade da Rita- Idade da irmã da Rita- x 3−x Equacionando o problema e resolvendo a equação: ( ) 36 2 93 2 93 2 93 2 7293 0183183 2 =∨−=⇔ ⇔ +− =∨ −− =⇔ ⇔ ±− =⇔ +±− =⇔ ⇔=−+⇔=+ xx xx xx xxxx A equação tem duas soluções, mas apenas umaapenas uma é solução do problema, atendendo que a idade da Rita só pode ser 3. R.: A Rita tem 3 anos e a irmã tem 6 anos.
  • 46.
    Exemplo 2 De umcampo de voleibol sabemos que o seu perímetro mede 27 metros e a sua área mede 40,5 metros quadrados. Quais são as dimensões do campo? Resolução: x 2722 =+ yx 5,40=xy Traduzindo para linguagem matemática, vem: Largura- Comprimento: y Perímetro: Área: ( ) ( )         = ==        = ∨ ==        =∨= ⇔      =+− ⇔      =+ ⇔         =+ ⇔          =+      ⇔ =      =+ ⇔ = ×× 5,4 9 5,4 5,40 9 5,4 9 5,40 5,49 ________ 081272 _______ 27281 _______ 272 81 ______ 272 5,40 2 5,40 2722 5,40 22 y x y x yy yyyyy y y y y x yx xy yy R.: As dimensões do camp o de voleibol são 4,5 por 9 metros.
  • 47.
    Problema do cadernode actividades página 80. 23. A figura representa a trajectória de um foguete que o Jorge lançou no arraial de S. João. 23.1 Qual foi a altura máxima atingida pelo foguete? 23.2 A que altura se encontrava o foguete decorridos 2 segundos? E 10 segundos? 23.4 Onde se encontrava o foguete nos instantes t=0 e t=12? 23.5 Sabendo que a atura atingida pelo foguete é dada pela expressão , confirma, analiticamente, o momento de chegada ao solo. ttth 605)( 2 +−= 23.3 Qual o valor de h(0)? Explica o significado da afirmação: «h(t)=0 quando t=0.»
  • 48.
    30. Num referencialortonormado xOy, está representada parte do gráfico da função: 85 2 )( 2 −+−= x x xf No mesmo referencial está também representado um triângulo [ABC], cujos vértices pertencem ao gráfico da função f. Determina a área do triângulo [ABC].
  • 49.
    9. Um campeãode saltos de trampolim, decide preparar uma série de saltos para uma competição. A figura mostra um desses saltos cuja trajectória é dada pela expressão (h em metros e t em segundos).76)( 2 ++−= ttth 9.1 Determina a altura do topo da prancha até ao solo. 9.2 Determina o instante em que o campeão penetra na água. 9.3 A que altura do solo está o atleta ao fim de 2 segundos?
  • 50.
    32. A Ritasaiu de casa para visitar a avó. A distância d, em quilómetros, que a Rita tem de percorrer para chegar à casa da avó, t horas após ter iniciado a caminhada é dada pela expressão: 6)( 2 +−−= tttd Numa pequena composição, explica os seguintes aspectos: •a distância que a Rita percorreu até chegar á casa da avó; •O tempo que demorou a chegar à casa da avó; •O valor de d(1), indicando o seu significado no contexto do problema.
  • 51.
    31. Um fioencontra-se suspenso entre dois postes. A distância entre ambos é de 18 metros. Considera a função f definida por: ( ) 26 12 1 )( 2 +−= xxf Admite que f(x) é a distância do solo, em metros, do ponto do fio situado a y metros à direita do 1.º poste. 31.1 Mostra que a altura do 1.º poste é 5 metros e a altura do 2.º poste é 14 metros. 31.2 Calcula o valor de y, sabendo que o ponto do fio correspondente está à mesma altura do solo que o primeiro poste.