OTÁVIO LUCIANO CAMARGO SALES DE MAGALHÃES 1
OTÁVIO LUCIANO CAMARGO SALES DE MAGALHÃES 2
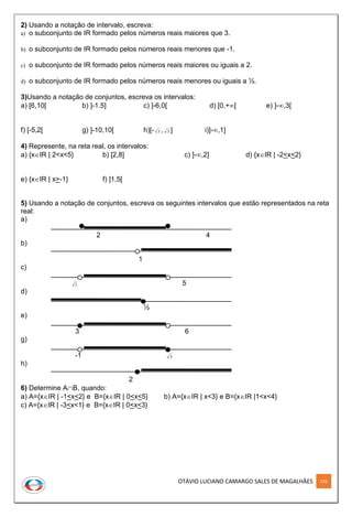
CONCEITO DE FRAÇÕES
1) Diga qual é a fração da figura correspondente à parte pintada?
A B C
D E F
G H I
J K L
M
Imagem de Bertoni (2009)
N
Imagem de Bertoni (2009)
O
Imagem de Bertoni (2009)
P Q R
OTÁVIO LUCIANO CAMARGO SALES DE MAGALHÃES 3
2) Escreva como fração imprópria e como número misto as partes coloridas:
A B
C E
F G
I J
K L
3) É correto dizer que a fração pintada na figura abaixo é 2/5? Explique.
4) Abaixo um bolo foi dividido em 10 partes. Comemos 5 partes. Qual fração sobrou? (Adaptado
de Bertoni, 2009).
5) Qual fração do queijo abaixo foi comida? (Adaptado de Bertoni, 2009).
BERTONI, Nilza Eigenheer. Módulo VI: Educação e linguagem matemática IV. Brasília: UnB,
2009.
OTÁVIO LUCIANO CAMARGO SALES DE MAGALHÃES 4
6) a) Abaixo, a representação das melancias em um balcão de mercadinho. Qual é a fração de
melancias nesse balcão? (Adaptado de Bertoni, 2009).
b) Se cada melancia custa R$ 12,00, qual é o preço de todas as melancias sobre o balcão?
7) Que fração do círculo representam os desenhos abaixo? (Adaptado de Bertoni, 2009)
8) (Olimpíada de Matemática de Escola Pública do Ceará – 5ª série – 2003) A fração
que representa a parte destacada da malha quadriculada é:
a)
2
1
b)
12
4
c)
16
5
d)
4
1
e)
4
3
9) (Avaliação do SAEB – 4ª série – 2001) O desenho representa uma torta dividida
em partes iguais. Ana comeu a parte escura. Que fração da torta Ana comeu?
a) ¼ b) ¾ c) 3/3 d) 4/3
10) (Avaliação do SAEB – 4ª série – 2001) Observe a torta de morangos que Letícia
fez. Ela dividiu a torta em 8 partes iguais e comeu 3 partes desta torta. Qual a fração
que representa as partes que ela comeu?
a) 3/8 b) 5/8 c) 8/5 d) 8/3
12) (Avaliação do SAEB – 4ª série – 2001) Para fazer uma horta, Marcelo dividiu um terreno em
7 partes iguais. Em cada uma das partes, ele plantará um tipo de semente. Que fração representará
cada uma das partes dessa horta?
a) 1/7 b) 2/7 c) 7/1 d) 7/7
13) (Avaliação do SARESP 2000 – 5ª série - Diurno) Um quadrado maior foi dividido em
quadradinhos.
Colorindo 4 desses quadradinhos, terei pintado:
a) a metade do quadrado maior b) a terça parte do quadrado maior
c) 5/9 de todo o quadrado maior d) 4/9 do quadrado maior
14) (Exame de Seleção do Centro Estadual de Educação Paula Souza – Ensino Médio – SP/2º
2003) O Brasil tinha 130 projetos de manejo da madeira (mogno) em andamento. Desse total, 110
foram cancelados, a maioria por irregularidades. A madeira se tornou alvo de saqueadores – o que
amplia o risco de sua extinção, mesmo porque o crescimento do mogno é lento: só atinge o
diâmetro ideal, de cerca de um metro, em oitenta anos. (Adaptado Veja. Edição 1769. 18/09/02)
Considere um certo terreno retangular ABCD da floresta onde foi implementado um projeto
para replantar árvores de mogno. O terreno da plantação é triangular conforme a figura, a
seguir:
A área triangular, em destaque, corresponde à seguinte fração da área
do terreno retangular ABCD:
a) 1/4 b) 1/5 c) 1/6 d) 1/8 e) 1/10
OTÁVIO LUCIANO CAMARGO SALES DE MAGALHÃES 5
15) (XXVI Olimpíada Brasileira de Matemática – Nível 1 – 1a fase – 2004) Dezoito quadrados
iguais são construídos e sombreados como mostra a figura. Qual fração da área total é sombreada?
a) 7/18 b) 4/9 c) 1/3 d) 5/9 e) ½
16) (Sistema Mineiro de Avaliação – SIMAVE) Observe o retângulo
Que fração representa a parte pintada desse retângulo?
a) 3/5 b) 3/8 c) 5/3 d) 8/3
17) (Sistema Mineiro de Avaliação – SIMAVE) A avó de Alan fez um bolo. Ela
dividiu o bolo em 8 pedaços iguais e Alan comeu 3 pedaços. Observe a
representação do bolo na figura.
A fração que representa a parte do bolo que Alan comeu é:
a) 3/3 b) 3/5 c) 3/8 d) 5/3
FRAÇÕES IMPRÓPRIAS
1) Desenhe as frações impróprias e transforme em número misto:
a) 4/3 b) 12/5 c) 16/8 d) 10/3
2) Desenhe os números mistos e os transforme em fração imprópria:
a) 2
1
3
b) 1
2
3
c) 3
1
2
d) 1
2
5
e) 1
3
4
f) 2
3
5
g) 4
1
2
h) 4
2
3
3) Escreva a quantidade de laranjas na forma de fração imprópria e de número misto (adaptada
de Andrini, 2012):
4) Observe: Do livro de Andrini (2012)
E agora faça o mesmo:
ANDRINI, Álvaro; VASCONCELOS, Maria José. Praticando Matemática, 6. 3ª ed – renovada.
São Paulo: Editora do Brasil, 2012.
OTÁVIO LUCIANO CAMARGO SALES DE MAGALHÃES 6
5) Situe o número
15
2
entre dois números inteiros.
6) Transforme as seguintes frações impróprias em números mistos:
a)
4
7
b)
5
8
c)
2
3
d)
3
11
7) Transforme os números mistos em frações impróprias:
a)
4
1
2 b)
4
3
3
c)
2
1
1 d)
4
3
1
8) Transforme a fração
7
1000
em número misto.
9) Transforme a fração
100
1
2 em fração imprópria.
FRAÇÃO DE UMA QUANTIDADE
1) Calcule, utilizando desenhos:
a) 1/3 de 60 b) 1/4 de 100 c) 1/5 de 55 d) 1/2 de 100
e) 2/3 de 90 f) 3/5 de 100 g) 4/7 de 140 h) 2/5 de 80
2) Quanto é:
a) 2/3 de 1 hora? b) 3/8 de 1 dia?
c) 3/4 de 1 ano? d) 2/5 de 1 década?
3) Encontre:
a)
4
1
de 200 b)
5
3
de 75
c)
7
3
de 51 d)
3
2
de 1 hora
OTÁVIO LUCIANO CAMARGO SALES DE MAGALHÃES 7
4) (Avaliação do SARESP 1998 – 5ª série - Diurno) Na portaria de um prédio chegaram, certo
dia, 65 cartas. Desse total, 1/5 era para ser entregue no 1º andar. Qual era o número de cartas para
ser entregue nos outros andares?
a) 20 b) 35 c) 48 d) 52
5) Uma pizzaria tem uma frota de 12 motos para fazer entregas a domicílio. Dois terços dessa
frota são pilotados por garotas. Nessa frota, quantas motos são pilotadas por garotas?
6)Fui artilheiro do campeonato de futebol de salão da escola. Marquei 1/3 dos 18 gols que meu
time fez. Quantos gols marquei?
7) O tanque de um carro tem capacidade para 52 litros de álcool. Quando o ponteiro indica que o
combustível ocupa ¾ do tanque, quantos litros de álcool há nele?
8) Dado o desenho, pinte as frações correspondentes
A) 1/2 B) 2/4 C) 3/6 D) 6/12
E) 1/3 F) 2/6 G) 4/12 D) 1/12
Qual fração é maior ½ ou 1/3?
9) Na vida real, “fração” significa “parte”. E na Matemática?
10) (Concurso Público para Professor de 1ª à 4ª série – Prefeitura Cidade do Rio de
Janeiro/2001?) Numa seção eleitoral havia 252 eleitores inscritos para votar. Votaram cinco nonos
deles. Quantos eleitores não foram votar?
a) 140 b) 150 c) 100 d) 112
11) (Concurso de Fiscal de Serviços Públicos – Prefeitura Municipal de São Carlos / 2002)
João recebe R$ 990,00 por mês, e 3/5 dessa quantia equivalem a 2/3 do que recebe seu irmão.
Portanto, o irmão de João recebe, por mês,
a) R$ 920,00b) R$ 909,00c) R$ 891,00 d) R$ 594,00e) R$ 396,00
OTÁVIO LUCIANO CAMARGO SALES DE MAGALHÃES 8
12) (Concurso Professor Orientador de Aprendizagem Telecurso 2000 Ensino Médio– SESI-
SP/2004) Uma balança registra 1115 g quando sobre seu prato é colocado uma jarra cheia de
água. Retirando-se 1/3 da água da jarra, a balança passa a registrar 930 g. A massa da jarra vazia
é, em gramas, igual a:
a) 185 b) 370 c) 555 d) 560 e) 655
13) (Avaliação do SARESP 1998 – 5ª série - Diurno) Na portaria de um prédio chegaram, certo
dia, 65 cartas. Desse total, 1/5 era para ser entregue no 1º andar. Qual era o número de cartas para
ser entregue nos outros andares?
a) 20 b) 35 c) 48 d) 52
14) (Avaliação do SARESP 1998 – 5ª série - Diurno) Uma dona de casa serve suco todos os dias
no almoço. A jarra que ela utiliza é retangular e tem capacidade para 3 litros. Ontem havia ½ jarra
de suco. Qual a quantidade de suco contida na jarra?
a) 1,5 litros b) 2,0 litros c) 2,5 litros d) 3,0 litros
15) (Exame de Seleção Escola Agrotécnica Federal de Muzambinho – 1o semestre / 1998) No
posto de venda desta Escola foram vendidos 40 kg de carne bovina, o que corresponde a 5/8 do
estoque. Quantos quilogramas restam?
a) 14 kg b) 24 kg c) 25 kg d) 30 kg e) 64 kg
16) (Avaliação do SARESP 1998 – 5ª série - Diurno) Eu tenho 1320 figurinhas. Meu primo tem a
metade do que tenho. Minha irmã tem o triplo das figurinhas do meu primo. Quantas figurinhas
minha irmã tem?
a) 1900 b) 1930 c) 1940 d) 1980
17) (UNICAMP – 1989) Uma lanchonete vende hambúrgueres a Cz$ 600,00 cada um. Sabendo-
se que 1/5 desse preço é o custo do pão e dos demais ingredientes e que 1/3 corresponde às
outras despesas, calcule o lucro obtido na venda de cada hambúrguer.
OTÁVIO LUCIANO CAMARGO SALES DE MAGALHÃES 9
FRAÇÕES EQUIVALENTES
1) Verifique com desenhos que são equivalentes 2/3, 4/6, 6/9 e 8/12.
2) Ache a classe de equivalência de:
a) 5/9 b) 7/13
3) (Avaliação do SARESP 2000 – 5ª série - Diurno) Quais são as três frações equivalentes a ½?
a) 2/4, 3/5, 4/6 b) 2/4, 5/10, 6/12 c) 3/6, 4/10, 6/12 d) 3/7, 5/8, 2/4
4) Simplifique as frações:
a)
16
24
b)
25
100
c)
108
216
d)
16
40
e)
25
55
f)
26
39
g)
144
192
5) Simplifique as frações:
a)
32
24
b)
105
35
c)
216
144
d)
170
51
e)
95
77
REVISANDO E COMPLEMENTANDO
6) a) Transforme
4
3
2 em fração. b) Transforme
3
5
em número misto.
7) a) Dê um exemplo de fração entre 2 e 3.
b) Por que
2
1
é menor que
3
2
?
8) Calcule:
a) ½ de 200 b) 2/4 de 200 c) 4/8 de 200 d) 5/10 de 200
OTÁVIO LUCIANO CAMARGO SALES DE MAGALHÃES 10
9) (Exame de Seleção Colégio Técnico Industrial de Limeira/Unicamp-2001) Para o próximo
verão, a fábrica de sorvetes "Qui-Gostinho" pretende lançar a campanha "NÃO POLUA AS RUAS
DA CIDADE", que permitirá a troca de 10 palitos de sorvete por um sorvete de palito. Pede-se:
a) a que fração de um sorvete corresponderá um palito? b) com 100 palitos, quantos sorvetes é
possível ganhar?
10) (Novo Matemática na Medida Certa – 5ª série – Centurión, Jakubo e Léllis) Malba Tahan
escreveu muitos livros contando histórias de matemática. A que vamos contar é uma delas, talvez
a mais conhecida. Tudo se passa num deserto.
“Um árabe deixará 35 camelos de herança para seus três filhos: 1/2 para o mais velho, 1/3 para
o do meio e 1/9 para o outro. Não conseguindo dividir 35 por 2, nem por 3, nem por 9, os irmãos
começaram a brigar. Um viajante que passava pelo local resolveu o problema da seguinte
maneira: primeiro, deu um dos camelos aos três irmãos. A herança passou a ser, então, 36
camelos. O mais velho recebeu 1/2 de 36, ou seja, 18 camelos; o do meio recebeu 1/3 de 36, ou
seja, 12 camelos; e o outro recebeu 1/9 de 36, ou seja, 4 camelos. Então, dos 36 camelos, os
irmãos levaram 34 camelos (18+12+4). O viajante pegou de volta o seu, escolheu o melhor dos
camelos da herança e, feliz, prosseguiu sua viagem: além de resolver o problema dos 3 irmãos,
ele ainda saiu ganhando um camelo”
Para esclarecer esse mistério, responda:
a) Se o árabe tivesse deixado 1/7 dos 35 camelos para cada filho, quantos dos 35 camelos
ficariam sem dono?
b) Se o árabe tivesse deixado 1/5 dos 35 camelos para cada filho, quantos dos 35 camelos
ficariam sem dono?
c) Para que uma parte da herança não fique sobrando, quando deve dar a soma das três
frações destinadas aos filhos? Isso acontece no problema?
Que fração da herança estava “sem dono”? Ela correspondia a mais do que um camelo?
11) (Avaliação do SARESP 2000 – 5ª série - Diurno) Todos os 240 lugares do cinema estavam
ocupados na sessão de domingo à tarde. ¾ das pessoas que assistiam ao filme eram meninas. Um
pouco antes de acabar a sessão o gerente do cinema ordenou ao porteiro:
- Por favor, pegue estes brindes e distribua na saída, um para cada menina; menino não ganha.
O porteiro olhou os brindes e retrucou:
- Mas aqui não há brindes suficientes para todas elas, pois o senhor pensou que metade das
pessoas seriam meninas, e isto não aconteceu.
Se o porteiro entregar um brinde para cada menina, quantas não ganharão?
a) 120 b) 80 c) 60 d) 40
12) Considere as frações: 10/16, 15/32, 60/64 e 80/128. Quais delas são equivalentes a 5/8?
13) Dê três exemplos de frações equivalentes a:
a) 2/7 b) 3/2
OTÁVIO LUCIANO CAMARGO SALES DE MAGALHÃES 11
14) Considere as frações: 6/10, 11/33, 12/25, 15/21, 16/35. Quais delas são irredutíveis?
15) Responda:
a) 5/7 de R$ 175,00 têm o mesmo valor que 25/35 de R$ 175,00?
b) 5/7 e 25/35 são frações equivalentes?
c) 2/3 de R$ 108,00 têm o mesmo valor que 10/12 de R$ 108,00?
d) 2/3 e 10/12 são frações equivalentes?
16) Coloque na forma irredutível (Simplifique)
a)
10
14
b)
39
65
c)
70
105
d)
75
105
17) Para se ter
3
4
=
15
𝑥
, que número deve ser colocado no lugar de x?
18) Calcule os valores desconhecidos:
a)
2
3
=
18
𝑥
b)
8
𝑥
=
24
33
c)
𝑥
9
=
5
3
d)
1
2
=
𝑥
10
19)Responda:
a) Um meio equivale a quantos oitavos?
b) Dois terços equivale a quantos nonos?
20) Responda:
a) 2/8 e 10/18 são equivalentes?
b) 2/3 e 14/21 são equivalentes?
c) 2/3 e 26/39 são equivalentes?
21) Considere as frações: 5/10, 10/20, 5/20, 3/8 e 35/70. Quais delas são equivalentes a ½.
OTÁVIO LUCIANO CAMARGO SALES DE MAGALHÃES 12
REVISÃO
1) Represente com figuras as seguintes frações:
a) ¼ b) ¾ c) 5/3
d) 7/2 e) 3/3
2) Represente cada fração dada com uma figura e, depois, escreva essa fração na forma mista.
a) 3/2 b) 8/3 c) 8/5
d) 7/4 e) 23/4
3) Escreva as frações impróprias na forma mista, sem fazer a figura (apenas imagine a figura):
a) 37/10 b) 18/7 c) 27/4 d) 9/8
e) 7/2 f) 29/10 g) 22/19 h) 15/4
4) Escreva na forma de fração:
16
7
e)1
2
1
d)7
6
5
c)1
10
4
b)3
3
1
2)a
4
1
i)3
3
1
h)3
4
3
g)2
8
7
f)5
16
7
1)e
5) Coloque na forma irredutível:
a)
55
60
b)
11
165
c)
75
175
d)
252
630
e)
175
140
f)
184
253
6) Calcule o valor de x:
a)
2
3
=
12
𝑥
b)
3
8
=
𝑥
40
c)
𝑥
20
=
2
5
d)
100
𝑥
=
20
50
e)
4
𝑥
=
1
4
f)
𝑥
37
=
403
481
7) a) Quanto é ¼ de R$ 17 000,00?
b) Quanto é
25
100
de R$ 17 000,00?
c) ¼ e
25
100
são frações equivalentes?
OTÁVIO LUCIANO CAMARGO SALES DE MAGALHÃES 13
8) (16ª Olimpíada Brasileira de Matemática – 1ª fase – Nível Júnior) É bem conhecida a
brincadeira na qual a “simplificação ilegal” dos 6’s na fração abaixo produz uma resposta correta:
4
1
46
61



. Assinale dentre as opções abaixo aquela em que todas as frações do conjunto podem ser
simplificadas dessa forma:
a) {49/84, 26/65, 35/56} b) {19/95, 49/98, 48/84} c) {49/98, 47/74, 19/95}
d) {26/65, 19/95, 27/75} e) {49/98, 19/95, 26/65}
9) Represente como desenho:
a)
4
7
4
3
1  b)
12
11
3
2
4
1

10) Uma pizzaria tem uma frota de 12 motos para fazer entregas a domicílio. Dois terços dessa
frota são pilotados por garotas. Nessa frota, quantas motos são pilotadas por
11) Fui artilheiro do campeonato de futebol de salão da escola. Marquei 1/3 dos 18 gols que meu
time fez. Quantos gols marquei?
12) O tanque de um carro tem capacidade para 52 litros de álcool. Quando o ponteiro indica que
o combustível ocupa ¾ do tanque, quantos litros de álcool há nele?
13) Quantos minutos tem ¾ de hora?
14) Estou viajando. Ontem percorri um quarto da estrada. Hoje percorri um terço do trecho que
faltava.
a) Faça um desenho representando a estrada. Nela indique os trechos que percorri ontem e
hoje.
b) Que fração da estrada me falta percorrer?
15) Havia um só chocolate para dois irmãos. O menor comeu ¾ do chocolate. Que fração sobrou
para o maior?
16) Divida a figura em 3 partes iguais. Depois, assinale 2/3 da figura.
17) Tenho um tio que reclama de tudo. Hoje ele reclamou que minha tia não trabalha e ainda gasta
2/3 do seu salário inutilmente. Eu perguntei quanto ele ganhava e ele respondeu: - A grande miséria
de R$ 1.011,00. Agora, calcule quanto minha tia gasta.
OTÁVIO LUCIANO CAMARGO SALES DE MAGALHÃES 14
18) Vinte carros iniciaram uma corrida, mas só ¼ deles a terminou. Quantos carros desistiram?
19) Eu sei que 1 quilograma tem 1 000 gramas. no açougue, alguém pediu ¾ de quilo de carne
moída. Quantos gramas têm ¾ de quilograma?
20) O ano tem 12 meses. Diga quantos meses há em:
a) 2/3 do ano b) ¾ do ano
21)O despertador tocou e eu nem me mexi. Meu avô gritou: - Levanta, Carla! Falta um quarto
para as seis. Isso significa: falta um quarto de hora para as seis horas. Então eram 5 horas e
quantos minutos?
22) Um jogo de futebol tem dois tempos, de 45 minutos cada. Diga quantos minutos de jogo já se
passaram, quando o locutor de rádio diz:
a) – Atingimos a terça parte do primeiro tempo!
b) – Atingimos a terça parte do segundo tempo!
c) – Atingimos a terça parte do jogo!
d) – Falta apenas a terça parte do segundo tempo!
23) Rogério fez 1/3 do trabalho, se cansou e deixou o restante para outra pessoa fazer. Faça um
desenho representando a parte do trabalho que Osvaldo fez. Depois, responda: que fração do
trabalho ainda precisa ser feita?
24) A metade da metade de uma figura é que fração dessa figura?
25) Estou viajando. Ontem percorri um quarto da estrada. Hoje percorri dois terços do trecho que
faltava.
a) Faça um desenho representando a estrada. Nele, indique os trechos que percorri ontem e
hoje.
b) Que fração da estrada me falta percorrer?
26) Considere as frações:
10
16
15
32
60
64
80
128
, , e
Quais delas são equivalentes a
5
8
?
27) Dê três exemplos de frações equivalentes a:
a)
2
7
b)
3
2
OTÁVIO LUCIANO CAMARGO SALES DE MAGALHÃES 15
28) Considere as frações:
6
10
11
33
12
25
15
21
, , , e
16
35
Quais delas são irredutíveis?
29) É correto afirmar que 100:12 dá a mesma resposta que 50:3? Justifique.
30) Tinha 144 balas e reparti igualmente entre 16 colegas. Para que outros 8 colegas recebessem
a mesma quantidade de balas que os anteriores, quantas deverei providenciar?
31) Coloque na forma irredutível:
a)
252
630
c)
175
140
b)
184
253
32) Vou te falar de 3 frações. Não sei se elas estão irredutíveis, mas eu quero que elas fiquem.
Puxa! Não sei por qual número eu divido os termos? Descubra para mim, se as frações são
irredutíveis, e, se não forem, reduzam à forma irredutível. As frações são
98
112
144
101
91
130
, e .
33) O filme que está em minha máquina fotográfica é de 36 poses. Eu já bati 7/9 das fotografias.
Quantos fotos já bati?
34) Minha classe tem 42 alunos. Hoje, com a greve dos motoristas de ônibus, 9/14 dos alunos
faltaram. Quantos alunos faltaram?
35) Um caminhoneiro está em uma viagem de 1000 quilômetros, já percorreu 3/8 dessa distância.
Quantos quilômetros ele já percorreu?
36) Estamos disputando uma partida num fliperama. Você tem 1450 pontos. Quanto aos meus
pontos, eles correspondem a 9/10 dos seus. Quantos pontos eu tenho?
37) O dono de uma fábrica declarou:
Tudo vai mal neste país. Em abril (deste ano), só vendemos 6/10 do que no mês de abril do ano
passado! Em abril do ano passado, essa fábrica vendeu 25 000 000 de chicletes. Quantos ela
vendeu em abril deste ano?
OTÁVIO LUCIANO CAMARGO SALES DE MAGALHÃES 16
38) Numa eleição, o total de votos foi 650 130. O candidato M. A. Landro teve 2/13 dos votos e o
candidato O. Nestor teve 3/5 dos votos. Quantos votos cada um deles recebeu?
39) O pessoal está jogando cartas. Carlos tem 5/6 dos pontos de Clarice, que tem 11/8 dos pontos
de João, que tem 6/3 dos pontos de Ana. Responda:
a) Carlos tem mais pontos que Clarice?
b) Clarice tem mais pontos que João?
c) João tem mais pontos que Ana?
d) Afinal, quem tem mais pontos: Carlos, Clarice, João ou Ana.
40) Num mês de 30 dias, diga quantos dias correspondem a:
a) 5/6 do mês b) 3/10 do mês
c) 8/15 do mês d) 19/30 do mês
41) Quantas horas tem 5/8 de um dia?
42) Com o dia de hoje, lá se vão 2/5 deste ano de 1994. Em que mês estávamos quando o
professor disse essa frase?
43) Um bolo foi dividido em 25 fatias: 15 finas (iguais) e 10 grossas (iguais). Cada fatia grossa
valia por duas finas.
a) Cada fatia fina é uma certa fração do bolo. Qual?
b) Cada fatia grossa é uma certa fração do bolo. Qual?
44) Sabendo que 8 alunos correspondem a ¼ de classe, diga quantos alunos tem essa classe.
45) Kelly está com 12 anos e tem um terço da idade de sua mãe. Qual é a idade dela?
46) Já consegui encaixar 25 peças de um quebra-cabeça, mas isso é apenas 1/6 do total.
Quantas peças tem esse quebra-cabeça?
47) Alexandre tem 1/5 do dinheiro que Strauss tem. Michael tem 1/3 do dinheiro que Strauss tem.
Alexandre tem R$ 30,00. Quanto têm os outros?
OTÁVIO LUCIANO CAMARGO SALES DE MAGALHÃES 17
48)Numa certa escola de samba, o pessoal da bateria representará 1/15 do total das pessoas que
desfilarão.
EXERCÍCIOS
1) Transforme as frações em números mistos:
a)
16
5
b)
11
2
c)
4
7
d)
5
8
e)
2
3
f)
3
11
g)
7
1000
2) Transforme os números mistos em fração:
a) 2
2
3
b) 3
3
4
c)
4
1
2 d)
4
3
3 e)
2
1
1
f)
100
1
2 g)
4
3
1
3) Simplifique as frações até elas ficarem na forma irredutível:
a)
120
150
b)
210
35
d)
32
24
e)
105
35
f)
216
144
g)
170
51
h)
95
77
4) Ache:
a)
4
1
de 200 b)
5
3
de 75 c)
7
3
de 51 d)
3
2
de 1 hora
5) Dê três exemplos de frações equivalentes a 3/10.
6) Responda:
d) 2/8 e 10/18 são equivalentes?
e) 2/3 e 14/21 são equivalentes?
f) 2/3 e 26/39 são equivalentes?
Uma forma de verificar
𝟐
𝟖
=
𝟏𝟎
𝟏𝟖
Multiplicando “em cruz” 2x18 e 8x10 não são iguais.
Então não são equivalentes!
OTÁVIO LUCIANO CAMARGO SALES DE MAGALHÃES 18
7) Considere as frações:
5/10, 10/20, 5/20, 3/8 e 35/70. Quais delas são equivalentes a ½.
8) Coloque na forma irredutível:
a)
55
60
b)
11
165
c)
75
175
d)
252
630
e)
175
140
f)
184
253
9) Calcule o valor de x:
a)
2
3
=
12
𝑥
b)
3
8
=
𝑥
40
c)
𝑥
20
=
2
5
d)
100
𝑥
=
20
50
e)
4
𝑥
=
1
4
f)
𝑥
37
=
403
481
10) a) Quanto é ¼ de R$ 17 000,00?
b) Quanto é 25/100 de R$ 17 000,00?
c) ¼ e 25/100 são frações equivalentes?
11) Sabendo que 8 alunos correspondem a ¼ de classe, diga quantos alunos tem essa classe.
12) Kelly está com 12 anos e tem um terço da idade de sua mãe. Qual é a idade dela?
14) Já consegui encaixar 25 peças de um quebra-cabeça, mas isso é apenas 1/6 do total. Quantas
peças tem esse quebra-cabeça?
15) Alexandre tem 1/5 do dinheiro que Strauss tem. Michael tem 1/3 do dinheiro que Strauss tem.
Alexandre tem R$ 30,00. Quanto têm os outros?
16) Numa certa escola de samba, o pessoal da bateria representará 1/15 do total das pessoas que
desfilarão.
PRATICANDO
1) Na minha festa de aniversário, vieram 15 amigos. Eles correspondem a 3/5 dos convidados.
Quantas pessoas convidei?
OTÁVIO LUCIANO CAMARGO SALES DE MAGALHÃES 19
2) Numa fábrica de brinquedos, uma das máquinas estava com defeito. Por isso, 140 brinquedos
se estragaram. Eles representavam 2/7 da produção do dia, Quantos brinquedos, no total, foram
produzidos nesse dia?
3) Romeu tem R$ 1 890,00. Isso é 7/9 do que tem Julieta. Quanto tem Julieta?
4) Num video game, o jogador tem certo número de mísseis para destruir as naves inimigas.
Restam 3/10 dos mísseis iniciais, e agora ele ainda tem 21 mísseis. Com quantos mísseis ele iniciou
o jogo?
5) Uma empresa de transportes coletivos vai muito mal: 13/20 dos seus ônibus estão quebrados.
Isso corresponde a 520 ônibus quebrados! Quantos ônibus tem essa empresa?
6) Para evitar problemas com a coluna, as crianças não devem carregar mais de 1/10 do seu próprio
peso. Adultos podem carregar até 1/5 do próprio peso. Sabendo disso, um adulto e uma criança
fizeram seus cálculos: ele pode carregar até 14 quilogramas e a criança até 4. Quantos quilogramas
têm esse adulto e essa criança?
7) Um professor disse a seus alunos que o próximo assunto seria tão difícil que 9/8 da classe não
iriam entender. Muitos alunos logo viram que o professor só estava brincando. Como eles
perceberam isso?
8) Num ônibus, há um cartaz mostrando a sua lotação máxima. Agora é horário de saída do
trabalho: no ônibus, estão 72 passageiros. Calcule a lotação máxima indicada no ônibus nos
seguintes casos:
a) os passageiros são 2/3 da lotação máxima escrita no cartaz
b) os passageiros são 3/2 da lotação máxima escrita no cartaz
9) Um grupo de 6 alunos pediu ao professor que elaborasse mais uma prova para a classe. O
professor disse: “- Vocês são apenas um quinto da classe. Só darei outra prova se metade da
classe pedir. Vocês não sabem o trabalho que dá para corrigir...”. Quantos alunos precisarão se
juntar ao grupo para que o professor dê a prova?
10) (Esse problema é bem antigo, é do ano de 1996 !) A estrada Muzambinho – Nova Resende,
de 30,8 quilômetros acaba de ser inaugurada. Só que é a terceira vez que isso acontece. Na
primeira vez, apenas 2/7 da estrada estavam asfaltados; na segunda, mais ¼ da estrada/ e, desta
vez, mais 2/11. Quantos quilômetros da estrada ainda estão sem asfalto?
11) Na Classe de Aurélia, os meninos estão em maioria: eles são 2/3 dos alunos da classe. Aurélia
disse que 2/7 desse meninos eram muito legais ( e contou à sua melhor amiga, Jaina: os muito
legais eram o Renan, o Bayron, o Douglas e o Tatá). Agora que a história se espalhou e já chegou
até você, responda:
a) Quantos meninos tem a classe?
b) Quantos alunos tem a classe?
OTÁVIO LUCIANO CAMARGO SALES DE MAGALHÃES 20
12) Desenhe dois losangos. No primeiro deles, assinale ¼ da figura, e no segundo, assinale ¾.
13) É correto afirmar que 3½=3+½ ? Favor Justificar!
14) Num certo país, o Congresso Nacional tem 450 membros. Eles elaboram:
1º) leis complementares (que não mudam a atual Constituição);
2º) emendas à Constituição (que a modificam).
Uma lei complementar é aprovada quando recebe mais da metade dos votos dos membros do
Congresso. Aprovar uma emenda é mais difícil: ela precisa obter dois terços dos votos dos
membros do Congresso. Calcule o número mínimo de votos necessários para se aprovar uma:
a) lei complementar b) emenda à Constituição
15) Calcule 4/11 do que eu tenho, sabendo que 2/3 do que eu tenho são R$ 132,00.
16) Eu tenho R$ 132,00. Calcule quanto Dayanna tem, sabendo que 2/3 do que eu tenho são 4/11
do que ela tem.
17) Li 60 páginas de um livro. Calcule quantas páginas tem o livro, nos seguintes casos:
a) as páginas que eu li correspondem a 4/15 do livro
b) as páginas que eu li correspondem a 4/15 das que faltam
c) as páginas que faltam correspondem a 4/15 das que eu li.
APLICAÇÃO DAS FRAÇÕES EQUIVALENTES
1) Considere as frações: ¼, ½, 2/5, 7/10, 13/20, 12/25 e 43/50. Escreva essas frações na forma de
taxa percentual.
2) Dividindo igualmente o conteúdo de 3 refrigerantes entre 4 pessoas, quanto cada uma receberá?
3) Dividindo igualmente 4 pizzas entre 7 pessoas, quanto cada uma receberá?
Veja bem! Se dividirmos 2:7 =
2
7
. Você consegue explicar o motivo? Tente entender com 3:2.
4) Cada divisão a seguir tem como quociente um número racional absoluto. Escreva-o da maneira
mais simples.
a) 1:6 b) 3:8 c) 2:4
d) 6:2 e) 3:10 f) 10:3
5) Dois chocolates estão sendo divididos entre 5 crianças.
a) Quantos chocolates estão sendo divididos? Isto é, qual é o dividendo?
b) Entre quantas crianças eles serão divididos? Isto é, qual é o divisor?
c) Qual é o resultado da divisão? Isto é, qual é o quociente?
OTÁVIO LUCIANO CAMARGO SALES DE MAGALHÃES 21
6) Quem é maior? Para saber, reduza as frações ao mesmo denominador.
a) 3/8 ou 5/6 b) 7/12 ou 11/20
c) 7/10 ou 13/20 d) 5/6 ou 6/5
7) Você pode pedir ¼ de quilograma de bolacha ou 1/5 de quilograma de bolacha. Se você quer a
maior quantidade, qual delas você deve escolher?
8) Quem é maior?
a) 1 ou 5/7 b) 12 ou 13/5 c) 3 ou 21/20
9) Escreva na ordem crescente as frações:
a) ½, 1/8 e 5/16 b) 3, ¾ ou 2/3
10) Escreva na ordem decrescente as frações
3/2, 1/3 ou 5/8
11) Compare, com >, < ou =:
a) 1/6 .... 1/8 b) 2 ... 7/3
c) 5/20 ... 6/24 d) 5/12 ... 7/16
12) Mentalmente, coloque em ordem crescente:
a) 1/3, 1/6, 1/12, 1/24, 1/48.
b) 1/5, 1/9, 1/21, 1/33, 1/4
13) Gal e Gil disputavam um torneio ortográfico. Primeiro, Gil ditou 50 palavras “difíceis”; Gal
escreveu corretamente 30 delas. Depois, foi a vez de Gal ditar 50 palavras. Mas, quando Gil
escreveu a quadragésima palavra, chegaram uns amigos e a brincadeira acabou. Gil tinha acertado
24 palavras e disse:
- Ganhei. Tenho a maior fração de acertos. Foi mesmo?
14) Um jogo que dura 3 horas tem 4 tempos de mesma duração.
a) Que fração de hora tem cada tempo?
b) Quantos minutos tem cada tempo?
OTÁVIO LUCIANO CAMARGO SALES DE MAGALHÃES 22
15) Escreva o número racional absoluto que é o quociente de:
a) 15 b) 510 c) 96
d) 96 e)182
16) O nome “número racional” não significa “número que pensa”. Qual é o significado da palavra
“racional” no nome “número racional”?
17) Cada fração a seguir representa algum número natural? Qual?
a) 18/3 b) 18/4 c) 7/1 d) 1/7 e) 9/3
18) Considere os números racionais: 5/7, 12/10, 3/3, 8/20, 13/18 e 18/9. Quais deles são menores
que 1?
19) No lugar de ...., o que se deve colocar: >, = ou >?
a) ¾ .... 7/10 b) 2/3....3/5
c) 13/20...3/5 d) 12/15....25/40
e) 16/20....20/25 f) 15/10....12/8
g) 2/11...3/13 h) 5 .... 27/2
20) Num jogo, Celso arremessou 44 bolas à cesta: acertou 14. Oshima arremessou 10: acertou 3.
Qual deles teve a maior fração de acertos?
21) A prova tinha 40 questões do mesmo valor. Vânia acertou 3/10 das questões; Maísa acertou
2/5. Por isso, suas notas foram 3/10 e 2/5 da nota máxima, que era 10 pontos.
a) Quanto vale cada questão? Responda com uma fração irredutível.
b) Quem teve nota maior: Vânia ou Maísa?
c) Quais são as notas que eles tiraram?
22) Seiscentas garrafas serão colocadas em engradados.
a) Quando, em cada engradado, couberam 24 garrafas, quantos engradados serão necessários?
b) Quando, em cada engradado, couberem 48 garrafas, o último engradado ficará incompleto. com
um número na forma mista, indique os engradados que serão necessários.
23) A distância entre duas cidades é de 325 quilômetros. Hoje, o trem que as liga viaja 65
quilômetros por hora. Planeja-se substituí-lo por um trem-bala, que viaja a 390 quilômetros por
hora.
a) Em quantas horas o trem atual faz a viagem?
b) Em que fração de hora o trem-bala a fará? Quantos minutos levará essa viagem?
OTÁVIO LUCIANO CAMARGO SALES DE MAGALHÃES 23
OTÁVIO LUCIANO CAMARGO SALES DE MAGALHÃES 24
ADIÇÃO E SUBTRAÇÃO DE FRAÇÕES
1) Efetue. Simplifique o resultado.
a)
1
8
+
2
3
19/24
b)
2
10
+
1
2
7/10
c)
2
12
+
1
24
3
d)2 +
1
3
7/3
e) 2
1
3
+ 1
3
4
49/12
f) 5
1
3
+ 2
3
4
97/12
g)
1
3
+
1
4
+
1
6
3/4
h)
2
5
+
1
4
+
3
2
+
4
9
467/180
i) 1
2
3
+ 2
1
7
+ 4
1
6
335/42
j)
2
7
−
1
10
13/70
k)
7
9
−
1
3
4/9
l)
12
5
−
2
3
26/15
m)
11
7
−
1
2
15/14
n) 2 −
1
4
7/4
o) 3
2
3
− 2
1
2
7/6
p)
1
4
+
2
3
−
1
2
5/12
q)
5
11
−
1
3
4/33
r)5 +
1
3
16/3
s)
3
4
+
2
5
23/20
t)
1
3
+
1
9
+
1
6
11/18
u)
5
9
+
7
5
88/45
v) 1
1
3
+
5
6
13/6
w)1 +
5
6
+
3
4
31/12
x) 1 +
7
9
16/9
y) 2
1
4
+ 1
1
6
41/12
z) 1
1
2
+ 3 +
2
3
31/6
2) Efetue. Simplifique o resultado.
a)
7
4
−
5
4
1/2
b) 3 −
2
3
7/3
c) 1 −
4
9
5/9
OTÁVIO LUCIANO CAMARGO SALES DE MAGALHÃES 25
d) 5 −
4
5
21/5
e) 2
1
3
−
5
6
3/2
f)
5
4
−
7
6
1/12
g) 1
3
10
−
3
4
11/20
h)
3
5
−
6
10
0
i) 4
1
2
− 1
3
4
11/4
j)
5
6
−
7
9
1/18
k) 2 −
7
8
+
1
2
13/8
l)
5
9
+
2
3
− 1 2/9
m)
2
5
+
1
4
−
3
10
7/20
n)
1
2
−
1
3
−
1
6
+
1
4
1/4
o)
1
3
+
1
4
7/12
p)
5
6
+
3
4
+
1
2
25/12
q) 3 +
1
3
+
1
2
23/6
r) 2 +
3
5
+ 1
1
2
41/10
s)
2
3
+
5
6
3/2
t) 2 +
5
3
11/3
u) 2
1
2
+ 1
2
3
25/6
v)
1
9
+ 1 + 1
1
6
41/18
w)
3
5
+
3
10
9/10
x) 3
1
3
+
3
4
49/12
y)
3
8
+
5
10
+
7
10
63/40
z)
1
3
+ 4 13/3
3) Efetue. Simplifique o resultado.
a)
1
3
−
1
4
1/12
b) 2 −
3
5
7/5
c)
5
4
−
1
4
1
d) 3 − 1
1
4
7/4
e) 4
1
2
− 2
1
3
13/6
f)
3
4
−
1
2
1/4
g) 2
1
2
− 1
2
3
5/6
OTÁVIO LUCIANO CAMARGO SALES DE MAGALHÃES 26
h) 2
2
5
− 1
3
10
11/10
i) 2
1
5
−
3
5
8/5
j)
2
3
+
1
4
−
1
2
5/12
k) 4 − 1
1
2
−
2
3
11/6
l)
1
2
+
1
3
+
1
4
−
1
5
77/60
m) 2
1
5
−
4
10
+
1
2
23/10
n)
1
9
+
5
6
−
7
12
13/36
o) 2 −
1
2
+
1
8
13/8
p) 2 +
5
6
−
7
12
9/4
q) 2 −
5
6
+
1
9
23/18
r) 2
1
2
−
5
3
+
5
4
−
1
3
7/4
OTÁVIO LUCIANO CAMARGO SALES DE MAGALHÃES 27
4) As duas adições são corretas:
Explique as vantagens do segundo método. (Adaptado do livro de Imenes & Lélis)
5) (Adaptado do livro de Imenes & Lélis) Sabendo que o mmc de 20 e 25 é 100, calcule:
6) Fábio comeu 1/3 do bolo e Matheus comeu ½ do bolo. Que fração do bolo restou?
7) (PUC-SP) A parte colorida representa que fração do círculo?
8) Represente através de uma fração as partes em destaque nas figuras e, em seguida, realize as
operações indicadas:
OTÁVIO LUCIANO CAMARGO SALES DE MAGALHÃES 28
MULTIPLICAÇÃO DE FRAÇÕES
1) Efetue as multiplicações, simplificando o resultado quando possível
a) 2 ×
3
5
6/5
b)
1
2
×
5
7
5/14
c)
7
3
×
4
5
28/15
d)
2
5
×
3
4
×
1
3
1/10
e) 4 ×
6
8
3
f)
4
3
×
6
5
8/5
g)
2
3
×
3
5
2/5
h) 2 ×
1
5
×
3
7
6/35
2) Calcule os produtos, efetuando o cancelamento quando possível
a)
3
4
×
4
7
3/7
b)
6
15
×
20
9
8/9
c)
1
2
×
3
5
×
2
3
1/5
d)
1
2
×
2
5
×
3
4
3/20
e)
5
8
×
8
3
5/3
f)
3
7
×
5
2
×
1
4
15/56
g)
2
7
×
2
3
4/21
h)
5
9
×
7
10
7/18
i)
1
3
×
1
8
1/24
j)
2
7
×
5
9
10/63
k)
3
4
×
2
3
1/2
l)
3
4
×
2
3
1/2
m)
5
4
×
4
5
1
n)
5
4
× 0 ×
2
7
0
o) 2 ×
3
5
×
1
2
×
2
8
3/20
p) 1
1
2
×
2
5
×
5
3
1
q) 2
1
3
×
8
21
×
13
4
26/9
3) Calcule
a)
3
4
+
5
6
19/12
b)
3
4
×
5
6
5/8
c)
1
5
+
3
10
1/2
OTÁVIO LUCIANO CAMARGO SALES DE MAGALHÃES 29
d)
1
5
×
3
10
3/50
e)
5
6
×
6
10
1/2
f)
5
6
+
6
10
43/30
4) Calcule o valor das expressões
a)
3
4
×
1
3
+
1
2
3/4
b)
5
8
−
1
3
×
2
5
59/120
c)
2
5
× 7 +
5
4
×
2
5
33/10
d)
9
4
×
1
2
−
2
7
×
7
3
11/24
e) 3 −
5
4
×
1
3
31/12
f)
2
5
×
5
3
+
1
6
5/6
g) 4 −
1
2
×
5
2
11
5) Se a=
5
3
+
1
2
e b=
3
4
−
1
2
Calcule
a) a×b b) a+b c) a+
1
3
Resp: a) 13/24; b) 29/12; c) 5/2
6) Calcule
a)
13
10
×
11
3
143/30
b) 5 ×
1
20
1/4
c)
14
5
×
10
21
4/3
d) 2 ×
3
8
3/4
e) 1
2
5
× 2
1
2
7/2
f) 2 ×
1
5
×
1
4
×
10
3
1/3
g)
3
4
×
4
7
×
7
5
3/5
h)
3
8
×
1
12
× 5 ×
4
5
1/8
7) Resolva as expressões numéricas
a)
1
2
−
1
2
×
1
3
1/3
b)
5
9
×
3
5
+
1
4
7/12
c) 1 −
2
5
×
5
8
3/4
d) 3 + 2 ×
1
6
10/3
e)
3
8
×
4
3
−
1
2
0
f)
1
2
×
1
4
+
5
3
×
1
5
11/24
g)
1
2
+
3
4
×
2
9
2/3
OTÁVIO LUCIANO CAMARGO SALES DE MAGALHÃES 30
h) 3 − 4 ×
5
8
1/2
i)
2
3
−
1
2
× 0 2/3
8) Ache:
a) 3/8 de 4/5 b) 5/4 de 12 c) 3/2 de 2/3 d) a quarta parte de 50
3/10 15 1 25/2
9) A Câmara dos Deputados possui 513 deputados federais. Para uma mudança na Constituição é
preciso a aprovação de pelo menos 3/5 dos deputados. Calcule o número mínimo de deputados
para aprovação de uma emenda constitucional.
10) (Saresp-SP) Um inspetor recebeu 120 pastas com contas para analisar. Na primeira semana,
analisou 2/3 do número total. Na segunda ¾ do restante. Quantas pastas ainda faltam para
analisar?
Resposta: 1/12
11) Calcule:
a) o dobro de 2/5 b) o triplo de 5/7
c) o quádruplo de 5/4 d) o quíntuplo de 1/5
Resposta:
4/5 15/7 5 1
12) Para efetuar
1
3
×
2
5
, pensamos em “um terço de vez os 2/5” ou “um terço de dois quintos”.
Observe as figuras:
Agora responda:
a) 1/3 de 2/5 corresponde a que fração da figura total?
b) Quanto é 1/3 x 2/5?
c) Quanto é 2/3 x 3/5?
(Adaptado do livro de Imenes & Lélis)
OTÁVIO LUCIANO CAMARGO SALES DE MAGALHÃES 31
13) De acordo com a receita do Bolo de Formigas, quantos gramas de farinha cabem numa xícara
comum? Dê uma resposta aproximada, com uma casa decimal. Ou seja, a escrita do número
termina nos décimos mais próximos do valor real.
(Adaptado do livro de Imenes & Lélis)
14) Observe a figura:
a) A que fração da figura corresponde ¼ de 2/3?
b) Quanto é ¼ x 2/3 ?
d) Use a imaginação com base no exercício anterior e tente achar 1/10 de 2/3 só pensando nos
desenhos.
e) Se n representar um número natural, quanto valerá 1/n de 2/3. Tente pensar no desenho
para responder.
(Adaptado do livro de Imenes & Lélis)
15) Veja uma receita de bolo:
Se você fizer essa receita, o bolo será suficiente para 6 pessoas. Escreva os ingredientes da
mesma receita para 12 pessoas.
(Adaptado de: http://emefrevdeiro.files.wordpress.com/2012/08/02_matematica_6ano.pdf)
16) Ontem, dormi ¼ das 24 horas do dia e estudei 1/6 do tempo que estive acordado.
a) Que fração das 24 horas do dia representa o tempo que estive acordado?
b) Que fração das 24 horas do dia representa o tempo que eu estudei?
c) Quanto tempo eu estudei?
(Adaptado de: http://emefrevdeiro.files.wordpress.com/2012/08/02_matematica_6ano.pdf)
OTÁVIO LUCIANO CAMARGO SALES DE MAGALHÃES 32
17) Uma viagem aérea de São Paulo até Aracajú tem aproximadamente, 2.200 km. Sabendo que
de São Paulo até o Rio de Janeiro tem-se 1/5 dessa distância, quantos quilômetros há entre essas
duas cidades?
(Adaptado de: http://emefrevdeiro.files.wordpress.com/2012/08/02_matematica_6ano.pdf)
18) Observe o gráfico:
a) Foi feito um levantamento e verificou-se que nos próximos três anos haverá um crescimento
de 1/3 da população. Qual será a nova população de cada cidade após 3 anos?
b) Após calcular a nova população de cada cidade, coloque esses valores em ordem crescente.
(Adaptado de: http://emefrevdeiro.files.wordpress.com/2012/08/02_matematica_6ano.pdf)
19) Para Danilo visitar sua avó, ele gasta durante a viagem ½ do tanque de combustível.
Observe o marcador e responda
a )Quanto restará de combustível no tanque?
b) Se o tanque de combustível cheio tem 56 litros, quantos litros ele
gastou na viagem?
(Adaptado de:
http://emefrevdeiro.files.wordpress.com/2012/08/02_matematica_6ano.pdf)
20) Para ladrilhar a sala de sua casa, Carol mediu o comprimento e a largura deste cômodo,
obtendo uma área total de 60 m2, como mostra a figura.
a) Após colocar 2/3 do piso, quantos m2 ainda faltam?
b) Se para cada 5 m2 de piso, utiliza-se 1 saco de argamassa, quantos sacos ela já utilizou para
colocar os 2/3 do piso?
(Adaptado de: http://emefrevdeiro.files.wordpress.com/2012/08/02_matematica_6ano.pdf)
OTÁVIO LUCIANO CAMARGO SALES DE MAGALHÃES 33
DIVISÃO DE FRAÇÕES
1) Calcule:
a)
2
5
÷
3
4
8/15
b)
5
3
÷
1
2
10/3
c)
3
8
÷
6
4
1/2
d)
1
9
÷ 1
1
3
1/12
e)
3
8
÷
2
7
21/16
f) 6 ÷
1
4
24
g)
9
5
÷
3
10
6
h)
3
10
÷
6
4
1/5
i)
1
6
÷
1
3
1/2
j)
2
9
÷
5
6
4/15
k) 2
1
2
÷
5
3
3/2
l)
1
8
÷ 2 1/16
m) 3:4 3/4
n) 5:3 5/3
o) 1:5 1/5
2) Efetue as divisões:
a)
3
5
4
7
21/20
b)
1
4
5
6
3/10
3) Calcule o valor das seguintes expressões:
a)
3
4
÷
2
5
+
7
2
43/8 b)
3
4
+
2
5
÷
7
2
121/140
c)
5
9
÷
5
12
−
5
6
½ d)
3
8
÷
5
8
×
5
7
3/7
OTÁVIO LUCIANO CAMARGO SALES DE MAGALHÃES 34
e)
2
9
×
3
2
÷
6
5
5/18 f)
5
8
÷ 2 ×
4
9
5/36
g) 3 ÷
9
5
+
5
4
35/12 h)
1
7
.
7
3
−
1
10
÷
1
2
2/15
i)
15
14
÷
10
21
−
11
9
÷
22
15
17/12 j)
1
5
÷
1
2
+
1
4
13/20
k)
5
9
÷
1
3
+
1
6
11/6 l) 2 −
3
4
÷
3
2
3/2
m)
3
5
−
5
7
÷
10
7
1/10 n)
3
8
÷
3
2
. 4 1
o)
2
3
÷
5
6
+
1
2
÷ 2 21/20 p)
2
3
+
1
4
1+
3
8
2/3
OTÁVIO LUCIANO CAMARGO SALES DE MAGALHÃES 35
q)
3−
3
5
1+
5
7
7/5 r)
2
3
.
3
4
2−
3
2
1
4) Jair comprou 50 quilos de salgadinho e dividiu essa quantidade em pacotes iguais de ½ quilo
cada. Quantos pacotes foram feitos?
(Adaptado de: http://emefrevdeiro.files.wordpress.com/2012/08/02_matematica_6ano.pdf)
Resposta: 100 (verifique fazendo os cálculos!)
5) Complete a tabela com os resultados:
(Adaptado de: http://emefrevdeiro.files.wordpress.com/2012/08/02_matematica_6ano.pdf)
Respostas: 3/5, 0, 9/16, 75/7
6) (Cesgranrio) Calcule o valor da expressão 1 + (
1
5
+
1
3
) : (
3
5
−
1
15
)
Resposta: 2
7) Gabriela dividiu 2/3 de sua mesada com seus 4 irmãos. Todos eles receberam partes iguais.
Que fração representa a quantidade recebida por cada irmão? 1/6
(Adaptado de: http://emefrevdeiro.files.wordpress.com/2012/08/02_matematica_6ano.pdf)
8) Calcule
a)
6
7
.
1
3
+
1
7
1
7
3
b)
6/5
1/36
+ 2 226/5
9) Quanto é? (Faça as contas!)
a) metade de 2/3 1/3 b) dobro de 2/3 4/3
c) terça parte de 1/5 1/15 d) o triplo de 1/5 3/5
OTÁVIO LUCIANO CAMARGO SALES DE MAGALHÃES 36
10) (Saresp) Um aluno fez uma pesquisa em 4 dias. No primeiro dia fez 2/10 do trabalho, no
segundo ½, no terceiro 1/10 e no quarto o restante. Que fração do trabalho ele fez no quarto dia?
1/5
11) Do salário de Marta, 1/3; é usado para pagar as contas, 1/8 para as compras e o restante com
passeios. Sabendo que Marta ganha R$ 1200,00 por mês, então quanto ela gasta com:
a) Contas
b) Compras
c) Passeios (Qual é a fração?)
12) Relacione a primeira com a segunda coluna:
(Adaptado de: http://emefrevdeiro.files.wordpress.com/2012/08/02_matematica_6ano.pdf)
13) Observe as frações:
a) Quantas vezes 1/3 cabe na unidade?
b) Quantas vezes ¼ cabe na unidade?
c) Quantas vezes 1/5 cabe na unidade?
d) Baseando nisso, diga quanto é 1:1/3, 1:1/4, 1:1/5.
e) Agora, use a imaginação e responda: quanto é 3:1/5?
f) Se n representa um número natural, quanto é n:1/5?
(Adaptado do livro de Imenes & Lélis)
14) Observe a figura e responda:
a) Quantas vezes 1/6 cabe em ½?
b) Quanto é ½:1/6?
(Adaptado do livro de Imenes & Lélis)
OTÁVIO LUCIANO CAMARGO SALES DE MAGALHÃES 37
NOÇÃO DE PORCENTAGEM
1) Escreva na forma de fração:
a) 25% b) 12% c)100%
d) 50% e) 150% f) 200%
2) Efetue
a) 15% de 100 b) 25% de 1000
c) 100% de 400 d) 50% de 1350
3) Uma mercadoria custa R$ 150,00 e tem um desconto de 20%. Qual será o preço dessa
mercadoria? 120
4)Dos alunos de um curso, 40% são mulheres. Sabendo que são 120 alunos, quantas são as
mulheres? 48
5) Pinte na malha o valor correspondente
(Adaptado de: http://emefrevdeiro.files.wordpress.com/2012/08/02_matematica_6ano.pdf)
6) Foi pesquisada a preferência de esportes numa escola:
Se essa escola tem 120 alunos, quantos preferem Futebol?
(Adaptado de: http://emefrevdeiro.files.wordpress.com/2012/08/02_matematica_6ano.pdf)
OTÁVIO LUCIANO CAMARGO SALES DE MAGALHÃES 38
7) Preencha a tabela:
(Adaptado de: http://emefrevdeiro.files.wordpress.com/2012/08/02_matematica_6ano.pdf)
8) Uma loja de roupas oferece 15% de desconto no total a pagar se o cliente comprar duas calças
jeans. Se o valor unitário das calças é R$ 45,00, quanto gastará uma pessoa que aproveitar essa
oferta? R$ 76,50 (Adaptado do livro de Imenes & Lélis)
9) Analise essa forma de calcular 31% de 520 reais:
Você conhece outras formas? (Adaptado do livro de Imenes & Lélis)
10)Quatro amigos gastaram R$ 26,90 em sanduíches e R$ 14,70 em sucos. A essas despesas
foram acrescentados 10% de gorjeta para o garçom. Eles dividiram em partes iguais. Quanto
cada um pagou? R$ 11,44 (Adaptado do livro de Imenes & Lélis)
11) Todo mês, José paga um aluguel de R$ 700,00 no 5º dia útil do mês. Neste mês, ele se
esqueceu de pagar na data certa e foi obrigado a pagar também uma multa de R$ 35,00. Esse
valor corresponde a quantos por cento do valor do aluguel? 5% (Adaptado do livro de Imenes &
Lélis)
12) Devido a fortes chuvas, o preço das verduras subiu muito na última semana. O pé de alface,
por exemplo, aumento de R$ 2,50 para R$ 3,20. De quanto por cento foi o aumento? 28%
(Adaptado do livro de Imenes & Lélis)
13) (Prova Brasil) Num jogo de futebol, compareceram 20.538 torcedores nas arquibancadas,
12.100 nas cadeiras numeradas e 32.070 nas gerais. Naquele jogo, apenas 20% dos torcedores
que compareceram ao estádio torciam pelo time que venceu a partida. Qual é o número
aproximado de torcedores que viram seu time vencer? 12.942
OTÁVIO LUCIANO CAMARGO SALES DE MAGALHÃES 39
14) (CAED) Para saber qual o esporte mais praticado pelos estudantes de uma escola, foi feita
uma pesquisa cujos resultados encontram-se representados no gráfico abaixo.
A) Nessa escola, a modalidade esportiva mais pratica pelos estudantes é ____________
B) Mais ou menos da metade dos estudantes praticam esse esporte? ____________
15) (Prova Brasil) Uma professora ganhou ingressos para levar 50% de seus alunos ao circo da
cidade. Considerando que essa professora leciona para 36 alunos, quantos alunos ela poderá
levar? 18
16) (Prova Brasil) Os alunos da 8ª série fizeram uma estimativa para 200 pessoas com base no
estudo abaixo
Que gráfico de barras melhor representa o estudo?
OTÁVIO LUCIANO CAMARGO SALES DE MAGALHÃES 40
17) (SIMAVE) Uma rede de supermercados resolveu fazer uma pesquisa para saber qual horário
as pessoas mais gostavam de ir ao supermercado. Foram entrevistadas 2.000 pessoas e o
resultado está no gráfico abaixo.
Durante qual horário a maioria das pessoas entrevistadas preferem ir ao supermercado?
GABARITO
10)Quatro amigos gastaram R$ 26,90 em sanduíches e R$ 14,70
em sucos. A essas despesas foram acrescentados 10% de gorjeta
para o garçom. Eles dividiram em partes iguais. Quanto cada um
pagou? R$ 11,44
(Adaptado do livro de Imenes & Lélis)
Gastos = R$ 26,90 + R$ 14,70 = R$ 41,60
Gorjeta 10% de 41,60 = R$ 4,16
Total: 41,60 + 4,16 = 45,76
45,76 ÷ 4= 11,44
Resposta: Cada amigo, pagou R$ 11,44
11) Todo mês, José paga um aluguel de R$ 700,00 no 5º dia útil do
mês. Neste mês, ele se esqueceu de pagar na data certa e foi
obrigado a pagar também uma multa de R$ 35,00. Esse valor
corresponde a quantos por cento do valor do aluguel? 5%
(Adaptado do livro de Imenes & Lélis)
35
700
=
5
100
= 5%
12) Devido a fortes chuvas, o preço das verduras subiu muito na
última semana. O pé de alface, por exemplo, aumento de R$ 2,50
para R$ 3,20. De quanto por cento foi o aumento? 28%
(Adaptado do livro de Imenes & Lélis)
2,50-3,20=0,70 Aumentou de 2,50 mais 0,70, ou seja, eu tenho a
fração 0,70/2,50
0,70
2,50
=
70
250
=
7
25
(Eu só simplifiquei!)
x4
7
25
=
𝑥
100
x4
X=28
Resposta 28%
13) (Prova Brasil) Num jogo de futebol, compareceram 20.538
torcedores nas arquibancadas, 12.100 nas cadeiras numeradas e
32.070 nas gerais. Naquele jogo, apenas 20% dos torcedores que
compareceram ao estádio torciam pelo time que venceu a partida.
Qual é o número aproximado de torcedores que viram seu time
vencer? 12.942
20.538+12.100+32.070=64.708 é o número de torcedores naquele
dia.
20% disso >>>> ????
10% de 64.708 é 6.470,8 (dividi por 10)
20% de 64.708 é 2 x 6.470,8 = 12.941,6
Resposta: 12.942 torcedores
OUTRO CÁLCULO
20
100
× 64.708 =
1294160
100
= 12941,6
Resposta: 12.942 torcedores
14) (CAED) Para saber qual o esporte mais praticado pelos
estudantes de uma escola, foi feita uma pesquisa cujos resultados
encontram-se representados no gráfico abaixo.
GRÁFICO DE SETORES OU DE PIZZA
a) Nessa escola, a modalidade esportiva mais pratica pelos
estudantes é ____Futebol_________
b) Mais ou menos da metade dos estudantes praticam esse
esporte? _____menos da metade_______
15) (Prova Brasil) Uma professora ganhou ingressos para levar 50%
de seus alunos ao circo da cidade. Considerando que essa
professora leciona para 36 alunos, quantos alunos ela poderá levar?
18
50% = metade
36 alunos – metade é 18
16) (Prova Brasil) Os alunos da 8ª série fizeram uma estimativa
para 200 pessoas com base no estudo abaixo
Que gráfico de barras melhor representa o estudo?
Estilo de vida 53% - 106
Assistência médica 10% - 20
Genética 17% - 34
Meio Ambiente 20% - 40
LETRA B
17) (SIMAVE) Uma rede de supermercados resolveu fazer uma
pesquisa para saber qual horário as pessoas mais gostavam de ir
ao supermercado. Foram entrevistadas 2.000 pessoas e o resultado
está no gráfico abaixo.
Durante qual horário a maioria das pessoas entrevistadas preferem
ir ao supermercado?
Das 8h às 12h
OTÁVIO LUCIANO CAMARGO SALES DE MAGALHÃES 41
POTENCIAÇÃO E FRAÇÕES
1) Calcule:
a) 02 b) 12 c) 22 d) 32 e) 42 f) 52 g) 62 h) 72
i) 82 j) 92 l) 102 m) 112 n) 122 o) 132 p) 142 q) 152
2) Calcule:
a) 03 b) 13 c) 23 d) 33 e) 43 f) 53 g) 63 h) 73
3) Calcule:
a) 22 b) 23 c) 24 d) 25 e) 26 f) 27 g) 28 h) 29
4) Calcule:
a) 53 b) 45 c) 63 d) 28 e) 95 f) 211 g) 142 h) 132
5) Calcule:
a) 722 b) 1442 c) 592
d) 193 e) 253 f) 115
6) Calcule:
a) 02 b) 03 c) 04 d) 05 e) 06 f) 07 g) 08 h) 09
7) Calcule:
a) 12 b) 13 c) 14 d) 15 e) 16 f) 17 g) 18 h) 19
8) Calcule:
a) 102 b) 103 c) 104 d) 105 e) 106 f) 107 g) 108
9) Verdadeiro ou falso?
a) 62=26 b) 153215=215153
10) Calcule:
a) 202 b) 302 c) 402 d) 502 e) 602 f) 702 g) 802 h) 902
11) Calcule:
a) 203 b) 303 c) 403 d) 503 e) 603 f) 703 g) 803 h) 903
12) Calcule:
a) 4004 b) 20000002
OTÁVIO LUCIANO CAMARGO SALES DE MAGALHÃES 42
13) Calcule:
a) 50 b) 120 c) 170 d) 100 e) 30 f) 150
14) Calcule:
a) 41 b) 61 c) 101 d) 171 e) 161 f) 121
15) Calcule:
a) 04 b) 125 c)50 d) 121
16) Calcule:
a)
2
3
2






b)
2
4
5






c)
2
11
1






d)
3
2
3






17)Calcule:
a)
2
5
4






b)
2
3
7






c)
2
5
1






d)
4
3
2






e)
6
2
1






18) Se
A=
2
3
2
4
1






 , B= 0
2
3
1
3
2
1







, C= 3
22
6
35 
, calcule A+B+C 4535/432
19) Atividade 1
Veja a tabela das potências de 2:
20=1 21=2 22=4 23=8 24=16 25=32
26=64 27=128 28=256 29=512 210=1024 211=2048
212=4096 213=8192 214=16384 215=32768 216=65536 217=131072
218=262144 219=524288 220=1048576 221=2097152 222=4194304 223=8388608
Siga o exemplo (Use calculadora):
212x210=4096x1024=8388608
a) 29x211 b) 221:211 c) (24)2 d) 25.23.2 e) 222:2
20) Atividade 2
Siga o exemplo:
25.27=(2.2.2.2.2).(2.2.2.2.2.2.2)=2.2.2.2.2.2.2.2.2.2.2.2=212
a) 52.54 b) 33.36
c) 74.77 d) 5.52.53
OTÁVIO LUCIANO CAMARGO SALES DE MAGALHÃES 43
21) Atividade 3
Siga o exemplo:
25:23=
2.2.2
2.2.2.2.2
2
2
3
5
 =2.2=22
a) 34:32 b) 56:53
c) 88:85 d) 105:103
22) Atividade 4
Siga o exemplo:
(52)3=(5.5).(5.5).(5.5)=5.5.5.5.5.5=56
a) (22)4 b) (33)4
c) (102)5 d) (54)5
Você deve ter chegado às propriedades da potenciação:
P1. an.am=an+m P2. an:am=an-m, com a0 P3. (am)n=amn
P4. (a.b)n=an.bn P5. (a:b)n=an:bn, com b0
23) Considere a tabela:
30=1 31=3 32=9 33=27 34=81 35=243
36=729 37=2187 38=6561 39=19683 310=59049 311=177147
Calcule sem fazer contas, apenas usando a tabela e as propriedades:
a) 729x9 b) 65661x27 c) 81x243 d) 59049:6561
e) 177147:2187 f) 273 g) 812 h) 2432
24) Faça uma tabela semelhante à superior com o número 5 e calcule sem fazer contas, apenas
usando a tabela e as propriedades:
a) 3125x625 b) 15625:125 c) 255
25) Reduza à uma única potência:
a) 35.37 b) a6.a8 c) x4.x.x3 d) 63:62 e) 58:52 f) 2
6
a
a
(a0)
g) (35)2 h) (a5)2 i) [(32)5]2 j) (62)0 l) 53.54:52
26) Reduza à uma única potência (a0):
a) ).(:)..( 6565
aaaaa b) 2425
).().( aaa c)   32254
).(. xxx
d)
xx
xxx
.
..
6
24
e)
 232
3254
.
)..)(.(
xx
xxxxx
f)
   
53
24524
)( aa
aaa
OTÁVIO LUCIANO CAMARGO SALES DE MAGALHÃES 44
27) Calcule usando a tabela de potências de 2:
a) 512x256 b) 131072:8192 c) 643 d) 8192x64
e) 2562 f) 1048576:65536 g) 32768x16
28) É verdade que 75.7-5=1. Verifique aplicando a propriedade das potências e verifique mais uma
vez que números elevados à zero são 1.
29) Quando dá an:an? Discuta o resultado.
30)Resolva as expressões
a) (
3
2
)
3
− (
3
2
)
2
b) (
3
7
)
2
: (
2
7
)
2
c)
5
8
− (
2
3
)
2
d) 2 − (
2
3
)
2
9/8 9/4 13/72 14/9
e) 2 − (
2
3
)
3
. (
3
2
)
2
f) (
2
3
)
3
.
15
4
g) (
5
4
)
2
: (
1
2
)
3
−
11
4
4/3 10/9 189/4
RADICIAÇÃO
1) Calcule:
a) 16 + b) 144 : 36 c) 1444936  d) 6425144 xx
2) Calcule:
a) 16 b) 81
3) Se 52361x52361=2741674321, calcule 2741674321.
36
OTÁVIO LUCIANO CAMARGO SALES DE MAGALHÃES 45
4) A e B são números naturais. Se AxA=B, quanto vale B ?
5) Calcule
a) 324 b) 225 c) 289 d) 625 e) 441
6) Se AxA=B e BxB=C, ache:
a) C b) B c) C
7) Se A= 36 e B= 144 , ache o valor de A+B.
8) Se A= 549  e B= 3144  , ache A+B
9)Se A= 25 , B=7+2, C= 9.2 , ache:
a) A+B+C b) 2.A+C
10) Se A= 49 , B=5+3, C= 144 , calcule:
a) A+B b) B+C c) 2.A d) B. C e) C.A+2.B
11) Se A= 36.25  B= 169196  e C=A+B
Ache: a) A+B+C b) 2.A.C
12) Sei que A= 236.3  , B= A 925 , C= 5A , ache a metade de A+B+C.
13) Calcule:
a) 900 b) 4900 c) 8100
14)Calcule:
a) 90000 b) 160000 c) 490000
15) Calcule
a)
49
36
b)
9
4
16) Ache:
3
16
25
36

OTÁVIO LUCIANO CAMARGO SALES DE MAGALHÃES 46
17) Calcule: 2
8
1
8
3
2
1
3
4
1

18) Ache
108
75
19) Se = 361 e = 642  , ache o valor de

 22 
. 8/5
20) Calcule:
49
144
.
36
25
21) Resolva
a) (
3
5
+ 1)
2
.
3
64
3/25 b)[(
3
4
+ 2) .
3
11
+
1
2
] :
4
5
25/16
c)[(3 −
1
2
) . 3] : (
1
3
+
1
5
) 225/16 d)(
1
4
+
3
5
)
2
: (
2
5
+
1
6
) 51/40
e)(
2
5
.
5
3
−
1
3
)
2
: (1 +
1
5
) 5/54 f)
1
2
. [(1 +
1
2
) .
2
3
.
1
2
] 1/4
OTÁVIO LUCIANO CAMARGO SALES DE MAGALHÃES 47
g)[(
1
2
)
2
+ (
1
3
)
2
] . 62
13 h)(√1 +
5
4
) . (√
81
16
−
3
2
) − √
1
4
. √
1
9
23/24
i) √
36
9
. (
2
3
+
1
2
+
3
2
)
2
: [(
5
6
)
0
+
1
4
]
2
2048/225
GABARITO
f)
1
2
. [(1 +
1
2
) .
2
3
.
1
2
]
1
2
. [(
2
2
+
1
2
) .
2
3
.
1
2
]
1
2
. [(
3
2
) .
2
3
.
1
2
]
1
4
g)[(
1
2
)
2
+ (
1
3
)
2
] . 62
[(
1
2
)
2
+ (
1
3
)
2
] . 62
[
1
4
+
1
9
] . 36
[
9
36
+
4
36
] . 36
[
13
36
] . 36
13
h)(√1 +
5
4
) . (√
81
16
−
3
2
) − √
1
4
. √
1
9
(√
4
4
+
5
4
) . (
9
4
−
3
2
) −
1
2
.
1
3
(√
9
4
) . (
9
4
−
6
4
) −
1
2
.
1
3
3
2
. (
3
4
) −
1
2
.
1
3
9
8
−
1
6
56
48
−
8
48
46
48
=
23
24
i) √
36
9
. (
2
3
+
1
2
+
3
2
)
2
: [(
5
6
)
0
+
1
4
]
2
√4. (
4
6
+
3
6
+
9
6
)
2
: [1 +
1
4
]
2
2. (
16
6
)
2
: [
4
4
+
1
4
]
2
2. (
8
3
)
2
: [
5
4
]
2
2.
64
9
:
25
16
128
9
:
25
16
=
2048
225
OTÁVIO LUCIANO CAMARGO SALES DE MAGALHÃES 48
MAIS ALGUNS EXERCÍCIOS PARA FIXAR E APROFUNDAR CONCEITOS DE OPERAÇÕES
COM FRAÇÕES
REVISÃO DE FRAÇÕES
1) (Material do Positivo – 6º ano) Represente a quantidade que ficou no segundo copo por uma
operação
2) (Material do Positivo – 6º ano) Giovana usou algumas amoras para fazer uma torta. Denise
comeu ¼ da torta e seu irmão 5/12. Que fração representa a diferença entre o que cada um
comeu?
3) (Material do Positivo – 6º ano) Represente os desenhos como somas
a)
b) c)
OTÁVIO LUCIANO CAMARGO SALES DE MAGALHÃES 49
4) (Material do Positivo – 6º ano) Lívia usou 3/5 de um litro de leite para fazer um bolo e, na
cobertura, vai usar ½ dessa quantidade de leite. Que fração do total de leite Lívia vai usar na
cobertura do bolo?
5) (Material do Positivo – 6º ano) O professor Daniel recebeu o salário hoje. Ele vai reservar 1/3
do salário para pagar despesas com a casa e 2/5 desse valor será para pagar o aluguel. Que
fração, do total, representa a quantia reservada para pagar o aluguel?
6) (Material do Positivo – 6º ano) Fábio comeu 2/5 de uma barra de chocolate num dia e o dobro
dessa quantia no dia seguinte. Que fração representa a quantidade de chocolate que ela comeu
no dia seguinte?
7) (Material do Positivo – 6º ano) Tifanny gastou 1/7 do seu salário para pagar aluguel e o triplo
dessa quantia em uma viagem. Que fração do salário de Tifanny representa o gasto que ela teve
com essa viagem?
8) (Material do Positivo – 6º ano) Ontem, Lincoln comeu 3/12 do total de figurinhas do álbum.
Hoje colou o quádruplo dessa quantidade. Que fração representa a quantidade de figurinhas que
Linconl colou hoje? Ele completou o álbum?
9) (Material do Positivo – 6º ano) Veja as figuras e responda:
Quantas vezes ½ cabe em um inteiro?
Quantas vezes 1/3 cabe em um inteiro?
Quantas vezes ¼ cabe em um inteiro?
Quantas vezes 1/5 cabe em um inteiro?
Quantas vezes 1/6 cabe em um inteiro?
10) (Material do Positivo – 6º ano) Isabelly dividiu igualmente 1/3 kg de balas de coco entre 3
amigas. Que fração de quilograma cada amiga vai ganhar?
11) (Material do Positivo – 6º ano) Eduardo vai dividir igualmente metade de uma melancia entre
4 crianças. Que fração da melancia cada criança vai receber?
12) (Material do Positivo – 6º ano) Quantas vezes 1/8 de barra de chocolate cabe em ½ barra?
13) (Material do Positivo – 6º ano) Quantas vezes 1/12 de uma torta cabe em 1/3 de torta?
OTÁVIO LUCIANO CAMARGO SALES DE MAGALHÃES 50
14) (Material do Positivo – 6º ano) Ruan pintou 2/5 de uma parede e seu irmão a metade dessa
parte. Que fração representa a parte pintada pelo irmão de Ruan?
15) (Material do Positivo – 6º ano) Camila fez 1/6 das tarefas na sexta-feira e ½ no sábado.
Camila terminou de fazer as tarefas? Justifique por meio de uma operação matemática.
16) (Material do Positivo – 6º ano) Rafaela vai dividir 1/5 do prêmio que ganhou na loteria com
seus 3 filhos. Que fração desse prêmio cada filho de Rafaela vai receber?
17) (OBMEP) A capacidade do tanque de gasolina do carro de João é de 50 litros. As figuras
mostram o medidor de gasolina do carro no momento da partida e no momento da chegada de
uma viagem feita por João. Quantos litros de gasolina João gastou nessa viagem?
18) (Material do Positivo – 6º ano) Uma confeitaria faz 40 bolos por dia. Dessa quantia, ¼ são de
chocolate e 3/5 são de abacaxi. Hoje, um dos confeiteiros não compareceu ao trabalho e a
confeitaria conseguiu fazer apenas ½ dos bolos de chocolate e 1/3 dos bolos de abacaxi, que
geralmente costuma produzir.
a) Que fração representará a quantidade de bolos de chocolate feitos hoje?
b) E de bolos de abacaxi?
c) Quantos bolos de chocolate foram feitos hoje? E de abacaxi? Escreva como porcentagem
e como fração irredutível:
REVISÃO DE PORCENTAGEM I
19) (Material do Positivo – 6º ano) Represente os desenhos como porcentagem:
20) (Material do Positivo – 6º ano) A Professora Tatiana fez uma pesquisa para saber quantos
alunos da sala têm celular. Veja como a professora representou o resultado da pesquisa:
OTÁVIO LUCIANO CAMARGO SALES DE MAGALHÃES 51
21) (Material do Positivo – 6º ano) O que significa dizer que temos 50% de chance de vencer um
jogo?
22) (Material do Positivo – 6º ano) Ana Júlia tem R$ 40,00 e vai usar 50% dessa quantia para
comprar um livro. Quantos reais ela vai receber de troco?
23) (Material do Positivo – 6º ano) Numa cidade de 20.000 habitantes, 14% não sabem ler. Qual é
a porcentagem de leitores?
24) (Material do Positivo – 6º ano) Um losango foi dividido em quatro partes iguais. A parte
pintada corresponde a que porcentagem do losango todo
25) (Material do Positivo – 6º ano) Jonathan gastou R$ 120,00 em uma livraria e seu irmão gastou
30% dessa quantia. Quantos reais o irmão dele gastou?:
26) (Material do Positivo – 6º ano) O artista Toby Ng criou um projeto envolvendo design e dados
superinteressantes. “A aldeia de 100 pessoas” consiste em uma série de cartazes que informam,
entre outras coisas, quantos seriam adultos, quantos seriam crianças, quantos têm computador,
quantos não tem. Veja como seria esse mundo
a)Veja o gráfico de setores da idade:
Construa agora os gráficos de setores de quem tem computador e água potável.
OTÁVIO LUCIANO CAMARGO SALES DE MAGALHÃES 52
b) Veja o gráfico de barras:
Construa o gráfico de barras das outras duas informações
c) Veja o gráfico de colunas:
Construa o gráfico de colunas.
d) Faça uma ilustração como Toby Ng para o gráfico:
27) (Material do Positivo – 6º ano) Calcule mentalmente:
a) 10% de 200
b) 10% de 500
c) 10% de 80
d) 5% de 200
e) 50% de 500
f) 20% de 80
g) 15% de 200
h) 25% de 500
i) 5% de 80
j) 30% de 200
k) 75% de 500
l) 40% de R$ 50,00
OTÁVIO LUCIANO CAMARGO SALES DE MAGALHÃES 53
m) 70% de 10 bolinhas de gude
n) 50% de 6 dados
o) 35% e 20 lápis de cor.
28) (Material do Positivo – 6º ano) Uma pizza foi dividida em 8 pedaços iguais.
a) Se você comesse 4 pedaços dessa pizza, que porcentagem da pizza você teria comido?
b) E se você comesse 2 pedaços?
c) E se você tivesse comido 6 pedaços da pizza?
REVISÃO DE PORCENTAGEM II
29) (Material do Positivo – 6º ano) Veja o resultado da pesquisa realizada em uma escola com 500
alunos sobre a forma de deslocamento usada por eles para chegar à escola.
a) Qual a soma de todas as porcentagens representadas no gráfico?
b) Quantos alunos vão para a escola de bicicleta?
c) Quantos vão à escola de carro?
d) Há mais alunos que vão à escola de carro ou de bicicleta? Quantos a mais?
30) (Material do Positivo – 6º ano) Escreva a fração na forma de porcentagem:
OTÁVIO LUCIANO CAMARGO SALES DE MAGALHÃES 54
31) (OBMEP) Os alunos do sexto ano da Escola Municipal Quixajuba fizeram uma prova com 5
questões. O gráfico mostra quantos alunos acertaram o mesmo número de questões. Por
exemplo, 30 alunos acertaram exatamente 4 questões. Qual das afirmações a seguir é
verdadeira?
a) Apenas 10% do total de alunos acertaram todas as questões.
b) A maioria dos alunos acertou mais de 2 questões.
c) Menos de 200 alunos fizeram a prova.
d) 40 alunos acertaram ao menos 4 questões.
e) Exatamente 20% do total de alunos não
resolveram nenhuma questão.
a) Apenas 10% do total de alunos acertaram todas as questões. 10% de 210 =
21. ERRADA
b) A maioria dos alunos acertou mais de 2 questões. Maioria = mais de 50%.
100 acertaram mais de 2 (ou seja, quem acertou 3, 4 ou 5 questões). ERRADO
c)Menos de 200 alunos fizeram a prova. ERRADO
d) 40 alunos acertaram ao menos 4 questões. 4 ou 5 questões. 30+20=50
alunos. ERRADO
Exatamente 20% do total de alunos não resolveram nenhuma questão. 20% de 210 = 42. ERRADA.
0 acertos 20
1 acerto 30
2 acertos 60
3 acertos 50
4 acertos 30
5 acertos 20
TOTAL 210 ALUNOS
ATENÇÃO:
O gráfico estava ERRADO. Veja a resolução.
32) (Material do Positivo – 6º ano) Veja a gravura:
Fonte: BRITO, Fernando. Jogar fora no lixo.
Superinteressante. São Paulo: Abril, n. 289,
p.34, mar. 2011.
a) O que significa dizer que 90% das
latas de alumínio são recicladas?
b) Considerando que uma empresa
produz de lixo 120 kg de papel por dia,
quantos quilogramas desse papel são
reciclados?
c) Um condomínio separou do lixo 30
latinhas de alumínio para reciclar. Quantas
dessas latinhas serão recicladas?
OTÁVIO LUCIANO CAMARGO SALES DE MAGALHÃES 55
33) (PUC-RIO) João recebeu um aumento de 10% e com isso seu salário chegou a R$ 1.320,00.
O salário de João antes do aumento era igual a quanto?
34) (Material do Positivo – 6º ano) O mercado que Douglas trabalha esta com uma produção de
latas de suco de laranja. Quem comprar acima de 10 unidades de suco ganha 15% de desconto.
Sabendo que o preço de uma caixa com 5 latas desse suco custa R$ 15,00, calcule quantos reais
vai gastar quem comprar 8 caixas desse suco.
35) (Material do Positivo – 6º ano) Vitória foi comprar um vestido e conseguiu um desconto para
pagamento à vista. Ela acabou pagando R$ 96,00 por uma calça que custava R$ 120,00. Quanto
por cento Vitória conseguiu de desconto?
36) (Material do Positivo – 6º ano) Um tonel para 9 500 L de vinho está com 25% de sua
capacidade. Quantos litros de vinho faltam para encher esse tonel?
37) (Material do Positivo – 6º ano) Pablo ganhava R$ 120,00 me mesada e nesse último mês
ganhou R$ 150,00. Qual a porcentagem de aumento da quantia que Pablo passou a receber de
mesada?
38) (Material do Positivo – 6º ano) Brenda recebe um salário mensal de R$ 1.250,00. Nesse
último mês, ele recebeu um aumento de 12% e vai depositar esse valor correspondente ao
aumento em uma caderneta de poupança.
a) Quantos reais Brenda vai depositar na caderneta de poupança?
b) Qual o salário de Brenda depois do aumento?
39) (Material do Positivo – 6º ano) Mariana resolveu economizar R$ 34,00 todas as semanas, o
que corresponde a 50% da quantia que ela possuía na bolsa quando decidiu poupar. Quantos
reais Mariana tinha na bolsa?
OTÁVIO LUCIANO CAMARGO SALES DE MAGALHÃES 56
40) ( SARESP) Num campeonato de boliche, os pontos que Ana, Lia, Rui e Zeca marcaram
aparecem na tabela a seguir:
Jogador Pontos
Ana 8
Lia 32
Rui 8
Zeca 16
Escreva em seu caderno qual gráfico mostra a correta distribuição desses pontos.
41) (Canguru Matemático – Nível B – 2014) Qual dos ladrilhos abaixo deve ser escolhido para ser
colocado no lugar indicado na figura ao lado, de modo que a área total das partes escuras seja
igual à área total das partes brancas?
GABARITO
29) Qual a soma de todas as porcentagens representadas no
gráfico? 100%
a) Quantos alunos vão para a escola de bicicleta? 25% de
500
100% ----------- 500
1% --------------- 5
25% ------------- 5 x 25 = 125
25
100
× 500 = 125
b) Quantos vão à escola de carro? 30% de 500
100% ----------- 500
1%---------------5
30%- ----------- 5 X 30 = 150
30
100
× 500 = 150
c) Há mais alunos que vão à escola de carro ou de bicicleta?
Quantos a mais?
Carro – 150 (30%)
Bicicleta – 125 (25%)
25 a mais de carro (5%)
100%------500
1%----------5
5%---------- 5x5 = 25
30)
1/4=25%
1
4
=
𝑥
100
X=25
3/6 = 1/2 = 50%
3
6
=
𝑥
100
6x=300
x=50
31) Matheus: Transforme 1/5 em porcentagem?
100% --------------1
20%---------------1/5
1
5
=
𝑥
100
x=20
32)
a) O que significa dizer que 90% das latas de alumínio são
recicladas? Significa que de cada 100 latas, 90 são
recicladas.
b) Considerando que uma empresa produz de lixo 120 kg de
papel por dia, quantos quilogramas desse papel são
reciclados?
45% de 120
45
100
× 120 =
540
10
= 54
54 kg são reciclados
OU
100% ----------------- 120 kg
OTÁVIO LUCIANO CAMARGO SALES DE MAGALHÃES 57
1%---------------------1,20 kg
45% ------------------ 45 x 1,2 = 54
c) Um condomínio separou do lixo 30 latinhas de alumínio
para reciclar. Quantas dessas latinhas serão recicladas?
90% de 30
100% ------------ 30
10% -------------- 3
90%-------------- 3x9=27
27 latinhas
33)
1320 ------------ 110% = 100% + 10%
12----------------1%
1200------------100%
O salário antes do aumento era de R$ 1.200,00.
Verificar – R$ 1200 + R$ 120 = R$ 1320
1188 – não é resposta!
Pois 1188 + 118,8 (que é 10%) não chegamos em 1320.
Veja para entender
Algo custa 100 reais ---------------- aumento de 20% ----------------------
120 reais
Essa coisa de 120 reais-------------- desconto de 20% --------------------
- 96 reais
34)
8 caixas de suco ---- 8 x 5 = 40 latas de suco (mais que de 10
unidades!)
8 x 15 = 120 reais
Desconto é 15% de 120
15
100
× 120 =
180
10
= 18
Então 120-18=102
Resposta: Vai gastar R$ 102,00.
35)
120 – 96 = 24 foi o desconto!
24
120
=
2
10
=
1
5
foi o desconto
1
5
=
𝑥
100
X=20
R: O desconto foi de 20%
36)
9500 : 4 = 2375 o que tem no tonel
Dividi por 4, pois 25% é ¼ de 100%
9500-2375= 7125
Resposta: Faltam 7125 litros.
37)
Aumento de 30 reais....ou seja 150-120=30
30
120
=
1
4
= 25%
Resposta: O aumento da mesada foi de 25%
38)
a) Quantos reais Brenda vai depositar na caderneta de
poupança?
12% de 1250=150
Resposta: Ela vai depositar R$ 150,00
b) Qual o salário de Brenda depois do aumento?
1250+150=1400
Resposta: R$ 1400
39)
34 -------------- 50%
68---------------- 100%
Resposta: Ela tinha R$ 68,00
40)
Jogador Pontos
Ana 8 12,5%
Lia 32 50%
Rui 8 12,5%
Zeca 16 25%
OTÁVIO: Meninos e meninas já aprendemos
como calcular a multiplicação de frações, mas
não expliquei o porquê. Vamos ver.
OTÁVIO: Veja na lousa a fração 2/5
OTÁVIO: Agora vamos achar 2/3 dessa
fração, ou seja, 2/3 de 2/5, que é
2
3
×
2
5
. Vamos
fazer um desenho de 2/3 do assinalado:
ISAH: Então isso aí é 4/15, não é?
OTÁVIO: Certo, Isabela. Então quanto é
2
3
×
2
5
?
MATHEUS: 4/15! Mas não é mais fácil fazer o
produto dos números “de cima” e os “de
baixo”?
2
3
×
2
5
=
4
15
RAUL: é professor. É mais fácil mesmo...
OTÁVIO: meninos, claro, é mais fácil, mas é
importante vocês entenderem o porquê que
usa-se essa regra. A regra não saiu “da
cartola” igual um mágico tira uma pombinha.
Então é preciso entender... Então é importante
fazer primeiro como estou pedindo...
IMAGINAÇÃO POSSÍVEL: Por que esse
professor tá complicando? É mais fácil
multiplicar os numeradores e denominadores
e boa!
PROBLEMA:
Como mostrar aos alunos a diferença entre
FAZER O CÁLCULO e ENTENDER O
PORQUÊ DO CÁLCULO (os conceitos)? E
convencê-lo de que não basta apenas fazer,
mas é preciso aprender a idéia!
OTÁVIO LUCIANO CAMARGO SALES DE MAGALHÃES 58
REVISÃO PARA PROVA DE MATEMÁTICA
Questão 1
Dada a tabela:
20=1 21=2 22=4 23=8 24=16 25=32
26=64 27=128 28=256 29=512 210=1024 211=2048
212=4096 213=8192 214=16384 215=32768 216=65536 217=131072
218=262144 219=524288 220=1048576 221=2097152 222=4194304 223=8388608
224=16.777.216
Calcule:
a) 512x 32768 b) 1048576 : 32768 c) 131072 x 32
d) 2097152 : 1024 e) 8388608 : 4194304 f)2562
g) 20482 h) 165
Questão 2
Se A=√144+5 B=24-√64 C=A-√121
Determine quanto é 2A+BC
Questão 3
Pensei em um número. Multipliquei por 3. Somei 5. Deu 17.
a) Escreva a frase em linguagem matemática.
b) Qual foi o número pensado?
Questão 4
Em uma escola foi feita uma pesquisa de preferência entre comédia, ação e terror. Dos
entrevistados 40% preferem ação, 50% preferem comédia e 10% preferem terror.
a) Se nessa escola tem 200 alunos, quantos alunos preferem cada tipo de filme?
b) Construa um gráfico de barras com o número de alunos que prefere cada tipo de filme.
c) Construa um gráfico de setores com os dados em valores percentuais.
OTÁVIO LUCIANO CAMARGO SALES DE MAGALHÃES 59
Questão 5
O desaparecimento das florestas tropicais
As florestas tropicais são o lugar do planeta onde a vida se manifesta com maior riqueza e intensidade. Nelas estão
concentrados aproximadamente 80% das espécies vegetais e animais hoje existentes. Dos cerca de 17 milhões de
quilômetros quadrados de florestas tropicais originalmente existentes no mundo, resta hoje pouco menos da metade.
No Brasil, já se destruiu quase a totalidade da Mata Atlâtica, restando hoje em torno de 7% da área original. Na
Amazônia brasileira, com seus quase 4 milhões de quilômetros quadrados, a devastação já atingiu cerca de 17% dessa
área.
(Adaptado de: Greenpeace. Florestas tropicais Amazônia: vida em perigo. São Paulo, 1996. Dados atualizados em
2010).
De acordo com esses dados:
a) Qual é a porcentagem de florestas tropicais destruídas no mundo?
b) Qual é a porcentagem já destruída da Mata Atlântica?
c) Qual é, aproximadamente, a porcentagem da área já destruída da Floresta Amazônica no
Brasil?
d) Quantos quilômetros quadrados de Floresta Amazônica já foram devastados?
Questão 6
Associe as figuras ao percentual correspondente à parte colorida:
Questão 7
Um produto custa R$ 80,00 e será pago com uma entrada de 40% e mais 4 parcelas iguais sem
juros.
a) Qual é o valor da entrada?
b) Qual é o valor de cada parcela?
Questão 8
Um produto custa R$ 200,00 e terá desconto de 25% se pago a vista. Quanto pagarei se comprar
esse produto a vista?
Questão 9
Complete a tabela de estudantes de uma escola fictícia com valores percentuais, conforme o
exemplo:
NÚMERO DE ALUNOS PORCENTAGEM
Educação Infantil 40 10%
1º ao 5º ano 80
6º ao 9º ano 164
Ensino Médio 66
Cursinho 50
TOTAL 400 100%
Questão 10
Um produto sofreu um aumento de 20% e passou a custar R$ 120,00. Qual era seu preço
original?
OTÁVIO LUCIANO CAMARGO SALES DE MAGALHÃES 60
Questão 11
a) Qual é a metade da √169?
b) Quanto vale √144.000.000.000.000?
c) Qual é a raiz quadrada de 1 milhão?
d) Quanto vale √1444?
e) Calcule o valor de √√256.
f) Mostre que dão resultados diferentes √64 + 36 e √64 + √36
Questão 12
Encontre o valor de√13 + √6 + √7 + √4
Questão 14
Resolva as expressões numéricas completamente e simplifique o resultado.
a)
1
4
+
2
3
×
1
2
b) (
1
4
)
2
+ (
3
2
)
3
c) (
1
4
−
1
5
)
0
d)√
1
3
+
1
2
+
17
18
e)
2
1
4
−1
7×
1
7
f)
5
2
+
7
5
+
6
3
+
1
10
g) (
1
5
+
3
2
)
2
: (
1
4
+
2
3
) h) (
5
4
)
2
: (
1
2
)
3
−
11
4
Questão 15
Metade é 50%. Metade da metade é 25%. Metade da metade da metade é 12,5%. Com base nisso,
como poderia calcular mentalmente 12,5% de 640? Explique.
Questão 16
Tonico recebe um salário bruto de R$ 2.500,00. Desse valor, são descontados 9% para a
previdência social, que deverá pagar sua aposentadoria. De seu salário, ainda é descontado o
imposto de renda, que é calculado desta maneira: 15% de R$ 2.500,00 menos R$ 307,00. Calcule
o salário líquido de Tonico.
OTÁVIO LUCIANO CAMARGO SALES DE MAGALHÃES 61
Questão 17
Veja a tela do joguinho 2048 abaixo:
Preencha o tabuleiro abaixo escrevendo os números na forma de potências de 2, conforme os
exemplos dados:
Questão 18
Paulo ganha R$ 800,00 trabalhando em um PET-SHOP. Veja as despesas de Paulo:
a) Quanto Paulo gasta com diversão mensalmente?
b) Paulo gasta mais com Curso de Inglês ou com despesas de sua casa?
c) Quanto Paulo economiza todo mês?
OTÁVIO LUCIANO CAMARGO SALES DE MAGALHÃES 62
Questão 19
O gráfico a seguir indica a altura máxima aproximada que algumas árvores brasileiras atingem.
De acordo com as informações apresentadas no gráfico e com os dados abaixo identifique a árvore
correspondente a cada coluna do gráfico e a altura máxima de cada árvore.
a) O jequitibá atinge 45 metros de altura.
b) O cedro atinge até 10 metros a menos que o jequitibá e 5 metros a mais que o pau-brasil.
c) O pau-brasil atinge 10 metros a mais que o abacateiro-do-mato e 14 metros a mais que a
peroba.
d) A castanha-do-pará é cinco vezes maior que o cajueiro.
Questão 20
O gráfico de linhas abaixo mostra a produção de leite na Fazenda do Senhor B.Zerra no primeiro
semestre do ano de 2006. Analise-o e responda:
a) Quantos litros de leite foram produzidos nesse semestre?
b) Quantos litros de leite foram produzidos, em média, por mês?
c) Quantos litros de leite, em média, foram produzidos diariamente no mês de janeiro?
GABARITO
Questão 1
a) 512x 32768 = 16.777.216
9+15=24
b) 1048576 : 32768 = 32
20 – 15 = 5
c) 131072 x 32 =4194304
=17+5=22
f)2562
= 65536
8 X 2 = 16
g) 20482
=4194304
11 X 2 = 22
Decorem que 11x11 = 121 e 12x12=144, pois é útil!
Questão 2
Se A=√144+5=12+5=17,
B=24-√64=24-8=16
C=A-√121=17-11=6
Determine quanto é
2A+BC
2.17+16.6
34+96
130 É A RESPOSTA
Questão 3
Pensei em um número. Multipliquei por 3. Somei 5. Deu 17.
c) Escreva a frase em linguagem matemática.
x.3+5=17
d) Qual foi o número pensado?
17-5=12
12:3=4
O número pensado foi 4
0
10
20
30
40
50
60
A B C D E F G
altura (m)
árvores
Áltura de algumas árvores brasileiras
818,4
771,1
815,2
784,5
803,4
742,9
700
720
740
760
780
800
820
840
Produção(emlitros)
Mês
Produção de Leite
OTÁVIO LUCIANO CAMARGO SALES DE MAGALHÃES 63
Questão 5
a) 50% b) 25% c) 50%
d) 10% e) 50% f) 20%
Questão 7
Um produto custa R$ 80,00 e será pago com uma entrada de 40% e
mais 4 parcelas iguais sem juros.
c) Qual é o valor da entrada?
Raciocínio de Fábio
100% ----- 80
10%------ 8
50%------40
40%-----40-8=32
Raciocínio estimulando a Tifany a responder
100% ----- 80
10% ----- 8
40 % ----- 4x8=32
Raciocínio sugerido pela brenda
40% de 80
40
100
× 80
32
Entrada 32 reais.
d) Qual é o valor de cada parcela?
Se ele pagou 32 reais, ele deve 80-32=48.
Ele ainda deve R$ 48 !
48 / 4 = 12 reais
As parcelas são de 12 reais
Questão 8
Um produto custa R$ 200,00 e terá desconto de 25% se pago a
vista. Quanto pagarei se comprar esse produto a vista?
Raciocínio do Linconl
25% de R$ 100,00 é R$ 25,00
25% de R$ 200,00 é 2 x R$ 25,00 = R$ 50,00
Raciocínio de Fábio
100% -------------- 200
50%----------------100
25%---------------50
O jeito que a Brenda Gosta
25
100
× 200 = 50
Ainda uma forma alternativa - Linconl:
25% = ¼
200 : 4 = 50
Desconto é de R$ 50,00
Resposta: Pagarei R$ 150,00
Questão 9
NÚMERO DE
ALUNOS
PORCENTAGEM
Educação Infantil 40 divido por 4 10%
1º ao 5º ano 80 divido por 4 20%
6º ao 9º ano 164 divido por 4 41%
Ensino Médio 66 divido por 4 16,5%
Cursinho 50 divido por 4 12,5%
TOTAL 400 divido por 4 100%
1% - 4 10%-40 20%-80 40%-160
40% é 160, 1% é 4, então 164 é 40% + 1%
Como eu divido 66 por 4 mentalmente
66: 2 = 33 33: 2 = 16,5
Questão 10
R$ 100,00 mais 20% = R$ 120,00
R: O preço original era R$ 100,00.
Questão 11
a) Qual é a metade da √169=13? Metade de 13 é 6,5 ou
13/2
13x13=169, 14x14=196
b) Quanto vale √144.000.000.000.000? 12.000.000
c) Qual é a raiz quadrada de 1 milhão?
√1.000.000 = 1.000 MIL
d) Quanto vale √1444? 38
Para achar esse números a gente teve que fazer muitas contas.
e) Calcule o valor de √√256 = √16 = 4.
f) Mostre que dão resultados diferentes √64 + 36 e √64 +
√36
√64 + 36 = √100 = 10
√64 + √36 = 8 + 6 = 14
Questão 12
Encontre o valor de√13 + √6 + √7 + √4
√13 + √6 + √7 + 2
√13 + √6 + √9
√13 + √6 + 3
√13 + √9
√13 + 3
√16
4
Questão 15
Metade é 50%. Metade da metade é 25%. Metade da metade da
metade é 12,5%. Com base nisso, como poderia calcular
mentalmente 12,5% de 640? Explique.
Basta calcular metade da metade da metade de 640
640 -----320 ----- 160 ----- 80
Questão 16
Vai descontar 9%
9
100
× 2500 = 175 para previdência social
Imposto de Renda 15% menos 307
15
100
× 2500=375
375-307=68
Salário Líquido: 2.500-175-68=2257
O salário líquido será de R$ 2.257
Questão 17
OTÁVIO LUCIANO CAMARGO SALES DE MAGALHÃES 64
EXPRESSÕES NUMÉRICAS COM FRAÇÕES
Aula 116 – Apostila do Objetivo – 6º ano –
Página 38
Questão 1
𝟏𝟖
𝟓
− [(
𝟏𝟎
𝟑
−
𝟏
𝟐
) − (
𝟒
𝟑
−
𝟏
𝟓
)]
𝟏𝟖
𝟓
− [(
𝟐𝟎
𝟔
−
𝟑
𝟔
) − (
𝟐𝟎
𝟏𝟓
−
𝟑
𝟏𝟓
)]
𝟏𝟖
𝟓
− [
𝟏𝟕
𝟔
−
𝟏𝟕
𝟏𝟓
]
𝟏𝟖
𝟓
− [
𝟖𝟓
𝟑𝟎
−
𝟑𝟒
𝟑𝟎
]
𝟏𝟖
𝟓
−
𝟓𝟏
𝟑𝟎
𝟏𝟎𝟖
𝟑𝟎
−
𝟓𝟏
𝟑𝟎
𝟓𝟕
𝟑𝟎
=
𝟏𝟗
𝟏𝟎
Questão 2
√
𝟒
𝟔𝟒
.
𝟏
𝟓
− [(
𝟏
𝟏𝟎
)
𝟐
+ (
𝟏
𝟖
)
𝟐
]
𝟐
𝟖
.
𝟏
𝟓
− [
𝟏
𝟏𝟎𝟎
+
𝟏
𝟔𝟒
]
𝟐
𝟒𝟎
− [
𝟔𝟒
𝟔𝟒𝟎𝟎
+
𝟏𝟎𝟎
𝟔𝟒𝟎𝟎
]
𝟐
𝟒𝟎
−
𝟏𝟔𝟒
𝟔𝟒𝟎𝟎
𝟐
𝟒𝟎
−
𝟒𝟏
𝟏𝟔𝟎𝟎
𝟖𝟎
𝟏𝟔𝟎𝟎
−
𝟒𝟏
𝟏𝟔𝟎𝟎
=
𝟑𝟗
𝟏𝟔𝟎𝟎
Desafio
(
𝟓
𝟐
)
𝟐
− [√
𝟏𝟎𝟎
𝟏𝟔
− (
𝟏
𝟑
+
𝟏
𝟒
)]
𝟐𝟓
𝟒
− [
𝟏𝟎
𝟒
− (
𝟒
𝟏𝟐
+
𝟑
𝟏𝟐
)]
𝟐𝟓
𝟒
− [
𝟏𝟎
𝟒
−
𝟕
𝟏𝟐
]
𝟐𝟓
𝟒
− [
𝟑𝟎
𝟏𝟐
−
𝟕
𝟏𝟐
]
𝟐𝟓
𝟒
−
𝟐𝟑
𝟏𝟐
𝟕𝟓
𝟏𝟐
−
𝟐𝟑
𝟏𝟐
=
𝟓𝟐
𝟏𝟐
=
𝟐𝟔
𝟔
=
𝟏𝟑
𝟑
OTÁVIO LUCIANO CAMARGO SALES DE MAGALHÃES 65
OTÁVIO LUCIANO CAMARGO SALES DE MAGALHÃES 66
NOÇÕES DE NÚMEROS DECIMAIS I
1. Transforme em número decimal:
a) 3/10 b) 25/10 c) 312/10 d) 2/100
e) 32/100 f) 532/100 g) 6/1000 h) 26/1000
i) 526/1000 j) 4264/1000 k) 2536/100 l) 9316/1000
2. Transforme em fração decimal (simplifique!):
a) 0,8 b) 0,25 c) 0,036 d) 0,0165
e) 5,35 f) 5,305 g) 0,06 h) 0,004
i) 12,1 j) 0,6415 k) 25,06 l) 142,23
3. Verdadeiro ou falso?
a) 5,40=5,4 b) 3,0=3 c) 3,6=3,60=3,600 d) 2,4=2,04
e) 2,00=2 f) 0,3=3 g) 0,04=0,4
4. Compare com <, = ou >:
a) 2,7___ 1,42 b) 0,54___8,2 c) 0,54___0,278 d) 2,5___2,50
e) 3,41___3,28 f) 5,657___5,642 g) 0,0836___0,839 h) 2,1___2,01
i) 4,567___4,5675 j) 13,6___13,89
5. Dentre os números abaixo, sublinhe os que são menores que 0,5?
0,3 0,72 0,08 0,12 0,912 1,2 5,0
6. a) Qual o menor número natural maior que 11,7?__________
b) Qual o maior número natural menor que 9,02?__________
7. Coloque em ordem crescente os números decimais:
0,61 1,3 1,45 0,2 3,0 0,99 0,075
NOÇÕES DE NÚMEROS DECIMAIS II
8. (Imenes & Lélis,2012) Observe as frações representadas na figura e responda às questões
a) Quantos centésimos correspondem a 1/10?
b) A fração 1/10 é maior que a fração 10/100?
c) A fração 3/10 é maior que a fração 28/100?
d) Qual é a fração maior 4/10 ou 40/100?
9. (Imenes & Lélis, 2012) Considere as seguintes representações:
Escreva os números com vírgula correspondentes a:
OTÁVIO LUCIANO CAMARGO SALES DE MAGALHÃES 67
10. (Imenes & Lélis,2012) Usando a notação
Represente e observe igualdades:
a) 0,3 b) 0,03 c] 0,31
d) 1,3 e) 1,1 f) 1,10
11. (Imenes & Lélis,2012) Por qual motivo chamamos o número 3,5 (“três vírgula cinco”) algumas
vezes de “três e meio”. Por que falamos “meio”?
12. (Imenes & Lélis,2012) Nessa representação, ada número corresponde a um ponto da reta:
Qual pode ser o valor de x?
13. (Imenes & Lélis, 2012) Observe
a) Responda: 1,2 é maior que, menor que ou igual a 1,20?
b) Usando essa idéia compare com > (maior), < (menor) ou
= (igual):
0,20 ____ 0,20 1,2 ____ 1,19
8,7 ____ 8,70 8,7 ____ 8,69
14. (Imenes & Lélis, 2012) Responda:
a) Qual é a diferença entre os números 3,25 e 3,250?
b) Escreva em ordem crescente: 3,25; 3,155; 3,3 e 3,225
15. (Imenes & Lélis, 2012) Por qual motivo podemos dizer que o sistema dos números com
vírgula é decimal?
16. (Imenes & Lélis, 2012) Leia a história e responda a pergunta da menina com exemplos
OTÁVIO LUCIANO CAMARGO SALES DE MAGALHÃES 68
17. (Imenes & Lélis, 2012) Leia o diálogo
Para responder considere os números:
a) Quais deles são menores que 5,3?
b) Quais deles são maiores que 5,213?
c) Quais são maiores que 5,1 e menores que 5,2?
18. (Imenes & Lélis, 2012) Por qual motivo dizemos que 0,23 está escrito no sistema decimal?
19. (Imenes & Lélis, 2012) Quanto é um décimo de um décimo de milésimo?
20. (Imenes & Lélis, 2012) Tente explicar por qual motivo 0,7, 0,7 e 0,700 são iguais
21. (Imenes & Lélis, 2012) Por qual motivo o preço dos combustíveis é utilizado até o milésimo?
22. (Imenes & Lélis, 2012) Um dos números que está entre 1,34 e 1,35 é:
a) 1,361 b) 1,034 c) 1,338 d) 1,341
23. (Imenes & Lélis, 2012) Alguns números foram colocados em uma linha reta com a mesma
organização de escala de um termômetro. Veja
Os números indicados por A e B devem ser, respectivamente:
a) 2,385 e 2,42 b) 2,385 e 2,402 c) 2,385 e 2399 d) 2,381 e 2,42
25. (Imenes & Lélis, 2012) Qual é a sentença verdadeira?
a) 1,3 < 1,300 b) 3,25<3,052 c) 0,2 x 10 = 020 d) 1,30 = 1,300
26. (Imenes & Lélis, 2012) Escrevendo-se, com algarismos, uma unidade e quarenta e cinco
milésimo, obtém-se:
a) 1,45 b) 0,14 c) 1,045 d) 1,45000
OTÁVIO LUCIANO CAMARGO SALES DE MAGALHÃES 69
27. (Imenes & Lélis, 2012) Em um número decimal, o algarismo na posição dos décimos é:
a) O primeiro da esquerda para a direita
b) O último da esquerda para a direita
c) O primeiro algarismo à direita da vírgula
d) O último algarismo à esquerda da vírgula
28. (Imenes & Lélis, 2012) Qual é a sentença verdadeira?
29. (Imenes & Lélis, 2012) A quantidade seis
décimos e cinco centésimos é:
a) Maior que 1.
b) Igual a sessenta e cinco centésimos.
c) Igual a sessenta e cinco décimos
d) Menor que 0,5
30. (Imenes & Lélis, 2012) Os números com vírgula foram organizados nesta linha, como é feito
em quilometragem de uma estrada:
a) Escreva os números correspondentes a A, B, C, D e E.
b) Qual é o número que está exatamente o meio de A e B?
31. (Imenes & Lélis, 2012) Coloque V ou F, sobre os números 12,61 e 12,601
( ) O primeiro é menor que o segundo
( ) O maior tem 9 milésimos a mais que o menor.
( ) Um número maior que 12,601 e menor que 12,61 é 12,603.
( ) O primeiro número é igual a 12 mais 61/100.
OTÁVIO LUCIANO CAMARGO SALES DE MAGALHÃES 70
32. (Imenes & Lélis, 2012) Leve o gato até a sardinha, passando de um número para outro
menor.
NOÇÕES DE MEDIDAS
34. Em quais situações abaixo você faz uma contagem e em quais você faz uma medição?
a) A quantidade de líquido de uma jarra.
b) A quantidade de garrafas de uma caixa.
c) A quantidade de farinha de um pacote.
d) A distância de sua casa até o seu colégio.
e) A altura de uma árvore.
35. O que é medir?
36. Cite alguns aparelhos usados para efetuar medidas.
37. Determine quanto mede o segmento AB, quando você considera como unidade de medida o
segmento a, o segmento b e o segmento c:
38. Determine quanto mede a superfície S, considerando como unidade de medida:
a) a superfície A,
b) a superfície B,
c) a superfície C.
OTÁVIO LUCIANO CAMARGO SALES DE MAGALHÃES 71
39. Determine a medida da superfície abaixo, quando:
a) A unidade for o primeiro elemento da coluna da
direita.
b) A unidade for o segundo elemento da coluna da
direita.
c) A unidade for o terceiro elemento da coluna da
direita.
d) A unidade for o quarto elemento da coluna da
direita.
40. Responda
a) Qual é a unidade fundamental de comprimento?
b) Quais são os submúltiplos do metro?
41. Usando os símbolos das unidades de comprimento, escreva:
a) doze quilômetros; b) quarenta centímetros; c) seis milímetros;
d) nove decímetro; e) trinta milímetros; f) cem metros;
g) dois quilômetros; h) oito metros.
42. Indique a unidade de medida que você usaria para medir:
a) o comprimento de seu pé;
b) a distância entre as traves de uma quadra
de futebol de salão;
c) a espessura de sua régua;
d) a distância entre o Rio de Janeiro e São
Paulo;
e) a altura de um prédio de três andares;
f) a espessura de vidros usados em janelas;
g) a largura de uma rua;
h) a distância entre Fortaleza e Recife;
i) o comprimento da lousa;
j) a altura da sala de aula;
k) o comprimento de um lápis.
43. Quantos centímetros você acredita ter de altura? Quantos centímetros você acha que esta
apostila tem de largura? E de comprimento? E de espessura? Faça uma estimativa para
responder essas perguntas, e depois, compare sua estimativa usando instrumentos de medidas.
44. Quais são as dimensões do seu quarto? Estime um valor para a largura, para o comprimento
e para a altura do seu quarto?
45. Usando fita métrica, régua ou metro de carpinteiro, meça as dimensões de seu quarto.
Compare as medidas obtidas com as estimativas feitas no exercício anterior?
OTÁVIO LUCIANO CAMARGO SALES DE MAGALHÃES 72
MEDIDAS II
1) (Imenes & Lélis,2012) Metros, centímetros, milímetros ou quilômetros? Complete as sentenças:
a) A caneta tem 16 ______ de comprimento.
b) O comprimento da formiga é 4 ____.
c) A altura do sobrado é 9 ____.
d) O ladrilho tem 15 ___ de largura.
e) É uma estrada com mais de 21 ______
2) (Imenes & Lélis,2012) Responda:
a) Qual é o comprimento de seu palmo em centímetros?
b) Algum de seus colegas tem o palmo com comprimento diferente do seu? Qual é o
comprimento do palmo dele?
c) Luísa e Joana mediram a largura da janela em palmos. Para Luísa, deu 12 palmos; para
Joana deu 14. Qual delas tem o palmo maior?
3) (Imenes & Lélis,2012) Copie as frases e complete-as com uma fração ou com uma palavra
adequada:
a) Um decímetro é 1/10 de um____________.
b) Um centímetro é _______ de um metro.
c) Um milímetro é ______ de um metro.
d) Um metro é 1/1000 de um ___________.
4) (Imenes & Lélis,2012) Vamos fazer estimativas:
a) Altura da porta de sua sala de aula.
b) Centímetros de largura, comprimento e espessura sua apostila de Matemática.
c) Metros de comprimento, largura e altura tem sua sala de aula.
d) Distância de sua casa até a escola.
5) (Imenes & Lélis,2012) Uma volta em torno da Terra, pela linha do Equador tem cerca de
40.000 km. Quantos quilômetros você acha que há de Brasília até Tóquio aproximadamente?
6) (Imenes & Lélis,2012) Você percorre uma maratona de 42,5 km. Como determinar a
quantidade de passos que você deverá dar em toda maratona.
7) (Imenes & Lélis,2012) Metros, centímetros, milímetros ou quilômetros? Qual unidade é ideal
para medir:
a) Altura de um prédio.
b) Espessura do vidro de uma janela.
c) Largura e comprimento do vidro de uma janela.
d) Comprimento do Rio Amazonas.
8) (Imenes & Lélis,2012) Estime a altura de um prédio de apartamentos de 7 andares?
9) (Imenes & Lélis,2012) Transforme:
a) 3 cm = ____ m b) 13 cm = ____ m c) 104 cm = ___ m
e) 250 cm = ____ m f) 5 cm = ____ m g) 3 dm = ____ m
h) 12 cm = ____ m i) 12 dm = ____ m
10) (Imenes & Lélis,2012) Em janeiro deste ano, uma forte chuva causou um deslizamento de terra
que bloqueou uma estrada. A polícia rodoviária registrou um congestionamento de 12 km. Se cada
carro ocupa, em média, o comprimento de 5 m e havia duas faixas de estradas congestionadas,
quantos carros aproximadamente estavam no congestionamento.
OTÁVIO LUCIANO CAMARGO SALES DE MAGALHÃES 73
11) (Imenes & Lélis,2012) Observe a figura e faça o que se pede:
a) Qual é a altura de Rodrigo e de seu pai?
b) Quanto Rodrigo precisa crescer para chegar à altura do pai? Responda
em centímetros e em metros.
12) (Imenes & Lélis, 2012) Dê um exemplo de algo que meça menos de 1 milímetro.
13) Qual é sua altura em milímetros?
MEDIDAS III
14) Responda:
a) Qual é a unidade principal de massa?
b) Quais são os múltiplos do grama?
c) Quais são os submúltiplos do grama?
15) Utilizando símbolos das unidades de massa, escreva:
a) trezentos gramas;
b) vinte e cinco quilogramas;
c) trinta miligramas;
16) Escreva como se lê:
a) 2,45 kg b) 3,5 g c) 0,50 g d) 0,250 g
17) Indique a unidade mais adequada para medir a massa de:
a) seu próprio corpo
b) uma colher de sal de cozinha
c) um saco de cimento
d) uma salsicha
e) uma gota de água
18) Estime de quantos quilogramas é sua massa.
19) Quantos gramas tem a massa de uma bola de futebol com 3 kg?
20) Quantos quilogramas tem uma caixa com 800 chocolates de 40 g cada um?
21) Em quantos pedaços de 250 g podemos dividir 7,5 kg de uma goiabada em lata?
OTÁVIO LUCIANO CAMARGO SALES DE MAGALHÃES 74
22) Calcule em quilogramas, a massa de 1 000 bolinhas de aço com 50 g cada uma.
23) Quantos pacotes de 2,5 kg podemos formar com 100 kg de açúcar?
24) Se um certo modelo de automóvel tem 1250 kg, quantos quilogramas terão 450 automóveis
desse mesmo modelo?
25) Quantos sacos de 55 kg podemos formar com 2 585 kg de soja?
26) Dona Sandra foi ao mercado com a seguinte lista de compras:
5 pacotes com 2 kg de açúcar cada um
10 pacotes com 400 g de polvilho cada um
20 pacotes com 250 g de margarina cada um
8 pacotes com 0,5 kg de farinha de rosca cada um
Se dona Sandra comprou todos os itens de sua lista, de quantos quilogramas foi a compra de
dona Sandra?
27) Transforme:
a) 350 g em kg b) 2,5 kg em g
c) 300 g em mg d) 15 000 mg em g
28) Quantos quilogramas são 1 000 000 000 g?
29) (Imenes & Lélis, 2012) Observe os pacotes e o que está escrito na balança
Agora escreva na balança o que está escrito nesses casos:
OTÁVIO LUCIANO CAMARGO SALES DE MAGALHÃES 75
30) (Imenes & Lélis, 2012) Quantos gramas são um décimo do quilograma, um milésimo do
quilograma e um décimo de milésimo de quilograma?
31) (Imenes & Lélis, 2012) Nas etiquetas, estão marcados quantos quilogramas tem cada objeto,
mas elas estão trocadas. Estime quantos quilogramas tem, na verdade, cada um deles.
32) (Imenes & Lélis, 2012) É muito comum vermos em embalagem o termo PESO LÍQUIDO. O que
ele significa?
33) (Imenes & Lélis, 2012) Complete a tabela
MEDIDAS IV
34) (Imenes & Lélis, 2012) Quantos centímetros há 2 km?
35) (Imenes & Lélis, 2012) Quantos metros há em 0,3 km?
36) (Imenes & Lélis, 2012) Se a temperaturas era 24ºC e subir 3,5ºC, qual será a nova temperatura?
37) (Imenes & Lélis, 2012) Compare as figuras e descubra quanto pesa o mamão.
38) (Imenes & Lélis, 2012) Três destes pedaços de corrente foram emendados, obtendo-se uma
corrente de 2,5 m aproximadamente.
Quanto mede cada um dos três pedaços que foram emendados?
(Dica: Há mais de uma resposta!)
40) (Material do Positivo – 6º ano) Luciana vai distribuir igualmente 4 kg de milho de pipoca em 8
pacotes. Quantos quilogramas de milho ele colocará em cada pacote?
OTÁVIO LUCIANO CAMARGO SALES DE MAGALHÃES 76
41) (Material do Positivo – 6º ano) Um motociclista percorreu 344 km e consumiu 16 litros de
gasolina. Quantos quilômetros esse motociclista percorreu com 1 litro de gasolina?
42) (Material do Positivo – 6º ano) Geraldo está comprando frutas.
a) Quanto custa 1 kg de maça?
b) Quanto Geraldo pagaria se comprasse 6 kg dessa maça?
39) (Imenes & Lélis, 2012) No mapa abaixo: o comprimento de cada trilha está marcado em
quilômetro.
Responda:
a) Para ir do lago até o moinho, passando pelo mirante e,
depois, pela colina, quantos quilômetros devemos andar?
b) Se formos do lago até o moinho passando pelo bosque
e pela criação de peixes, andaremos mais ou andaremos
menos que pelo cainho do item a? Quanto?
c) Dê as repostas dos itens anteriores em metro.
43) (Imenes & Lélis, 2012) Observe a tabela que mostra o resultado das
pesagens do bebê Pedro:
Do 1º ao 4º dia de vida, Pedro ganhou ou perdeu massa? Quanto?
a) Quanto ele ganhou do 2º ao 5º mês de vida?
b) Quanto ele ganhou do 5º ao 8º mês de vida?
44) (Material do Positivo – 6º ano) Escreva quanto é:
a) Metade de R$ 2,54
b) A terça parte de 1,32 m
c) A metade de 1,8 kg adicionado a 0,5 kg
d) R$ 3,00 subtraído da terça parte de R$ 0,27
45) (Material do Positivo – 6º ano) Joel teve um lucro de R$ 345,30 com as vendas na feira no último
fim de semana e resolveu dividir a metade desse valor igualmente entre seus filhos, de modo que
cada um recebesse R$ 57,55. Quantos filhos Joel tem? Escreva o raciocínio!
46) (Material do Positivo – 6º ano) Para pagar a compra no supermercado, João gastou R$ 89,35 e
pagou com uma cédula de R$ 100,00. Quantos reais Joao recebeu de troco?
47) (Material do Positivo – 6º ano) Marisa pagou a prestação do carro, de R$ 589,90, com 5 dias de
atraso e pagou juros. Ela pagou R$ 0,95 por dia de atraso mais um valor fixo de R$ 10,35. Quanto
Marisa pagou pela prestação atrasada?
OTÁVIO LUCIANO CAMARGO SALES DE MAGALHÃES 77
48) (PROVA BRASIL) Fernando tem, no seu cofrinho, cinco moedas de R$ 0,05, oito moedas de R$
0,10 e três moedas de R$ 0,25. Que quantia Fernando tem no cofrinho?
ADIÇÃO E SUBTRAÇÃO DE NÚMEROS DECIMAIS I
1) (Imenes & Lélis,2012) Observe como João calcula mentalmente:
Faça como João: dê os resultados das contas usando números
com vírgula:
a) 5 décimos mais 2 décimos.
b) 7 décimos mais 8 décimos.
c) 3 vezes 4 décimos.
d) 6 vezes 4 décimos, mais 6 décimos
2) (Imenes & Lélis,2012) Complete a tabela:
3) (Imenes & Lélis,2012) Matheus disse que 7 reais e 50 centavos mais 3 reais e 70 centavos dão
10 reais e 120 centavos. Isso não é errado, mas não é usual. Escreva o resultado na forma usual.
4) (Material do Positivo – 6º ano) Somar 32 com 47 é muito parecido com somar 3,2 com 4,7. Por
quê?
5) (Material do Positivo – 6º ano) Efetue mentalmente
a) 1,5+0,9 b) 12,8+0,7 c) 5,4+1,8 d) 6,9+1,8
e) 7-1,2 f) 1,8-0,9 g) 2,6-0,7 h) 4,5-0,7
6) (Material do Positivo – 6º ano) Procure chegar na resposta sem armar as contas
a) 2,17+21,143
b) 2,17+21,143+0,88
c) 7,7-3,55
d) 1-0,11
OTÁVIO LUCIANO CAMARGO SALES DE MAGALHÃES 78
7) (Material do Positivo – 6º ano) Vou aproveitar as ofertas da semana do
supermercado Carestia comprando uma unidade de cada mercadoria.
Quanto vou economizar em relação aos preços normais?
8) (Material do Positivo – 6º ano) Em cada sequência abaixo, passamos de um número para o
seguinte somando ou subtraindo sempre a mesma quantidade. Descubra qual é a quantidade, copie
cada sequência e complete-a corretamente.
a) 0,6 0,55 ___ ___ ___
b) ___ ___ ___ 1,17 1,21
c) 0,087 0,095 ___ ___ ___
d) 4,25 ___ 3,25 ___ ___
9) (Material do Positivo – 6º ano) O quadrado ao lado é mágico. Somando três números de cada
linha, coluna ou diagonal, o resultado dá sempre 6. Descubra os números que faltam no quadrado.
10) (Material do Positivo – 6º ano) Bia fez esta conta:
Verifique se a conta de Bia está correta. Se não estiver,
explique qual foi o erro.
11) (Material do Positivo – 6º ano) Faça os cálculos, tentando não fazer cálculos armando as contas:
a) 2,3+12,81 b) 2,3+12,81 c) 15,01-0,45 d) 15,01-0,455
12) (Material do Positivo – 6º ano) Descubra a regra de formação das sequências e escreva os dois
próximos termos de cada uma:
a) 0,7 1,2 1,7 ____ ____
b) 13,5 12,7 11,9 ____ ____
c) 0,03 0,3 3 ____ ____
d) 120 12 1,2 ____ ____
e) 0,2 0,4 0,8 ____ ____
f) 0,06 0,3 1,5 ____ ____
OTÁVIO LUCIANO CAMARGO SALES DE MAGALHÃES 79
ADIÇÃO E SUBTRAÇÃO DE NÚMEROS DECIMAIS II
13) Determine as somas (arme e efetue)
a) 4,516+2,8 b) 3,4+4,66 c) 4,7+3 d) 3,8+5+7,25
b) 3,8+5+7,25 f) 25,3+0,1+1,04 g) 45,6+32,84+90,16
14) Determine as diferenças (arme e efetue)
a) 8,4-4,08 b) 48-36,25 c) 0,4-0,325 d) 1-0,275
c) 5,6-4 g) 12,36-8,634
15) Determine o valor das expressões (arme e efetue):
a) 5,42-3,26+2,048 b) 12,4+8,6-9 c) 4,25-0,75+5,06
d) 15-9,6+2,45 e) 3,5-(2-1,25) f) 3-(0,72+1,025)
OTÁVIO LUCIANO CAMARGO SALES DE MAGALHÃES 80
16) (Imenes & Lélis,2012) Raul ficou encarregado de comprar alguns ingredientes. Calcule quanto
ele vai gastar para comprar o que está na lista.
MULTIPLICAÇÃO E DIVISÃO POR 10, 100, 1000
FAÇA OS CÁLULOS SEM ARMAR AS CONTAS OU FAZER USO DE CALCULADORA
5 x 10 =________
8 x 10 =________
15x10=________
80x10=________
95x10=________
152x10=________
1523x10=________
6,2x10=________
5,3x10=________
11,4x10=________
5,14x10=________
2,38x10=________
12,15x10=________
115,2x10=________
1,523x10=________
1,122x10=________
15,133x10=________
0x10=________
0,5x10=________
0,6x10=________
1,3x10=________
0,62x10=________
0,44x10=________
0,233x10=________
5 x 100 =________
8 x 100 =________
15x100=________
80x100=________
95x100=________
152x100=________
1523x100=________
6,2x100=________
5,3x100=________
11,4x100=________
5,14x100=________
2,38x100=________
12,15x100=________
115,2x100=________
1,523x100=________
1,122x100=________
15,133x100=________
0x100=________
0,5x100=________
0,6x100=________
1,3x100=________
0,62x100=________
0,44x100=________
0,233x100=________
5 x 1000 =________
8 x 1000 =________
15x1000=________
80x1000=________
95x1000=________
152x1000=________
1523x1000=________
6,2x1000=________
5,3x1000=________
11,4x1000=________
5,14x1000=________
2,38x1000=________
12,15x1000=________
115,2x1000=________
1,523x1000=________
1,122x1000=________
15,133x1000=________
0x1000=________
0,5x1000=________
0,6x1000=________
1,3x1000=________
0,62x1000=________
0,44x1000=________
0,233x1000=________
1) (Imenes & Lélis,2012) Calcule quanto dá 10 x 0,1. Explique com suas palavras o resultado.
2) (Imenes & Lélis,2012) Efetuem as multiplicações
a) 2,1 x 10 b) 6,13 x 10 c) 4,941 x 10
3) (Imenes & Lélis,2012) Efetuem as multiplicações
a) 2,137 x 100 b) 2,137 x 1000 c) 0,01 x 100 d) 0,01 x 1000
OTÁVIO LUCIANO CAMARGO SALES DE MAGALHÃES 81
4) (Imenes & Lélis,2012) Efetue as divisões
a) 439,6:10 b) 439,6:100 c) 439,6:1000
5) (Imenes & Lélis,2012) Está certa a conta 10 x 0,2 = 0,20? Por quê?
6) (Imenes & Lélis,2012) Observe a conta 10 x 1,23=12,3. Uma pessoa disse que a vírgula mudou
de posição; outra pessoa disse que foram os algarismos que mudaram de posição. Qual delas está
com a razão?
7) (Imenes & Lélis,2012) Calcule mentalmente:
a)1% de R$ 350,00 b) 1% de R$ 35,00 c) 1% de R$ 128,00d) 1% de R$ 1500,00
8)(Imenes & Léllis, 2012) Veja o esquema
Agora complete os esquemas desenhando as figuras corretas sob a ponta da seta
Veja o novo esquema:
5 décimos e 7 centésimos -----x10-----> 5 unidades e 7 décimos
Agora complete os resultados:
9) (Imenes & Léllis, 2012) Leia o professor explicando para Isabela:
Transforme as medidas em metros para medidas em centímetros:
a) 0,34 m b) 1,75 m c) 2,4 m d) 6,25 m
OTÁVIO LUCIANO CAMARGO SALES DE MAGALHÃES 82
10) (Imenes & Léllis, 2012) Efetue as divisões:
a) 31,4:10 b) 3,14:10 c) 314:100 d) 31,4:1000
11) (Imenes & Léllis, 2012) Você já percebeu que, quando passamos de metro para centímetro, o
número da medida é multiplicado por 100, porque cada metro tem 100 centímetro. Veja:
Portanto, para passar de centímetro para metro, você faz o inverso, ou seja, divide o número da
medida por 100, porque cada 100 centímetros formam 1 metro. Observe:
Com base nisso, apresente os cálculos para transformar:
a)756 cm = ___m b) 810 cm = ___m c) 95 cm = ___m d) 80 cm = ___ m
12) (Imenes & Léllis, 2012) Complete as tabelas:
13) (Imenes & Léllis, 2012) Calcule sem armar a conta:
a) 0,38 x 10 x 10 b) 0,38 x 100 c) 1,21 x 10 x 100 d) 1,21 x 1000
14) (Imenes & Léllis, 2012) Um número foi multiplicado por 1000 e dividiu por 10, o que resultou em
5,5. Qual era o número inicial?
15) (Imenes & Léllis, 2012) Veja 1 km = 1.000m, 2 km = 2.000m, etc., notamos que, para
transformar a medida em quilômetro na medida em metro, basta multiplicar o número da medida por
1.000. Transforme quilômetro em metro e metro em quilometro:
a) 37,3 km b) 87.400 m
c) 2,5 km d) 1200 m
e) 87 450 m f) 6,75 km
g)31 km h) 200 m
OTÁVIO LUCIANO CAMARGO SALES DE MAGALHÃES 83
16) (Imenes & Léllis, 2012) Como 1 kg = 1000 g, para passar de quilograma para grama, devemos
multiplicar por 1.000. Se você entendeu, é capaz de fazer o contrário, ou seja, passar de grama para
quilograma:
a) 37 g b) 370 g c) 3750 g d) 4185 g
17) (Imenes & Léllis, 2012) Observe o diálogo
Percebe-se que os dois cozinheiros estão pensando em
unidades de medidas diferentes. Quais seriam essas unidades
para cada cozinheiro?
18) (Apostila do Positivo - 6º ano) A Região Norte é,
geograficamente a maior do Brasil, com mais de 3.000.000 km2,
ocupando 45,28% do território nacional e abrigando a maior
parte da Amazônia brasileira. Fazem parte da Amazônia
brasileira. Fazem parte da Região Norte: Acre, Amapá,
Amazonas, Pará, Rondônia, Roraima e Tocantins.
a) O mapa ao lado está na escala 1:100.000.000. Qual é o
significado dessa notação?
b) Meça no mapa a distância em linha reta entre Manaus e
Palmas.
c) Qual a distância real aproximada entre Manaus e Palma?
d) Meça no mapa a distância entre Rio Branco e Boa Vista.
e) Qual a distância real aproximada entre Rio Branco e Boa Vista?
19) (Apostila do Positivo – 6º ano) Complete a tabela:
20) (Apostila do Positivo – 6º ano) Calcule mentalmente:
a) 18,5 x 10 b) 2,345 x 1000 c) 9,09 x 100
d) 5,1 x 100 e) 4,3 x 10 f) 0,5 x 1000
g) 51,2 x 100 h) 2,8 x 100
MULTIPLICAÇÃO DE NÚMEROS DECIMAIS I
1) (Imenes & Léllis, 2012) Quantas casas decimais tem o produto na multiplicação de 121.427,3 por
5.375.897,7?
2) (Imenes & Léllis, 2012) Efetue 45 x 137. Em seguida, sem fazer novas contas, resolva:
a) 45 x 13,7 b) 45 x 1,37 c) 4,5 x 137 d) 4,5 x 13,7
e) 0,45 x 13,7 f) 0,45 x 1,37
OTÁVIO LUCIANO CAMARGO SALES DE MAGALHÃES 84
3) (Imenes & Léllis, 2012) O preço do litro de gasolina é um número com três casas decimais.
Quando compramos certo número de litros, calculamos o total e desprezamos a casa dos
milésimos. Com base nesses dados, quanto devemos pagar por 25 L de gasolina a R$ 2,897 o litro?
4)(Imenes & Léllis, 2012) É possível o produto de dois números decimais ser menor que cada um
dos fatores? Se for, você consegue explicar esse fato?
5) (Imenes & Léllis, 2012) 0,5 x 16 dá 8, ou seja, a metade de 16. Quando efetuamos 0,5 x N, o
resultado é metade do número N. Por quê?
6) (Imenes & Léllis, 2012) No dia do vencimento do aluguel de nossa casa, no valor de R$ 485,00,
meu pai não tinha dinheiro para pagá-lo. Ao pagar o aluguel após o vencimento, arcou com 3% de
multa. Quanto ele pagou no total?
7) (Imenes & Léllis, 2012) Observe com atenção as dimensões da estante ao lado e dê sua altura
em metros. (Atenção: A espessura das prateleiras está em centímetro!)
8) (Imenes & Léllis, 2012) Complete os diagramas:
9) (Imenes & Léllis, 2012) Complete as frases:
a) Multiplicar por 0,3 é o mesmo que multiplicar por 3 e dividir por ____.
b) Multiplicar por 0,1 é o mesmo que dividir por ___
OTÁVIO LUCIANO CAMARGO SALES DE MAGALHÃES 85
10) (Imenes & Léllis, 2012) Efetue mentalmente:
a) 2 x 1,5 b) 0,2 x 1,5 c) 0,2 x 0,15 d) 5 x12 e) 0,5 x 0,12
11) (Imenes & Léllis, 2012) Calcule:
a) 7% de R$ 30,00. (Dica: comece calculando 1% de R$ 30,00...)
b) 16% de 123,00.
12) (Imenes & Léllis, 2012) Hoje cedo, quando saí para ir à escola, o marcador de quilometragem do
carro da minha mãe registrada este número:
Quando lá chegamos, o marcador indicava:
Sabendo que o quadrinho colorido do marcador indica os décimos de quilômetro, responda:
a) Escreva uma subtração que resulte na distância, em quilômetro, da minha casa até a escola.
b) Minha mãe me leva para a escola e volte para casa. Depois, ela vai me buscar e voltamos para
casa. Escreva uma multiplicação que resulte na distância, em quilômetro, que ela percorre
aproximadamente.
c) Escreva as respostas dos itens ‘a’ e ‘b’ em metros.
13) (Imenes & Léllis, 2012) Que azar! A nota fiscal está rasgada.
a) Descubra qual foi o gasto total.
b) Crie e escreva outro problema sobre uma nota fiscal rasgada.
14) (Apostila do Positivo – 6º ano) De acordo com esses produtos, quanto você pagaria se
comprasse 3 pacotes de biscoito, 5 latas de leite e 10 sabonetes?
15) (Apostila do Positivo – 6º ano) Mônica estava voltando para casa quando percebeu que estava
quase sem combustível no carro. Ao estacionar no posto de combustível viu que o preço da gasolina
era R$ 2,979 o litro. Quanto ela gastou ao colocar 10 litro desse combustível para completar o tanque?
OTÁVIO LUCIANO CAMARGO SALES DE MAGALHÃES 86
16) (Apostila do Positivo – 6º ano) Calcule:
a) O dobro de 2,51 b) o triplo de 0,04
b) O dobro de 1,7 adicionado a 0,5 d) o triplo de 0,27 subtraído de 3
17) (Apostila do Positivo – 6º ano) Faça uma estimativa de cada produto a seguir:
a) 45,1 x 3,4 b) 0,31 x 2,8 c) 9,9 x 4 d) 25,3 x 12
Verifique com a calculadora suas estimativas
18) (Apostila do Positivo – 6º ano) Alguns produtos estavam em promoção no supermercado.
a) Quantos reais gastaria uma pessoa que comprasse 2,5 kg de batata e 1,8 kg de cenoura?
b) E quem comprasse 0,5 kg de tomate e 3,5 kg de banana.
MULTIPLICAÇÃO DE NÚMEROS DECIMAIS II
19) Efetue as multiplicações (arme e efetue):
a) 3,8 x 6,7 b) 4,12 x 9 c) 0,25 x 0,36 d) 8,35 x 8 e) 18 x 3,14
f) 8,56 x 7,3 x 2 g) 0,125 x 4 h) 9,736 x 9,6 i) 0,924 x 1,8 j) 0,25 x 0,2
k) 0,2 x 0,2 x 0,2 l) 28 x 0,1 m) 4,5 x 0,01 n) 0,1 x 0,001 o) 3,6 x 0,4 x 0,01
OTÁVIO LUCIANO CAMARGO SALES DE MAGALHÃES 87
20) Determine o valor das expressões (arme e efetue):
a) 9,6 x 7,8 + 5,12 b) 10 – 6,3 x 0,87 c) 5,4 x (3 – 1,67)
d) 3,2 x 5 – 10,28 e) 2,8 x 0,6 – 0,9 x 1,4 f) 18,86 – 3,8 x 4,7
21) Calcule o dobro de 4,5.
22) Calcule o triplo de 12,30.
23) Se a= 2,3 x 3,8 e b= 5,6 – 3,4, calcule o valor de a-b
24) Comprei 8 objetos a Cr$ 182,50 cada um. Dei ao caixa Cr$ 1.500,00. Quanto devo receber de
troco?
25) Considerando que o passo de Rafael mede 0,83 metro, quantos metros ele terá andado ao dar
2.500 passos?
26) Se 1 metro de arame custa Cr$ 8,00, quanto pagarei por 7,5 metros?
27) Para fazer um vestido, Flávia comprou 2,75 metros de tecido a Cr$ 816,00 o metro e pegou Cr$
2.000,00 de feitio. Em quanto ficou esse vestido?
PROVA DE MATEMÁTICA APLICADA 2/12/2014 EM MONTE SANTO DE MINAS (6º ANO)
1) Transforme em fração:
a) 0,3 b) 0,12 c) 1,2 d) 2,54 e) 1,420
f) 0,00002 g) 13,4 h) 140,44 i) 1999,5
2) Transforme em número decimal:
a) 415/10 b) 1592/100 c) 4/10 d) 4/100
e) 5/1000 f) 128/1000 g) 4523/10000
3) Compare:
a) 2,5_______ 2,5000 b) 1,00___ 1 c) 1,42____ 1,042
d) 1,25_____ 1,205 e) 2,34 ___ 2,332 f) 1,9999____ 2
g) 14,1______ 1,4 h) 1,3000____ 1,300 i) 1,30___ 1,03
OTÁVIO LUCIANO CAMARGO SALES DE MAGALHÃES 88
4) Ache um número:
a) Entre 0 e 1
b) Entre 2,5 e 2,6
c) Entre 3,14 e 3,15
5) Dê um valor aproximado razoável para x, y, z e w:
PROVA 7º ANO DE MONTE SANTO DE MINAS SOBRE NÚMEROS DECIMAIS 2015
Várias versões de prova. As questões abaixo eram de algumas delas.
1) Numa livraria, um funcionário organizou uma pilha de pactos de papel sulfite para venda. Cada
pacote possui 500 folhas e massa total aproximada de 2,5 kg.
Qual é a massa total da pilha? Explique seu raciocínio.
2) Efetue os cálculos, armando a conta sempre que possível (será avaliada a “conta armada”)
5– 3,926 0,032 x 0,042
1
5
+ 0,25
0,24 x 0,0031
1
2
+ 0,5 10 – 8,411
0,032 x 0,041 8 – 6,521 0,5+
1
2
5– 3,916 0,031 x 0,042
1
5
+ 0,35
0,24 x 0,031
1
2
+ 0,6 9 – 8,411
0,032 x 0,021 8 – 6,531 0,6+
1
2
5– 3,921 0,012 x 0,042
1
5
+ 0,45
0,24 x 0,0021
1
2
+ 0,7 10 – 8,421
0,032 x 0,031 8 – 6,621 0,4+
1
2
OTÁVIO LUCIANO CAMARGO SALES DE MAGALHÃES 89
3) Efetue (pode ser mentalmente)
5,282 – 3,282 0,04 x 800 142,5 : 0,001 42 x 0,5 8 x 0,25
4,232 – 3,232 0,02 x 800 24,25 : 0,001 68 x 0,5 12 x 0,25
5,144 – 2,144 0,03 x 8000 1,425 : 0,001 120 x 0,5 12x 0,25
0,7 x 9000 52 x 0,5 44 x 0,25 42,162-40,144 5,22 : 0,01
0,3 x 9000 48 x 0,5 64 x 0,25 51,162-40,144 8,22 : 0,01
0,7 x 5000 90 x 0,5 60 x 0,25 42,512-30,512 51,22 : 0,01
6,205 : 0,001 0,03 x 400 22 x 0,5 9,154 – 4,154 88 x 0,25
64,11 : 0,001 0,03 x 500 400 x 0,5 10,154 – 4,154 400 x 0,25
62,05 : 0,001 0,01 x 300 40 x 0,5 9,154 – 3,154 120 x 0,25
4) Determinado produto custava R$ 420,00. Ele foi vendido com um desconto de 7,5%. Por quanto foi
vendido esse produto?
5) Ao pagar uma conta atrasada, no valor de R$ 160,00, Nelly pagou uma multa de 4,5%. Qual foi o
preço pago por Nelly por essa conta?
6) Um jogo aumenta em 1,5% os pontos de um jogador que consegue pegar certa estrela dourada.
Se o jogador tem 1400 pontos antes de pegar tal estrela, qual será sua pontuação após captura-la?
7) Determinado produto custava R$ 450,00. Ele foi vendido com um desconto de 7,5%. Por quanto foi
vendido esse produto?
8) Ao pagar uma conta atrasada, no valor de R$ 160,00, Nelly pagou uma multa de 3,5%. Qual foi o
preço pago por Nelly por essa conta?
9) Um jogo aumenta em 2,5% os pontos de um jogador que consegue pegar certa estrela dourada.
Se o jogador tem 1400 pontos antes de pegar tal estrela, qual será sua pontuação após captura-la?
10) Determinado produto custava R$ 410,00. Ele foi vendido com um desconto de 7,5%. Por quanto
foi vendido esse produto?
11) Ao pagar uma conta atrasada, no valor de R$ 150,00, Nelly pagou uma multa de 4,5%. Qual foi o
preço pago por Nelly por essa conta?
OTÁVIO LUCIANO CAMARGO SALES DE MAGALHÃES 90
12) Um jogo aumenta em 1,5% os pontos de um jogador que consegue pegar certa estrela dourada.
Se o jogador tem 1300 pontos antes de pegar tal estrela, qual será sua pontuação após captura-la?
13) Matheus tem idéias diferentes. Ele pensou em medir com o seu palmo a distância entre a Escola
Nova e a Escola Wenceslau Bráz. Se a distância entre as escolas é de 150 m e o palmo de Matheus
é de 15 cm, qual será a distância entre as escolas em “palmos de Matheus”?
14) A distância entre a Terra e o Sol é de 149.000.000 km. Um disco voador faz a viagem entre a
Terra e o Sol, de ida e volta, 5 vezes por semana. Qual é a distância percorrida por esse disco voador
em metros?
15) O Pokémon Axukisei é muito grande e gordo pesando 4,5 kg. O seu irmão, o Pokémon
Axukinumsei tem outro peso: 11.500 g. Qual é a diferença entre os pesos dos dois Pokémons?
16) Lucas Bone e Linconl disputam para ver quem consegue juntar mais argolas de latinhas de
refrigente. Lucas Bone conseguiu arrecadar 4.200 g em latinhas, enquanto Linconl arreadou 5,25 kg.
Qual é a diferença de arrecadação entre os dois?
17) Rafaela caminha por dia 9,8 km. Nicoly caminha por dia 10.800 m. Qual é a diferença, em
centímetros, do que uma percorre em relação à outra?
18) Anunciado o preço de R$ 4,50 por 100 g de biscoito, quanto pagará quem comprar 1,2 kg de
biscoitos?
19) Sabendo que 1 metro de tecido custa R$ 9,42, qual é o preço de 40 cm desse tecido?
20) Arnaldo, Cernaldo e Bernaldo são seres extraterrestres de tamanhos e formatos diferentes.
Arnaldo pesa 4,2 kg. Bernaldo pesa 52.400 g. Cernaldo pesa 42.000.000 mg. Quanto pesam os três
seres juntos?
21) Quantos centímetros caminha quem anda 2,45 km?
OTÁVIO LUCIANO CAMARGO SALES DE MAGALHÃES 91
22) Escreva as operações que você precisará realizar para resolver o problema (não é necessário
efetuar os resultados!). Você precisará eliminar os zeros quando for conveniente, para apresentar a
melhor resposta.
a) Comprei 4,52 m de um tecido que custa R$ 2,80 por metro. Ainda paguei mais R$ 42,50 pela
mão de obra. Quanto paguei?
b) Eu tenho 5.420,00 g de doce para repartir. Eu ficarei com a metade, e o restante dividirei com
4 amigos. Quanto receberá cada amigo?
c) Comprei 4,42 m de um tecido que custa R$ 2,80 por metro. Ainda paguei mais R$ 43,50 pela
mão de obra. Quanto paguei?
d) Eu tenho 5.320,00 g de doce para repartir. Eu ficarei com a metade, e o restante dividirei com
3 amigos. Quanto receberá cada amigo?
e) Comprei 3,52 m de um tecido que custa R$ 2,80 por metro. Ainda paguei mais R$ 52,50 pela
mão de obra. Quanto paguei?
f) Eu tenho 5.410,00 g de doce para repartir. Eu ficarei com a metade, e o restante dividirei com
4 amigos. Quanto receberá cada amigo?
PARA TIRAR DÚVIDAS QUANTO AOS PRINCIPAIS ERROS NA PROVA
Jamais confunda!
(1) 5 – 3,12 NÃO PODE armar como 3,12 em cima
(2) UNIDADE EM BAIXO DE UNIDADE, VÍRGULA EM BAIXO DE VÍRGULA!
1) Arme e efetue:
a) 10 – 9,126 b) 1 – 6,12 c) 5,423 – 1
2) Calcule mentalmente:
a) 8,144 – 4,144 b) 17,2574 – 10,2574
3) FIQUE ATENTO AO QUE O PROBLEMA ESTÁ PEDINDO!
Escreva o cálculo que você utilizará para resolver o problema.
a) Se cada litro de gasolina custa R$ 3,399, quanto custará 82,46 litros?
b) Se o meu carro tiver um marcador digital de capacidade de combustível, marcando 42,1 litros
antes do abastecimento e depois do abastecimento marcar 69,7 litros, qual será o meu custo?
c) Se eu comprar 62,5 litros de gasolina com um desconto de 21,3%, qual será o meu desconto?
OTÁVIO LUCIANO CAMARGO SALES DE MAGALHÃES 92
SÓ APRENDE MATEMÁTICA SE: * PRESTAR ATENÇÃO NA AULA
* FAZER TODOS OS EXERCÍCIOS PROPOSTOS! JAMAIS COPIAR
* ESTUDAR EM CASA Caso contrário: IMPOSSÍVEL!
4) Lembre-se que:
1
2
= 0,5
1
4
= 0,25
1
5
= 0,2
Calcule:
a)
1
4
+ 2,5 b)
1
2
+ 0,6 c)
1
4
+
1
2
5) Quanto vale R$ 2
1
4
? E R$ 1
3
4
?
FOI EXPLICADO MUITAS VEZES E MUITOS ALUNOS NÃO OUVIRAM
÷ 0,1 é mesma coisa que x 10
÷ 0,01 é mesma coisa que x 100
÷ 0,001 é mesma coisa que x 1000
Mas IMPRESSIONANTEMENTE a maioria errou!
6) Calcule:
a) 46 ÷ 0,1 b) 6,2 ÷ 0,1 c) 0,062 ÷ 0,1
d) 46 ÷ 0,01 e) 6,2 ÷ 0,01 f) 0,062 ÷ 0,01
g) 46 ÷ 0,001 h) 6,2 ÷ 0,001 i) 0,062 ÷ 0,001
TAMBÉM FOI DITO E REDITO, MAS MUITOS NÃO OUVIRAM!
÷ 0,5 é mesma coisa que x 2
÷ 0,25 é mesma coisa que x 4
÷ 0,125 é mesma coisa que x 8
7) Calcule mentalmente (veja o quadrinho acima):
a) 8÷ 0,5 b) 66 ÷ 0,5 c) 5 ÷ 0,5
d) 40 ÷ 0,25 e) 64 ÷ 0,25 f) 100 ÷ 0,25
g) 8 ÷ 0,125 h) 80 ÷ 0,125
8) Calcule mentalmente (só pensar!)
a) 6 x 0,5 b) 44 x 0,25 c) 50 x 0,5
d) 40 x 0,25 e) 0,44 x 0,25 f) 1,60 x 0,5
9) Multiplicar por 5 é o mesmo que dividir por ________
Multiplicar por 3 é o mesmo que dividir por ________
Dividir por 5 é o mesmo que multiplicar por _________
OTÁVIO LUCIANO CAMARGO SALES DE MAGALHÃES 93
OTÁVIO LUCIANO CAMARGO SALES DE MAGALHÃES 94
NOÇÃO DE NÚMERO NEGATIVO
1) Mariazinha, menina esperta, observadora resolveu apostar com os colegas que ela falaria um
número mais baixo que eles. Chegou em Luiz e pediu que ele falasse um número. Luiz falou 5.
Facilmente ela disse um número menor 4! Jonas, percebendo o que havia acontecido falou 0! Fale
um número menor que 0! Facilmente Mariazinha disse um número menor.
a) Que número Mariazinha pode ter dito?
b) Fale um número menor que o número que você acha que Mariazinha falou. E um número menor
que este ainda.
2) Dados os números abaixo, coloque na ordem crescente. Do menor para o maior!
a) –3, -5, +2, +4, -9, 0 e +11 b) –5, +4 -2, +5, -11, +16
3) Abri uma conta corrente dia 29/01, depositando 265 reais na conta. Preencha a tabela abaixo, de
acordo o movimento de dinheiro nesta conta:
MOVIMENTO SALDO APÓS O MOVIMENTO
02/02 - Emiti um cheque no valor de R$ 65,00
05/02 – Emiti um cheque no valor de R$ 418,00
16/02 – Depositei R$ 190,00 na conta
22/02 - Emiti um cheque de R$ 80,00
28/03 – Depositei R$ 123,00 na conta
Ao final do mês meu saldo estava positivo ou negativo? De quanto?
4) Acreditam os historiadores que Jesus Cristo nasceu no ano 4 aC. Se isto for verdade, em que ano
Jesus Cristo morreu, sabendo que ele morreu aos 33 anos.
5) Quantos anos se passaram do ano 500 aC até o ano 1998 dC?
6) A temperatura de uma cidade próxima ao polo norte em certo dia foi de 13o . Sabendo que a
temperatura média anual é de –20o , quantos graus acima da média de temperatura apresentou-se
neste dia?
7) Uma balança com tara desregulada pesa uma taça cheia de sorvete e aponta 300 g. Sabendo que
o peso da taça é de 500 g, e que a tara estava preparada para 400g, responda:
a) Quantos gramas de sorvete a pessoa perderá?
b) Qual o peso que será marcado com a taça vazia?
c) Qual o peso que será marcado pela balança com uma taça de 200 g vazia?
8) Os alunos da 6a série se reuniram para realizar um campeonato de Futebol, se inscreveram os
seguintes times: Urubus da Fiel, Sai de Baixo, Bola Mucha, Quebra Pedra e Racha Cuca. No final do
campeonato, todos os times empataram na quantidade de pontos e no regulamento estava escrito
que o time que tivesse maior Saldo de Gols. Utilizando a tabela abaixo decida quem venceu o
campeonato:
EQUIPE GOLS MARCADOS GOLS TOMADOS SALDO DE GOLS
Urubus da Fiel 24 22
Sai de Baixo 26 33
Bola Mucha 5 12
Quebra Pedra 25 27
Racha Cuca 18 15
9) Calcule as somas algébricas:
a) –3+2 b) +3+5 c) –9-11 d) +7-9 e) –1-12
f) –1+4 g) +5-2 h) 1+7 i) 1-7 j) 2-12
l) +2-11 m) –6+14 n) –10+7 o) +7-10 p) +10-7
q) –7+10 r) –4+4 s) –12+0 t) –6+6 u) –11+4
v) –4+2 x) –1-2 z) –12+2
OTÁVIO LUCIANO CAMARGO SALES DE MAGALHÃES 95
54) Calcule as somas algébricas:
a) –15+41+12+21-43 b) –7-8+24-10+31-4-19 c) 19-21+100+36-100-35
55) Na Gincana Cultural Potências X Radicais existem os Pontos Variáveis. Neles, ambas equipes
começam com 25 pontos, cada ponto perdido em uma é ponto ganho em outra. Assim, sempre a
soma dos pontos variáveis será 50. Calcule quantos pontos ficará cada equipe nas seguintes
hipóteses:
a) Potências perde 5 pontos/ Radicais perde 8 pontos/ Radicais perde 11 pontos/ Potências perde 19
pontos/ Radicais perde 8 pontos/ Potências perde 16 pontos/ Potências perde 24 pontos/ Radicais
perde 17 pontos/ Potências perde 18 pontos.
b) Potências perde 10 pontos/ Potências perde 4 pontos/ Potências perde 3 pontos/ Radicais perde
15 pontos
c) Radicais perde 5 pontos/ Potências perde 8 pontos/ Radicais perde 4 pontos/ Radicais perde 8
pontos
d) Potências perde 1 ponto/ Potências perde 10 pontos/ Radicais perde 4 pontos/ Potências perde 3
pontos
e) Radicais perde 9 pontos/ Potências perde 4 pontos/ Potências perde 3 pontos/ Potências perde 2
pontos/ Radicais perde 18 pontos
7) Calcule quantos pontos variáveis tem a equipe dos Radicais se a equipe Potências tem:
a) 15 pontos b) - 23 pontos c) 39 pontos d) 68 pontos
e) 100 pontos f) –12 pontos g) –14 pontos h) 385 pontos
8) Em determinado dia o placar dos pontos variáveis estava –12x62 para a equipe dos Potências.
Após este dia, no dia seguinte somando os pontos perdidos dos Potências achamos 145 e os pontos
perdidos dos Radicais achamos 132 pontos. Qual foi o placar deste dia seguinte?
9) Resolva as expressões:
a) 10+[-8-(-1+2)] b) –4-[-2+5-(-5+2)]-1+7 c) –4-12+9-(-2+6-8)
10) A equipe dos Potências tinha 78 pontos, e perdeu 10 mais 7 pontos. Quantos pontos ela perdeu?
Com quantos pontos ficou a equipe dos Radicais?
11) Resolva as expressões:
a) –3-[-(-1+6)+4-(-1-2+3)-1] b) 1-(-2)-[-(-2)-3-(-6+2)]
OTÁVIO LUCIANO CAMARGO SALES DE MAGALHÃES 96
12) a) Quanto vale o oposto de –3? b) Quanto vale o oposto do oposto de –3?
c) Quanto vale –(-3)? d) Quanto vale –[-(-3)]?
13- Identifique as figuras simétricas dentre as apresentadas abaixo:
14.No início do mês, tinha um saldo de R$ 250,00 de débito no Banco (estava no “vermelho”).
Num período de 15 dias verifiquei o seguinte movimento:
CRÉDITOS DÉBITOS
01 - Salário R$ 550,00 02 - Pagamento Água R$ 42,00
07 - Depósito R$ 155,00 02 - Pagamento Telefone R$ 152,00
11 - Empréstimo R$ 322,00 02 - IPTU – 1ª parcela de 12 R$ 15,00
15 - Restituição IR R$ 12,00 04 - Saque R$ 145,00
05 - Cheque compensado R$ 150,00
06 - Saque R$ 150,00
09 - Taxas bancárias R$ 35,00
14 - CPMF R$ 8,00
a) Calcule quanto estava meu saldo bancário nos dias: 02, 04, 05, 06, 09, 11 e 15.
b) Considerando que o juros de empréstimo é menor que o do cheque especial, o que você acha
do empréstimo feito no dia 11?
16. Determine o módulo e o oposto dos números:
a) 5 b) – 3 c) 0 d) +7
17. Numa gincana uma equipe tem 50 pontos, perde 7, ganha 5, perde 11, perde 17, perde 23, perde
19, ganha 15, ganha 5, ganha 2, ganha 13, perde 41, ganha 43, perde 11. Quantos pontos esta equipe
fica após todas estas perdas e ganhos de pontos?
20. (Concurso do SAAE – São Carlos – Aferidor de Hidrômetro – 2003) Extrato bancário do Sr. X
DATA DOC HISTÓRICO DÉBITOS
R$
VALORES
R$
03/08 - SALDO ANTERIOR 2.347,00 C
05/08 Cheque 452 COMPENSAÇÃO -550,00 D
06/08 Cheque 453 COMPENSAÇÃO -298,00 D
06/08 - SALDO ?
10/08 Cheque 454 COMPENSAÇÃO -1.700,00 D
11/08 - SALDO ?
Analisando esse extrato, o Sr. X tinha nos dias 06 de agosto e 11 de agosto, respectivamente:
a) saldo positivo de R$ 3.195,00 e R$ 5.615,00
b) saldo positivo de R$ 1.499,00 e um saldo negativo de R$ 201,00
c) saldos positivos de R$ 3.195,00 e R$ 1.495,00
d) saldos positivos de R$ 1.495,00 e R$ 201,00
21. (SIMAVE – 8ª série – 2002) Sr. Manoel é gerente de uma loja de roupas. Ele anota os lucros com
números positivos e o prejuízo com números negativos. Ao final do mês de outubro ele registrou:
Pode-se concluir que, ao final de outubro, a loja teve:
A) lucro de R$ 130,00 B) lucro de R$ 20,00
C) prejuízo de R$ 110,00 D) prejuízo de R$ 60,00
OTÁVIO LUCIANO CAMARGO SALES DE MAGALHÃES 97
ORDEM NOS INTEIROS
1- Eis algumas informações: a- A água ferve a uma temperatura de 100 graus acima de zero._____
b-O corpo humano mantém uma temperatura de 36 graus acima de zero._____ c- Um congelador
doméstico (freezer) mantém 18 graus abaixo de zero._____ Indique cada uma dessas
temperaturas,usando números positivos, negativos ou nulos .
2- O sr. Dis Traído tinha R$ 350,00 no banco e deu dois cheques, cada um de R$ 200,00. O sr. Gastão
tinha a mesma quantia no banco, e deu dois cheques, cada um de R$ 175,00. O sr. Dis Traído ficou
com saldo positivo, negativo ou nulo? E o sr. Gastão? Indique esses dois saldos:
___________________________
3- Um termômetro está marcando a temperatura de +5 graus Diga quanto ele marcará se a
temperatura :
a- subir 7 graus:_____ b- descer 5 graus:_____ c- descer 8 graus:_____ d- descer 12 graus:____ e-
subir 3 graus e depois descer 8 graus:_____ .
4- O sr. Fê Lizardo é irmão do gerente do banco. Por isso, no momento, seu saldo é de -R$500,00.
Qual será o saldo se ele: a- depositar R$1 000,00? b- em vez de depositar, retirar R$1 000,00? c-
retirar R$150,00 e depois ainda retirar R$250,00?a)___________________
b)___________________ c)__________________
5-Se tenho R$2 000,00 no banco e retiro R$2 300,00, fico com um saldo negativo de R$300,00. A
representação matemática desta situação é: 2 000-2 300=-300. Nas seguintes situações, não serão
dados os resultados; você é que deve descobrí-lo:
a- Tenho 10 000 e retiro 7 000. Qual é o meu saldo?_______________________________________
b- Tenho 8 000 e retiro 19 000. Qual fica sendo o meu saldo?_______________________________
c- Tenho 9 000 e retiro 23 000. Qual é o meu saldo?______________________________________
d- Tenho 0 e retiro 29 000. Qual é o meu saldo?_________________________________________
1- Nessas frases utilizamos os sinais > ou < . Quais delas são verdadeiras?
a) +5 <+7 b) -5 < +7 c) -5 < -7 d)+ 5 < -7 e) 0 > -8 f) 0 < -8 g) -8 < -7 h) -8 > -7
2-Escreva na ordem crescente os números: +9, -9, +5, -5, +1, -1 , 0. ________________________
3- Na reta dos números inteiros, a distância de -3 até +2 é 5. Diga a distância :
a) de -2 até +2._____ b) de -6 até 0. _____ c) de -17 até -9._____ d) de -30 até -2._____
4- Vamos representar Z da maneira habitual, por pontos marcados em uma reta. Diga qual é o número
representado pelo ponto que vem imediatamente :
a) à direita de +999.____ b) à direita de -999:_______ c) à esquerda de +999.____
d) à esquerda de -999._____ e) à direita de -1._____ f) à esquerda de -1._____
5-Sucessor de um número inteiro é o que está representado imediamente à direita deles, na reta dos
inteiros. Antecessor è o que está imediatamente à esquerda. Dê o que se pede: a) o antecessor de
+150:____ b) o susessor de +100:____ c) o antecessor de -150:_____ d) o sucessor de -100:_____e)
o sucessor de + 5:____ f) o antecessor de -7:_____
6- Apresente os opostos ou simétricos de: a) +5:____ b) -6:____ c) -30:____ d) +56:____ e) -7:____
7- Apresente os módulos de : a) +8:____ b) -9:____ c) -23:____ d) +88:_____ e) +1:____f) 0:_____
8-Responda: a) Qual o simétrico de -15?_____ b) Qual o valor absoluto de -15?_____ c) Qual o
simétrico de +20?_____ d) Qual o valor absoluto de +34?_____
9-O instante de lançamento de um foguete é o instante 0(zero). A contagem regressiva começa 60
segundos antes do lançamento, isto é, no instante -60.Indique com um número inteiro,estes instantes:
a) o segundo seguinte ao início da contagem:______ b) o do segundo anterior ao instante do
lançamento:______
10- O ponto mais alto do Brasil é o pico da Neblina. Localizado na serra Imeri no estado do Amazonas,
fronteira com a Venezuela, Tem 3 014 metros de altitude. E o ponto mais baixo do Brasil é a fossa do
Ramanche, no litoral do Nordeste. Fica a 7 370 metros abaixo do nível do mar.a) Represente essas
medidas usando números positivos ou negativos.________________ __________________ b)
Quantos metros a fossa do Ramanche é mais baixa que o pico da
Neblina?_________________________
11-Complete com < ou >
a) -8____-10 b) +13____+5 c) -7____+7 d) -17____-16 e) 0 ____-9
10 - Qual é o maior número inteiro o -4 ou o +1
OTÁVIO LUCIANO CAMARGO SALES DE MAGALHÃES 98
EXERCÍCIOS – COLÉGIO EINSTEIN “O GÊNIO DO BUENO”
1-) Na reta numérica a seguir, as abscissas dos pontos A e B são números opostos e a distância de A até C é
a mesma de C à origem. Sabendo que a abscissa de C é – 2,75, quais as abscissas de A e B?
2-) Observe a reta numérica e responda
a) Determine a abscissas de cada ponto representado por uma letra.
b) Qual número é maior: ● D ou E? ● A ou C? ● B ou D?
3-) Uma empresa divulgou um gráfico no qual apresentava o resultado de suas operações, ou seja, se teve
lucro ou prejuízo em cada bimestre de determinado ano.
a) Em quais bimestres a empresa lucrou? E em quais teve prejuízo?
b) O maior prejuízo ocorreu em qual bimestre? De quantos reais foi
esse prejuízo?
c) Quais bimestres obtiveram lucro entre R$ 25 000,00 e R$ 42
000,00?
4-) Veja quanto o termômetro está marcando em cada horário:
Às 8 horas Às 10 horas Às 14 horas Às 18 horas Às 22 horas À meia-noite
– 2º C 1º C 4º C 0º C 0º C – 1º C
Agora responda: de quantos graus a temperatura aumentou ou diminuiu:
a) das 8 horas às 10 horas? b) das 10 horas às 14 horas?
c) das 14 horas às 18 horas? d) das 18 horas às 22 horas?
e) das 22 horas à meia-noite?
5-) Determine o valor de cada letra no esquema.
OTÁVIO LUCIANO CAMARGO SALES DE MAGALHÃES 99
6-) Muitas espécies animais vivem em regiões bem profundas dos mares e oceanos. Devido à dificuldade em
realizar expedições de pesquisa nessas regiões, acredita-se que ainda existam muitas espécies não
catalogadas pelo homem. Observe algumas espécies animais que vivem nessas regiões.
O peixe A vive em regiões de até – 200m em relação ao nível do mar; o peixe B, em regiões até 2 vezes
mais profundas que o A; e o peixe C, em regiões até 5 vezes mais profundas que o B. Determine, em relação
ao nível do mar, até que profundidade vivem os peixes B e C.
OTÁVIO LUCIANO CAMARGO SALES DE MAGALHÃES 100
SOMA ALGÉBRICA
Para fazer a chamada “Soma Algébrica”, a mais usada operação com números positivos e negativos
usamos os seguintes mecanismos:
Exemplos:
a) +5-3
+5-3 é o mesmo que 5-3. É só contar nos dedos: dá 2!
Não precisa usar a regra publicada em livros “Quando na soma algébrica os sinais forem diferentes,
conserva-se o sinal do número de maior módulo e acha-se a diferença dos valores absolutos”.
Para padronizar a regra, podemos observar a reta numérica. Adição é “caminhar para frente” numa
reta numérica. Subtração é “caminhar para trás”.
Tome como ponto de partida o número 5. Caminhe 3 para trás. Achamos a resposta de 5-3 ou de +5-
3=2, ou +2.
Exatamente mesma coisa que aqueles “monstros” da 6ª série.
Você também pode pensar tenho 5, devo 3. Ou fazer bolinhas abertas e bolinhas fechadas e depois
preencher, mas, o uso na reta é mais natural.
b) +5-7
É 5-7. 7 é duas unidades mais que 5, então vamos chegar até o -2 se caminharmos na reta. É muito
fácil, e não precisa de regra e nem de “pegar o sinal do maior”, ou tenho e devo.
c) -5-2
Mesmo raciocínio. Você está no -5 e “anda 2” para trás
Achamos -7 e não precisamos usar nenhuma regra confusa.
d) +4+3
É lógico que 4+3 dá 7. Não precisamos de regras e nem da reta numerada.
e) -2+5
Veja na reta:
Dá 3 ou +3 se preferir.
f) -3+1
Veja na reta:
OTÁVIO LUCIANO CAMARGO SALES DE MAGALHÃES 101
g) -3+3
Dá 0. Soma de números opostos sempre resulta 0. Veja na reta:
Não confunda: falar “menos com menos dá mais”, e “sinais iguais, mais”, e outras regras prontas
assim. Estas regras só valem para MULTIPLICAÇÃO e DIVISÃO.
Para fazer somas algébricas com vários números -4+5-2+3-4, por exemplo, aconselhamos que some
primeiro todos os números negativos e depois os positivos: -10+8 e depois efetue a operação.
Se for possível, elimine alguns elementos.
Ex: -3+5-1+7-5-4
Podemos “cortar” +5 e -5, pois +5-5=0.
-3+5-1+7-5-4
Podemos também “cortar” -3-4 e +7, pois -3-4=-7
-3+5-1+7-5-4
1. Calcule as somas algébricas:
a) –3+2 b) +3+5 c) –9-11 d) +7-9 e) –1+4
f) +5-2 g) 1+7 h) 1-7 i) –4+4 j) –12+0
2. Calcule as somas algébricas:
a) –15+41+12+21-43 b) –7-8+24-10+31-4-19 c) 19-21+100+36-100-35
3. Resolva as expressões:
a) 10+[-8-(-1+2)] b) –4-[-2+5-(-5+2)]-1+7 c) –3-[-(-1+6)+4-(-1-2+3)-1]
d) 1-(-2)-[-(-2)-3-(-6+2)]
4. a) Quanto vale o oposto de –3? b) Quanto vale o oposto do oposto de –3?
c) Quanto vale –(-3)? d) Quanto vale –[-(-3)]?
5. Elimine os parênteses e resolva:
a) +(-4+5) b) –(-3-7) c) –(-3+5-1) d) –(-2+4-2-3) e) +(-2-3-5-9)
6. Calcule as somas algébricas, eliminando parênteses, colchetes e chaves:
a) +14-(-10+5+3) b) –15+[-4-(-5+20)] c) 20-{-10+[+20-(-20+10)]}
OTÁVIO LUCIANO CAMARGO SALES DE MAGALHÃES 102
OPERAÇÕES COM NÚMEROS NEGATIVOS
7. Calcule os produtos:
a) (+5).(+6) b) -5.(-6) c) (-5).(+6) d) (-5).(-6) e) -8.2
f) (-6).(-8) g) 2.(-1) h) (-4).0
8. Calcule os produtos:
a) (+3).(-7).(+2) b) (-4).(-2).(-2) c) (+3).(-2).(-5) d) 3.(-1).(-1).(-1)
9. Aplicando as regras práticas, determine os produtos:
a) (+2).(+1).(+1) b) (-2).(-1).(-1).(-1) c) (-1).(-1).(+2).(-2).(-1).(-2)
10. Calcule os quocientes:
a) (+15): (+3) b) (+15): (-3) c) -15: (+3) d) -15: 3 e) (+9): (-9) f) 0: (+7)
11. Calcule o valor das expressões:
a) a+b para a=3 e b=4 b) ab para a=2 e b=7
c) 5xy para x=-2 e y=5 d) 2x-y, para x=-3 e y=-5
e) 4x-2y+5z sendo x=-1, y=-6 e x=+5 f)6xy-5y, sendo x=+4 e y=-1
g) 5a-3ab+7b, para a=-3 e b=+2
12. Calcule as expressões:
a) (-4+20): (-8) b) (-6-14): (-6+1) c) (-8).(+3)-(-15): (+3)
d) [-8+(-4).(-3)]: (-1-1) e) (-6-2+3):[-3.(-2+3)+8] f) –20:{-6+[(-2).(-3): (+2)]-2}
(Exercícios de 1 à 12 usados pelo autor originalmente na EE Prof. Salatiel de Almeida, de Muzambinho
– MG, em abril de 1998, na 6ª série - adaptados)
OPERAÇÕES COM NÚMEROS NEGATIVOS
1) Calcule as somas:
a)+8-7 b) –2+8 c) 9+3 d) –10+5 e)3-5 f) 10-2
g) –2-8 h) –9-12 i) –8+8 j) –5-5 l) 1-2 m) 6-12
2) Calcule as somas:
a) –8+2-5 b) –6+4+8-9-7 c) +5+10-2-6
d) +3-8-6-4-1 e) –12+7+15-18-12 f) 8-2+5-6+4
g) 5-2+7-3+1 h) –3+9-10-8+16-2+24 i) +13-7-6-9+14
j) –25+3-18+21-30-16 l) –30-4+9+15-20+14 m) –22+18+16-3+21-10+17
OTÁVIO LUCIANO CAMARGO SALES DE MAGALHÃES 103
3) Efetue as adições, cancelando os números opostos:
a) –6+8+6-4+4+1 b) 4-9+2-1+9-2 c) 5+6-7+1+7-10
d) –3+4-5+3+6 e) 12-6+5-5+6-12 f) –1+1-4+4-5+6
4) Resolva os problemas:
a) Quantos anos viveu o matemático e filósofo francês René Descartes sabendo-se que ele nasceu
em 1596 e morreu em 1650?
b) Arquimedes, famoso matemático e inventor grego, nasceu em –287 e morreu em –212. Quantos
anos ele viveu?
c) Quem nasceu no ano 35 a . C. e morreu no ano 32 d. C. quantos anos viveu?
5) Elimine os parênteses e resolva:
a) +(-4+5) b) –(-4+5) c) +(+3+7) d) +(+3-7) e) –(+3-7) f) –(-3-7)
g) –(-3+5-1) h) –(-2+4-2-3) i) +(-2-3-5-9) j) +(-2+4-4+6)
l) –(+1-5-5-2) m) –(-2+9-2)
6) Calcule as somas algébricas, eliminando parênteses, colchetes e chaves:
a) +14-(-10+5+3) b) –15+[-4-(-5+20)] c) 20-{-10+[+20-(-20+10)]}
d) –12+(-6)-(-8-5) e) 20-[-8+(-15+9)] f) 4-{-6-[+7+(-3+1)]+5}
g)-2-{-[-(-1+4)]} h) 12+{-2+[-3-(-2+1)]}
7) Calcule os produtos:
a) (+5).(+6) b) (+5).(-6) c) (-5).(+6) d) (-5).(-6) e) (-8).(+2) f) (-6).(-8)
g) (+2).(-1) h) (-4).(-9) i) (+3).(+7) j) (-9).(+2) l) (-1).(-1) m) 0.(-4)
OTÁVIO LUCIANO CAMARGO SALES DE MAGALHÃES 104
9) Calcule os produtos:
a) (+3).(-7).(+2) b) (-4).(-2).(-2) c) (+3).(-2).(-5)
d) (-1).(-1).(-1) e) (+20.(+3).(+2) f) (+1).(-10).(-1)
g) (-2).(+2).(-2).(-1) h) (+3).(-4).(+2) i) (-8).(-2).(+1).(-3)
j) (-6).(+2).(-2).(+4) l) (-2).(-2).(-2).(-2) j) (-2).(-2).(-2).(-2).(-2)
10) Aplicando as regras práticas, determine os produtos:
a) (+2).(+1).(+1) b) (-1).(-1).(+2).(-1) c) (-2).(-1).(-1).(-1)
d) (-1).(-1).(+2).(-2).(-1).(-2) e) (-3).(-4).(+5) f) (-5).(+5).(-2).(-3)
g) (-1).(-1).(-1). (-1).(-1).(-1) h) (+4).(-1).(-2).(-1).(-2).(-4)
11) Calcule os quocientes:
a) (+15): (+3) b) (+15): (-3) c) (-15): (+3) d) (-15): (-3) e) (-2): (-1)
f) (+9): (-9) g) (-8): (-8) h) 0: (+7) i) (-48): (+12) j) (-50): (-5)
l) (+112): (-56) j) (-108): (+27) n) (+35): (+7) o) (+72): (+36) p) (-90): (-10)
q) (-150): (+25) r) (-12): (-2)
12) Quais operações, dentre as quatro fundamentais, são possíveis dentro dos números inteiros?
13) Calcule o valor das expressões:
a) a+b para a=3 e b=4
b) a+b para a=-3 e b=-2
c) a-b para a=2 e b=-5
d) ab para a=2 e b=7
e) 5xy para x=-2 e y=5
f) 2x-y, para x=-3 e y=-5
g) 4x-2y+5z sendo x=-1, y=-6 e x=+5
h) 4ab+5a, sendo a=8 e b=-8
i) 6xy-5y, sendo x=+4 e y=-1
j) 5a-3ab+7b, para a=-3 e b=+2
k) 2ab-5abc, para a=2, b=3 e c=-1
OTÁVIO LUCIANO CAMARGO SALES DE MAGALHÃES 105
14) Calcule as expressões:
b) (-4+20): (-8) b) (-6-14): (-6+1) c) (-8).(+3)-(-15): (+3)
d) [-8+(-4).(-3)]: (-1-1) e) (-6-2+3):[-3.(-2+3)+8] f) –20:{-6+[(-2).(-3): (+2)]-2}
EXPRESSÕES I
Elimine os parênteses e calcule as somas algébricas
a) +5+8+2+1 Resposta: 16
b) -2-3-4 Resposta: -9
c) -8+6-4-5+1 Resposta: -10
d) 12-15+32-5-3 Resposta: -45
e) -1-2+7-15-20 Resposta: -31
f) +5+(+3-2) Resposta: 6
g) +8+(-5+2) Resposta: 5
h) 15+(-23+12) Resposta 4
i) 9-(4-20) Resposta 25
j) -25-(-15+10) Resposta -20
OTÁVIO LUCIANO CAMARGO SALES DE MAGALHÃES 106
k) +15-(-12-20) Resposta 47
l) -21-(15-12) Resposta -24
m) –(+6-8)+(+4-5)+10 Resposta 11
n) +2+(-5+8)-(-9+4-12) Resposta 22
o) (-9+5)-(-6+8-4) Resposta -2
p) -4-(4-7)-(1-6-8) Resposta 12
q) 0+(-6+3) Resposta – 3
r) -9-4+8+6+4-15 Resposta: -10
s) -3-4-5+3+6 Resposta: -3
t) -21+45+36-45+21 Resposta: 36
u) 4-48-4+60 Resposta: -38
v) 9+15-5+35-20 Resposta: 34
w) -6-5-4-3+4+6+5+3 Resposta: 0
x) +5-900+14 Resposta: -881
OTÁVIO LUCIANO CAMARGO SALES DE MAGALHÃES 107
y) 168-432+365 Resposta: 101
z) -999+333-1+666 Resposta: -1
aa)-7-7+17-3 Resposta: 0
bb)-20+20-40-50 Resposta: -50
cc) 38-[-12-(-20+30)+(12-50-2) Resp: 100
dd)14-(-10+5+3) Resposta: 16
ee)-15+[-4-(-5+20)] Resposta: -34
ff) 20-{-10+[+20-(-20+10)]} Resposta: 0
gg)-12+(-6)-(-8-5) Resposta: -5
hh)20-[-8+(-15+9)] Resposta: 34
ii) 4-{-6-[+7+(-3+1)]+5} Resposta: 10
jj) -2-{-[-(-1+4)]} Resposta: -5
kk) 12+{-2+[-3-(-2+1)]} Resposta: 8
OTÁVIO LUCIANO CAMARGO SALES DE MAGALHÃES 108
Elimine os parênteses e calcule as somas algébricas
a) +10+(+8)+(-4) Resposta: 14
b) -5+(-6)-(-8) Resposta: -3
c) 3+(+9-4) Resposta: 8
d) -6+(+2+6-3) Resposta: -1
e) -10-(-8+3) Resposta: -5
f) 4-(-6+2-9) Resposta: 17
g) -5-(-2-6+1)+(-3-4) Resposta: -5
h) –(2-5)-(-6+1) Resposta: 8
i) (7-3)+(-8+1)-(5-8) Resposta: 0
j) -9-[-3+(-2+1)] Resposta: -5
k) (-5+3)+[6-(3-10)] Resposta: 11
OTÁVIO LUCIANO CAMARGO SALES DE MAGALHÃES 109
l) -1-{-2-[-5+(15-3)]} Resposta: 8
m) (-2-3)-{4+[-8-(-9+2)]} Resposta: -8
n) –(-5+1)+{-6-[2+(-3+6)]} Resposta: -7
o) 6-(-9+1)-{(-3+4)+[-(-5+1)+(-8+10)]}
Resposta: 7
p) –(-2)+(-3)-{-2+[-1-(-2+1)]+5}
Resposta: -4
q) 20-{-10-[-8+(5-12)]-20}
Resposta: 35
EXTRAS OPCIONAIS
a) -7+9-25+4 Resposta: -19
b) 10-5+15-3 Resposta: 17
c) -1-1-1+2 Resposta: -1
d) -8-4-5 Resposta: -17
OTÁVIO LUCIANO CAMARGO SALES DE MAGALHÃES 110
e) 20+15-100 Resposta: -6
f) -20+10-30+40 Resposta: 0
g) -4+4-6+6-3 Resposta: -3
h) -12+16-9-16+12 Resposta: -9
i) 12-(-4+5) Resposta: 11
j) -20+(+4-6) Resposta: -22
k) 8+(-20+3) Resposta: -9
l) 5-(+5)-(-15+5) Resposta: 10
m) -5+[(+8-12)-(-9)] Resposta: 0
n) 2-[(-4+8)+(-6+3)] Resposta: 1
o) 5-[-4-(+9+3+5)] Resposta: 26
p) -6+{-3+[3-(+7-3)]} Resposta: -6
q) 9-{-4+[3-(+7-3)]} Resposta: 14
r) 6-{-8-[-5+(-2+1)]} Resposta: 8
s) –(-2+6)+[2-(8+1)] Resposta: -
11
t) (5-1)-{-[-(-6+5-2)]} Resposta: 7
OTÁVIO LUCIANO CAMARGO SALES DE MAGALHÃES 111
NÚMEROS FRACIONÁRIOS E DECIMAIS NEGATIVOS
1- Escreva na ordem crescente: 0,5; 2; -2,5; -3,5 e –1,5.
2- Considere os seguintes números racionais –0,8; -2,5; 2; -1,2; 0.
a) Represente esses números na reta dos racionais.
b) Coloque os números dados em ordem crescente.
2- Dos dois números dados, qual é o maior?
a) –8,2 ou 8,7 b) 8,2 ou –8,7 c) –8,7 ou –9 d) 0 ou 4/5 e) 0 ou –1/7 f) 0 ou 0,1
3- Qual dos dois é o maior?
a) 13,58 ou 13,526 b) –4,801 ou 4,822
c) 0,7 ou –3,7 d) –3,7 ou –3,07
4- Qual dos dois é maior?
a) –3/8 ou –5/12 b) –3/8 ou –4/9 c) 5/6 ou 17/21 d) 60/21 ou 3
5- Maria Lúcia disse que 0,1 é o menor racional positivo. Tamara respondeu:
- Nada disso! O menor racional positivo é 0,01!
O número 0,1 é o menor número racional positivo? E 0,01? Explique sua resposta.
6- Coloque em ordem crescente: 2; 1/3; -1 2/3; -10/3; -2,8.
7- Dos dois números dados, qual é o maior?
a) –2/9 ou 5/9 b) –2/9 ou –5/9 c) 2/9 ou 5/9 d) 17/2 ou 5/2 e) ½ ou –5/2 f) –½ ou –5/2
8- Qual dos dois é o maior?
a) –3,7 ou –3,71 b) –12/5 ou –3,7
9- Qual dos dois é maior?
a) –1/5 ou 0,333... b) –2/7 ou 0
10- Uma pessoa está com saldo bancário de –573,80 em com autorização do gerente, ainda retira
325,00.
a) Sem efetuar, indique o cálculo que dá o novo saldo.
b) Dê o valor desse saldo.
11- Sem efetuar, indique o cálculo matemático que dá o aumento da temperatura quando ela passa
de:
a) 18,6 graus para 25,1 graus
b) –5,9 graus para 4,3 graus
c) –23,5 graus para –14,8 graus
d) –3,8 graus para 0 graus
OTÁVIO LUCIANO CAMARGO SALES DE MAGALHÃES 112
EXPRESSÕES COM FRAÇÕES POSITIVAS E NEGATIVAS
Copie as expressões
Exemplo 1
𝟐
𝟑
−
𝟑
𝟐
+
𝟏
𝟔
− 𝟏 =
=
𝟒 − 𝟗 + 𝟏 − 𝟔
𝟔
=
=
𝟓 − 𝟏𝟓
𝟔
=
= −
𝟏𝟎
𝟔
=
= −
𝟓
𝟑
Exemplo 2
3 −
5
4
+ 0,2 −
1
3
=
=
3
1
−
5
4
+
2
10
−
1
3
=
=
180 − 75 + 12 − 20
60
=
=
+192 − 95
60
=
=
97
60
Resolva as Somas Algébricas
a)
4
9
−
7
6
R: -13/18 d) −
7
15
+ 1 R: 8/15
b) −
3
2
−
1
2
R: -2 e)
5
9
− 2 R: - 13/9
c)
5
9
−
10
12
R: -5/18 f) −3 −
5
7
R: -26/7
Resolva
a) 2,75+5,75 Resposta: 8,5
b) -3,5-5,3 Resposta: -8,8
c) 12,4-30,16 Resposta: -17,76
d)
5
8
− 0,7 Resposta: -0,075
e) −5 + 4,7 Resposta: -0,3
OTÁVIO LUCIANO CAMARGO SALES DE MAGALHÃES 113
f) −
3
4
− 0,25 Resposta: -1
g)
3
4
+
2
5
−
1
10
Resposta: 21/20
h) −
4
5
+
2
9
−
5
3
Resposta: -101/45
i) −2 +
1
2
−
1
8
Resposta: -13/8
j) 0,3 +
2
5
− 2 Resposta: -13/10
k) 0,2 +
1
2
−
2
7
+ 2 Resposta: 169/70
l) 2 +
3
8
+
1
4
−
3
2
Resposta: 9/8
m) 1 −
1
2
−
1
4
−
1
8
Resposta: 1/8
n) 2 − 0,5 +
1
2
+
1
4
Resposta: 9/4
Copie e entenda passo a passo
−
5
12
− [−
3
4
+ (
5
6
−
2
9
)] =
= −
5
12
− [−
3
4
+
5
6
−
2
9
] =
= −
5
12
+
3
4
−
5
6
+
2
9
=
= −
15 + 27 − 30 + 8
36
= −
45 + 35
36
=
= −
10
36
= −
5
18
Resolva as expressões
a) −
3
4
+
2
5
−
1
2
Resposta: -17/20 b)
4
9
+
1
3
−
5
6
Resposta: -1/18
OTÁVIO LUCIANO CAMARGO SALES DE MAGALHÃES 114
c) −2 −
1
14
+
2
7
Resposta: -25/14
d) −1 +
1
3
+
1
6
Resposta: -1/2
e)
2
5
− 2 −
3
5
Resposta: -11/5
f)
5
8
−
1
2
+
3
4
− 2 Resposta: -9/8
g) −5 +
2
3
−
1
6
+
1
2
Resposta: -4
h) −
4
3
+
5
9
− 1 +
1
6
Resposta: -29/18
i) −0,3 + 0,2 −
3
5
Resposta: -7/10
j)
5
2
− (
1
6
−
3
4
) Resposta: 37/12
k) −3,1 + (2,4 − 3,8) − (1,6 − 2)
Resposta: -4,1
l)
7
3
− [2 − (
1
3
− 1)] Resposta: -1/3
OTÁVIO LUCIANO CAMARGO SALES DE MAGALHÃES 115
m) −
9
2
+ [−1 − (−
5
8
+
1
4
)]
Resposta: -41/8
REFORÇO OPCIONAL
a) 6-1+2 Resposta: 7
b) 7-9-4 Resposta: -6
c) 5-8+4+8 Resposta: 9
d) 7-2+3-7-1 Resposta: 0
e) -9+4+3+2-4 Resposta: -4
f) -3+10+9-1-9+3 Resposta: +9
g) -1-2+5+1-2-5 Resposta: -4
h) -6-4+9+1-10+9 Resposta: -1
i) 14-4-3+6+1-11 Resposta: 3
j) -7-3+7 Resposta: -3
k) -10-4-3+15 Resposta: -2
l) -1-10+4-3 Resposta: -10
m) 5-2+8+3 Resposta: 14
n) -6-4-2+11 Resposta: -1
o) 3+1-9-5+10 Resposta: 0
OTÁVIO LUCIANO CAMARGO SALES DE MAGALHÃES 116
p) -4+15-7-9+2 Resposta: -3
q) 13-6-1+2-13+6+4 Resposta: +5
r) 10-13-6+10+13-8 Resposta: +6
s) -4+(-3+8) Resposta: 1
t) 2+(-4-5+7) Resposta: 0
u) 6+(5-8)+(-2+1) Resposta: 2
v) (-8+5)+2+(6-1-7) Resposta: -3
w) -4-(6-9) Resposta: -1
x) 2-(-1-5+4) Resposta: 4
y) 6-(-3+1) Resposta: 8
z) 10-(4-7-9+5) Resposta: 17
aa)6-(5-8)-(-3+1) Resposta: 11
bb)2-(-8+5)-(6-1) Resposta: 0
cc) 12+[-6-(-5+9)] Resposta: 2
OTÁVIO LUCIANO CAMARGO SALES DE MAGALHÃES 117
dd)-2-[3+(-1-10+7)-4] Resposta: 3
ee)1+(-7+6)-[-3-(-9+8)] Resposta: 2
ff) -20-{-5+[-4-(-1+5)]} Resposta: -1
gg)6+(-9+1) Resposta: -2
hh)-10+(6-4) Resposta: -8
ii) 2+(5-7+2) Resposta: 2
jj) (-5+3)-(5-9)+(8-1) Resposta: 9
kk) (-2-8+6)+3-(-5-1+4) Resposta: 1
ll) 8-(-6+10) Resposta: 4
mm) -3-(-1-5+8) Resposta: -5
REFORÇO OPCIONAL
a) -5+(-4+2)-(-1+7) Resposta: -13
b) 10-(-4+11+1)+(5-10) Responsa: -3
c) 2-(-1-5+8)+(-3+7) Resposta: 0
d) 10+[-8-(-1+2)] Resposta: 1
e) -3-[8+(-6-3)+1] Resposta: -3
f) 8-(4+5)-[3-(6-11)] Resposta: -9
OTÁVIO LUCIANO CAMARGO SALES DE MAGALHÃES 118
g) –(-2)-[9+(7-3-6)-8] Resposta: 3
h) 1+[-7-(-2+6)+(-2)]-(-6+4) Resposta:-10
i) 6-{4+[-7-(-3-9+10)]} Resposta: -14
j) 2-(-2)-{-6-[-3+(-3+5)]-8} Resposta: 1
k) 10+[-8-(-1+2)] Resposta: 1
l) -3-[8+(-6-3)+1] Resposta: -3
m) 8-(4+5)-[3-(611)] Resposta: -9
n) –(-2)-[9+(7-3-6)-8] Resposta: 3
o) 1+[-7-(-2+6)+(-2)]-(-6+4) Resp: -10
p) 6-{4+[-7-(-3-9+10)]} Resposta: 7
q) -3-[(-1+6)+4-(-1-2)-1] Resp: -14
r) 2-(-2)-{-6-[-3+(-3+5)]-8} Resp: 1
OTÁVIO LUCIANO CAMARGO SALES DE MAGALHÃES 119
s)
1
4
+ (−
1
3
) Resposta: -1/12
t) (−
3
2
) + 3 Resposta: 3/2
u) (−
1
5
) − (−
7
10
) Resposta: ½
v) 1 −
8
3
Resposta: -5/3
w) −
5
6
+
3
4
Resposta: -1/12
x) −0,2 +
1
2
Resposta: 3/10
y)
2
3
+ 0,5 Resposta: 7/6
z)
1
2
−
3
4
+ 0,4 Resposta: 3/20
aa)
1
6
+
1
2
+
1
9
− 1 Resposta – 2/9
bb)
1
2
− (−
2
5
+ 2) Resposta: -11/10
cc) 1 − (−
2
3
+
5
6
) + (
1
2
−
1
9
) Resp: 11/9
dd)
3
4
− [−0,5 + (
3
2
− 0,1)] Resp: -3/20
ee)1,5 − [
1
2
− (
1
6
−
1
3
) +
1
5
] Resp: 19/30
OTÁVIO LUCIANO CAMARGO SALES DE MAGALHÃES 120
REFORÇO OPCIONAL
a)
1
3
−
5
6
Resposta: -1/2
b)
3
5
− 2 Resposta: -7/5
c) −
1
2
−
1
5
Resposta: -7/10
d)
2
3
+ 0,1 Resposta: 23/30
e) −
5
3
+
7
5
Resposta: -4/15
f) 0,4 −
1
8
Resposta: 11/40
g)
2
5
+ 1,2 Resposta: 8/5
h) −2 −
3
7
Resposta: -17/7
i) −
5
6
+
5
9
Resposta: -5/18
j)
1
2
+
1
3
−
1
4
Resposta: 7/12
k) −
2
3
+ 2 −
1
6
Resposta: 7/6
l) 0,7 −
4
5
+
1
4
Resposta: 3/20
m)
3
2
−
5
6
−
4
3
Resposta: -2/3
n)
1
2
−
7
10
−
2
5
+ 1 Resposta: 2/5
OTÁVIO LUCIANO CAMARGO SALES DE MAGALHÃES 121
o) 1 − 0,6 −
5
4
+
1
2
Resposta: -7/20
p) 2 −
1
8
+
3
4
−
5
2
Resposta: 1/8
q) −1 + 0,7 +
7
15
−
1
3
Resposta: -1/6
r)
1
4
− (−
2
5
+
9
10
) Resposta: -1/4
s) 0,5 + (−
1
6
+
1
3
) − (−1 +
1
2
) Resposta: 7/6
t) 1 − [−2 − (−1,2 +
1
2
)] Resp: 23/10
u) −
1
2
− [
1
4
− (
1
6
−
1
8
) −
1
3
] Resp: -3/8
CONJUNTO DOS NÚMEROS RACIONAIS
1) Defina os conjuntos:
ℕ=______________________ Nome: Conjunto dos Números_________________
ℤ=______________________ Nome: Conjunto dos Números_________________
ℚ=______________________ Nome: Conjunto dos Números_________________
2) Dado diagrama, coloque nos lugares corretos os números
0 5 -2 -1,5 -2/3 3/5 0,777.... 0,25
3) Escreva o nome e defina:
ℕ ∗=______________________ Nome: Conjunto dos Números_________________
ℤ ∗=______________________ Nome: Conjunto dos Números_________________
ℤ+=______________________ Nome: Conjunto dos Números_________________
ℤ−=______________________ Nome: Conjunto dos Números_________________
ℤ+
∗
=______________________ Nome: Conjunto dos Números_________________
ℤ−
∗
=______________________ Nome: Conjunto dos Números_________________
ℚ ∗=______________________Nome: Conjunto dos Números_________________
ℚ+=______________________ Nome: Conjunto dos Números_________________
ℚ−=______________________ Nome: Conjunto dos Números_________________
ℚ+
∗
=______________________ Nome: Conjunto dos Números_________________
ℚ−
∗
=______________________ Nome: Conjunto dos Números_________________
OTÁVIO LUCIANO CAMARGO SALES DE MAGALHÃES 122
4) Pode-se dizer que A*=A-{0}. Dado isso, seℙ é o conjunto dos números pares, o que seria ℙ*?
5) Complete com ∈ ou ∉:
0 ____ ℕ 0____ ℤ 0___ ℚ
5 ____ ℕ 5____ ℤ 5___ ℚ
-2 ____ ℕ -2____ ℤ -2___ ℚ
0,3 ____ ℕ 0,3____ ℤ 0,3___ ℚ
2/3 ____ ℕ 2/3____ ℤ 2/3___ ℚ
-0,5 ____ ℕ -0,5____ ℤ -0,5___ ℚ
-1/5 ____ ℕ -1/5____ ℤ -1/5___ ℚ
0,333.... ____ ℕ 0,333....____ ℤ 0,333...___ ℚ
6) Escreva os números em seus locais nos diagramas de Venn:
0 5 -3 2/3 1
2
3
0,5 0,333... -1/4
7) Complete com ⊂ (contém) ou ⊄ (não contém):
ℕ____ ℤ ℕ____ℚ ℤ____ ℕ ℤ____ℚ ℚ ____ ℕ ℚ____ ℤ
8) Determine a união e intersecção entre os conjuntos dos números naturais, inteiros e racionais.
9) Escreva 4 relações de inclusão entre conjuntos não-negativos, não-positivos, negativos,
positivos e não-nulos envolvendo quaisquer conjuntos.
10)Pesquise as propriedades e as escreva (com ajuda do professor):
Propriedades da Adição
Nome Sentença Obs:
COMUTATIVA
ASSOCIATIVA
ELEMENTO
NEUTRO
ELEMENTO
OPOSTO
FECHAMENTO
CANCELAMENTO
ADITIVO
OTÁVIO LUCIANO CAMARGO SALES DE MAGALHÃES 123
Propriedades da Multiplicação
Nome Sentença Obs:
COMUTATIVA
ASSOCIATIVA
ELEMENTO
NEUTRO
DISTRIBUTIVA EM
RELAÇÃO À
ADIÇÃO
ELEMENTO
INVERSO
FECHAMENTO
CANCELAMENTO
MULTIPLICATIVO
RETA NUMÉRICA
1. Localize na reta:
a) A= ½ b) B=1/3 c) C=5/6 d) D=2/5 e) E=3/4
2. Localize na reta:
a) A=-1/2 b) B=-2/3 c) C=-5/8
3. Localize na reta:
a) A=
4
1
2 b)
3
2
1B c)
4
1
2C d)
5
1
1D e)
5
2
E f) 3G
4. Ache o módulo, o inverso e o oposto de:
a) 2/3 b) 3/5 c) 1/4 d) 4
e) -2 f) -2/3
5. Ache o inverso de
4
1
2 .
6. Ache o oposto do inverso de -3/4.
7. Ache a metade do triplo do inverso de
6
1
.
8. (Concurso Professor de Matemática 5ª à 8ª séries – Prefeitura Municipal de Orlândia-SP/2003)
A figura mostra um trecho da reta numérica:
Os pontos P e Q, indicados pelas setas, podem corresponder, respectivamente, aos números:
a) -1,76 e -1,685 b) -1,76 e -1,525 c) -1,64 e -1,69 d) -1,64 e -1,52 e) -1,64 e -1,515
OTÁVIO LUCIANO CAMARGO SALES DE MAGALHÃES 124
9. (Avaliação do SAEB – 4ª série – 2001) A reta numerada, o ponto A representa o número
a) 7,0 b) 7,1
c) 7,5 d) 7,8
10. (Avaliação do SAEB – 4ª série – 2001) O número decimal correspondente ao ponto assinalado
na reta numérica é
a) 0,3 b) 0,23 c) 2,3 d) 2,03
11. (Concurso Professor de Matemática 5ª à 8ª séries e Ensino Médio– SESI-SP/2002) Na figura
abaixo estão representados geometricamente os números reais –1, y, 0, x e 1.
Com base nessa representação, é possível concluir que o produto x.y está localizado
a) entre x e 1 b) entre 0 e x c) entre y e 0 d) entre –1 e y e) à esquerda de –1
12. (Concurso de Fiscal de Serviços Públicos – Prefeitura Municipal de São Carlos / 2002)
Observe a figura abaixo. Os números indicados pelos pontos A e B na escala decimal são,
respectivamente,
a) 2,386 e 2,42 b) 2,385 e 2,42 c) 2,385 e 2,402 d) 2,381 e 2,42 e) 2,385 e 2,399
13. (Avaliação do SARESP 1998 – 5ª série - Diurno) Examine a figura:
O ponto A corresponde a um dos números abaixo. A qual deles?
a) 0,25 b) 0,85 c) 1,25 d) 1,85
14. (SIMAVE – 4ª série – 2002) Roberto está com febre. Veja a ilustração do termômetro que marca
a temperatura dele:
O termômetro está marcando:
A) 39º C B) 39,3º C C) 39,5º C D) 40º C
15. (ENCCEJA – Ensino Fundamental – 2002) Uma estrada está sinalizada com marcadores de
quilometragem que guardam entre si a mesma distância. Um carro X está na posição 150 e um carro
Y, na posição 310.Um carro Z está entre X e Y, conforme a figura abaixo.
Dentre as alternativas, assinale a que melhor expressa, em quilômetros, a localização do carro Z.
(A) 160. (B) 190. (C) 210. (D) 270.
16. (Concurso Público para Professor de 5ª à 8ª série – Prefeitura Municipal de Araçatuba – SP/2000)
Com 3 cartõesnumeradosde 1a 3, e um cartão marcado com uma vírgula, podemosrepresentar, porexemplo,
o no decimal 1,23. O maior número e o menor número, expressos na notação decimal, que podemos
representar com os quatro cartões são, respectivamente:
a) 12,3 e 1,23 b) 32,1 e 2,13 c) 32,1 e 1,23 d) 23,1 e 2,13
OTÁVIO LUCIANO CAMARGO SALES DE MAGALHÃES 125
17.(Avaliação do SARESP 2000 – 5ª série - Diurno) Das comparações abaixo, qual é verdadeira?
a) 0,40<0,31 b) 1<1/2 c) 0,4<4/10 d) 2>1,9
18. (Concurso Público para Professor de 1ª à 4ª série – Prefeitura Cidade do Rio de
Janeiro/2001?) Com 3 cartões numerados de 1 a 3, e um quarto cartão com uma vírgula, podemos
representar, por exemplo, o no decimal 1,23. Quantos números decimais podemos representar com
os quatro cartões?
a) 3 b) 6 c) 9 d) 12
19. (ENCCEJA – Ensino Fundamental – 2002) Uma agência de modelos está selecionando jovens
para uma propaganda de sorvetes. Entre as exigências, a agência solicita que os jovens tenham altura
mínima de 1,65 m e máxima de 1,78 m. Se x é um número racional que representa a altura, em
metros, de um jovem que pode ser escolhido para essa propaganda, é correto afirmar que
(A) x < 1,78 (B) x > 1,65 (C) 1,65 x 1,78 (D) 1,65 x 1,78
20. (Avaliação do SARESP 1998 – 5ª série - Diurno) Célia fez regime e anotou seu progresso numa
tabela:
Semana Perda em Quilogramas
1ª 2,45
2ª 1,3
3ª 2,54
4ª 1,03
Em qual semana Célia perdeu menos peso?
a) 1ª b) 2ª c) 3ª d) 4ª
21. (Avaliação do SAEB – 4ª série – 2001) Qual é o maior dos números abaixo:
a) 0,398 b) 0,52 c) 0,5 d) 0,8
22. (Concurso para o Magistério do Estado e Município do Rio de Janeiro – 1988) Se x e y são
números reais tais que 3,23<x<5,01 e 2,81<y<4,54, então, sobre a diferença x-y, pode-se afirmar que:
a) -1,31<x-y<2,20 b) -1,41<x-y<0,73 c) 0,42<x-y<2,50 d) 0,42<x-y<2,73 e) 6,04<x-y<9,55
23. (Concurso do Magistério Estadual do Rio de Janeiro – 1990) Numa régua graduada, o
segmento cujos extremos são X=7,13 e Y=8,32 se encontra dividido em sete partes iguais, conforme
se vê na figura abaixo. O número decimal Z, correspondente à terceira divisão a partir da extremidade
X, é expresso por:
a) 7,30 b) 7,45 c) 7,60 d) 7,64 e) 7,82
INTERVALOS
1) Escreva, usando as três notações:
a) o intervalo aberto de extremos -2 e 1.
b) o intervalo semi-aberto à esquerda de extremos 3 e 8.
c) o intervalo fechado de extremos 0 e 5.
d) o intervalo semi-aberto à direita de extremos -5 e 1.
OTÁVIO LUCIANO CAMARGO SALES DE MAGALHÃES 126
2) Usando a notação de intervalo, escreva:
a) o subconjunto de IR formado pelos números reais maiores que 3.
b) o subconjunto de IR formado pelos números reais menores que -1.
c) o subconjunto de IR formado pelos números reais maiores ou iguais a 2.
d) o subconjunto de IR formado pelos números reais menores ou iguais a ½.
3)Usando a notação de conjuntos, escreva os intervalos:
a) [6,10[ b) ]-1.5] c) ]-6,0[ d) [0,+[ e) ]-,3[
f) [-5,2[ g) ]-10,10[ h)[- 3 , 3 ] i)]-,1]
4) Represente, na reta real, os intervalos:
a) {xIR | 2<x<5} b) [2,8] c) ]-,2] d) {xIR | -2<x<2}
e) {xIR | x>-1} f) ]1,5[
5) Usando a notação de conjuntos, escreva os seguintes intervalos que estão representados na reta
real:
a)
2 4
b)
1
c)
2 5
d)
½
e)
3 6
g)
-1 3
h)
2
6) Determine AB, quando:
a) A={xIR | -1<x<2} e B={xIR | 0<x<5} b) A={xIR | x<3} e B={xIR |1<x<4}
c) A={xIR | -3<x<1} e B={xIR | 0<x<3}
OTÁVIO LUCIANO CAMARGO SALES DE MAGALHÃES 127
INTERVALO DISCRETO
1) Escreva os conjuntos por extenso (use adequadamente as reticências ... )
a) {𝑥 ∈ ℤ; 3 < 𝑥 < 10}={____________________________________}
b) {𝑥 ∈ ℤ; −2 < 𝑥 < 7}={____________________________________}
c) {𝑥 ∈ ℤ ∗; −2 < 𝑥 < 7}={___________________________________}
d) {𝑥 ∈ ℕ; 3 < 𝑥 < 10}={____________________________________}
e) {𝑥 ∈ ℕ; −2 < 𝑥 < 7}={____________________________________}
f) {𝑥 ∈ ℕ ∗; −2 < 𝑥 < 7}={__________________________________}
g) {𝑥 ∈ ℤ; 3 ≤ 𝑥 < 10}={____________________________________}
h) {𝑥 ∈ ℤ; 3 < 𝑥 ≤ 10}={____________________________________}
i) {𝑥 ∈ ℤ; 3 ≤ 𝑥 < 10}={____________________________________}
j) {𝑥 ∈ ℤ; −1 ≤ 𝑥 < 5}={____________________________________}
k) {𝑥 ∈ ℤ; −3 < 𝑥 ≤ 1}={____________________________________}
l) {𝑥 ∈ ℤ; −5 ≤ 𝑥 < −3}={___________________________________}
m) {𝑥 ∈ ℕ; 3 < 𝑥 < 4}={____________________________________}
n) {𝑥 ∈ ℕ; −5 < 𝑥 < −2}={_________________________________}
o) {𝑥 ∈ ℕ; 5 < 𝑥 < 100}={__________________________________}
p) {𝑥 ∈ ℕ; −10 < 𝑥 < 500}={________________________________}
q) {𝑥 ∈ ℕ; 𝑥 < 10}={____________________________________}
r) {𝑥 ∈ ℕ; 𝑥 > 10}={____________________________________}
s) {𝑥 ∈ ℤ; 𝑥 < 10}={____________________________________}
t) {𝑥 ∈ ℤ; 𝑥 > 10}={____________________________________}
u) {𝑥 ∈ ℤ ∗; 𝑥 > 10}={____________________________________}
v) {𝑥 ∈ ℤ; 𝑥 ≥ 10}={____________________________________}
w) {𝑥 ∈ ℤ; 𝑥 ≥ 10}={____________________________________}
2) Complete com ∈ (pertence) e ∉ (não pertence)
-3 _____ {𝑥 ∈ ℤ; 3 < 𝑥 < 10} 4 _____ {𝑥 ∈ ℤ; 3 < 𝑥 < 10} 3 _____ {𝑥 ∈ ℤ; 3 < 𝑥 < 10}
3_____ {𝑥 ∈ ℤ; 3 ≤ 𝑥 < 10} 5,2_____ {𝑥 ∈ ℤ; 3 ≤ 𝑥 < 10} 7/2_____ {𝑥 ∈ ℤ; 3 ≤ 𝑥 < 10}
5,2_____ {𝑥 ∈ ℚ; 3 ≤ 𝑥 < 10} 7/2_____ {𝑥 ∈ ℚ; 3 ≤ 𝑥 < 10} 0,555...____{𝑥 ∈ ℚ; −5 < 𝑥 < 10}
-1/3_____ {𝑥 ∈ ℚ; −2 < 𝑥 ≤ 3} 5/9_____ {𝑥 ∈ ℚ; 1 ≤ 𝑥 ≤ 2} 9/7_____ {𝑥 ∈ ℚ; 0 ≤ 𝑥 < 1}
1
3
5
_____ {𝑥 ∈ ℚ; 1 < 𝑥 < 2}
GABARITO
CONJUNTOS NUMÉRICOS
CN.7.01.A
1) Defina os conjuntos:
ℕ = {0,1,2, … , 𝑛, 𝑛 + 1, … } - Conjunto dos Números Naturais
ℤ = {… , −3, −2, −1,0,1,2, … } - Conjunto dos Números Racionais
ℚ = {
𝑝
𝑞
; 𝑝, 𝑞 ∈ ℤ, 𝑞 ≠ 0} - Conjunto dos Números Racionais
2) Dado diagrama, coloque nos lugares corretos os números
3) Escreva o nome e defina:
ℕ ∗= {𝑥 ∈ ℕ; 𝑥 ≠ 0} Nome: Conjunto dos Números Naturais Não Nulos
ℤ ∗= {𝑥 ∈ ℤ; 𝑥 ≠ 0} Nome: Conjunto dos Números Inteiros Não Nulos
ℤ+={𝑥 ∈ ℤ; 𝑥 ≥ 0} Nome: Conjunto dos Números Inteiros Não
Negativos
ℤ−={𝑥 ∈ ℤ; 𝑥 ≤ 0} Nome: Conjunto dos Números Inteiros Não Positivos
ℤ+
∗
={𝑥 ∈ ℤ; 𝑥 > 0} Nome: Conjunto dos Números Inteiros Positivos
ℤ−
∗
={𝑥 ∈ ℤ; 𝑥 < 0} Nome: Conjunto dos Números Inteiros Negativos
CONJUNTOS NUMÉRICOS
CN.7.01.B
ℚ ∗={𝑥 ∈ ℚ; 𝑥 ≠ 0} Nome: Conjunto dos Números Racionais Não Nulos
ℚ+={𝑥 ∈ ℚ; 𝑥 ≥ 0} Nome: Conjunto dos Números Racionais Não
Negativos
ℚ−={𝑥 ∈ ℚ; 𝑥 ≤ 0} Nome: Conjunto dos Números Racionais Não
Positivos
ℚ+
∗
={𝑥 ∈ ℚ; 𝑥 > 0} Nome: Conjunto dos Números RacionaisPositivos
ℚ−
∗
={𝑥 ∈ ℚ; 𝑥 < 0} Nome: Conjunto dos Números Racionais Negativos
4) Pode-se dizer que A*=A-{0}. Dado isso, seℙ é o conjunto dos
números pares, o que seria ℙ*?
O conjunto dos Pares menos o zero, ou seja, {2,4,6,8,..., 2n, 2n+2, ...}
5) Complete com ∈ ou ∉:
0 ∈ ℕ 0 ∈ ℤ 0∈ ℚ 5 ∈ ℕ 5∈ ℤ 5∈ ℚ
-2 ∉ ℕ -2∈ ℤ -2∈ ℚ 0,3 ∉ ℕ 0,3∉ ℤ 0,3∈ ℚ
2/3 ∉ ℕ 2/3∉ ℤ 2/3∈ ℚ -0,5 ∉ ℕ -0,5∉ ℤ 0,5∈ ℚ
-1/5 ∉ ℕ -1/5∉ ℤ -1/5∈ ℚ 0,333....∉ ℕ 0,333....∉ ℤ 0,333...∈ ℚ
6) Escreva os números em seus locais nos diagramas de Venn:
1
2
3
deve entrar no terceiro círculo. Nenhum dos elementos ficará no
último círculo (não aprendemos ainda os números reais)
CONJUNTOS NUMÉRICOS
CN.7.01.C
1) Complete com ⊂ (contém) ou ⊄ (não contém):
ℕ ⊂ ℤ ℕ ⊂ ℚ ℤ ⊄ ℕ
ℤ ⊂ ℚ ℚ ⊄ ℕ ℚ ⊄ ℤ
A relação de pertinência existe quando relacionamos ELEMENTO e
CONJUNTO. Podemos dizer então que:
5∈{0,1,2,3,4,5} e 2/3 ∈ ℚ enquanto
7∉{0,1,2,3,4,5} e 2/3 ∉ ℤ
OTÁVIO LUCIANO CAMARGO SALES DE MAGALHÃES 128
Já a relação de pertinência existe quando relacionamos CONJUNTO e
CONJUNTO, nesse caso dizemos que está contido e não está contido
{1,2}⊂{0,1,2,3,4} {1,5}⊄{0,1,2,3,4}
Um conjunto está contido no outro quando TODOS os seus elementos
pertencem ao outro.
8) Determine a união e intersecção entre os conjuntos dos números
naturais, inteiros e racionais.
ℕ ∪ ℤ = ℤ ℕ ∪ ℚ = ℚ ℤ ∪ ℚ = ℚ ℕ ∩ ℤ = ℕ
ℕ ∩ ℚ = ℕ ℤ ∩ ℚ = ℤ
9) Escreva 4 relações de inclusão entre conjuntos não-negativos, não-
positivos, negativos, positivos e não-nulos envolvendo quaisquer
conjuntos.
ℤ+= ℕ ℤ−
∗
⊂ ℚ−
∗
ℤ−
∗
⊂ ℤ+ ℕ ∗=ℤ+
∗
Existem outras
10) Pesquise as propriedades e as escreva (com ajuda do professor):
Considere a, b, c números racionais.
Propriedades da Adição
Nome Sent;
COMUTATIVA a+b=b+a
ASSOCIATIVA (a+b)+c=a+(b+c)
ELEMENTO NEUTRO a+0=0+a=a
ELEMENTO OPOSTO a+(-a)=0
FECHAMENTO a+b∈ ℚ
CANCEL. ADITIVO Se a+c+b+c então a=b
Propriedades da Multiplicação
Nome Sent.
COMUTATIVA ab=ba
ASSOCIATIVA (ab)c=a(bc)
ELEMENTO NEUTRO a.1=1.a=a
DISTRIBUTIVA EM RELAÇÃO À
ADIÇÃO
a(b+c)=ab+ac
(a+b)c=ac+bc
ELEMENTO INVERSO a.(1/a)=1 OBS: a≠0
FECHAMENTO ab∈ ℚ
CANCELAMENTO MULTIPL Se ac=bc então a=b a≠0
CONJUNTOS NUMÉRICOS
CN.7.01.D
1) Localize na reta:
a) A= ½ b) B=1/3 c) C=5/6 d) D=2/5 e) E=3/4
4. Ache o módulo, o inverso e o oposto de:
a) 2/3 módulo 2/3 inverso 3/2 oposto -2/3
b) 3/5 módulo 3/5 inverso 5/3 oposto -3/5
c) 1/4 módulo ¼ inverso 4 oposto -1/4
d) 4 módulo 4 inverso ¼ oposto -4
e) -2 módulo 2 inverso -1/2 oposto 2
f) -2/3 módulo 2/3 inverso -3/2 oposto 2/3
5. 2
1
4
=
9
4
, logo o inverso é 4/9 6. Resposta: 4/3
7) Inverso – 6 Triplo do inverso – 18 Metade disso – 9
8. e) -1,64 e -1,515 9. c) 7,5
CONJUNTOS NUMÉRICOS
CN.7.01.E
10. c) 2,3
11. y é negativo e menor que 1
x está entre 0 e 1
Ignorando o sinal x . y é um número menor que y, mas xy é negativo,
então estão entre y e 0.
Veja um exemplo y=-1,3 e x=0,5, então xy=-0,65
c) entre y e 0
12. c) 2,385 e 2,402
13. Não há gabarito, o A deve ser próximo de 2,4
CONJUNTOS NUMÉRICOS
CN.7.01.F
14.B) 39,3º C 15. (D) 270. 16. c) 32,1 e 1,23
17 d) 2>1,9 18. d) 12
Ignorando a vírgula temos 3x2x1=6 possibilidades. A vírgula pode ser
colocada em 2 posições, ou seja 6x2=12, números.
Listando: 1,23 12,3 1,32 13,2 2,13 21,3
2,31 23,1 3,12 31,2 3,21 32,1
CONJUNTOS NUMÉRICOS
CN.7.01.G
19. (C) 1,65 x 1,78
(D) 1,65 x 1,78
Veja que as respostas estão iguais (erro meu)
20. d) 4ª 21. d) 0,8
23.
8,32-7,13=1,19
São 7 segmentos
1,19:7=0,17
3 x 0,17 = 0,51
7,13+0,51 = 7,64
d) 7,64
CONJUNTOS NUMÉRICOS
CN.7.01.H
1) Escreva, usando as três notações:
a) o intervalo aberto de extremos -2 e 1. -2<x<1 ]-2,1[
b) o intervalo semi-aberto à esquerda de extremos 3 e 8. 3<x≤8
]3,8]
c) o intervalo fechado de extremos 0 e 5. 0≤x≤5 [0,5]
d) o intervalo semi-aberto à direita de extremos -5 e 1. -5≤x<1
[-5,1[
2) Usando a notação de intervalo, escreva:
a) o subconjunto de IR formado pelos números reais maiores que 3.
x>3 ]3,∞[
b) o subconjunto de IR formado pelos números reais menores que -1.
x<-1 ]-∞,-1[
c) o subconjunto de IR formado pelos números reais maiores ou iguais
a 2. x≥2 [2,∞[
d) o subconjunto de IR formado pelos números reais menores ou iguais
a ½. x≤1/2 ]- ∞,1/2]
3)Usando a notação de conjuntos, escreva os intervalos:
a) [6,10[ 6≤x<10 b) ]-1,5] -1<x≤ 5
c) ]-6,0[ -6<x<0 d) [0,+[ x≥0
e) ]-,3[ x<3 f) [-5,2[ -5≤ 𝑥 < 2
g) ]-10,10[ -10<x<10 h)[- 3 , 3 ] −√3 ≤ 𝑥 ≤ √3
i)]-,1] x≤ 1
CONJUNTOS NUMÉRICOS
CN.7.01.I
1) Escreva os conjuntos por extenso (use adequadamente as
reticências ... )
{𝑥 ∈ ℤ; 3 < 𝑥 < 10}={4,5,6,7,8,9} {𝑥 ∈ ℤ; −2 < 𝑥 < 7}={-1,0,1,2,3,4,5,6}
{𝑥 ∈ ℤ ∗; −2 < 𝑥 < 7}={-1,1,2,3,4,5,6} {𝑥 ∈ ℕ; 3 < 𝑥 < 10}={4,5,6,7,8,9}
{𝑥 ∈ ℕ; −2 < 𝑥 < 7}={0,1,2,3,4,5,6} {𝑥 ∈ ℕ ∗; −2 < 𝑥 < 7}={1,2,3,4,5,6}
{𝑥 ∈ ℤ; 3 ≤ 𝑥 < 10}={3,4,5,6,7,8,9} {𝑥 ∈ ℤ; 3 < 𝑥 ≤ 10}={4,5,6,7,8,9,10}
{𝑥 ∈ ℤ; 3 ≤ 𝑥 < 10}={3,4,5,6,7,8,9} {𝑥 ∈ ℤ; −1 ≤ 𝑥 < 5}={-1,0,1,2,3,4}
{𝑥 ∈ ℤ; −3 < 𝑥 ≤ 1}={-2,-1,0,1} {𝑥 ∈ ℤ; −5 ≤ 𝑥 < −3}={-5,-4}
{𝑥 ∈ ℕ; 3 < 𝑥 < 4}={ }=∅ (nenhum número, não há números entre 3 e
4)
{𝑥 ∈ ℕ; −5 < 𝑥 < −2}={ }=∅ (nenhum número, números naturais não
podem ser negativos)
{𝑥 ∈ ℕ; 5 < 𝑥 < 100}={6,7,8,9,...,99,100}
{𝑥 ∈ ℕ; −10 < 𝑥 < 500}={-0,1,2,3,....,499,500}
{𝑥 ∈ ℕ; 𝑥 < 10}={0,1,2,3,4,5,6,7,8,9} {𝑥 ∈ ℕ; 𝑥 > 10}={11,12,13,14,...}
{𝑥 ∈ ℤ; 𝑥 < 10}={...,-2,-1, 0,1,2,3,4,5,6,7,8,9}
{𝑥 ∈ ℤ; 𝑥 > 10}={11,12,13,14,...} {𝑥 ∈ ℤ ∗; 𝑥 > 10}={11,12,13,14,...}
{𝑥 ∈ ℤ; 𝑥 ≥ 10}={...,-2,-1, 0,1,2,3,4,5,6,7,8,9,10}
2) Complete com ∈ (pertence) e ∉ (não pertence)
-3 ∉ {𝑥 ∈ ℤ; 3 < 𝑥 < 10} 4 ∈ {𝑥 ∈ ℤ; 3 < 𝑥 < 10}
3 ∉ {𝑥 ∈ ℤ; 3 < 𝑥 < 10} 3∈ {𝑥 ∈ ℤ; 3 ≤ 𝑥 < 10}
5,2∉ {𝑥 ∈ ℤ; 3 ≤ 𝑥 < 10} 7/2∉ {𝑥 ∈ ℤ; 3 ≤ 𝑥 < 10}
5,2∈ {𝑥 ∈ ℚ; 3 ≤ 𝑥 < 10} 7/2∈ {𝑥 ∈ ℚ; 3 ≤ 𝑥 < 10}
0,555........ ∈ {𝑥 ∈ ℚ; −5 < 𝑥 < 10}
-1/3∈ {𝑥 ∈ ℚ; −2 < 𝑥 ≤ 3} 5/9∉ {𝑥 ∈ ℚ; 1 ≤ 𝑥 ≤ 2}
9/7∈ {𝑥 ∈ ℚ; 0 ≤ 𝑥 < 1} 1
3
5
∈ {𝑥 ∈ ℚ; 1 < 𝑥 < 2}
OTÁVIO LUCIANO CAMARGO SALES DE MAGALHÃES 129
MULTIPLICAÇÃO E DIVISÃO DE NÚMEROS RACIONAIS
1. Calcule
a. (-4) ∙ 






11
3
b.
20
9
9
5

c. 


















6
1
7
2
9
7
d.   












14
5
3
3
7
2. Cacule
a. (+1,2) ∙ (+6) ∙ (+0,65)
b. -6,4 ∙ 1,5
c. -0,7 ∙ (-2,1)
d. (-2,7) ∙ (-0,5) ∙ (-4,2) ∙ (+2)
3. Calcule:
a. 












7
9
:
7
6
b. 












9
10
:
27
5
c.   






11
27
:9
d. 






14
5
:
7
30
4. Calcule:
a. (+2): (-0,5)
b. (-2,1): (-2,8)
c. (-0,18): (+0,36)
d. (+0,6): (+0,03)
1- Efetue:
a) 32,7:(-10) b) 12,7:(-1,27) c) (-7,2):(-2,5)
2- Efetue:
a) 1/3:(-2/5) b) (-121/5):(-11/5) c) (-81/25):(-9/5)
3- Efetue 0,5:2/3
4- Renan disse que é muito chato fazer 36:(-0,25). Aurélia disse para ele fazer 36.(-4) que era a
mesma coisa! Faça as contas e confira.
5- Vamos ver por que dividir por 0,25 é o mesmo que multiplicar por 4.
a) Coloque 0,25 na forma de fração e simplifique.
b) Se você dividir um número x pela fração obtida, o que vai acontecer?
c) Em vez de dividir o número x por 0,5, pode-se mulitplicá-lo por quanto?
6- Efetue:
a)
1
8
7
40
12
5

b)
1
2
3
5
3
5
 






c)
.
3
7
1
2
3
5
5 






OTÁVIO LUCIANO CAMARGO SALES DE MAGALHÃES 130
POTENCIAÇÃO DE NÚMEROS NEGATIVOS
Usando a definição, calcule:
a) (-3)2 b) (-5)2 c) (+2)3 d) (-2)4 e) (-3)4
f) (+3)4 g) (-3)4 h) (+5)2 i) (+2)3 j) (-2)2
l) (-2)3 m) (-2)4 n) (-2)5 o) (-3)2 p) (-3)3
q) (+3)2 r) (+5)3 s) (-5)3 t) (-12)0 u) (+6)0
v) (-12)1 x) (-3)4 z) (+12)1 a) (-10)3
b) (-1)1998 c) (-1)1999 d) (+5)0
1) Calcule:
a) (-3)2 b) (-4)2 c) (-5)2 d) (-2)3 e) (-3)3 f) (-3)3
g) (-5)3 h) (-2)4 i) (-2)5 j) (-4)2 k) (-8)2 l)(-7)2
m) (-11)2 n) (-20)2 o) (-2)3 p) (-3)3 q) (-5)3 r) (-5)3 s) (-6)3
2) Calcule:
a) (-2)4 b) (-2)5 c) (-2)6 d) (-2)7 e) (-2)8
3) Calcule:
a) (-1)5 b) (-1)9 c) (-1)8 d) (-1)19 e) (-1)10
4) Calcule:
a) (-5)0 b) (-6)0 c) (-415)0
5) Calcule: a) (-5)2 b) (+5)2 c) -52
6) Calcule: a) (-1)400 b) (-1)401
7) Calcule: a) (-10)4 b) (-10)12 c) (-10)15
8) Calcule:
a) (-3)2 b) -32 c) (+3)2 d) 32
9) Sem calcular coloque V ou F (Verdadeiro ou Falso):
a) 52=(-5)2 b) 63=(-6)3 c) 124=(-12)4 d) 5472=(-547)2
10) Calcule:
a) 5-62 b) -62 c) 7-32 d) -32
11) Ache: a) (+6)2 b) (+2)3
12) Ache o valor de x:
a) x2=16 b) x2=-16 c) x3=8 d) x3=-8
OTÁVIO LUCIANO CAMARGO SALES DE MAGALHÃES 131
13) Calcule:
a) 52 b) (-5)2 c) 23 d) (-2)3 e) 24 f) (-2)4
14) Calcule o valor de x:
a) x2=25 b) x2=-25 c) x3=1 d) x3=-1
15) Calcule:
a)
2
3
2






b)
2
4
5






c)
2
11
1






d)
3
2
3






e)
2
4
5







f)
3
3
2






 g)
3
4
3






 h)
0
4
1






 i)
2
5
4






j)
2
3
7






k)
2
5
1






l)
4
3
2






m)
6
2
1






n)
9
2
1






 o)
11
10
1







16) Se
A=
2
3
2
4
1






 , B= 0
2
3
1
3
2
1







, C= 3
22
6
35 
, calcule A2+B+C
17) Calcule:
a) 52 b) 63 c) (-4)2 d)
2
5
1






e)
3
3
2







f)
2
3
1
2 





g) (0,2)2 h) (-0,222...)2 i) (0,5)2 j) (0,25)2
k)
2
5
2
1 





l)
3
3
2
1 






m) (0,333...)2 n) (1,555...)2
18) Calcule
...111,0
2
1
2







19) Calcule
22
3
1
3
2













OTÁVIO LUCIANO CAMARGO SALES DE MAGALHÃES 132
20) Reduza à uma só potência:
𝑎) 37
. 35
∶ 34
𝑏) (−12)6
. (−12)2
. (−12) 𝑐) [(−10)3]5
𝑑) (67)3
𝑒)
54 . 52 . 5∶ 53
52 . 52 𝑓)
(−7)5
(−7)3
21) Calcule o valor numérico de:
a) x3-3x2+5x-1 para x=-3 b) x2-2xy+y2 sendo x=5 e y=-2
c) 3x2y-4xy2 quando x=-1 e y=-2 d) a3+3a2b+3ab2+b3 para a=5 e b=-2
EXPRESSÕES NUMÉRICAS COM NÚMEROS NEGATIVOS
1) Determine:
a) 10+(-4).2 Resposta:2
b) (-5).3-(-6).4 Resposta: 9
c) 19-(-20):(-2) Resposta: +9
d) 8-10:(-5) Resposta: 10
e) (-40):8-30:(-6) Resposta: 0
f) 36:(-3)+(-5).(-2) Resposta: -2
OTÁVIO LUCIANO CAMARGO SALES DE MAGALHÃES 133
g) 15:(-3)-28:(-4) Resposta: 2
h) 10-2.6 Resposta: -2
i) (-5):5-3.(-1)+1 Resposta: 3
j) 45-6.5+48:(-6) Resposta: 7
k) 30:(-10)+8-(-2).3 Resposta: 11
l) 25:(-25)+4:(-4)+2 Resposta: 0
m) -15:3+4 Resposta: -1
n) 20-(-28):(-7) Resposta: 16
o) (-30).2:(-3) Resposta: 20
OTÁVIO LUCIANO CAMARGO SALES DE MAGALHÃES 134
p) (-16):4-18:(-6) Resposta: -1
q) 15+(-3).(-4)-2.(-15) Resposta: 57
r) 11-2.(-8)+7.(-4) Resposta: -1
s) 25-(-8).2 Resposta: 41
t) -12-(-3).4 Resposta: 0
u) 20-6.3 Resposta: 2
v) 2.(-5)+3.(-4)-4.(-6) Resposta: 2
w) 20-2.(-7)+(-12).3 Resposta: -2
x) -3.9+24 Resposta: -3
y) -5.4-(-3).7 Resposta: 1
OTÁVIO LUCIANO CAMARGO SALES DE MAGALHÃES 135
z) 5.(-6)-3.2+28Resposta: -8
aa)2.(-9)+3.(-1) Resposta: -21
bb)15-2.(-5).(-1) Resposta: 5
1 Ache os valores numéricos
a) 4x+20, para x=-5 Resposta: 0
b) xy+10, para x=4 e y=-3 Resposta: -2
c) 10-6a, para a=-2 Resposta: 22
d) 3a-b, para a=-6 e b=-21 Resposta: 3
e) 5x+13, para x=-2 Resposta: 3
f) 4a-ab, para a=-1 e b=2 Resposta: -2
g) ax+ay, para a=-2, x=-3, y=1
Resposta: 4
h) 5a-2b, para a=6 e b=15 Resposta: 0
OTÁVIO LUCIANO CAMARGO SALES DE MAGALHÃES 136
i) x+xy, para x=-1 e y=1 Resposta: -2
j) 2x+xy-3y, para x=2 e y=-2 Resposta: 6
2 a) Se A=2.(-9)+20 e B=1-(-2).3, quanto vale
A+B? Resposta: 9
b) Se x=(-1).(-2)-(-5) e y=6+(-3).3, quanto vale
x-y? Resposta: 10
3 Resolva
a) -5+(-3).8 Resposta: -29
b) -6.5-(-4).3 Resposta: -18
c) (-5+1)(-8+2) Resposta: 24
d) 6-(-6+4).(-5+9) Resposta: 14
e) (-3).(-4)+(-6).5 Resposta: -18
f) 12-(-2).3+(-4).(-5) Resposta: 38
OTÁVIO LUCIANO CAMARGO SALES DE MAGALHÃES 137
g) 9.-[(-2).7-(-8).3] Resposta: -1
h) (-2).3+{2.[-3+(-2).(-4)]} Resp: 4
i) (-4+20):(-8) Resposta: -2
j) (-6-14):(-6+1) Resposta: 4
k) (-8).3-(-15):3 Resposta: -19
l) [-8+(-4).(-3)]:(-1-1) Resposta: -2
m) (-6-2+3):[-3.(-2+3)+8] Resp: -1
n) -20:{-6+[(-2).(-3):(+2)-2]} Resposta: 4
o) 10-{-6+[(-12):(-3)-8] Resposta: 20
p) [-20+(-12+4)]:[1+(-3).(-2)] Resposta: -4
OTÁVIO LUCIANO CAMARGO SALES DE MAGALHÃES 138
1) Resolva as expressões:
a) 15+(-8).3 Resposta -9
b) (-30):(-5)-(-4)Resposta: 10
c) 21-(-14):2 Resposta: 28
d) (-5)2+(-2)5 Resposta: - 7
e) (-6)2+(-1)3-33 Resposta: 8
f) (-6)2-12 Resposta: 24
g) -5.6-(-3)2 Resposta: -39
h) (-8)2:(-16)+5 Resposta: 1
i) 3.(-2)2+(-36):(-3)2 Resposta: 8
j) (-5)2+32 Resposta: 34
k) (-3)3-(-2)3-(-1)4 Resposta: -20
OTÁVIO LUCIANO CAMARGO SALES DE MAGALHÃES 139
l) 3.(-4)2-(-7)2 Resposta: - 1
m) 15-3.(-2)2+5o Resposta: 4
n) (-4)3-24 Resposta: 80
o) 32-(-3)3+(-2)2 Resposta: 40
p) (-4)3:25-(-2)2.(-1)3 Resposta: 2
q) 8+(-45):(-3)2+(-4).(-1)3 Resposta: 7
r) (-6)0+(-3)2+(-2)3.(-1) Resp: 18
s) 32-42-(-2).(-4) Resposta: -15
t) (-7)2-(-7).(-6) Resposta: 7
u) 4.(-3)2+(-5)2 Resposta: 61
v) (-6)2:[(-4)-(-2)3] Resposta: 9
w) (-1)4-(-1)3.(-2)4:(-2)2 Resposta: 5
OTÁVIO LUCIANO CAMARGO SALES DE MAGALHÃES 140
x) (-15+9)2:(-5+1) Resposta: -9
y) (-2-1)2.(-2+6)3-(5-4+2)3:(-5+2)
Resposta: 585
2) Ache os valores numéricos:
a) x3-2x2+5x+4, para x=-1
b) x2-y2, para x=-4 e y=-5 Resp: -9
c) x3-2x, para x=-1 Resposta: 1
d) a3-b3 , para a=1 e b=-2 Resp: 9
e) x2-xy-y3, para x=-4 e y=2
Resposta: 16
f) x2-5x-6, para x=2
Resposta: -12
g) x3-x2-x+1, para x=-1
Resposta: 0
OTÁVIO LUCIANO CAMARGO SALES DE MAGALHÃES 141
1. −
3
4
− (−
5
6
) . (
7
5
) Resposta: 5/12
2. (−3 −
3
5
) (−
7
12
+
13
18
) Resposta: -1/2
3. (−2 +
3
4
) (
1
2
+
1
3
) Resposta: -25/24
4.
−
3
2
+
1
3
1−
7
4
Resposta: 14/9
5.
2
21
−
3
7
: (−
3
5
) Resposta: 17/21
6. (−
4
9
+
1
15
) : (−
5
6
−
1
9
) Resposta: 2/5
7. (−
5
9
) : (
2
3
) −
7
6
Resposta: -2
OTÁVIO LUCIANO CAMARGO SALES DE MAGALHÃES 142
8. 2 −
9
8
: (−
5
4
) Resposta: 29/10
9. [(−
5
9
) : (−
2
3
)] : (−3
2
3
) Resp: -5/22
10.−15,8 + (−8,68): 6,2 Resp: 17,2
11.
2
5
(−
1
2
) +
2
5
Resposta: 1/5
12.−
3
4
.
2
5
−
2
10
Resposta: -1/2
13.(3 −
1
2
) .
1
4
Resposta 5/8
14.(
2
3
−
1
2
) : (−
3
4
) Resposta: -2/9
15.(−
2
3
)
3
:
8
9
Resposta: -1/3
16.(−
1
2
+
2
3
) (2 −
1
4
) Resposta 7/24
OTÁVIO LUCIANO CAMARGO SALES DE MAGALHÃES 143
17.(−2 +
1
3
) : (
2
3
− 3) Resposta 5/7
18.(
3
4
−
5
6
) : (
2
3
−
1
2
) Resposta: -1/2
19.
2+
1
3
1+
1
2
Resposta 14/9
20.
−
1
2
+
1
3
1
4
+
2
3
Resposta: -2/11
21.
−
1
5
+
3
10
2
Resposta: 1/20
22.
1
5
1+
1
2
Resposta: 2/15
23.
−4
2−
1
2
Resposta: -8/3
24.
1−
1
2
2+
3
2
Resposta: 1/7
25.(3 +
1
2
−
1
3
) : (
1
2
−
9
4
) Resposta: -38/21
OTÁVIO LUCIANO CAMARGO SALES DE MAGALHÃES 144
26.(−1 +
1
2
)
3
−
1
4
Resposta: -3/8
27.(−2 +
1
2
)
2
(
1
2
−
1
4
) Resposta: 9/16
28.(
3
2
−
1
3
)
2
: (
3
4
−
1
2
)
2
Resposta: 196/9
29.(−
1
2
)
3
−
1
4
[
2
3
− (−1 +
1
2
)
2
] Resp: -11/48
30.(−1 −
1
2
) (−
1
2
)
2
Resposta: -3/8
31.(−2 −
1
3
−
1
2
) : (−2 −
7
5
)
Resposta: 5/6
32.(−
1
9
−
1
3
) + (
1
4
−
2
3
) (
2
5
)
Resposta: -11/18
33.(2 −
1
3
)
2
: (
1
2
− 1)
3
Resposta: -200/9
OTÁVIO LUCIANO CAMARGO SALES DE MAGALHÃES 145
34.{−
1
7
[(−
3
4
)
2
+ (3 −
1
2
)
2
]} :
109
4
Resposta: -1/28
35.√1 +
5
4
(0,2 + 1) Resposta: 9/5
36.(−2 +
1
3
)
2
(0,4 −
1
5
)
2
− 0,7√
36
49
Resposta: -22/45
37.[
1
2
− (1 +
1
2
)
2
] (2 +
2
3
)
Resposta: -14/3
38.(−
3
2
)
2
: [(−
1
4
) +
1
2
] Resposta: 9
39.
1
2
: [2 − (
2
3
+
1
4
)] Resposta: 6/13
40.(−6): [(−
3
2
)
3
(
10
9
−
2
15
.
10
6
)]
Resposta: 2
41.16 (
3
4
−
1
2
)
3
− [
5
2
+
1
3
. (−
3
4
)] Resposta: -2
OTÁVIO LUCIANO CAMARGO SALES DE MAGALHÃES 146
42.(
2
3
−
1
2
)
2
: (−
1
2
+
1
3
)
2
Resposta: 1
43.5𝑥 −
3
4
: 𝑦 para x=3/4 e y=-3/8
Resposta: 23/4
44.12 − 5𝑥 para x=-4/3
Resposta: 56/3
45.
3
7
𝑥 −
5
8
: 𝑦 para x=-7/5 e y=-5/2
Resposta: -7/20
46.4𝑥 + 𝑦: 𝑥 para x=2/9 e y=-5/3
Resposta: -119/18
47.3x-5y para x=3/4 e y=-5/9
Resposta: 181/36
48.3x-4y sendo x=-2/3 e y=-2/5
Resposta: -2/5
49.x2-5x+6 sendo x=-3/4
Resposta: 165/16
OTÁVIO LUCIANO CAMARGO SALES DE MAGALHÃES 147
50.3x-y sendo x=-3 e y=-1/2
Resposta: -17/2
51.3x2-2x+
1
3
sendo x=-2/3
Resposta: 3
52.7x2-5x-3 sendo x=-3/5
Resposta: 63/25
53.
3𝑥−𝑦2
2𝑥+𝑦
sendo x=13/21 e y=-1/7
Resposta: 270/161
54.3x-5y sendo x=1/2 e y=1/5
Resposta: ½
55.2x-3xy sendo =4/3 e y=-2/5
Resposta 64/15
56.x2-xy sendo x=2/5 e y=-1/10
Resposta: 1/5
57.3x2-2x-1 sendo x=1/3
Resposta: -4/3
58.-x2-6x sendo x=-2/3
Resposta: 32/9
OTÁVIO LUCIANO CAMARGO SALES DE MAGALHÃES 148
59.2x2-x-3 sendo x=-1/2
Resposta: -2
60.2a-3b sendo a=3/2 e b=-2/3
Resposta: 5
61.2x2-3x-2 sendo x=-1/2
Resposta: 0
62.a2+3a sendo a=3b e b=-1/2
Resposta: =-9/4
GABARITO
NÚMEROS NEGATIVOS
NN.7.05.A
1) Determine:
RESOLVA AS EXPRESSÕES
NUMÉRICAS NO CADERNO
a) 10+(-4).2 Resposta:2
10+(-8)
10-8
2
b) (-5).3-(-6).4 Resposta: 9
-15-(-24)
-15+24
9
c) 19-(-20):(-2) Resposta: +9
19-(+10)
19-10
9
d) 8-10:(-5) Resposta: 10
8-(-2)
8+2
10
e) (-40):8-30:(-6) Resposta: 0
-5-(-5)
-5+5
0
f) 36:(-3)+(-5).(-2) Resposta: -2
-12+10
-2
g) 15:(-3)-28:(-4) Resposta: 2
-5-(-7)
-5+7
2
h) 10-2.6 Resposta: -2
10-12
-2
i) (-5):5-3.(-1)+1 Resposta: 3
-1-(-3)+1
-1+3+1
3
j) 45-6.5+48:(-6) Resposta: 7
45-30+(-8)
45-30-8
7
k) 30:(-10)+8-(-2).3
Resposta: 11
-3+8-(-6)
-3+8+6
11
l) 25:(-25)+4:(-4)+2
Resposta: 0
-1+(-1)+2
-1-1+2
0
m) -15:3+4
Resposta: -1
-5+4
-1
n) 20-(-28):(-7)
Resposta: 16
20-4
16
o) (-30).2:(-3)
Resposta: 20
-60:(-3)
20
p) (-16):4-18:(-6)
Resposta: -1
-4-(-3)
-4+3
-1
q) 15+(-3).(-4)-2.(-15)
Resposta: 57
15+12-(-30)
15+12+30
57
r) 11-2.(-8)+7.(-4)
Resposta: -1
11-(-16)+(-28)
11+16-28
27-28
-1
s) 25-(-8).2
Resposta: 41
25-(-16)
25+16
41
t) -12-(-3).4
Resposta: 0
-12-(-12)
-12+12
0
u) 20-6.3
Resposta: 2
20-18
2
v) 2.(-5)+3.(-4)-4.(-6)
Resposta: 2
-10+(-12)-(-24)
-10-12+24
-22+24
2
w) 20-2.(-7)+(-12).3
Resposta: -2
20-(-14)+(-36)
20+14-36
-2
x) -3.9+24
Resposta: -3
-27+24
-3
y) -5.4-(-3).7 Resposta: 1
-20-(-21)
-20+21
1
z) 5.(-6)-3.2+28 Resposta: -8
-30-6+28
-8
aa) 2.(-9)+3.(-1) Resposta: -21
-18+(-3)
-18-3
-21
bb) 15-2.(-5).(-1) Resposta: 5
15-10
5
NÚMEROS NEGATIVOS
NN.7.05.B
1) Ache os valores numéricos
a) 4x+20, para x=-5
Resposta: 0
4.(-5)+20
-20+20
0
b) xy+10, para x=4 e y=-3
Resposta: -2
4.(-3)+10
-12+10
-2
c) 10-6a, para a=-2
Resposta: 22
10-6.(-2)
10+12
22
d) 3a-b, para a=-6 e b=-21
Resposta: 3
3.(-6)-(-21)
-18+21
3
e) 5x+13, para x=-2
Resposta: 3
5.(-2)+13
-10+13
3
f) 4a-ab, para a=-1 e b=2
Resposta: -2
4.(-1)-(-1).2
-4-(-2)
-4+2
-2
g) ax+ay, para a=-2, x=-3,
y=1 Resposta: 4
-2.(-3)+(-2).1
OTÁVIO LUCIANO CAMARGO SALES DE MAGALHÃES 149
6+(-2)
6-2
4
h) 5a-2b, para a=6 e b=15
Resposta: 0
5.6-2.15
30-30
0
i) x+xy, para x=-1 e y=1
Resposta: -2
-1+(-1).1
-1-1
-2
j) 2x+xy-3y,para x=2 e y=-2
Resposta: 6
2.2+2.(-2)-3.(-2)
4-4+6
6
2 a) Se A=2.(-9)+20 e B=1-(-2).3,
quanto vale A+B? Resposta: 9
A=-18+20=2 B=1-(-6)=7
A+B=2+7=9
b) Se x=(-1).(-2)-(-5) e y=6+(-3).3,
quanto vale x-y? Resposta: 10
x=2-(-5)=2+5=7 y=6+(-9)=-3
x-y=7-(-3)=7+3=10
3. Resolva
a) -5+(-3).8
Resposta: -29
-5+(-24)
-5-24
-29
b) -6.5-(-4).3
Resposta: -18
-30-(-12)
-30+12
-18
c) (-5+1)(-8+2)
Resposta: 24
(-4)(-6)
24
d) 6-(-6+4).(-5+9)
Resposta: 14
6-(-2)(4)
6-(-8)
6+8
14
e) (-3).(-4)+(-6).5
Resposta: -18
12+(-30)
12-30
-18
f) 12-(-2).3+(-4).(-5)
Resposta: 38
12-(-6)+20
12+6+20
38
g) 9.-[(-2).7-(-8).3]
Resposta: -1
9-[-14-(-24)]
9-[-14+24]
9-10
-1
h) (-2).3+{2.[-3+(-2).(-4)]}
Resp: 4
-6+{2.[-3+8]}
-6+{2.5}
-6+10
4
i) (-4+20):(-8)
Resposta: -2
16:(-8)
-2
j) (-6-14):(-6+1)
Resposta: 4
(-20):(-5)
4
k) (-8).3-(-15):3
Resposta: -19
-24-(-5)
-24+5
-19
l) [-8+(-4).(-3)]:(-1-1)
Resposta: -2
[-8+12]:(-2)
4:(-2)
-2
m) (-6-2+3):[-3.(-2+3)+8]
Resp: -1
(-5):[-3(1)+8]
(-5):[-3+8]
(-5):5
-1
n) -20:{-6+[(-2).(-3):(+2)-2]}
Resposta: 4
-20:{-6+[6:2-2]}
-20:{-6+[3-2]}
-20:{-6+1}
-20:{-5}
4
o) 10-{-6+[(-12):(-3)-8]
Resposta: 20
10-{-6+[4-8]}
10-{-6+[-4]}
10-{-6-4}
10-{-10}
10+10
20
p) [-20+(-12+4)]:[1+(-3).(-2)]
Resposta: -4
[-20+(-8)]:[1+6]
[-20-8]:7
-28:7
-4
NÚMEROS NEGATIVOS
NN.7.01.A
3) Resolva as expressões:
a) 15+(-8).3
Resposta -9
15+(-24)
15-24
-9
b) (-30):(-5)-(-4) Resposta: 10
6+4
10
a) 21-(-14):2 Resposta: 28
21-(-7)
21+7
28
b) (-5)2
+(-2)5
Resposta: - 7
25+(-32)
25-32
-7
c) (-6)2
+(-1)3
-33
Resposta: 8
36+(-1)-27
36-1-27
8
d) (-6)2
-12 Resposta: 24
36-12
24
e) -5.6-(-3)2
Resposta: -39
-30-9
-39
f) (-8)2
:(-16)+5 Resposta: 1
64:(-16)+5
-4+5
1
g) 3.(-2)2
+(-36):(-3)2
Resposta: 8
3.4+(-36):9
12+(-4)
12-4
8
h) (-5)2
+32
Resposta: 34
25+9
34
i) (-3)3
-(-2)3
-(-1)4
Resposta: -20
-27-(-8)-1
-27+8-1
-28+8
-20
j) 3.(-4)2
-(-7)2
Resposta: - 1
3.16-49
48-49
-1
k) 15-3.(-2)2
+5o
Resposta: 4
15-3.4+1
15-12+1
4
l) (-4)3
-24
Resposta: -80
-64-16
-80
m) 32
-(-3)3
+(-2)2
Resposta: 40
9-(-27)+4
9+27+4
40
n) (-4)3
:25
-(-2)2
.(-1)3
Resposta: 2
(-64):32-4:(-1)
-2+4
2
o) 8+(-45):(-3)2
+(-4).(-1)3
Resposta: 7
8+(-45):9+(-4).(-1)
8+(-5)+4
8-5+4
7
p) (-6)0
+(-3)2
+(-2)3
.(-1) Resp: 18
1+9+(-8).(-1)
1+9+8
18
q) 32
-42
-(-2).(-4) Resposta: -15
9-16-8
-15
r) (-7)2
-(-7).(-6) Resposta: 7
49-42
7
s) 4.(-3)2
+(-5)2
Resposta: 61
4.9+25
36+25
61
t) (-6)2
:[(-4)-(-2)3
]Resposta: 9
36:[-4-(-8)]
36:[-4+8]
36:4
9
u) (-1)4
-(-1)3
.(-2)4
:(-2)2
Resposta:
5
1-(-1).16:4
1-(-16):4
1-(-4)
1+4
5
v) (-15+9)2
:(-5+1)Resposta: -9
(-6)2
:(-4)
36:(-4)
-9
w) (-2-1)2
.(-2+6)3
-(5-4+2)3
:(-5+2)
Resposta: 585
(-3)2
.(4)3
-33
:(-3)
9.64-27:(-3)
576+9
585
4) Ache os valores
numéricos:
a) x3
-2x2
+5x+4, para x=-1
(-1)3
-2.(-1)2
+5(-1)+4
-1-2+(-5)+4
-1-2-5+4
-2
b) x2
-y2
, para x=-4 e y=-5
Resp: -9
(-4)2
-(-5)2
16-25
-9
d) x3
-2x, para x=-1
Resposta: 1
(-1)3
-2.(-1)
-1+2
1
e) a3
-b3
, para a=1 e b=-2
Resp: 9
13
-(-2)3
1-(-8)
1+8
9
f) x2
-xy-y3
, para x=-4 e y=2
Resposta: 16
(-4)2
-(-4).2-23
16-(-8)-8
16+8-8
16
g) x2
-5x-6, para x=2
Resposta: -12
22
-5.2-6
4-10-6
-12
OTÁVIO LUCIANO CAMARGO SALES DE MAGALHÃES 150
h) x3
-x2
-x+1, para x=-1
Resposta: 0
(-1)3
-(-1)2
-(-1)+1
-1-1+1+1
0
EXPRESSÕES NUMÉRICAS
NN.7.11.Q
1. −
3
4
− (−
5
6
) . (
7
5
)
Resposta: 5/12
−
3
4
− (−
7
6
)
−
3
4
+
7
6
−
9
12
+
14
12
5
12
2. (−3 −
3
5
) (−
7
12
+
13
18
)
Resposta: -1/2
(−
15
5
−
3
5
)(−
21
36
+
26
36
)
(−
18
5
)(
5
36
)
(−
1
1
) (−
1
2
)
1
2
3. (−2 +
3
4
) (
1
2
+
1
3
)
Resposta: -25/24
(−
8
4
+
3
4
) (
3
6
+
2
6
)
(−
5
4
) (
5
6
)
−
25
24
4.
−
3
2
+
1
3
1−
7
4
Resposta: 14/9
−
9
6
+
2
6
4
4
−
7
4
−
7
6
−
3
4
=
28
18
=
14
9
5.
2
21
−
3
7
: (−
3
5
)
Resposta: 17/21
2
21
−
3
7
. (−
5
3
)
2
21
+
5
7
2
21
+
15
21
=
17
21
6. (−
4
9
+
1
15
): (−
5
6
−
1
9
)
Resposta: 2/5
(−
20
45
+
3
45
) : (−
15
18
−
2
18
)
(−
17
45
) : (−
17
18
)
(−
17
45
) (−
18
17
) =
2
5
7. (−
5
9
) : (
2
3
) −
7
6
Resposta: -2
(−
5
9
) (
3
2
) −
7
6
(−
5
6
) −
7
6
(−
5
6
) −
7
6
−
12
6
= −2
8. 2 −
9
8
: (−
5
4
)
Resposta: 29/10
2 −
9
8
(−
4
5
)
2 − (−
9
10
)
2 +
9
10
20
10
+
9
10
29
10
9. [(−
5
9
) : (−
2
3
)]: (−3
2
3
)
Resposta: -5/22
[(−
5
9
) (−
3
2
)] : (−
11
3
)
[
5
6
] : (−
11
3
)
5
6
(−
3
11
)
−
15
66
= −
5
22
10. −15,8 + (−8,68): 6,2
Resposta: 17,2
-15,8+(-1,4)
-17,2
11.
2
5
(−
1
2
) +
2
5
Resposta: 1/55
−
1
5
+
2
5
=
1
5
12. −
3
4
.
2
5
−
2
10
Resposta: -1/2
−
3
10
−
2
10
= −
5
10
= −
1
2
13. (3 −
1
2
) .
1
4
Resposta 5/8
(
6
2
−
1
2
) .
1
4
(
5
2
) .
1
4
=
5
8
14. (
2
3
−
1
2
) : (−
3
4
)
Resposta: -2/9
(
4
6
−
3
6
) : (−
3
4
)
(
1
6
) : (−
3
4
)
(
1
6
) (−
4
3
) = −
4
18
= −
2
9
15. (−
2
3
)
3
:
8
9
Resposta: -1/3
−
8
27
:
8
9
= −
8
27
.
9
8
= −
1
3
16. (−
1
2
+
2
3
) (2 −
1
4
)
Resposta 7/24
(−
1
2
+
2
3
) (2 −
1
4
)
(−
3
6
+
4
6
) (
8
4
−
1
4
)
(
1
6
) (
7
4
) =
7
24
17. (−2 +
1
3
) : (
2
3
− 3)
Resposta 5/7
(−
6
3
+
1
3
) : (
2
3
−
9
3
)
(−
5
3
) : (−
7
3
)
(−
5
3
) : (−
3
7
) =
5
7
18. (
3
4
−
5
6
) : (
2
3
−
1
2
)
Resposta: -1/2
(
15
12
−
10
12
): (
4
6
−
3
6
)
(
9
12
−
10
12
): (
4
6
−
3
6
)
(−
1
12
) : (
1
6
)
(−
1
12
) . 6 = −
6
12
= −
1
2
19.
2+
1
3
1+
1
2
Resposta 14/9
2 +
1
3
1 +
1
2
=
6
3
+
1
3
2
2
+
1
2
=
7
3
3
2
=
7
3
.
2
3
=
14
9
20.
−
1
2
+
1
3
1
4
+
2
3
Resposta: -2/11
−
1
2
+
1
3
1
4
+
2
3
=
−
3
6
+
2
6
3
12
+
8
12
=
−
1
6
11
12
= −
1
6
.
12
11
= −
2
11
21.
−
1
5
+
3
10
2
Resposta: 1/20
−
1
5
+
3
10
2
=
−
2
10
+
3
10
2
=
1
10
2
=
1
20
22.
1
5
1+
1
2
Resposta: 2/15
1
5
1 +
1
2
=
1
5
2
2
+
1
2
=
1
5
3
2
=
2
15
23.
−4
2−
1
2
Resposta: -8/3
−4
2 −
1
2
=
−4
4
2
−
1
2
=
−4
3
2
= −
8
3
24.
1−
1
2
2+
3
2
Resposta: 1/7
1 −
1
2
2 +
3
2
=
2
2
−
1
2
4
2
+
3
2
=
1
2
7
2
=
1
7
25. (3 +
1
2
−
1
3
) : (
1
2
−
9
4
)
Resposta: -
38/21
(3 +
1
2
−
1
3
) : (
1
2
−
9
4
)
(
18
6
+
3
6
−
2
6
) : (
2
4
−
9
4
)
(
19
6
) : (−
7
4
) =
19
6
. (−
4
7
) = −
38
21
26. (−1 +
1
2
)
3
−
1
4
Resposta:
-3/8
(−
2
2
+
1
2
)
3
−
1
4
(−
1
2
)
3
−
1
4
−
1
8
−
1
4
=
1
8
−
2
8
= −
3
8
27. (−2 +
1
2
)
2
(
1
2
−
1
4
)
Resposta: 9/16
(−
4
2
+
1
2
)
2
(
2
4
−
1
4
)
(−
3
2
)
2
(
1
4
)
9
4
(
1
4
) =
9
16
28. (
3
2
−
1
3
)
2
: (
3
4
−
1
2
)
2
Resposta: 196/9
(
9
6
−
2
6
)
2
: (
3
4
−
2
4
)
2
(
7
6
)
2
: (
1
4
)
2
49
36
:
1
16
=
49
36
. 16 =
196
9
29. (−
1
2
)
3
−
1
4
[
2
3
− (−1 +
1
2
)
2
]
Resposta: -11/48
−
1
8
−
1
4
[
2
3
− (−
1
2
)
2
]
−
1
8
−
1
4
[
2
3
−
1
4
]
−
1
8
−
1
4
[
8
12
−
3
12
]
−
1
8
−
1
4
[
5
12
]
−
1
8
−
5
48
−
6
48
−
5
48
= −
11
48
30. (−1 −
1
2
) (−
1
2
)
2
Resposta: -3/8
(−1 −
1
2
) .
1
4
(−
2
2
−
1
2
) .
1
4
(−
3
2
) .
1
4
= −
3
8
31. (−2 −
1
3
−
1
2
) : (−2 −
7
5
)
Resposta: 5/6
(−
12
6
−
2
6
−
3
6
) : (−
10
5
−
7
5
)
(−
17
6
) : (−
17
5
) = (−
17
6
) (−
5
17
)
=
5
6
32. (−
1
9
−
1
3
) + (
1
4
−
2
3
) (
2
5
)
Resposta: -11/18
(−
1
9
−
1
3
) + (
1
4
−
2
3
) (
2
5
)
(−
1
9
−
3
9
) + (
3
12
−
8
12
) (
2
5
)
(−
4
9
) + (−
5
12
)(
2
5
)
(−
4
9
) + (−
1
6
)
−
4
9
−
1
6
= −
8
18
−
3
18
= −
11
18
EXPRESSÕES NUMÉRICA
NN.7.11.R
OTÁVIO LUCIANO CAMARGO SALES DE MAGALHÃES 151
33. (2 −
1
3
)
2
: (
1
2
− 1)
3
Resposta: -200/9
(
6
3
−
1
3
)
2
: (
1
2
−
2
2
)
3
(
5
3
)
2
: (−
1
2
)
3
25
9
: (−
1
8
) =
25
9
. (−8) = −
200
9
34. {−
1
7
[(−
3
4
)
2
+ (3 −
1
2
)
2
]} :
109
4
Resposta: -1/28
{−
1
7
[
9
16
+ (
6
2
−
1
2
)
2
]}:
109
4
{−
1
7
[
9
16
+ (
5
2
)
2
]}:
109
4
{−
1
7
[
9
16
+
25
4
]} :
109
4
{−
1
7
[
9
16
+
100
16
]} :
109
4
{−
1
7
[
109
16
]} :
109
4
{−
109
112
} :
109
4
= −
109
112
.
4
109
= −
4
112
= −
2
56
= −
1
28
35. √1 +
5
4
(0,2 + 1)
Resposta: 9/5
√
4
4
+
5
4
(1,2)
√
9
4
(
12
10
) =
3
2
.
12
10
=
36
20
=
9
5
36. (−2 +
1
3
)
2
(0,4 −
1
5
)
2
−
0,7√
36
49
Resp: -22/45
(−
6
3
+
1
3
)
2
(
4
10
−
1
5
)
2
−
7
10
√
36
49
(−
5
3
)
2
(
4
10
−
2
10
)
2
−
7
10
.
6
7
25
9
(
2
10
)
2
−
3
5
25
9
.
4
100
−
3
5
=
1
9
−
3
5
=
5
45
−
27
45
= −
22
45
37. [
1
2
− (1 +
1
2
)
2
](2 +
2
3
)
Resposta: -14/3
[
1
2
− (1 +
1
2
)
2
] (2 +
2
3
)
[
1
2
− (
2
2
+
1
2
)
2
] (
6
3
+
2
3
)
[
1
2
− (
3
2
)
2
](
8
3
)
[
1
2
−
9
4
] (
8
3
)
[
2
4
−
9
4
] (
8
3
) = −
7
4
.
8
3
= −
14
3
38. (−
3
2
)
2
: [(−
1
4
) +
1
2
]
Resposta: 9
9
4
: [−
1
4
+
2
4
] =
9
4
:
1
4
= 9
39.
1
2
: [2 − (
2
3
+
1
4
)]
Resposta: 6/13
1
2
: [2 − (
8
12
+
3
12
)]
1
2
: [
24
12
− (
11
12
)]
1
2
: [
13
12
] =
12
26
=
6
13
40. (−6): [(−
3
2
)
3
(
10
9
−
2
15
.
10
6
)]
Resposta: 2
(−6): [(−
3
2
)
3
(
10
9
−
2
15
.
10
6
)]
(−6): [−
27
8
(
10
9
−
2
9
)]
(−6): [−
27
8
(
8
9
)]
(−6): [−3] = 2
41. 16 (
3
4
−
1
2
)
3
− [
5
2
+
1
3
. (−
3
4
)] Resposta: -2
16 (
3
4
−
2
4
)
3
− [
5
2
+ (−
1
4
)]
16 (
1
4
)
3
− [
10
4
−
1
4
]
16.
1
64
− [
9
4
]
1
4
− [
9
4
] = −
8
4
= −2
42. (
2
3
−
1
2
)
2
: (−
1
2
+
1
3
)
2
Resposta: 1
(
4
6
−
3
6
)
2
: (−
3
6
+
2
6
)
2
(
1
6
)
2
: (−
1
6
)
2
1
36
:
1
36
= 1
43. 5𝑥 −
3
4
: 𝑦 para x=3/4 e y=-
3/8 Resposta: 23/4
5.
3
4
−
3
4
: (−
3
8
)
15
4
−
3
4
. (−
8
3
)
15
4
+ 2 =
15
4
+
8
4
=
23
4
44. 12 − 5𝑥 para x=-4/3
Resposta: 56/3
12 − 5. (−
4
3
)
12 +
20
3
=
36
3
+
20
3
=
56
3
45.
3
7
𝑥 −
5
8
: 𝑦 para x=-7/5 e
y=-5/2 Resposta: -7/20
3
7
. (−
7
5
) −
5
8
: (−
5
2
)
−
3
5
−
5
8
. (−
2
5
) = −
3
5
+
1
4
−
12
20
+
5
20
= −
7
20
46. 4𝑥 + 𝑦: 𝑥 para x=2/9 e
y=-5/3 Resp: -119/18
4.
2
9
+ (−
5
3
) : (
2
9
)
8
9
+ (−
5
3
) . (
9
2
)
8
9
+ (−
15
2
) =
8
9
−
15
2
=
16
18
−
135
18
= −
119
18
47. 3x-5y para x=3/4 e y=-5/9
Resposta: 181/36
3.
3
4
− 5. (−
5
9
)
9
4
−
25
9
=
81
36
+
100
36
=
181
36
48. 3x-4y sendo x=-2/3 e y=-
2/5
Resposta: -2/5
3 (−
2
3
) − 4 (−
2
5
)
−2 +
8
5
= −
10
5
+
8
5
= −
2
5
49. x2
-5x+6 sendo x=-3/4
Resposta:
165/16
(−
3
4
)
2
− 5 (−
3
4
) + 6
9
16
+
15
4
+ 6
9
16
+
60
16
+
96
16
=
165
16
50. 3x-y sendo x=-3 e y=-1/2
Resposta: -17/2
3(−3) − (−
1
2
)
−9 +
1
2
= −
18
2
+
1
2
= −
17
2
51. 3x2
-2x+
1
3
sendo x=-2/3
Resposta: 3
3. (−
2
3
)
2
− 2. (−
2
3
) +
1
3
3.
4
9
+
4
3
+
1
3
=
12
9
+
5
3
=
12
9
+
15
9
=
27
9
= 3
52. 7x2
-5x-3 sendo x=-3/5
Resposta: 63/25
7 (−
3
5
)
2
− 5 (−
3
5
) − 3
7.
9
25
+ 3 − 3 =
63
25
53.
3𝑥−𝑦2
2𝑥+𝑦
sendo x=13/21 e
y=-1/7 Resp: 270/161
3.
13
21
− (−
1
7
)
2
2.
13
21
+ (−
1
7
)
=
13
7
−
1
49
26
21
−
1
7
=
91
49
−
1
49
26
21
−
3
21
=
90
49
23
21
=
90
49
.
21
23
=
270
161
54. 3x-5y sendo x=1/2 e
y=1/5 Resposta: ½
3.
1
2
− 5.
1
5
=
3
2
− 1 =
3
2
−
2
2
=
1
2
55. 2x-3xy sendo =4/3 e y=-
2/5
Resposta 64/15
2.
4
3
− 3.
4
3
. (−
2
5
)
8
3
− 4. (−
2
5
) =
8
3
+
8
5
24
15
+
40
15
=
64
15
56. x2
-xy sendo x=2/5 e
y=-1/10 Resposta: 1/5
(
2
5
)
2
−
2
5
. (−
1
10
)
4
25
+
2
50
=
8
50
+
2
50
=
10
50
=
1
5
57. 3x2
-2x-1 sendo x=1/3
Resposta: -4/3
3. (
1
3
)
2
− 2. (
1
3
) − 1
3.
1
9
− 2.
1
3
− 1
3
9
−
2
3
− 1 =
3
9
−
6
9
−
9
9
−
12
9
= −
4
3
58. -x2
-6x sendo x=-2/3
Resposta: 32/9
− (−
2
3
)
2
− 6 (−
2
3
)
−
4
9
+
12
3
= −
4
9
+
36
9
=
32
9
59. 2x2
-x-3 sendo x=-1/2
Resposta: -2
2. (−
1
2
)
2
− (−
1
2
) − 3
2.
1
4
+
1
2
− 3
2
4
+
1
2
− 3
2
4
+
2
4
−
12
4
−
8
4
= −2
60. 2a-3b sendo a=3/2 e
b=-2/3 Resposta: 5
2.
3
2
− 3. (−
2
3
)
3 + 2 = 5
61. 2x2
-3x-2 sendo x=-1/2
Resposta: 0
2. (−
1
2
)
2
− 3. (−
1
2
) − 2
2.
1
4
+
3
2
− 2
1
2
+
3
2
−
4
2
=
0
2
= 0
62. a2
+3a sendo a=3b e
b=-1/2 Resposta: =-9/4
Primeiro calculamos 𝑎 =
3. (−
1
2
) = −
3
2
(−
3
2
)
2
+ 3 (−
3
2
) =
9
4
−
9
2
=
9
4
−
18
4
= −
9
4
OTÁVIO LUCIANO CAMARGO SALES DE MAGALHÃES 152
POTÊNCIA DE EXPOENTE INTEIRO NEGATIVO
1)Calcule e observe a seqüência
34= 33= 32= 31= 30=
3-1= 3-2= 3-3= 3-4=
2) Calcule e observe a sequência
24= 23= 22= 21= 20=
2-1= 2-2= 2-3= 2-4=
3)Calcule:
a) 2-1= b) 2-5= c) (-2)-2=
d) 10-3= e) 3-3= f) (-3)-3=
g) (-2)-1= h) (-2)-5= i) -2-4=
j) –(-4)-3= k) –(-10)-1= l) –(-7)-2=
4) Calcule
a) (
1
2
)
−1
= b) (
1
2
)
−2
= c) (−
1
3
)
−2
=
d) (−
1
4
)
−1
= e) (
2
3
)
−1
= f) (−
2
5
)
−2
=
g) (−
5
3
)
−3
= h) − (−
1
6
)
−1
= i) − (
1
3
)
−2
=
j) − (−
3
2
)
−3
= k) (1
2
3
)
−2
=
5) Calcule:
a) 0,2-1= b) 0,5-2= c) 1,2-1=
d) 2,5-2= e) 3,5-2= f) 0,25-2=
g) (-0,2)-2= h) (-2,5)-3= i) (-0,25)-2=
6) Resolva as expressões:
a) 3-1+2-1 Resposta: 5/6
b) 3-1+2-2+(-4)-1 Resposta: 1/3
c) (9-1+6-2)-1 Resposta: 36/5
d) (40+4-1):(40-4-1) Resposta: 5/3
e) (-3)-1+(-1)-3 Resposta: -4/3
f) 2-4-22 Resposta: -63/16
OTÁVIO LUCIANO CAMARGO SALES DE MAGALHÃES 153
g) (4-1+2-3)-1 Resposta: 8/3
h) (6-2.32)-1 Resposta: 4
i) 20+(-2)4.4-2-(-2)3 Resposta: 10
j)
−22+(
1
3
)
−2
−24+(−3)2+40
Resposta: -5/6
1)Transforme em uma só potência (considere x e a não nulos):
a) 79.7-6 =
b) 10-9.10.105=
c) 83.8-6=
d) x3x-5x4=
e) a8.a-8.a-1=
2) Transforme em uma só potência (considere x e a não nulos):
a) 64:65= b) 27:2-2= c) 74:7-1=
d)
10−3
10−5
= e)
𝑥6
𝑥−2
= f)
𝑎9
𝑎11
=
3)Transforme numa só potência (considere x não nulos):
a) (6-1)4= b) (5-1)-3= c) (106)-2=
4) Transforme em um produto de potências:
a)(5.11)-2= b) (3.102)-1= c) (2-4.54)2=
5) Transforme em um quociente de potências:
a) (8:3)-2= b) (6-2:5)-4= c) (7-2:2-1)-3=
6) Simplifique (com todos valores diferentes de zero):
a) 𝑎12
: 𝑎11
b) (a6)2.a8 c) (x9)2.x6
d)
𝑥7
𝑥7
e)
𝑥5.𝑥10
(𝑥5)2
f)
𝑎8 𝑎5 𝑎8
(𝑎4)5
12) Escreva como uma única potência (use tabelas):
a)
256.47
86
b)
3−6,276
2433
OTÁVIO LUCIANO CAMARGO SALES DE MAGALHÃES 154
13) Escreva como uma única potência:
a) 0,00001:(100-2)3 b)
0,00001−2.100003
(0,13.102)4
14) Escreva como uma única potência
39.(32)
−2
(33)4(34)−5
15) Simplifique .
𝑎15 𝑏10
𝑎12 𝑏9
16) Escreva como única potência: (511
. (52)−3
. (54)−2)−3
17) Simplifique .
𝑎−4 𝑏−10
𝑎12 𝑏−8
1) Resolva as expressões:
a) 2−1
+ 3−1
b) (−3)2
. (−2 + 2−1)−1
c) (3 − 5)2(−2 − 1)3
+ (
1
2
)
−2
d)
2−1+2−2
2−3
2)Se 𝐴 = (−
1
3
)
−2
, B=
2−1
5−1, C=2-1.5-2, ache A+B+C
Prof. Otávio Luciano Camargo Sales de
Magalhães
POTENCIAÇÃO
PT.7.01.A
1)Calcule e observe a seqüência
34
=81 33
=27 32
=9 31
=3 30
=1
3-1
=1/3 3-2
=1/9 3-3
=1/27 3-4
=1/81
2) Calcule e observe a sequência
24
=16 23
=8 22
=4 21
=2 20
=1
2-1
=1/2 2-2
=1/4 2-3
=1/8 2-4
=1/16
3)Calcule:
a) 2-1
=1/2 b) 2-5
=1/32 c) (-2)-2
=1/4
OBS: Note que o fato de -2 ser par faz com
que o sinal seja positivo.
d) 10-3
=1/100 e) 3-3
=1/27 f) (-3)-3
=-1/27
Já no caso de -3, como é ímpar, se mantém
o sinal.
g) (-2)-1
=1/2 h) (-2)-5
=1/32i) -2-4
=-1/16
No caso de -2-4
o sinal não está elevado à -
4, apenas o 2 está.
Portanto, mantém-se o sinal
j) –(-4)-3
=-(-1/64)=1/64
k) –(-10)-1
=-(-1/10)=1/10
l) –(-7)-2
=-(1/7)=-1/7
4) Calcule
a) (
1
2
)
−1
=2 b) (
1
2
)
−2
=4 c)
(−
1
3
)
−2
=9
d) (−
1
4
)
−1
=-4 e) (
2
3
)
−1
=3/2 f)
(−
2
5
)
−2
=25/4
g) (−
5
3
)
−3
=-27/125 h) − (−
1
6
)
−1
=-(-6)=6
i) −(
1
3
)
−2
=-9 j) −(−
3
2
)
−3
=-(-
8/27)=8/27
k) (1
2
3
)
−2
=(5/3)-2
=9/25
5) Calcule:
a) 0,2-1
=(1/5)-1
=5 b) 0,5-2
=(1/2)-2
=4
c) 1,2-1
=(6/5)-1
=5/6
0,2=2/10=1/5 0,5=5/10=1/2
1,2=12/10=6/5
d) 2,5-2
=(25/10)-2
=(5/2)-2
=4/25
e) 3,5-2
=(35/10)-2
=(7/2)-2
=4/49
f) 0,25-2
=(25/100)-2
=(1/4)-2
=16
g) (-0,2)-2
=(-1/5)-2
=25
h) (-2,5)-3
=(-25/10)-3
=(-5/2)-3
=-8/125
(Sinal negativo!)
i) (-0,25)-2
=(-1/4)-2
=16
6) Resolva as expressões (no caderno):
a) 3-1
+2-1
Resposta: 5/6
1
3
+
1
2
=
3 + 2
6
=
5
6
b) 3-1
+2-2
+(-4)-1
Resposta: 1/3
1
3
+
1
4
+ (−
1
4
) =
1
3
c) (9-1
+6-2
)-1
Resposta: 36/5
(
1
9
+
1
36
)
−1
= (
4 + 1
36
)
−1
= (
5
36
)
−1
=
36
5
d) (40
+4-1
):(40
-4-1
) Resposta: 5/3
OTÁVIO LUCIANO CAMARGO SALES DE MAGALHÃES 155
(1 +
1
4
) : (1 −
1
4
) =
(
4 + 1
4
) : (
4 − 1
4
) =
(
5
4
) : (
3
4
) =
5
4
.
4
3
=
5
3
e) (-3)-1
+(-1)-3
Resposta: -4/3
(−
1
3
) + (−1) = −
1
3
− 1 = −
4
3
f) 2-4
-22
Resposta: -63/16
1
16
−
1
4
=
1 − 64
16
= −
63
16
g) (4-1
+2-3
)-1
Resposta: 8/3
(
1
4
+
1
8
)
−1
= (
2 + 1
8
)
−1
= (
3
8
)
−1
=
8
3
h) (6-2
.32
)-1
Resposta: 4
(
1
36
. 9)
−1
= (
1
4
)
−1
= 4
i) 20
+(-2)4
.4-2
-(-2)3
Resposta: 10
1 + 16 .
1
16
− (−8) = 1 + 1 + 8 = 10
j)
−22+(
1
3
)
−2
−24+(−3)2+40
Resposta: -5/6
−22
+ (
1
3
)
−2
−24 + (−3)2 + 40
=
−4 + 9
−16 + 9 + 1
=
5
−6
= −
5
6
Prof. Otávio Luciano Camargo Sales de
Magalhães
POTENCIAÇÃO
PT.7.01.B
1)Transforme em uma só potência
(considere x e a não nulos):
b) 79
.7-6
=79+(-6)
=715
b) 10-9
.10.105
=10-9+1+5
=10-3
c) 83
.8-6
=83+(-6)
=8-3
d) x3
x-5
x4
=x3+(-5)+4
=x2
e) a8
.a-8
.a-1
=a8+(-8)+(-1)
=a8-8-1
=a-1
2) Transforme em uma só potência
(considere x e a não nulos):
a) 64
:65
=64-5
=6-1
b) 27
:2-2
=27-(-2)
=29
c) 74
:7-1
=74-(-1)
=75
d)
10−3
10−5
= 10−3−(—5)
=
102
e)
𝑥6
𝑥−2
= 𝑥6−(−2)
= 𝑥8
f)
𝑎9
𝑎11
=
𝑎9−11
= 𝑎−2
3)Transforme numa só potência (considere
x não nulos):
a) (6-1
)4
=6-4
b) (5-1
)-3
=63
c)
(106
)-2
=10-12
4) Transforme em um produto de potências:
a)(5.11)-2
=5-2
.11-2
b) (3.102
)-1
=3-
1
.10-2
c) (2-4
.54
)2
=2-8
.58
5) Transforme em um quociente de
potências:
a) (8:3)-2
=8-2
:3-2
b) (6-2
:5)-4
=68
:5-4
c) (7-2
:2-1
)-3
=76
:23
6) Simplifique (com todos valores diferentes
de zero) – no caderno:
a) = 𝑎12
: 𝑎11
= 𝑎
Quando eu não indico expoente, ele é 1, é
importante considerar isso.
b)= (a6
)2
.a8
=a12
.a8
=a20
c) =(x9
)2
.x6
=x18
.x6
=x24
d) =
𝑥7
𝑥7
= 𝑥0
e) =
𝑥5.𝑥10
(𝑥5)2
=
𝑥15
𝑥10
= 𝑥5
f) =
𝑎8 𝑎5 𝑎8
(𝑎4)5
=
𝑎21
𝑎20
= 𝑎1
= 𝑎
12) Escreva como uma única potência
(caderno):
a)
256.47
86
=
(28).(22)
7
(23)6
=
28.214
218
=
222
218
= 24
Substitua 256=28
, 4=22
e 8=23
.
b)
3−6,276
2433
=
3−6.(33)
6
(35)3
=
3−6,318
315
=
312
315
= 3−3
Substitua 27=33
e 243=35
13) Escreva como uma única potência
(caderno):
a) 0,00001:(100-2
)3
=10-5
:((102
)-2
)3
=10-5
:10-
12
=107
b)
0,00001−2.100003
(0,13.102)4
=
(10−5)
−2
.(104)
3
((10−1)3102)4
=
1010.1012
(10−3102)4
=
1022
(10−1)4
=
1022
10−4
= 1026
14) Escreva como uma única potência:
39
. (32)−2
(33)4(34)−5
=
39
. 3−4
312. 3−20
=
35
3−8
= 313
15) Simplifique .
𝑎15 𝑏10
𝑎12 𝑏9
= 𝑎3
𝑏
16) Escreva como única potência:
(511
. (52)−3
. (54)−2)−3
= (511
. 5−6
. 5−8)−3
=
(5−3)−3
= 59
17) Simplifique .
𝑎−4 𝑏−10
𝑎12 𝑏−8
= 𝑎−4−12
𝑏−10−(−8)
=
𝑎−16
𝑏−2
Prof. Otávio Luciano Camargo Sales de
Magalhães
POTENCIAÇÃO
PT.7.01.C
1) Resolva as expressões no caderno
a) 2−1
+ 3−1
1
2
+
1
3
=
3
6
+
2
6
=
5
6
b) (−3)2
. (−2 + 2−1)−1
9. (−2 +
1
2
)
−1
= 9. (−
4
2
+
1
2
)
−1
= 9. (
3
2
)
−1
= 9.
2
3
= 6
c) (3 − 5)2(−2 − 1)3
+ (
1
2
)
−2
(−2)2(−3)3
+ 4 = 4. (−27) + 4 = −108 + 4
= −104
d)
2−1+2−2
2−3
=
1
2
+
1
4
1
8
=
2
4
+
1
4
1
8
=
3
4
1
8
=
3
4
. 8 = 6
2)Lembre que 0,25=1/4 e calcule (0,25)-3
rapidamente. (1/4)-3
=64
3) Se 0,142857142857...=1/7, calcule
(0,142857....)-2
. (1/7)-2
=49
4)Se 𝐴 = (−
1
3
)
−2
, B=
2−1
5−1
, C=2-1
.5-2
, ache
A+B+C
𝐴 = 9 𝐵 =
1
2
1
5
=
5
2
C=
1
2
.
1
25
=
1
50
𝐴 + 𝐵 + 𝐶 = 9 +
5
2
+
1
50
=
450
50
+
125
50
+
1
50
=
576
50
=
288
25
𝑎 = 1 −
1
4
=
4
4
−
1
4
=
3
4
𝑏 = (1 −
1
2
)
−1
= (
1
2
)
−1
= 2
𝑐 = 1 − 3 = −2
a) (
3
4
)
2
=
9
16
b) (2 −
3
4
)
−2
= (
8
4
−
3
4
)
−2
= (
5
4
)
−2
=
16
25
c) (
3
4
.2
−2
)
−2
= (
3
2
−2
)
−2
= (
3
−4
)
−2
=
16
9
OTÁVIO LUCIANO CAMARGO SALES DE MAGALHÃES 156
MAIS EXERCÍCIOS DE POTENCIAÇÃO
1) Calcule:
a) 7-1
b) 6-2
c) 2-3
d)
2
3
1








e)
2
5
2







 f)
2
5
2







g)
3
3
2







 h)
3
6
5







i)
3
3
2
1







2) Calcule 5-1
+3-2
3) Calcule (-2,222...)-3
.
4) Ache o valor de:
a)
2
4
1






 b)
2
4
1








5) Calcule:
a) 10-1
b) 10-2
c) 10-3
d) 10-4
e) 10-5
f) 10-6
6) Calcule:
a) 2-1
b) 2-2
c) 2-3
d) 2-4
e) 2-5
f) 2-6
7) Se A=(−2
1
4
)
−1
, B=2-3
, C=5-2
, ache A+B+C
8) Ache o valor de  
3
2
3
2
1...111,2 







9) Calcule:
a) (-2)-3
b) (-10)-3
c) (-5)-4
d) (-7)-3
10) Ache 20
+2-1
+2-2
+2-3
11) Ache o valor de
 2
2
...333,0
2
1
2 





12) Se a=3.(2+5) e b=5.( 25 +1), ache
ba
ba

 22
OTÁVIO LUCIANO CAMARGO SALES DE MAGALHÃES 157
RADICIAÇÃO DE NÚMEROS RACIONAIS
1) Calcule:
a) √25=________ b) √144=________ c) √100=________ d) 52
=________ e) 62
=________
f) 112
=________ g) √8
3
=________ h) √125
3
=________ i) 53
=________ j) 33
==________
2) Escreva-se como lê, seguindo os exemplos
52 – cinco ao quadrado 33 – três ao cubo
62=__________________ 73=__________________ 23=__________________
3) Qual é:
a) o dobro de 5______b) o quadrado de 5______c) o dobro de 10______d) o quadrado de 10______
e) o dobro de 7______f) o quadrado de 7______g) o dobro de 11______h) o quadrado de 11______
4) Qual é:
a) o triplo de 3______b) o cubo de 3______ c) o triplo de 5______ d) o cubo de 5______
e) o triplo de 7______ f) o cubo de 7______ g) o triplo de 10______ h) o quadrado de 10 ______
5) Qual é a área do quadrado:
Exemplo: Faça o mesmo com:
Lado = 5 cm
A= ___cm x___ cm =____ cm2
6) Qual é o lado do quadrado, dada a área:
Exemplo:
Área = 121 m2
Lado = √___𝑚2=___m
7) Qual é a medida?
Exemplo: Lado = 3 m. Área = 3 m x 3 m = 9 m2 Área = 16 m2. Lado = √16𝑚2=4m
a) Lado: 5 m. Área=___________. b) Lado: 10 m. Área=___________.
c) Área: 100 m2. Lado =___________. d) Área: 121 m2. Lado =___________.
e) Lado: 9 m. Área=___________. f) Área: 144 m2. Lado =___________.
8) Veja os números quadrados.
Desenhe o próximo número quadrado.
OTÁVIO LUCIANO CAMARGO SALES DE MAGALHÃES 158
9) Veja agora os números triangulares. Continue mais três desenhos.
10) Continue a tabela:
6 . 6 . 6 = ____ ∴ √
3
= ____
7 . 7 . 7 = ____ ∴ √
3
= ____
8 . 8 . 8 = ____ ∴ √
3
= ____
9 . 9 . 9 = ____ ∴ √
3
= ____
10 . 10 . 10 = ____ ∴ √
3
= ____
11 . 11 . 11= ____ ∴ √
3
= ____
12 . 12 . 12 = ____ ∴ √
3
= ____
13 . 13 . 13 = ____ ∴ √
3
= ____
14 . 14 . 14 = ____ ∴ √
3
= ____
15 . 15 . 15 = ____ ∴ √
3
= ____
16 . 16 . 16 = ____ ∴ √
3
= ____
17 . 17 . 17 = ____ ∴ √
3
= ____
18 . 18 . 18 = ____ ∴ √
3
= ____
19 . 19 . 19 = ____ ∴ √
3
= ____
11) Veja!
14=1.1.1.1=1 ∴ √1
4
= 1
24=2.2.2.2=16 ∴ √16
4
= 2
34=3.3.3.3=81 ∴ √81
4
= 3
44=4.4.4.4=____ ∴ √_____4
= ____
54=5.5.5.5=____ ∴ √_____4
= ____
64=6.6.6.6=____ ∴ √_____4
= ____
74=7.7.7.7=____ ∴ √_____4
= ____
84=8.8.8.8=____ ∴ √_____4
= ____
94=9.9.9.9=____ ∴ √_____4
= ____
12) Calcule:
a) √125
3
=_____ b) √27
3
=_____ c) √81
4
=_____ d) √49=_____ e) √256
4
=_____
f) √144=_____ g) √625
4
=_____ h) √1331
3
=_____ i) √512
3
=_____ j)√1000
3
=_____
5) Se 14196  e 15225  . Responda: existe 200 exata?
6) Se 332x332=110224 e 333x333=110889. Pode existir raiz quadrada exata de 110750?
7) Calcule:
a) 169  c) 4.9 b) 169  d) 4.9
8) Calcule:
a) 25144  b) 25144  c) 25.144 d) 25.144
9) Se A= 36 e B= 144 , ache o valor de A+B.
10) Se A= 49 , B=5+3, C= 144 , calcule:
a) A+B b) B+C c) 2.A d) B. C e) C.A+2.B
11) Se A= 549  e B= 3144  , ache A+B
OTÁVIO LUCIANO CAMARGO SALES DE MAGALHÃES 159
12) Se A= 36.25  B= 169196  e C=A+B. Ache: a) A+B+C b) 2.A.C
13) Se A= 25 , B=7+2, C= 9.2 , ache: a) A+B+C b) 2.A+C
14) Sei que A= 236.3  , B= A 925 , C= 5A , ache a metade de A+B+C.
15) Ache A+B, se
A= )361(5  e B= 49.25  .
16) Sendo
A= )49.23)(365(  B= 2).425(5  C= 49.25  , ache A+B+C
16) Ache o valor de x se xx  .
18) Para formar um pelotão de 169 soldados, eles são distribuídos em uma região quadrada, de
forma regular. Quantos soldados haverá em cada lado do quadrado?
19) Sendo a= 4489e b= 121, ache o valor de a+b
20) Dados a= 493  , b= 92  e c= 25.3 , ache cba 
21) Se a=3+ 36 e b=5. 49 , ache o valor de 2a+b+ a
22) Se a= 645.3  , b= 36.43  , c= 255  , d= 426  , calcule cdba  101
23) Calcule:
a) 2523
 b) 32
-23
c) 5.32
d) 23
.32
e) 33
+53
f) 53
-43
g) 3
464  h) 3
29  i) 25:53
j) 2
11121
24)Calcule:
a) (5-3)2
b) (2+5)3
c) (5-3)3
d) (32
-23
)2
OTÁVIO LUCIANO CAMARGO SALES DE MAGALHÃES 160
25) Calcule:
a) 32
23  b) 2
3 c) 22
43  d) 23
3.42 
26) Calcule:
a) 2
5 b) 2
7 c)
2
10 d) 2
6 e) 2
8 f)
2
15
27) Calcule:
a)  2
64 b)  2
49 c)  2
36 d)  2
81 e)  2
9
28) Calcule:  0
93493 
29) Se A=30
, B=23
, calcule: BA .
30) Calcule: a)
2
3
5 b)  23
5
31) (Papiro de Rhind – 1600 a.C) “Em cada uma de sete casas, há sete gatos, cada um deles come sete ratos, cada um
dos quais havia comido sete espigas de trigo, cada uma delas com sete hecates. Casas, gatos, ratos, espigas e hecates,
quantos são?”
32) (Líber Abaci – Fibonacci – 1202) Há sete senhoras idosas na escada de Roma. Cada senhora tem sete mulos; cada
mulo transporta sete sacos; cada saco contém sete pães; com cada pão há sete facas; para cada faca há sete bainhas.
Entre mulheres, mulos, sacos, pães, facas e bainhas, quantos estão na estrada de Roma?
33) (Versos infantis clássicos ingleses) Quando ia a Saint Ives / Encontrei um homem com sete mulhers; / Cada mulher
tinha sete sacos; / Cada saco tinha sete gatos; / Cada gato tinha sete gatinhos. / Gatinhos, gatos, sacos e mulheres, /
Quantos iam para Saint Ives?
34) Ache:
a) 33
278  b) 53
32.125 c) 43
16216  d) 9814

38) Qual o volume do cubo:
Exemplo: Faça o mesmo:
OTÁVIO LUCIANO CAMARGO SALES DE MAGALHÃES 161
39) Dado o volume do cubo, ache a medida da aresta
40) Qual é a medida?
Exemplo: Aresta = 4 m. Volume = 4 m x 4 m x 4 m = 64 m3 Volume = 64 m2. Aresta = √64𝑚3=4m
a) Aresta: 10 m. Volume=___________. b) Aresta: 8 m. Volume=___________.
c) Volume: 216 m3. Aresta =___________. d) Volume: 1000 m3. Aresta =___________.
e) Aresta: 11 m. Volume=___________. f) Volume: 125 m3. Aresta =___________.
41) Quais são os números cúbicos?
Vamos relembrar algumas potências:
23=8 33=27 43=64 53=125 63=216 73=343
83=512 93=729 103=1000 113=1331 24=16 34=81
44=256 54=625 25=32 35=243 45=1024 55=3125
1) Calcule:
a)3
27 =___ b) 4
81 =___ c) 3
64 =___ d)3
125 =___ e) 4
16 =___ f) 5
32 =___g) 9
512=___
2) Calcule:
a) 33
278  =___ b) 53
32.125 =___ c) 43
16216  =___ d) 9814
 =___ e) 3
27125 =___
3) Sei que 210=1024, calcule 10
1024=___.
4) Calcule:
a) 81 =____ b) 4
81=____ c) 16 =____ d) 4
16 =____
e) 256 =____f) 4
256 =____ g) 256 =____h) 8
256 =____
OTÁVIO LUCIANO CAMARGO SALES DE MAGALHÃES 162
5) Calcule 4
625
6) Calcule:
a) 3
27 =____b) 3
27 =____c) 4
16 =____d) 4
16 =____
e) 36 =____f) =____ g) =____h) 5
32 =____
7) Ache o valor de x:
a) x2=16 b) x2=49 c) x2=-1 d) x3=-27
e) x3=8 f) x3=-1 g) x4=16 h) x4=-16
8) Calcule 2-1+3
8 . Resposta 5/2
9) Calcule efetuando todas operações (não usar propriedades):
a)  3
3
8 b) 3 3
8 c)  4
4
1 d) 4 4
1 e)  2
9 f) 2
9
10) Calcule:
a) 6
0 =___ b) 3
27
8
=___
11) Resolva:
a) 121495  Resposta: 24
b)
9
1
3
25
4
 Resposta:7/5
c) 3 322
27.35  Resposta: -4
d) 33 001,0
27
8
 Resposta: 23/30
12) Calcule:
a) 3
8000 =___ b) 4
160000=___ c) 3
8000 =___ d) 4
160000 =___ e) 5
100000=___
f) 3
27000 =___ g) 3
1000000000=___ h) 0,0000646 =___
13) Se a=3
8000e b=1-22, ache o valor de 2
10

 b
a
Resposta: 17/9
14) Ache a metade da 3
64000000
36 5
32
OTÁVIO LUCIANO CAMARGO SALES DE MAGALHÃES 163
15) (FACULDADES OBJETIVO) Qual o valor de
9 8
1
2
2 27
3
0
2 3
  






  ( )
.
Resposta: 6
16) (LONDRINA – Adapt.) Dados os números .
a) Quanto é √ 𝑧?
b) Quanto é xy-z?
𝑥 =
2/3
1/3
= 2
𝑦 =
2/3
3/2
= 4/9
𝑧 =
2/3
3
1/2
=
2/9
1/2
= 4/9
𝑎) √
4
9
=
2
3
b) 20= 1
GABARITO
Prof. Otávio Luciano Camargo Sales de
Magalhães
RADICIAÇÃO
RD.7.01.A
1)Calcule:
√27
3
=3 √81
4
=3 √64
3
= 4 √125
3
=5
√16
4
=2 √32
5
=2 √512
9
=2
2) Calcule:
a) =2+3=5 b) =5.2=10
c) =6-2=4 d) =3:3=1
e) =125+3=128
3) Sei que 210
=1024, calcule =2.
4) Calcule:
a) =3 b) =3
c) =2 d) =2
e) =4 f) =4
g) =2 h) =2
Aqui podemos concluir que a raiz quarta
equivale a raiz quadrada da raiz quadrada
ou seja:
√
4
= √√
A raiz oitava é a raiz quadrada da raiz
quadrada da raiz quadrada
√
8
= √√√
5) Calcule Pode ser calculado tirando-se a
raiz quadrada da raiz quadrada, que resulta
em 5.
6) Calcule:
a) =-3 b) =3
c) =2 d) =não tem raiz
e) =não há f) =6
g) =2 h) =-2
7) Ache o valor de x:
a) x2
=16 b) x2
=49
x=4 ou x=-4 Não existe x
c) x2
=-1 d) x3
=-27
Não existe x x=-3
e) x3
=8 f) x3
=-1
x=2 x=-1
g) x4
=16 h) x4
=-16
x=2 ou x=-2 Não existe x
8) Calcule 2-1
+.
1
2
+ 2 =
1
2
+
4
2
=
5
2
9) Calcule efetuando todas operações (não
usar propriedades):
a) =23
= 8 b) =√512
3
= 8
c) =14
= 1 d) √1
4
= 1
e) =32
=9 f) = √81 = 9
O objetivo aqui é concluir que potências e
raízes se cancelam.
Prof. Otávio Luciano Camargo Sales de
Magalhães
RADICIAÇÃO
RD.7.01.B
10) Calcule:
a) =0 b) =-2/3
11) Resolva no caderno:
a) Resposta: 24
5.7 − 11 = 35 − 11 = 24
b) Resposta:7/5
2
5
+ 3
1
3
=
2
5
+ 1 =
7
5
c) Resposta: -4
√25 − 9. √7 − 8
3
√16. √−1
3
= 4. (−1) = −4
d) Resposta: 23/30
2
3
− (−0,1) =
2
3
+
1
10
=
20
30
+
3
30
=
23
30
12) Calcule:
a) =20 b) =20
c) =-20 d) =N/E
e) =10 f) =-30
g) =100
h) =0,2
13) Se a=e b=1-22
, ache o valor de
a=20 b=1-4=-3
20
10
− (−3)−2
= 2 −
1
9
=
18
9
−
1
9
=
17
9
Resposta: 17/9
14) Ache a metade da
√400 = 20 A metade é 10
x 
 
1
3
1
3
1
3
1
3
1
3
3
2
1
3
1
3
3
1
2
, ,y = z =
36
5
32
OTÁVIO LUCIANO CAMARGO SALES DE MAGALHÃES 164
EXERCÍCIOS DO PROEB DE LOCALIZAÇÃO DE INFORMAÇÕES
Questão 1
Questão 2 Questao 3
Questão 4 Questão 5
OTÁVIO LUCIANO CAMARGO SALES DE MAGALHÃES 165
OTÁVIO LUCIANO CAMARGO SALES DE MAGALHÃES 166
MÉDIA
1) As idades dos jogadores titulares de uma equipe de basquete são 25 anos, 27 anos, 22 anos,
30 anos e 31 anos. Qual é a idade média dos jogadores titulares dessa equipe?
2) Qual é a média aritmética dos números – 25, -22, -13, 15 e 30?
𝑀𝐴 =
−25 − 22 − 13 + 15 + 30
5
=
−60 + 45
5
= −
15
5
= −3
3) Qual é a média aritmética dos números 12, -10, -8, -12 e 7?
4) A diretoria de um clube é formada por 10 membros. As idades deles estão indicadas em anos a
seguir: 27, 30, 30, 32, 30, 32, 30, 27, 30 e 32. Qual é a idade média dos membros da diretoria.
5) Uma livraria vende a seguinte quantidade de livros de literatura durante uma certa semana:
2ª feira 3ª feira 4ª feira 5ª feira 6ª feira sábado
13 23 22 27 22 25
Qual é a média diárias de vendas nessa semana?
6) Qual foi a média diária de veículos vendido numa concessionária que teve durante uma semana
as seguintes vendas realizadas:
-1000
0
1000
2000
3000
4000
5000
6000
janeiro fevereiro março abril maio junho
OTÁVIO LUCIANO CAMARGO SALES DE MAGALHÃES 167
7) Ache o lucro médio mensal de uma empresa que apresentou durante o semestre os seguintes
resultados (valores em reais):
8) As alturas dos jogadores de uma equipe de basquete são: 1,98 m; 2,02 m; 2,08 m; 1,92 m e 1,95
m. Qual é a média de altura dessa equipe?
9) Qual é a média aritmética dos números
2
3
,
1
6
e
3
4
?
𝑀𝐴 =
2
3
+
1
6
+
3
4
3
=
8
12
+
2
12
+
9
12
3
=
19
12
3
=
19
36
10) Qual é a média aritmética dos números
4
5
,
1
4
,
3
2
?
11) Qual é a média aritmética dos números 1,
2
3
,
1
4
,
1
6
?
12) Qual é a média aritmética dos números 1/3, 0,5 e ¼?
13) Qual é a média aritmética dos números 1/2, 2/5 e ¾?
14) Qual é a média aritmética de 10 cm, 0,4 m e 0,25 m.
Transforme tudo em centímetros: 10 cm, 40 cm e 25 cm, e ache a média!
15) Qual é a média de 2 km, 2.500 m e 3,8 km?
5136
250
4232
-372
-250
142
JA NE IRO F E V E RE IRO MA RÇ O A BRIL MA IO JUNH O
OTÁVIO LUCIANO CAMARGO SALES DE MAGALHÃES 168
Média Aritmética Ponderada
16) Uma professora atribuirá pesos para as atividades, sendo:
1ª prova – peso 3 Trabalho – peso 2
2ª prova – peso 5
Resultados das notas de alguns alunos:
1ª prova Trabalho 2ª prova NOTA
Maria 6 5 5
Vitória 7 6 5
Letícia 5 7 6
Ângela 10 9 8
Godofredo 3 9 6
Paulo 5 8 7
Venância 7 10 5
Amir 7 9 6
Leto 6 6 6
Nota de Maria
6.3+5.2+5.5
3+2+5
=
18+10+25
10
=
53
10
= 5,3
Nota de Vitória
7.3+6.2+5.5
3+2+5
=
21+12+25
10
=
59
10
= 5,9
17) Determine a média aritmética ponderada dos números 8, 15 e 20, com pesos 2, 2 e 1,
respectivamente.
MA=
8.2+15.2+20.1
2+2+1
=
16+30+20
5
=
66
5
= 13,2
18) Determine a média aritmética ponderada dos números 7, 12 e 25, com pesos 3, 2 e 5,
respecitavamente.
19) Karina comprou 3 canetas por 20 reais cada uma e 2 canetas por 15 reais cada uma. Quanto
ela pagou, em média, por caneta?
Resposta: 18
20) Uma indústria produz um certo produto. Vendeu 3500 unidades desse produto por 30 reais
cada e 8500 unidades por 24 reais cada. Qual foi o preço médio, por unidade?
Resposta: R$ 22,75
21) Numa empresa com 20 funcionários, a distribuição dos salários está representada no quadro
abaixo. Qual é o salário médio dos empregados dessa empresa?
Número de empregados Salário (em reais)
12 800
5 1.200
3 2.000
Resposta: R$ 1.080,00
𝑀𝐴 =
12.800 + 5.1200 + 3.2000
12 + 5 + 3
=
9600 + 6000 + 6000
20
=
21600
2
= 1080
OTÁVIO LUCIANO CAMARGO SALES DE MAGALHÃES 169
22) Foram pesquisadas as idades das pessoas dos alunos de um grupo e obtiveram-se os
resultados organizados na tabela a seguir:
Idades (anos) Número de alunos
13 4
14 11
15 7
16 3
Encontre a média das idades dos alunos da classe.
Resposta: 14,36 anos
23) Num torneio de basquete, uma equipe marcou 104 pontos, 96 pontos, 117 pontos e 103 pontos
nas 4 partidas que disputou na 1ª fase. Qual a média de pontos que essa equipe marcou nessa
fase do torneio?
Resposta: 105 pontos
24) Um colégio tem 8 professores e suas idades são 26 anos, 28 anos, 34 anos, 40 anos, 28 anos,
30 anos, 38 anos e 32 anos. Qual a idade média dos professores desse colégio?
Resposta: 32 anos
25) Preparamos um refresco com 8 copos de água mineral e 2 copos de groselha. Se o copo de
água mineral custa 8 centavos de real e o copo de groselha custa 13 centavos de real, qual é o
custo de cada copo de refresco?
Resposta: 9 centavos
26) Numa classe de 35 alunos há 22 homens e 13 mulheres. Numa prova de Matemática, a nota
média dos homens foi 4,8 e a nota média das mulheres foi 4,0. Qual foi aproximadamente, a nota
média da classe? R: 4,5
27) Determine a média aritmética ponderada dos números 9, 15, 26 e 30, com pesos 1, 2, 3 e 4,
respectivamente.
28) Uma clínica odontológica possui 5 dentistas. As idades deles são 27, 29, 30, 38 e 46. Qual a
idade média dessa equipe?
OTÁVIO LUCIANO CAMARGO SALES DE MAGALHÃES 170
30) Ache a media da idade da seguinte classe:
𝑀𝐴 =
10.2 + 11.4 + 12.6 + 13.4 + 14.4
2 + 4 + 6 + 4 + 4
=
20 + 44 + 72 + 52 + 56
20
=
244
20
= 12,2
31) (ENEM – adaptado) Um sistema de radar é programado para registrar automaticamente a
velocidade de todos os veículos trafegando por uma avendida, onde passam em média 300
veículos por hora, sendo 55 km/h a velocidade máxima permitida. Um levantamento estatístico dos
registros do radar permitiu a elaboração da distribuição percentual de veículos de acordo com sua
velocidade aproximada. Calcule a velocidade média aproximada.
Resposta: 44 km/h
32) Ache a média dos seguintes números
11 14 14 12 12 11 14 14 11 14
14 13 11 12 12 11 14 14 11 13
12 13 12 11 13 11 11 11 13 11
12 12 12 14 11 13 13 13 13 15
11 – são 12, 12 – são 9, 13 – são 9, 14 – são 9, 15 – é 1
𝑀𝐴 =
11.12 + 12.9 + 13.9 + 14.9 + 15.1
12 + 9 + 9 + 9 + 1
=
132 + 108 + 117 + 126 + 15
40
=
498
40
= 12,45
Resposta: Idade média de 12,45 anos
0
1
2
3
4
5
6
7
10 anos 11 anos 12 anos 13 anos 14 anos
0
5
15
30
40
6
3
1 0 0
0
5
10
15
20
25
30
35
40
45
1 2 3 4 5 6 7 8 9 10
OTÁVIO LUCIANO CAMARGO SALES DE MAGALHÃES 171
33) Ache a média dos números
15 15 13 13 12 15 13 13 12 13
14 13 15 13 13 12 15 14 15 14
14 14 15 15 15 15 15 14 15 13
13 13 14 15 14 14 15 14 12 15
Resposta: 13,9
34) Ache a média dos seguintes números
3 3 2 1 0 2 2 2 4 2
2 3 3 1 0 2 3 3 3 3
2 1 3 1 3 3 3 0 0 2
2 2 3 1 3 1 1 1 2 3
0 2 3 3 3 2 3 3 2 3
0 1 2 3 0 2 3 0 2 2
Resposta: 2
35) Construa um gráfico de barras correspondente aos números e depois calcule a média destes.
4 3 2 1 0 2 4 2 4 2
4 4 4 1 0 4 4 4 4 1
2 1 4 1 3 3 3 4 1 1
3 2 3 1 4 4 3 4 3 3
1 2 3 3 3 1 3 3 4 3
0 1 4 4 0 2 3 0 4 2
Prof. Otávio Luciano Camargo Sales de
Magalhães
ESTUDO DAS MÉDIAS
EM.7.01.A
1) As idades dos jogadores titulares de uma
equipe de basquete são 25 anos, 27 anos, 22
anos, 30 anos e 31 anos. Qual é a idade média dos
jogadores titulares dessa equipe?
𝑀𝐴 =
25 + 27 + 22 + 30 + 31
5
=
135
5
= 27
Resposta: A média das idades é de 27 anos.
3) Qual é a média aritmética dos números 12, -10,
-8, -12 e 7?
𝑀𝐴 =
12 − 10 − 8 − 12 + 7
5
= −
11
5
𝑜𝑢 − 2,2
4) A diretoria de um clube é formada por 10
membros. As idades deles estão indicadas em
anos a seguir: 27, 30, 30, 32, 30, 32, 30, 27, 30 e
32. Qual é a idade média dos membros da
diretoria.
𝑀𝐴
=
27 + 30 + 30 + 32 + 30 + 32 + 30 + 27 + 30 + 32
10
=
300
10
= 30
Resposta: A idade média é de 30 anos.
5) Uma livraria vende a seguinte quantidade de
livros de literatura durante uma certa semana:
2ª
feir
a
3ª
feir
a
4ª
feir
a
5ª
feir
a
6ª
feir
a
sábad
o
13 23 22 27 22 25
Qual é a média de livros vendidos durante a
semana (2ª até sábado).
𝑀𝐴 =
13 + 23 + 22 + 27 + 22 + 25
6
=
132
6
= 22
Resposta: A média é de 22 livros
Prof. Otávio Luciano Camargo Sales de
Magalhães
ESTUDO DAS MÉDIAS
EM.7.01.B
7) Ache o lucro médio mensal de uma empresa
que apresentou durante o semestre os seguintes
resultados (valores em reais):
OTÁVIO LUCIANO CAMARGO SALES DE MAGALHÃES 172
𝑀𝐴 =
5136 + 250 + 4232 − 372 − 250 + 142
6
=
9138
6
= 1523
8) As alturas dos jogadores de uma equipe de
basquete são: 1,98 m; 2,02 m; 2,08 m; 1,92 m e
1,95 m. Qual é a média de altura dessa equipe?
𝑀𝐴 =
1,98 + 2,02 + 2,08 + 1,92 + 1,95
5
=
9,95
5
= 1,99
R: a média de altura é 1,99 m
10) Qual é a média aritmética dos números
4
5
,
1
4
,
3
2
?
𝑀𝐴 =
4
5
+
1
4
+
3
2
3
=
16 + 5 + 30
20
3
=
51
20
3
=
51
20
.
1
3
=
17
20
Resposta: 17/20
11) Qual é a média aritmética dos números 1,
2
3
,
1
4
,
1
6
?
𝑀𝐴 =
1 +
2
3
+
1
4
+
1
6
4
=
24 + 16 + 6 + 4
24
4
=
50
24
4
=
50
24
.
1
4
=
50
96
=
25
48
Resposta 25/48
12) Qual é a média aritmética dos números 1/3, 0,5
e ¼?
𝑀𝐴 =
1
3
+ 0,5 +
1
4
3
=
1
3
+
1
2
+
1
4
3
=
4 + 6 + 3
12
3
=
13
12
3
=
13
12
.
1
3
=
13
39
Lembre-se que 0,5=1/2 (meio), você pode calcular
isso simplificando 5/10, mas, vale a pena decorar
que 0,5=1/2
Resposta 13/39
13) Qual é a média aritmética dos números 1/2, 2/5
e ¾?
𝑀𝐴 =
1
2
+
2
5
+
3
4
3
=
10 + 8 + 15
20
3
=
33
20
.
1
3
=
11
20
Resposta 11/20
Resolução alternativa:
𝑀𝐴 =
0,5 + 0,4 + 0,75
3
=
1,65
3
= 0,55 =
55
100
=
11
20
14) Qual é a média aritmética de 10 cm, 0,4 m e
0,25 m.
Transforme tudo em centímetros: 10 cm, 40 cm e
25 cm, e ache a média!
𝑀𝐴 =
10𝑐𝑚 + 40𝑐𝑚 + 25𝑐𝑚
3
=
55𝑐𝑚
3
= 18,3333 … . 𝑐𝑚
15) Qual é a média de 2 km, 2.500 m e 3,8 km?
2km = 2.000 m 3,8 km = 3.800 m
𝑀𝐴 =
2000𝑚 + 2500𝑚 + 3800𝑚
3
=
8300𝑚
3
= 27,666 … 𝑚
Prof. Otávio Luciano Camargo Sales de
Magalhães
ESTUDO DAS MÉDIAS
EM.7.01.C
Média Aritmética Ponderada
16) Uma professora atribuirá pesos para as
atividades, sendo:
1ª prova – peso 3 Trabalho – peso 2
2ª prova – peso 5
Resultados das notas de alguns alunos:
1ª
prov
a
Trabalh
o
2ª
prov
a
NOT
A
Maria 6 5 5 5,3
Vitória 7 6 5 5,8
Letícia 5 7 6 5,9
Ângela 10 9 8 8,8
Godofred
o
3 9 6 5,7
Paulo 5 8 7 6,6
Venância 7 10 5 6,6
Amir 7 9 6 6,9
Leto 6 6 6 6,0
18) Determine a média aritmética ponderada dos
números 7, 12 e 25, com pesos 3, 2 e 5,
respectivamente.
𝑀𝐴 =
7.3 + 12.2 + 25.5
3 + 2 + 5
=
21 + 24 + 75
10
= 12
19) Karina comprou 3 canetas por 20 reais cada
uma e 2 canetas por 15 reais cada uma. Quanto
ela pagou, em média, por caneta?
Resposta: 18
𝑀𝐴 =
3.20 + 2.15
3 + 2
=
90
5
= 18
20) Uma indústria produz um certo produto.
Vendeu 3500 unidades desse produto por 30 reais
cada e 8500 unidades por 24 reais cada. Qual foi
o preço médio, por unidade?
Resposta: R$ 22,75
𝑀𝐴 =
3500.30 + 8500.24
3500 + 8500
= 22,75
Prof. Otávio Luciano Camargo Sales de
Magalhães
ESTUDO DAS MÉDIAS
EM.7.01.D
22) Foram pesquisadas as idades das pessoas
dos alunos de um grupo e obtiveram-se os
resultados organizados na tabela a seguir:
Idades (anos) Número de alunos
13 4
14 11
15 7
16 3
Encontre a média das idades dos alunos da
classe.
Resposta: 14,36 anos
𝑀𝐴 =
13.4 + 14,11 + 15.7 + 16.3
4 + 11 + 7 + 3
= 14,36
23) Num torneio de basquete, uma equipe marcou
104 pontos, 96 pontos, 117 pontos e 103 pontos
nas 4 partidas que disputou na 1ª fase. Qual a
média de pontos que essa equipe marcou nessa
fase do torneio?
Resposta: 105 pontos
𝑀𝐴 =
104 + 96 + 117 + 103
4
= 105
24) Um colégio tem 8 professores e suas idades
são 26 anos, 28 anos, 34 anos, 40 anos, 28 anos,
30 anos, 38 anos e 32 anos. Qual a idade média
dos professores desse colégio?
Resposta: 32 anos
Basta somar todos os valores e dividir por 8.
25) Preparamos um refresco com 8 copos de água
mineral e 2 copos de groselha. Se o copo de água
mineral custa 8 centavos de real e o copo de
groselha custa 13 centavos de real, qual é o custo
de cada copo de refresco?
Resposta: 9 centavos
8.8 + 2.13
8 + 2
=
64 + 26
10
= 9
26) Numa classe de 35 alunos há 22 homens e 13
mulheres. Numa prova de Matemática, a nota
média dos homens foi 4,8 e a nota média das
mulheres foi 4,0. Qual foi aproximadamente, a nota
média da classe? R: 4,5
22.4,8 + 13.4
22 + 13
= 4,502857 ….
O valor deve ser arredondado a 4,5
Prof. Otávio Luciano Camargo Sales de
Magalhães
ESTUDO DAS MÉDIAS
EM.7.01.E
27) Determine a média aritmética ponderada dos
números 9, 15, 26 e 30, com pesos 1, 2, 3 e 4,
respectivamente.
𝑀𝐴 =
9.1 + 15.2 + 26.3 + 30.4
1 + 2 + 3 + 4
= 23,7
28) Uma clínica odontológica possui 5 dentistas.
As idades deles são 27, 29, 30, 38 e 46. Qual a
idade média dessa equipe?
Basta somar os 5 valores e dividir por 5,
encontaremos a idade média de 34.
Prof. Otávio Luciano Camargo Sales de
Magalhães
ESTUDO DAS MÉDIAS
EM.7.01.F
33) Ache a média dos números
1
5
1
5
1
3
1
3
1
2
1
5
1
3
1
3
1
2
1
3
1
4
1
3
1
5
1
3
1
3
1
2
1
5
1
4
1
5
1
4
1
4
1
4
1
5
1
5
1
5
1
5
1
5
1
4
1
5
1
3
1
3
1
3
1
4
1
5
1
4
1
4
1
5
1
4
1
2
1
5
Resposta: 13,9
São 40 valores, sendo 11 – são 4, 12 – são 11, 13
– são 10, 15 – são 15.
𝑀𝐴 =
11.4 + 12.11 + 13.10 + 15.15
40
= 13,9
34) Ache a média dos seguintes números
3 3 2 1 0 2 2 2 4 2
2 3 3 1 0 2 3 3 3 3
2 1 3 1 3 3 3 0 0 2
2 2 3 1 3 1 1 1 2 3
0 2 3 3 3 2 3 3 2 3
0 1 2 3 0 2 3 0 2 2
Resposta: 2
São 60 valores, sendo 8 número 0, 9 número 1, 19
número 2, 23 número 3 e 1 número 4.
𝑀𝐴 =
9.1 + 19,2 + 23.3 + 1.4
60
= 2
Note que não faz sentido incluir 8.0=0.
35) Construa um gráfico de barras correspondente
aos números e depois calcule a média destes.
4 3 2 1 0 2 4 2 4 2
4 4 4 1 0 4 4 4 4 1
2 1 4 1 3 3 3 4 1 1
3 2 3 1 4 4 3 4 3 3
1 2 3 3 3 1 3 3 4 3
0 1 4 4 0 2 3 0 4 2
𝑀𝐴 =
1.11 + 2.9 + 3.16 + 4.19
60
= 2,55
PROBABILIDADE E CONTAGEM
1) Ao arremessar uma moeda honesta, qual é a probabilidade de encontrarmos:
a) cara b) coroa
2) Um dado não-viciado é arremessado. Qual é a probabilidade de sair:
a) o número 5? b) um número par?
c) um número ímpar? d) um número maior que 4?
e) um número menor que 4? f) um número primo?
3) Qual é o espaço amostral?
a) do arremesso de uma moeda
OTÁVIO LUCIANO CAMARGO SALES DE MAGALHÃES 173
b) do arremesso de um dado.
c) do arremesso de duas moedas.
d) do arremesso de dois dados.
4) Arremessando dois dados não-viciados e somando-se suas faces, qual é a probabilidade de
encontrarmos:
a) 1 b) 2 c) 3 d) 4 e)_ 5 f) 6
g) 7 h) 8 i) 9 j) 10 k) 11 l) 12
5) Arremessando duas moedas, qual é a probabilidade de:
a) sair cara no primeiro lançamento.
b) sair duas faces iguais
6) a) Em uma urna há 4 bolas, numeradas de 1 a 4. Qual é a probabilidade de sair um número
par?
b) Em uma urna há 100 bolas, numeradas de 1 a 100. Qual é a probabilidade de sair um número
quadrado perfeito?
c) Em uma urna há 25 bolas, numeradas de 1 a 25. Qual é a probabilidade de sair um número
primo?
d) Em uma urna há 50 bolas, numeradas de 1 a 50. Qual é a probabilidade de sair um número
maior que 18?
e) Em uma urna há 30 bolas, numeradas de 1 a 30. Qual é a probabilidade de sair um número
múltiplo de 7?
f) Em uma urna há 30 bolas, numeradas de 1 a 30. Qual é a probabilidade de sair um número
múltiplo de 7 e 5 ao mesmo tempo?
7) Em um baralho comum sem o coringa, diga qual é a probabilidade de escolhermos uma carta:
a) de naipe de copas. b) de naipe de ouro.
c) de naipe de espadas. d) de naipe de paus.
e) de número 7. f) de número 9.
g) cuja face é K. h) cuja face é Q.
i) cujo naipe é preto. j) cujo naipe é vermelho.
k) um Ás de copas l) um 7 de ouros
m) um valete vermelho. n) um 10 preto.
o) uma carta de 4 ou de J p) uma carta que não seja J, K ou Q.
OTÁVIO LUCIANO CAMARGO SALES DE MAGALHÃES 174
8) a) Qual é a probabilidade de um número de dois algarismos seja múltiplo de 15?
b) Qual é a possibilidade de um número de três algarismos formado apenas com 3, 5 e 4 sem
repetição seja par?
9) Escreva a árvore das probabilidades:
a) do arremesso de três moedas.
d) dos números de três algarismos que podem ser escritos com os algarismos 2, 5 e 4 com ou
sem repetição.
e) dos números de três algarismos que podem ser escritos com os algarismos 2, 5 e 4 sem
repetição.
f) Dos códigos de 3 caracteres formados com as letras A, B e C.
g) Dos códigos de 3 caracteres formados com as letras A, B, C, D, E iniciados por vogal.
OTÁVIO LUCIANO CAMARGO SALES DE MAGALHÃES 175
h) Dos números de 4 algarismos pares iniciados por 4, 6 ou 2 e sem repetição.
1) Qual é a probabilidade de se obter um resultado maior que 4 ao se lançar um dado honesto?
2) Ao lançar um dado duas vezes, qual é a probabilidade de se obter soma 5?
3) Em uma urna há 5 bolas vermelhas e 4 pretas, todas de mesmo tamanho e feitas do mesmo
material. Retiramos duas bolas sucessivamente da urna, sem repô-las. Qual é a probabilidade de
que sejam retiradas duas bolas vermelhas?
4) Pedro e João combinaram de lançar uma moeda 4 vezes. Pedro apostou que, nesses 4
lançamentos, não apareceriam 2 caras seguidas; João aceitou a aposta. Quem tem maior chance
de ganhar a aposta?
5) Uma moeda é lançada 3 vezes. Qual é a probabilidade de que saiam 2 caras?
6) Um casal decidiu que vai ter 4 filhos. O que é mais provável: que tenham dois casais ou três
filhos de um sexo e um de outro?
7) Duas peças de um dominó comum são sorteadas. Qual é a probabilidade de que tenham um
número em comum?
8) Laura e Telma retiram um bilhete cada de uma urna em que há 100 bilhetes numerados de 1 a
100. Qual é a probabilidade de que o número retirado por Laura seja maior do que o de Telma? E
se elas, depois de consultarem o número, devolvem o bilhete à urna?
OTÁVIO LUCIANO CAMARGO SALES DE MAGALHÃES 176
9) Ana, Joana e Carolina apostam em um jogo de cara-e-coroa. Ana vence na primeira vez que
saírem duas caras seguidas; Joana vence na primeira vez que saírem duas coroas seguidas;
Carolina vence quando sair uma cara seguida de uma coroa. Qual é a probabilidade que cada uma
tem de vencer?
10) O trecho a seguir foi obtido em um site de internet que se propõe a aumentar as chances de
vitória no jogo da Sena (que consiste em sortear 6 dentre 60 dezenas). “Quando afirmamos, por
exemplo, que as dezenas atrasadas são importantes, é porque já observamos, em nossos estudos,
que todas as dezenas são sorteadas a cada quarenta testes, portanto, seria útil você acompanhar
e apostar em dezenas atrasadas; você estaria assim aumentando muito suas chances.” Você
concorda que apostar em uma dezena atrasada aumenta as chances de vitória na Sena?
11) Suponhamos que você tenha duas escolhas para apostar na Sena. Na primeira escolha aposta
nas dezenas 1 - 3 - 5 7 - 9 - 11, e na segunda escolha nas dezenas 8 - 17 - 31 - 45 - 49 - 55. Qual
você acha que tem maiores chances de ser vitoriosa?
12) (O Problema do Bode) Este problema foi proposto em um programa de rádio nos Estados
Unidos e causou um enorme debate na internet. Em um programa de prêmios, o candidato tem
diante de si três portas. Atrás de uma dessas portas, há um grande prêmio; atrás das demais há
um bode. O candidato escolhe inicialmente uma das portas. O apresentador (que sabe qual é a
porta que contém o prêmio) abre uma das portas não indicadas pelo candidato, mostrando
necessariamente um bode. A seguir, ele pergunta se o candidato mantém sua escolha ou deseja
trocar de porta. O candidato deve trocar ou não? (Uma forma de você guiar sua intuição consiste
em simular o problema.)
Problemas de Contagem
1) (Olimpíada Cearense de Matemática da Escola Pública – Numeratizar – 1ª série do Ensino
Médio – 1ª fase/2003) A formiguinha vai caminhar de A até C passando por B. Ela só anda pelas
estradas que já construiu:
O número de caminhos diferentes que ela pode escolher é:
a) 4 b) 5 c) 7 d) 8 e) 9
2) (EMEF Ricardo Caramuru de Castro Monteiro – CAIC Vale do Sol – Araraquara-SP – 8ª
série – 2003) No Brasil, as placas de carro são compostas por 3 letras do alfabeto latino (total:26
letras) e 4 algarismos hindo-arábicos (total:10 algarismos). Qual é o número máximo de placas de
carro que podem ser feitas no Brasil?
a) 17576000 b) 175760000 c) 6760000 d) 115316136
OTÁVIO LUCIANO CAMARGO SALES DE MAGALHÃES 177
3) (EMEB Arthur Natalino Deriggi – São Carlos-SP – 5ª série – 2003) Margareth tem 12 blusas
e 11 saias. Quantas combinações de saia e blusa Margareth pode usar?
a) 23 b) 12 c) 144 d) 132 e) 121
4) (EM Isaura Vilela Brasileiro – Botelhos – MG – 2000) Com seis tipos de cartões magnéticos
e oito senhas diferentes, as opções de escolha de um cartão e uma senha são:
a) 36 b) 42 c) 48 d) 52 e) 64
5) (EM Isaura Vilela Brasileiro – Botelhos – MG – 2000)Num microcomputador, para abrir certo
arquivo, o usuário deve digitar 4 sinais ( que são / # | ^) numa certa ordem, sem repeti-los. Se ele
não conhece a ordem e procura acertar a senha por tentativas, qual é o número máximo de
tentativas que fará?
a) 24 b) 30 c) 36 d) 40 e) 120
6) (XXIII Olimpíada Brasileira de Matemática – Nível 1, 2 e 3 – 1a fase – 2001) Na figura abaixo,
temos 4 circunferências e alguns pontos destacados no interior dessas circunferências. Escolhendo
exatamente um desses pontos dentro de cada uma das circunferências, e unindo-os por segmentos
de reta que não se cruzam, formamos um quadrilátero. Quantos quadriláteros diferentes seremos
capazes de desenhar nessas condições?
A) 4 B) 14 C) 60 D) 120 E) 24
7) Uma bandeira tem quatro listas. De quantas maneiras eu posso pintá-las utilizando-se de 3 cores
diferentes, de tal forma que não pintemos duas faixas consecutivas da mesma cor.
8) Numa festa 5 pessoas se cumprimentam. Quantos são os cumprimentos possíveis?
1) Escreva todas as palavras de duas sílabas diferentes que podem ser formadas combinando as
sílabas ca, ma, to, da. Mas atenção para a regra: só valem palavras que existem na língua
portuguesa.
2) O gato quer chegar até a borboleta. Ele só anda sobre as linhas pretas e só para a direita ou
para cima.
Desenhe 5 caminhos para o gato chegar até a borboleta. Depois, descubra: quantos são os
caminhos.
OTÁVIO LUCIANO CAMARGO SALES DE MAGALHÃES 178
3) Daniela adora artigos de papelaria. Nesta papelaria, um jogo de canetinhas custa R$ 12,50; uma
agenda custa R$ 4,50; uma pasta com esquadros custa R$ 8,00; um estojinho do Mickey custa R$
11,00 e uma caixinhas de clipes coloridos custa R$ 3,50. Ela quer compara um artigo de cada tipo,
mas tem apenas R$ 20,00. Escreva todas as possibilidades de compra que Daniela tem e quanto
ela gastaria em cada caso.
4) Num grupo das eliminatórias da Copa do Mundo de Futebol, estão as seleções: Bolívia, Brasil,
Colômbia, Paraguai e Peru. Todas as equipes vão se enfrentar, mas apenas uma vez.
a) Escreva a lista das partidas que vão ocorrer.
b) Quantas serão as partidas?
5) Veja todas as adições de dois números naturais que têm soma 3:
0+3 1+2 2+1 3+0
a) Escreva todas as adições de dois números naturais com soma 5.
b) Escreva todas as que têm soma 8.
c) Sem escrever todas, descubra quantas são as adições de dois números naturais com soma
100.
6) Pense agora nas subtrações de dois números naturais que têm diferença 3. Quantas
subtrações assim você acha que existem?
7) Vamos fazer bandeirinhas de 3 faixas, usando em cada bandeira sempre as mesmas 3 cores.
Existem 6 bandeiras diferentes nessas condições. Desenhe todas elas.
8) Imagine que você tenha 3 cartões (um com o número 1, outro com o 2 e outro com o 3).
Usando sempre os 3, represente todos os números de 3 algarismos que puder. Quantos são
esses números?
9) Os exercícios 7 e 8 têm alguma coisa de parecido. Tente descobrir e explicar o que é.
10) Pense nos números naturais de 3 algarismos formados com 1, 2 ou 3.
a) Escreva todos esses números.
b) Quantos são eles?
OTÁVIO LUCIANO CAMARGO SALES DE MAGALHÃES 179
11) Vai correr o bingo milionário! Os prêmios valem 100 mil, 100 mil, 50 mil, 50 mil, 10 mil, 10 mil,
10 mil e 5 mil. Um concorrente vai sortear 3 prêmios. Cada prêmio é sorteado uma só vez.
a) Esse concorrente pode ganhar 70 mil? E 80 mil?
b) Ele pode ganhar, no máximo, quanto? E quanto ele pode ganhar, no mínimo?
12) As placas de automóveis de certo pais são construídas com apenas uma letra e dois
algarismos. A letra é sempre uma das 5 vogais. O primeiro algarismo é 1 ou 2; e o segundo
também.
a) Mostre todas as placas possíveis que comecem com A.
b) Considerando todas as 5 vogais, qual é o total de placas possíveis?
Gabaritos para Experimentos Aleatórios
1
2
3
4
5
6
7
8
9
10
11
12
13
14
15
16
17
18
19
20
Prof. Otávio Luciano Camargo Sales de
Magalhães
PROBABILIDADE E CONTAGEM
PE.7.01.A
1) Ao arremessar uma moeda honesta, qual
é a probabilidade de encontrarmos:
a) cara Probabilidade ½ ou 50%
b) coroa Probabilidade ½ ou 50%
2) Um dado não-viciado é arremessado.
Qual é a probabilidade de sair:
a) o número 5?
Casos favoráveis: o 5 (1 caso)
Casos possíveis: 6
Probabilidade: 1/6
b) um número par?
Casos favoráveis: 2, 4 e 6 (3 casos)
Casos possíveis: 6
Probabilidade: 3/6=1/2 (ou 50%)
c) um número ímpar?
Casos favoráveis: 1, 3 e 5 (3 casos)
Casos possíveis: 6
Probabilidade: 3/6=1/2 (ou 50%)
d) um número maior que 4?
Casos favoráveis: 5 e 6 (2 casos)
Casos possíveis: 6
Probabilidade: 2/6=1/3 (ou 33,33%)
e) um número menor que 4?
Casos favoráveis: 1, 2, 3 (3 casos)
Casos possíveis: 6
Probabilidade: 3/6=1/2 (ou 50%)
f) um número primo?
Casos favoráveis: 2, 3 e 5 (3 casos)
Casos possíveis: 6
Probabilidade: 3/6=1/2 (ou 50%)
NÚMERO PRIMO é aquele que divide
apenas por um e por ele mesmo, isto é, 2, 3,
5, 7, 11, 13, 17, 23, 29, 31, 37, 41, 43, 47,
53, etc...
Quando a probabilidade é 0%=0 o evento
é chamado de EVENTO IMPOSSÍVEL
Quando a probabilidade é 100%=1 o
evento é chamado de EVENTO CERTO
3) Qual é o espaço amostral?
a) do arremesso de uma moeda
{K, C}
b) do arremesso de um dado.
OTÁVIO LUCIANO CAMARGO SALES DE MAGALHÃES 180
{1, 2, 3, 4, 5, 6}
c) do arremesso de duas moedas.
{(K, K), (K,C), (C, K), (C,C)}
d) do arremesso de dois dados.
{ (1,1), (1,2), (1,3), (1,4), (1,5), (1,6),
(2,1), (2,2), (2,3), (2,4), (2,5), (2,6),
(3,1), (3,2), (3,3), (3,4), (3,5), (3,6),
(4,1), (4,2), (4,3), (4,4), (4,5), (4,6),
(5,1), (5,2), (5,3), (5,4), (5,5), (5,6),
(6,1), (6,2), (6,3), (6,4), (6,5), (6,6)}
3) Arremessando dois dados não-viciados
e somando-se suas faces, qual é a
probabilidade de encontrarmos:
DIAGRAMA
1 – impossível
2 – (1,1) → 1/36
3 – (1,2), (2,3) → 2/36 = 1/18
4 – (1,3), (2,2), (3,1) → 3/36=1/12
5 – (1,4), (2,3), (3,2), (4,1) → 4/36=1/9
6 – (1,5), (2,4), (3,3), (4,2), (5,1) → 5/36
7 -(1,6), (2,5), (3,4), (4,3), (5,2), (6,1)→6/36
8 - (2,6), (3,5), (4,4), (5,3), (6,2) → 5/36
9 – (3,6), (4,5), (5,4), (6,3) → 4/36=1/9
10 – (4,6), (5,5), (6,4) → 3/36=1/12
11 – (5,6), (6,5) → 2/36=1/18
12 – (6,6) → 1/36
a) 1 → 0 b) 2 → 1/36 c) 3 →1/18
d) 4 → 1/12 e) 5 → 1/9
f) 6 → 5/36 g) 7 → 1/6
h) 8 → 5/36 i) 9 → 1/9
j) 10 → 1/12 k) 11 → 1/18
l) 12 → 1/36
5) Arremessando duas moedas, qual é a
probabilidade de:
Espaço amostral: KK, KC, CK, CC
a) sair cara no primeiro lançamento.
Raciocínio comum: 2/4 = 1/2
Raciocínio alternativo: ora, no primeiro
lançamento pode sair cara ou coroa, então
1/2
b) sair duas faces iguais
KK ou CC, portanto 2/4=1/2
6) a) Em uma urna há 4 bolas, numeradas
de 1 a 4. Qual é a probabilidade de sair um
número par?
Casos favoráveis: 2 e 4 (2 casos)
Casos possíveis: 4
Probabilidade: 2/4=1/2=50%
b) Em uma urna há 100 bolas, numeradas
de 1 a 100. Qual é a probabilidade de sair
um número quadrado perfeito?
Casos favoráveis: 1, 4, 9, 16, 25, 36, 49, 64,
81, 100 (10 casos)
Casos possíveis: 100
Probabilidade: 10/100=1/10 ou 10%
c) Em uma urna há 25 bolas, numeradas de
1 a 25. Qual é a probabilidade de sair um
número primo?
Casos favoráveis: 2, 3, 5, 7, 11, 13, 17, 23
(8 casos)
Casos possíveis: 25
Probabilidade: 8/25 ou 32%
Para achar a probabilidade pensamos
assim
8------25
x-------100
Como 100=4 x 25, basta multiplicar 8 por 4,
ou seja, temos 32.
d) Em uma urna há 50 bolas, numeradas de
1 a 50. Qual é a probabilidade de sair um
número maior que 18?
Casos favoráveis: 19 a 50 (ou seja 50-
18=32)
Casos possíveis: 50
Probabilidade 32/50 = 16/25 ou 64%
e) Em uma urna há 30 bolas, numeradas de
1 a 30. Qual é a probabilidade de sair um
número múltiplo de 7?
Casos favoráveis: 7, 14, 21 e 28 (4 casos)
Casos possíveis: 30
Probabilidade: 4/30=2/15
f) Em uma urna há 30 bolas, numeradas de
1 a 30. Qual é a probabilidade de sair um
número múltiplo de 7 e 5 ao mesmo tempo?
Casos favoráveis: nenhum. Não há número
múltiplo de 7 e 5 ao mesmo tempo entre 1 e
30.
Casos possíveis: 30
Probabilidade: 0/30 = 0% evento impossível
Prof. Otávio Luciano Camargo Sales de
Magalhães
PROBABILIDADE E CONTAGEM
PE.7.01.B
7) Em um baralho comum sem o coringa,
diga qual é a probabilidade de escolhermos
uma carta:
São 13 cartas de cada um dos 4 naipes, ou
seja, 52 cartas
a) de naipe de copas. 13/52 ou 1/4 ou 25%
b) de naipe de ouro. 13/52 ou 1/4 ou 25%
c) de naipe de espadas. 13/52 ou 1/4 ou
25%
d) de naipe de paus. 13/52 ou 1/4 ou 25%
e) de número 7. 4/52 ou 1/13
f) de número 9. 4/52 ou 1/13
g) cuja face é K. 4/52 ou 1/13
h) cuja face é Q. 4/52 ou 1/13
i) cujo naipe é preto. 26/52 ou ½ ou 50%
j) cujo naipe é vermelho. 26/52 ou ½ ou 50%
k) um Ás de copas 1/52
l) um 7 de ouros 1/52
m) um valete vermelho. 2/52=1/26
n) um 10 preto. 2/52=1/26
o) uma carta de 4 ou de J 8/52=4/26=2/13
p) uma carta que não seja J, K ou Q.
Sobram 10 cartas por naipe 40/52=10/13
8) a) Qual é a probabilidade de um número
de dois algarismos seja múltiplo de 15?
Casos favoráveis: 15, 30, 45, 60, 75 e 90 (ou
seja, 6 casos).
Casos possíveis: 10 ao 99, sendo 90 casos
Probabilidade: 6/90=1/15
b) Qual é a possibilidade de um número de
três algarismos formado apenas com 3, 5 e
4 sem repetição seja par?
Casos favoráveis: 354 e 534 (2 casos)
Caso possíveis: 354, 345, 534, 543, 435,
453 (6 casos)
Probabilidade: 2/6=1/3
9) Escreva a árvore das probabilidades
a) do arremesso de três moedas.
d) dos números de três algarismos que
podem ser escritos com os algarismos 2, 5
e 4 com ou sem repetição.
e) dos números de três algarismos que
podem ser escritos com os algarismos 2, 5
e 4 sem repetição.
f) Dos códigos de 3 caracteres formados
com as letras A, B e C.
g) Dos códigos de 3 caracteres formados
com as letras A, B, C, D, E iniciados por
vogal.
h) Dos números de 4 algarismos pares
iniciados por 4, 6 ou 2 e sem repetição.
Prof. Otávio Luciano Camargo Sales de
Magalhães
PROBABILIDADE E CONTAGEM
PE.7.01.C
1) Qual é a probabilidade de se obter um resultado
maior que 4 ao se lançar um dado honesto?
2/6 = 1/3
2) Ao lançar um dado duas vezes, qual é a
probabilidade de se obter soma 5?
As possibilidades são (1,4), (2,3), (3,2) ou (4,1). Ou
seja, são 4 possibilidades num universo de 36.
4/36 = 1/9
3) Em uma urna há 5 bolas vermelhas e 4 pretas,
todas de mesmo tamanho e feitas do mesmo
material. Retiramos duas bolas sucessivamente
da urna, sem repô-las. Qual é a probabilidade de
que sejam retiradas duas bolas vermelhas?
Usando o PRINCÍPIO FUNDAMENTAL DA
CONTAGEM
Casos Possíveis:
1ª retirada: 9 possibilidades
2ª retirada: 8 possibilidades
Pelo PFC: 9 x 8 =72
Casos Favoráveis:
1ª retirada: 5 possibilidades, pois são 5 bolas
vermelhas
2ª retirada: 4 possibilidades, pois não há reposição
Pelo PFC: 5 x 4 = 20
20 / 72 = 10 / 36 = 5/18
4) Pedro e João combinaram de lançar uma
moeda 4 vezes. Pedro apostou que, nesses 4
lançamentos, não apareceriam 2 caras seguidas;
João aceitou a aposta. Quem tem maior chance de
ganhar a aposta?
Fazendo todas as 16 possibilidades (pode usar um
diagrama de árvore), verificamos que em 8 dessas
possibilidades aparecem 2 caras seguidas (faça o
diagrama).
Ou seja, há 8/16 = ½ de probabilidade de sair duas
caras seguidas e 8/16 = ½ de probabilidade de
NÃO sair duas caras seguidas.
Os dois tem as mesmas chances!
5) Uma moeda é lançada 3 vezes. Qual é a
probabilidade de que saiam 2 caras?
Observe o diagrama 9A, e verifique que há 4
possibilidades de 8 para sair 2 caras, ou seja 4/8 =
½ ou 50%.
Resposta: 50%
6) Um casal decidiu que vai ter 4 filhos. O que é
mais provável: que tenham dois casais ou três
filhos de um sexo e um de outro?
OTÁVIO LUCIANO CAMARGO SALES DE MAGALHÃES 181
O mais provável é ter 2 filhos de cada sexo, pois,
a probabilidade de nascer homem ou mulher é de
50%.
7) Duas peças de um dominó comum são
sorteadas. Qual é a probabilidade de que tenham
um número em comum?
Um dominó é numerado de 0 a 9, ou seja, há 100
peças.
As peças comuns são (0,0), (1,1), ... (9,9), ou seja,
10 peças com números duplos.
10/100 = 1/10 ou 10%
8) Laura e Telma retiram um bilhete cada de uma
urna em que há 100 bilhetes numerados de 1 a
100. Qual é a probabilidade de que o número
retirado por Laura seja maior do que o de Telma?
E se elas, depois de consultarem o número,
devolvem o bilhete à urna?
Esse exercício é da programação de estudos para
Olimpíadas de Matemática. Veja a resposta oficial:
Em ambos os casos, Laura e Telma têm a mesma
probabilidade de tirar um número maior que a
outra. Se não há devolução, não pode haver
empate, e a probabilidade de que Laura tenha o
maior número é 50%. Se há devolução, há
possibilidade de empate e a probabilidade de que
isto ocorra ´e igual a 100 casos de empate dividido
por 100 × 100 casos possíveis que ´e igual a 0, 01,
Logo, neste caso a probabilidade de que Laura
tenha um núumero maior do que o de Telma é (1
− 0,01)/2 =0, 99/2 = 0, 495.
Esse exercício é muito difícil e não será
solicitado na prova!
Prof. Otávio Luciano Camargo Sales de
Magalhães
PROBABILIDADE E CONTAGEM
PE.7.01.D
9) Ana, Joana e Carolina apostam em um jogo de
cara-e-coroa. Ana vence na primeira vez que
saírem duas caras seguidas; Joana vence na
primeira vez que saírem duas coroas seguidas;
Carolina vence quando sair uma cara seguida de
uma coroa. Qual é a probabilidade que cada uma
tem de vencer?
Veja a árvore das probabilidades:
A probabilidade de Ana ou Carolina vencer é
1/4+1/8=3/8. A de Joana é 1/4. (Considere o 3º
galho como ¼ e o 4º galho como 1/8, você
consegue entender o motivo!)
Esse exercício é muito difícil e não será
solicitado na prova!
10) O trecho a seguir foi obtido em um site de
internet que se propõe a aumentar as chances de
vitória no jogo da Sena (que consiste em sortear 6
dentre 60 dezenas). “Quando afirmamos, por
exemplo, que as dezenas atrasadas são
importantes, é porque já observamos, em nossos
estudos, que todas as dezenas são sorteadas a
cada quarenta testes, portanto, seria útil você
acompanhar e apostar em dezenas atrasadas;
você estaria assim aumentando muito suas
chances.” Você concorda que apostar em uma
dezena atrasada aumenta as chances de vitória na
Sena?
Resposta da OBM: Embora haja pessoas que
ganhem a vida com este tipo de afirmação, ela é
completamente sem sentido. As extrações são
independentes, o que faz com que uma dezena
estar atrasada seja completamente irrelevante
para o que vai acontecer no futuro. Na verdade, se
estamos em dúvidas sobre a equiprobabilidade
das diversas dezenas, poderíamos concluir
exatamente o contrário: se uma dezena sai menos
que outras, talvez seja porque seja menos
provável (por exemplo, a bolinha correspondente
pode ser maior ou mais leve que as outras).
Esse exercício é muito difícil e não será
solicitado na prova!
11) Suponhamos que você tenha duas escolhas
para apostar na Sena. Na primeira escolha aposta
nas dezenas 1 - 3 - 5 7 - 9 - 11, e na segunda
escolha nas dezenas 8 - 17 - 31 - 45 - 49 - 55. Qual
você acha que tem maiores chances de ser
vitoriosa?
Resposta da OBM: Obviamente, os dois jogos
têm a mesma probabilidade de serem vitoriosos
(mas você acha que as pessoas, em geral,
concordariam com isto? por quê?).
Esse exercício é muito difícil e não será
solicitado na prova!
12) (O Problema do Bode) Este problema foi
proposto em um programa de rádio nos Estados
Unidos e causou um enorme debate na internet.
Em um programa de prêmios, o candidato tem
diante de si três portas. Atrás de uma dessas
portas, há um grande prêmio; atrás das demais há
um bode. O candidato escolhe inicialmente uma
das portas. O apresentador (que sabe qual é a
porta que contém o prêmio) abre uma das portas
não indicadas pelo candidato, mostrando
necessariamente um bode. A seguir, ele pergunta
se o candidato mantém sua escolha ou deseja
trocar de porta. O candidato deve trocar ou não?
(Uma forma de você guiar sua intuição consiste em
simular o problema.)
Resposta da OBM: O candidato deve trocar a
porta. Se ele não o faz, sua chance de vitória está
em ter escolhido a porta certa da primeira vez, o
que ocorre com probabilidade 1/3. Trocando a
porta, ele vai ganhar o prêmio exatamente nos
casos em que a porta escolhida é a errada, o que
tem probabilidade 2/3.
Prof. Otávio Luciano Camargo Sales de
Magalhães
PROBABILIDADE E CONTAGEM
PE.7.01.E
Problemas de Contagem
1) (Olimpíada Cearense de Matemática da
Escola Pública – Numeratizar – 1ª série do
Ensino Médio – 1ª fase/2003) A formiguinha vai
caminhar de A até C passando por B. Ela só anda
pelas estradas que já construiu:
O número de caminhos diferentes que ela pode
escolher é:
a) 4 b) 5 c) 7
d) 8 e) 9
Entre A e B: 3 caminhos
Entre B e C: 3 caminhos
Total de caminhos: 3 x 3 = 9
2) (EMEF Ricardo Caramuru de Castro Monteiro
– CAIC Vale do Sol – Araraquara-SP – 8ª série –
2003) No Brasil, as placas de carro são compostas
por 3 letras do alfabeto latino (total:26 letras) e 4
algarismos hindo-arábicos (total:10 algarismos).
Qual é o número máximo de placas de carro que
podem ser feitas no Brasil?
a) 17576000 b) 175760000
c) 6760000 d) 115316136
Basta utilizar o princípio fundamental da
contagem, que é bem mais simples:
26 x 26 x 26 x 10 x 10 x 10 x 10
3) (EMEB Arthur Natalino Deriggi – São Carlos-
SP – 5ª série – 2003) Margareth tem 12 blusas e
11 saias. Quantas combinações de saia e blusa
Margareth pode usar?
a) 23 b) 12 c) 144 d) 132 e) 121
Basta fazer 12 x 11 = 132
4) (EM Isaura Vilela Brasileiro – Botelhos – MG
– 2000)
Com seis tipos de cartões magnéticos e oito
senhas diferentes, as opções de escolha de um
cartão e uma senha são:
a) 36 b) 42 c) 48 d) 52 e) 64
Só fazer 6x8=48
5) (EM Isaura Vilela Brasileiro – Botelhos – MG
– 2000)Num microcomputador, para abrir certo
arquivo, o usuário deve digitar 4 sinais ( que são /
# | ^) numa certa ordem, sem repeti-los. Se ele não
conhece a ordem e procura acertar a senha por
tentativas, qual é o número máximo de tentativas
que fará?
a) 24 b) 30 c) 36 d) 40 e) 120
Como o usuário não pode repetir, ele tem
3 x 4 x 2 x 1 = 24 possibilidades
Prof. Otávio Luciano Camargo Sales de
Magalhães
PROBABILIDADE E CONTAGEM
PE.7.01.F
6) (XXIII Olimpíada Brasileira de Matemática –
Nível 1, 2 e 3 – 1a fase – 2001) Na figura abaixo,
temos 4 circunferências e alguns pontos
destacados no interior dessas circunferências.
Escolhendo exatamente um desses pontos dentro
de cada uma das circunferências, e unindo-os por
segmentos de reta que não se cruzam, formamos
um quadrilátero. Quantos quadriláteros diferentes
seremos capazes de desenhar nessas condições?
A) 4 B) 14 C) 60 D) 120 E) 24
O número de quantidade de quadriláterios é o
produto dos vértices: 2 x 3 x 4 x 5 = 120.
7) Uma bandeira tem quatro listas. De quantas
maneiras eu posso pintá-las utilizando-se de 3
cores diferentes, de tal forma que não pintemos
duas faixas consecutivas da mesma cor.
1ª listra: qualquer cor = 3
2ª listra: menos a cor usada na 1ª listra = 2
3ª listra: menos a cor usada na 2ª listra = 2
4ª listra: menos a cor usada na 3ª listra = 2
3x2x2x2 = 24
OTÁVIO LUCIANO CAMARGO SALES DE MAGALHÃES 182
OTÁVIO LUCIANO CAMARGO SALES DE MAGALHÃES 183
REVISÃO GLOBAL DE GEOMETRIA INTRODUTÓRIA
1) Desenhe um par de retas:
a) paralelas b) perpendiculares c) oblíquas
2) Desenhe um ângulo:
a) reto b) agudo c) obtuso
3) Responda:
a) Qual é a unidade de medida de ângulo?_____________
b) Qual é o instrumento que utilizamos para medir?__________
c) Por qual motivo uma circunferência tem 360º?___________________________________
d) Quantos minutos tem um grau?______
e) Quantos segundos tem um minuto?______
f) Quantos segundos tem um grau?
4) O que é (explique e desenhe):
a) bissetriz b) mediatriz
5) Desenhe e dê exemplo de ângulos:
a) complementares b) suplementares c) opostos pelo vértice
6) Dê a medida dos ângulos desconhecidos:
7) Qual é:
a) O suplemento de 32º?
b) O complemento de 20º?
8) Ache o valor de x:
OTÁVIO LUCIANO CAMARGO SALES DE MAGALHÃES 184
9) Ache com o transferidor a medida dos ângulos
10) O mapa a seguir, com os pontos cardeais em Inglês, mostra as Coordenadas Geográficas.
Você pode vê-las no círculo também:
Responda:
a) Por qual motivo a Longitude tem 180º para cada lado e a
Latitude tem apenas 90º?
b)Quantos graus tem o Equador? Justifique.
c) Quantos graus tem o Meridiano de Greenwich?
d) Quantos graus há de polo norte à polo sul?
e) Do Equador ao polo sul há quantos graus?
f) Se eu pegar as coordenadas geográficas 30N 90E cai em
qual continente? Marque no mapa em azul. Faça o mesmo
para 30S 150E.
g) Dê uma coordenada do Oceano Pacífico.
OTÁVIO LUCIANO CAMARGO SALES DE MAGALHÃES 185
11) Associe os números da cruzadinha com os conceitos geométricos.
( ) Polígono
com todos os
lados iguais
( ) Exemplo de
Polígono Não ....
( ) Ângulo de
90º
Desenhe:
( ) Retas .... ( ) Divide o
ângulo em duas
partes iguais
( ) Divide o
segmento de reta
em duas partes
iguais, por uma
reta
perpendicular
( ) Retas ..... ( ) Ângulo com
mais de 90º
Desenhe:
( ) Ângulo com
menos de 90º
Desenhe:
( ) Instrumento
de medida de
ângulo
12) Veja uma foto de satélite de Mococa com as coordenadas geográficas:
a) Qual é a latitude de Mococa?
b) Qual é a longitude de Mococa?
c) Escreva como se lê as coordenadas geográficas de Mococa.
13) Desenhe as diagonais dos polígonos
OTÁVIO LUCIANO CAMARGO SALES DE MAGALHÃES 186
14) Veja exemplos de SIMETRIAS: ATENÇÃO! Em Simetrias os ângulos não se alteram!
Faça o mesmo com a letra R:
15) Veja o que é SIMETRIA, e os EIXOS DE SIMETRIA nos dois exemplos:
Desenhe, se houver, os eixos de Simetria:
16) Completes o desenhos com SIMETRIAS DE REFLEXÃO: ATENÇÃO! Em Simetrias os
ângulos não se alteram!
OTÁVIO LUCIANO CAMARGO SALES DE MAGALHÃES 187
17) Construa as simetrias pedidas:
a) TRANSLAÇÃO b) REFLEXÃO
c) ROTAÇÃO DE 90º PARA DIREITA d) ROTAÇÃO DE 180º
18) Complete de forma que haja dois eixos de simetria:
OTÁVIO LUCIANO CAMARGO SALES DE MAGALHÃES 188
SIMETRIAS
1) Diga se o eixo assinalado nas figuras é o eixo de simetria:
2) A figura abaixo reproduz a planta original da Abadia de Jumièges, fundada em 654, na
região da Normandia, norte da França. Encontre seu eixo de simetria.
3) Qual seria a imagem da pilha de cubos se o espelho não estivesse quebrado?
OTÁVIO LUCIANO CAMARGO SALES DE MAGALHÃES 189
4) Encontre os eixos de simetria das figuras, se existir:
5) Encontre os eixos de simetria:
6) Por qual motivo se escreve ambulância “ao contrário”?
OTÁVIO LUCIANO CAMARGO SALES DE MAGALHÃES 190
ÂNGULOS
1) (Material do Positivo – 6º ano)
Quem é Bianca, quem é Ângela e quem é Alexandra?
2) (Material do Positivo – 6º ano) a) Fique em pé para frente do quadro e dê um giro de meia volta.
Qual sua posição agora?
b) Fique novamente em pé em frente para o quadro e gire ¼ de volta. Em que posição você
parou?
c) Fique em pé de frente para o quadro e gire uma volta. Qual sua posição depois do giro?
3) (Material do Positivo – 6º ano) Num papel quadriculado faça:
- ande 4 quadradinhos
- gire ¼ de volta à direita.
- ande 6 quadrados
- gire ¼ de volta à direita
- ande 4 quadrados
- gire ¼ de volta à direita
- ande 6 quadrados
Qual forma será formada?
4) (Material do Positivo – 6º ano) Quantos graus tem um ângulo de:
a) 1 volta b) ½ volta c) ¼ de volta d) ¾ de volta
a) 1/6 de volta e) 1/8 de volta
OTÁVIO LUCIANO CAMARGO SALES DE MAGALHÃES 191
5) (Material do Positivo – 6º ano) Usando o transferidor diga qual é a medida de cada ângulo abaixo:
6) (Material do Positivo – 6º ano) Sem usar transferidor estime a medida de cada ângulo:
7) (Material do Positivo – 6º ano) As pessoas, os objetos e os animais são vistos sob um
determinado ângulo de visão. O ângulo sob o qual vemos uma pessoa, por exemplo, depende da
distância que estamos dela e da nossa posição. Observe, por exemplo, os jogadores de futebol.
Quem tem melhor ânglo de visão para marcar um gol?
8) (Material do Positivo – 6º ano) De quantos graus foi cada giro?
9) (Material do Positivo – 6º ano) Qual das imagens do cão refletido no espelho é a correta?
Explique:
OTÁVIO LUCIANO CAMARGO SALES DE MAGALHÃES 192
10) (Material do Positivo – 6º ano) Qual das figuras abaixo possui eixo de simetria?
11) (Material do Positivo – 6º ano) Quantos eixos de simetria podem ser traçado nas figuras?
12) (Material do Positivo – 6º ano) Complete a figura para deixa-la simétrica:
13) (Material do Positivo – 6º ano) Trace todos os eixos de simetria nas figuras planas a seguir:
OTÁVIO LUCIANO CAMARGO SALES DE MAGALHÃES 193
14) (Material do Positivo – 6º ano) Complete as figuras para ficarem simétricas:
15) (Material do Positivo – 6º ano) Como ficará a escrita das seguintes palavras no espelho:
16) (Material do Positivo – 6º ano) Analise a simetria da figura:
OTÁVIO LUCIANO CAMARGO SALES DE MAGALHÃES 194
17) (CEFET-SP) Uma das condições para tornar o roço do palhaço simétrico é desenhar a outra
sombrancelha no quadradinho:
a) E3 b) D3 c) F3 d) E6
18) (Canguru Matemático – Nível E – 2014) Na porta de vidro da entrada de uma loja pintaram o
buquê de flores ao lado. Como esse buquê aparece para quem olha do outro lado da porta?
19) (Canguru Matemático – Nível B – 2014) Eva alinhou oito cartões formando a palavra
CANGURUS. Sua irmãzinha girou alguns cartões e a palavra ficou como a figura abaixo.
Para acertar as letras, Eva fez rotações de 90 graus nos cartões. Por exemplo, faz duas rotações
para acertar a letra C e uma para acertar a letra A, conforme mostrado:
No mínimo, quantas dessas rotações ela deve fazer para acertar a palavra?
OTÁVIO LUCIANO CAMARGO SALES DE MAGALHÃES 195
PROVA DE GEOMETRIA DO 3º BIMESTRE DE 2014 – 6º ANO – ESCOLA NOVA
1. (Valor: 0,3) Desenhe um ângulo reto, um angulo agudo e um ângulo obtuso.
2. (Valor: 0,4) a) Meça com o transferidor a medida dos ângulos externos da figura abaixo
b) (Valor: 0,4) Meça os ângulos internos de cada triângulo que compõe a bandeira de Seychelles,
um país do Oceano Índico.
3. (Valor: 0,2) Diga, em graus e minutos qual é a metade de 45º.
4. (Valor: 0,3) Se eu dobrar uma folha ao meio, conforme o desenho, quantos graus terá o ângulo
assinalado
5. (Valor: 0,2) Qual é:
a) o complemento de 8º.
b) o suplemento de 40º.
6. (Valor: 0,6) Quanto é:
a) 1º20’42’’+7º49’45’’ b) 20º2’15’’-18º10’ c) 2 x 3º14’20’’
OTÁVIO LUCIANO CAMARGO SALES DE MAGALHÃES 196
7. (Valor: 0,4) As coordenadas geográficas de Monte Santo de Minas são:
Latitude: -21.1955, Longitude: -46.9628
21° 11′ 44″ Sul, 46° 57′ 46″ Oeste
A partir dessa informação, encontre a coordenada aproximada de Monte Santo de Minas no mapa
de Minas Gerais:
8. (Valor: 1,2) Diga as coordenadas geográficas das capitais dos estados da Região Sudeste:
OTÁVIO LUCIANO CAMARGO SALES DE MAGALHÃES 197
9. (Valor: 1,4) Veja o Mapa Mundi
a) Dê as coordenadas de A, B, C, D, E.
b) Em que Oceano está a coordenada:
20ºN 160ºW ____________________ 40ºS 20ºW____________________
30ºS 100ºE ____________________ 85ºN 0º ____________________
c) Dê uma coordenada qualquer na:
América ____________________ África ____________________
Europa ____________________ Ásia ____________________
Oceania ____________________
10. (Valor: 0,3) Desenhe a mão livre um polígono não-convexo.
11. (Valor: 0,4) Desenhe todas as diagonais dos polígonos regulares
12. (Valor: 0,4) Qual tipo de simetria foi utilizada para fazer os seguintes desenhos?
a) b)
OTÁVIO LUCIANO CAMARGO SALES DE MAGALHÃES 198
13. (Valor: 0,3) Veja os tipos de simetria abaixo que aparecem nos seres vivos.
Você consegue dar outro tipo de exemplo de simetria radical, real e assimetria?
14) (Valor: 0,4) Complete as figuras para que elas possuam simetria de reflexão:
15) (Valor: 0,6) Complete os quadradinhos para que as figuras possuam simetria de reflexão:
OTÁVIO LUCIANO CAMARGO SALES DE MAGALHÃES 199
16) (Valor: 0,5) a) Que tipos de simetria possui o ser humano, os cnidários e os poríferos? (axial,
radial)
b) E os animais abaixo?
17) (Valor: 0,9) Escreva TODOS eixos de simetria se for possível:
18) (Valor: 0,9) a) Considere o “P” assinalado com o número 1. Quantos graus foi necessário para
chegar nos números 2, 3, 4, 5 e 6?
2 – rotação de ______ 3 – rotação de ______ 4 – rotação de ______
5 – rotação de ______ 6 – rotação de ______
OTÁVIO LUCIANO CAMARGO SALES DE MAGALHÃES 200
b) E agora? Começando do 1
2 – rotação de ______ 3 – rotação de ______ 4 – rotação de ______
19) (Valor: 0,6) Dado o desenho, faça as simetrias que se pede:
a) Simetria de Reflexão b) Simetria de Translação
20) (Valor: 0,6) Faça as simetrias do desenho aos eixos vertical e horizontal
21) (Valor: 0,6) Que tipo de transformação foi feita em cada caso?
22) (Valor: 0,3) Faça com a letra inicial de seu nome:
a) rotação de 90º b) rotação de 180º c) rotação de 270º
OTÁVIO LUCIANO CAMARGO SALES DE MAGALHÃES 201
ÂNGULOS NOS TRIÂNGULOS
1) Com orientação do professor faça a experiência física para
mostrar que a soma dos ângulos internos de um triângulo é
180º.
2) Veja o desenho do TANGRAM:
a) Escreva o nome de cada
peça
b) Com um lápis azul
marque todos os ângulos de
90º.
c) Com um lápis vermelho
marque todos os ângulos de
45º
d) Quanto mede cada
ângulo do triângulo retângulo
isósceles?
OTÁVIO LUCIANO CAMARGO SALES DE MAGALHÃES 202
TRIÂNGULOS
1) Dado o triângulo ABC
a) Quais são os vértices?_____________________________
b) Quais são os lados?_____________________________
c) Quais são os ângulos? _________________________
2) Complete as DEFINIÇÕES:
a) Triângulo: é o polígono que possui _____________.
b) Triângulo isósceles: é o triângulo que possui ___ lados com a mesma medida.
c) Triângulo escaleno: é o triângulo que ____ possui nenhum lado com a mesma medida.
d) Triângulo equilátero: é o triângulo que possui ___ lados com a mesma medida.
e) Triângulo retângulo: é o triângulo que possui 1 ângulo ___________.
f) Triângulo obtusângulo: é o triângulo que possui 1 ângulo __________.
g) Triângulo acutângulo: é o triângulo que possui os ____ ângulos _______________.
3) Como podemos classificar os triângulos:
a) Quantos aos lados: em ______________, ______________ e ________________.
Desenhe:
b) Quanto aos ângulos: em _______________, ______________ e ________________.
Desenhe:
4) Desenhe um triângulo retângulo isósceles:
QUADRILÁTEROS
5) Dado o quadrilátero ABCD
a) Quais são os vértices?_____________________________
b) Quais são os lados?_____________________________
c) Quais são os ângulos? _________________________
6) Complete as definições:
a) Um QUADRILÁTERO é um polígono com ____ lados.
b) Um PARALELOGRAMO é um quadrilátero com ___ par de lados paralelos.
c) Um TRAPÉZIO é um quadrilátero com ___ pares de lados paralelos.
d) Um LOSANGO é um quadrilátero com 4 ________ com a mesma medida.
e) Um RETÂNGULO é um quadrilátero com 4 ________ com a mesma medida.
f) Um QUADRADO é um quadrilátero com 4 _________ iguais e 4 _________ iguais.
7) Desenhe um paralelogramo e um trapézio.
8) Desenhe um losango, um retângulo e um quadrado.
9) Desenhe um polígono não convexo.
OTÁVIO LUCIANO CAMARGO SALES DE MAGALHÃES 203
10) O que é verdadeiro:
a) Todo quadrado é um retângulo? b) Todo retângulo é um quadrado?
c) Todo quadrado é um losango? d) Todo losango é um quadrado?
11) Desenhe uma figura que seja ao mesmo tempo losango e retângulo.
12) Responda:
a) O retângulo é um paralelogramo?
b) O losango é um paralelogramo?
c) O quadrado é um paralelogramo?
Jornal “Agora São Paulo”, 28/11/2002, pág C-9.
13) Abaixo vemos 4 diagramas de Euler-Venn. Quais deles são verdadeiros?
Cubos B. Retangulares Quadrados Retângulos
B. Retangulares Cubos Retângulos Quadrados
EXERCITE
1) Qual é o quadrilátero regular?
2) Que quadrilátero é ao mesmo tempo losango e retângulo?
3) Escreva em diagramas os conjuntos que representam os trapézios (T), paralelogramos (P),
losangos (L), retângulos (R) e quadrados (R).
4) Num losango, que relação podemos estabelecer entre seus ângulos opostos?
5) Num paralelogramo, que relação podemos estabelecer entre seus ângulos opostos?
OTÁVIO LUCIANO CAMARGO SALES DE MAGALHÃES 204
6) Chamamos de trapézio isósceles, um trapézio que tem os dois lados (que não são as bases),
congruentes. Desenhe um trapézio isósceles e pinte da mesma cor os ângulos congruentes.
7) Chamamos de trapézio retângulo, um trapézio que possui um ângulo reto. Desenhe um trapézio
retângulo.
8) Chamamos de trapézio escaleno, um trapézio cujos lados, que não são bases, são diferentes.
Desenhe um trapézio escaleno.
9) Chamamos de pipa (KITE), um quadrilátero convexo que possui dois pares de lados
consecutivos congruentes. Desenhe 3 pipas diferentes.
10) Chamamos de seta ou bumerangue (DART), um quadrilátero não-convexo que possui dois
pares de lados consecutivos congruentes. Desenhe 3 setas diferentes.
11) Complete a tabela com sim ou não
DIAGONAIS São congruentes Cortam-se no
Ponto Médio
São
perpendiculares
Quadrado
Paralelogramo
Trapézio
Losango
Retângulo
12) (Olimpíada de Matemática de Escola Pública do Ceará – 5ª série / Ensino Médio – 2003)
Triminós são feitos de três quadrados e em duas formas,
Qual das figuras abaixo pode ser feita usando somente triminós, supondo-se que que você tenha
uma caixa com muitos exemplares das duas formas?
OTÁVIO LUCIANO CAMARGO SALES DE MAGALHÃES 205
13) (Exame de Seleção do Colégio Pedro II – 5a série 2001) Você, certamente, conhece o jogo
dominó. E sabe que cada peça desse jogo é formada por dois quadradinhos iguais com um lado
em comum, como mostra a FIGURA 1.
Existem jogos (quebra-cabeças) que também têm peças formadas por quadradinhos iguais com
um lado em comum. Essas peças recebem diferentes nomes, dependendo do número de
quadradinhos que as formam. Veja alguns exemplos na FIGURA 2.
Chamamos de tetraminós as peças formadas por quatro quadradinhos. Ao todo, existem cinco
tetraminós diferentes. Na FIGURA 2, foram desenhados três deles.
-
Um único tetraminó pode ser desenhado em várias posições. Veja, na FIGURA 3, algumas
maneiras diferentes de se desenhar o mesmo tetraminó.
a) Agora, mãos à obra! Desenhe no espaço abaixo os dois tetraminós que estão faltando na
FIGURA 2. Mas, cuidado! Preste bem atenção para não desenhar um tetraminó repetido em
posição diferente!
b) Veja a figura que montei usando um triminó, um tetraminó e um pentaminó.
I) Usando o quadradinho como unidade de medida de área, qual é a medida da área da
figura que eu montei?
II) Usando o lado do quadradinho como unidade de medida de comprimento, qual é a medida do
perímetro da figura que eu montei?
OTÁVIO LUCIANO CAMARGO SALES DE MAGALHÃES 206
14) (SARESP – 5ª série – Diurno – 1998) A outra metade desta folha contém o mesmo desenho.
Desdobrando-a, que figura aparecerá no centro do retângulo?
a) Quadrado b) Losango c) Retângulo d) Trapézio
15)(Concurso para Professor de Matemática de 5ª à 8ª séries e Ensino Médio PEBII do Estado
de São Paulo – 2003) Uma forma de iniciar o estudo dos quadriláteros é pedir aos alunos que os
classifiquem, tendo como critérios as suas propriedades e regularidades. Desta forma, os alunos terão
maior compreensão de cada quadrilátero e das relações existentes entre eles. Uma possibilidade de
apresentar as relações existentes entre alguns quadriláteros é por meio de conjuntos. Seja L o
conjunto dos losangos, P o conjunto dos paralelogramos, Q o conjunto dos quadrados, R o conjunto
dos retângulos, a relação entre eles pode ser representada por:
16) (Olimpíada Paulista de Matemática – 6ª série – Fase Final/1985) Leia com atenção as
seguintes definições:
Quadrilátero – é um polígono de quatro lados.
Trapézio – é um quadrilátero que tem apenas dois lados paralelos entre si.
Paralelogramo – é um quadrilátero que tem os quatro lados, dois a dois, paralelos entre si.
Retângulo – é um paralelogramo que tem os quatro ângulos internos retos.
Losango – é um paralelogramo que tem os quatro lados de medidas iguais.
Quadrado – é um retângulo que é losango.
a) No espaço entre parênteses, na frente das sentenças abaixo, coloque V se a sentença for
verdadeira e, F se for falsa segundo as definições dadas acima:
1. Há trapézios que são paralelogramos ( )
2. Qualquer retângulo é um parelelogramo ( )
3. Qualquer paralelogramo é um losango ( )
4. Há paralelogramo que são retângulo ( )
5. Qualquer quadrado é um losango ( )
6. Qualquer retângulo é um quadrado ( )
7. Há retângulos quê são quadrados ( )
8. Qualquer quadrado é um retângulo ( )
9. Qualquer losango é um quadrado ( )
10. Qualquer quadrado é um paralelogramo ( )
b) Justifique suas quatro primeiras respostas indicando em cada uma delas, a definição ou as
definições usadas.
17) (Concurso para Professor de Matemática de 5ª à 8ª séries – Secretaria de Estado da
Educação de Minas Gerais/2001) Considere as afirmativas abaixo:
I – Todo quadrilátero que tem dois pares de lados opostos paralelos é um paralelogramo
II – Todo paralelogramo que tem lados iguais é um losango
III – Todo paralelogramo que tem ângulos iguais é um retângulo
IV – Todo paralelogramo é um polígono regular
Em relação a elas, pode-se concluir que:
a) somente as afirmativas I, II e III são verdadeiras
b) somente as afirmativas II, III e IV são verdadeiras
c) somente as afirmativas I, III e IV são verdadeiras
d) todas as alternativas são verdadeiras
OTÁVIO LUCIANO CAMARGO SALES DE MAGALHÃES 207
18) (EM Isaura Vilela Brasileiro – Botelhos – MG – 2000) Qual das afirmações abaixo sobre o
quadrado é falsa:
a) Todo quadrado é simultaneamente losango e retângulo.
b) Se um retângulo também for losango ele é quadrado.
c) Quadrado é um polígono que tem quatro lados iguais.
d) O polígono que tem quatro lados iguais chama-se quadrado.
e) O quadrado é um polígono regular, pois tem quatro lados e quatro ângulos iguais.
19) (VUNESP) Considere as seguintes proposições:
- todo quadrado é um losango;
- todo quadrado é um retângulo;
- todo retângulo é um paralelogramo;
- todo triângulo equilátero é isósceles.
Pode-se afirmar que:
a) só uma verdadeira. b) todas são verdadeiras. c) só uma é falsa.
d) duas são verdadeiras e duas são falsas. e) todas são falsas.
OTÁVIO LUCIANO CAMARGO SALES DE MAGALHÃES 208
GEOMETRIA DOS RECORTES – Cole as respostas aqui.
1) Divida um quadrado em duas partes com apenas um corte:
2)Recorte um quadrado em duas partes iguais.
3) Recorte um quadrado em dois retângulos de tamanhos diferentes.
4) Recorte um quadrado em dois retângulos iguais.
5) Recorte um quadrado em três retângulos iguais.
6) Recorte um quadrado em quatro retângulos iguais.
7) Recorte um quadrado em quatro quadrados iguais.
8) Recorte um quadrado em dois triângulos iguais.
9) Recorte um quadrado em quatro triângulos iguais.
10) Divida um retângulo em duas partes com um corte.
11) Recorte um retângulo em quatro triângulos iguais.
12) Divida, se possível, um retângulo em dois quadrados iguais.
OTÁVIO LUCIANO CAMARGO SALES DE MAGALHÃES 209
13)Corte um retângulo pela diagonal.
14)Qual é o tipo de triângulo formado por um corte na diagonal por um: retângulo e um quadrado.
15) Decomponha um retângulo em duas partes iguais e com elas componha um triângulo.
16) Decomponha um quadrado em duas partes e com elas componha um triângulo.
17) Forme dois triângulos retângulos iguais.
18) Forme um quadrado, um triângulo e um quadrilátero que não seja retângulo com dois
triângulos retângulos iguais.
19) Decomponha um quadrado em dois trapézios.
20) Decomponha um quadrado em um trapézio e um triângulo.
21) Decomponha um quadrado em um trapézio e um pentágono.
22) Decomponha um quadrado em dois triângulos retângulos e um isósceles.
23) Com cortes, divida a figura abaixo em dois triângulos retângulos e um pentágono:
24) Com cortes, divida a figura abaixo em cinco partes iguais, e responda qual é o formato destas
partes.
OTÁVIO LUCIANO CAMARGO SALES DE MAGALHÃES 210
25) Com cortes, transforme a figura abaixo em trapézio e paralelogramo:
26) Desenhe um pentágono fora e um pentágono dentro da estrela, aproveitando todos os vértices
dela.
27) TRIÂNGULO ISÓSCELES é aquele que tem dois lados iguais. TRIÂNGULO RETÂNGULO é
aquele que tem um ângulo reto. Existem triângulos que são Retângulos e Isósceles. Pergunta:
Como se chama o corte fazemos no Quadrado para formar dois triângulos retângulos e isósceles?
28) Desenhe um retângulo e divida-o em dois triângulos retângulos e um isósceles.
29) Desenhe um quadrilátero com todos os vértices contidos nos lados de um hexágono.
30) DESAFIO.
Você deve dividir a figura em partes com MESMA ÁREA e MESMO FORMATO, em 2, 3 e 4
partes. O desafio está em dividir em 4 partes DE MESMO FORMATO E ÁREA.
GABARITO
1) Divida um quadrado em duas partes com apenas um corte:
r:
2)Recorte um quadrado em duas partes iguais.
r: os cortes 1, 2 e 8 por exemplo
3) Recorte um quadrado em dois retângulos de tamanhos diferentes.
r: 3 e 7 podem ser respostas. Existem infinitas respostas. Basta
fazer um corte paralelo a um lado, sem que este corte seja no meio
da figura.
4) Recorte um quadrado em dois retângulos iguais.
r: 2 é uma resposta.
5) Recorte um quadrado em três retângulos iguais.
r:
6) Recorte um quadrado em quatro retângulos iguais.
r:
7) Recorte um quadrado em quatro quadrados iguais.
r: A segunda alternativa do exercício anterior
8) Recorte um quadrado em dois triângulos iguais.
r:
9) Recorte um quadrado em quatro triângulos iguais.
r:
Esta figura já é um trapézio!
OTÁVIO LUCIANO CAMARGO SALES DE MAGALHÃES 211
10) Divida um retângulo em duas partes com um corte.
r:
11) Recorte um retângulo em quatro triângulos iguais.
r:
12) Divida, se possível, um retângulo em dois quadrados iguais.
r: Isto só é possível se o retângulo tiver uma das dimensões
igual ao dobro da outra. Por exemplo: 8x2 ou 5x10.
13)Corte um retângulo pela diagonal.
r- Por exemplo, o exercício 10, segunda figura.
14)Qual é o tipo de triângulo formado por um corte na diagonal por um: retângulo e um quadrado.
r: Um retângulo forma dois triângulos retângulos, e um quadrado forma dois triângulos que além de retângulos são isósceles.
15) Decomponha um retângulo em duas partes iguais e com elas componha um triângulo.
r:
existem outras alternativas (triângulo isósceles)
16) Decomponha um quadrado em duas partes e com elas componha um triângulo.
r: note que o triângulo é isósceles.
17) Forme dois triângulos retângulos iguais.
r: basta dividir um retângulo pela diagonal.
18) Forme um quadrado, um triângulo e um quadrilátero que não seja retângulo com dois triângulos retângulos iguais.
r:
19) Decomponha um quadrado em dois trapézios.
r: veja o exercício 78, figuras 4, 8 e 9
20) Decomponha um quadrado em um trapézio e um triângulo.
r: veja o exercício 78, figura 6
21) Decomponha um quadrado em um trapézio e um pentágono.
r: veja o exercício 78, figura 5
22) Decomponha um quadrado em dois triângulos retângulos e um isósceles.
r:
OTÁVIO LUCIANO CAMARGO SALES DE MAGALHÃES 212
UM ‘CHORINHO’ DE EXERCÍCIOS
1)Dê o nome aos polígonos:
a) b) c) d) e)
2)Classifique os polígonos quanto aos lados:
a) b) c) d) e)
3)Qual das duas formas geométricas espaciais abaixo é um poliedro? Justifique.
a) b)
4) Divida a figura abaixo em quatro triângulos iguais:
5)Com apenas três cortes, divida o bloco retangular abaixo em oito partes iguais:
6) Responda:
a) Como se chama o segmento de reta que corta um ângulo ao meio?
b) Como se chama o corte que liga um vértice ao outro em um polígono?
7)Com no mínimo três peças do Tangram, monte as formas pedidas, e desenhe a solução.
a) Monte com as peças um quadrado e desenhe a solução.
b) Monte com as peças um triângulo isósceles e desenhe a solução.
c) Monte com as peças um trapézio e desenhe a solução.
d) Monte com as peças um paralelogramo e desenhe a solução.
8) Qual é o único polígono que não tem diagonais?
9) Quantas diagonais tem o hexágono?
10) Calcule o perímetro de um triângulo eqüilátero cujos lados medem 20 cm.
POLIEDRO é uma forma geométrica espacial com todas as faces
planas e arestas segmentos de reta! (Apenas uma idéia)
OTÁVIO LUCIANO CAMARGO SALES DE MAGALHÃES 213
OTÁVIO LUCIANO CAMARGO SALES DE MAGALHÃES 214
DIMENSÕES
1) Você sabe o que significam em geometria os conceitos de PONTO, RETA e PLANO? Veja as
figuras abaixo, que dão uma pequena ligeira idéia destes objetos e tente compreender.
Ponto Reta Plano
A partir dos desenhos, você pode concluir que o número de dimensões do Plano é (??), da Reta é
(??) e do Ponto é (??). Responda no caderno e tente justificar.
2) Com uma régua determine as dimensões:
a) das folhas de seu caderno
b) de uma folha de jornal
c) de uma cartolina
3) Faça uma ESTIMATIVA das dimensões:
a) da sala de aula
b) de sua casa
c) de seu quarto
d) do pavilhão escolar
Você não precisa medir o resultado,
mas sim estimar, ou seja, achar o
valor que você acha que têm as
dimensões, com base em seu
raciocínio. Use a criatividade e
explique sua reposta.
OTÁVIO LUCIANO CAMARGO SALES DE MAGALHÃES 215
BLOCO RETANGULAR
Considere o Bloco Retangular ABCDEFGH da figura abaixo para todos os exercícios do 18 ao 28
desta seqüência. As medidas não correspondem às medidas reais indicadas:
18) Relacione:
a) todos os vértices do Bloco Retangular
ABCDEFGH.
b) todas as arestas do Bloco Retangular
ABCDEFGH.
c) todas as faces do Bloco Retangular ABCDEFGH.
19) Escreva:
a) todas arestas de 2 cm
b) todas arestas de 3 cm
c) todas arestas de 2,5 cm
20). Diga quais são:
a) as arestas paralelas a AB
b) as arestas paralelas a AE
c) as arestas paralelas a EH
21) Ache a medida das arestas:
a) AB b) CD c) CG d) EH e) FG f) BF
22) Ache todas as arestas:
a) paralelas a AB
b) perpendiculares a AB
c) reversas a AB
23) Dados os pares de arestas, classifique-as, segundo o código seguinte:
Pa – se forem paralelas
Pe – se forem perpendiculares
R – se forem reversas
( ) AB e FG ( ) AB e AD ( ) AB e AE ( ) AB e CD
( ) CD e EH ( ) EH e DH ( ) EH e GH ( ) EH e AD
( ) EH e CG ( ) FG e AD ( ) FG e AE ( ) FG e EH
24) Encontre a face oposta a CDGH.
A uma dada aresta do Bloco Retangular, será
que é verdade que existem em relação a esta,
4 arestas paralelas, 4 perpendiculares e 4
reversas? Pense sobre isto.
A B
D
C
E
F
GH
3 cm
2 cm
2,5 cm
A B
D
C
E
F
GH
A B
D
C
E
F
GH
3 cm
2 cm
2,5 cm
OTÁVIO LUCIANO CAMARGO SALES DE MAGALHÃES 216
A B
D
C
E
F
GH
3 cm
2 cm
2,5 cm
A B
D
C
E
F
GH
A B
D
C
E
F
GH
3 cm
2 cm
2,5 cm
25) Podemos dizer que AB=3cm. Agora esqueça a unidade centímetros e jogar um pouco com a
Matemática, fazendo algumas contas sem significado. Isto é bom para não deixarmos “enferrujar”
nossa Aritmética. Então, calcule o valor da expressão abaixo:
5,3 CGEH
26) Suponha que o Bloco Retangular ABCDEFGH é apenas uma armação feita de arames. Um
besouro está no vértice A deste Bloco e vai caminhar até o vértice H onde se encontra uma folhinha.
Um dos caminhos que o besouro pode fazer é:
AD→DC→CG
Responda:
a) Quantos centímetros o besouro deve caminhar?
b) Escreva todos os caminhos que o besouro pode fazer caminhando apenas três arestas
para chegar na folhinha.
27) Determine a soma das medidas de todas as arestas do Bloco Retangular ABCDEFGH.
28) Quais são as dimensões do Bloco Retangular ABCDEFGH?
29) Que formato tem as faces do Bloco Retangular? E as faces do Cubo?
30) Verdadeiro ou falso?
a) Todo Bloco Retangular é Cubo! b) Todo Cubo é Bloco Retangular!
Após os exercícios feitos até aqui, você compreendendo conceitos de parelelismo e perpendicularidade (ou
perpendicularismo) no Bloco Retangular deve estar muito mais fácil desenhar Blocos Retangulares a mão livre.
Tente, pratique, faça desenhos! Dê preferência aos desenhos completos com as arestas escondidas
pontilhadas, como no Bloco ABCDEFGH desta lista de exercícios!
A maioria dos autores vai representar o nome de linhas (arestas) com um tracinho em cima do símbolo. A
aresta AB deve ser indicada por
____
AB . Já a medida da aresta pode ser indicada simplesmente por AB ou por m(
____
AB ). Não nos preocuparemos com isto, por questões gráficas e de ordem prática.
Existem várias maneiras de resolver a questão 27.. Já
a 28 é muito fácil e você nem precisará de dica!
OTÁVIO LUCIANO CAMARGO SALES DE MAGALHÃES 217
31) Responda
a) Quantos vértices tem um Bloco Retangular?
b) Quantas faces tem um Bloco Retangular?
c) Quantas arestas tem um Bloco Retangular?
d) Quantos vértices, faces e arestas tem um Cubo?
32) Qual face do dado está apoiada na superfície?
a) b)
33) Preencha as faces incompletas dos dados, se for possível:
34) (ATIV. PRÁTICA 11 PLANIFICAÇÕES DO CUBO)
Para esta tarefa você precisará de: Papel Quadriculado, Régua e Tesoura!
Existem 11 planificações do cubo diferentes.
As figuras abaixo são planificações do cubo:
Já não se pode montar um cubo a partir das figuras abaixo:
Tente descobrir toda as 11 planificações do cubo.
Observação:
As figuras abaixo são consideradas como a mesma planificação do cubo. Elas devem ser
contadas apenas como uma única planificação:
DICA: Com papel quadriculado construa peças com 6 quadrados (hexaminós) e vá fazendo
tentativas até achar as 11 planificações.
5
3 1
2
3 1
1
3
5 1
2
6
1
42
OTÁVIO LUCIANO CAMARGO SALES DE MAGALHÃES 218
BLOCO RETANGULAR II
35) (Álvaro Andrini) Qual das peças abaixo deve ser encaixada neste objeto para que ele fique com
a forma de um bloco retangular?
36) (Vunesp) Todas as alternativas dadas representam planificações de um cubo. Os números no
interior dos quadrados indicam a quantidade de pontos correspondentes a cada face de um dado
de forma cúbica. Se a soma dos pontos marcados nas faces opostas é 7, a única alternativa que
representa a planificação deste dado é
37) (Valor: 0,5) (Olimpíada de Matemática da Escola Pública do Ceará – Ensino Fundamental
– Treinamento/2003) A figura abaixo deve ser dobrada de modo a formar um cubo.
A letra A está sobre uma face. A letra sobre a face oposta será:
a) B b) C c) D d) E e) F
38) (Valor: 0,5) Quantas caixas tem a pilha abaixo?
39) (Valor: 0,5) (Canguru Matemático – 2012) Um paralelepípedo foi montado com três peças de
cores diferentes, conforme o desenho:
Cada uma das peças é formada por 4 cubos. A peça branca do paralelepípedo se parece com qual
das peças a seguir?
OTÁVIO LUCIANO CAMARGO SALES DE MAGALHÃES 219
40) (Valor: 0,5) (Canguru Matemático – 2011) O desenho mostra um bloco formado por quatro
dados iguais.
Em cada dado, a soma das faces opostas é 7. Vista por trás, como fica o desenho do bloco?
41) (Valor: 0,5) (Canguru Matemático – 2011) O desenho a seguir representa um castelo construído
com cubinhos iguais.
O desenho abaixo representa o mesmo castelo visto de cima.
Quantos cubinhos foram necessários para construir o castelo?
a) 56 b) 60 c) 64 d) 68 e) 72
42) (Valor: 0,5) (Canguru Matemático – 2009) Tomás construiu uma mesa usando pequenos cubos
iguais, como na figura. Quantos cubos ele usou?
a) 24 b) 26 c) 28 d) 32 e) 36
43) (Valor: 0,5) Quantos cubinhos tem em cada pilha?
OTÁVIO LUCIANO CAMARGO SALES DE MAGALHÃES 220
GABARITO
DIMENSÕES
1) A partir dos desenhos, você pode concluir que o número de
dimensões do Plano é (2: comprimento e largura, não tem altura),
da Reta é (1: comprimento e sem largura e nem altura) e do Ponto é
(0: nem comprimento nem largura e nem altura). Responda no
caderno e tente justificar.
2) Com uma régua determine as dimensões:
a) das folhas de seu caderno 21 cm x 30 cm
b) de uma folha de jornal 35 cm x 50 cm
c) de uma cartolina 50 cm x 1 m
BLOCO RETANGULAR
Considere o Bloco Retangular ABCDEFGH da figura abaixo para
todos os exercícios do 18 ao 28 desta seqüência. As medidas não
correspondem às medidas reais indicadas:
18) Relacione:
a) todos os vértices do Bloco Retangular ABCDEFGH.
A, B, C, D, E, F, G, H – 8 vértices
b) todas as arestas do Bloco Retangular ABCDEFGH.
AB, BC, CD, AD, AE, BF, CG, DH, EF, FG, GH, EH – 12 arestas
c) todas as faces do Bloco Retangular ABCDEFGH.
ABCD, EFGH, BFGC, AEHD, DCGH, ABFE – 6 faces
19) Escreva:
a) todas arestas de 2 cm AD, BC, EH, FG
b) todas arestas de 3 cm AB, GH, EF, CD
c) todas arestas de 2,5 cm AE, BF, DH, CG
20). Diga quais são:
a) as arestas paralelas a AB CD, GH, EF, AB
b) as arestas paralelas a AE AE, BF, DH, CG
c) as arestas paralelas a EH AD, BC, EH, FG
21) Ache a medida das arestas:
a) AB=3cm b) CD=3cm c) CG =2,5 cm
d) EH=2 cm e) FG=2 cm f) BF=2,5 cm
22) Ache todas as arestas:
a) paralelas a AB
AB, CD, GH, EF
b) perpendiculares a AB
AE, BF, AD, BC
c) reversas a AB
FG, DH, EH, CG
23) Dados os pares de arestas, classifique-as, segundo o código
seguinte:
Pa – se forem paralelas
Pe – se forem perpendiculares
R – se forem reversas
(R) AB e FG (Pe) AB e AD (Pe) AB e AE (Pa) AB e CD
(R ) CD e EH (Pe) EH e DH (Pe) EH e GH (Pa) EH e AD
(R) EH e CG (Pa) FG e AD (R) FG e AE (Pa ) FG e EH
OTÁVIO LUCIANO CAMARGO SALES DE MAGALHÃES 221
24) Encontre a face oposta a CDGH. ABFE
25) Podemos dizer que AB=3cm. Agora esqueça a unidade
centímetros e jogar um pouco com a Matemática, fazendo algumas
contas sem significado. Isto é bom para não deixarmos “enferrujar”
nossa Aritmética. Então, calcule o valor da expressão abaixo:
5,3 CGEH √2 + 2,5 + 3, 5=√8
26) Suponha que o Bloco Retangular ABCDEFGH é apenas uma
armação feita de arames. Um besouro está no vértice A deste Bloco
e vai caminhar até o vértice G onde se encontra uma folhinha.
Um dos caminhos que o besouro pode fazer é:
AD→DC→CG
Responda:
a) Quantos centímetros o besouro deve caminhar?
2+3+2,5=7,5
Ele Deverá andar 7,5 cm
b) Escreva todos os caminhos que o besouro pode fazer
caminhando apenas três arestas para chegar na folhinha.
AD→DC→CG
AD→DH→HG
AE→EH→HG
AE→EF→FG
AB→BF→FG
AB→BC→CG
27) Determine a soma das medidas de todas as arestas do Bloco
Retangular ABCDEFGH.
2 cm x 4 + 3 cm x 4 + 2,5 cm x 4
8 cm + 12 cm + 10 cm
30 cm
(Raciocínio da Tífany)
Ou 2+3+2,5=7,5
7,5 cm x 4 = 30 cm
28) Quais são as dimensões do Bloco Retangular ABCDEFGH?
2,5 cm x 3 cm x 2 cm
29) Que formato tem as faces do Bloco Retangular? E as faces do
Cubo?
Bloco Retângular – FORMATO: Retângulo
Cubo – FORMATO: Quadrado
30) Verdadeiro ou falso?
a) Todo Bloco Retangular é Cubo! FALSO
b) Todo Cubo é Bloco Retangular! VERDADEIRO
31) Responda
a) Quantos vértices tem um Bloco Retangular? 8
b) Quantas faces tem um Bloco Retangular? 6
c) Quantas arestas tem um Bloco Retangular? 12
d) Quantos vértices, faces e arestas tem um Cubo? o mesmo que
um bloco retangular, 8, 6 e 12.
32) a) 6 b) 2 Em qualquer dado as faces opostas somam 7
42) (Valor: 0,5) (Canguru Matemático – 2009) Tomás construiu uma
mesa usando pequenos cubos iguais, como na figura. Quantos cubos
ele usou?
a) 24 b) 26 c) 28 d) 32
e) 36
Tampa da mesa tem 4x5=20
As pernas da mesa tem 3x4=12
43) (Valor: 0,5) Quantos cubinhos tem em cada pilha?
Raciocínio da Maria Lígia por degraus (de cima para baixo):
24+18+12+6=60
OTÁVIO LUCIANO CAMARGO SALES DE MAGALHÃES 222
Polígono: ABCDE
Lados: AB, BC, CD, DE, AE
Vértices: A, B, C, D, E
Ângulos: A, B, C, D, E
(existem outras notações para ângulos, pesquise sobre
isto)
Perceba que, o número de lados, vértices e ângulos são
iguais.
A
B
CD
E
A
B
CD
E
Eu sou o Ornitorrinco. Sim, sou um
mamífero estranho, mas isto não
quer dizer que sou irregular!
PRIMAS E PIRÂMIDES
Tabela dos nomes especiais dos polígonos, segundo a tradição:
3 lados Triângulo ou trilátero
4 lados Quadrilátero
5 lados Pentágono
6 lados Hexágono
7 lados Heptágono ou Polígono de 7 lados
8 lados Octógono ou Polígono de 8 lados
9 lados Eneágono ou Polígono de 9 lados
10 lados Decágono ou Polígono de 10 lados
11 lados Undecágono ou Polígono de 11 lados
12 lados Dodecágono ou Polígono de 12 lados
15 lados Pentadecágono ou Polígono de 15 lados
20 lados Icoságono ou Polígono de 20 lados
Elementos dos Polígonos
São elementos dos polígonos lados, vértices e ângulos.
Um polígono tem o mesmo número de lados, ângulos e vértices.
Polígonos Regulares
Um polígono regular é um polígono que:
a) todos os lados têm a mesma medida
b) todos os ângulos têm a mesma medida
Veja alguns exemplos de Polígonos regulares:
Qual é o triângulo regular?
Qual é o quadrilátero regular?
OTÁVIO LUCIANO CAMARGO SALES DE MAGALHÃES 223
MONTE AS FIGURAS DOS MOLDES e Complete a tabela
NOME DA
FORMA
GEOMÉTRICA
NÚMERO DE
VÉRTICES
V
NÚMERO DE
FACES
F
NÚMERO DE
ARESTAS
A
V+F-A
2) Pinte nas planificações as BASES de azul e as FACES LATERAIS de amarelo:
OTÁVIO LUCIANO CAMARGO SALES DE MAGALHÃES 224
3) Dê o nome para as figuras e conte vértices faces e arestas
Forma ou
Planificação
Nome V F A V+F-A
4) Ligue as formas montadas com suas planificações?
5) Qual é o nome das figuras geradas pelas planificações abaixo?
6) Complete a tabela
7
lados
na
base
8
lados
na
base
100
lados
na
base
‘n’
lados
na
base
Nome:
Vértices
Faces
Arestas
V+F-A
OTÁVIO LUCIANO CAMARGO SALES DE MAGALHÃES 225
7) Complete a tabela
7
lados
na
base
8
lados
na
base
100
lados
na
base
‘n’
lados
na
base
Nome:
Vértices
Faces
Arestas
V+F-A
8) Dadas as planificações dê o nome das formas
9) Dê o nome dos polígonos regulares:
a) b)
10) (INEP – Guia de Itens – 8ª série) Observe a representação de um tetraedro regular.
Qual das seguintes planificações é a desse tetraedro regular?
11) (INEP – Guia de Itens – 3ª série do Ensino Médio) A figura ao lado é a
planificação de
(A) uma pirâmide de base hexagonal.
(B) um prisma de base hexagonal.
(C) um paralelepípedo.
(D) um hexaedro.
(E) um prisma de base pentagonal.
OTÁVIO LUCIANO CAMARGO SALES DE MAGALHÃES 226
DESENHO EM PAPEL QUADRICULADO
Um importante instrumento que usamos em nossas aulas de Matemática são as malhas. Existem
diversos tipos de malhas:
a malha quadriculada (ou papel quadriculado) o papel milimetrado
a malha triangular o papel isométrico
Estas malhas servem em várias situações, e, nesta coleção serão utilizadas com freqüência. Todas
podem ser utilizadas para desenhar Blocos Retangulares. Veja exemplos com papel quadriculado
e com malha triangular:
Cubo desenhado no Papel Quadriculado Cubo desenhado em malha triangular
OTÁVIO LUCIANO CAMARGO SALES DE MAGALHÃES 227
1) Copie a figura em malha quadriculada.Treine. Você deverá fazer pelo menos 5 cópias corretas.
2) Copie as figuras, três vezes cada.
3) Copie a figura três vezes.
OTÁVIO LUCIANO CAMARGO SALES DE MAGALHÃES 228
4) Copie a figura no quadriculado na forma normal e ampliada 2x. Faça isso duas vezes.
5) Copie no papel quadriculado. Duas vezes cada.
6) Copie no papel quadriculado, duas vezes cada:
OTÁVIO LUCIANO CAMARGO SALES DE MAGALHÃES 229
7) Copie no papel quadriculado:
8) Copie no papel quadriculado:
OTÁVIO LUCIANO CAMARGO SALES DE MAGALHÃES 230
9) Copie na malha quadriculada:
10) Copie na malha quadriculada:
OTÁVIO LUCIANO CAMARGO SALES DE MAGALHÃES 231
11) Copie na malha quadriculada:
OTÁVIO LUCIANO CAMARGO SALES DE MAGALHÃES 232
12) Veja a figura. Você deverá desenhá-la em várias posições, como se estivesse girando a figura.
a) Gire a figura 90º para a esquerda (na horizontal)
b) Gire a figura 180º na horizontal
c) Gire a figura 90º para a direita (na vertical)
d) Gire a figura 180º na vertical
e) Reflita no espelho
13) Desenhe as figuras no papel quadriculado, segundo as regras que aprendemos:
OTÁVIO LUCIANO CAMARGO SALES DE MAGALHÃES 233
EXERCÍCIOS
1) (Exame Final do Ensino Básico – Portugal – Matemática 92 – 3º Ciclo – 2012 – 1ª Chamada)
Na Figura 1, está representado um recipiente com tinta. Nesse recipiente mergulhou-se um cubo
branco, tal como se ilustra na Figura 2. Desta forma, a parte do cubo que ficou submersa adquiriu
a cor da tinta.
Em qual das opções seguintes pode estar uma planificação desse cubo depois de retirado do
recipiente? Assinala a opção correta.
2) Quantos cubinhos faltam para completar o paralelepípedo?
OTÁVIO LUCIANO CAMARGO SALES DE MAGALHÃES 234
2) A questão seguinte foi tema do Concurso Público de 2002 para Professor de 5ª à 8ª série da
Prefeitura Municipal de Mogi das Cruzes, no estado de São Paulo, elaborada pela VUNESP:
Todas as alternativas dadas representam planificações de um cubo. Os números no interior dos
quadrados indicam a quantidade de pontos correspondentes a cada face de um dado de forma
cúbica. Se a soma dos pontos marcados nas faces opostas é 7, a única alternativa que representa
a planificação deste dado é
3) (Exame de Seleção do CEFET-SP – Ensino Médio – 1o semestre/2003) Sabe-se que para
um dado ser equilibrado é necessário que a soma das faces opostas seja sempre 7. Observe a
figura abaixo e aponte qual das figuras corresponde ao mesmo dado?
a) b) c) d) e)
4) (Concurso do ICMS - 2002) Apresentam-se abaixo diferentes aspectos de um mesmo dado.
São faces opostas neste dado:
a) D e C b) A e C c) B e E d) B e D e) A e D
5) (XIX Olimpíada Brasileira de Matemática – Nível
Júnior – 1a fase – 1997) A figura ao lado mostra três
dados iguais. O número da face que é a base inferior da
coluna de dados:
a) é 1.
b) é 2.
c) é 4.
d) é 6.
e) pode ser 1 ou 4.
6) (XX Olimpíada Brasileira de Matemática – Nível 1 – 1a fase – 1998) Dezesseis cubos de 1cm
de lado são colocados juntos, formando o paralelepípedo representado abaixo.
A superfície do mesmo foi pintada de verde e, em seguida, os cubos foram separados. O número
de cubos com exatamente duas faces verdes é:
a) 2 b) 6 c) 4 d) 8 e) 10
OTÁVIO LUCIANO CAMARGO SALES DE MAGALHÃES 235
7) (XX Olimpíada Brasileira de Matemática – Nível 2 – 1a fase – 1998) Pelo menos quantos
metros de barbante são necessários para amarrar 15 pacotes, conforme a figura, sabendo que
cada pacote mede 10cm  20cm  40cm, sendo reservados 20cm para o laço?
a) 39 b) 36 c) 48 d) 56 e) 42
8) (XXII Olimpíada Brasileira de Matemática – Nível 1 – 1a fase – 2000) A figura abaixo foi
desenhada em cartolina e dobrada de modo a formar um cubo.
Qual das alternativas mostra o cubo assim formado?
A) B) C)
D) E)
9) (XXIII Olimpíada Brasileira de Matemática – Níveis 2 e 3 – 1a fase – 2001) Somente uma das
figuras a seguir representa a planificação de um cubo na qual está destacada a sua interseção com
um plano. Qual?
A) B) C) D) E)
10) (XXIV Olimpíada Brasileira de Matemática – Nível 1 – 1a fase – 2002) Num armazém foram
empilhadas embalagens cúbicas conforme mostra a figura a seguir. Se cada caixa pesa 25 kg,
quanto pesa toda a pilha?
A) 300 kg B) 325 kg C) 350 kg D) 375 kg E) 400 kg
11) (XXV Olimpíada Brasileira de Matemática – Nível 1 – 1a fase – 2003) Onze cubinhos, todos
de mesma aresta, foram colados conforme a figura a seguir.
O menor número de cubinhos, iguais aos já utilizados, que devem ser agregados ao sólido formado
pelos onze cubinhos para obtermos um cubo maciço é igual a:
A) 48 B) 49 C) 52 D) 53 E) 56
OTÁVIO LUCIANO CAMARGO SALES DE MAGALHÃES 236
12) (XXV Olimpíada Brasileira de Matemática – Nível 1 – 2a fase – 2003) Em um dado comum a
soma dos pontos sobre faces opostas é sempre 7. Beatriz construiu uma torre com 4 dados comuns
iguais, colando as faces como mostrado na figura. Qual é o menor número de pontos que Beatriz
pode obter somando todos os pontos das dezoito faces da superfície da torre?
13) (Concurso Público para Professor de 1ª à 4ª série – Prefeitura de Araçatuba - SP/2001)
Qual é o volume deste sólido, formado por cubos de aresta medindo 1 metro?
14) (Exame de Admissão no Colégio Militar do Rio de Janeiro – 5ª série/2000) O aluno
Miguel é curioso no estudo dos sólidos simples. Durante sua caminhada de retorno para casa, ao
termino da aula, ele encontrou um paralelepípedo conforme a figura abaixo e então, resolveu
identificar o número de vértice (V), somando-o ao número de faces (F) e, finalmente, subtraiu o
número de arestas (A). Assim, a expressão V + F – A é igual a:
a) 2 b) 3 c) 4 d) 5 e) 16
15) (Olimpíada de Matemática da Escola Pública do Ceará – Ensino Fundamental –
Treinamento/2003) A figura abaixo deve ser dobrada de modo a formar um cubo.
16) (ENCCEJA – Ensino Médio – 2002) Para fazer um dado cúbico de
cartolina, um garoto usou o molde com faces numeradas de 1 a 6, como mostra
a figura ao lado. É correto afirmar que a soma dos números que estão em faces
opostas
(A) é sempre igual a 7.
(B) nunca é múltiplo de 5.
(C) é sempre menor que 10.
(D) nunca é divisor de 20.
17)(ENCCEJA – Ensino Fundamental – 2002) Uma pessoa dispõe dos moldes
representados abaixo e deseja montar uma caixa cúbica.
Essa pessoa consegue atingir seu objetivo usando somente os moldes
(A) I, II e III. (B) II, III e IV. (C) I, II e IV. (D) I, III e IV.
a) 6 m3
b) 8 m3
c) 9 m3
d) 10 m3
A letra A está sobre uma face. A letra sobre a face oposta será:
a) B b) C c) D d) E e) F
OTÁVIO LUCIANO CAMARGO SALES DE MAGALHÃES 237
18) (UERJ-2000) Dobrando-se a planificação ao lado, reconstruímos o cubo que a originou. A letra
que fica na face oposta à que tem um X é:
a) V b) O c) B d) K
19) (Avaliação de Concluintes do Ensino Médio do Estado de São Paulo – 1997) A figura
abaixo apresenta um cubo onde A, B, C, D, E, F, G e H são seus vértices:
Considere as afirmações:
I. A reta que passa por C e H é paralela à reta que passa por B e E
II. A reta que passa por A e E é perpendicular ao plano que contém F, G e H
III. O plano que contém A, E e B é paralelo ao plano que contém F, G e H.
Então:
a) todas as proposições são verdadeiras
b) as proposições I e II são verdadeiras e a proposição III é falsa.
c) a proposição I é falsa e as proposições II e III são verdadeiras
d) a proposição II é falsa e as proposições I e III são verdadeiras
e) todas as proposições são falsas.
20) (XXVI Olimpíada Brasileira de Matemática – Nível 1 – 1ª fase – 2004) Um cubo pode ser
construído, a partir dos dois pedaços de papelão apresentados em uma das alternativas a seguir,
bastando apenas dobrar nas linhas tracejadas e unir nas linhas contínuas. Esses dois pedaços são:
A) B)
C)
E)
D)
21) (XXVI Olimpíada Brasileira de Matemática – Nível 1 – 1ª fase – 2004) Observe a figura:
Duas das figuras abaixo representam o objeto acima colocado em outras posições.
I) II)
III) IV)
Elas são:
A) I e II B) I e IV C) II e IV D) I e III E) II e III
A B
D
C
E
F
GH
A B
D
C
E
F
GH
OTÁVIO LUCIANO CAMARGO SALES DE MAGALHÃES 238
22) (XXVI Olimpíada Brasileira de Matemática – Nível 3 – 1ª fase – 2004) O dono de uma loja
empilhou vários blocos medindo 0,8m x 0,8m x 0,8m no canto da loja e encostados numa parede
de vidro que dá para a rua, conforme mostra a figura abaixo. Quantos blocos no máximo, uma
pessoa de 1,80m de altura que está do lado de fora da loja pode enxergar?
Obs. Consideramos que uma pessoa pode enxergar uma caixa se consegue ver uma pequena
região de área positiva de sua superfície.
A) 13 B) 14 C) 15 D) 16 E) 17
23) (XXIV Olimpíada Paulista de Matemática – 6ª série – 2ª Fase – 2000) Questão 3 – Sobre
uma mesa tenho quatro paralelepípedos reto-retângulos, todos iguais ao da figura seguinte:
7cm
3cm
5cm
Vamos então construir outros paralelepípedos juntando todos os quatro, como por exemplo:
14cm
6cm
5cm
Nas condições acima apresentadas, quantos paralelepípedos diferentes podemos construir?
Justifique sua resposta com desenhos, especificando as medidas de cada paralelepípedo
construído
24) (XXIV Olimpíada Paulista de Matemática – 6ª série – Fase Final – 2000) Um cubo de
dimensões 5 cm x 5 cm x 5 cm é formado por “cubinhos” de 1 cm x 1 cm x 1 cm. São feitos três
cavidades de dimensões 1 cm x 1 cm x 5 cm, 2 cm x 1 cm x 5 cm e 3 cm x 1 cm x 5 cm, retirando-
se os “cubinhos”, como mostra a figura a seguir. Determine quantos “cubinhos sobraram na figura
após a formação das três cavidades.
25) (XXVI Olimpíada Paulista de Matemática – Nível α – Fase Final – 2002) As 10 peças A, B,
C, ..., J, mostradas a seguir, foram obtidas a partir de cubos de madeira de lado 10 cm. Algumas
forma montadas colando-se três ou quatro cubos de madeira.
a) Mostre como é possível montar um cubo de lado
20 cm utilizando algumas dessas peças. Você pode
escolher aquelas que quiser!
b) Mostre como é possível montar um cubo de lado
30 cm utilizando todas essas peças.
OTÁVIO LUCIANO CAMARGO SALES DE MAGALHÃES 239
26) (Olimpíada Paulista de Matemática – 6ª série – Fase Final/1986) Em todos os dados a soma
dos números nas duas faces opostas é igual a 7.
a) Ao jogar cinco dados, a soma dos números das cinco faces voltadas para cima deu 17. Qual foi
a soma dos números das faces opostas? Explique como você obteve sua resposta.
b) Ao jogar três dados, o produto dos números das três faces voltadas para cima deu 36. Qual foi
o produto dos números das faces opostas? Explique como você obteve sua resposta.
27) (Olimpíada Paulista de Matemática – 6ª série – 2ª Fase/1995) Na figura 1, temos a
planificação de um cubo.
Dobrando-se a planificação de maneira adequada, obtém-se um cubo.
Imagine o cubo sobre uma mesa. A face de cima e a face em contato com a mesa são faces opostas
estão marcadas com a mesma letra. O seu problema é este: na planificação de cubos mostradas
abaixo, marcar as faces opostas.
28) (Olimpíada Paulista de Matemática – 6ª série – 2ª Fase/1996)
Considere um cubo como o da figura à esquerda. O cubo será cortado por uma
serra elétrica plana. Por exemplo, a serra pode cortá-lo passando pelo meio das
arestas AD, BC e FG. O corte obtido será um quadrado como o da figura à direita.
a) Se a serra passar pelos vértices D, B, F e H o corte será um polígono de quantos
lados? Esses lados terão o mesmo tamanho? Por que?
b) Se a serra passar pelos vértices D, B e G o corte será um polígono de quantos
lados? Esses lados terão o mesmo tamanho? Por que?
c) Se a serra passar pelos pontos médios das arestas AB, BF, FG, GH, HD e DA, o corte será um
polígono de quantos lados?
29) (Olimpíada Paulista de Matemática – 7ª série – Fase Final/1984) Em um dado, a soma dos
pontos de duas faces opostas é sempre igual a 7. Duas pessoas estão sentadas frente e, entre
elas está um destes dados. Cada uma vê três faces do dado. Uma pessoa vê 9 pontos, a outra 15.
Quantos pontos tem a face na qual está apoiado o dado?
A B
D
C
E
F
GH
A B
D
C
E
F
GH
OTÁVIO LUCIANO CAMARGO SALES DE MAGALHÃES 240
30) Este desafio foi publicado na Revista Superinteressante especial “Super Legal” da Editora
Abril em 2003.
31) O Exercício abaixo foi retirado da revista Tio Patinhas, da Editora Abril. Relacione as peças
aos cubos correspondentes:
32) Resolva agora um problema que caiu nas Olimpíadas Paulistas de Matemática - OPM em
1980, na prova da 5a Série (2a fase):
a) Empilhei caixas cúbicas n centro de uma sala e esqueci de contá-las. Quantas estão
empilhadas (veja a figura)?
b) Para completar um paralelepípedo com a base que temos, de quantas caixas irei precisar?
OTÁVIO LUCIANO CAMARGO SALES DE MAGALHÃES 241
VISTAS
1) Desenhe as vistas lateral, frontal e superior das figuras:
2) Desenhe as vistas lateral, frontal e superior dessa figura:
3) (Adaptado do GAVE) Veja a figura, desenhe as vistas e conte quantos cubinhos possui:
4) (Ione Fernandes) Associe cada pilha com sua vista superior:
OTÁVIO LUCIANO CAMARGO SALES DE MAGALHÃES 242
5) (AjudaAlunos) Responda a questão e desenhe as vistas corretas.
6) (Excer – Portugal)
7) A figura abaixo, do Blog Fabricadedibujos, mostra as várias vistas de um cubo sob várias
perspectivas. Seu desafio é copiar essas vistas:
OTÁVIO LUCIANO CAMARGO SALES DE MAGALHÃES 243
8) Desenhe uma pilha de cubos com as seguintes projeções ortogonais (vistas):
9) Dadas as vistas, desenhe uma pilha de cubos:
10) Desenhe as vistas dos sólidos:
OTÁVIO LUCIANO CAMARGO SALES DE MAGALHÃES 244
11) Associe as vistas aos sólidos:
12) Monte o quebra cabeças conforme o modelo (faça isso fisicamente):
13) Veja as vistas de um carrinho e de um caminha. Faça o mesmo com objeto a sua escolha:
OTÁVIO LUCIANO CAMARGO SALES DE MAGALHÃES 245
14) (Fernando Jackson) Associe os cubos às suas vistas:
15) Desenhe as vistas do apontador:
OTÁVIO LUCIANO CAMARGO SALES DE MAGALHÃES 246
16) Desenhe o carinho em forma tridimensional:
17) Pinte a face de cada dimensão de uma cor (serão 3 cores):
18) Desenhe a figura com as seguintes vistas:
OTÁVIO LUCIANO CAMARGO SALES DE MAGALHÃES 247
19) Complete a tabela:
20)Desenhe as vistas:
OTÁVIO LUCIANO CAMARGO SALES DE MAGALHÃES 248
Sugestão de Leitura:
Obra e Arte com Cubos:
Kubor – Manfred Pernice
http://entretenimento.uol.com.br/album/obras_29bienal_album.htm?abrefoto=1
OTÁVIO LUCIANO CAMARGO SALES DE MAGALHÃES 249
EXERCÍCIOS
1) (Ajudaalunos)
Observe o seguinte desenho. Se o desenho
que está no ecrãn do computador for iniciado
no ponto A, quais foram as ordens dadas pelo
computador?
a) Avance 2, esquerda 90º, avance 3, direita 90º, avance 2 ,direita 90º,avance 3.
b) Repita 3 vezes [avance 2, esquerda 90º, avance 3, direita 90º, avance 2, direita 90º, avance3].
c) Repita 2 vezes [avance 2, esquerda 90º, avance 2, esquerda 90º, avance 2, esquerda 90º].
d) Repita 2 vezes [avance 2, esquerda 90º, avance 3, direita 90º, avance 2, direita 90º, avance3].
2) Classifique em PRISMAS ou PIRÂMIDES:
3) Concurso para Professores de Matemática de 5ª à 8ª séries e Ensino Médio PEB II –
Governo de São Paulo – 1998) Considere as três afirmações seguintes.
I. Se uma pirâmide tem 30 arestas, então ela tem 16 vértices.
II. Não existe prisma com 93 arestas.
III. Um poliedro convexo com 12 arestas e 7 vértices tem 7 faces.
Então, pode-se afirmar que
a) I, II e III são verdadeiras b) apenas I e III são verdadeiras
c) apenas I e II são verdadeira d) apenas II e III são verdadeiras
e) nenhuma delas é verdadeira
4) (Concurso para Professores de Matemática de 5ª à 8ª séries – Governo de Minas Gerais –
2001) O número de arestas que um prisma reto de base hexagonal possui é:
a) 18 b) 12 c) 8 d) 4
5) (Concurso para Professor de Matemática de 5ª à 8ª séries – Prefeitura de Orlândia – 2003)
Analise as seguintes afirmativas sobre prismas e pirâmides:
I. Uma pirâmide com 16 arestas tem 9 vértices;
II. Existe prisma com 27 arestas;
III.Existe pirâmide com 27 arestas;
IV. Um prisma com 12 faces tem 20 vértices.
Pode-se afirmar que estão corretas, apenas, as afirmações:
a) I, II e III b) I, II e IV c) II, II e IV d) I e IV e) III e IV
6) (Concurso para Professor de Matemática de 5ª à 8ª séries – Prefeitura de Mogi das Cruzes
– 2003) Um prisma tem 24 arestas. Pode-se afirmar que o número de faces desse prisma é:
a) 8 b) 10 c) 12 d) 14 e) 16
OTÁVIO LUCIANO CAMARGO SALES DE MAGALHÃES 250
7)(Concurso para Professor de Matemática do Ensino Médio – Governo de Minas Gerais –
2001) Um prisma com 9 faces será do tipo: a) pentagonal b) hexagonal c) heptagonal d)
eneagonal
8) (Concurso Público para Professor de 1ª à 4ª série – Prefeitura de Araçatuba - SP/2001)
Observe os sólidos geométricos:
Qual deles tem: 8 arestas, 5 vértices e 5 faces?
a) o prisma b) a pirâmidec) o cilindro d) o cone
9)(ENCCEJA – Ensino Médio – 2002) Paulo está construindo caixas em forma de pirâmide para
montar o cenário de uma peça de teatro e tem a sua disposição peças de madeira recortadas como
nas figuras.
Como base para a pirâmide, Paulo pode usar as peças
(A) III e IV. (B) II e V. (C) I e III. (D) II e IV.
10)(Exame de Seleção do Colégio Pedro II – 1a série do Ensino Médio 2003) Um polígono
possui vértice duplo ou nó quando deste vértice partem mais de dois lados. Um polígono que
apresenta um ou mais nós chama-se composto. Euler, um importante matemático, descobriu que,
para um polígono de v vértices, i regiões internas e λ lados, vale a seguinte relação:
Nas figuras abaixo as regiões internas estão hachuradas.
a) Complete a tabela abaixo:
FIGURA v i 
1 3 1 3
2 5 2 6
3 7 3
4 12
5 2 8
b) Quantos vértices possui um polígono com 14 lados e 4 regiões internas?
c) Determine o número de lados de um polígono com 18 vértices, cujo número de lados é o triplo
do número de regiões internas, mais 3.
OTÁVIO LUCIANO CAMARGO SALES DE MAGALHÃES 251
11)(Exame de Seleção do Colégio Pedro II – 1a série do Ensino Médio 2003) A figura abaixo
representa uma pirâmide de base quadrada
A pirâmide de base quadrada tem cinco faces, como você pode observar na planificação abaixo.
Luiz deseja pintar as faces da pirâmide e não vai usar mais de uma cor na mesma face. Ele decidiu
também que, em sua pirâmide montada, duas faces com uma aresta em comum, não podem ter a
mesma cor.
a) Quantas cores, no mínimo, Luiz precisa usar para pintar a pirâmide desta forma?
b) Luiz tem 5 tintas de cores diferentes: amarelo, azul, vermelho, verde e roxo. Ele pintou três faces
de sua pirâmide com as cores representadas na planificação abaixo:
De quantas maneiras diferentes ele pode acabar de pintar essa pirâmide?
14)(UNESP – SP) Se dobrarmos convenientemente as linhas tracejadas da figura ao lado,
obteremos uma figura espacial cujo nome é:
a) pirâmide de base pentagonal
b) paralelepípedo
c) octaedro
d) tetraedro
e) prisma
15) Nas planificações abaixo,
I - dê o nome das figuras; II – pinte de AZUL as bases e VERMELHO as faces laterais.
16) Desenhe o molde de:
a) Um prisma quadrangular b) Uma pirâmide triangular
17) Dê o nome das formas geométricas:
OTÁVIO LUCIANO CAMARGO SALES DE MAGALHÃES 252
18) Quantos vértices, faces e arestas tem:
a) Prisma octogonal b) Pirâmide eneagonal
V=_____ F=______ A=_____ V=_____ F=______ A=_____
c) Prisma decagonal d) Pirâmide icosagonal
V=_____ F=______ A=_____ V=_____ F=______ A=_____
e) Prisma com 80 lados na base f) Pirâmide com 200 lados na base
V=_____ F=______ A=_____ V=_____ F=______ A=_____
19) Responda as questões:
a) Que prisma tem 18 arestas? b)Que prisma tem 24 vértices?
_______________________________ _______________________________
c) Que prisma tem 10 faces? d) Que pirâmide tem 10 vértices?
_______________________________ _______________________________
e) Que pirâmide tem 18 arestas? f) Que pirâmide tem 12 faces?
_______________________________ _______________________________
20) Desenhe as planificações de:
a) Um prisma eneagonal b) Uma pirâmide pentagonal
21) Nas planificações abaixo,
I - dê o nome das figuras;
II – pinte de AZUL as bases e VERMELHO as faces laterais.
22) Quantos são os vértices, faces e arestas do:
a) Prisma com base com 80 lados b) Pirâmide com base com 150 lados
V=____ F=______ A=_______ V=____ F=______ A=_______
23) Desenhe o molde de:
a) Um prisma pentagonal b) Uma pirâmide hexagonal
OTÁVIO LUCIANO CAMARGO SALES DE MAGALHÃES 253
24) Determine:
a) Os vértices:
b) As arestas
c) As faces
25) Usando uma régua graduada faça um molde de blocos retangulares de dimensões:
a) 2 cm x 1,5 cm x 0,5 cm b) 3 cm x 0,5 cm x 0,5 cm
Monte os blocos e apresente.
26) Responda:
a) Qual é o prisma que tem 21 arestas?
b) Qual é a pirâmide com 10 faces?
28)Veja a figura abaixo e responda
a) Quantos são os vértices?
b) Quantas são as faces?
c) Quantas são as arestas?
d) Calcule V+F-A
29) Construa em papel sulfite o molde para construir a seguinte figura
OTÁVIO LUCIANO CAMARGO SALES DE MAGALHÃES 254
POLIEDROS DE PLATÃO
1)Dê o nome dos sólidos abaixo:
p
2)Duas histórias interessantes relacionadas com este tema. Uma diz respeito ao Filósofo Grego
Platão, outra ao Astrônomo e Físico Johannes Kepler.
Platão associou os 4 elementos com os sólidos. Para ele a terra era o cubo, o ar era o octaedro
regular, a água o icosaedro regular, o fogo o tetraedro regular. O formato do éter, a “alma do
universo”, o “5º elemento” era um dodecaedro regular.
Esta idéia está escrita em seu livro Timeu publicado em cerca de 360aC.
Fonte: http://www.pythagoras.nu/mmmcms/public/artikel_printversie.php?deze_art_online_id=124
Associe os nomes às gravuras acima.
3) Escreva o nome dos sólidos cuja planificação está abaixo:
4)O que é um Poliedro Regular?
5)Preencha a tabela:
Poliedro Regular V F A Número de arestas que
Sai de um vértice
Número de lados da
Face
T
H
O
D
I
OTÁVIO LUCIANO CAMARGO SALES DE MAGALHÃES 255
A palavra poliedro vem do grego poli=muitas, edros=faces.
Podemos fazer várias classificações de poliedros:
a) Quanto à convexidade: em convexo e não convexo
b) Quanto à característica: em euleriano e não euleriano
c) Quanto à planificação: em planificável e não planificável
Afirmamos para você, que, segundo as nossas definições (que não são universais):
1) Todo poliedro convexo é euleriano.
2) Todo poliedro planificável é euleriano.
Gostaríamos de observar a nomenclatura dos poliedros:
4 faces tetraedro 5 faces pentaedro
6 faces hexaedro 7 faces heptaedro
8 faces octaedro 9 faces eneaedro
10 faces decaedro 11 faces undecaedro
12 faces dodecaedro 15 faces pentadecaedro
20 faces icosaedro
Sugerimos que você faça o download do software Poly e brinque um pouquinho. Lá você
encontrará muitos sólidos e poderá explorá-los. O site é www.peda.com/poly/. É um software livro,
por isto você pode usá-lo em classe, sem maiores problemas. Além disso, cabe em um disquete.
EXERCÍCIOS.
1) Quanto ao número de faces, o cubo é um:
( ) Tetraedro ( ) Hexaedro ( ) Octaedro
2) Quanto ao número de faces uma pirâmide quadrangular é um:
( ) Tetraedro ( ) Pentaedro ( ) Octaedro
3) Qual prisma é um hexaedro?
( ) Prisma triangular ( ) Prisma quadrangular( ) Prisma hexagonal
4) Veja o poliedro “escada”, primeiro exemplo da folha anterior. Qual é o total de vértices, faces
e arestas?
V= _____ F= _____ A= ____
5) Calcule vértices, faces e arestas da figura:
OTÁVIO LUCIANO CAMARGO SALES DE MAGALHÃES 256
6) Calcule o número de vértices, faces e arestas:
CALCULANDO VÉRTICES, FACES E ARESTAS DE UM POLIEDRO
Você pode ler o livro “Poliedros de Platão e os Dedos da Mão”, e compreender em detalhes
as técnicas que usamos.
IMPORTANTE: Esta técnica só funciona em poliedros em que todos os vértices tem o
mesmo grau, ou seja, deles parte o mesmo número de arestas, e também que cada aresta pertença
a exatamente 2 faces de um poliedro. (Ou seja, funciona com sólidos de Platão ou de Arquimedes).
Cálculo do Número de Faces – A estratégia que descreveremos depende que você conte o
número de faces, inclusive, registrando quando faces de cada tipo o poliedro possui.
Cálculo do Número de Arestas – Cada aresta pertence a 2 faces exatamente (divisória). Então,
pegamos o número de faces de cada quantidade de lados e multiplicamos pelo número de lados,
somamos e o resultado dividimos por dois (veja o exemplo).
Cálculo do Número de Vértices – Fazemos o mesmo cálculo acima, mas, dividimos pelo grau do
vértice.
Exemplos:
Cubo (aqui é só contar, não é preciso da técnica,
mas faremos como exemplo)
Faces: 6 faces quadrangulares (quadradas)
Arestas: 6 faces x 4 lados = 24; 242=12 arestas
Vértices: 6 faces x 4 lados = 24; grau dos vértices: 3
(partem 3 arestas de cada vértice); 243=8 vértices
Dodecaedro
Faces: 12 faces pentagonais
Arestas: 12 faces x 5 lados = 60; 602=30 arestas
Vértices: 12 faces x 5 lados = 60; grau dos vértices:
3 (g=3); 603=20 vértices.
Poliedro Bola, Buckyball ou Icosaedro Truncado
Faces: 12 faces pentagonais, 20 faces hexagonais;
total de faces: 12+20=32 faces
Arestas: 12x5+20x6=60+120=180; 1802=90
arestas
Vértices: grau dos vértices: 3; 1803=60 vértices
Tetraedro Truncado
Faces: 4 faces hexagonais, 4 faces triangulares;
total de faces: 4+4=8 faces
Arestas: 4x6+4x3=24+12=36; 362=18 arestas
Vértices: grau do vértice: 3; 183=6 arestas
OTÁVIO LUCIANO CAMARGO SALES DE MAGALHÃES 257
Ache, segundo as estratégias acima, o número de vértices, faces e arestas, dadas a figura e sua
planificação
Poliedro Regular é aquele que:
(i) Tem todas faces com o mesmo número de lados.
(ii) Os lados são polígonos regulares.
(iii) De todos os vértices sai o mesmo número de arestas. (Todos vértices tem o mesmo
grau.)
O Poliedro de Platão não tem obrigatoriamente que seguir o item (ii).
Iniciais: THODI – regra mnemônica para decorar quais são os sólidos de platão.
Somente estes 5 poliedros regulares existem. Não é possível existir um 5º poliedro Regular.
Podemos provar, facilmente, que não é possível existir um 6º poliedro Regular. O livro “Os Poliedros
de Platão e os Dedos da Mão” chegam a estes resultado fundamental, da não existência do 5º
poliedro regular.
Vejam os conceitos e simbologias:
Considere então:
Prisma Piramidal
Triangular – PP3
Prisma Piradimal
Quadrangular –
PP4
Prisma Piramidal
N-agonal – PPn
* Prisma Piramidal Triangular (ou
Pirâmide Triangular Alongada ou
Sólido de Johnson 7 – J7)
* Prisma Piramidal Quadrangular (ou
Pirâmide Quadrangular Alongada ou
Sólido de Johnson 8 – J8)
* Prisma Piramidal Pentagonal (ou
Pirâmide Pentagonal Alongada ou
Sólido de Johnson 9 – J9)
a) Preencha a tabela:
PP3 PP4 PP5 PP6 PP7 PP8 PP9 PP10 PP89 PP144 PP387 PPn
V
F
A
b) As seqüências de vértices, de faces e arestas estão em Progressão Aritmética, assim como
estão as seqüências de Prismas e Pirâmides.
c) Mostre que para os Prismas Piramidais, V+F-A=2.
OTÁVIO LUCIANO CAMARGO SALES DE MAGALHÃES 258
Identificar quais sólidos correspondem ao 1 e 2:
EXERCÍCIOS
1) (Concurso para Professor de Matemática de 5ª à 8ª séries e Ensino Médio – SESI-SP/04)
O livro Timeu, escrito no século IV a.C contém as idéias de Platão sobre 5 poliedros regulares: o
tetraedro, o cubo, o octaedro, o dodecaedro e o icosaedro, chamados “poliedros de Platão”.
Imagine que você seja joalheiro e que possua uma pedra preciosa na forma de um cubo, e deseja
esculpi-la. A pedra esculpida terá a forma de um poliedro de Platão cujos vértices, originalmente,
eram os pontos centrais das faces do cubo. Quantas faces terá a pedra esculpida?
a) 4 b) 6 c) 8 d) 12 e) 20
2) (Concurso para Professor de Matemática de 5ª à 8ª séries e Ensino Médio PEBII do
Estado de São Paulo – 2003) Qual dos diagramas abaixo representa os argumentos a seguir?
Alguns tetraedros são regulares.
Todos os tetraedros são pirâmides.
Logo, algumas pirâmides são regulares
3) (UERJ-1999) Um icosaedro regular tem 20 faces e 12 vértices, a partir dos quais retiram-se 12
pirâmides congruentes. As medidas das arestas dessas pirâmides são iguais a 1/3 da aresta do
icosaedro. O que resta é um tipo de poliedro usado na fabricação de bolas. Observe as figuras.
Para confeccionar uma bola de futebol, um artesão usa esse novo poliedro, no qual cada gomo é
uma face. Ao costurar dois gomos para unir duas faces do poliedro, ele gasta 7 cm de linha. Depois
de pronta a bola, o artesão gastou, no mínimo, um comprimento de linha igual a:
a) 7,0 m b) 6,3 m c) 4,9 m d) 2,1 m
OTÁVIO LUCIANO CAMARGO SALES DE MAGALHÃES 259
4) Uma bola de futebol é composta por 20 “gomos” hexagonais e 12 “gomos” pentagonais. Uma
costureira gasta 15 cm de linha para emendar os gomos e formar uma bola. Quantos metros de
linha usa essa costureira?
5) Desenhe:
a) Pentágono não convexo b) Eneágono não convexo c) Heptágono não convexo
6) Dê o nome às formas:
a) b)
7) Dada a forma geométrica e a planificação, encontre vértices, faces e arestas:
8) Qual é o formato das faces laterais do:
a) Prisma_____________________________ b) Pirâmide _________________________
9) Classifique as figuras quanto ao número de faces
4 faces – TETRAEDRO 5 faces – PENTAEDRO 6 faces – HEXAEDRO
7 faces – HEPTAEDRO 8 faces – OCTAEDRO 9 faces – ENEAEDRO
10 faces – DECAEDRO 11 faces – UNDECAEDRO 12 faces – DODECAEDRO
15 faces – PENTADECAEDRO 20 faces – ICOSAEDRO
Como se classificaria quanto ao número de faces:
a) a pirâmide hexagonal b) o prisma pentagonal
_____________________________ _____________________________
c) a pirâmide eneagonal d) o prisma heptagonal
_____________________________ _____________________________
OTÁVIO LUCIANO CAMARGO SALES DE MAGALHÃES 260
11) Associe cada figura às suas planificações:
12) Classifique os poliedros quanto às faces
13) Um ponto que aparece em uma face de cada planificação estará também em outras faces
depois de montada a figura. Quais são essas outras faces? Responda sem montar a figura.
14) Cada planificação a seguir tem uma face pintada que será vizinha de outras faces depois de
montada a figura. Sem montá-la, assinale essas outras faces.
OTÁVIO LUCIANO CAMARGO SALES DE MAGALHÃES 261
O PROBLEMA DAS SETE PONTES DE KÖNIGSBERG
Se você ainda não conhece, vai conhecer agora um dos mais importantes e divulgados problemas
de toda a Matemática, o problema das Sete Pontes de Königsberg, resolvido por Euler.
Königsberg foi durante muito tempo uma cidade da Prússia (o nome vem
do alemão König = rainha, Berg = montanha). Nesta cidade viveram muitos
intelectuais da história da humanidade, inclusive o grande filósofo Immanuel
Kant (que passou toda sua vida sem nunca sair desta cidade) e o matemático
Regiomontanus (cujo apelido era este por ser uma versão latinizada do nome
de sua cidade).
Hoje a cidade se chama Kaliningrado, e pertence à Rússia, apesar de
ficar encravado entre a Polônia e as antigas repúblicas da União Soviética. É
a saída russa para o Oceano Altântico.
O problema consistia em percorrer todas as pontes sem passar mais de
uma vez por qualquer ponte. Ninguém conseguia resolver o problema, e
sempre era necessário passar mais de uma vez por qualquer ponte.
Retirando-se uma ponte, o problema tornava-se solúvel. Acrescentando-se uma ponte,
também.
Euler resolveu o problema usando grafos (veja o texto abaixo).
Só para compreender o problema da impossibilidade. Imagine a figura ao lado. A parte de
cima é o mapa geográfico das sete pontes, separado em 4 partes, A e B (margens) e B e D, ilhas,
do Rio Prege, que banha a cidade.
Representando as 4 partes por pontos (chamados vértices), e as pontes por linhas
(chamadas arestas), separamos o plano em 5 regiões (4 “internas” e 1 “externa”). Esta figura
é um Grafo (note que V+R-A=2, sendo R as regiões).
Resolver o problema das sete pontes equivale a desenhar o grafo sem tirar o lápis do Papel.
Isto não é possível, visto que, de todos os vértices sai um número ímpar de arestas (os vértices
possuem grau ímpar), e, para fazer o desenho sem tirar o lápis do papel, deveríamos ter, no máximo
2 vértices de grau ímpar (o começo e o fim do desenho). Para compreender melhor esta idéia –
que é fundamental – leia o livro “Par ou Ímpar”, de Luís Márcio Imenes, da Editora Ática, Coleção
“Vivendo a Matemática”.
CONHEÇA TAMBÉM: o problema da água, luz e telefone.
OTÁVIO LUCIANO CAMARGO SALES DE MAGALHÃES 262
SÓLIDOS DE REVOLUÇÃO
1)Desenhe a forma geradora dos sólidos abaixo se eles forem de revolução (despreze detalhes
mínimos). Caso contrário, assinale-os com um x:
2) (ENEM – 1998) Assim como na relação entre o perfil de um corte de um torno e a peça torneada,
sólidos de revolução resultam da rotação de figuras planas em torno de um eixo, girando-se as
figuras abaixo em torno da haste indicada obtém-se os sólidos de revolução que estão na coluna
da direita.
A correspondência correta entre as figuras planas e os sólidos de revolução obtidos é:
a) 1A, 2B, 3C, 4D, 5E. b) 1B, 2C, 3D, 4E, 5A c) 1B, 2D, 3E, 4A, 5D
d) 1D, 2E, 3A, 4B, 5C e) 1D, 2E, 3B, 4C, 5A
OTÁVIO LUCIANO CAMARGO SALES DE MAGALHÃES 263
3) (ENEM 2001) Existem diferentes formas de representação plana da superfície da Terra
(planisfério). Os planisférios de Mercator e de Peters são atualmente os mais utilizados.
Mercator Peters
Apesar de usarem projeções, respectivamente, conforme e equivalente, ambas utilizam como base
da projeção o modelo:
a) b) c) d) e)
4) (ENEM 2002) O mercado financeiro mundial funciona 24 horas por dia. As bolsas de valores
estão articuladas, mesmo abrindo e fechando em diferentes horários, como ocorre com as bolsas
de Nova Iorque, Londres, Pequim e São Paulo. Todas as pessoas que, por exemplo, estão
envolvidas com exportações e importações de mercadorias precisam conhecer os fusos horários
para fazer o melhor uso dessas informações.
Considerando que as bolsas de valores começam a funcionar às 09:00 horas da manhã e que um
investidor mora em Porto Alegre, pode-se afirmar que os horários em que ele deve consultar as
bolsas e a seqüência em que as informações são obtidas estão corretos na alternativa:
(A) Pequim (20:00 horas), Nova Iorque (07:00 horas) e Londres (12:00 horas).
(B) Nova Iorque (07:00 horas), Londres (12:00 horas) e Pequim (20:00 horas).
(C) Pequim (20:00 horas), Londres (12:00 horas) e Nova Iorque (07:00 horas).
(D) Nova Iorque (07:00 horas), Londres (12:00 horas), Pequim (20:00 horas).
(E) Nova Iorque (07:00 horas), Pequim (20:00 horas ), Londres (12:00 horas).
OTÁVIO LUCIANO CAMARGO SALES DE MAGALHÃES 264
QUESTÕES DO 6º ANO – GEOMETRIA – ESCOLA NOVA – MONTE SANTO - 2014
Questão 1
Defina:
a) Triângulo__________________________________________________
b) Quadrilátero__________________________________________________
c) Losango__________________________________________________
d) Retângulo_______________________________________________
e) Paralelogramo______________________________________________
f) Trapézio________________________________________________
g) Quadrado_________________________________________________
Agora desenhe um exemplo de cada uma das figuras definidas.
Questão 2
Como eu classifico os triângulos:
a) Quanto aos lados?
b) Quanto aos ângulos?
(Dê os nomes e explique os tipos)
Questão 3
Se eu dobrar uma folha quadrada pela diagonal, eu terei um triângulo _______________ e
________________. (Classifique-o quanto aos lados e aos ângulos).
Questão 4
a) Qual quadrilátero é ao mesmo tempo losango e retângulo?___________________
b) Todo quadrado é retângulo?__________
c) Todo retângulo é quadrado?__________
d) Todo losango é quadrado?__________
e) Todo quadrado é losango?___________
Questão 5
Represente em diagramas de Venn os quadrados, losangos e retângulos.
Questão 7
Estime as dimensões:
a) Da lousa
b) De seu quarto
c) Do cadarço de seu sapato
d) Da quadra da escola
e) Do prédio mais alto da cidade
OTÁVIO LUCIANO CAMARGO SALES DE MAGALHÃES 265
Questão 9
Veja diversas situações e conte quantos cubos possui cada pilha. Explique o raciocínio.
SITUAÇÃO I SITUAÇÃO II SITUAÇÃO III (duas vistas da
MESMA pilha)
SITUAÇÃO IV SITUAÇÃO V SITUAÇÃO VI
Questão 10
Qual dos desenhos abaixo NÃO é uma planificação do cubo?
Questão 11
Quais dos dados abaixo estão corretos? Lembre que a soma das faces opostas sempre é 7:
Questão 12
(Adaptado OBMEP) Em um dado, a soma das faces opostas sempre é 7. Dois dados iguais foram
colados como na figura. Qual é a soma dos números que estão nas faces coladas?
OTÁVIO LUCIANO CAMARGO SALES DE MAGALHÃES 266
GABARITO
Questão 1
Defina:
DEFINIR TEM UM SIGNIFICADO PRÓPRIO!!!!
h) Triângulo é o polígono de 3 lados.
i) Quadrilátero é o polígono de 4 lados.
j) Losango é o quadrilátero que tem 4 lados iguais.
k) Retângulo é o quadrilátero que tem 4 ângulos retos.
l) Paralelogramo é o quadrilátero que tem 2 pares de lados
paralelos
m) Trapézio é o quadrilátero que tem 1 par de lados paralelos
n) Quadrado é o quadrilátero que tem 4 lados iguais e 4
ângulos retos.
Agora desenhe um exemplo de cada uma das figuras definidas.
Questão 2
Como eu classifico os triângulos:
c) Quanto aos lados?
Equilátero: se ele tiver os 3 lados iguais
Isósceles: se ele tiver 2 lados iguais
Escaleno: se não tiver nenhum lado igual
d) Quanto aos ângulos?
Retângulo: se ele tiver 1 ângulo reto + 2 ângulos agudos
Obtusângulo: se ele tiver 1 ângulo obtuso + 2 ângulos
agudos
Acutângulo: se ele tiver os 3 ângulos agudo
(Dê os nomes e explique os tipos)
Questão 3
Se eu dobrar uma folha quadrada pela diagonal, eu terei um
triângulo retângulo_ e isósceles. (Classifique-o quanto aos lados e
aos ângulos).
ESSE É UM TRIÂNGULO RETÂNGULO ISÓSCELES
Questão 4
f) Qual quadrilátero é ao mesmo tempo losango e
retângulo?Quadrado
g) Todo quadrado é retângulo? SIM
h) Todo retângulo é quadrado? NÃO
i) Todo losango é quadrado?NÃO
j) Todo quadrado é losango? SIM
OTÁVIO LUCIANO CAMARGO SALES DE MAGALHÃES 267
CONSTRUÇÕES EM PAPEL ISOMÉTRICO
1) Veja as figuras:
a) Quantos cubos tem a pilha?
b) Desenhe a pilha de cubos no papel isométrico (pontilhado)
2) Colorir os cubinhos de acordo com suas dimensões.
3) Copie o desenho:
OTÁVIO LUCIANO CAMARGO SALES DE MAGALHÃES 268
4) Copie os desenhos:
5) Copie os desenhos:
EXERCÍCIOS
OTÁVIO LUCIANO CAMARGO SALES DE MAGALHÃES 269
1) Tente copiar o sofá:
2) Faça cópias das figuras:
OTÁVIO LUCIANO CAMARGO SALES DE MAGALHÃES 270
3) Reproduza as figuras:
4) Veja alguns desenhos. Tente copiar algum deles em tamanho natural!
5) Copie em papel isométrico:
OTÁVIO LUCIANO CAMARGO SALES DE MAGALHÃES 271
6) Tente reproduzir em papel isométrico ou quadriculado:
OTÁVIO LUCIANO CAMARGO SALES DE MAGALHÃES 272
7) Reproduza no papel isométrico:
OTÁVIO LUCIANO CAMARGO SALES DE MAGALHÃES 273
8) Faça em papel isométrico ou quadriculado, mas continue mais 2 desenhos na sequência:
OTÁVIO LUCIANO CAMARGO SALES DE MAGALHÃES 274
9) Tente reproduzir a seguinte atividade de desenho técnico:
OTÁVIO LUCIANO CAMARGO SALES DE MAGALHÃES 275
CURVA DE JORDAN
(Canguru Matemático – 2015 – 4+) . Na figura `a direita vemos uma ilha com uma costa muito
recortada e alguns sapos. Quantos desses sapos estão na ilha?
CURVA DE JORDAM
Diga se cada ponto está dentro ou fora da curva:
OTÁVIO LUCIANO CAMARGO SALES DE MAGALHÃES 276
O QUE NÃO VALE FAZER (Colorir)
OTÁVIO LUCIANO CAMARGO SALES DE MAGALHÃES 277
POLIEDROS DE ARQUIMEDES
OTÁVIO LUCIANO CAMARGO SALES DE MAGALHÃES 278
SÓLIDOS DE JOHNSON
Um sólido de Johnson é um Poliedro onde as faces são polígonos regulares e que não
são sólidos de Platão, nem um sólido de Arquimedes, nem um prisma nem um antiprisma.
Norman Johnson elaborou uma lista de 92 sólidos em 1966, nomeou e numerou todos.
OTÁVIO LUCIANO CAMARGO SALES DE MAGALHÃES 279
FAIXA DE MÖBIUS E GARRAFA DE KLEIN
Muitas coisas ainda poderíamos falar sobre sólidos, mas, vamos parar por aqui, falando de um
objeto muito importante dentro da Topologia, que é a Faixa de Möbius. Não entraremos em detalhes
ou ressaltaremos toda a importância deste objeto, mas, apresentaremos ela sucintamente, da mesma
forma que a Garrafa de Klein.
Veja algumas gravuras da Faixa de Möbius, colhidas na Internet. Você irá compreender o que
é esta Faixa, sem nenhuma explicação.
A Faixa de Möbius, é um objeto tridimensional no plano. A Garrafa de Klein é um objeto da 4ª
dimensão (portanto, para nós, imaginário) no espaço tridimensional. É complexo compreender esta
noção.
Veja alguns desenhos da Garrafa de Klein.
OTÁVIO LUCIANO CAMARGO SALES DE MAGALHÃES 280
FRACTAIS
TRIÂNGULO DE SIERPINSKY
Um fractal muito famoso, é o Triângulo de Sierpinsky. Suficientemente elementar para o
estudarmos e fazermos algumas análises sobre ele. Abaixo 4 iterações sobre o Triângulo de
Sierpinsky. Lembre que isto é apenas uma idéia do Fractal. Os desenhos não são fractais, pois os
fractais se repetem continuamente e infinitamente.
OTÁVIO LUCIANO CAMARGO SALES DE MAGALHÃES 281
Agora, é com você! Vamos desenhar um Triângulo de Serpinsky
ILHA DE VON KOCH
Outro fractal interessante e conhecido é a Ilha de Von Koch. Muitas vezes associada à
fractais de flocos de neve em filmes.
OTÁVIO LUCIANO CAMARGO SALES DE MAGALHÃES 282
CONTRUÇÃO DE UM FRACTAL EM FOLHA DE PAPEL
1a
Atividade: Construção de um Fractal numa Folha de Papel
Instruções:
1. Meça o comprimento da folha ( = a )
2. Meça a largura da folha ( = b )
3. Dobre a folha de papel ao meio
4. Faça 2 cortes de comprimento a/4 afastados de cada lado do papel b/4
5. Dobre segundo o segmento criado pelos dois cortes
6. Repita os passos 1 - 5, mas agora para a parte da folha que acabou de dobrar
7. Continue o processo o máximo de vezes possíveis
8. Dobre a folha A4 formando um ângulo recto
9. Dobre a parte da folha obtida no passo 5, de modo a formar um ângulo recto com a dobra do passo 8
10. Repita o passo 9 para as outras partes da folha
Questões:
1. Conte os elementos em cada iteração e faça uma tabela.
2. Identifique o padrão de crescimento e indique a sucessão que permite calcular o número de elementos para a n-
ésima geração.
3. Qual a área total ( isto é, depois de uma infinidade de dobras ) da superfície dos elementos ? ( Sugestão:
Escolha um valor conveniente para a área do primeiro elemento )
4. Investigue o que acontece, se fizer um corte diferente, alterar o tamanho do corte ou aumentar o número de
cortes.
Problema adaptado de:
"Fractal Cards: A Space for Exploration in Geometry and Discrete Mathematics", The Mathematics Teacher, 1998
Fonte: www.educ.fc.ul.pt
OTÁVIO LUCIANO CAMARGO SALES DE MAGALHÃES 283
FRACTAIS MAIS COMPLICADINHOS:
OTÁVIO LUCIANO CAMARGO SALES DE MAGALHÃES 284
EXERCÍCIOS
Vamos tentar desenhar fractais?
OTÁVIO LUCIANO CAMARGO SALES DE MAGALHÃES 285
GRAFOS
Material copiado de: http://slideplayer.com.br/slide/3057037/# (Rita Maria Cargnin)
Você já ouviu falar em Grafo? Que relação você acha que tem essa rota com um grafo?
Alguns exemplos de Grafos:
Grafos e o Teorema das 4 Cores
OTÁVIO LUCIANO CAMARGO SALES DE MAGALHÃES 286
Atividade: Com quantas cores podemos pintar esse mapa? E se os estados vizinhos não
pudessem ter a mesma cor. Quantas cores eu preciso utilizar, no mínimo?
Construa o grafo desse mapa.
Atividade: Construa o Grafo de Todos Estados do Brasil.
Pinte o mapa utilizando apenas 4 cores, sem que estados vizinhos tenham a mesma cor.
Atividade: Veja uma Árvore Genealógica e construa a da sua família.
OTÁVIO LUCIANO CAMARGO SALES DE MAGALHÃES 287
EXERCÍCIOS
1) Colorir e fazer o grafo da América do Norte.
2) Colorir e fazer o grafo das bacias hidrográficas de Minas Gerais.
3) Faça o grafo da região de Monte Santo de Minas.
OTÁVIO LUCIANO CAMARGO SALES DE MAGALHÃES 288
4)Pinte e faça o grafo dos estados do Canadá. Pesquise os nomes:
5) Pinte e faça um grafo da América Central. Pesquise os nomes:
6) Conte o número de vértices e arestas dos grafos e determine o grau de cada vértice:
7) Dado o grafo, determine o que se pede:
a) Quantos são os vértices e as arestas?
b) Qual é o grau de cada vértice?
c) Os vértices v e w são adjacentes?
d) Os vértices v e x são adjacentes?
e) A aresta 2 é incidente ao vértice u?
f) A aresta 5 é incidente ao vértice x?
8) Desenhe o grafo correspondente para o Problema das Sete Pontes e o correspondente ao
problema da Água, Luz e Telefone:
OTÁVIO LUCIANO CAMARGO SALES DE MAGALHÃES 289
9) Construa os grafos não-dirigidos a partir dos conjuntos de vértices e arestas dados a seguir e os
classifique:
a) V = {1, 2, 3, 4, 5} e A = {(1, 2), (1, 4), (1, 5), (2, 3), (3, 4), (4, 4)};
b) V = {1, 2, 3, 4, 5, 6} e A = {(1, 2), (1, 4), (1, 4), (2, 3), (2, 5), (3, 5)};
c) V = {1, 2, 3, 4, 5, 6} e A = {(1, 2), (1, 3), (1, 4), (2, 5), (2, 6), (3, 5), (3, 6), (4, 5), (4, 6)};
d) V = {1, 2, 3, 4, 5} e A = {(1, 2), (1, 4), (2, 3), (2, 4), (2, 5), (3, 4), (3, 5)};
e) V = {1, 2, 3, 4} e A = {(1, 2), (2, 3), (2, 4), (3, 4)};
f) V = {1, 2, 3, 4, 5, 6, 7, 8} e A = {(1, 2), (2, 2), (2, 3), (3, 4), (3, 5), (6, 7), (6, 8), (7, 8)}.
10) Construa todos os grafos completos com até 8 vértices. Quantas arestas tem cada um desses
grafo? E se tiver n vértices?
11) Construa os seguintes grafos bipartidos completos: K1,1, K1,2, K1,3, K2,2, K2,3, K2,4, K3,3,
K3,4, K4,4.
OTÁVIO LUCIANO CAMARGO SALES DE MAGALHÃES 290
DESENHE SEM TIRAR O LÁPIS DO PAPEL
Tente desenhar SEM TIRAR O LÁPIS DO PAPEL. Você deverá numerar os pontos de forma a ter
uma ordem. No caso do desenho acima, A→B→C→D→E→A você desenha sem tirar o lápis do papel!
ATENÇÃO! Não vale passar um risco em cima do outro.
(Esse conteúdo é importante para a próxima aula)
OTÁVIO LUCIANO CAMARGO SALES DE MAGALHÃES 291
EXERCÍCIOS DE PILHAS DE CUBO DO CANGURU MATEMÁTICO
1)(Canguru Matemático – 2013) O Pedro construiu o pódio
representado na figura. Quantos cubos foram utilizados pelo Pedro?
2)(Canguru Matemático – 2015) O Daniel construiu dois tijolos como os da figura ao lado. Para
construir cada tijolo colou dois cubos um ao outro. Qual ´e a construção que não pode ser obtida
usando estes dois tijolos?
3)(Canguru Matemático – 2015) O Dinis construiu seis torres com
cubos cinzentos e cubos brancos (ver figura a` direita). Cada torre ´e
feita com cinco cubos. Cubos da mesma cor não se tocam.
Quantos cubos brancos existem nas seis torres?
4) (Canguru Matemático – 2015 – 3+) O Nuno construiu um cubo colando pequenos cubos cinzentos
e pequenos cubos brancos (ver figura ao lado). Sabemos que não há dois cubos pequenos da mesma
cor colados um ao outro por uma face. Qual ´e a afirmação que descreve o numero de pequenos
cubos utilizados?
(A) Foi utilizado um cubo cinzento a mais do que cubos brancos
(B) Foi utilizado um cubo branco a mais do que cubos cinzentos
(C) Foi utilizado o mesmo numero de cubos brancos e cinzentos
(D) Foram utilizados dois cubos brancos a mais do que cubos cinzentos
(E) Foram utilizados dois cubos cinzentos a mais do que cubos brancos
5)(Canguru Matemático – 2014 – 3+) O Fábio tem 4 cubos vermelhos, 3 cubos azuis, 2 cubos
verdes e um cubo amarelo. Ele constrói uma torre (ver a figura), de tal maneira que não existam dois
cubos da mesma cor que se toquem. Qual ´e a cor do cubo do meio?
(A) Vermelho (B) Azul (C) Verde (D) Amarelo (E) E impossível saber
OTÁVIO LUCIANO CAMARGO SALES DE MAGALHÃES 292
SIMULADO DE GEOMETRIA
1) (SARESP) Um sólido geométrico é formado por seis faces quadradas. Esse sólido é:
a) um cilindro b) uma pirâmide c) um cubo d) um quadrado e) um hexágono
2) (SARESP) Observe as figuras abaixo
E verdade que:
a) apenas II é triângulo. b) apenas II e III são triângulos.
c) apenas I, II e III são triângulos d) todos são triângulos
e) nenhum é triângulo.
3) (SARESP) Com o molde abaixo é possível montar a figura:
4) (SIMAVE) Fernanda desenhou sua sala de aula em uma malha quadriculada, reservando um
espaço para o “Cantinho da Leitura”. Veja o que ela fez:
O lado de cada quadradinho corresponde a 1 m. A área que corresponde à região cinza é igual a
a) 56 m2 b) 50 m2 c) 20 m2 d) 9 m2 e) 17 m2
5) (Prova Brasil) Quantas figuras de quatro lados foram desenhadas?
a) 1 b) 2 c) 3 d) 4 e)5
6) (SARESP) Para construir uma caixa em forma de paralelepípedo retângulo, parecida com uma
embalagem de pasta dental, o molde a ser utilizado deve ser:
OTÁVIO LUCIANO CAMARGO SALES DE MAGALHÃES 293
7) (SARESP) Observe os desenhos abaixo, feitos no
computador, para indicar caminhos percorridos por um
robozinho. O desenho que indica que o robozinho mudou
somente duas vezes de direção e em ângulo reto é :
a)1 b) 2 c) 3 d) 4
8) (SARESP) Um artista plástico está construindo um painel com ladrilhos decorados. Ele fez um
esquema desse painel mostrado na figura e utilizou as formas de:
a) quadrados e hexágonos b) triângulos e quadrados
c) triângulos e pentágonos d) triângulos e hexágonos
e) quadrados e pentágonos
9) (SARESP) Assinale a alternativa em que os dois sólidos geométricos representados só têm
superfícies planas:
10) (SARESP) Observando a superfície das figuras retangulares, podemos dizer que:
a) as figuras A e B têm a mesma área.
b) a área de D é menor que a área de E.
c) a área de B é maior que a área de A.
d) a área de A é menor que a área de D.
e) a área de E é a maior das áreas
11) (Canguru Matemático – 2013 – nível I) Com azulejos quadrados e cinzentos, o Tomás fez a
construção representada pela figura abaixo. Quantos azulejos, do mesmo tipo, são necessários para
preencher o interior da construção?
a) 5
b) 6
c) 7
d) 8
e) 9
12) (Canguru Matemático – 2013 – nível I)
OTÁVIO LUCIANO CAMARGO SALES DE MAGALHÃES 294
13) (Canguru Matemático – 2013 – nível I) A Luísa cortou um grande pedaço do bolo representado
na figura
Qual foi o pedaço que a Luísa cortou?
14) (Canguru Matemático – 2013 – nível I) Que tipo de quadrado aparece mais vezes na figura
seguinte?
15) (Canguru Matemático – 2013 – nível I) O Pedro construiu o pódio representado na figura.
Quantos cubos foram utilizados por Pedro?
a) 12 b) 18 c) 19 d) 22 e) 24
16) (Canguru Matemático – 2013 – nível II) A Ana tem uma folha de papel com a forma de um
quadrado (ver figura):
Ela corta a folha em pedaços da forma . Qual o maior número de pedaços que a Ana pode
obter?
a) 1 b) 2 c) 3 d) 4 e) 5
17) (Canguru Matemático – 2013 – nível II) Um azulejo descola-se de uma parede e cai.
A Carolina tem três azulejos extras, como o das figuras seguintes:
Qual ou quais dos azulejos se encaixam na parede, de modo a manter o padrão?
a) Apenas o b c) a e b d) b e c c) Apenas o c
e) Qualquer um deles
OTÁVIO LUCIANO CAMARGO SALES DE MAGALHÃES 295
18) (Canguru Matemático – 2013 – nível II) A Joana construiu um grande cubo com 27 pequenos
cubos. Depois a Joana retirou um pequeno cubo de quatro cantos do cubo grande, como mostra a
figura ao lado. Ela usou este sólido para carimbar várias formas num pedaço de papel. Quantas das
seguintes formas pode a Joana obter?
a) 1 b) 2 c) 3 d) 4 e) 5
19) (Canguru Matemático – 2013 – nível III) Quantos triângulos existem na figura?
a) 9 b) 10 c) 11 d) 13 e) 12
20) (Canguru Matemático – 2013 – nível III) A Ana começa a caminhar
a partir da posição da seta e na direção por ela indicada (ver figura). Em
cada cruzamento ela vira ou para a direita ou para a esquerda. Primeiro,
ela vai para a direita, depois para a esquerda e, em seguida, vira
novamente para a esquerda. Depois a Ana vai para a direita e depois
para a esquerda e, por fim, vira de novo para a esquerda. A Ana chegou
a
21) (Canguru Matemático – 2013 – nível III) Qual das seguintes peças se
encaixa com a peça de maneira a formar um retângulo?
22) (Canguru Matemático – 2013 – nível III) O Francisco uniu os pontos médios dos
lados de um triângulo da figura obtendo triângulos menores. Depois repetiu este
processo mais uma vez com os triângulos menores. Quantos triângulos do tamanho
mais pequeno obteve o Francisco?
a) 5 b) 8 c) 10 d) 16 e) 32
23) (Canguru Matemático – 2013 – nível Escolar) Na figura está representado um espelho
retangular quebrado. Qual das seguintes peças está a faltar na figura anterior?
24) (Canguru Matemático – 2013 – nível Escolar) A Beatriz tem várias peças como a da figura
Qual é o menor número dessas peças que ela precisa para formar um quadrado?
a) 3 b) 4 c) 6
d) 8 e) 16
OTÁVIO LUCIANO CAMARGO SALES DE MAGALHÃES 296
OTÁVIO LUCIANO CAMARGO SALES DE MAGALHÃES 297
PROVA DE BOLSAS DO OBJETIVO DE MONTE SANTO DE MINAS – 2014 (6º ANO)
1) Num sítio há 10 animais, entre cabras e galinhas. Contei 26 patas ou pés. Quantas são as
cabras?
a) 2 b) 3 c) 4 d) 5 e) 6
2) Qual é o produto entre 43 e 102?
a) 129 b) 145 c) 516 d) 4300 e) 4386
3) A Escola Nova fez uma excursão com 41 pessoas, entre alunos e professores. Os alunos
ficaram em 10 barras com o mesmo número de alunos, e os professores ficaram em uma
barraca maior com 8 pessoas a mais do que na barraca dos alunos. Qual é o total de
professores que foram na excursão?
a) 4 b) 3 c) 8 d) 10 e) 11
4) (SARESP) Paulo comprou 4 dúzias de lápis de cor para distribuir igualmente entre as 8 crianças
de uma creche. Cada criança ganhará quantos lápis:
a) 4 b) 6 c) 12 d) 48 e) 60
5) (SARESP) Fábio comprou um terreno que tem a forma da figura abaixo. A fração que representa
a parte do terreno que será usada terreno que será ocupada pela casa é:
a) 5/2 b) 3/2 c) 2/3 d) 2/5 e) 4/5
6) (SARESP) Um sólido geométrico é formado por seis faces quadradas. Esse sólido é:
a) um cilindro b) uma pirâmide c) um cubo
d) um quadrado e) um hexágono
7) (SARESP) O gráfico abaixo mostra a venda de caixas de papelão de uma fábrica de embalagens
no primeiro semestre de 2005.
A diferença entre a quantidade de caixas vendidas nos meses de maior e de menor venda foi de
quantas caixas:
a) 7065 b) 1271 c) 631 d) 288 e) 521
8) (SARESP) Com o molde abaixo é possível montar a figura:
OTÁVIO LUCIANO CAMARGO SALES DE MAGALHÃES 298
9) (SIMAVE) Os garotos do time de futebol Águias da Baixada estão escolhendo as cores do uniforme.
Veja as opções que eles têm:
Quantos uniformes diferentes eles podem compor?
a) 8 b) 6 c) 3 d) 2 e) 7
10) (SIMAVE) Fernanda desenhou sua sala de aula em uma malha quadriculada, reservando um
espaço para o “Cantinho da Leitura”. Veja o que ela fez:
O lado de cada quadradinho corresponde a 1 m. A área que corresponde à região cinza é igual a
a) 56 m2 b) 50 m2 c) 20 m2 d) 9 m2 e) 17 m2
11) (CEFET-SP) Uma das condições para tornar o roço do palhaço simétrico é desenhar a outra
sombrancelha no quadradinho:
b) E3 b) D3 c) F3 d) E6 e) I8
12) (OBMEP) A capacidade do tanque de gasolina do carro de João é de 50 litros. As figuras
mostram o medidor de gasolina do carro no momento da partida e no momento da chegada de uma
viagem feita por João. Quantos litros de gasolina João gastou nessa viagem?
a) 12,5 litros b) 25 litros c) 20 litros d) 40 litros e) 50 litros
13) (SRE-ITAJUBÁ) Qual dos relógios marca 7h15?
OTÁVIO LUCIANO CAMARGO SALES DE MAGALHÃES 299
14) (SRE-ITAJUBÁ) Observe a reta numérica abaixo.
Qual o valor localizado no ponto J da reta numérica?
a) 330 b) 340 c) 350 d) 360 e) 370
15) (SRE-Itajubá) Mário tem as seguintes moedas:
Quando dinheiro ele tem?
a) R$ 9,90 b) R$ 10,00 c) R$ 19,00 d) R$ 16,40
16) (Canguru Matemático – 2014) Mônica escreve números na figura ao lado de modo que cada
número escrito em cada quadradinho é igual ao produto dos números escritos nos dois quadradinhos
abaixo dele, quando houver. Qual número ela deve escrever no quadradinho escuro?
a) 0 b) 1 c) 2 d) 4 e) 8
17) (Canguru Matemático – 2014) Quantas bolinhas pretas há no desenho abaixo?
a) 180 b) 181 c) 182 d) 183 e) 265
18) (Imenes & Léllis) Qual seria a imagem da pilha de cubos se o espelho não estivesse quebrado?
OTÁVIO LUCIANO CAMARGO SALES DE MAGALHÃES 300
19) (Álvaro Andrini) Qual das peças abaixo deve ser encaixada neste objeto para que ele fique com
a forma de um bloco retangular?
20) (Canguru Matemático – 2014) Um quadrado foi cortado em 4 partes, conforme mostrado na figura:
Qual das figuras a seguir não pode ser montada com essas 4 partes?
QUESTÕES DA SEMANA CULTURAL – MATEMÁTICA – MONTE SANTO DE MINAS - 2014
QUESTÕES TEMÁTICAS: LOCALIZAÇÃO DE INFORMAÇÕES MATEMÁTICAS
1) (SIMAVE) Veja o resultado da eleição para escolha do pássaro-mascote da turma do 6º ano da escola “Sucesso”.
Quantos votos teve cada um dos pássaros que empataram?
2) (SIMAVE) Veja a reta numerada abaixo:
Qual número corresponde ao M?
4) (SIMAVE) Catarina desenho uma reta numérica com intervalos iguais, veja:
Qual número corresponde ao círculo escuro?
5) (SAEP – Palmas – TO) A tabela abaixo mostra as idades de vários alunos
A coordenada do lugar de Elane é E2, e de Carolina é C4. Qual é coordenada de Diego?
OTÁVIO LUCIANO CAMARGO SALES DE MAGALHÃES 301
6) (SARESP) Observe a representação da sala de reuniões da escola de Mateus:
O pai de Mateus sempre gosta de sentar na última fileira de poltronas que ficam do lado direito de quem entra na sala.
Qual é o lado/fila que o pai de Mateus sentará?
7) (SAEP – Palmas – TO) Associe as frações 3/2, 9/2 e 1/2 com os pontos A, B e C:
8) (SAEP – Palmas – TO) Os estudantes de uma escola foram perguntados sobre qual sua matéria preferida e responderam
da seguinte maneira:
Qual matéria é a preferida de 25% dos alunos dessa escola?
9) (SAEP – Palmas – TO) Os sapatos nos EUA tem numeração diferente da numeração do Brasil. Observe a tabela de
conversão:
Se nos Estados Unidos a pessoa do sexo masculino usa um calçado de número 7, qual é a sua numeração correspondente
no Brasil?
10) (SARESP) O senhor Luiz tem uma loja que vende produtos esportivos. Na semana passada, ele pretendia vender as
100 camisetas de time de futebol que possuía. O gráfico mostra o número de camisetas que foram vendidas na loja de
Luiz em cada dia da semana passada, de segunda-feira à sexta-feira.
Após a venda de camisetas nesses cinco dias, quantas sobraram?
OTÁVIO LUCIANO CAMARGO SALES DE MAGALHÃES 302
11) (CAED – MT) Veja abaixo o mapa do bairro onde Pedro Mora:
Qual a coordenada da Igreja no mapa?
12) (CAED – MT) Veja as ruas do bairro de Mariana:
Ela mora numa rua entre as Avenidas A e B e entre as ruas do hospital e da locadora. Em qual rua ela mora?
13) (CAED – MT) Ana fez o desenho de algumas ruas de seu bairro, próximas à sua casa. Localizou sua casa e marcou-a
com seu nome. Localizou também a casa de quatro amigas e marcou-as com o nome de cada uma. Veja abaixo o que ela
fez:
Qual é a amiga que mora mais próxima dela?
OUTRAS QUESTÕES
14) Qual é o produto entre 452 e 308?
15) Pensei em um número, somei 5, multipliquei por 2, tirei o número que pensei, dividi por 2, deu 10. Em que número
eu pensei?
16) Uma escola tem 6 aulas por dia, sendo que a primeira se inicia 7h15. As aulas têm 45 minutos de duração cada, e há
um intervalo de 20 minutos entre a 3ª e 4ª aulas. Que horas terminam as aulas nessa escola?
OTÁVIO LUCIANO CAMARGO SALES DE MAGALHÃES 303
17) Qual é o número que vai no topo da Pirâmide Mágica aditiva?
18) Preciso pegar em uma gaveta no quarto escuro 3 canetas da mesma cor. Na gaveta temos 8 tipos de caneta. Qual é a
quantidade mínima de canetas que temos que retirar da gaveta para termos certeza absoluta que pegamos 3 canetas da
mesma cor? (Tanto faz a cor)
19) . (XX Olimpíada Brasileira de Matemática – Nível 1 – 1a fase – 1998) Joãozinho brinca de formar quadrados com palitos
de fósforo como na figura a seguir.
A quantidade de palitos necessária para fazer 100 quadrados é ____
20) (Concurso Professor de Matemática 5ª à 8ª séries – Prefeitura Municipal de Orlândia-SP/2003) Observe a seqüência:
O número de quadradinhos claros na figura que ocupa a 39ª posição é ___
GABARITO
QUESTÕES TEMÁTICAS: LOCALIZAÇÃO DE INFORMAÇÕES MATEMÁTICAS
7)
3
2
= 1
1
2
, ou seja, está entre 1 e 2, então 3/2 = C
9
2
= 4
1
2
,ou seja, está entre 4 e 5, então 9/2 = B
1/2 = A
10) Pegamos 100 e subtraímos os valores,
100-12-8-20-12-16=32
Ou somamos os valores e subtraímos de 100
100-(12+8+20+12+16)=100-68=32
OUTRAS QUESTÕES
14) Qual é o produto entre 452 e 308?
Arme a conta e faça 452 x 308, e você terá a resposta! Verifique na
calculadora!
15) Pensei em um número, somei 5, multipliquei por 2, tirei o número que
pensei, dividi por 2, deu 10. Em que número eu pensei?
(𝑥 + 5).2 − 𝑥
2
= 10
2. 𝑥 + 10 − 𝑥
2
= 10
𝑥 + 10
2
= 10
x+10=20
x=10
16) Uma escola tem 6 aulas por dia, sendo que a primeira se inicia 7h15. As
aulas têm 45 minutos de duração cada, e há um intervalo de 20 minutos entre
a 3ª e 4ª aulas. Que horas terminam as aulas nessa escola?
1ª aula 7h15-8h
2ª aula 8h-8h45
3ª aula – 8h45-9h30
Intervalo – 9h30-9h50
4ª aula – 9h50-10h35
5ª aula – 10h35 – 11h20
6ª aula - 11h20 – 12h05
Termina 12h05
17) Qual é o número que vai no topo da Pirâmide Mágica aditiva?
18) Preciso pegar em uma gaveta no quarto escuro 3 canetas da mesma cor.
Na gaveta temos 8 tipos de caneta. Qual é a quantidade mínima de canetas
que temos que retirar da gaveta para termos certeza absoluta que pegamos 3
canetas da mesma cor? (Tanto faz a cor)
Esse é o Principio de Dirichilet ou Princípio da Casa dos Pombos, que
estudamos na aula da tarde quando eu comecei. Se há 8 tipos de caneta,
quando pegarmos 16 canetas, é possível que não tenhamos nenhum “trio” de
canetas. A 17ª necessariamente é de uma das duas cores. A resposta é 17.
19) O primeiro quadrado usa 4 palitos, todos os outros usam 3
Então são 4 para o 1º quadrado e 3 para os outros 99
4+3x99=301
20) O 1º quadrado tem 2x2+1 quadrados brancos
O 2º quadrado tem 3x3+1 quadrados brancos
O 3º quadrado tem 4x4+1 quadrados brancos
Portanto, o 39º quadrado tem 40x40+1=1601 quadrados
OTÁVIO LUCIANO CAMARGO SALES DE MAGALHÃES 304
SIMULADO APLICADO NO 7º ANO 2015 – ESCOLA NOVA
Questão 1
Quando os números 8, 3, 5, 0, 1 são arranjados do menor para o maior, o número do meio é:
a) 8 b) 3 c) 5 d) 0
Questão 4
Um determinado produto custava R$ 150,00 e obtive um desconto de 20%. Quanto pagarei no
produto?
a) R$ 120 b) R$ 130 c) R$ 170 d) R$ 180
Questão 5
De Muzambinho até Monte Santo de Minas a distância é 73,2 km. O prof. Otávio já percorreu 22,1
km. Quantos metros falta para chegar em Monte Santo?
a) 51,1 b) 511 c) 5110 d) 51100
Questão 6
Um pequeno supermercado possui três geladeiras e queria saber o total de queijo mussarela
estocado, e, obteve os seguintes valores:
Geladeira 1 2,25 kg
Geladeira 2 5.000 g
Geladeira 3 0,4 kg
Qual é o total de mussarela em estoque?
a) 3,15 kg b) 7,65 kg c) 11,25 kg d) 5002,65 g
Questão 7
Resolva a soma algébrica -3+4-1+6-4-2+1-6
a) -9 b) -5 c) 5 d) 9
Questão 8
Resolva a soma algébrica −
2
3
+
1
4
a) 5/12 b) -5/12 c) 11/12 d) 3/7
Questão 9
Veja a movimentação em conta bancária
Dia do Mês Operação Valor SALDO
Saldo anterior R$ 1100
02 D Saque na boca do caixa R$ 300 R$ 800
02 D Cheque compensado R$ 100 R$ 700
02 D Débito Automático Luz R$ 100 ???
03 D Débito Automático Telefone R$ 300 ???
03 D Compras Cartão de Débito R$ 600 ???
05 D Saque no caixa eletrônico R$ 700 ???
06 C Recebimento de Salários R$ 1.200 ???
07 D Taxas bancárias e Juros R$ 100 ???
08 D Cheque compensado R$ 100 ???
10 D Pagamento Boletos R$ 700 ???
11 C Depósito na boca do Caixa R$ 400 ???
Qual era o saldo no dia 11?
a) R$ 300,00 de crédito (dinheiro positivo) b) R$ 300,00 de débito (devendo)
c) R$ 1.200,00 de crédito (dinheiro positivo) d) R$ 100,00 de débito (devendo)
Questão 10
Veja parte de uma tabela de campeonato (há mais times no campeonato):
Time Gols Pró Gols Contra Saldo de Gols
Flarinthians 14 7 ???
Comengo 13 12 ???
Palminense ??? 10 -9
Flumeiras ??? 10 5
Dos quatro times, qual deles fez o maior número de gols?
a) Flarinthians b) Comengo
c) Palminense d) Flumeiras
OTÁVIO LUCIANO CAMARGO SALES DE MAGALHÃES 305
TESTES
1. (Olimpíada de Matemática de Escola Pública do Ceará – 5ª série – 2003) Quando um número é dividido por 7,
obtemos quociente 4 e resto 6. Qual é o número?
a) 17 b) 168 c) 34 d) 31 e) 46
2.(Avaliação do SAEB – 4ª série – 2001) O quociente e o resto de 99835 são respectivamente:
a) 17 e 28 b) 28 e 18 c) 35 e 5 d) 29 e 1
4. (Olimpíada de Matemática de Escola Pública do Ceará – 5ª série – 2003) O valor de 987+113-1000 é:
a) 90 b) 10 c) 110 d) 2000 e) 100
(Olimpíada de Matemática de Escola Pública do Ceará – 5ª e 8a
séries – 2003) A tabela mostra o
desempenho das seleções do grupo A da Copa do Mundo de 2002:
Seleção Jogos V E D P
Dinamarca 3 2 1 0 7
Senegal 3 1 2 0 ?
Uruguai 3 0 2 1 2
França 3 0 1 2 1
Legenda: V – vitórias, E- empates, D – derrotas, P – Pontos.
Numa partida de futebol, a equipe vencedora ganha 3 pontos (a perdedora não ganha nada) e em caso de
empate as duas ganham 1 ponto.
5. Quantos pontos obteve a seleção de Senegal?
a) 3 b) 4 c) 5 d) 6 e) 7
6. Quantos gols sofreu a seleção do Uruguai.
a) 2 b) 3 c) 4 d) 5 e) 6
7. (Olimpíada de Matemática de Escola Pública do Ceará – 5ª série – 2003) Calcule o valor de □ sabendo
que 7X□=84.
a) 9 b) 10 c) 11 d) 12 e) 54
8. (Olimpíada de Matemática de Escola Pública do Ceará – 5ª série – 2003) Um televisor pode ser comprado
à vista por R$ 408,00, ou a prazo, em três pagamentos de R$ 142,00 cada um. Comprando a prazo vou pagar
quantos reais a mais do que se comprasse a vista?
a) R$ 14,00 b) R$ 16,00 c) R$ 18,00 d) R$ 28,00 e) R$ 30,00
9. (Avaliação do SARESP 2000 – 5ª série - Diurno) As bombas de combustível dos postos de serviço têm
um contador que vai acumulando o local de litros vendidos. Veja os totais acumulados por dia em cada bomba
do Posto do Pedro.
1ª bomba 2ª bomba
Litros 15 635 10 215
Se o Posto do Pedro vender todos os dias a mesma quantidade, em quantos dias ele venderá 103400 litros?
a) 6 dias b) 5 dias c) 4 dias d) 3 dias
10. (Avaliação do SARESP 2000 – 5ª série - Diurno) Em um jogo os participantes vão recebendo fichas de
diferentes valores. Em uma partida, Clara recebeu 5 fichas de 2 pontos cada uma, 4 fichas de 3 pontos cada
uma e 3 fichas de 5 pontos cada uma. Se o vencedor é o primeiro a completar 40 pontos, Clara:
a) perdeu, pois ficaram faltando 4 pontos. b) perdeu, pois ficaram faltando 3 pontos.
c) perdeu, pois ficaram faltando 3 pontos. d) venceu com 1 ponto a mais que o necessário.
11. (Avaliação do SARESP 2000 – 5ª série - Diurno) A tabela incompleta, apresentada abaixo, deveria
mostrar o número de crianças vacinadas em um dia, num Posto de Saúde. Complete-a, sabendo que 10
crianças receberam vacina contra sarampo; tomaram vacina Sabin 2 crianças a mais que as vacinadas contra
sarampo; o número de crianças vacinadas contra gripe foi o dobro das crianças vacinadas contra sarampo; foi
vacinada contra tuberculose metade do número de crianças que tomaram vacina contra sarampo.
Vacina Sabin Sarampo Gripe Tuberculose
Número de crianças 10
Se todas crianças receberam uma ÚNICA vacina, o total de crianças vacinadas nesse dia foi:
a) 47 b) 46 c) 45 d) 37
OTÁVIO LUCIANO CAMARGO SALES DE MAGALHÃES 306
12. (Avaliação do SARESP 2000 – 5ª série - Diúrno) A tabela abaixo representa o número de torcedores
presentes a um jogo de Corinthians x Palmeiras.
Número de torcedores Corinthians Palmeiras
Homens 1200 1000
Mulheres 800 700
Crianças 150 250
O número de torcedores nesse jogo foi:
a) 4100 b) 4000 c) 2150 d) 1950
ATIVIDADES ESPECIAIS DE COMPLEMENTAÇÃO TEMÁTICA
(Assuntos Diversos)
1) Escreva a expressão numérica correspondente às frases:
a) a soma dos quadrados de 4 e de 5 __________________________
b) o quadrado da soma de 4 e de 5 ___________________________
c) a soma dos dobros de 4 e de 5 __________________________
d) o dobro da soma de 4 e de 5___________________________
e) o triplo da soma da raiz quadrada de 6 com o cubo de 4______________
2) Quanto é?
a) o produto de 3 e 2?__________ b) o produto de 5 e 7?_______
c) a diferença de 5 e 1?__________ d) a soma de 8 e 7?________
e) o quociente de 12 e 4?________ f) o cubo de 5?________
3) Você vai fazer uma lista
a) dos múltiplos de 9 __________________________________________ Quais
são menores que 50?_______________________________________
b) dos múltiplos de 6__________________________________________ Escreva
os maiores que 20 _____________________________________
c) dos múltiplos de 10______________________________________ Quais estão
entre 12 e 50?___________________________________
d) dos múltiplos de 14_____________________________________
Quais estão entre 40 e 90?__________________________________
4) Adivinhe um número que:
* é múltiplo de 8; e
* é menor que 30 e 40
5) Escreva quais números respeitam as seguintes Leis:
a) 2 x 5_______________ b) 3 x 5__________________
c) 5<x<9_________________ d) 7 x 10__________________
e) 6<x 10________________ f) 6 x<10___________________
g) 6<x<10________________ h) 6 x 10__________________
i) 5<x<6__________________ j) 5 x 5____________________
BRINCADEIRINHA: O pai do padre é filho único do meu pai. O que eu sou do padre?
________________________________
6) Lembra do Princípio das Gavetas de Dirichilet (ou Princípio da Casa dos Pombos)? Então
resolva:
a) Eu tenho uma gaveta com meias de 5 cores. Quantas meias eu tenho que tirar, no mínimo, para
ter certeza que eu peguei um par de meias da mesma cor? _____________
b) E se na gaveta tivessem 8 cores de meia?_________
c) No 6º ano da Escola Nova de Monte Santo eu posso afirmar com certeza que dois alunos fazem
aniversário no mesmo mês?________________
d) Qual é o mínimo de alunos que eu preciso para ter certeza absoluta que dois fazem aniversário
no mesmo mês?_____________
e) E para ter certeza que fazem aniversário no mesmo dia?_________
OTÁVIO LUCIANO CAMARGO SALES DE MAGALHÃES 307
7) Escreva os dois próximos números da sequência:
8)Os números acima são números triangulares. Os números quadrados são 1, 4, 9, 16, etc...
Escreva os cinco primeiros números quadrados.
9)Em um campeonato todos times jogam contra todos times apenas uma vez. Quantos jogos serão
se tiverem:
a) 3 times ? _______________ b) 4 times?________________
c) 2 times?_______________ d) 5 times?________________
e) 6 times?_______________ f) 7 times?________________
10) Calcule a soma dos números:
a) 1+2=______ b) 1+2+3=_____ c) 1+2+3+4=________
d) 1+2+3+4+5=_________ e) 1+2+3+4+5+6=__________
11) Calcule como fez Gauss:
a) 1+2+3+4+....+197+198+199+200 b) 1+2+3+4+....+145+146+147+148
12) Calcule a soma dos números ímpares:
a) 1+3=______ b) 1+3+5=_____ c) 1+3+5+7=_______
d) 1+3+5+7+9=__________ e) 1+3+5+7+9+11=___________
13) Relembre os exercícios anteriores e faça:
a) Q1+T2=_____ b) Q2+T3=____ c) Q3+T4=____
14) Você consegue representar o exercício acima com um desenho? Faça.
OTÁVIO LUCIANO CAMARGO SALES DE MAGALHÃES 308
15) Complete as pirâmides mágicas:
16)Resolva os problemas pelo método da tentativa e erro. Escreva os “chutes” que você deu e
verifique a resposta:
a) Tenho 8 animais entre cabras e galinhas. São um total de 20 patas ou pés. Quantas são as
cabras e quantas são as galinhas?
b)Tenho 13 automóveis entre carros e motos. São 32 rodas. Quantos são os carros e quantas são
as motos?
17) Veja a figura:
Fonte: http://www.panoramadaaquicultura.com.br/novosite/?p=1982
a) Juntas, quantas toneladas as regiões Sudeste e Sul produzem de produtos da
aquicultura?____________
b) Juntas, quantos % da aquicultura é produzida pelas regiões Norte e Centro-
Oeste?___________
c) Em quais regiões se produzem pintados?_____________
d) Qual a diferença % de produção entre a região que mais produz e a que menos produz?
________
OTÁVIO LUCIANO CAMARGO SALES DE MAGALHÃES 309
OTÁVIO LUCIANO CAMARGO SALES DE MAGALHÃES 310
SISTEMA DE NUMERAÇÃO ROMANO
O Sistema de Numeração Romano, que todos conhecemos, também é decimal e posicional, mas, ele é representado pela
repetição de elementos e por regras de justaposição de algarismos, e não pela multiplicação por potências de 10 dependendo da posição
do número. É um sistema restrito, que não permite escrever números muito grandes.
Vamos relembrá-lo, com alguns exemplos
I – um
II – dois
III – três
IV – quatro
V – cinco
VI – seis
VII – sete
VIII – oito
IX – nove
X – dez
XI – onze
XII – doze
XIII – treze
XIV – catorze
XV – quinze
XX – vinte
XXI – vinte e um
XXVI – vinte e seis
XXX – trinta
XXXIX – trinta e
nove
XL – quarenta
L – cinqüenta
LX – sessenta
LXVII – sessenta e
sete
LXX – setenta
LXXX – oitenta
XC – noventa
C – cem
CI – cento e um CV
– cento e cinco
CXX – cento e
vinte
CXLVIII – cento e
quarenta e oito
CC – duzentos
CCC – trezentos
CD – quatrocentos
D – quinhentos
DC – seiscentos
DCC – setecentos
DCCC – oitocentos
CM – novecentos
M – mil
MCC – mil e
duzentos
MCCVII – mil
duzentos e sete
MM – dois mil
MMM – três mil
É interessante observar que não existe algarismo romano para representar o número zero, o que é uma grande inconveniência.
A partir de 3.999, escrevemos os numerais colocando traços em cima do que queremos dizer que vale mil vezes.
Ex: 5.742, escrevemos DCCXLIIV . 134.526, escrevemos DXXVICXXXIV . 12.534.222, escrevemos
CCXXIIDXXIVXII .
Com certeza, um sistema complexo e de difícil uso. Experimente fazer uma divisão com algarismos romanos.
Até 1.300, os algarismos indo arábicos foram proibidos em muitas cidades e países da Europa, sob o argumento que estes eram
fáceis de falsificar. O uso de algarismos romanos durou até cerca o século XVII em algumas escolas, e até meados do século XVIII em
escritas contábeis.
É importante observar que a escrita de numerais romanos foi alterada no curso de sua história. Por exemplo, inicialmente o
número 1000 era escrito como  | , e repetíamos até 4 vezes o número, sendo, por exemplo IIII o símbolo de 4, VIIII o símbolo de 9,
XXXX o símbolo de 40, etc...Mais informações sobre isto e sobre a origem dos símbolos romanos você encontrará nas referências que
damos.
1) Escreva em números romanos:
a) 7 _____ b) 9 _____ c) 13 _____ d) 28 _____ e) 36 _____
f) 35 _____ g) 40 _____ h) 42 _____ i) 44 _____ j) 50 _____
k) 52 _____ l) 56 _____ m) 68 _____ n) 75 _____ o) 82 _____
p) 91 _____ q) 100 _____r) 108 _____ s) 143 _____t) 199 _____
u) 252 _____v) 574 _____w) 688 _____ x) 794 _____ y) 1.252 _____
2) Escreva o ano que você nasceu em algarismos romanos.
3) Represente em algarismos hindo-arábicos:
a) XI b) IX c) VIII d) XVII e) XIX
f) XX g) XXIV h) XXVI i) XXVI j) XXXIV
k) XL l) LX m) XLIII n) LXIX m) XLIX
n) LXXIII o) XCIII p) XCIX q) CX r) CXC
s) CCLXV t) DC u) DCXVII v) DCLXVI w) CDXLIV
4. Que ano é o de MCMXXXII?
OTÁVIO LUCIANO CAMARGO SALES DE MAGALHÃES 311
EXERCÍCIOS
1. Escreva em algarismos romanos:
a) 72 b) 512 c) 1.523 d) 2.004 e) 5.122
f) 122.511 g) 5.125.235
2. Escreva em algarismos indo-arábicos:
a) LII b) XLVII c) LXXVII d) MCMLXIII
e) DCCXXXIX f) DCCLXX g) XLVIIXV h) XXXVIIIDXI i) DLXIVCCCXI
OTÁVIO LUCIANO CAMARGO SALES DE MAGALHÃES 312
3. Efetue a soma DCXVIII + MCMLXXVIII
4. No alto de uma casa estava escrito o número MDCCCXCVIII. Em que ano esta casa provavelmente foi
construída?
5. (Exame de Seleção Cotil/Unicamp-2002) De acordo com as informações do quadro abaixo, escreva os
séculos correspondentes, utilizando algarismos romanos.
Navegante Feito Época Século
Cristóvão Colombo Descoberta do continente americano 1488
Vasco da Gama Descoberta do caminho marítimo
para as Índias
1498
Pedro Álvares
Cabral
Descoberta do Brasil 1500
Fernão de
Magalhães
Descoberta das Filipinas 1521
6. (Exame de Seleção do Centro Estadual de Educação Paula Souza – Ensino Médio – SP/1º 2001) Observe
a tabela abaixo:
ANO FATO SÉCULO
1445 Invenção da tipografia por Gutenberg
1876 Invenção do Telefone por Graham Bell
1957 Sputinik: 1º satélite colocado em órbita da Terra
pelos russos
Os séculos correspondetes a cada uma dessas datas são, respectivamente:
a) XV, XIX e XX b) XIV, XVII e XVIII c) XIV, XX e XXI
d) XIII, XX e XXI e) XIII, XVI E XX
7. (Concurso Professor de Matemática 5ª à 8ª séries – Prefeitura Municipal de Sertãozinho-SP/2002) 46.
Durante a Idade Média, na Europa a multiplicação e a divisão de números naturais eram tidas como operações
extremamente complicadas e dominadas apenas no nível universitário, por poucas pessoas tidas como sábias.
Nessa época, essa dificuldade se devia ao fato de que
a) o Sistema de Numeração Decimal, como hoje o conhecemos, ainda não era do conhecimento dos europeus.
b) os europeus realizavam essas operações no sistema de numeração romana.
c) o ábaco era bastante difundido na Europa, impedindo o desenvolvimento do algoritmo usual atual.
d) os europeus não tinham necessidade de fazer multiplicações ou divisões para resolver problemas de seu
cotidiano.
e) os sábios que dominavam os procedimentos operatórios não os divulgavam, por desacreditarem da capacidade
das demais pessoas em aprendê-los.
OTÁVIO LUCIANO CAMARGO SALES DE MAGALHÃES 313
SISTEMA DE NUMERAÇÃO EGÍPCIO
O Sistema de numeração egípcio também é decimal, porém, é feito com a justaposição repetida de numerais. Não é um sistema
posicional. Não importa a ordem como foram colocados, os símbolos representa a mesma idéia.
Um dos mais antigo vestígio de número da humanidade são gravações de numerais egípcios em um cetro real de 3400 aC,
quando o rei Menes unificou o Baixo e o Alto Egito. Os números do cetro representavam as conquistas da guerra: 120.000 prisioneiros,
400.000 cabeças de gado e 1.422.000 cabras.
Vejam os algarismos egípcios:
bastão vertical Unidade (1)
Calcanhar ou arco ou ferradura Dezena (10)
Rolo de pergaminho, espiral, cadeia ou
pedaço de corda enrolada
Centena (100)
Flor de lótus Unidade de Milhar (1.000)
Dedo apontado ou encurvado Dezena de Milhar (10.000)
Girino ou barboto (peixe) Centena de Milhar (100.000)
Homem espantado com os braços esticados ou
A figura da deidade cósmica Deus do sem-fim.
Unidade de Milhão (1.000.000)
Os algarismos egípcios se escreviam por justaposição.
(Mapa do Egito retirado do livro de História da Matemática de Howard Eves)
OTÁVIO LUCIANO CAMARGO SALES DE MAGALHÃES 314
Vejam os números até 20:
Outros exemplos
45 (quarenta e cinco)
242 (duzentos e quarenta e dois)
1803 (mil oitocentos e três)
Note que 245 pode ser escrito de várias outras formas, nada interferindo a posição:
, ou
Em nosso sistema de numeração, é evidentemente diferente escrever 245 e 452 ou 524. Mas no sistema egípcio a ordem não
altera o sentido do número.
Os egípcios não tinham sinal para o zero, da mesma forma que os romanos.
No antigo Egito existiam três tipos de linguagem escrita: o hieroglífico (usada em monumentos de pedra, madeira ou metal, a
forma mais bela de escrita já conhecida), o hierático (escrita religiosa ou sacerdotal, mais arredondada, que surgiu do uso mais rápido
da pena de escrever de caniço dos escribas) e o demótico (versão popular e abreviada do hierático). A escrita que estudamos aqui é a
hieroglífica. As presentes nas grandes pirâmides do Egito e nos monumentos dos reis.
A numeração hierática e demótica, surgidas por volta do século VIII a.C., eram pouco diferentes entre si, sendo a escrita
demótica um pouco mais simples. Abaixo, passamos uma tabela, com o sistema de numeração hierático comparado ao hieroglífico.
Do livro Números e Numerais, da coleção Tópicos de História da Matemática para Uso em Sala de Aula,
Os egípcios também conheciam frações. Todas de numerador 1 (exceção: 2/3). O estudo das frações egípcias é um dos mais
encantadores da história da Matemática. Elas estão presentes no mais importante documento da antiguidade, com problemas
Matemáticos, o Papiro de Rhind, que estudaremos em frente.
OTÁVIO LUCIANO CAMARGO SALES DE MAGALHÃES 315
EXERCÍCIOS
1. Escreva em algarismos egípcios, os números encontrados no cetro do rei Menos: 120.000 prisioneiros, 400.000 cabeças de
gado e 1.422.000 cabras.
2. Escreva em algarismos egípcios:
a) 526 b) 111 c) 526 d) 1252 e) 10523
f) 1005 g) 52342 h) 152334 i) 5123456
3. Escreva em algarismos indo-arábicos:
a) b)
c) d)
SISTEMA DE NUMERAÇÃO BABILÔNICO
(Mapa da Mesopotâmia retirado do livro de História da Matemática de Howard Eves)
Babilônia é a capital da Mesopotâmia, uma das mais importantes civilizações da antiguidade, localizada entre os rios Tigre e
Eufrates. Mesopotâmia (meso = meio, potamus = rio). Atualmente, Iraque.
O sistema de numeração babilônico, desenvolvido aproximadamente 2000 anos antes de Cristo não era decimal, era
sexagesimal (base 60), usando-se o sistema decimal para representações de 1 à 60. E também era um sistema posicional (como o romano
e o indo-arábico). Neste sistema não existia sinal para o zero, o que gerava muita confusão.
Os números eram escritos em tábuas de argila, usando-se um estilo com ponta triangular que fazia figuras no formato de cunhas
(caracteres cuneiformes).
Para se escrever até 9 usavam-se cunhas da seguinte forma.
OTÁVIO LUCIANO CAMARGO SALES DE MAGALHÃES 316
O dez era representado por uma cunha na horizontal: .
Números entre 11 e 59 eram escritos misturando cunhas horizontais e verticais.
Ex:
38 (trinta e oito)
55 (cinqüenta e cinco)
Para escrever números maiores que 60, usava-se cunhas verticais antes das cunhas horizontais, separados por um espaço.
Ex:
1x60 + 3
63 (sessenta e três)
1x60 + 15
75 (setenta e cinco)
1x60 + 24
104 (cento e quatro)
3x60 + 19
199 (cento e noventa e nove)
13x60 + 44
824 (oitocentos e vinte e quatro)
Quando chegava-se em 3600, pulava-se mais um espaço. Ex:
1x3600 + 48x60 + 42
6522 (seis mil, quinhentos e vinte e
dois)
Em textos mais recentes (período selêucida, nos últimos 3 séculos antes de Cristo), usou-se o símbolo para separar os
números. Fica evidente que escrever para representar 63 é uma forma mais simples do que se não usarmos os
separadores.
É claro que este sistema é muito confuso por não ter o número zero. Como se escreveria 60? A escrita do número 60 era
idêntica ao do número 6, e isto gerou muitos problemas.
O número , portanto, podia representar 1, 60 ou 3600. Ou seja, um sistema confuso. (Além disto, também poderia
representar frações como 1/60 e 1/3600). Isto pela inexistência do número zero.
OTÁVIO LUCIANO CAMARGO SALES DE MAGALHÃES 317
EXERCÍCIOS
1. Escreva em algarismos babilônicos:
a) 43 b) 72 c) 89 d) 115 e) 125
f) 162 g) 192 h) 252 i) 722 j) 915
l) 1523 m) 2222 n) 5234 o)21523 p) 55135
2. Escreva em algarismos indo-arábicos:
a) b) c)
d) e)
3. Escreva os números 1, 60 e 3600 e fale das desvantagens do sistema de numeração babilônico.
4. (Concurso Professor de Matemática 5ª à 8ª séries e Ensino Médio– SESI-SP/2004) Os sumérios, segundo George Ifrah, em seu
livro Os números, por volta de 3300 a.C. usavam os seguintes símbolos para números:
- um pequeno cone para representar a unidade
- a bolinha marcando a dezena
- um grande cone das sessenta unidades
- um grande cone perfurado vale 600 unidades
- uma esfera equivale a 3600 unidades
- uma esfera perfurada representa 36 000 unidades
Por volta do ano de 2 650 a.C. foi proposto na escola de formação de escribas e contadores, o seguinte problema: “Um granel de cevada
foi repartido entre diversos homens e cada qual recebeu 7 silas de cevada. Quantos eram os homens?” O granel equivale a 1 152 000
silas.
Para resolver o problema é necessário efetuar uma divisão, que os sumérios faziam pelo sistema de trocas porque o cálculo escrito ainda
não era utilizado.
Como os sumérios representariam o número de homens, resultado correto para o problema?
a) 6 bolinhas, 2 grandes cones, 4 cones perfurados, 6 esferas, 4 esferas perfuradas.
b) 2 pequenos cones, 4 bolinhas, 2 grandes cones, 3 cones perfurados, 4 esferas, 5 esferas perfuradas.
c) 1 pequeno cone, 5 bolinhas, 5 grandes cones, 4 cones perfurados, 5 esferas, 4 esferas perfuradas.
d) 1 pequeno cone, 6 bolinhas, 2 grandes cones, 3 cones perfurados, 5 esferas, 3 esferas perfuradas.
e) 3 pequeno cone, 4 bolinhas, 2 grandes cones, 5 cones perfurados, 5 esferas, 4 esferas perfuradas.
OTÁVIO LUCIANO CAMARGO SALES DE MAGALHÃES 318
5. (ENCCEJA – Ensino Médio – 2002) A civilização babilônica viveu na Mesopotâmia há cerca de 6000 anos. Os estudiosos
encontraram documentos dessa civilização feitos em tijolos relativamente finos de argila. A escrita era feita com uma espécie de estilete
nos tijolos ainda úmidos. Os traços dessa escrita tinham o formato de cunha e por isso a escrita dos babilônios é chamada cuneiforme.
Os arqueólogos descobriram tabletes babilônicos datados provavelmente de 1800 antes deCristo, onde apareceram as seqüências
numéricas:
1, 3, 9, 27, 81,...
1, 4, 16, 64,...
(Adaptado de CARVALHO, M. C. Padrões Numéricos e Seqüências. São Paulo. Editora Moderna. 1997)
As seqüências descobertas mostram que os babilônios já trabalhavam naquela época com seqüências de números que mostram a
seguinte regra de formação: cada número da seqüência pode ser obtido
(A) a partir do segundo,somando ao anterior um mesmo número.
(B) a partir do segundo, multiplicando o anterior por um mesmo número.
(C) a partir do quarto, somando ao anterior um mesmo número.
(D) a partir do terceiro, multiplicando o anterior por um mesmo número.
SISTEMA DE NUMERAÇÃO MAIA
“Esquecemos, a todo instante, os prodígios que o zero realiza no campo da Numeração”
Lancelot Hogben
Muito superior ao sistema babilônico, egípcio e romano, a civilização maia, que vivia na península do Yucatan (atual México),
no século IV d.C., desenvolveu um sistema de numeração posicional, vigesimal (base 20) e com símbolo especial para o zero.
Os maias tinham dois tipos de escrita, a hieroglífica maia, com “símbolos de cabeça” para os números de 0 a 13, e os números
de 14 a 19 formados pela união da madíbula inferior de um símbolo de caveira para o 10 a um dos símbolos do 4 ao 9; e a escrita mais
comum, popular.
Esta escrita popular, que vamos ver sua estrutura facilitava cálculos aritméticos (inclusive a divisão) e servia para o comércio
e para a contagem do tempo. (É importante observar que os maias usavam dois tipos de numeração, uma para contagem do tempo, em
seu ano de 365 dias, e outra para fins comerciais. Na numeração para o tempo, chamada de contagem calendar, a terceira posição vale
360, e não 400, como deveria valer, e, a quarta posição 7200, ao invés de 8000, portanto, um símbolo poderia representar dois números
diferentes, dependendo do contexto em que tivesse inserido).
Até 20, os números eram escritos da seguinte maneira, usando-se ponto (seixo) e a barra (vareta ou bastão):
Para números maiores que 20 são necessárias mais de 1 posição. E para o número 20 os maias usavam um concha (ou mão
fechada).
Alguns livros usam o símbolo para representar o zero da numeração maia.
Veja os números:
(Gravura do livro “Tópicos de História da Matemática para uso em sala de aula – Números e Numerais”)
Na notação comum, os números acima representam 13, 151, 400 e 8002. Em notação calendar, os dois últimos números são
360 e 7202.
OTÁVIO LUCIANO CAMARGO SALES DE MAGALHÃES 319
EXERCÍCIOS
1. Escreva em algarismos maias:
a) 52 b) 45 c) 87 d) 135
e) 451 f) 525 g) 923 h) 1025
i) 9123 j) 65323
2. Escreva em algarismos indo-arábicos:
a) b) c) d) e) f)

Apostila 7 c 1 bim v2

  • 1.
    OTÁVIO LUCIANO CAMARGOSALES DE MAGALHÃES 1
  • 2.
    OTÁVIO LUCIANO CAMARGOSALES DE MAGALHÃES 2 CONCEITO DE FRAÇÕES 1) Diga qual é a fração da figura correspondente à parte pintada? A B C D E F G H I J K L M Imagem de Bertoni (2009) N Imagem de Bertoni (2009) O Imagem de Bertoni (2009) P Q R
  • 3.
    OTÁVIO LUCIANO CAMARGOSALES DE MAGALHÃES 3 2) Escreva como fração imprópria e como número misto as partes coloridas: A B C E F G I J K L 3) É correto dizer que a fração pintada na figura abaixo é 2/5? Explique. 4) Abaixo um bolo foi dividido em 10 partes. Comemos 5 partes. Qual fração sobrou? (Adaptado de Bertoni, 2009). 5) Qual fração do queijo abaixo foi comida? (Adaptado de Bertoni, 2009). BERTONI, Nilza Eigenheer. Módulo VI: Educação e linguagem matemática IV. Brasília: UnB, 2009.
  • 4.
    OTÁVIO LUCIANO CAMARGOSALES DE MAGALHÃES 4 6) a) Abaixo, a representação das melancias em um balcão de mercadinho. Qual é a fração de melancias nesse balcão? (Adaptado de Bertoni, 2009). b) Se cada melancia custa R$ 12,00, qual é o preço de todas as melancias sobre o balcão? 7) Que fração do círculo representam os desenhos abaixo? (Adaptado de Bertoni, 2009) 8) (Olimpíada de Matemática de Escola Pública do Ceará – 5ª série – 2003) A fração que representa a parte destacada da malha quadriculada é: a) 2 1 b) 12 4 c) 16 5 d) 4 1 e) 4 3 9) (Avaliação do SAEB – 4ª série – 2001) O desenho representa uma torta dividida em partes iguais. Ana comeu a parte escura. Que fração da torta Ana comeu? a) ¼ b) ¾ c) 3/3 d) 4/3 10) (Avaliação do SAEB – 4ª série – 2001) Observe a torta de morangos que Letícia fez. Ela dividiu a torta em 8 partes iguais e comeu 3 partes desta torta. Qual a fração que representa as partes que ela comeu? a) 3/8 b) 5/8 c) 8/5 d) 8/3 12) (Avaliação do SAEB – 4ª série – 2001) Para fazer uma horta, Marcelo dividiu um terreno em 7 partes iguais. Em cada uma das partes, ele plantará um tipo de semente. Que fração representará cada uma das partes dessa horta? a) 1/7 b) 2/7 c) 7/1 d) 7/7 13) (Avaliação do SARESP 2000 – 5ª série - Diurno) Um quadrado maior foi dividido em quadradinhos. Colorindo 4 desses quadradinhos, terei pintado: a) a metade do quadrado maior b) a terça parte do quadrado maior c) 5/9 de todo o quadrado maior d) 4/9 do quadrado maior 14) (Exame de Seleção do Centro Estadual de Educação Paula Souza – Ensino Médio – SP/2º 2003) O Brasil tinha 130 projetos de manejo da madeira (mogno) em andamento. Desse total, 110 foram cancelados, a maioria por irregularidades. A madeira se tornou alvo de saqueadores – o que amplia o risco de sua extinção, mesmo porque o crescimento do mogno é lento: só atinge o diâmetro ideal, de cerca de um metro, em oitenta anos. (Adaptado Veja. Edição 1769. 18/09/02) Considere um certo terreno retangular ABCD da floresta onde foi implementado um projeto para replantar árvores de mogno. O terreno da plantação é triangular conforme a figura, a seguir: A área triangular, em destaque, corresponde à seguinte fração da área do terreno retangular ABCD: a) 1/4 b) 1/5 c) 1/6 d) 1/8 e) 1/10
  • 5.
    OTÁVIO LUCIANO CAMARGOSALES DE MAGALHÃES 5 15) (XXVI Olimpíada Brasileira de Matemática – Nível 1 – 1a fase – 2004) Dezoito quadrados iguais são construídos e sombreados como mostra a figura. Qual fração da área total é sombreada? a) 7/18 b) 4/9 c) 1/3 d) 5/9 e) ½ 16) (Sistema Mineiro de Avaliação – SIMAVE) Observe o retângulo Que fração representa a parte pintada desse retângulo? a) 3/5 b) 3/8 c) 5/3 d) 8/3 17) (Sistema Mineiro de Avaliação – SIMAVE) A avó de Alan fez um bolo. Ela dividiu o bolo em 8 pedaços iguais e Alan comeu 3 pedaços. Observe a representação do bolo na figura. A fração que representa a parte do bolo que Alan comeu é: a) 3/3 b) 3/5 c) 3/8 d) 5/3 FRAÇÕES IMPRÓPRIAS 1) Desenhe as frações impróprias e transforme em número misto: a) 4/3 b) 12/5 c) 16/8 d) 10/3 2) Desenhe os números mistos e os transforme em fração imprópria: a) 2 1 3 b) 1 2 3 c) 3 1 2 d) 1 2 5 e) 1 3 4 f) 2 3 5 g) 4 1 2 h) 4 2 3 3) Escreva a quantidade de laranjas na forma de fração imprópria e de número misto (adaptada de Andrini, 2012): 4) Observe: Do livro de Andrini (2012) E agora faça o mesmo: ANDRINI, Álvaro; VASCONCELOS, Maria José. Praticando Matemática, 6. 3ª ed – renovada. São Paulo: Editora do Brasil, 2012.
  • 6.
    OTÁVIO LUCIANO CAMARGOSALES DE MAGALHÃES 6 5) Situe o número 15 2 entre dois números inteiros. 6) Transforme as seguintes frações impróprias em números mistos: a) 4 7 b) 5 8 c) 2 3 d) 3 11 7) Transforme os números mistos em frações impróprias: a) 4 1 2 b) 4 3 3 c) 2 1 1 d) 4 3 1 8) Transforme a fração 7 1000 em número misto. 9) Transforme a fração 100 1 2 em fração imprópria. FRAÇÃO DE UMA QUANTIDADE 1) Calcule, utilizando desenhos: a) 1/3 de 60 b) 1/4 de 100 c) 1/5 de 55 d) 1/2 de 100 e) 2/3 de 90 f) 3/5 de 100 g) 4/7 de 140 h) 2/5 de 80 2) Quanto é: a) 2/3 de 1 hora? b) 3/8 de 1 dia? c) 3/4 de 1 ano? d) 2/5 de 1 década? 3) Encontre: a) 4 1 de 200 b) 5 3 de 75 c) 7 3 de 51 d) 3 2 de 1 hora
  • 7.
    OTÁVIO LUCIANO CAMARGOSALES DE MAGALHÃES 7 4) (Avaliação do SARESP 1998 – 5ª série - Diurno) Na portaria de um prédio chegaram, certo dia, 65 cartas. Desse total, 1/5 era para ser entregue no 1º andar. Qual era o número de cartas para ser entregue nos outros andares? a) 20 b) 35 c) 48 d) 52 5) Uma pizzaria tem uma frota de 12 motos para fazer entregas a domicílio. Dois terços dessa frota são pilotados por garotas. Nessa frota, quantas motos são pilotadas por garotas? 6)Fui artilheiro do campeonato de futebol de salão da escola. Marquei 1/3 dos 18 gols que meu time fez. Quantos gols marquei? 7) O tanque de um carro tem capacidade para 52 litros de álcool. Quando o ponteiro indica que o combustível ocupa ¾ do tanque, quantos litros de álcool há nele? 8) Dado o desenho, pinte as frações correspondentes A) 1/2 B) 2/4 C) 3/6 D) 6/12 E) 1/3 F) 2/6 G) 4/12 D) 1/12 Qual fração é maior ½ ou 1/3? 9) Na vida real, “fração” significa “parte”. E na Matemática? 10) (Concurso Público para Professor de 1ª à 4ª série – Prefeitura Cidade do Rio de Janeiro/2001?) Numa seção eleitoral havia 252 eleitores inscritos para votar. Votaram cinco nonos deles. Quantos eleitores não foram votar? a) 140 b) 150 c) 100 d) 112 11) (Concurso de Fiscal de Serviços Públicos – Prefeitura Municipal de São Carlos / 2002) João recebe R$ 990,00 por mês, e 3/5 dessa quantia equivalem a 2/3 do que recebe seu irmão. Portanto, o irmão de João recebe, por mês, a) R$ 920,00b) R$ 909,00c) R$ 891,00 d) R$ 594,00e) R$ 396,00
  • 8.
    OTÁVIO LUCIANO CAMARGOSALES DE MAGALHÃES 8 12) (Concurso Professor Orientador de Aprendizagem Telecurso 2000 Ensino Médio– SESI- SP/2004) Uma balança registra 1115 g quando sobre seu prato é colocado uma jarra cheia de água. Retirando-se 1/3 da água da jarra, a balança passa a registrar 930 g. A massa da jarra vazia é, em gramas, igual a: a) 185 b) 370 c) 555 d) 560 e) 655 13) (Avaliação do SARESP 1998 – 5ª série - Diurno) Na portaria de um prédio chegaram, certo dia, 65 cartas. Desse total, 1/5 era para ser entregue no 1º andar. Qual era o número de cartas para ser entregue nos outros andares? a) 20 b) 35 c) 48 d) 52 14) (Avaliação do SARESP 1998 – 5ª série - Diurno) Uma dona de casa serve suco todos os dias no almoço. A jarra que ela utiliza é retangular e tem capacidade para 3 litros. Ontem havia ½ jarra de suco. Qual a quantidade de suco contida na jarra? a) 1,5 litros b) 2,0 litros c) 2,5 litros d) 3,0 litros 15) (Exame de Seleção Escola Agrotécnica Federal de Muzambinho – 1o semestre / 1998) No posto de venda desta Escola foram vendidos 40 kg de carne bovina, o que corresponde a 5/8 do estoque. Quantos quilogramas restam? a) 14 kg b) 24 kg c) 25 kg d) 30 kg e) 64 kg 16) (Avaliação do SARESP 1998 – 5ª série - Diurno) Eu tenho 1320 figurinhas. Meu primo tem a metade do que tenho. Minha irmã tem o triplo das figurinhas do meu primo. Quantas figurinhas minha irmã tem? a) 1900 b) 1930 c) 1940 d) 1980 17) (UNICAMP – 1989) Uma lanchonete vende hambúrgueres a Cz$ 600,00 cada um. Sabendo- se que 1/5 desse preço é o custo do pão e dos demais ingredientes e que 1/3 corresponde às outras despesas, calcule o lucro obtido na venda de cada hambúrguer.
  • 9.
    OTÁVIO LUCIANO CAMARGOSALES DE MAGALHÃES 9 FRAÇÕES EQUIVALENTES 1) Verifique com desenhos que são equivalentes 2/3, 4/6, 6/9 e 8/12. 2) Ache a classe de equivalência de: a) 5/9 b) 7/13 3) (Avaliação do SARESP 2000 – 5ª série - Diurno) Quais são as três frações equivalentes a ½? a) 2/4, 3/5, 4/6 b) 2/4, 5/10, 6/12 c) 3/6, 4/10, 6/12 d) 3/7, 5/8, 2/4 4) Simplifique as frações: a) 16 24 b) 25 100 c) 108 216 d) 16 40 e) 25 55 f) 26 39 g) 144 192 5) Simplifique as frações: a) 32 24 b) 105 35 c) 216 144 d) 170 51 e) 95 77 REVISANDO E COMPLEMENTANDO 6) a) Transforme 4 3 2 em fração. b) Transforme 3 5 em número misto. 7) a) Dê um exemplo de fração entre 2 e 3. b) Por que 2 1 é menor que 3 2 ? 8) Calcule: a) ½ de 200 b) 2/4 de 200 c) 4/8 de 200 d) 5/10 de 200
  • 10.
    OTÁVIO LUCIANO CAMARGOSALES DE MAGALHÃES 10 9) (Exame de Seleção Colégio Técnico Industrial de Limeira/Unicamp-2001) Para o próximo verão, a fábrica de sorvetes "Qui-Gostinho" pretende lançar a campanha "NÃO POLUA AS RUAS DA CIDADE", que permitirá a troca de 10 palitos de sorvete por um sorvete de palito. Pede-se: a) a que fração de um sorvete corresponderá um palito? b) com 100 palitos, quantos sorvetes é possível ganhar? 10) (Novo Matemática na Medida Certa – 5ª série – Centurión, Jakubo e Léllis) Malba Tahan escreveu muitos livros contando histórias de matemática. A que vamos contar é uma delas, talvez a mais conhecida. Tudo se passa num deserto. “Um árabe deixará 35 camelos de herança para seus três filhos: 1/2 para o mais velho, 1/3 para o do meio e 1/9 para o outro. Não conseguindo dividir 35 por 2, nem por 3, nem por 9, os irmãos começaram a brigar. Um viajante que passava pelo local resolveu o problema da seguinte maneira: primeiro, deu um dos camelos aos três irmãos. A herança passou a ser, então, 36 camelos. O mais velho recebeu 1/2 de 36, ou seja, 18 camelos; o do meio recebeu 1/3 de 36, ou seja, 12 camelos; e o outro recebeu 1/9 de 36, ou seja, 4 camelos. Então, dos 36 camelos, os irmãos levaram 34 camelos (18+12+4). O viajante pegou de volta o seu, escolheu o melhor dos camelos da herança e, feliz, prosseguiu sua viagem: além de resolver o problema dos 3 irmãos, ele ainda saiu ganhando um camelo” Para esclarecer esse mistério, responda: a) Se o árabe tivesse deixado 1/7 dos 35 camelos para cada filho, quantos dos 35 camelos ficariam sem dono? b) Se o árabe tivesse deixado 1/5 dos 35 camelos para cada filho, quantos dos 35 camelos ficariam sem dono? c) Para que uma parte da herança não fique sobrando, quando deve dar a soma das três frações destinadas aos filhos? Isso acontece no problema? Que fração da herança estava “sem dono”? Ela correspondia a mais do que um camelo? 11) (Avaliação do SARESP 2000 – 5ª série - Diurno) Todos os 240 lugares do cinema estavam ocupados na sessão de domingo à tarde. ¾ das pessoas que assistiam ao filme eram meninas. Um pouco antes de acabar a sessão o gerente do cinema ordenou ao porteiro: - Por favor, pegue estes brindes e distribua na saída, um para cada menina; menino não ganha. O porteiro olhou os brindes e retrucou: - Mas aqui não há brindes suficientes para todas elas, pois o senhor pensou que metade das pessoas seriam meninas, e isto não aconteceu. Se o porteiro entregar um brinde para cada menina, quantas não ganharão? a) 120 b) 80 c) 60 d) 40 12) Considere as frações: 10/16, 15/32, 60/64 e 80/128. Quais delas são equivalentes a 5/8? 13) Dê três exemplos de frações equivalentes a: a) 2/7 b) 3/2
  • 11.
    OTÁVIO LUCIANO CAMARGOSALES DE MAGALHÃES 11 14) Considere as frações: 6/10, 11/33, 12/25, 15/21, 16/35. Quais delas são irredutíveis? 15) Responda: a) 5/7 de R$ 175,00 têm o mesmo valor que 25/35 de R$ 175,00? b) 5/7 e 25/35 são frações equivalentes? c) 2/3 de R$ 108,00 têm o mesmo valor que 10/12 de R$ 108,00? d) 2/3 e 10/12 são frações equivalentes? 16) Coloque na forma irredutível (Simplifique) a) 10 14 b) 39 65 c) 70 105 d) 75 105 17) Para se ter 3 4 = 15 𝑥 , que número deve ser colocado no lugar de x? 18) Calcule os valores desconhecidos: a) 2 3 = 18 𝑥 b) 8 𝑥 = 24 33 c) 𝑥 9 = 5 3 d) 1 2 = 𝑥 10 19)Responda: a) Um meio equivale a quantos oitavos? b) Dois terços equivale a quantos nonos? 20) Responda: a) 2/8 e 10/18 são equivalentes? b) 2/3 e 14/21 são equivalentes? c) 2/3 e 26/39 são equivalentes? 21) Considere as frações: 5/10, 10/20, 5/20, 3/8 e 35/70. Quais delas são equivalentes a ½.
  • 12.
    OTÁVIO LUCIANO CAMARGOSALES DE MAGALHÃES 12 REVISÃO 1) Represente com figuras as seguintes frações: a) ¼ b) ¾ c) 5/3 d) 7/2 e) 3/3 2) Represente cada fração dada com uma figura e, depois, escreva essa fração na forma mista. a) 3/2 b) 8/3 c) 8/5 d) 7/4 e) 23/4 3) Escreva as frações impróprias na forma mista, sem fazer a figura (apenas imagine a figura): a) 37/10 b) 18/7 c) 27/4 d) 9/8 e) 7/2 f) 29/10 g) 22/19 h) 15/4 4) Escreva na forma de fração: 16 7 e)1 2 1 d)7 6 5 c)1 10 4 b)3 3 1 2)a 4 1 i)3 3 1 h)3 4 3 g)2 8 7 f)5 16 7 1)e 5) Coloque na forma irredutível: a) 55 60 b) 11 165 c) 75 175 d) 252 630 e) 175 140 f) 184 253 6) Calcule o valor de x: a) 2 3 = 12 𝑥 b) 3 8 = 𝑥 40 c) 𝑥 20 = 2 5 d) 100 𝑥 = 20 50 e) 4 𝑥 = 1 4 f) 𝑥 37 = 403 481 7) a) Quanto é ¼ de R$ 17 000,00? b) Quanto é 25 100 de R$ 17 000,00? c) ¼ e 25 100 são frações equivalentes?
  • 13.
    OTÁVIO LUCIANO CAMARGOSALES DE MAGALHÃES 13 8) (16ª Olimpíada Brasileira de Matemática – 1ª fase – Nível Júnior) É bem conhecida a brincadeira na qual a “simplificação ilegal” dos 6’s na fração abaixo produz uma resposta correta: 4 1 46 61    . Assinale dentre as opções abaixo aquela em que todas as frações do conjunto podem ser simplificadas dessa forma: a) {49/84, 26/65, 35/56} b) {19/95, 49/98, 48/84} c) {49/98, 47/74, 19/95} d) {26/65, 19/95, 27/75} e) {49/98, 19/95, 26/65} 9) Represente como desenho: a) 4 7 4 3 1  b) 12 11 3 2 4 1  10) Uma pizzaria tem uma frota de 12 motos para fazer entregas a domicílio. Dois terços dessa frota são pilotados por garotas. Nessa frota, quantas motos são pilotadas por 11) Fui artilheiro do campeonato de futebol de salão da escola. Marquei 1/3 dos 18 gols que meu time fez. Quantos gols marquei? 12) O tanque de um carro tem capacidade para 52 litros de álcool. Quando o ponteiro indica que o combustível ocupa ¾ do tanque, quantos litros de álcool há nele? 13) Quantos minutos tem ¾ de hora? 14) Estou viajando. Ontem percorri um quarto da estrada. Hoje percorri um terço do trecho que faltava. a) Faça um desenho representando a estrada. Nela indique os trechos que percorri ontem e hoje. b) Que fração da estrada me falta percorrer? 15) Havia um só chocolate para dois irmãos. O menor comeu ¾ do chocolate. Que fração sobrou para o maior? 16) Divida a figura em 3 partes iguais. Depois, assinale 2/3 da figura. 17) Tenho um tio que reclama de tudo. Hoje ele reclamou que minha tia não trabalha e ainda gasta 2/3 do seu salário inutilmente. Eu perguntei quanto ele ganhava e ele respondeu: - A grande miséria de R$ 1.011,00. Agora, calcule quanto minha tia gasta.
  • 14.
    OTÁVIO LUCIANO CAMARGOSALES DE MAGALHÃES 14 18) Vinte carros iniciaram uma corrida, mas só ¼ deles a terminou. Quantos carros desistiram? 19) Eu sei que 1 quilograma tem 1 000 gramas. no açougue, alguém pediu ¾ de quilo de carne moída. Quantos gramas têm ¾ de quilograma? 20) O ano tem 12 meses. Diga quantos meses há em: a) 2/3 do ano b) ¾ do ano 21)O despertador tocou e eu nem me mexi. Meu avô gritou: - Levanta, Carla! Falta um quarto para as seis. Isso significa: falta um quarto de hora para as seis horas. Então eram 5 horas e quantos minutos? 22) Um jogo de futebol tem dois tempos, de 45 minutos cada. Diga quantos minutos de jogo já se passaram, quando o locutor de rádio diz: a) – Atingimos a terça parte do primeiro tempo! b) – Atingimos a terça parte do segundo tempo! c) – Atingimos a terça parte do jogo! d) – Falta apenas a terça parte do segundo tempo! 23) Rogério fez 1/3 do trabalho, se cansou e deixou o restante para outra pessoa fazer. Faça um desenho representando a parte do trabalho que Osvaldo fez. Depois, responda: que fração do trabalho ainda precisa ser feita? 24) A metade da metade de uma figura é que fração dessa figura? 25) Estou viajando. Ontem percorri um quarto da estrada. Hoje percorri dois terços do trecho que faltava. a) Faça um desenho representando a estrada. Nele, indique os trechos que percorri ontem e hoje. b) Que fração da estrada me falta percorrer? 26) Considere as frações: 10 16 15 32 60 64 80 128 , , e Quais delas são equivalentes a 5 8 ? 27) Dê três exemplos de frações equivalentes a: a) 2 7 b) 3 2
  • 15.
    OTÁVIO LUCIANO CAMARGOSALES DE MAGALHÃES 15 28) Considere as frações: 6 10 11 33 12 25 15 21 , , , e 16 35 Quais delas são irredutíveis? 29) É correto afirmar que 100:12 dá a mesma resposta que 50:3? Justifique. 30) Tinha 144 balas e reparti igualmente entre 16 colegas. Para que outros 8 colegas recebessem a mesma quantidade de balas que os anteriores, quantas deverei providenciar? 31) Coloque na forma irredutível: a) 252 630 c) 175 140 b) 184 253 32) Vou te falar de 3 frações. Não sei se elas estão irredutíveis, mas eu quero que elas fiquem. Puxa! Não sei por qual número eu divido os termos? Descubra para mim, se as frações são irredutíveis, e, se não forem, reduzam à forma irredutível. As frações são 98 112 144 101 91 130 , e . 33) O filme que está em minha máquina fotográfica é de 36 poses. Eu já bati 7/9 das fotografias. Quantos fotos já bati? 34) Minha classe tem 42 alunos. Hoje, com a greve dos motoristas de ônibus, 9/14 dos alunos faltaram. Quantos alunos faltaram? 35) Um caminhoneiro está em uma viagem de 1000 quilômetros, já percorreu 3/8 dessa distância. Quantos quilômetros ele já percorreu? 36) Estamos disputando uma partida num fliperama. Você tem 1450 pontos. Quanto aos meus pontos, eles correspondem a 9/10 dos seus. Quantos pontos eu tenho? 37) O dono de uma fábrica declarou: Tudo vai mal neste país. Em abril (deste ano), só vendemos 6/10 do que no mês de abril do ano passado! Em abril do ano passado, essa fábrica vendeu 25 000 000 de chicletes. Quantos ela vendeu em abril deste ano?
  • 16.
    OTÁVIO LUCIANO CAMARGOSALES DE MAGALHÃES 16 38) Numa eleição, o total de votos foi 650 130. O candidato M. A. Landro teve 2/13 dos votos e o candidato O. Nestor teve 3/5 dos votos. Quantos votos cada um deles recebeu? 39) O pessoal está jogando cartas. Carlos tem 5/6 dos pontos de Clarice, que tem 11/8 dos pontos de João, que tem 6/3 dos pontos de Ana. Responda: a) Carlos tem mais pontos que Clarice? b) Clarice tem mais pontos que João? c) João tem mais pontos que Ana? d) Afinal, quem tem mais pontos: Carlos, Clarice, João ou Ana. 40) Num mês de 30 dias, diga quantos dias correspondem a: a) 5/6 do mês b) 3/10 do mês c) 8/15 do mês d) 19/30 do mês 41) Quantas horas tem 5/8 de um dia? 42) Com o dia de hoje, lá se vão 2/5 deste ano de 1994. Em que mês estávamos quando o professor disse essa frase? 43) Um bolo foi dividido em 25 fatias: 15 finas (iguais) e 10 grossas (iguais). Cada fatia grossa valia por duas finas. a) Cada fatia fina é uma certa fração do bolo. Qual? b) Cada fatia grossa é uma certa fração do bolo. Qual? 44) Sabendo que 8 alunos correspondem a ¼ de classe, diga quantos alunos tem essa classe. 45) Kelly está com 12 anos e tem um terço da idade de sua mãe. Qual é a idade dela? 46) Já consegui encaixar 25 peças de um quebra-cabeça, mas isso é apenas 1/6 do total. Quantas peças tem esse quebra-cabeça? 47) Alexandre tem 1/5 do dinheiro que Strauss tem. Michael tem 1/3 do dinheiro que Strauss tem. Alexandre tem R$ 30,00. Quanto têm os outros?
  • 17.
    OTÁVIO LUCIANO CAMARGOSALES DE MAGALHÃES 17 48)Numa certa escola de samba, o pessoal da bateria representará 1/15 do total das pessoas que desfilarão. EXERCÍCIOS 1) Transforme as frações em números mistos: a) 16 5 b) 11 2 c) 4 7 d) 5 8 e) 2 3 f) 3 11 g) 7 1000 2) Transforme os números mistos em fração: a) 2 2 3 b) 3 3 4 c) 4 1 2 d) 4 3 3 e) 2 1 1 f) 100 1 2 g) 4 3 1 3) Simplifique as frações até elas ficarem na forma irredutível: a) 120 150 b) 210 35 d) 32 24 e) 105 35 f) 216 144 g) 170 51 h) 95 77 4) Ache: a) 4 1 de 200 b) 5 3 de 75 c) 7 3 de 51 d) 3 2 de 1 hora 5) Dê três exemplos de frações equivalentes a 3/10. 6) Responda: d) 2/8 e 10/18 são equivalentes? e) 2/3 e 14/21 são equivalentes? f) 2/3 e 26/39 são equivalentes? Uma forma de verificar 𝟐 𝟖 = 𝟏𝟎 𝟏𝟖 Multiplicando “em cruz” 2x18 e 8x10 não são iguais. Então não são equivalentes!
  • 18.
    OTÁVIO LUCIANO CAMARGOSALES DE MAGALHÃES 18 7) Considere as frações: 5/10, 10/20, 5/20, 3/8 e 35/70. Quais delas são equivalentes a ½. 8) Coloque na forma irredutível: a) 55 60 b) 11 165 c) 75 175 d) 252 630 e) 175 140 f) 184 253 9) Calcule o valor de x: a) 2 3 = 12 𝑥 b) 3 8 = 𝑥 40 c) 𝑥 20 = 2 5 d) 100 𝑥 = 20 50 e) 4 𝑥 = 1 4 f) 𝑥 37 = 403 481 10) a) Quanto é ¼ de R$ 17 000,00? b) Quanto é 25/100 de R$ 17 000,00? c) ¼ e 25/100 são frações equivalentes? 11) Sabendo que 8 alunos correspondem a ¼ de classe, diga quantos alunos tem essa classe. 12) Kelly está com 12 anos e tem um terço da idade de sua mãe. Qual é a idade dela? 14) Já consegui encaixar 25 peças de um quebra-cabeça, mas isso é apenas 1/6 do total. Quantas peças tem esse quebra-cabeça? 15) Alexandre tem 1/5 do dinheiro que Strauss tem. Michael tem 1/3 do dinheiro que Strauss tem. Alexandre tem R$ 30,00. Quanto têm os outros? 16) Numa certa escola de samba, o pessoal da bateria representará 1/15 do total das pessoas que desfilarão. PRATICANDO 1) Na minha festa de aniversário, vieram 15 amigos. Eles correspondem a 3/5 dos convidados. Quantas pessoas convidei?
  • 19.
    OTÁVIO LUCIANO CAMARGOSALES DE MAGALHÃES 19 2) Numa fábrica de brinquedos, uma das máquinas estava com defeito. Por isso, 140 brinquedos se estragaram. Eles representavam 2/7 da produção do dia, Quantos brinquedos, no total, foram produzidos nesse dia? 3) Romeu tem R$ 1 890,00. Isso é 7/9 do que tem Julieta. Quanto tem Julieta? 4) Num video game, o jogador tem certo número de mísseis para destruir as naves inimigas. Restam 3/10 dos mísseis iniciais, e agora ele ainda tem 21 mísseis. Com quantos mísseis ele iniciou o jogo? 5) Uma empresa de transportes coletivos vai muito mal: 13/20 dos seus ônibus estão quebrados. Isso corresponde a 520 ônibus quebrados! Quantos ônibus tem essa empresa? 6) Para evitar problemas com a coluna, as crianças não devem carregar mais de 1/10 do seu próprio peso. Adultos podem carregar até 1/5 do próprio peso. Sabendo disso, um adulto e uma criança fizeram seus cálculos: ele pode carregar até 14 quilogramas e a criança até 4. Quantos quilogramas têm esse adulto e essa criança? 7) Um professor disse a seus alunos que o próximo assunto seria tão difícil que 9/8 da classe não iriam entender. Muitos alunos logo viram que o professor só estava brincando. Como eles perceberam isso? 8) Num ônibus, há um cartaz mostrando a sua lotação máxima. Agora é horário de saída do trabalho: no ônibus, estão 72 passageiros. Calcule a lotação máxima indicada no ônibus nos seguintes casos: a) os passageiros são 2/3 da lotação máxima escrita no cartaz b) os passageiros são 3/2 da lotação máxima escrita no cartaz 9) Um grupo de 6 alunos pediu ao professor que elaborasse mais uma prova para a classe. O professor disse: “- Vocês são apenas um quinto da classe. Só darei outra prova se metade da classe pedir. Vocês não sabem o trabalho que dá para corrigir...”. Quantos alunos precisarão se juntar ao grupo para que o professor dê a prova? 10) (Esse problema é bem antigo, é do ano de 1996 !) A estrada Muzambinho – Nova Resende, de 30,8 quilômetros acaba de ser inaugurada. Só que é a terceira vez que isso acontece. Na primeira vez, apenas 2/7 da estrada estavam asfaltados; na segunda, mais ¼ da estrada/ e, desta vez, mais 2/11. Quantos quilômetros da estrada ainda estão sem asfalto? 11) Na Classe de Aurélia, os meninos estão em maioria: eles são 2/3 dos alunos da classe. Aurélia disse que 2/7 desse meninos eram muito legais ( e contou à sua melhor amiga, Jaina: os muito legais eram o Renan, o Bayron, o Douglas e o Tatá). Agora que a história se espalhou e já chegou até você, responda: a) Quantos meninos tem a classe? b) Quantos alunos tem a classe?
  • 20.
    OTÁVIO LUCIANO CAMARGOSALES DE MAGALHÃES 20 12) Desenhe dois losangos. No primeiro deles, assinale ¼ da figura, e no segundo, assinale ¾. 13) É correto afirmar que 3½=3+½ ? Favor Justificar! 14) Num certo país, o Congresso Nacional tem 450 membros. Eles elaboram: 1º) leis complementares (que não mudam a atual Constituição); 2º) emendas à Constituição (que a modificam). Uma lei complementar é aprovada quando recebe mais da metade dos votos dos membros do Congresso. Aprovar uma emenda é mais difícil: ela precisa obter dois terços dos votos dos membros do Congresso. Calcule o número mínimo de votos necessários para se aprovar uma: a) lei complementar b) emenda à Constituição 15) Calcule 4/11 do que eu tenho, sabendo que 2/3 do que eu tenho são R$ 132,00. 16) Eu tenho R$ 132,00. Calcule quanto Dayanna tem, sabendo que 2/3 do que eu tenho são 4/11 do que ela tem. 17) Li 60 páginas de um livro. Calcule quantas páginas tem o livro, nos seguintes casos: a) as páginas que eu li correspondem a 4/15 do livro b) as páginas que eu li correspondem a 4/15 das que faltam c) as páginas que faltam correspondem a 4/15 das que eu li. APLICAÇÃO DAS FRAÇÕES EQUIVALENTES 1) Considere as frações: ¼, ½, 2/5, 7/10, 13/20, 12/25 e 43/50. Escreva essas frações na forma de taxa percentual. 2) Dividindo igualmente o conteúdo de 3 refrigerantes entre 4 pessoas, quanto cada uma receberá? 3) Dividindo igualmente 4 pizzas entre 7 pessoas, quanto cada uma receberá? Veja bem! Se dividirmos 2:7 = 2 7 . Você consegue explicar o motivo? Tente entender com 3:2. 4) Cada divisão a seguir tem como quociente um número racional absoluto. Escreva-o da maneira mais simples. a) 1:6 b) 3:8 c) 2:4 d) 6:2 e) 3:10 f) 10:3 5) Dois chocolates estão sendo divididos entre 5 crianças. a) Quantos chocolates estão sendo divididos? Isto é, qual é o dividendo? b) Entre quantas crianças eles serão divididos? Isto é, qual é o divisor? c) Qual é o resultado da divisão? Isto é, qual é o quociente?
  • 21.
    OTÁVIO LUCIANO CAMARGOSALES DE MAGALHÃES 21 6) Quem é maior? Para saber, reduza as frações ao mesmo denominador. a) 3/8 ou 5/6 b) 7/12 ou 11/20 c) 7/10 ou 13/20 d) 5/6 ou 6/5 7) Você pode pedir ¼ de quilograma de bolacha ou 1/5 de quilograma de bolacha. Se você quer a maior quantidade, qual delas você deve escolher? 8) Quem é maior? a) 1 ou 5/7 b) 12 ou 13/5 c) 3 ou 21/20 9) Escreva na ordem crescente as frações: a) ½, 1/8 e 5/16 b) 3, ¾ ou 2/3 10) Escreva na ordem decrescente as frações 3/2, 1/3 ou 5/8 11) Compare, com >, < ou =: a) 1/6 .... 1/8 b) 2 ... 7/3 c) 5/20 ... 6/24 d) 5/12 ... 7/16 12) Mentalmente, coloque em ordem crescente: a) 1/3, 1/6, 1/12, 1/24, 1/48. b) 1/5, 1/9, 1/21, 1/33, 1/4 13) Gal e Gil disputavam um torneio ortográfico. Primeiro, Gil ditou 50 palavras “difíceis”; Gal escreveu corretamente 30 delas. Depois, foi a vez de Gal ditar 50 palavras. Mas, quando Gil escreveu a quadragésima palavra, chegaram uns amigos e a brincadeira acabou. Gil tinha acertado 24 palavras e disse: - Ganhei. Tenho a maior fração de acertos. Foi mesmo? 14) Um jogo que dura 3 horas tem 4 tempos de mesma duração. a) Que fração de hora tem cada tempo? b) Quantos minutos tem cada tempo?
  • 22.
    OTÁVIO LUCIANO CAMARGOSALES DE MAGALHÃES 22 15) Escreva o número racional absoluto que é o quociente de: a) 15 b) 510 c) 96 d) 96 e)182 16) O nome “número racional” não significa “número que pensa”. Qual é o significado da palavra “racional” no nome “número racional”? 17) Cada fração a seguir representa algum número natural? Qual? a) 18/3 b) 18/4 c) 7/1 d) 1/7 e) 9/3 18) Considere os números racionais: 5/7, 12/10, 3/3, 8/20, 13/18 e 18/9. Quais deles são menores que 1? 19) No lugar de ...., o que se deve colocar: >, = ou >? a) ¾ .... 7/10 b) 2/3....3/5 c) 13/20...3/5 d) 12/15....25/40 e) 16/20....20/25 f) 15/10....12/8 g) 2/11...3/13 h) 5 .... 27/2 20) Num jogo, Celso arremessou 44 bolas à cesta: acertou 14. Oshima arremessou 10: acertou 3. Qual deles teve a maior fração de acertos? 21) A prova tinha 40 questões do mesmo valor. Vânia acertou 3/10 das questões; Maísa acertou 2/5. Por isso, suas notas foram 3/10 e 2/5 da nota máxima, que era 10 pontos. a) Quanto vale cada questão? Responda com uma fração irredutível. b) Quem teve nota maior: Vânia ou Maísa? c) Quais são as notas que eles tiraram? 22) Seiscentas garrafas serão colocadas em engradados. a) Quando, em cada engradado, couberam 24 garrafas, quantos engradados serão necessários? b) Quando, em cada engradado, couberem 48 garrafas, o último engradado ficará incompleto. com um número na forma mista, indique os engradados que serão necessários. 23) A distância entre duas cidades é de 325 quilômetros. Hoje, o trem que as liga viaja 65 quilômetros por hora. Planeja-se substituí-lo por um trem-bala, que viaja a 390 quilômetros por hora. a) Em quantas horas o trem atual faz a viagem? b) Em que fração de hora o trem-bala a fará? Quantos minutos levará essa viagem?
  • 23.
    OTÁVIO LUCIANO CAMARGOSALES DE MAGALHÃES 23
  • 24.
    OTÁVIO LUCIANO CAMARGOSALES DE MAGALHÃES 24 ADIÇÃO E SUBTRAÇÃO DE FRAÇÕES 1) Efetue. Simplifique o resultado. a) 1 8 + 2 3 19/24 b) 2 10 + 1 2 7/10 c) 2 12 + 1 24 3 d)2 + 1 3 7/3 e) 2 1 3 + 1 3 4 49/12 f) 5 1 3 + 2 3 4 97/12 g) 1 3 + 1 4 + 1 6 3/4 h) 2 5 + 1 4 + 3 2 + 4 9 467/180 i) 1 2 3 + 2 1 7 + 4 1 6 335/42 j) 2 7 − 1 10 13/70 k) 7 9 − 1 3 4/9 l) 12 5 − 2 3 26/15 m) 11 7 − 1 2 15/14 n) 2 − 1 4 7/4 o) 3 2 3 − 2 1 2 7/6 p) 1 4 + 2 3 − 1 2 5/12 q) 5 11 − 1 3 4/33 r)5 + 1 3 16/3 s) 3 4 + 2 5 23/20 t) 1 3 + 1 9 + 1 6 11/18 u) 5 9 + 7 5 88/45 v) 1 1 3 + 5 6 13/6 w)1 + 5 6 + 3 4 31/12 x) 1 + 7 9 16/9 y) 2 1 4 + 1 1 6 41/12 z) 1 1 2 + 3 + 2 3 31/6 2) Efetue. Simplifique o resultado. a) 7 4 − 5 4 1/2 b) 3 − 2 3 7/3 c) 1 − 4 9 5/9
  • 25.
    OTÁVIO LUCIANO CAMARGOSALES DE MAGALHÃES 25 d) 5 − 4 5 21/5 e) 2 1 3 − 5 6 3/2 f) 5 4 − 7 6 1/12 g) 1 3 10 − 3 4 11/20 h) 3 5 − 6 10 0 i) 4 1 2 − 1 3 4 11/4 j) 5 6 − 7 9 1/18 k) 2 − 7 8 + 1 2 13/8 l) 5 9 + 2 3 − 1 2/9 m) 2 5 + 1 4 − 3 10 7/20 n) 1 2 − 1 3 − 1 6 + 1 4 1/4 o) 1 3 + 1 4 7/12 p) 5 6 + 3 4 + 1 2 25/12 q) 3 + 1 3 + 1 2 23/6 r) 2 + 3 5 + 1 1 2 41/10 s) 2 3 + 5 6 3/2 t) 2 + 5 3 11/3 u) 2 1 2 + 1 2 3 25/6 v) 1 9 + 1 + 1 1 6 41/18 w) 3 5 + 3 10 9/10 x) 3 1 3 + 3 4 49/12 y) 3 8 + 5 10 + 7 10 63/40 z) 1 3 + 4 13/3 3) Efetue. Simplifique o resultado. a) 1 3 − 1 4 1/12 b) 2 − 3 5 7/5 c) 5 4 − 1 4 1 d) 3 − 1 1 4 7/4 e) 4 1 2 − 2 1 3 13/6 f) 3 4 − 1 2 1/4 g) 2 1 2 − 1 2 3 5/6
  • 26.
    OTÁVIO LUCIANO CAMARGOSALES DE MAGALHÃES 26 h) 2 2 5 − 1 3 10 11/10 i) 2 1 5 − 3 5 8/5 j) 2 3 + 1 4 − 1 2 5/12 k) 4 − 1 1 2 − 2 3 11/6 l) 1 2 + 1 3 + 1 4 − 1 5 77/60 m) 2 1 5 − 4 10 + 1 2 23/10 n) 1 9 + 5 6 − 7 12 13/36 o) 2 − 1 2 + 1 8 13/8 p) 2 + 5 6 − 7 12 9/4 q) 2 − 5 6 + 1 9 23/18 r) 2 1 2 − 5 3 + 5 4 − 1 3 7/4
  • 27.
    OTÁVIO LUCIANO CAMARGOSALES DE MAGALHÃES 27 4) As duas adições são corretas: Explique as vantagens do segundo método. (Adaptado do livro de Imenes & Lélis) 5) (Adaptado do livro de Imenes & Lélis) Sabendo que o mmc de 20 e 25 é 100, calcule: 6) Fábio comeu 1/3 do bolo e Matheus comeu ½ do bolo. Que fração do bolo restou? 7) (PUC-SP) A parte colorida representa que fração do círculo? 8) Represente através de uma fração as partes em destaque nas figuras e, em seguida, realize as operações indicadas:
  • 28.
    OTÁVIO LUCIANO CAMARGOSALES DE MAGALHÃES 28 MULTIPLICAÇÃO DE FRAÇÕES 1) Efetue as multiplicações, simplificando o resultado quando possível a) 2 × 3 5 6/5 b) 1 2 × 5 7 5/14 c) 7 3 × 4 5 28/15 d) 2 5 × 3 4 × 1 3 1/10 e) 4 × 6 8 3 f) 4 3 × 6 5 8/5 g) 2 3 × 3 5 2/5 h) 2 × 1 5 × 3 7 6/35 2) Calcule os produtos, efetuando o cancelamento quando possível a) 3 4 × 4 7 3/7 b) 6 15 × 20 9 8/9 c) 1 2 × 3 5 × 2 3 1/5 d) 1 2 × 2 5 × 3 4 3/20 e) 5 8 × 8 3 5/3 f) 3 7 × 5 2 × 1 4 15/56 g) 2 7 × 2 3 4/21 h) 5 9 × 7 10 7/18 i) 1 3 × 1 8 1/24 j) 2 7 × 5 9 10/63 k) 3 4 × 2 3 1/2 l) 3 4 × 2 3 1/2 m) 5 4 × 4 5 1 n) 5 4 × 0 × 2 7 0 o) 2 × 3 5 × 1 2 × 2 8 3/20 p) 1 1 2 × 2 5 × 5 3 1 q) 2 1 3 × 8 21 × 13 4 26/9 3) Calcule a) 3 4 + 5 6 19/12 b) 3 4 × 5 6 5/8 c) 1 5 + 3 10 1/2
  • 29.
    OTÁVIO LUCIANO CAMARGOSALES DE MAGALHÃES 29 d) 1 5 × 3 10 3/50 e) 5 6 × 6 10 1/2 f) 5 6 + 6 10 43/30 4) Calcule o valor das expressões a) 3 4 × 1 3 + 1 2 3/4 b) 5 8 − 1 3 × 2 5 59/120 c) 2 5 × 7 + 5 4 × 2 5 33/10 d) 9 4 × 1 2 − 2 7 × 7 3 11/24 e) 3 − 5 4 × 1 3 31/12 f) 2 5 × 5 3 + 1 6 5/6 g) 4 − 1 2 × 5 2 11 5) Se a= 5 3 + 1 2 e b= 3 4 − 1 2 Calcule a) a×b b) a+b c) a+ 1 3 Resp: a) 13/24; b) 29/12; c) 5/2 6) Calcule a) 13 10 × 11 3 143/30 b) 5 × 1 20 1/4 c) 14 5 × 10 21 4/3 d) 2 × 3 8 3/4 e) 1 2 5 × 2 1 2 7/2 f) 2 × 1 5 × 1 4 × 10 3 1/3 g) 3 4 × 4 7 × 7 5 3/5 h) 3 8 × 1 12 × 5 × 4 5 1/8 7) Resolva as expressões numéricas a) 1 2 − 1 2 × 1 3 1/3 b) 5 9 × 3 5 + 1 4 7/12 c) 1 − 2 5 × 5 8 3/4 d) 3 + 2 × 1 6 10/3 e) 3 8 × 4 3 − 1 2 0 f) 1 2 × 1 4 + 5 3 × 1 5 11/24 g) 1 2 + 3 4 × 2 9 2/3
  • 30.
    OTÁVIO LUCIANO CAMARGOSALES DE MAGALHÃES 30 h) 3 − 4 × 5 8 1/2 i) 2 3 − 1 2 × 0 2/3 8) Ache: a) 3/8 de 4/5 b) 5/4 de 12 c) 3/2 de 2/3 d) a quarta parte de 50 3/10 15 1 25/2 9) A Câmara dos Deputados possui 513 deputados federais. Para uma mudança na Constituição é preciso a aprovação de pelo menos 3/5 dos deputados. Calcule o número mínimo de deputados para aprovação de uma emenda constitucional. 10) (Saresp-SP) Um inspetor recebeu 120 pastas com contas para analisar. Na primeira semana, analisou 2/3 do número total. Na segunda ¾ do restante. Quantas pastas ainda faltam para analisar? Resposta: 1/12 11) Calcule: a) o dobro de 2/5 b) o triplo de 5/7 c) o quádruplo de 5/4 d) o quíntuplo de 1/5 Resposta: 4/5 15/7 5 1 12) Para efetuar 1 3 × 2 5 , pensamos em “um terço de vez os 2/5” ou “um terço de dois quintos”. Observe as figuras: Agora responda: a) 1/3 de 2/5 corresponde a que fração da figura total? b) Quanto é 1/3 x 2/5? c) Quanto é 2/3 x 3/5? (Adaptado do livro de Imenes & Lélis)
  • 31.
    OTÁVIO LUCIANO CAMARGOSALES DE MAGALHÃES 31 13) De acordo com a receita do Bolo de Formigas, quantos gramas de farinha cabem numa xícara comum? Dê uma resposta aproximada, com uma casa decimal. Ou seja, a escrita do número termina nos décimos mais próximos do valor real. (Adaptado do livro de Imenes & Lélis) 14) Observe a figura: a) A que fração da figura corresponde ¼ de 2/3? b) Quanto é ¼ x 2/3 ? d) Use a imaginação com base no exercício anterior e tente achar 1/10 de 2/3 só pensando nos desenhos. e) Se n representar um número natural, quanto valerá 1/n de 2/3. Tente pensar no desenho para responder. (Adaptado do livro de Imenes & Lélis) 15) Veja uma receita de bolo: Se você fizer essa receita, o bolo será suficiente para 6 pessoas. Escreva os ingredientes da mesma receita para 12 pessoas. (Adaptado de: http://emefrevdeiro.files.wordpress.com/2012/08/02_matematica_6ano.pdf) 16) Ontem, dormi ¼ das 24 horas do dia e estudei 1/6 do tempo que estive acordado. a) Que fração das 24 horas do dia representa o tempo que estive acordado? b) Que fração das 24 horas do dia representa o tempo que eu estudei? c) Quanto tempo eu estudei? (Adaptado de: http://emefrevdeiro.files.wordpress.com/2012/08/02_matematica_6ano.pdf)
  • 32.
    OTÁVIO LUCIANO CAMARGOSALES DE MAGALHÃES 32 17) Uma viagem aérea de São Paulo até Aracajú tem aproximadamente, 2.200 km. Sabendo que de São Paulo até o Rio de Janeiro tem-se 1/5 dessa distância, quantos quilômetros há entre essas duas cidades? (Adaptado de: http://emefrevdeiro.files.wordpress.com/2012/08/02_matematica_6ano.pdf) 18) Observe o gráfico: a) Foi feito um levantamento e verificou-se que nos próximos três anos haverá um crescimento de 1/3 da população. Qual será a nova população de cada cidade após 3 anos? b) Após calcular a nova população de cada cidade, coloque esses valores em ordem crescente. (Adaptado de: http://emefrevdeiro.files.wordpress.com/2012/08/02_matematica_6ano.pdf) 19) Para Danilo visitar sua avó, ele gasta durante a viagem ½ do tanque de combustível. Observe o marcador e responda a )Quanto restará de combustível no tanque? b) Se o tanque de combustível cheio tem 56 litros, quantos litros ele gastou na viagem? (Adaptado de: http://emefrevdeiro.files.wordpress.com/2012/08/02_matematica_6ano.pdf) 20) Para ladrilhar a sala de sua casa, Carol mediu o comprimento e a largura deste cômodo, obtendo uma área total de 60 m2, como mostra a figura. a) Após colocar 2/3 do piso, quantos m2 ainda faltam? b) Se para cada 5 m2 de piso, utiliza-se 1 saco de argamassa, quantos sacos ela já utilizou para colocar os 2/3 do piso? (Adaptado de: http://emefrevdeiro.files.wordpress.com/2012/08/02_matematica_6ano.pdf)
  • 33.
    OTÁVIO LUCIANO CAMARGOSALES DE MAGALHÃES 33 DIVISÃO DE FRAÇÕES 1) Calcule: a) 2 5 ÷ 3 4 8/15 b) 5 3 ÷ 1 2 10/3 c) 3 8 ÷ 6 4 1/2 d) 1 9 ÷ 1 1 3 1/12 e) 3 8 ÷ 2 7 21/16 f) 6 ÷ 1 4 24 g) 9 5 ÷ 3 10 6 h) 3 10 ÷ 6 4 1/5 i) 1 6 ÷ 1 3 1/2 j) 2 9 ÷ 5 6 4/15 k) 2 1 2 ÷ 5 3 3/2 l) 1 8 ÷ 2 1/16 m) 3:4 3/4 n) 5:3 5/3 o) 1:5 1/5 2) Efetue as divisões: a) 3 5 4 7 21/20 b) 1 4 5 6 3/10 3) Calcule o valor das seguintes expressões: a) 3 4 ÷ 2 5 + 7 2 43/8 b) 3 4 + 2 5 ÷ 7 2 121/140 c) 5 9 ÷ 5 12 − 5 6 ½ d) 3 8 ÷ 5 8 × 5 7 3/7
  • 34.
    OTÁVIO LUCIANO CAMARGOSALES DE MAGALHÃES 34 e) 2 9 × 3 2 ÷ 6 5 5/18 f) 5 8 ÷ 2 × 4 9 5/36 g) 3 ÷ 9 5 + 5 4 35/12 h) 1 7 . 7 3 − 1 10 ÷ 1 2 2/15 i) 15 14 ÷ 10 21 − 11 9 ÷ 22 15 17/12 j) 1 5 ÷ 1 2 + 1 4 13/20 k) 5 9 ÷ 1 3 + 1 6 11/6 l) 2 − 3 4 ÷ 3 2 3/2 m) 3 5 − 5 7 ÷ 10 7 1/10 n) 3 8 ÷ 3 2 . 4 1 o) 2 3 ÷ 5 6 + 1 2 ÷ 2 21/20 p) 2 3 + 1 4 1+ 3 8 2/3
  • 35.
    OTÁVIO LUCIANO CAMARGOSALES DE MAGALHÃES 35 q) 3− 3 5 1+ 5 7 7/5 r) 2 3 . 3 4 2− 3 2 1 4) Jair comprou 50 quilos de salgadinho e dividiu essa quantidade em pacotes iguais de ½ quilo cada. Quantos pacotes foram feitos? (Adaptado de: http://emefrevdeiro.files.wordpress.com/2012/08/02_matematica_6ano.pdf) Resposta: 100 (verifique fazendo os cálculos!) 5) Complete a tabela com os resultados: (Adaptado de: http://emefrevdeiro.files.wordpress.com/2012/08/02_matematica_6ano.pdf) Respostas: 3/5, 0, 9/16, 75/7 6) (Cesgranrio) Calcule o valor da expressão 1 + ( 1 5 + 1 3 ) : ( 3 5 − 1 15 ) Resposta: 2 7) Gabriela dividiu 2/3 de sua mesada com seus 4 irmãos. Todos eles receberam partes iguais. Que fração representa a quantidade recebida por cada irmão? 1/6 (Adaptado de: http://emefrevdeiro.files.wordpress.com/2012/08/02_matematica_6ano.pdf) 8) Calcule a) 6 7 . 1 3 + 1 7 1 7 3 b) 6/5 1/36 + 2 226/5 9) Quanto é? (Faça as contas!) a) metade de 2/3 1/3 b) dobro de 2/3 4/3 c) terça parte de 1/5 1/15 d) o triplo de 1/5 3/5
  • 36.
    OTÁVIO LUCIANO CAMARGOSALES DE MAGALHÃES 36 10) (Saresp) Um aluno fez uma pesquisa em 4 dias. No primeiro dia fez 2/10 do trabalho, no segundo ½, no terceiro 1/10 e no quarto o restante. Que fração do trabalho ele fez no quarto dia? 1/5 11) Do salário de Marta, 1/3; é usado para pagar as contas, 1/8 para as compras e o restante com passeios. Sabendo que Marta ganha R$ 1200,00 por mês, então quanto ela gasta com: a) Contas b) Compras c) Passeios (Qual é a fração?) 12) Relacione a primeira com a segunda coluna: (Adaptado de: http://emefrevdeiro.files.wordpress.com/2012/08/02_matematica_6ano.pdf) 13) Observe as frações: a) Quantas vezes 1/3 cabe na unidade? b) Quantas vezes ¼ cabe na unidade? c) Quantas vezes 1/5 cabe na unidade? d) Baseando nisso, diga quanto é 1:1/3, 1:1/4, 1:1/5. e) Agora, use a imaginação e responda: quanto é 3:1/5? f) Se n representa um número natural, quanto é n:1/5? (Adaptado do livro de Imenes & Lélis) 14) Observe a figura e responda: a) Quantas vezes 1/6 cabe em ½? b) Quanto é ½:1/6? (Adaptado do livro de Imenes & Lélis)
  • 37.
    OTÁVIO LUCIANO CAMARGOSALES DE MAGALHÃES 37 NOÇÃO DE PORCENTAGEM 1) Escreva na forma de fração: a) 25% b) 12% c)100% d) 50% e) 150% f) 200% 2) Efetue a) 15% de 100 b) 25% de 1000 c) 100% de 400 d) 50% de 1350 3) Uma mercadoria custa R$ 150,00 e tem um desconto de 20%. Qual será o preço dessa mercadoria? 120 4)Dos alunos de um curso, 40% são mulheres. Sabendo que são 120 alunos, quantas são as mulheres? 48 5) Pinte na malha o valor correspondente (Adaptado de: http://emefrevdeiro.files.wordpress.com/2012/08/02_matematica_6ano.pdf) 6) Foi pesquisada a preferência de esportes numa escola: Se essa escola tem 120 alunos, quantos preferem Futebol? (Adaptado de: http://emefrevdeiro.files.wordpress.com/2012/08/02_matematica_6ano.pdf)
  • 38.
    OTÁVIO LUCIANO CAMARGOSALES DE MAGALHÃES 38 7) Preencha a tabela: (Adaptado de: http://emefrevdeiro.files.wordpress.com/2012/08/02_matematica_6ano.pdf) 8) Uma loja de roupas oferece 15% de desconto no total a pagar se o cliente comprar duas calças jeans. Se o valor unitário das calças é R$ 45,00, quanto gastará uma pessoa que aproveitar essa oferta? R$ 76,50 (Adaptado do livro de Imenes & Lélis) 9) Analise essa forma de calcular 31% de 520 reais: Você conhece outras formas? (Adaptado do livro de Imenes & Lélis) 10)Quatro amigos gastaram R$ 26,90 em sanduíches e R$ 14,70 em sucos. A essas despesas foram acrescentados 10% de gorjeta para o garçom. Eles dividiram em partes iguais. Quanto cada um pagou? R$ 11,44 (Adaptado do livro de Imenes & Lélis) 11) Todo mês, José paga um aluguel de R$ 700,00 no 5º dia útil do mês. Neste mês, ele se esqueceu de pagar na data certa e foi obrigado a pagar também uma multa de R$ 35,00. Esse valor corresponde a quantos por cento do valor do aluguel? 5% (Adaptado do livro de Imenes & Lélis) 12) Devido a fortes chuvas, o preço das verduras subiu muito na última semana. O pé de alface, por exemplo, aumento de R$ 2,50 para R$ 3,20. De quanto por cento foi o aumento? 28% (Adaptado do livro de Imenes & Lélis) 13) (Prova Brasil) Num jogo de futebol, compareceram 20.538 torcedores nas arquibancadas, 12.100 nas cadeiras numeradas e 32.070 nas gerais. Naquele jogo, apenas 20% dos torcedores que compareceram ao estádio torciam pelo time que venceu a partida. Qual é o número aproximado de torcedores que viram seu time vencer? 12.942
  • 39.
    OTÁVIO LUCIANO CAMARGOSALES DE MAGALHÃES 39 14) (CAED) Para saber qual o esporte mais praticado pelos estudantes de uma escola, foi feita uma pesquisa cujos resultados encontram-se representados no gráfico abaixo. A) Nessa escola, a modalidade esportiva mais pratica pelos estudantes é ____________ B) Mais ou menos da metade dos estudantes praticam esse esporte? ____________ 15) (Prova Brasil) Uma professora ganhou ingressos para levar 50% de seus alunos ao circo da cidade. Considerando que essa professora leciona para 36 alunos, quantos alunos ela poderá levar? 18 16) (Prova Brasil) Os alunos da 8ª série fizeram uma estimativa para 200 pessoas com base no estudo abaixo Que gráfico de barras melhor representa o estudo?
  • 40.
    OTÁVIO LUCIANO CAMARGOSALES DE MAGALHÃES 40 17) (SIMAVE) Uma rede de supermercados resolveu fazer uma pesquisa para saber qual horário as pessoas mais gostavam de ir ao supermercado. Foram entrevistadas 2.000 pessoas e o resultado está no gráfico abaixo. Durante qual horário a maioria das pessoas entrevistadas preferem ir ao supermercado? GABARITO 10)Quatro amigos gastaram R$ 26,90 em sanduíches e R$ 14,70 em sucos. A essas despesas foram acrescentados 10% de gorjeta para o garçom. Eles dividiram em partes iguais. Quanto cada um pagou? R$ 11,44 (Adaptado do livro de Imenes & Lélis) Gastos = R$ 26,90 + R$ 14,70 = R$ 41,60 Gorjeta 10% de 41,60 = R$ 4,16 Total: 41,60 + 4,16 = 45,76 45,76 ÷ 4= 11,44 Resposta: Cada amigo, pagou R$ 11,44 11) Todo mês, José paga um aluguel de R$ 700,00 no 5º dia útil do mês. Neste mês, ele se esqueceu de pagar na data certa e foi obrigado a pagar também uma multa de R$ 35,00. Esse valor corresponde a quantos por cento do valor do aluguel? 5% (Adaptado do livro de Imenes & Lélis) 35 700 = 5 100 = 5% 12) Devido a fortes chuvas, o preço das verduras subiu muito na última semana. O pé de alface, por exemplo, aumento de R$ 2,50 para R$ 3,20. De quanto por cento foi o aumento? 28% (Adaptado do livro de Imenes & Lélis) 2,50-3,20=0,70 Aumentou de 2,50 mais 0,70, ou seja, eu tenho a fração 0,70/2,50 0,70 2,50 = 70 250 = 7 25 (Eu só simplifiquei!) x4 7 25 = 𝑥 100 x4 X=28 Resposta 28% 13) (Prova Brasil) Num jogo de futebol, compareceram 20.538 torcedores nas arquibancadas, 12.100 nas cadeiras numeradas e 32.070 nas gerais. Naquele jogo, apenas 20% dos torcedores que compareceram ao estádio torciam pelo time que venceu a partida. Qual é o número aproximado de torcedores que viram seu time vencer? 12.942 20.538+12.100+32.070=64.708 é o número de torcedores naquele dia. 20% disso >>>> ???? 10% de 64.708 é 6.470,8 (dividi por 10) 20% de 64.708 é 2 x 6.470,8 = 12.941,6 Resposta: 12.942 torcedores OUTRO CÁLCULO 20 100 × 64.708 = 1294160 100 = 12941,6 Resposta: 12.942 torcedores 14) (CAED) Para saber qual o esporte mais praticado pelos estudantes de uma escola, foi feita uma pesquisa cujos resultados encontram-se representados no gráfico abaixo. GRÁFICO DE SETORES OU DE PIZZA a) Nessa escola, a modalidade esportiva mais pratica pelos estudantes é ____Futebol_________ b) Mais ou menos da metade dos estudantes praticam esse esporte? _____menos da metade_______ 15) (Prova Brasil) Uma professora ganhou ingressos para levar 50% de seus alunos ao circo da cidade. Considerando que essa professora leciona para 36 alunos, quantos alunos ela poderá levar? 18 50% = metade 36 alunos – metade é 18 16) (Prova Brasil) Os alunos da 8ª série fizeram uma estimativa para 200 pessoas com base no estudo abaixo Que gráfico de barras melhor representa o estudo? Estilo de vida 53% - 106 Assistência médica 10% - 20 Genética 17% - 34 Meio Ambiente 20% - 40 LETRA B 17) (SIMAVE) Uma rede de supermercados resolveu fazer uma pesquisa para saber qual horário as pessoas mais gostavam de ir ao supermercado. Foram entrevistadas 2.000 pessoas e o resultado está no gráfico abaixo. Durante qual horário a maioria das pessoas entrevistadas preferem ir ao supermercado? Das 8h às 12h
  • 41.
    OTÁVIO LUCIANO CAMARGOSALES DE MAGALHÃES 41 POTENCIAÇÃO E FRAÇÕES 1) Calcule: a) 02 b) 12 c) 22 d) 32 e) 42 f) 52 g) 62 h) 72 i) 82 j) 92 l) 102 m) 112 n) 122 o) 132 p) 142 q) 152 2) Calcule: a) 03 b) 13 c) 23 d) 33 e) 43 f) 53 g) 63 h) 73 3) Calcule: a) 22 b) 23 c) 24 d) 25 e) 26 f) 27 g) 28 h) 29 4) Calcule: a) 53 b) 45 c) 63 d) 28 e) 95 f) 211 g) 142 h) 132 5) Calcule: a) 722 b) 1442 c) 592 d) 193 e) 253 f) 115 6) Calcule: a) 02 b) 03 c) 04 d) 05 e) 06 f) 07 g) 08 h) 09 7) Calcule: a) 12 b) 13 c) 14 d) 15 e) 16 f) 17 g) 18 h) 19 8) Calcule: a) 102 b) 103 c) 104 d) 105 e) 106 f) 107 g) 108 9) Verdadeiro ou falso? a) 62=26 b) 153215=215153 10) Calcule: a) 202 b) 302 c) 402 d) 502 e) 602 f) 702 g) 802 h) 902 11) Calcule: a) 203 b) 303 c) 403 d) 503 e) 603 f) 703 g) 803 h) 903 12) Calcule: a) 4004 b) 20000002
  • 42.
    OTÁVIO LUCIANO CAMARGOSALES DE MAGALHÃES 42 13) Calcule: a) 50 b) 120 c) 170 d) 100 e) 30 f) 150 14) Calcule: a) 41 b) 61 c) 101 d) 171 e) 161 f) 121 15) Calcule: a) 04 b) 125 c)50 d) 121 16) Calcule: a) 2 3 2       b) 2 4 5       c) 2 11 1       d) 3 2 3       17)Calcule: a) 2 5 4       b) 2 3 7       c) 2 5 1       d) 4 3 2       e) 6 2 1       18) Se A= 2 3 2 4 1        , B= 0 2 3 1 3 2 1        , C= 3 22 6 35  , calcule A+B+C 4535/432 19) Atividade 1 Veja a tabela das potências de 2: 20=1 21=2 22=4 23=8 24=16 25=32 26=64 27=128 28=256 29=512 210=1024 211=2048 212=4096 213=8192 214=16384 215=32768 216=65536 217=131072 218=262144 219=524288 220=1048576 221=2097152 222=4194304 223=8388608 Siga o exemplo (Use calculadora): 212x210=4096x1024=8388608 a) 29x211 b) 221:211 c) (24)2 d) 25.23.2 e) 222:2 20) Atividade 2 Siga o exemplo: 25.27=(2.2.2.2.2).(2.2.2.2.2.2.2)=2.2.2.2.2.2.2.2.2.2.2.2=212 a) 52.54 b) 33.36 c) 74.77 d) 5.52.53
  • 43.
    OTÁVIO LUCIANO CAMARGOSALES DE MAGALHÃES 43 21) Atividade 3 Siga o exemplo: 25:23= 2.2.2 2.2.2.2.2 2 2 3 5  =2.2=22 a) 34:32 b) 56:53 c) 88:85 d) 105:103 22) Atividade 4 Siga o exemplo: (52)3=(5.5).(5.5).(5.5)=5.5.5.5.5.5=56 a) (22)4 b) (33)4 c) (102)5 d) (54)5 Você deve ter chegado às propriedades da potenciação: P1. an.am=an+m P2. an:am=an-m, com a0 P3. (am)n=amn P4. (a.b)n=an.bn P5. (a:b)n=an:bn, com b0 23) Considere a tabela: 30=1 31=3 32=9 33=27 34=81 35=243 36=729 37=2187 38=6561 39=19683 310=59049 311=177147 Calcule sem fazer contas, apenas usando a tabela e as propriedades: a) 729x9 b) 65661x27 c) 81x243 d) 59049:6561 e) 177147:2187 f) 273 g) 812 h) 2432 24) Faça uma tabela semelhante à superior com o número 5 e calcule sem fazer contas, apenas usando a tabela e as propriedades: a) 3125x625 b) 15625:125 c) 255 25) Reduza à uma única potência: a) 35.37 b) a6.a8 c) x4.x.x3 d) 63:62 e) 58:52 f) 2 6 a a (a0) g) (35)2 h) (a5)2 i) [(32)5]2 j) (62)0 l) 53.54:52 26) Reduza à uma única potência (a0): a) ).(:)..( 6565 aaaaa b) 2425 ).().( aaa c)   32254 ).(. xxx d) xx xxx . .. 6 24 e)  232 3254 . )..)(.( xx xxxxx f)     53 24524 )( aa aaa
  • 44.
    OTÁVIO LUCIANO CAMARGOSALES DE MAGALHÃES 44 27) Calcule usando a tabela de potências de 2: a) 512x256 b) 131072:8192 c) 643 d) 8192x64 e) 2562 f) 1048576:65536 g) 32768x16 28) É verdade que 75.7-5=1. Verifique aplicando a propriedade das potências e verifique mais uma vez que números elevados à zero são 1. 29) Quando dá an:an? Discuta o resultado. 30)Resolva as expressões a) ( 3 2 ) 3 − ( 3 2 ) 2 b) ( 3 7 ) 2 : ( 2 7 ) 2 c) 5 8 − ( 2 3 ) 2 d) 2 − ( 2 3 ) 2 9/8 9/4 13/72 14/9 e) 2 − ( 2 3 ) 3 . ( 3 2 ) 2 f) ( 2 3 ) 3 . 15 4 g) ( 5 4 ) 2 : ( 1 2 ) 3 − 11 4 4/3 10/9 189/4 RADICIAÇÃO 1) Calcule: a) 16 + b) 144 : 36 c) 1444936  d) 6425144 xx 2) Calcule: a) 16 b) 81 3) Se 52361x52361=2741674321, calcule 2741674321. 36
  • 45.
    OTÁVIO LUCIANO CAMARGOSALES DE MAGALHÃES 45 4) A e B são números naturais. Se AxA=B, quanto vale B ? 5) Calcule a) 324 b) 225 c) 289 d) 625 e) 441 6) Se AxA=B e BxB=C, ache: a) C b) B c) C 7) Se A= 36 e B= 144 , ache o valor de A+B. 8) Se A= 549  e B= 3144  , ache A+B 9)Se A= 25 , B=7+2, C= 9.2 , ache: a) A+B+C b) 2.A+C 10) Se A= 49 , B=5+3, C= 144 , calcule: a) A+B b) B+C c) 2.A d) B. C e) C.A+2.B 11) Se A= 36.25  B= 169196  e C=A+B Ache: a) A+B+C b) 2.A.C 12) Sei que A= 236.3  , B= A 925 , C= 5A , ache a metade de A+B+C. 13) Calcule: a) 900 b) 4900 c) 8100 14)Calcule: a) 90000 b) 160000 c) 490000 15) Calcule a) 49 36 b) 9 4 16) Ache: 3 16 25 36 
  • 46.
    OTÁVIO LUCIANO CAMARGOSALES DE MAGALHÃES 46 17) Calcule: 2 8 1 8 3 2 1 3 4 1  18) Ache 108 75 19) Se = 361 e = 642  , ache o valor de   22  . 8/5 20) Calcule: 49 144 . 36 25 21) Resolva a) ( 3 5 + 1) 2 . 3 64 3/25 b)[( 3 4 + 2) . 3 11 + 1 2 ] : 4 5 25/16 c)[(3 − 1 2 ) . 3] : ( 1 3 + 1 5 ) 225/16 d)( 1 4 + 3 5 ) 2 : ( 2 5 + 1 6 ) 51/40 e)( 2 5 . 5 3 − 1 3 ) 2 : (1 + 1 5 ) 5/54 f) 1 2 . [(1 + 1 2 ) . 2 3 . 1 2 ] 1/4
  • 47.
    OTÁVIO LUCIANO CAMARGOSALES DE MAGALHÃES 47 g)[( 1 2 ) 2 + ( 1 3 ) 2 ] . 62 13 h)(√1 + 5 4 ) . (√ 81 16 − 3 2 ) − √ 1 4 . √ 1 9 23/24 i) √ 36 9 . ( 2 3 + 1 2 + 3 2 ) 2 : [( 5 6 ) 0 + 1 4 ] 2 2048/225 GABARITO f) 1 2 . [(1 + 1 2 ) . 2 3 . 1 2 ] 1 2 . [( 2 2 + 1 2 ) . 2 3 . 1 2 ] 1 2 . [( 3 2 ) . 2 3 . 1 2 ] 1 4 g)[( 1 2 ) 2 + ( 1 3 ) 2 ] . 62 [( 1 2 ) 2 + ( 1 3 ) 2 ] . 62 [ 1 4 + 1 9 ] . 36 [ 9 36 + 4 36 ] . 36 [ 13 36 ] . 36 13 h)(√1 + 5 4 ) . (√ 81 16 − 3 2 ) − √ 1 4 . √ 1 9 (√ 4 4 + 5 4 ) . ( 9 4 − 3 2 ) − 1 2 . 1 3 (√ 9 4 ) . ( 9 4 − 6 4 ) − 1 2 . 1 3 3 2 . ( 3 4 ) − 1 2 . 1 3 9 8 − 1 6 56 48 − 8 48 46 48 = 23 24 i) √ 36 9 . ( 2 3 + 1 2 + 3 2 ) 2 : [( 5 6 ) 0 + 1 4 ] 2 √4. ( 4 6 + 3 6 + 9 6 ) 2 : [1 + 1 4 ] 2 2. ( 16 6 ) 2 : [ 4 4 + 1 4 ] 2 2. ( 8 3 ) 2 : [ 5 4 ] 2 2. 64 9 : 25 16 128 9 : 25 16 = 2048 225
  • 48.
    OTÁVIO LUCIANO CAMARGOSALES DE MAGALHÃES 48 MAIS ALGUNS EXERCÍCIOS PARA FIXAR E APROFUNDAR CONCEITOS DE OPERAÇÕES COM FRAÇÕES REVISÃO DE FRAÇÕES 1) (Material do Positivo – 6º ano) Represente a quantidade que ficou no segundo copo por uma operação 2) (Material do Positivo – 6º ano) Giovana usou algumas amoras para fazer uma torta. Denise comeu ¼ da torta e seu irmão 5/12. Que fração representa a diferença entre o que cada um comeu? 3) (Material do Positivo – 6º ano) Represente os desenhos como somas a) b) c)
  • 49.
    OTÁVIO LUCIANO CAMARGOSALES DE MAGALHÃES 49 4) (Material do Positivo – 6º ano) Lívia usou 3/5 de um litro de leite para fazer um bolo e, na cobertura, vai usar ½ dessa quantidade de leite. Que fração do total de leite Lívia vai usar na cobertura do bolo? 5) (Material do Positivo – 6º ano) O professor Daniel recebeu o salário hoje. Ele vai reservar 1/3 do salário para pagar despesas com a casa e 2/5 desse valor será para pagar o aluguel. Que fração, do total, representa a quantia reservada para pagar o aluguel? 6) (Material do Positivo – 6º ano) Fábio comeu 2/5 de uma barra de chocolate num dia e o dobro dessa quantia no dia seguinte. Que fração representa a quantidade de chocolate que ela comeu no dia seguinte? 7) (Material do Positivo – 6º ano) Tifanny gastou 1/7 do seu salário para pagar aluguel e o triplo dessa quantia em uma viagem. Que fração do salário de Tifanny representa o gasto que ela teve com essa viagem? 8) (Material do Positivo – 6º ano) Ontem, Lincoln comeu 3/12 do total de figurinhas do álbum. Hoje colou o quádruplo dessa quantidade. Que fração representa a quantidade de figurinhas que Linconl colou hoje? Ele completou o álbum? 9) (Material do Positivo – 6º ano) Veja as figuras e responda: Quantas vezes ½ cabe em um inteiro? Quantas vezes 1/3 cabe em um inteiro? Quantas vezes ¼ cabe em um inteiro? Quantas vezes 1/5 cabe em um inteiro? Quantas vezes 1/6 cabe em um inteiro? 10) (Material do Positivo – 6º ano) Isabelly dividiu igualmente 1/3 kg de balas de coco entre 3 amigas. Que fração de quilograma cada amiga vai ganhar? 11) (Material do Positivo – 6º ano) Eduardo vai dividir igualmente metade de uma melancia entre 4 crianças. Que fração da melancia cada criança vai receber? 12) (Material do Positivo – 6º ano) Quantas vezes 1/8 de barra de chocolate cabe em ½ barra? 13) (Material do Positivo – 6º ano) Quantas vezes 1/12 de uma torta cabe em 1/3 de torta?
  • 50.
    OTÁVIO LUCIANO CAMARGOSALES DE MAGALHÃES 50 14) (Material do Positivo – 6º ano) Ruan pintou 2/5 de uma parede e seu irmão a metade dessa parte. Que fração representa a parte pintada pelo irmão de Ruan? 15) (Material do Positivo – 6º ano) Camila fez 1/6 das tarefas na sexta-feira e ½ no sábado. Camila terminou de fazer as tarefas? Justifique por meio de uma operação matemática. 16) (Material do Positivo – 6º ano) Rafaela vai dividir 1/5 do prêmio que ganhou na loteria com seus 3 filhos. Que fração desse prêmio cada filho de Rafaela vai receber? 17) (OBMEP) A capacidade do tanque de gasolina do carro de João é de 50 litros. As figuras mostram o medidor de gasolina do carro no momento da partida e no momento da chegada de uma viagem feita por João. Quantos litros de gasolina João gastou nessa viagem? 18) (Material do Positivo – 6º ano) Uma confeitaria faz 40 bolos por dia. Dessa quantia, ¼ são de chocolate e 3/5 são de abacaxi. Hoje, um dos confeiteiros não compareceu ao trabalho e a confeitaria conseguiu fazer apenas ½ dos bolos de chocolate e 1/3 dos bolos de abacaxi, que geralmente costuma produzir. a) Que fração representará a quantidade de bolos de chocolate feitos hoje? b) E de bolos de abacaxi? c) Quantos bolos de chocolate foram feitos hoje? E de abacaxi? Escreva como porcentagem e como fração irredutível: REVISÃO DE PORCENTAGEM I 19) (Material do Positivo – 6º ano) Represente os desenhos como porcentagem: 20) (Material do Positivo – 6º ano) A Professora Tatiana fez uma pesquisa para saber quantos alunos da sala têm celular. Veja como a professora representou o resultado da pesquisa:
  • 51.
    OTÁVIO LUCIANO CAMARGOSALES DE MAGALHÃES 51 21) (Material do Positivo – 6º ano) O que significa dizer que temos 50% de chance de vencer um jogo? 22) (Material do Positivo – 6º ano) Ana Júlia tem R$ 40,00 e vai usar 50% dessa quantia para comprar um livro. Quantos reais ela vai receber de troco? 23) (Material do Positivo – 6º ano) Numa cidade de 20.000 habitantes, 14% não sabem ler. Qual é a porcentagem de leitores? 24) (Material do Positivo – 6º ano) Um losango foi dividido em quatro partes iguais. A parte pintada corresponde a que porcentagem do losango todo 25) (Material do Positivo – 6º ano) Jonathan gastou R$ 120,00 em uma livraria e seu irmão gastou 30% dessa quantia. Quantos reais o irmão dele gastou?: 26) (Material do Positivo – 6º ano) O artista Toby Ng criou um projeto envolvendo design e dados superinteressantes. “A aldeia de 100 pessoas” consiste em uma série de cartazes que informam, entre outras coisas, quantos seriam adultos, quantos seriam crianças, quantos têm computador, quantos não tem. Veja como seria esse mundo a)Veja o gráfico de setores da idade: Construa agora os gráficos de setores de quem tem computador e água potável.
  • 52.
    OTÁVIO LUCIANO CAMARGOSALES DE MAGALHÃES 52 b) Veja o gráfico de barras: Construa o gráfico de barras das outras duas informações c) Veja o gráfico de colunas: Construa o gráfico de colunas. d) Faça uma ilustração como Toby Ng para o gráfico: 27) (Material do Positivo – 6º ano) Calcule mentalmente: a) 10% de 200 b) 10% de 500 c) 10% de 80 d) 5% de 200 e) 50% de 500 f) 20% de 80 g) 15% de 200 h) 25% de 500 i) 5% de 80 j) 30% de 200 k) 75% de 500 l) 40% de R$ 50,00
  • 53.
    OTÁVIO LUCIANO CAMARGOSALES DE MAGALHÃES 53 m) 70% de 10 bolinhas de gude n) 50% de 6 dados o) 35% e 20 lápis de cor. 28) (Material do Positivo – 6º ano) Uma pizza foi dividida em 8 pedaços iguais. a) Se você comesse 4 pedaços dessa pizza, que porcentagem da pizza você teria comido? b) E se você comesse 2 pedaços? c) E se você tivesse comido 6 pedaços da pizza? REVISÃO DE PORCENTAGEM II 29) (Material do Positivo – 6º ano) Veja o resultado da pesquisa realizada em uma escola com 500 alunos sobre a forma de deslocamento usada por eles para chegar à escola. a) Qual a soma de todas as porcentagens representadas no gráfico? b) Quantos alunos vão para a escola de bicicleta? c) Quantos vão à escola de carro? d) Há mais alunos que vão à escola de carro ou de bicicleta? Quantos a mais? 30) (Material do Positivo – 6º ano) Escreva a fração na forma de porcentagem:
  • 54.
    OTÁVIO LUCIANO CAMARGOSALES DE MAGALHÃES 54 31) (OBMEP) Os alunos do sexto ano da Escola Municipal Quixajuba fizeram uma prova com 5 questões. O gráfico mostra quantos alunos acertaram o mesmo número de questões. Por exemplo, 30 alunos acertaram exatamente 4 questões. Qual das afirmações a seguir é verdadeira? a) Apenas 10% do total de alunos acertaram todas as questões. b) A maioria dos alunos acertou mais de 2 questões. c) Menos de 200 alunos fizeram a prova. d) 40 alunos acertaram ao menos 4 questões. e) Exatamente 20% do total de alunos não resolveram nenhuma questão. a) Apenas 10% do total de alunos acertaram todas as questões. 10% de 210 = 21. ERRADA b) A maioria dos alunos acertou mais de 2 questões. Maioria = mais de 50%. 100 acertaram mais de 2 (ou seja, quem acertou 3, 4 ou 5 questões). ERRADO c)Menos de 200 alunos fizeram a prova. ERRADO d) 40 alunos acertaram ao menos 4 questões. 4 ou 5 questões. 30+20=50 alunos. ERRADO Exatamente 20% do total de alunos não resolveram nenhuma questão. 20% de 210 = 42. ERRADA. 0 acertos 20 1 acerto 30 2 acertos 60 3 acertos 50 4 acertos 30 5 acertos 20 TOTAL 210 ALUNOS ATENÇÃO: O gráfico estava ERRADO. Veja a resolução. 32) (Material do Positivo – 6º ano) Veja a gravura: Fonte: BRITO, Fernando. Jogar fora no lixo. Superinteressante. São Paulo: Abril, n. 289, p.34, mar. 2011. a) O que significa dizer que 90% das latas de alumínio são recicladas? b) Considerando que uma empresa produz de lixo 120 kg de papel por dia, quantos quilogramas desse papel são reciclados? c) Um condomínio separou do lixo 30 latinhas de alumínio para reciclar. Quantas dessas latinhas serão recicladas?
  • 55.
    OTÁVIO LUCIANO CAMARGOSALES DE MAGALHÃES 55 33) (PUC-RIO) João recebeu um aumento de 10% e com isso seu salário chegou a R$ 1.320,00. O salário de João antes do aumento era igual a quanto? 34) (Material do Positivo – 6º ano) O mercado que Douglas trabalha esta com uma produção de latas de suco de laranja. Quem comprar acima de 10 unidades de suco ganha 15% de desconto. Sabendo que o preço de uma caixa com 5 latas desse suco custa R$ 15,00, calcule quantos reais vai gastar quem comprar 8 caixas desse suco. 35) (Material do Positivo – 6º ano) Vitória foi comprar um vestido e conseguiu um desconto para pagamento à vista. Ela acabou pagando R$ 96,00 por uma calça que custava R$ 120,00. Quanto por cento Vitória conseguiu de desconto? 36) (Material do Positivo – 6º ano) Um tonel para 9 500 L de vinho está com 25% de sua capacidade. Quantos litros de vinho faltam para encher esse tonel? 37) (Material do Positivo – 6º ano) Pablo ganhava R$ 120,00 me mesada e nesse último mês ganhou R$ 150,00. Qual a porcentagem de aumento da quantia que Pablo passou a receber de mesada? 38) (Material do Positivo – 6º ano) Brenda recebe um salário mensal de R$ 1.250,00. Nesse último mês, ele recebeu um aumento de 12% e vai depositar esse valor correspondente ao aumento em uma caderneta de poupança. a) Quantos reais Brenda vai depositar na caderneta de poupança? b) Qual o salário de Brenda depois do aumento? 39) (Material do Positivo – 6º ano) Mariana resolveu economizar R$ 34,00 todas as semanas, o que corresponde a 50% da quantia que ela possuía na bolsa quando decidiu poupar. Quantos reais Mariana tinha na bolsa?
  • 56.
    OTÁVIO LUCIANO CAMARGOSALES DE MAGALHÃES 56 40) ( SARESP) Num campeonato de boliche, os pontos que Ana, Lia, Rui e Zeca marcaram aparecem na tabela a seguir: Jogador Pontos Ana 8 Lia 32 Rui 8 Zeca 16 Escreva em seu caderno qual gráfico mostra a correta distribuição desses pontos. 41) (Canguru Matemático – Nível B – 2014) Qual dos ladrilhos abaixo deve ser escolhido para ser colocado no lugar indicado na figura ao lado, de modo que a área total das partes escuras seja igual à área total das partes brancas? GABARITO 29) Qual a soma de todas as porcentagens representadas no gráfico? 100% a) Quantos alunos vão para a escola de bicicleta? 25% de 500 100% ----------- 500 1% --------------- 5 25% ------------- 5 x 25 = 125 25 100 × 500 = 125 b) Quantos vão à escola de carro? 30% de 500 100% ----------- 500 1%---------------5 30%- ----------- 5 X 30 = 150 30 100 × 500 = 150 c) Há mais alunos que vão à escola de carro ou de bicicleta? Quantos a mais? Carro – 150 (30%) Bicicleta – 125 (25%) 25 a mais de carro (5%) 100%------500 1%----------5 5%---------- 5x5 = 25 30) 1/4=25% 1 4 = 𝑥 100 X=25 3/6 = 1/2 = 50% 3 6 = 𝑥 100 6x=300 x=50 31) Matheus: Transforme 1/5 em porcentagem? 100% --------------1 20%---------------1/5 1 5 = 𝑥 100 x=20 32) a) O que significa dizer que 90% das latas de alumínio são recicladas? Significa que de cada 100 latas, 90 são recicladas. b) Considerando que uma empresa produz de lixo 120 kg de papel por dia, quantos quilogramas desse papel são reciclados? 45% de 120 45 100 × 120 = 540 10 = 54 54 kg são reciclados OU 100% ----------------- 120 kg
  • 57.
    OTÁVIO LUCIANO CAMARGOSALES DE MAGALHÃES 57 1%---------------------1,20 kg 45% ------------------ 45 x 1,2 = 54 c) Um condomínio separou do lixo 30 latinhas de alumínio para reciclar. Quantas dessas latinhas serão recicladas? 90% de 30 100% ------------ 30 10% -------------- 3 90%-------------- 3x9=27 27 latinhas 33) 1320 ------------ 110% = 100% + 10% 12----------------1% 1200------------100% O salário antes do aumento era de R$ 1.200,00. Verificar – R$ 1200 + R$ 120 = R$ 1320 1188 – não é resposta! Pois 1188 + 118,8 (que é 10%) não chegamos em 1320. Veja para entender Algo custa 100 reais ---------------- aumento de 20% ---------------------- 120 reais Essa coisa de 120 reais-------------- desconto de 20% -------------------- - 96 reais 34) 8 caixas de suco ---- 8 x 5 = 40 latas de suco (mais que de 10 unidades!) 8 x 15 = 120 reais Desconto é 15% de 120 15 100 × 120 = 180 10 = 18 Então 120-18=102 Resposta: Vai gastar R$ 102,00. 35) 120 – 96 = 24 foi o desconto! 24 120 = 2 10 = 1 5 foi o desconto 1 5 = 𝑥 100 X=20 R: O desconto foi de 20% 36) 9500 : 4 = 2375 o que tem no tonel Dividi por 4, pois 25% é ¼ de 100% 9500-2375= 7125 Resposta: Faltam 7125 litros. 37) Aumento de 30 reais....ou seja 150-120=30 30 120 = 1 4 = 25% Resposta: O aumento da mesada foi de 25% 38) a) Quantos reais Brenda vai depositar na caderneta de poupança? 12% de 1250=150 Resposta: Ela vai depositar R$ 150,00 b) Qual o salário de Brenda depois do aumento? 1250+150=1400 Resposta: R$ 1400 39) 34 -------------- 50% 68---------------- 100% Resposta: Ela tinha R$ 68,00 40) Jogador Pontos Ana 8 12,5% Lia 32 50% Rui 8 12,5% Zeca 16 25% OTÁVIO: Meninos e meninas já aprendemos como calcular a multiplicação de frações, mas não expliquei o porquê. Vamos ver. OTÁVIO: Veja na lousa a fração 2/5 OTÁVIO: Agora vamos achar 2/3 dessa fração, ou seja, 2/3 de 2/5, que é 2 3 × 2 5 . Vamos fazer um desenho de 2/3 do assinalado: ISAH: Então isso aí é 4/15, não é? OTÁVIO: Certo, Isabela. Então quanto é 2 3 × 2 5 ? MATHEUS: 4/15! Mas não é mais fácil fazer o produto dos números “de cima” e os “de baixo”? 2 3 × 2 5 = 4 15 RAUL: é professor. É mais fácil mesmo... OTÁVIO: meninos, claro, é mais fácil, mas é importante vocês entenderem o porquê que usa-se essa regra. A regra não saiu “da cartola” igual um mágico tira uma pombinha. Então é preciso entender... Então é importante fazer primeiro como estou pedindo... IMAGINAÇÃO POSSÍVEL: Por que esse professor tá complicando? É mais fácil multiplicar os numeradores e denominadores e boa! PROBLEMA: Como mostrar aos alunos a diferença entre FAZER O CÁLCULO e ENTENDER O PORQUÊ DO CÁLCULO (os conceitos)? E convencê-lo de que não basta apenas fazer, mas é preciso aprender a idéia!
  • 58.
    OTÁVIO LUCIANO CAMARGOSALES DE MAGALHÃES 58 REVISÃO PARA PROVA DE MATEMÁTICA Questão 1 Dada a tabela: 20=1 21=2 22=4 23=8 24=16 25=32 26=64 27=128 28=256 29=512 210=1024 211=2048 212=4096 213=8192 214=16384 215=32768 216=65536 217=131072 218=262144 219=524288 220=1048576 221=2097152 222=4194304 223=8388608 224=16.777.216 Calcule: a) 512x 32768 b) 1048576 : 32768 c) 131072 x 32 d) 2097152 : 1024 e) 8388608 : 4194304 f)2562 g) 20482 h) 165 Questão 2 Se A=√144+5 B=24-√64 C=A-√121 Determine quanto é 2A+BC Questão 3 Pensei em um número. Multipliquei por 3. Somei 5. Deu 17. a) Escreva a frase em linguagem matemática. b) Qual foi o número pensado? Questão 4 Em uma escola foi feita uma pesquisa de preferência entre comédia, ação e terror. Dos entrevistados 40% preferem ação, 50% preferem comédia e 10% preferem terror. a) Se nessa escola tem 200 alunos, quantos alunos preferem cada tipo de filme? b) Construa um gráfico de barras com o número de alunos que prefere cada tipo de filme. c) Construa um gráfico de setores com os dados em valores percentuais.
  • 59.
    OTÁVIO LUCIANO CAMARGOSALES DE MAGALHÃES 59 Questão 5 O desaparecimento das florestas tropicais As florestas tropicais são o lugar do planeta onde a vida se manifesta com maior riqueza e intensidade. Nelas estão concentrados aproximadamente 80% das espécies vegetais e animais hoje existentes. Dos cerca de 17 milhões de quilômetros quadrados de florestas tropicais originalmente existentes no mundo, resta hoje pouco menos da metade. No Brasil, já se destruiu quase a totalidade da Mata Atlâtica, restando hoje em torno de 7% da área original. Na Amazônia brasileira, com seus quase 4 milhões de quilômetros quadrados, a devastação já atingiu cerca de 17% dessa área. (Adaptado de: Greenpeace. Florestas tropicais Amazônia: vida em perigo. São Paulo, 1996. Dados atualizados em 2010). De acordo com esses dados: a) Qual é a porcentagem de florestas tropicais destruídas no mundo? b) Qual é a porcentagem já destruída da Mata Atlântica? c) Qual é, aproximadamente, a porcentagem da área já destruída da Floresta Amazônica no Brasil? d) Quantos quilômetros quadrados de Floresta Amazônica já foram devastados? Questão 6 Associe as figuras ao percentual correspondente à parte colorida: Questão 7 Um produto custa R$ 80,00 e será pago com uma entrada de 40% e mais 4 parcelas iguais sem juros. a) Qual é o valor da entrada? b) Qual é o valor de cada parcela? Questão 8 Um produto custa R$ 200,00 e terá desconto de 25% se pago a vista. Quanto pagarei se comprar esse produto a vista? Questão 9 Complete a tabela de estudantes de uma escola fictícia com valores percentuais, conforme o exemplo: NÚMERO DE ALUNOS PORCENTAGEM Educação Infantil 40 10% 1º ao 5º ano 80 6º ao 9º ano 164 Ensino Médio 66 Cursinho 50 TOTAL 400 100% Questão 10 Um produto sofreu um aumento de 20% e passou a custar R$ 120,00. Qual era seu preço original?
  • 60.
    OTÁVIO LUCIANO CAMARGOSALES DE MAGALHÃES 60 Questão 11 a) Qual é a metade da √169? b) Quanto vale √144.000.000.000.000? c) Qual é a raiz quadrada de 1 milhão? d) Quanto vale √1444? e) Calcule o valor de √√256. f) Mostre que dão resultados diferentes √64 + 36 e √64 + √36 Questão 12 Encontre o valor de√13 + √6 + √7 + √4 Questão 14 Resolva as expressões numéricas completamente e simplifique o resultado. a) 1 4 + 2 3 × 1 2 b) ( 1 4 ) 2 + ( 3 2 ) 3 c) ( 1 4 − 1 5 ) 0 d)√ 1 3 + 1 2 + 17 18 e) 2 1 4 −1 7× 1 7 f) 5 2 + 7 5 + 6 3 + 1 10 g) ( 1 5 + 3 2 ) 2 : ( 1 4 + 2 3 ) h) ( 5 4 ) 2 : ( 1 2 ) 3 − 11 4 Questão 15 Metade é 50%. Metade da metade é 25%. Metade da metade da metade é 12,5%. Com base nisso, como poderia calcular mentalmente 12,5% de 640? Explique. Questão 16 Tonico recebe um salário bruto de R$ 2.500,00. Desse valor, são descontados 9% para a previdência social, que deverá pagar sua aposentadoria. De seu salário, ainda é descontado o imposto de renda, que é calculado desta maneira: 15% de R$ 2.500,00 menos R$ 307,00. Calcule o salário líquido de Tonico.
  • 61.
    OTÁVIO LUCIANO CAMARGOSALES DE MAGALHÃES 61 Questão 17 Veja a tela do joguinho 2048 abaixo: Preencha o tabuleiro abaixo escrevendo os números na forma de potências de 2, conforme os exemplos dados: Questão 18 Paulo ganha R$ 800,00 trabalhando em um PET-SHOP. Veja as despesas de Paulo: a) Quanto Paulo gasta com diversão mensalmente? b) Paulo gasta mais com Curso de Inglês ou com despesas de sua casa? c) Quanto Paulo economiza todo mês?
  • 62.
    OTÁVIO LUCIANO CAMARGOSALES DE MAGALHÃES 62 Questão 19 O gráfico a seguir indica a altura máxima aproximada que algumas árvores brasileiras atingem. De acordo com as informações apresentadas no gráfico e com os dados abaixo identifique a árvore correspondente a cada coluna do gráfico e a altura máxima de cada árvore. a) O jequitibá atinge 45 metros de altura. b) O cedro atinge até 10 metros a menos que o jequitibá e 5 metros a mais que o pau-brasil. c) O pau-brasil atinge 10 metros a mais que o abacateiro-do-mato e 14 metros a mais que a peroba. d) A castanha-do-pará é cinco vezes maior que o cajueiro. Questão 20 O gráfico de linhas abaixo mostra a produção de leite na Fazenda do Senhor B.Zerra no primeiro semestre do ano de 2006. Analise-o e responda: a) Quantos litros de leite foram produzidos nesse semestre? b) Quantos litros de leite foram produzidos, em média, por mês? c) Quantos litros de leite, em média, foram produzidos diariamente no mês de janeiro? GABARITO Questão 1 a) 512x 32768 = 16.777.216 9+15=24 b) 1048576 : 32768 = 32 20 – 15 = 5 c) 131072 x 32 =4194304 =17+5=22 f)2562 = 65536 8 X 2 = 16 g) 20482 =4194304 11 X 2 = 22 Decorem que 11x11 = 121 e 12x12=144, pois é útil! Questão 2 Se A=√144+5=12+5=17, B=24-√64=24-8=16 C=A-√121=17-11=6 Determine quanto é 2A+BC 2.17+16.6 34+96 130 É A RESPOSTA Questão 3 Pensei em um número. Multipliquei por 3. Somei 5. Deu 17. c) Escreva a frase em linguagem matemática. x.3+5=17 d) Qual foi o número pensado? 17-5=12 12:3=4 O número pensado foi 4 0 10 20 30 40 50 60 A B C D E F G altura (m) árvores Áltura de algumas árvores brasileiras 818,4 771,1 815,2 784,5 803,4 742,9 700 720 740 760 780 800 820 840 Produção(emlitros) Mês Produção de Leite
  • 63.
    OTÁVIO LUCIANO CAMARGOSALES DE MAGALHÃES 63 Questão 5 a) 50% b) 25% c) 50% d) 10% e) 50% f) 20% Questão 7 Um produto custa R$ 80,00 e será pago com uma entrada de 40% e mais 4 parcelas iguais sem juros. c) Qual é o valor da entrada? Raciocínio de Fábio 100% ----- 80 10%------ 8 50%------40 40%-----40-8=32 Raciocínio estimulando a Tifany a responder 100% ----- 80 10% ----- 8 40 % ----- 4x8=32 Raciocínio sugerido pela brenda 40% de 80 40 100 × 80 32 Entrada 32 reais. d) Qual é o valor de cada parcela? Se ele pagou 32 reais, ele deve 80-32=48. Ele ainda deve R$ 48 ! 48 / 4 = 12 reais As parcelas são de 12 reais Questão 8 Um produto custa R$ 200,00 e terá desconto de 25% se pago a vista. Quanto pagarei se comprar esse produto a vista? Raciocínio do Linconl 25% de R$ 100,00 é R$ 25,00 25% de R$ 200,00 é 2 x R$ 25,00 = R$ 50,00 Raciocínio de Fábio 100% -------------- 200 50%----------------100 25%---------------50 O jeito que a Brenda Gosta 25 100 × 200 = 50 Ainda uma forma alternativa - Linconl: 25% = ¼ 200 : 4 = 50 Desconto é de R$ 50,00 Resposta: Pagarei R$ 150,00 Questão 9 NÚMERO DE ALUNOS PORCENTAGEM Educação Infantil 40 divido por 4 10% 1º ao 5º ano 80 divido por 4 20% 6º ao 9º ano 164 divido por 4 41% Ensino Médio 66 divido por 4 16,5% Cursinho 50 divido por 4 12,5% TOTAL 400 divido por 4 100% 1% - 4 10%-40 20%-80 40%-160 40% é 160, 1% é 4, então 164 é 40% + 1% Como eu divido 66 por 4 mentalmente 66: 2 = 33 33: 2 = 16,5 Questão 10 R$ 100,00 mais 20% = R$ 120,00 R: O preço original era R$ 100,00. Questão 11 a) Qual é a metade da √169=13? Metade de 13 é 6,5 ou 13/2 13x13=169, 14x14=196 b) Quanto vale √144.000.000.000.000? 12.000.000 c) Qual é a raiz quadrada de 1 milhão? √1.000.000 = 1.000 MIL d) Quanto vale √1444? 38 Para achar esse números a gente teve que fazer muitas contas. e) Calcule o valor de √√256 = √16 = 4. f) Mostre que dão resultados diferentes √64 + 36 e √64 + √36 √64 + 36 = √100 = 10 √64 + √36 = 8 + 6 = 14 Questão 12 Encontre o valor de√13 + √6 + √7 + √4 √13 + √6 + √7 + 2 √13 + √6 + √9 √13 + √6 + 3 √13 + √9 √13 + 3 √16 4 Questão 15 Metade é 50%. Metade da metade é 25%. Metade da metade da metade é 12,5%. Com base nisso, como poderia calcular mentalmente 12,5% de 640? Explique. Basta calcular metade da metade da metade de 640 640 -----320 ----- 160 ----- 80 Questão 16 Vai descontar 9% 9 100 × 2500 = 175 para previdência social Imposto de Renda 15% menos 307 15 100 × 2500=375 375-307=68 Salário Líquido: 2.500-175-68=2257 O salário líquido será de R$ 2.257 Questão 17
  • 64.
    OTÁVIO LUCIANO CAMARGOSALES DE MAGALHÃES 64 EXPRESSÕES NUMÉRICAS COM FRAÇÕES Aula 116 – Apostila do Objetivo – 6º ano – Página 38 Questão 1 𝟏𝟖 𝟓 − [( 𝟏𝟎 𝟑 − 𝟏 𝟐 ) − ( 𝟒 𝟑 − 𝟏 𝟓 )] 𝟏𝟖 𝟓 − [( 𝟐𝟎 𝟔 − 𝟑 𝟔 ) − ( 𝟐𝟎 𝟏𝟓 − 𝟑 𝟏𝟓 )] 𝟏𝟖 𝟓 − [ 𝟏𝟕 𝟔 − 𝟏𝟕 𝟏𝟓 ] 𝟏𝟖 𝟓 − [ 𝟖𝟓 𝟑𝟎 − 𝟑𝟒 𝟑𝟎 ] 𝟏𝟖 𝟓 − 𝟓𝟏 𝟑𝟎 𝟏𝟎𝟖 𝟑𝟎 − 𝟓𝟏 𝟑𝟎 𝟓𝟕 𝟑𝟎 = 𝟏𝟗 𝟏𝟎 Questão 2 √ 𝟒 𝟔𝟒 . 𝟏 𝟓 − [( 𝟏 𝟏𝟎 ) 𝟐 + ( 𝟏 𝟖 ) 𝟐 ] 𝟐 𝟖 . 𝟏 𝟓 − [ 𝟏 𝟏𝟎𝟎 + 𝟏 𝟔𝟒 ] 𝟐 𝟒𝟎 − [ 𝟔𝟒 𝟔𝟒𝟎𝟎 + 𝟏𝟎𝟎 𝟔𝟒𝟎𝟎 ] 𝟐 𝟒𝟎 − 𝟏𝟔𝟒 𝟔𝟒𝟎𝟎 𝟐 𝟒𝟎 − 𝟒𝟏 𝟏𝟔𝟎𝟎 𝟖𝟎 𝟏𝟔𝟎𝟎 − 𝟒𝟏 𝟏𝟔𝟎𝟎 = 𝟑𝟗 𝟏𝟔𝟎𝟎 Desafio ( 𝟓 𝟐 ) 𝟐 − [√ 𝟏𝟎𝟎 𝟏𝟔 − ( 𝟏 𝟑 + 𝟏 𝟒 )] 𝟐𝟓 𝟒 − [ 𝟏𝟎 𝟒 − ( 𝟒 𝟏𝟐 + 𝟑 𝟏𝟐 )] 𝟐𝟓 𝟒 − [ 𝟏𝟎 𝟒 − 𝟕 𝟏𝟐 ] 𝟐𝟓 𝟒 − [ 𝟑𝟎 𝟏𝟐 − 𝟕 𝟏𝟐 ] 𝟐𝟓 𝟒 − 𝟐𝟑 𝟏𝟐 𝟕𝟓 𝟏𝟐 − 𝟐𝟑 𝟏𝟐 = 𝟓𝟐 𝟏𝟐 = 𝟐𝟔 𝟔 = 𝟏𝟑 𝟑
  • 65.
    OTÁVIO LUCIANO CAMARGOSALES DE MAGALHÃES 65
  • 66.
    OTÁVIO LUCIANO CAMARGOSALES DE MAGALHÃES 66 NOÇÕES DE NÚMEROS DECIMAIS I 1. Transforme em número decimal: a) 3/10 b) 25/10 c) 312/10 d) 2/100 e) 32/100 f) 532/100 g) 6/1000 h) 26/1000 i) 526/1000 j) 4264/1000 k) 2536/100 l) 9316/1000 2. Transforme em fração decimal (simplifique!): a) 0,8 b) 0,25 c) 0,036 d) 0,0165 e) 5,35 f) 5,305 g) 0,06 h) 0,004 i) 12,1 j) 0,6415 k) 25,06 l) 142,23 3. Verdadeiro ou falso? a) 5,40=5,4 b) 3,0=3 c) 3,6=3,60=3,600 d) 2,4=2,04 e) 2,00=2 f) 0,3=3 g) 0,04=0,4 4. Compare com <, = ou >: a) 2,7___ 1,42 b) 0,54___8,2 c) 0,54___0,278 d) 2,5___2,50 e) 3,41___3,28 f) 5,657___5,642 g) 0,0836___0,839 h) 2,1___2,01 i) 4,567___4,5675 j) 13,6___13,89 5. Dentre os números abaixo, sublinhe os que são menores que 0,5? 0,3 0,72 0,08 0,12 0,912 1,2 5,0 6. a) Qual o menor número natural maior que 11,7?__________ b) Qual o maior número natural menor que 9,02?__________ 7. Coloque em ordem crescente os números decimais: 0,61 1,3 1,45 0,2 3,0 0,99 0,075 NOÇÕES DE NÚMEROS DECIMAIS II 8. (Imenes & Lélis,2012) Observe as frações representadas na figura e responda às questões a) Quantos centésimos correspondem a 1/10? b) A fração 1/10 é maior que a fração 10/100? c) A fração 3/10 é maior que a fração 28/100? d) Qual é a fração maior 4/10 ou 40/100? 9. (Imenes & Lélis, 2012) Considere as seguintes representações: Escreva os números com vírgula correspondentes a:
  • 67.
    OTÁVIO LUCIANO CAMARGOSALES DE MAGALHÃES 67 10. (Imenes & Lélis,2012) Usando a notação Represente e observe igualdades: a) 0,3 b) 0,03 c] 0,31 d) 1,3 e) 1,1 f) 1,10 11. (Imenes & Lélis,2012) Por qual motivo chamamos o número 3,5 (“três vírgula cinco”) algumas vezes de “três e meio”. Por que falamos “meio”? 12. (Imenes & Lélis,2012) Nessa representação, ada número corresponde a um ponto da reta: Qual pode ser o valor de x? 13. (Imenes & Lélis, 2012) Observe a) Responda: 1,2 é maior que, menor que ou igual a 1,20? b) Usando essa idéia compare com > (maior), < (menor) ou = (igual): 0,20 ____ 0,20 1,2 ____ 1,19 8,7 ____ 8,70 8,7 ____ 8,69 14. (Imenes & Lélis, 2012) Responda: a) Qual é a diferença entre os números 3,25 e 3,250? b) Escreva em ordem crescente: 3,25; 3,155; 3,3 e 3,225 15. (Imenes & Lélis, 2012) Por qual motivo podemos dizer que o sistema dos números com vírgula é decimal? 16. (Imenes & Lélis, 2012) Leia a história e responda a pergunta da menina com exemplos
  • 68.
    OTÁVIO LUCIANO CAMARGOSALES DE MAGALHÃES 68 17. (Imenes & Lélis, 2012) Leia o diálogo Para responder considere os números: a) Quais deles são menores que 5,3? b) Quais deles são maiores que 5,213? c) Quais são maiores que 5,1 e menores que 5,2? 18. (Imenes & Lélis, 2012) Por qual motivo dizemos que 0,23 está escrito no sistema decimal? 19. (Imenes & Lélis, 2012) Quanto é um décimo de um décimo de milésimo? 20. (Imenes & Lélis, 2012) Tente explicar por qual motivo 0,7, 0,7 e 0,700 são iguais 21. (Imenes & Lélis, 2012) Por qual motivo o preço dos combustíveis é utilizado até o milésimo? 22. (Imenes & Lélis, 2012) Um dos números que está entre 1,34 e 1,35 é: a) 1,361 b) 1,034 c) 1,338 d) 1,341 23. (Imenes & Lélis, 2012) Alguns números foram colocados em uma linha reta com a mesma organização de escala de um termômetro. Veja Os números indicados por A e B devem ser, respectivamente: a) 2,385 e 2,42 b) 2,385 e 2,402 c) 2,385 e 2399 d) 2,381 e 2,42 25. (Imenes & Lélis, 2012) Qual é a sentença verdadeira? a) 1,3 < 1,300 b) 3,25<3,052 c) 0,2 x 10 = 020 d) 1,30 = 1,300 26. (Imenes & Lélis, 2012) Escrevendo-se, com algarismos, uma unidade e quarenta e cinco milésimo, obtém-se: a) 1,45 b) 0,14 c) 1,045 d) 1,45000
  • 69.
    OTÁVIO LUCIANO CAMARGOSALES DE MAGALHÃES 69 27. (Imenes & Lélis, 2012) Em um número decimal, o algarismo na posição dos décimos é: a) O primeiro da esquerda para a direita b) O último da esquerda para a direita c) O primeiro algarismo à direita da vírgula d) O último algarismo à esquerda da vírgula 28. (Imenes & Lélis, 2012) Qual é a sentença verdadeira? 29. (Imenes & Lélis, 2012) A quantidade seis décimos e cinco centésimos é: a) Maior que 1. b) Igual a sessenta e cinco centésimos. c) Igual a sessenta e cinco décimos d) Menor que 0,5 30. (Imenes & Lélis, 2012) Os números com vírgula foram organizados nesta linha, como é feito em quilometragem de uma estrada: a) Escreva os números correspondentes a A, B, C, D e E. b) Qual é o número que está exatamente o meio de A e B? 31. (Imenes & Lélis, 2012) Coloque V ou F, sobre os números 12,61 e 12,601 ( ) O primeiro é menor que o segundo ( ) O maior tem 9 milésimos a mais que o menor. ( ) Um número maior que 12,601 e menor que 12,61 é 12,603. ( ) O primeiro número é igual a 12 mais 61/100.
  • 70.
    OTÁVIO LUCIANO CAMARGOSALES DE MAGALHÃES 70 32. (Imenes & Lélis, 2012) Leve o gato até a sardinha, passando de um número para outro menor. NOÇÕES DE MEDIDAS 34. Em quais situações abaixo você faz uma contagem e em quais você faz uma medição? a) A quantidade de líquido de uma jarra. b) A quantidade de garrafas de uma caixa. c) A quantidade de farinha de um pacote. d) A distância de sua casa até o seu colégio. e) A altura de uma árvore. 35. O que é medir? 36. Cite alguns aparelhos usados para efetuar medidas. 37. Determine quanto mede o segmento AB, quando você considera como unidade de medida o segmento a, o segmento b e o segmento c: 38. Determine quanto mede a superfície S, considerando como unidade de medida: a) a superfície A, b) a superfície B, c) a superfície C.
  • 71.
    OTÁVIO LUCIANO CAMARGOSALES DE MAGALHÃES 71 39. Determine a medida da superfície abaixo, quando: a) A unidade for o primeiro elemento da coluna da direita. b) A unidade for o segundo elemento da coluna da direita. c) A unidade for o terceiro elemento da coluna da direita. d) A unidade for o quarto elemento da coluna da direita. 40. Responda a) Qual é a unidade fundamental de comprimento? b) Quais são os submúltiplos do metro? 41. Usando os símbolos das unidades de comprimento, escreva: a) doze quilômetros; b) quarenta centímetros; c) seis milímetros; d) nove decímetro; e) trinta milímetros; f) cem metros; g) dois quilômetros; h) oito metros. 42. Indique a unidade de medida que você usaria para medir: a) o comprimento de seu pé; b) a distância entre as traves de uma quadra de futebol de salão; c) a espessura de sua régua; d) a distância entre o Rio de Janeiro e São Paulo; e) a altura de um prédio de três andares; f) a espessura de vidros usados em janelas; g) a largura de uma rua; h) a distância entre Fortaleza e Recife; i) o comprimento da lousa; j) a altura da sala de aula; k) o comprimento de um lápis. 43. Quantos centímetros você acredita ter de altura? Quantos centímetros você acha que esta apostila tem de largura? E de comprimento? E de espessura? Faça uma estimativa para responder essas perguntas, e depois, compare sua estimativa usando instrumentos de medidas. 44. Quais são as dimensões do seu quarto? Estime um valor para a largura, para o comprimento e para a altura do seu quarto? 45. Usando fita métrica, régua ou metro de carpinteiro, meça as dimensões de seu quarto. Compare as medidas obtidas com as estimativas feitas no exercício anterior?
  • 72.
    OTÁVIO LUCIANO CAMARGOSALES DE MAGALHÃES 72 MEDIDAS II 1) (Imenes & Lélis,2012) Metros, centímetros, milímetros ou quilômetros? Complete as sentenças: a) A caneta tem 16 ______ de comprimento. b) O comprimento da formiga é 4 ____. c) A altura do sobrado é 9 ____. d) O ladrilho tem 15 ___ de largura. e) É uma estrada com mais de 21 ______ 2) (Imenes & Lélis,2012) Responda: a) Qual é o comprimento de seu palmo em centímetros? b) Algum de seus colegas tem o palmo com comprimento diferente do seu? Qual é o comprimento do palmo dele? c) Luísa e Joana mediram a largura da janela em palmos. Para Luísa, deu 12 palmos; para Joana deu 14. Qual delas tem o palmo maior? 3) (Imenes & Lélis,2012) Copie as frases e complete-as com uma fração ou com uma palavra adequada: a) Um decímetro é 1/10 de um____________. b) Um centímetro é _______ de um metro. c) Um milímetro é ______ de um metro. d) Um metro é 1/1000 de um ___________. 4) (Imenes & Lélis,2012) Vamos fazer estimativas: a) Altura da porta de sua sala de aula. b) Centímetros de largura, comprimento e espessura sua apostila de Matemática. c) Metros de comprimento, largura e altura tem sua sala de aula. d) Distância de sua casa até a escola. 5) (Imenes & Lélis,2012) Uma volta em torno da Terra, pela linha do Equador tem cerca de 40.000 km. Quantos quilômetros você acha que há de Brasília até Tóquio aproximadamente? 6) (Imenes & Lélis,2012) Você percorre uma maratona de 42,5 km. Como determinar a quantidade de passos que você deverá dar em toda maratona. 7) (Imenes & Lélis,2012) Metros, centímetros, milímetros ou quilômetros? Qual unidade é ideal para medir: a) Altura de um prédio. b) Espessura do vidro de uma janela. c) Largura e comprimento do vidro de uma janela. d) Comprimento do Rio Amazonas. 8) (Imenes & Lélis,2012) Estime a altura de um prédio de apartamentos de 7 andares? 9) (Imenes & Lélis,2012) Transforme: a) 3 cm = ____ m b) 13 cm = ____ m c) 104 cm = ___ m e) 250 cm = ____ m f) 5 cm = ____ m g) 3 dm = ____ m h) 12 cm = ____ m i) 12 dm = ____ m 10) (Imenes & Lélis,2012) Em janeiro deste ano, uma forte chuva causou um deslizamento de terra que bloqueou uma estrada. A polícia rodoviária registrou um congestionamento de 12 km. Se cada carro ocupa, em média, o comprimento de 5 m e havia duas faixas de estradas congestionadas, quantos carros aproximadamente estavam no congestionamento.
  • 73.
    OTÁVIO LUCIANO CAMARGOSALES DE MAGALHÃES 73 11) (Imenes & Lélis,2012) Observe a figura e faça o que se pede: a) Qual é a altura de Rodrigo e de seu pai? b) Quanto Rodrigo precisa crescer para chegar à altura do pai? Responda em centímetros e em metros. 12) (Imenes & Lélis, 2012) Dê um exemplo de algo que meça menos de 1 milímetro. 13) Qual é sua altura em milímetros? MEDIDAS III 14) Responda: a) Qual é a unidade principal de massa? b) Quais são os múltiplos do grama? c) Quais são os submúltiplos do grama? 15) Utilizando símbolos das unidades de massa, escreva: a) trezentos gramas; b) vinte e cinco quilogramas; c) trinta miligramas; 16) Escreva como se lê: a) 2,45 kg b) 3,5 g c) 0,50 g d) 0,250 g 17) Indique a unidade mais adequada para medir a massa de: a) seu próprio corpo b) uma colher de sal de cozinha c) um saco de cimento d) uma salsicha e) uma gota de água 18) Estime de quantos quilogramas é sua massa. 19) Quantos gramas tem a massa de uma bola de futebol com 3 kg? 20) Quantos quilogramas tem uma caixa com 800 chocolates de 40 g cada um? 21) Em quantos pedaços de 250 g podemos dividir 7,5 kg de uma goiabada em lata?
  • 74.
    OTÁVIO LUCIANO CAMARGOSALES DE MAGALHÃES 74 22) Calcule em quilogramas, a massa de 1 000 bolinhas de aço com 50 g cada uma. 23) Quantos pacotes de 2,5 kg podemos formar com 100 kg de açúcar? 24) Se um certo modelo de automóvel tem 1250 kg, quantos quilogramas terão 450 automóveis desse mesmo modelo? 25) Quantos sacos de 55 kg podemos formar com 2 585 kg de soja? 26) Dona Sandra foi ao mercado com a seguinte lista de compras: 5 pacotes com 2 kg de açúcar cada um 10 pacotes com 400 g de polvilho cada um 20 pacotes com 250 g de margarina cada um 8 pacotes com 0,5 kg de farinha de rosca cada um Se dona Sandra comprou todos os itens de sua lista, de quantos quilogramas foi a compra de dona Sandra? 27) Transforme: a) 350 g em kg b) 2,5 kg em g c) 300 g em mg d) 15 000 mg em g 28) Quantos quilogramas são 1 000 000 000 g? 29) (Imenes & Lélis, 2012) Observe os pacotes e o que está escrito na balança Agora escreva na balança o que está escrito nesses casos:
  • 75.
    OTÁVIO LUCIANO CAMARGOSALES DE MAGALHÃES 75 30) (Imenes & Lélis, 2012) Quantos gramas são um décimo do quilograma, um milésimo do quilograma e um décimo de milésimo de quilograma? 31) (Imenes & Lélis, 2012) Nas etiquetas, estão marcados quantos quilogramas tem cada objeto, mas elas estão trocadas. Estime quantos quilogramas tem, na verdade, cada um deles. 32) (Imenes & Lélis, 2012) É muito comum vermos em embalagem o termo PESO LÍQUIDO. O que ele significa? 33) (Imenes & Lélis, 2012) Complete a tabela MEDIDAS IV 34) (Imenes & Lélis, 2012) Quantos centímetros há 2 km? 35) (Imenes & Lélis, 2012) Quantos metros há em 0,3 km? 36) (Imenes & Lélis, 2012) Se a temperaturas era 24ºC e subir 3,5ºC, qual será a nova temperatura? 37) (Imenes & Lélis, 2012) Compare as figuras e descubra quanto pesa o mamão. 38) (Imenes & Lélis, 2012) Três destes pedaços de corrente foram emendados, obtendo-se uma corrente de 2,5 m aproximadamente. Quanto mede cada um dos três pedaços que foram emendados? (Dica: Há mais de uma resposta!) 40) (Material do Positivo – 6º ano) Luciana vai distribuir igualmente 4 kg de milho de pipoca em 8 pacotes. Quantos quilogramas de milho ele colocará em cada pacote?
  • 76.
    OTÁVIO LUCIANO CAMARGOSALES DE MAGALHÃES 76 41) (Material do Positivo – 6º ano) Um motociclista percorreu 344 km e consumiu 16 litros de gasolina. Quantos quilômetros esse motociclista percorreu com 1 litro de gasolina? 42) (Material do Positivo – 6º ano) Geraldo está comprando frutas. a) Quanto custa 1 kg de maça? b) Quanto Geraldo pagaria se comprasse 6 kg dessa maça? 39) (Imenes & Lélis, 2012) No mapa abaixo: o comprimento de cada trilha está marcado em quilômetro. Responda: a) Para ir do lago até o moinho, passando pelo mirante e, depois, pela colina, quantos quilômetros devemos andar? b) Se formos do lago até o moinho passando pelo bosque e pela criação de peixes, andaremos mais ou andaremos menos que pelo cainho do item a? Quanto? c) Dê as repostas dos itens anteriores em metro. 43) (Imenes & Lélis, 2012) Observe a tabela que mostra o resultado das pesagens do bebê Pedro: Do 1º ao 4º dia de vida, Pedro ganhou ou perdeu massa? Quanto? a) Quanto ele ganhou do 2º ao 5º mês de vida? b) Quanto ele ganhou do 5º ao 8º mês de vida? 44) (Material do Positivo – 6º ano) Escreva quanto é: a) Metade de R$ 2,54 b) A terça parte de 1,32 m c) A metade de 1,8 kg adicionado a 0,5 kg d) R$ 3,00 subtraído da terça parte de R$ 0,27 45) (Material do Positivo – 6º ano) Joel teve um lucro de R$ 345,30 com as vendas na feira no último fim de semana e resolveu dividir a metade desse valor igualmente entre seus filhos, de modo que cada um recebesse R$ 57,55. Quantos filhos Joel tem? Escreva o raciocínio! 46) (Material do Positivo – 6º ano) Para pagar a compra no supermercado, João gastou R$ 89,35 e pagou com uma cédula de R$ 100,00. Quantos reais Joao recebeu de troco? 47) (Material do Positivo – 6º ano) Marisa pagou a prestação do carro, de R$ 589,90, com 5 dias de atraso e pagou juros. Ela pagou R$ 0,95 por dia de atraso mais um valor fixo de R$ 10,35. Quanto Marisa pagou pela prestação atrasada?
  • 77.
    OTÁVIO LUCIANO CAMARGOSALES DE MAGALHÃES 77 48) (PROVA BRASIL) Fernando tem, no seu cofrinho, cinco moedas de R$ 0,05, oito moedas de R$ 0,10 e três moedas de R$ 0,25. Que quantia Fernando tem no cofrinho? ADIÇÃO E SUBTRAÇÃO DE NÚMEROS DECIMAIS I 1) (Imenes & Lélis,2012) Observe como João calcula mentalmente: Faça como João: dê os resultados das contas usando números com vírgula: a) 5 décimos mais 2 décimos. b) 7 décimos mais 8 décimos. c) 3 vezes 4 décimos. d) 6 vezes 4 décimos, mais 6 décimos 2) (Imenes & Lélis,2012) Complete a tabela: 3) (Imenes & Lélis,2012) Matheus disse que 7 reais e 50 centavos mais 3 reais e 70 centavos dão 10 reais e 120 centavos. Isso não é errado, mas não é usual. Escreva o resultado na forma usual. 4) (Material do Positivo – 6º ano) Somar 32 com 47 é muito parecido com somar 3,2 com 4,7. Por quê? 5) (Material do Positivo – 6º ano) Efetue mentalmente a) 1,5+0,9 b) 12,8+0,7 c) 5,4+1,8 d) 6,9+1,8 e) 7-1,2 f) 1,8-0,9 g) 2,6-0,7 h) 4,5-0,7 6) (Material do Positivo – 6º ano) Procure chegar na resposta sem armar as contas a) 2,17+21,143 b) 2,17+21,143+0,88 c) 7,7-3,55 d) 1-0,11
  • 78.
    OTÁVIO LUCIANO CAMARGOSALES DE MAGALHÃES 78 7) (Material do Positivo – 6º ano) Vou aproveitar as ofertas da semana do supermercado Carestia comprando uma unidade de cada mercadoria. Quanto vou economizar em relação aos preços normais? 8) (Material do Positivo – 6º ano) Em cada sequência abaixo, passamos de um número para o seguinte somando ou subtraindo sempre a mesma quantidade. Descubra qual é a quantidade, copie cada sequência e complete-a corretamente. a) 0,6 0,55 ___ ___ ___ b) ___ ___ ___ 1,17 1,21 c) 0,087 0,095 ___ ___ ___ d) 4,25 ___ 3,25 ___ ___ 9) (Material do Positivo – 6º ano) O quadrado ao lado é mágico. Somando três números de cada linha, coluna ou diagonal, o resultado dá sempre 6. Descubra os números que faltam no quadrado. 10) (Material do Positivo – 6º ano) Bia fez esta conta: Verifique se a conta de Bia está correta. Se não estiver, explique qual foi o erro. 11) (Material do Positivo – 6º ano) Faça os cálculos, tentando não fazer cálculos armando as contas: a) 2,3+12,81 b) 2,3+12,81 c) 15,01-0,45 d) 15,01-0,455 12) (Material do Positivo – 6º ano) Descubra a regra de formação das sequências e escreva os dois próximos termos de cada uma: a) 0,7 1,2 1,7 ____ ____ b) 13,5 12,7 11,9 ____ ____ c) 0,03 0,3 3 ____ ____ d) 120 12 1,2 ____ ____ e) 0,2 0,4 0,8 ____ ____ f) 0,06 0,3 1,5 ____ ____
  • 79.
    OTÁVIO LUCIANO CAMARGOSALES DE MAGALHÃES 79 ADIÇÃO E SUBTRAÇÃO DE NÚMEROS DECIMAIS II 13) Determine as somas (arme e efetue) a) 4,516+2,8 b) 3,4+4,66 c) 4,7+3 d) 3,8+5+7,25 b) 3,8+5+7,25 f) 25,3+0,1+1,04 g) 45,6+32,84+90,16 14) Determine as diferenças (arme e efetue) a) 8,4-4,08 b) 48-36,25 c) 0,4-0,325 d) 1-0,275 c) 5,6-4 g) 12,36-8,634 15) Determine o valor das expressões (arme e efetue): a) 5,42-3,26+2,048 b) 12,4+8,6-9 c) 4,25-0,75+5,06 d) 15-9,6+2,45 e) 3,5-(2-1,25) f) 3-(0,72+1,025)
  • 80.
    OTÁVIO LUCIANO CAMARGOSALES DE MAGALHÃES 80 16) (Imenes & Lélis,2012) Raul ficou encarregado de comprar alguns ingredientes. Calcule quanto ele vai gastar para comprar o que está na lista. MULTIPLICAÇÃO E DIVISÃO POR 10, 100, 1000 FAÇA OS CÁLULOS SEM ARMAR AS CONTAS OU FAZER USO DE CALCULADORA 5 x 10 =________ 8 x 10 =________ 15x10=________ 80x10=________ 95x10=________ 152x10=________ 1523x10=________ 6,2x10=________ 5,3x10=________ 11,4x10=________ 5,14x10=________ 2,38x10=________ 12,15x10=________ 115,2x10=________ 1,523x10=________ 1,122x10=________ 15,133x10=________ 0x10=________ 0,5x10=________ 0,6x10=________ 1,3x10=________ 0,62x10=________ 0,44x10=________ 0,233x10=________ 5 x 100 =________ 8 x 100 =________ 15x100=________ 80x100=________ 95x100=________ 152x100=________ 1523x100=________ 6,2x100=________ 5,3x100=________ 11,4x100=________ 5,14x100=________ 2,38x100=________ 12,15x100=________ 115,2x100=________ 1,523x100=________ 1,122x100=________ 15,133x100=________ 0x100=________ 0,5x100=________ 0,6x100=________ 1,3x100=________ 0,62x100=________ 0,44x100=________ 0,233x100=________ 5 x 1000 =________ 8 x 1000 =________ 15x1000=________ 80x1000=________ 95x1000=________ 152x1000=________ 1523x1000=________ 6,2x1000=________ 5,3x1000=________ 11,4x1000=________ 5,14x1000=________ 2,38x1000=________ 12,15x1000=________ 115,2x1000=________ 1,523x1000=________ 1,122x1000=________ 15,133x1000=________ 0x1000=________ 0,5x1000=________ 0,6x1000=________ 1,3x1000=________ 0,62x1000=________ 0,44x1000=________ 0,233x1000=________ 1) (Imenes & Lélis,2012) Calcule quanto dá 10 x 0,1. Explique com suas palavras o resultado. 2) (Imenes & Lélis,2012) Efetuem as multiplicações a) 2,1 x 10 b) 6,13 x 10 c) 4,941 x 10 3) (Imenes & Lélis,2012) Efetuem as multiplicações a) 2,137 x 100 b) 2,137 x 1000 c) 0,01 x 100 d) 0,01 x 1000
  • 81.
    OTÁVIO LUCIANO CAMARGOSALES DE MAGALHÃES 81 4) (Imenes & Lélis,2012) Efetue as divisões a) 439,6:10 b) 439,6:100 c) 439,6:1000 5) (Imenes & Lélis,2012) Está certa a conta 10 x 0,2 = 0,20? Por quê? 6) (Imenes & Lélis,2012) Observe a conta 10 x 1,23=12,3. Uma pessoa disse que a vírgula mudou de posição; outra pessoa disse que foram os algarismos que mudaram de posição. Qual delas está com a razão? 7) (Imenes & Lélis,2012) Calcule mentalmente: a)1% de R$ 350,00 b) 1% de R$ 35,00 c) 1% de R$ 128,00d) 1% de R$ 1500,00 8)(Imenes & Léllis, 2012) Veja o esquema Agora complete os esquemas desenhando as figuras corretas sob a ponta da seta Veja o novo esquema: 5 décimos e 7 centésimos -----x10-----> 5 unidades e 7 décimos Agora complete os resultados: 9) (Imenes & Léllis, 2012) Leia o professor explicando para Isabela: Transforme as medidas em metros para medidas em centímetros: a) 0,34 m b) 1,75 m c) 2,4 m d) 6,25 m
  • 82.
    OTÁVIO LUCIANO CAMARGOSALES DE MAGALHÃES 82 10) (Imenes & Léllis, 2012) Efetue as divisões: a) 31,4:10 b) 3,14:10 c) 314:100 d) 31,4:1000 11) (Imenes & Léllis, 2012) Você já percebeu que, quando passamos de metro para centímetro, o número da medida é multiplicado por 100, porque cada metro tem 100 centímetro. Veja: Portanto, para passar de centímetro para metro, você faz o inverso, ou seja, divide o número da medida por 100, porque cada 100 centímetros formam 1 metro. Observe: Com base nisso, apresente os cálculos para transformar: a)756 cm = ___m b) 810 cm = ___m c) 95 cm = ___m d) 80 cm = ___ m 12) (Imenes & Léllis, 2012) Complete as tabelas: 13) (Imenes & Léllis, 2012) Calcule sem armar a conta: a) 0,38 x 10 x 10 b) 0,38 x 100 c) 1,21 x 10 x 100 d) 1,21 x 1000 14) (Imenes & Léllis, 2012) Um número foi multiplicado por 1000 e dividiu por 10, o que resultou em 5,5. Qual era o número inicial? 15) (Imenes & Léllis, 2012) Veja 1 km = 1.000m, 2 km = 2.000m, etc., notamos que, para transformar a medida em quilômetro na medida em metro, basta multiplicar o número da medida por 1.000. Transforme quilômetro em metro e metro em quilometro: a) 37,3 km b) 87.400 m c) 2,5 km d) 1200 m e) 87 450 m f) 6,75 km g)31 km h) 200 m
  • 83.
    OTÁVIO LUCIANO CAMARGOSALES DE MAGALHÃES 83 16) (Imenes & Léllis, 2012) Como 1 kg = 1000 g, para passar de quilograma para grama, devemos multiplicar por 1.000. Se você entendeu, é capaz de fazer o contrário, ou seja, passar de grama para quilograma: a) 37 g b) 370 g c) 3750 g d) 4185 g 17) (Imenes & Léllis, 2012) Observe o diálogo Percebe-se que os dois cozinheiros estão pensando em unidades de medidas diferentes. Quais seriam essas unidades para cada cozinheiro? 18) (Apostila do Positivo - 6º ano) A Região Norte é, geograficamente a maior do Brasil, com mais de 3.000.000 km2, ocupando 45,28% do território nacional e abrigando a maior parte da Amazônia brasileira. Fazem parte da Amazônia brasileira. Fazem parte da Região Norte: Acre, Amapá, Amazonas, Pará, Rondônia, Roraima e Tocantins. a) O mapa ao lado está na escala 1:100.000.000. Qual é o significado dessa notação? b) Meça no mapa a distância em linha reta entre Manaus e Palmas. c) Qual a distância real aproximada entre Manaus e Palma? d) Meça no mapa a distância entre Rio Branco e Boa Vista. e) Qual a distância real aproximada entre Rio Branco e Boa Vista? 19) (Apostila do Positivo – 6º ano) Complete a tabela: 20) (Apostila do Positivo – 6º ano) Calcule mentalmente: a) 18,5 x 10 b) 2,345 x 1000 c) 9,09 x 100 d) 5,1 x 100 e) 4,3 x 10 f) 0,5 x 1000 g) 51,2 x 100 h) 2,8 x 100 MULTIPLICAÇÃO DE NÚMEROS DECIMAIS I 1) (Imenes & Léllis, 2012) Quantas casas decimais tem o produto na multiplicação de 121.427,3 por 5.375.897,7? 2) (Imenes & Léllis, 2012) Efetue 45 x 137. Em seguida, sem fazer novas contas, resolva: a) 45 x 13,7 b) 45 x 1,37 c) 4,5 x 137 d) 4,5 x 13,7 e) 0,45 x 13,7 f) 0,45 x 1,37
  • 84.
    OTÁVIO LUCIANO CAMARGOSALES DE MAGALHÃES 84 3) (Imenes & Léllis, 2012) O preço do litro de gasolina é um número com três casas decimais. Quando compramos certo número de litros, calculamos o total e desprezamos a casa dos milésimos. Com base nesses dados, quanto devemos pagar por 25 L de gasolina a R$ 2,897 o litro? 4)(Imenes & Léllis, 2012) É possível o produto de dois números decimais ser menor que cada um dos fatores? Se for, você consegue explicar esse fato? 5) (Imenes & Léllis, 2012) 0,5 x 16 dá 8, ou seja, a metade de 16. Quando efetuamos 0,5 x N, o resultado é metade do número N. Por quê? 6) (Imenes & Léllis, 2012) No dia do vencimento do aluguel de nossa casa, no valor de R$ 485,00, meu pai não tinha dinheiro para pagá-lo. Ao pagar o aluguel após o vencimento, arcou com 3% de multa. Quanto ele pagou no total? 7) (Imenes & Léllis, 2012) Observe com atenção as dimensões da estante ao lado e dê sua altura em metros. (Atenção: A espessura das prateleiras está em centímetro!) 8) (Imenes & Léllis, 2012) Complete os diagramas: 9) (Imenes & Léllis, 2012) Complete as frases: a) Multiplicar por 0,3 é o mesmo que multiplicar por 3 e dividir por ____. b) Multiplicar por 0,1 é o mesmo que dividir por ___
  • 85.
    OTÁVIO LUCIANO CAMARGOSALES DE MAGALHÃES 85 10) (Imenes & Léllis, 2012) Efetue mentalmente: a) 2 x 1,5 b) 0,2 x 1,5 c) 0,2 x 0,15 d) 5 x12 e) 0,5 x 0,12 11) (Imenes & Léllis, 2012) Calcule: a) 7% de R$ 30,00. (Dica: comece calculando 1% de R$ 30,00...) b) 16% de 123,00. 12) (Imenes & Léllis, 2012) Hoje cedo, quando saí para ir à escola, o marcador de quilometragem do carro da minha mãe registrada este número: Quando lá chegamos, o marcador indicava: Sabendo que o quadrinho colorido do marcador indica os décimos de quilômetro, responda: a) Escreva uma subtração que resulte na distância, em quilômetro, da minha casa até a escola. b) Minha mãe me leva para a escola e volte para casa. Depois, ela vai me buscar e voltamos para casa. Escreva uma multiplicação que resulte na distância, em quilômetro, que ela percorre aproximadamente. c) Escreva as respostas dos itens ‘a’ e ‘b’ em metros. 13) (Imenes & Léllis, 2012) Que azar! A nota fiscal está rasgada. a) Descubra qual foi o gasto total. b) Crie e escreva outro problema sobre uma nota fiscal rasgada. 14) (Apostila do Positivo – 6º ano) De acordo com esses produtos, quanto você pagaria se comprasse 3 pacotes de biscoito, 5 latas de leite e 10 sabonetes? 15) (Apostila do Positivo – 6º ano) Mônica estava voltando para casa quando percebeu que estava quase sem combustível no carro. Ao estacionar no posto de combustível viu que o preço da gasolina era R$ 2,979 o litro. Quanto ela gastou ao colocar 10 litro desse combustível para completar o tanque?
  • 86.
    OTÁVIO LUCIANO CAMARGOSALES DE MAGALHÃES 86 16) (Apostila do Positivo – 6º ano) Calcule: a) O dobro de 2,51 b) o triplo de 0,04 b) O dobro de 1,7 adicionado a 0,5 d) o triplo de 0,27 subtraído de 3 17) (Apostila do Positivo – 6º ano) Faça uma estimativa de cada produto a seguir: a) 45,1 x 3,4 b) 0,31 x 2,8 c) 9,9 x 4 d) 25,3 x 12 Verifique com a calculadora suas estimativas 18) (Apostila do Positivo – 6º ano) Alguns produtos estavam em promoção no supermercado. a) Quantos reais gastaria uma pessoa que comprasse 2,5 kg de batata e 1,8 kg de cenoura? b) E quem comprasse 0,5 kg de tomate e 3,5 kg de banana. MULTIPLICAÇÃO DE NÚMEROS DECIMAIS II 19) Efetue as multiplicações (arme e efetue): a) 3,8 x 6,7 b) 4,12 x 9 c) 0,25 x 0,36 d) 8,35 x 8 e) 18 x 3,14 f) 8,56 x 7,3 x 2 g) 0,125 x 4 h) 9,736 x 9,6 i) 0,924 x 1,8 j) 0,25 x 0,2 k) 0,2 x 0,2 x 0,2 l) 28 x 0,1 m) 4,5 x 0,01 n) 0,1 x 0,001 o) 3,6 x 0,4 x 0,01
  • 87.
    OTÁVIO LUCIANO CAMARGOSALES DE MAGALHÃES 87 20) Determine o valor das expressões (arme e efetue): a) 9,6 x 7,8 + 5,12 b) 10 – 6,3 x 0,87 c) 5,4 x (3 – 1,67) d) 3,2 x 5 – 10,28 e) 2,8 x 0,6 – 0,9 x 1,4 f) 18,86 – 3,8 x 4,7 21) Calcule o dobro de 4,5. 22) Calcule o triplo de 12,30. 23) Se a= 2,3 x 3,8 e b= 5,6 – 3,4, calcule o valor de a-b 24) Comprei 8 objetos a Cr$ 182,50 cada um. Dei ao caixa Cr$ 1.500,00. Quanto devo receber de troco? 25) Considerando que o passo de Rafael mede 0,83 metro, quantos metros ele terá andado ao dar 2.500 passos? 26) Se 1 metro de arame custa Cr$ 8,00, quanto pagarei por 7,5 metros? 27) Para fazer um vestido, Flávia comprou 2,75 metros de tecido a Cr$ 816,00 o metro e pegou Cr$ 2.000,00 de feitio. Em quanto ficou esse vestido? PROVA DE MATEMÁTICA APLICADA 2/12/2014 EM MONTE SANTO DE MINAS (6º ANO) 1) Transforme em fração: a) 0,3 b) 0,12 c) 1,2 d) 2,54 e) 1,420 f) 0,00002 g) 13,4 h) 140,44 i) 1999,5 2) Transforme em número decimal: a) 415/10 b) 1592/100 c) 4/10 d) 4/100 e) 5/1000 f) 128/1000 g) 4523/10000 3) Compare: a) 2,5_______ 2,5000 b) 1,00___ 1 c) 1,42____ 1,042 d) 1,25_____ 1,205 e) 2,34 ___ 2,332 f) 1,9999____ 2 g) 14,1______ 1,4 h) 1,3000____ 1,300 i) 1,30___ 1,03
  • 88.
    OTÁVIO LUCIANO CAMARGOSALES DE MAGALHÃES 88 4) Ache um número: a) Entre 0 e 1 b) Entre 2,5 e 2,6 c) Entre 3,14 e 3,15 5) Dê um valor aproximado razoável para x, y, z e w: PROVA 7º ANO DE MONTE SANTO DE MINAS SOBRE NÚMEROS DECIMAIS 2015 Várias versões de prova. As questões abaixo eram de algumas delas. 1) Numa livraria, um funcionário organizou uma pilha de pactos de papel sulfite para venda. Cada pacote possui 500 folhas e massa total aproximada de 2,5 kg. Qual é a massa total da pilha? Explique seu raciocínio. 2) Efetue os cálculos, armando a conta sempre que possível (será avaliada a “conta armada”) 5– 3,926 0,032 x 0,042 1 5 + 0,25 0,24 x 0,0031 1 2 + 0,5 10 – 8,411 0,032 x 0,041 8 – 6,521 0,5+ 1 2 5– 3,916 0,031 x 0,042 1 5 + 0,35 0,24 x 0,031 1 2 + 0,6 9 – 8,411 0,032 x 0,021 8 – 6,531 0,6+ 1 2 5– 3,921 0,012 x 0,042 1 5 + 0,45 0,24 x 0,0021 1 2 + 0,7 10 – 8,421 0,032 x 0,031 8 – 6,621 0,4+ 1 2
  • 89.
    OTÁVIO LUCIANO CAMARGOSALES DE MAGALHÃES 89 3) Efetue (pode ser mentalmente) 5,282 – 3,282 0,04 x 800 142,5 : 0,001 42 x 0,5 8 x 0,25 4,232 – 3,232 0,02 x 800 24,25 : 0,001 68 x 0,5 12 x 0,25 5,144 – 2,144 0,03 x 8000 1,425 : 0,001 120 x 0,5 12x 0,25 0,7 x 9000 52 x 0,5 44 x 0,25 42,162-40,144 5,22 : 0,01 0,3 x 9000 48 x 0,5 64 x 0,25 51,162-40,144 8,22 : 0,01 0,7 x 5000 90 x 0,5 60 x 0,25 42,512-30,512 51,22 : 0,01 6,205 : 0,001 0,03 x 400 22 x 0,5 9,154 – 4,154 88 x 0,25 64,11 : 0,001 0,03 x 500 400 x 0,5 10,154 – 4,154 400 x 0,25 62,05 : 0,001 0,01 x 300 40 x 0,5 9,154 – 3,154 120 x 0,25 4) Determinado produto custava R$ 420,00. Ele foi vendido com um desconto de 7,5%. Por quanto foi vendido esse produto? 5) Ao pagar uma conta atrasada, no valor de R$ 160,00, Nelly pagou uma multa de 4,5%. Qual foi o preço pago por Nelly por essa conta? 6) Um jogo aumenta em 1,5% os pontos de um jogador que consegue pegar certa estrela dourada. Se o jogador tem 1400 pontos antes de pegar tal estrela, qual será sua pontuação após captura-la? 7) Determinado produto custava R$ 450,00. Ele foi vendido com um desconto de 7,5%. Por quanto foi vendido esse produto? 8) Ao pagar uma conta atrasada, no valor de R$ 160,00, Nelly pagou uma multa de 3,5%. Qual foi o preço pago por Nelly por essa conta? 9) Um jogo aumenta em 2,5% os pontos de um jogador que consegue pegar certa estrela dourada. Se o jogador tem 1400 pontos antes de pegar tal estrela, qual será sua pontuação após captura-la? 10) Determinado produto custava R$ 410,00. Ele foi vendido com um desconto de 7,5%. Por quanto foi vendido esse produto? 11) Ao pagar uma conta atrasada, no valor de R$ 150,00, Nelly pagou uma multa de 4,5%. Qual foi o preço pago por Nelly por essa conta?
  • 90.
    OTÁVIO LUCIANO CAMARGOSALES DE MAGALHÃES 90 12) Um jogo aumenta em 1,5% os pontos de um jogador que consegue pegar certa estrela dourada. Se o jogador tem 1300 pontos antes de pegar tal estrela, qual será sua pontuação após captura-la? 13) Matheus tem idéias diferentes. Ele pensou em medir com o seu palmo a distância entre a Escola Nova e a Escola Wenceslau Bráz. Se a distância entre as escolas é de 150 m e o palmo de Matheus é de 15 cm, qual será a distância entre as escolas em “palmos de Matheus”? 14) A distância entre a Terra e o Sol é de 149.000.000 km. Um disco voador faz a viagem entre a Terra e o Sol, de ida e volta, 5 vezes por semana. Qual é a distância percorrida por esse disco voador em metros? 15) O Pokémon Axukisei é muito grande e gordo pesando 4,5 kg. O seu irmão, o Pokémon Axukinumsei tem outro peso: 11.500 g. Qual é a diferença entre os pesos dos dois Pokémons? 16) Lucas Bone e Linconl disputam para ver quem consegue juntar mais argolas de latinhas de refrigente. Lucas Bone conseguiu arrecadar 4.200 g em latinhas, enquanto Linconl arreadou 5,25 kg. Qual é a diferença de arrecadação entre os dois? 17) Rafaela caminha por dia 9,8 km. Nicoly caminha por dia 10.800 m. Qual é a diferença, em centímetros, do que uma percorre em relação à outra? 18) Anunciado o preço de R$ 4,50 por 100 g de biscoito, quanto pagará quem comprar 1,2 kg de biscoitos? 19) Sabendo que 1 metro de tecido custa R$ 9,42, qual é o preço de 40 cm desse tecido? 20) Arnaldo, Cernaldo e Bernaldo são seres extraterrestres de tamanhos e formatos diferentes. Arnaldo pesa 4,2 kg. Bernaldo pesa 52.400 g. Cernaldo pesa 42.000.000 mg. Quanto pesam os três seres juntos? 21) Quantos centímetros caminha quem anda 2,45 km?
  • 91.
    OTÁVIO LUCIANO CAMARGOSALES DE MAGALHÃES 91 22) Escreva as operações que você precisará realizar para resolver o problema (não é necessário efetuar os resultados!). Você precisará eliminar os zeros quando for conveniente, para apresentar a melhor resposta. a) Comprei 4,52 m de um tecido que custa R$ 2,80 por metro. Ainda paguei mais R$ 42,50 pela mão de obra. Quanto paguei? b) Eu tenho 5.420,00 g de doce para repartir. Eu ficarei com a metade, e o restante dividirei com 4 amigos. Quanto receberá cada amigo? c) Comprei 4,42 m de um tecido que custa R$ 2,80 por metro. Ainda paguei mais R$ 43,50 pela mão de obra. Quanto paguei? d) Eu tenho 5.320,00 g de doce para repartir. Eu ficarei com a metade, e o restante dividirei com 3 amigos. Quanto receberá cada amigo? e) Comprei 3,52 m de um tecido que custa R$ 2,80 por metro. Ainda paguei mais R$ 52,50 pela mão de obra. Quanto paguei? f) Eu tenho 5.410,00 g de doce para repartir. Eu ficarei com a metade, e o restante dividirei com 4 amigos. Quanto receberá cada amigo? PARA TIRAR DÚVIDAS QUANTO AOS PRINCIPAIS ERROS NA PROVA Jamais confunda! (1) 5 – 3,12 NÃO PODE armar como 3,12 em cima (2) UNIDADE EM BAIXO DE UNIDADE, VÍRGULA EM BAIXO DE VÍRGULA! 1) Arme e efetue: a) 10 – 9,126 b) 1 – 6,12 c) 5,423 – 1 2) Calcule mentalmente: a) 8,144 – 4,144 b) 17,2574 – 10,2574 3) FIQUE ATENTO AO QUE O PROBLEMA ESTÁ PEDINDO! Escreva o cálculo que você utilizará para resolver o problema. a) Se cada litro de gasolina custa R$ 3,399, quanto custará 82,46 litros? b) Se o meu carro tiver um marcador digital de capacidade de combustível, marcando 42,1 litros antes do abastecimento e depois do abastecimento marcar 69,7 litros, qual será o meu custo? c) Se eu comprar 62,5 litros de gasolina com um desconto de 21,3%, qual será o meu desconto?
  • 92.
    OTÁVIO LUCIANO CAMARGOSALES DE MAGALHÃES 92 SÓ APRENDE MATEMÁTICA SE: * PRESTAR ATENÇÃO NA AULA * FAZER TODOS OS EXERCÍCIOS PROPOSTOS! JAMAIS COPIAR * ESTUDAR EM CASA Caso contrário: IMPOSSÍVEL! 4) Lembre-se que: 1 2 = 0,5 1 4 = 0,25 1 5 = 0,2 Calcule: a) 1 4 + 2,5 b) 1 2 + 0,6 c) 1 4 + 1 2 5) Quanto vale R$ 2 1 4 ? E R$ 1 3 4 ? FOI EXPLICADO MUITAS VEZES E MUITOS ALUNOS NÃO OUVIRAM ÷ 0,1 é mesma coisa que x 10 ÷ 0,01 é mesma coisa que x 100 ÷ 0,001 é mesma coisa que x 1000 Mas IMPRESSIONANTEMENTE a maioria errou! 6) Calcule: a) 46 ÷ 0,1 b) 6,2 ÷ 0,1 c) 0,062 ÷ 0,1 d) 46 ÷ 0,01 e) 6,2 ÷ 0,01 f) 0,062 ÷ 0,01 g) 46 ÷ 0,001 h) 6,2 ÷ 0,001 i) 0,062 ÷ 0,001 TAMBÉM FOI DITO E REDITO, MAS MUITOS NÃO OUVIRAM! ÷ 0,5 é mesma coisa que x 2 ÷ 0,25 é mesma coisa que x 4 ÷ 0,125 é mesma coisa que x 8 7) Calcule mentalmente (veja o quadrinho acima): a) 8÷ 0,5 b) 66 ÷ 0,5 c) 5 ÷ 0,5 d) 40 ÷ 0,25 e) 64 ÷ 0,25 f) 100 ÷ 0,25 g) 8 ÷ 0,125 h) 80 ÷ 0,125 8) Calcule mentalmente (só pensar!) a) 6 x 0,5 b) 44 x 0,25 c) 50 x 0,5 d) 40 x 0,25 e) 0,44 x 0,25 f) 1,60 x 0,5 9) Multiplicar por 5 é o mesmo que dividir por ________ Multiplicar por 3 é o mesmo que dividir por ________ Dividir por 5 é o mesmo que multiplicar por _________
  • 93.
    OTÁVIO LUCIANO CAMARGOSALES DE MAGALHÃES 93
  • 94.
    OTÁVIO LUCIANO CAMARGOSALES DE MAGALHÃES 94 NOÇÃO DE NÚMERO NEGATIVO 1) Mariazinha, menina esperta, observadora resolveu apostar com os colegas que ela falaria um número mais baixo que eles. Chegou em Luiz e pediu que ele falasse um número. Luiz falou 5. Facilmente ela disse um número menor 4! Jonas, percebendo o que havia acontecido falou 0! Fale um número menor que 0! Facilmente Mariazinha disse um número menor. a) Que número Mariazinha pode ter dito? b) Fale um número menor que o número que você acha que Mariazinha falou. E um número menor que este ainda. 2) Dados os números abaixo, coloque na ordem crescente. Do menor para o maior! a) –3, -5, +2, +4, -9, 0 e +11 b) –5, +4 -2, +5, -11, +16 3) Abri uma conta corrente dia 29/01, depositando 265 reais na conta. Preencha a tabela abaixo, de acordo o movimento de dinheiro nesta conta: MOVIMENTO SALDO APÓS O MOVIMENTO 02/02 - Emiti um cheque no valor de R$ 65,00 05/02 – Emiti um cheque no valor de R$ 418,00 16/02 – Depositei R$ 190,00 na conta 22/02 - Emiti um cheque de R$ 80,00 28/03 – Depositei R$ 123,00 na conta Ao final do mês meu saldo estava positivo ou negativo? De quanto? 4) Acreditam os historiadores que Jesus Cristo nasceu no ano 4 aC. Se isto for verdade, em que ano Jesus Cristo morreu, sabendo que ele morreu aos 33 anos. 5) Quantos anos se passaram do ano 500 aC até o ano 1998 dC? 6) A temperatura de uma cidade próxima ao polo norte em certo dia foi de 13o . Sabendo que a temperatura média anual é de –20o , quantos graus acima da média de temperatura apresentou-se neste dia? 7) Uma balança com tara desregulada pesa uma taça cheia de sorvete e aponta 300 g. Sabendo que o peso da taça é de 500 g, e que a tara estava preparada para 400g, responda: a) Quantos gramas de sorvete a pessoa perderá? b) Qual o peso que será marcado com a taça vazia? c) Qual o peso que será marcado pela balança com uma taça de 200 g vazia? 8) Os alunos da 6a série se reuniram para realizar um campeonato de Futebol, se inscreveram os seguintes times: Urubus da Fiel, Sai de Baixo, Bola Mucha, Quebra Pedra e Racha Cuca. No final do campeonato, todos os times empataram na quantidade de pontos e no regulamento estava escrito que o time que tivesse maior Saldo de Gols. Utilizando a tabela abaixo decida quem venceu o campeonato: EQUIPE GOLS MARCADOS GOLS TOMADOS SALDO DE GOLS Urubus da Fiel 24 22 Sai de Baixo 26 33 Bola Mucha 5 12 Quebra Pedra 25 27 Racha Cuca 18 15 9) Calcule as somas algébricas: a) –3+2 b) +3+5 c) –9-11 d) +7-9 e) –1-12 f) –1+4 g) +5-2 h) 1+7 i) 1-7 j) 2-12 l) +2-11 m) –6+14 n) –10+7 o) +7-10 p) +10-7 q) –7+10 r) –4+4 s) –12+0 t) –6+6 u) –11+4 v) –4+2 x) –1-2 z) –12+2
  • 95.
    OTÁVIO LUCIANO CAMARGOSALES DE MAGALHÃES 95 54) Calcule as somas algébricas: a) –15+41+12+21-43 b) –7-8+24-10+31-4-19 c) 19-21+100+36-100-35 55) Na Gincana Cultural Potências X Radicais existem os Pontos Variáveis. Neles, ambas equipes começam com 25 pontos, cada ponto perdido em uma é ponto ganho em outra. Assim, sempre a soma dos pontos variáveis será 50. Calcule quantos pontos ficará cada equipe nas seguintes hipóteses: a) Potências perde 5 pontos/ Radicais perde 8 pontos/ Radicais perde 11 pontos/ Potências perde 19 pontos/ Radicais perde 8 pontos/ Potências perde 16 pontos/ Potências perde 24 pontos/ Radicais perde 17 pontos/ Potências perde 18 pontos. b) Potências perde 10 pontos/ Potências perde 4 pontos/ Potências perde 3 pontos/ Radicais perde 15 pontos c) Radicais perde 5 pontos/ Potências perde 8 pontos/ Radicais perde 4 pontos/ Radicais perde 8 pontos d) Potências perde 1 ponto/ Potências perde 10 pontos/ Radicais perde 4 pontos/ Potências perde 3 pontos e) Radicais perde 9 pontos/ Potências perde 4 pontos/ Potências perde 3 pontos/ Potências perde 2 pontos/ Radicais perde 18 pontos 7) Calcule quantos pontos variáveis tem a equipe dos Radicais se a equipe Potências tem: a) 15 pontos b) - 23 pontos c) 39 pontos d) 68 pontos e) 100 pontos f) –12 pontos g) –14 pontos h) 385 pontos 8) Em determinado dia o placar dos pontos variáveis estava –12x62 para a equipe dos Potências. Após este dia, no dia seguinte somando os pontos perdidos dos Potências achamos 145 e os pontos perdidos dos Radicais achamos 132 pontos. Qual foi o placar deste dia seguinte? 9) Resolva as expressões: a) 10+[-8-(-1+2)] b) –4-[-2+5-(-5+2)]-1+7 c) –4-12+9-(-2+6-8) 10) A equipe dos Potências tinha 78 pontos, e perdeu 10 mais 7 pontos. Quantos pontos ela perdeu? Com quantos pontos ficou a equipe dos Radicais? 11) Resolva as expressões: a) –3-[-(-1+6)+4-(-1-2+3)-1] b) 1-(-2)-[-(-2)-3-(-6+2)]
  • 96.
    OTÁVIO LUCIANO CAMARGOSALES DE MAGALHÃES 96 12) a) Quanto vale o oposto de –3? b) Quanto vale o oposto do oposto de –3? c) Quanto vale –(-3)? d) Quanto vale –[-(-3)]? 13- Identifique as figuras simétricas dentre as apresentadas abaixo: 14.No início do mês, tinha um saldo de R$ 250,00 de débito no Banco (estava no “vermelho”). Num período de 15 dias verifiquei o seguinte movimento: CRÉDITOS DÉBITOS 01 - Salário R$ 550,00 02 - Pagamento Água R$ 42,00 07 - Depósito R$ 155,00 02 - Pagamento Telefone R$ 152,00 11 - Empréstimo R$ 322,00 02 - IPTU – 1ª parcela de 12 R$ 15,00 15 - Restituição IR R$ 12,00 04 - Saque R$ 145,00 05 - Cheque compensado R$ 150,00 06 - Saque R$ 150,00 09 - Taxas bancárias R$ 35,00 14 - CPMF R$ 8,00 a) Calcule quanto estava meu saldo bancário nos dias: 02, 04, 05, 06, 09, 11 e 15. b) Considerando que o juros de empréstimo é menor que o do cheque especial, o que você acha do empréstimo feito no dia 11? 16. Determine o módulo e o oposto dos números: a) 5 b) – 3 c) 0 d) +7 17. Numa gincana uma equipe tem 50 pontos, perde 7, ganha 5, perde 11, perde 17, perde 23, perde 19, ganha 15, ganha 5, ganha 2, ganha 13, perde 41, ganha 43, perde 11. Quantos pontos esta equipe fica após todas estas perdas e ganhos de pontos? 20. (Concurso do SAAE – São Carlos – Aferidor de Hidrômetro – 2003) Extrato bancário do Sr. X DATA DOC HISTÓRICO DÉBITOS R$ VALORES R$ 03/08 - SALDO ANTERIOR 2.347,00 C 05/08 Cheque 452 COMPENSAÇÃO -550,00 D 06/08 Cheque 453 COMPENSAÇÃO -298,00 D 06/08 - SALDO ? 10/08 Cheque 454 COMPENSAÇÃO -1.700,00 D 11/08 - SALDO ? Analisando esse extrato, o Sr. X tinha nos dias 06 de agosto e 11 de agosto, respectivamente: a) saldo positivo de R$ 3.195,00 e R$ 5.615,00 b) saldo positivo de R$ 1.499,00 e um saldo negativo de R$ 201,00 c) saldos positivos de R$ 3.195,00 e R$ 1.495,00 d) saldos positivos de R$ 1.495,00 e R$ 201,00 21. (SIMAVE – 8ª série – 2002) Sr. Manoel é gerente de uma loja de roupas. Ele anota os lucros com números positivos e o prejuízo com números negativos. Ao final do mês de outubro ele registrou: Pode-se concluir que, ao final de outubro, a loja teve: A) lucro de R$ 130,00 B) lucro de R$ 20,00 C) prejuízo de R$ 110,00 D) prejuízo de R$ 60,00
  • 97.
    OTÁVIO LUCIANO CAMARGOSALES DE MAGALHÃES 97 ORDEM NOS INTEIROS 1- Eis algumas informações: a- A água ferve a uma temperatura de 100 graus acima de zero._____ b-O corpo humano mantém uma temperatura de 36 graus acima de zero._____ c- Um congelador doméstico (freezer) mantém 18 graus abaixo de zero._____ Indique cada uma dessas temperaturas,usando números positivos, negativos ou nulos . 2- O sr. Dis Traído tinha R$ 350,00 no banco e deu dois cheques, cada um de R$ 200,00. O sr. Gastão tinha a mesma quantia no banco, e deu dois cheques, cada um de R$ 175,00. O sr. Dis Traído ficou com saldo positivo, negativo ou nulo? E o sr. Gastão? Indique esses dois saldos: ___________________________ 3- Um termômetro está marcando a temperatura de +5 graus Diga quanto ele marcará se a temperatura : a- subir 7 graus:_____ b- descer 5 graus:_____ c- descer 8 graus:_____ d- descer 12 graus:____ e- subir 3 graus e depois descer 8 graus:_____ . 4- O sr. Fê Lizardo é irmão do gerente do banco. Por isso, no momento, seu saldo é de -R$500,00. Qual será o saldo se ele: a- depositar R$1 000,00? b- em vez de depositar, retirar R$1 000,00? c- retirar R$150,00 e depois ainda retirar R$250,00?a)___________________ b)___________________ c)__________________ 5-Se tenho R$2 000,00 no banco e retiro R$2 300,00, fico com um saldo negativo de R$300,00. A representação matemática desta situação é: 2 000-2 300=-300. Nas seguintes situações, não serão dados os resultados; você é que deve descobrí-lo: a- Tenho 10 000 e retiro 7 000. Qual é o meu saldo?_______________________________________ b- Tenho 8 000 e retiro 19 000. Qual fica sendo o meu saldo?_______________________________ c- Tenho 9 000 e retiro 23 000. Qual é o meu saldo?______________________________________ d- Tenho 0 e retiro 29 000. Qual é o meu saldo?_________________________________________ 1- Nessas frases utilizamos os sinais > ou < . Quais delas são verdadeiras? a) +5 <+7 b) -5 < +7 c) -5 < -7 d)+ 5 < -7 e) 0 > -8 f) 0 < -8 g) -8 < -7 h) -8 > -7 2-Escreva na ordem crescente os números: +9, -9, +5, -5, +1, -1 , 0. ________________________ 3- Na reta dos números inteiros, a distância de -3 até +2 é 5. Diga a distância : a) de -2 até +2._____ b) de -6 até 0. _____ c) de -17 até -9._____ d) de -30 até -2._____ 4- Vamos representar Z da maneira habitual, por pontos marcados em uma reta. Diga qual é o número representado pelo ponto que vem imediatamente : a) à direita de +999.____ b) à direita de -999:_______ c) à esquerda de +999.____ d) à esquerda de -999._____ e) à direita de -1._____ f) à esquerda de -1._____ 5-Sucessor de um número inteiro é o que está representado imediamente à direita deles, na reta dos inteiros. Antecessor è o que está imediatamente à esquerda. Dê o que se pede: a) o antecessor de +150:____ b) o susessor de +100:____ c) o antecessor de -150:_____ d) o sucessor de -100:_____e) o sucessor de + 5:____ f) o antecessor de -7:_____ 6- Apresente os opostos ou simétricos de: a) +5:____ b) -6:____ c) -30:____ d) +56:____ e) -7:____ 7- Apresente os módulos de : a) +8:____ b) -9:____ c) -23:____ d) +88:_____ e) +1:____f) 0:_____ 8-Responda: a) Qual o simétrico de -15?_____ b) Qual o valor absoluto de -15?_____ c) Qual o simétrico de +20?_____ d) Qual o valor absoluto de +34?_____ 9-O instante de lançamento de um foguete é o instante 0(zero). A contagem regressiva começa 60 segundos antes do lançamento, isto é, no instante -60.Indique com um número inteiro,estes instantes: a) o segundo seguinte ao início da contagem:______ b) o do segundo anterior ao instante do lançamento:______ 10- O ponto mais alto do Brasil é o pico da Neblina. Localizado na serra Imeri no estado do Amazonas, fronteira com a Venezuela, Tem 3 014 metros de altitude. E o ponto mais baixo do Brasil é a fossa do Ramanche, no litoral do Nordeste. Fica a 7 370 metros abaixo do nível do mar.a) Represente essas medidas usando números positivos ou negativos.________________ __________________ b) Quantos metros a fossa do Ramanche é mais baixa que o pico da Neblina?_________________________ 11-Complete com < ou > a) -8____-10 b) +13____+5 c) -7____+7 d) -17____-16 e) 0 ____-9 10 - Qual é o maior número inteiro o -4 ou o +1
  • 98.
    OTÁVIO LUCIANO CAMARGOSALES DE MAGALHÃES 98 EXERCÍCIOS – COLÉGIO EINSTEIN “O GÊNIO DO BUENO” 1-) Na reta numérica a seguir, as abscissas dos pontos A e B são números opostos e a distância de A até C é a mesma de C à origem. Sabendo que a abscissa de C é – 2,75, quais as abscissas de A e B? 2-) Observe a reta numérica e responda a) Determine a abscissas de cada ponto representado por uma letra. b) Qual número é maior: ● D ou E? ● A ou C? ● B ou D? 3-) Uma empresa divulgou um gráfico no qual apresentava o resultado de suas operações, ou seja, se teve lucro ou prejuízo em cada bimestre de determinado ano. a) Em quais bimestres a empresa lucrou? E em quais teve prejuízo? b) O maior prejuízo ocorreu em qual bimestre? De quantos reais foi esse prejuízo? c) Quais bimestres obtiveram lucro entre R$ 25 000,00 e R$ 42 000,00? 4-) Veja quanto o termômetro está marcando em cada horário: Às 8 horas Às 10 horas Às 14 horas Às 18 horas Às 22 horas À meia-noite – 2º C 1º C 4º C 0º C 0º C – 1º C Agora responda: de quantos graus a temperatura aumentou ou diminuiu: a) das 8 horas às 10 horas? b) das 10 horas às 14 horas? c) das 14 horas às 18 horas? d) das 18 horas às 22 horas? e) das 22 horas à meia-noite? 5-) Determine o valor de cada letra no esquema.
  • 99.
    OTÁVIO LUCIANO CAMARGOSALES DE MAGALHÃES 99 6-) Muitas espécies animais vivem em regiões bem profundas dos mares e oceanos. Devido à dificuldade em realizar expedições de pesquisa nessas regiões, acredita-se que ainda existam muitas espécies não catalogadas pelo homem. Observe algumas espécies animais que vivem nessas regiões. O peixe A vive em regiões de até – 200m em relação ao nível do mar; o peixe B, em regiões até 2 vezes mais profundas que o A; e o peixe C, em regiões até 5 vezes mais profundas que o B. Determine, em relação ao nível do mar, até que profundidade vivem os peixes B e C.
  • 100.
    OTÁVIO LUCIANO CAMARGOSALES DE MAGALHÃES 100 SOMA ALGÉBRICA Para fazer a chamada “Soma Algébrica”, a mais usada operação com números positivos e negativos usamos os seguintes mecanismos: Exemplos: a) +5-3 +5-3 é o mesmo que 5-3. É só contar nos dedos: dá 2! Não precisa usar a regra publicada em livros “Quando na soma algébrica os sinais forem diferentes, conserva-se o sinal do número de maior módulo e acha-se a diferença dos valores absolutos”. Para padronizar a regra, podemos observar a reta numérica. Adição é “caminhar para frente” numa reta numérica. Subtração é “caminhar para trás”. Tome como ponto de partida o número 5. Caminhe 3 para trás. Achamos a resposta de 5-3 ou de +5- 3=2, ou +2. Exatamente mesma coisa que aqueles “monstros” da 6ª série. Você também pode pensar tenho 5, devo 3. Ou fazer bolinhas abertas e bolinhas fechadas e depois preencher, mas, o uso na reta é mais natural. b) +5-7 É 5-7. 7 é duas unidades mais que 5, então vamos chegar até o -2 se caminharmos na reta. É muito fácil, e não precisa de regra e nem de “pegar o sinal do maior”, ou tenho e devo. c) -5-2 Mesmo raciocínio. Você está no -5 e “anda 2” para trás Achamos -7 e não precisamos usar nenhuma regra confusa. d) +4+3 É lógico que 4+3 dá 7. Não precisamos de regras e nem da reta numerada. e) -2+5 Veja na reta: Dá 3 ou +3 se preferir. f) -3+1 Veja na reta:
  • 101.
    OTÁVIO LUCIANO CAMARGOSALES DE MAGALHÃES 101 g) -3+3 Dá 0. Soma de números opostos sempre resulta 0. Veja na reta: Não confunda: falar “menos com menos dá mais”, e “sinais iguais, mais”, e outras regras prontas assim. Estas regras só valem para MULTIPLICAÇÃO e DIVISÃO. Para fazer somas algébricas com vários números -4+5-2+3-4, por exemplo, aconselhamos que some primeiro todos os números negativos e depois os positivos: -10+8 e depois efetue a operação. Se for possível, elimine alguns elementos. Ex: -3+5-1+7-5-4 Podemos “cortar” +5 e -5, pois +5-5=0. -3+5-1+7-5-4 Podemos também “cortar” -3-4 e +7, pois -3-4=-7 -3+5-1+7-5-4 1. Calcule as somas algébricas: a) –3+2 b) +3+5 c) –9-11 d) +7-9 e) –1+4 f) +5-2 g) 1+7 h) 1-7 i) –4+4 j) –12+0 2. Calcule as somas algébricas: a) –15+41+12+21-43 b) –7-8+24-10+31-4-19 c) 19-21+100+36-100-35 3. Resolva as expressões: a) 10+[-8-(-1+2)] b) –4-[-2+5-(-5+2)]-1+7 c) –3-[-(-1+6)+4-(-1-2+3)-1] d) 1-(-2)-[-(-2)-3-(-6+2)] 4. a) Quanto vale o oposto de –3? b) Quanto vale o oposto do oposto de –3? c) Quanto vale –(-3)? d) Quanto vale –[-(-3)]? 5. Elimine os parênteses e resolva: a) +(-4+5) b) –(-3-7) c) –(-3+5-1) d) –(-2+4-2-3) e) +(-2-3-5-9) 6. Calcule as somas algébricas, eliminando parênteses, colchetes e chaves: a) +14-(-10+5+3) b) –15+[-4-(-5+20)] c) 20-{-10+[+20-(-20+10)]}
  • 102.
    OTÁVIO LUCIANO CAMARGOSALES DE MAGALHÃES 102 OPERAÇÕES COM NÚMEROS NEGATIVOS 7. Calcule os produtos: a) (+5).(+6) b) -5.(-6) c) (-5).(+6) d) (-5).(-6) e) -8.2 f) (-6).(-8) g) 2.(-1) h) (-4).0 8. Calcule os produtos: a) (+3).(-7).(+2) b) (-4).(-2).(-2) c) (+3).(-2).(-5) d) 3.(-1).(-1).(-1) 9. Aplicando as regras práticas, determine os produtos: a) (+2).(+1).(+1) b) (-2).(-1).(-1).(-1) c) (-1).(-1).(+2).(-2).(-1).(-2) 10. Calcule os quocientes: a) (+15): (+3) b) (+15): (-3) c) -15: (+3) d) -15: 3 e) (+9): (-9) f) 0: (+7) 11. Calcule o valor das expressões: a) a+b para a=3 e b=4 b) ab para a=2 e b=7 c) 5xy para x=-2 e y=5 d) 2x-y, para x=-3 e y=-5 e) 4x-2y+5z sendo x=-1, y=-6 e x=+5 f)6xy-5y, sendo x=+4 e y=-1 g) 5a-3ab+7b, para a=-3 e b=+2 12. Calcule as expressões: a) (-4+20): (-8) b) (-6-14): (-6+1) c) (-8).(+3)-(-15): (+3) d) [-8+(-4).(-3)]: (-1-1) e) (-6-2+3):[-3.(-2+3)+8] f) –20:{-6+[(-2).(-3): (+2)]-2} (Exercícios de 1 à 12 usados pelo autor originalmente na EE Prof. Salatiel de Almeida, de Muzambinho – MG, em abril de 1998, na 6ª série - adaptados) OPERAÇÕES COM NÚMEROS NEGATIVOS 1) Calcule as somas: a)+8-7 b) –2+8 c) 9+3 d) –10+5 e)3-5 f) 10-2 g) –2-8 h) –9-12 i) –8+8 j) –5-5 l) 1-2 m) 6-12 2) Calcule as somas: a) –8+2-5 b) –6+4+8-9-7 c) +5+10-2-6 d) +3-8-6-4-1 e) –12+7+15-18-12 f) 8-2+5-6+4 g) 5-2+7-3+1 h) –3+9-10-8+16-2+24 i) +13-7-6-9+14 j) –25+3-18+21-30-16 l) –30-4+9+15-20+14 m) –22+18+16-3+21-10+17
  • 103.
    OTÁVIO LUCIANO CAMARGOSALES DE MAGALHÃES 103 3) Efetue as adições, cancelando os números opostos: a) –6+8+6-4+4+1 b) 4-9+2-1+9-2 c) 5+6-7+1+7-10 d) –3+4-5+3+6 e) 12-6+5-5+6-12 f) –1+1-4+4-5+6 4) Resolva os problemas: a) Quantos anos viveu o matemático e filósofo francês René Descartes sabendo-se que ele nasceu em 1596 e morreu em 1650? b) Arquimedes, famoso matemático e inventor grego, nasceu em –287 e morreu em –212. Quantos anos ele viveu? c) Quem nasceu no ano 35 a . C. e morreu no ano 32 d. C. quantos anos viveu? 5) Elimine os parênteses e resolva: a) +(-4+5) b) –(-4+5) c) +(+3+7) d) +(+3-7) e) –(+3-7) f) –(-3-7) g) –(-3+5-1) h) –(-2+4-2-3) i) +(-2-3-5-9) j) +(-2+4-4+6) l) –(+1-5-5-2) m) –(-2+9-2) 6) Calcule as somas algébricas, eliminando parênteses, colchetes e chaves: a) +14-(-10+5+3) b) –15+[-4-(-5+20)] c) 20-{-10+[+20-(-20+10)]} d) –12+(-6)-(-8-5) e) 20-[-8+(-15+9)] f) 4-{-6-[+7+(-3+1)]+5} g)-2-{-[-(-1+4)]} h) 12+{-2+[-3-(-2+1)]} 7) Calcule os produtos: a) (+5).(+6) b) (+5).(-6) c) (-5).(+6) d) (-5).(-6) e) (-8).(+2) f) (-6).(-8) g) (+2).(-1) h) (-4).(-9) i) (+3).(+7) j) (-9).(+2) l) (-1).(-1) m) 0.(-4)
  • 104.
    OTÁVIO LUCIANO CAMARGOSALES DE MAGALHÃES 104 9) Calcule os produtos: a) (+3).(-7).(+2) b) (-4).(-2).(-2) c) (+3).(-2).(-5) d) (-1).(-1).(-1) e) (+20.(+3).(+2) f) (+1).(-10).(-1) g) (-2).(+2).(-2).(-1) h) (+3).(-4).(+2) i) (-8).(-2).(+1).(-3) j) (-6).(+2).(-2).(+4) l) (-2).(-2).(-2).(-2) j) (-2).(-2).(-2).(-2).(-2) 10) Aplicando as regras práticas, determine os produtos: a) (+2).(+1).(+1) b) (-1).(-1).(+2).(-1) c) (-2).(-1).(-1).(-1) d) (-1).(-1).(+2).(-2).(-1).(-2) e) (-3).(-4).(+5) f) (-5).(+5).(-2).(-3) g) (-1).(-1).(-1). (-1).(-1).(-1) h) (+4).(-1).(-2).(-1).(-2).(-4) 11) Calcule os quocientes: a) (+15): (+3) b) (+15): (-3) c) (-15): (+3) d) (-15): (-3) e) (-2): (-1) f) (+9): (-9) g) (-8): (-8) h) 0: (+7) i) (-48): (+12) j) (-50): (-5) l) (+112): (-56) j) (-108): (+27) n) (+35): (+7) o) (+72): (+36) p) (-90): (-10) q) (-150): (+25) r) (-12): (-2) 12) Quais operações, dentre as quatro fundamentais, são possíveis dentro dos números inteiros? 13) Calcule o valor das expressões: a) a+b para a=3 e b=4 b) a+b para a=-3 e b=-2 c) a-b para a=2 e b=-5 d) ab para a=2 e b=7 e) 5xy para x=-2 e y=5 f) 2x-y, para x=-3 e y=-5 g) 4x-2y+5z sendo x=-1, y=-6 e x=+5 h) 4ab+5a, sendo a=8 e b=-8 i) 6xy-5y, sendo x=+4 e y=-1 j) 5a-3ab+7b, para a=-3 e b=+2 k) 2ab-5abc, para a=2, b=3 e c=-1
  • 105.
    OTÁVIO LUCIANO CAMARGOSALES DE MAGALHÃES 105 14) Calcule as expressões: b) (-4+20): (-8) b) (-6-14): (-6+1) c) (-8).(+3)-(-15): (+3) d) [-8+(-4).(-3)]: (-1-1) e) (-6-2+3):[-3.(-2+3)+8] f) –20:{-6+[(-2).(-3): (+2)]-2} EXPRESSÕES I Elimine os parênteses e calcule as somas algébricas a) +5+8+2+1 Resposta: 16 b) -2-3-4 Resposta: -9 c) -8+6-4-5+1 Resposta: -10 d) 12-15+32-5-3 Resposta: -45 e) -1-2+7-15-20 Resposta: -31 f) +5+(+3-2) Resposta: 6 g) +8+(-5+2) Resposta: 5 h) 15+(-23+12) Resposta 4 i) 9-(4-20) Resposta 25 j) -25-(-15+10) Resposta -20
  • 106.
    OTÁVIO LUCIANO CAMARGOSALES DE MAGALHÃES 106 k) +15-(-12-20) Resposta 47 l) -21-(15-12) Resposta -24 m) –(+6-8)+(+4-5)+10 Resposta 11 n) +2+(-5+8)-(-9+4-12) Resposta 22 o) (-9+5)-(-6+8-4) Resposta -2 p) -4-(4-7)-(1-6-8) Resposta 12 q) 0+(-6+3) Resposta – 3 r) -9-4+8+6+4-15 Resposta: -10 s) -3-4-5+3+6 Resposta: -3 t) -21+45+36-45+21 Resposta: 36 u) 4-48-4+60 Resposta: -38 v) 9+15-5+35-20 Resposta: 34 w) -6-5-4-3+4+6+5+3 Resposta: 0 x) +5-900+14 Resposta: -881
  • 107.
    OTÁVIO LUCIANO CAMARGOSALES DE MAGALHÃES 107 y) 168-432+365 Resposta: 101 z) -999+333-1+666 Resposta: -1 aa)-7-7+17-3 Resposta: 0 bb)-20+20-40-50 Resposta: -50 cc) 38-[-12-(-20+30)+(12-50-2) Resp: 100 dd)14-(-10+5+3) Resposta: 16 ee)-15+[-4-(-5+20)] Resposta: -34 ff) 20-{-10+[+20-(-20+10)]} Resposta: 0 gg)-12+(-6)-(-8-5) Resposta: -5 hh)20-[-8+(-15+9)] Resposta: 34 ii) 4-{-6-[+7+(-3+1)]+5} Resposta: 10 jj) -2-{-[-(-1+4)]} Resposta: -5 kk) 12+{-2+[-3-(-2+1)]} Resposta: 8
  • 108.
    OTÁVIO LUCIANO CAMARGOSALES DE MAGALHÃES 108 Elimine os parênteses e calcule as somas algébricas a) +10+(+8)+(-4) Resposta: 14 b) -5+(-6)-(-8) Resposta: -3 c) 3+(+9-4) Resposta: 8 d) -6+(+2+6-3) Resposta: -1 e) -10-(-8+3) Resposta: -5 f) 4-(-6+2-9) Resposta: 17 g) -5-(-2-6+1)+(-3-4) Resposta: -5 h) –(2-5)-(-6+1) Resposta: 8 i) (7-3)+(-8+1)-(5-8) Resposta: 0 j) -9-[-3+(-2+1)] Resposta: -5 k) (-5+3)+[6-(3-10)] Resposta: 11
  • 109.
    OTÁVIO LUCIANO CAMARGOSALES DE MAGALHÃES 109 l) -1-{-2-[-5+(15-3)]} Resposta: 8 m) (-2-3)-{4+[-8-(-9+2)]} Resposta: -8 n) –(-5+1)+{-6-[2+(-3+6)]} Resposta: -7 o) 6-(-9+1)-{(-3+4)+[-(-5+1)+(-8+10)]} Resposta: 7 p) –(-2)+(-3)-{-2+[-1-(-2+1)]+5} Resposta: -4 q) 20-{-10-[-8+(5-12)]-20} Resposta: 35 EXTRAS OPCIONAIS a) -7+9-25+4 Resposta: -19 b) 10-5+15-3 Resposta: 17 c) -1-1-1+2 Resposta: -1 d) -8-4-5 Resposta: -17
  • 110.
    OTÁVIO LUCIANO CAMARGOSALES DE MAGALHÃES 110 e) 20+15-100 Resposta: -6 f) -20+10-30+40 Resposta: 0 g) -4+4-6+6-3 Resposta: -3 h) -12+16-9-16+12 Resposta: -9 i) 12-(-4+5) Resposta: 11 j) -20+(+4-6) Resposta: -22 k) 8+(-20+3) Resposta: -9 l) 5-(+5)-(-15+5) Resposta: 10 m) -5+[(+8-12)-(-9)] Resposta: 0 n) 2-[(-4+8)+(-6+3)] Resposta: 1 o) 5-[-4-(+9+3+5)] Resposta: 26 p) -6+{-3+[3-(+7-3)]} Resposta: -6 q) 9-{-4+[3-(+7-3)]} Resposta: 14 r) 6-{-8-[-5+(-2+1)]} Resposta: 8 s) –(-2+6)+[2-(8+1)] Resposta: - 11 t) (5-1)-{-[-(-6+5-2)]} Resposta: 7
  • 111.
    OTÁVIO LUCIANO CAMARGOSALES DE MAGALHÃES 111 NÚMEROS FRACIONÁRIOS E DECIMAIS NEGATIVOS 1- Escreva na ordem crescente: 0,5; 2; -2,5; -3,5 e –1,5. 2- Considere os seguintes números racionais –0,8; -2,5; 2; -1,2; 0. a) Represente esses números na reta dos racionais. b) Coloque os números dados em ordem crescente. 2- Dos dois números dados, qual é o maior? a) –8,2 ou 8,7 b) 8,2 ou –8,7 c) –8,7 ou –9 d) 0 ou 4/5 e) 0 ou –1/7 f) 0 ou 0,1 3- Qual dos dois é o maior? a) 13,58 ou 13,526 b) –4,801 ou 4,822 c) 0,7 ou –3,7 d) –3,7 ou –3,07 4- Qual dos dois é maior? a) –3/8 ou –5/12 b) –3/8 ou –4/9 c) 5/6 ou 17/21 d) 60/21 ou 3 5- Maria Lúcia disse que 0,1 é o menor racional positivo. Tamara respondeu: - Nada disso! O menor racional positivo é 0,01! O número 0,1 é o menor número racional positivo? E 0,01? Explique sua resposta. 6- Coloque em ordem crescente: 2; 1/3; -1 2/3; -10/3; -2,8. 7- Dos dois números dados, qual é o maior? a) –2/9 ou 5/9 b) –2/9 ou –5/9 c) 2/9 ou 5/9 d) 17/2 ou 5/2 e) ½ ou –5/2 f) –½ ou –5/2 8- Qual dos dois é o maior? a) –3,7 ou –3,71 b) –12/5 ou –3,7 9- Qual dos dois é maior? a) –1/5 ou 0,333... b) –2/7 ou 0 10- Uma pessoa está com saldo bancário de –573,80 em com autorização do gerente, ainda retira 325,00. a) Sem efetuar, indique o cálculo que dá o novo saldo. b) Dê o valor desse saldo. 11- Sem efetuar, indique o cálculo matemático que dá o aumento da temperatura quando ela passa de: a) 18,6 graus para 25,1 graus b) –5,9 graus para 4,3 graus c) –23,5 graus para –14,8 graus d) –3,8 graus para 0 graus
  • 112.
    OTÁVIO LUCIANO CAMARGOSALES DE MAGALHÃES 112 EXPRESSÕES COM FRAÇÕES POSITIVAS E NEGATIVAS Copie as expressões Exemplo 1 𝟐 𝟑 − 𝟑 𝟐 + 𝟏 𝟔 − 𝟏 = = 𝟒 − 𝟗 + 𝟏 − 𝟔 𝟔 = = 𝟓 − 𝟏𝟓 𝟔 = = − 𝟏𝟎 𝟔 = = − 𝟓 𝟑 Exemplo 2 3 − 5 4 + 0,2 − 1 3 = = 3 1 − 5 4 + 2 10 − 1 3 = = 180 − 75 + 12 − 20 60 = = +192 − 95 60 = = 97 60 Resolva as Somas Algébricas a) 4 9 − 7 6 R: -13/18 d) − 7 15 + 1 R: 8/15 b) − 3 2 − 1 2 R: -2 e) 5 9 − 2 R: - 13/9 c) 5 9 − 10 12 R: -5/18 f) −3 − 5 7 R: -26/7 Resolva a) 2,75+5,75 Resposta: 8,5 b) -3,5-5,3 Resposta: -8,8 c) 12,4-30,16 Resposta: -17,76 d) 5 8 − 0,7 Resposta: -0,075 e) −5 + 4,7 Resposta: -0,3
  • 113.
    OTÁVIO LUCIANO CAMARGOSALES DE MAGALHÃES 113 f) − 3 4 − 0,25 Resposta: -1 g) 3 4 + 2 5 − 1 10 Resposta: 21/20 h) − 4 5 + 2 9 − 5 3 Resposta: -101/45 i) −2 + 1 2 − 1 8 Resposta: -13/8 j) 0,3 + 2 5 − 2 Resposta: -13/10 k) 0,2 + 1 2 − 2 7 + 2 Resposta: 169/70 l) 2 + 3 8 + 1 4 − 3 2 Resposta: 9/8 m) 1 − 1 2 − 1 4 − 1 8 Resposta: 1/8 n) 2 − 0,5 + 1 2 + 1 4 Resposta: 9/4 Copie e entenda passo a passo − 5 12 − [− 3 4 + ( 5 6 − 2 9 )] = = − 5 12 − [− 3 4 + 5 6 − 2 9 ] = = − 5 12 + 3 4 − 5 6 + 2 9 = = − 15 + 27 − 30 + 8 36 = − 45 + 35 36 = = − 10 36 = − 5 18 Resolva as expressões a) − 3 4 + 2 5 − 1 2 Resposta: -17/20 b) 4 9 + 1 3 − 5 6 Resposta: -1/18
  • 114.
    OTÁVIO LUCIANO CAMARGOSALES DE MAGALHÃES 114 c) −2 − 1 14 + 2 7 Resposta: -25/14 d) −1 + 1 3 + 1 6 Resposta: -1/2 e) 2 5 − 2 − 3 5 Resposta: -11/5 f) 5 8 − 1 2 + 3 4 − 2 Resposta: -9/8 g) −5 + 2 3 − 1 6 + 1 2 Resposta: -4 h) − 4 3 + 5 9 − 1 + 1 6 Resposta: -29/18 i) −0,3 + 0,2 − 3 5 Resposta: -7/10 j) 5 2 − ( 1 6 − 3 4 ) Resposta: 37/12 k) −3,1 + (2,4 − 3,8) − (1,6 − 2) Resposta: -4,1 l) 7 3 − [2 − ( 1 3 − 1)] Resposta: -1/3
  • 115.
    OTÁVIO LUCIANO CAMARGOSALES DE MAGALHÃES 115 m) − 9 2 + [−1 − (− 5 8 + 1 4 )] Resposta: -41/8 REFORÇO OPCIONAL a) 6-1+2 Resposta: 7 b) 7-9-4 Resposta: -6 c) 5-8+4+8 Resposta: 9 d) 7-2+3-7-1 Resposta: 0 e) -9+4+3+2-4 Resposta: -4 f) -3+10+9-1-9+3 Resposta: +9 g) -1-2+5+1-2-5 Resposta: -4 h) -6-4+9+1-10+9 Resposta: -1 i) 14-4-3+6+1-11 Resposta: 3 j) -7-3+7 Resposta: -3 k) -10-4-3+15 Resposta: -2 l) -1-10+4-3 Resposta: -10 m) 5-2+8+3 Resposta: 14 n) -6-4-2+11 Resposta: -1 o) 3+1-9-5+10 Resposta: 0
  • 116.
    OTÁVIO LUCIANO CAMARGOSALES DE MAGALHÃES 116 p) -4+15-7-9+2 Resposta: -3 q) 13-6-1+2-13+6+4 Resposta: +5 r) 10-13-6+10+13-8 Resposta: +6 s) -4+(-3+8) Resposta: 1 t) 2+(-4-5+7) Resposta: 0 u) 6+(5-8)+(-2+1) Resposta: 2 v) (-8+5)+2+(6-1-7) Resposta: -3 w) -4-(6-9) Resposta: -1 x) 2-(-1-5+4) Resposta: 4 y) 6-(-3+1) Resposta: 8 z) 10-(4-7-9+5) Resposta: 17 aa)6-(5-8)-(-3+1) Resposta: 11 bb)2-(-8+5)-(6-1) Resposta: 0 cc) 12+[-6-(-5+9)] Resposta: 2
  • 117.
    OTÁVIO LUCIANO CAMARGOSALES DE MAGALHÃES 117 dd)-2-[3+(-1-10+7)-4] Resposta: 3 ee)1+(-7+6)-[-3-(-9+8)] Resposta: 2 ff) -20-{-5+[-4-(-1+5)]} Resposta: -1 gg)6+(-9+1) Resposta: -2 hh)-10+(6-4) Resposta: -8 ii) 2+(5-7+2) Resposta: 2 jj) (-5+3)-(5-9)+(8-1) Resposta: 9 kk) (-2-8+6)+3-(-5-1+4) Resposta: 1 ll) 8-(-6+10) Resposta: 4 mm) -3-(-1-5+8) Resposta: -5 REFORÇO OPCIONAL a) -5+(-4+2)-(-1+7) Resposta: -13 b) 10-(-4+11+1)+(5-10) Responsa: -3 c) 2-(-1-5+8)+(-3+7) Resposta: 0 d) 10+[-8-(-1+2)] Resposta: 1 e) -3-[8+(-6-3)+1] Resposta: -3 f) 8-(4+5)-[3-(6-11)] Resposta: -9
  • 118.
    OTÁVIO LUCIANO CAMARGOSALES DE MAGALHÃES 118 g) –(-2)-[9+(7-3-6)-8] Resposta: 3 h) 1+[-7-(-2+6)+(-2)]-(-6+4) Resposta:-10 i) 6-{4+[-7-(-3-9+10)]} Resposta: -14 j) 2-(-2)-{-6-[-3+(-3+5)]-8} Resposta: 1 k) 10+[-8-(-1+2)] Resposta: 1 l) -3-[8+(-6-3)+1] Resposta: -3 m) 8-(4+5)-[3-(611)] Resposta: -9 n) –(-2)-[9+(7-3-6)-8] Resposta: 3 o) 1+[-7-(-2+6)+(-2)]-(-6+4) Resp: -10 p) 6-{4+[-7-(-3-9+10)]} Resposta: 7 q) -3-[(-1+6)+4-(-1-2)-1] Resp: -14 r) 2-(-2)-{-6-[-3+(-3+5)]-8} Resp: 1
  • 119.
    OTÁVIO LUCIANO CAMARGOSALES DE MAGALHÃES 119 s) 1 4 + (− 1 3 ) Resposta: -1/12 t) (− 3 2 ) + 3 Resposta: 3/2 u) (− 1 5 ) − (− 7 10 ) Resposta: ½ v) 1 − 8 3 Resposta: -5/3 w) − 5 6 + 3 4 Resposta: -1/12 x) −0,2 + 1 2 Resposta: 3/10 y) 2 3 + 0,5 Resposta: 7/6 z) 1 2 − 3 4 + 0,4 Resposta: 3/20 aa) 1 6 + 1 2 + 1 9 − 1 Resposta – 2/9 bb) 1 2 − (− 2 5 + 2) Resposta: -11/10 cc) 1 − (− 2 3 + 5 6 ) + ( 1 2 − 1 9 ) Resp: 11/9 dd) 3 4 − [−0,5 + ( 3 2 − 0,1)] Resp: -3/20 ee)1,5 − [ 1 2 − ( 1 6 − 1 3 ) + 1 5 ] Resp: 19/30
  • 120.
    OTÁVIO LUCIANO CAMARGOSALES DE MAGALHÃES 120 REFORÇO OPCIONAL a) 1 3 − 5 6 Resposta: -1/2 b) 3 5 − 2 Resposta: -7/5 c) − 1 2 − 1 5 Resposta: -7/10 d) 2 3 + 0,1 Resposta: 23/30 e) − 5 3 + 7 5 Resposta: -4/15 f) 0,4 − 1 8 Resposta: 11/40 g) 2 5 + 1,2 Resposta: 8/5 h) −2 − 3 7 Resposta: -17/7 i) − 5 6 + 5 9 Resposta: -5/18 j) 1 2 + 1 3 − 1 4 Resposta: 7/12 k) − 2 3 + 2 − 1 6 Resposta: 7/6 l) 0,7 − 4 5 + 1 4 Resposta: 3/20 m) 3 2 − 5 6 − 4 3 Resposta: -2/3 n) 1 2 − 7 10 − 2 5 + 1 Resposta: 2/5
  • 121.
    OTÁVIO LUCIANO CAMARGOSALES DE MAGALHÃES 121 o) 1 − 0,6 − 5 4 + 1 2 Resposta: -7/20 p) 2 − 1 8 + 3 4 − 5 2 Resposta: 1/8 q) −1 + 0,7 + 7 15 − 1 3 Resposta: -1/6 r) 1 4 − (− 2 5 + 9 10 ) Resposta: -1/4 s) 0,5 + (− 1 6 + 1 3 ) − (−1 + 1 2 ) Resposta: 7/6 t) 1 − [−2 − (−1,2 + 1 2 )] Resp: 23/10 u) − 1 2 − [ 1 4 − ( 1 6 − 1 8 ) − 1 3 ] Resp: -3/8 CONJUNTO DOS NÚMEROS RACIONAIS 1) Defina os conjuntos: ℕ=______________________ Nome: Conjunto dos Números_________________ ℤ=______________________ Nome: Conjunto dos Números_________________ ℚ=______________________ Nome: Conjunto dos Números_________________ 2) Dado diagrama, coloque nos lugares corretos os números 0 5 -2 -1,5 -2/3 3/5 0,777.... 0,25 3) Escreva o nome e defina: ℕ ∗=______________________ Nome: Conjunto dos Números_________________ ℤ ∗=______________________ Nome: Conjunto dos Números_________________ ℤ+=______________________ Nome: Conjunto dos Números_________________ ℤ−=______________________ Nome: Conjunto dos Números_________________ ℤ+ ∗ =______________________ Nome: Conjunto dos Números_________________ ℤ− ∗ =______________________ Nome: Conjunto dos Números_________________ ℚ ∗=______________________Nome: Conjunto dos Números_________________ ℚ+=______________________ Nome: Conjunto dos Números_________________ ℚ−=______________________ Nome: Conjunto dos Números_________________ ℚ+ ∗ =______________________ Nome: Conjunto dos Números_________________ ℚ− ∗ =______________________ Nome: Conjunto dos Números_________________
  • 122.
    OTÁVIO LUCIANO CAMARGOSALES DE MAGALHÃES 122 4) Pode-se dizer que A*=A-{0}. Dado isso, seℙ é o conjunto dos números pares, o que seria ℙ*? 5) Complete com ∈ ou ∉: 0 ____ ℕ 0____ ℤ 0___ ℚ 5 ____ ℕ 5____ ℤ 5___ ℚ -2 ____ ℕ -2____ ℤ -2___ ℚ 0,3 ____ ℕ 0,3____ ℤ 0,3___ ℚ 2/3 ____ ℕ 2/3____ ℤ 2/3___ ℚ -0,5 ____ ℕ -0,5____ ℤ -0,5___ ℚ -1/5 ____ ℕ -1/5____ ℤ -1/5___ ℚ 0,333.... ____ ℕ 0,333....____ ℤ 0,333...___ ℚ 6) Escreva os números em seus locais nos diagramas de Venn: 0 5 -3 2/3 1 2 3 0,5 0,333... -1/4 7) Complete com ⊂ (contém) ou ⊄ (não contém): ℕ____ ℤ ℕ____ℚ ℤ____ ℕ ℤ____ℚ ℚ ____ ℕ ℚ____ ℤ 8) Determine a união e intersecção entre os conjuntos dos números naturais, inteiros e racionais. 9) Escreva 4 relações de inclusão entre conjuntos não-negativos, não-positivos, negativos, positivos e não-nulos envolvendo quaisquer conjuntos. 10)Pesquise as propriedades e as escreva (com ajuda do professor): Propriedades da Adição Nome Sentença Obs: COMUTATIVA ASSOCIATIVA ELEMENTO NEUTRO ELEMENTO OPOSTO FECHAMENTO CANCELAMENTO ADITIVO
  • 123.
    OTÁVIO LUCIANO CAMARGOSALES DE MAGALHÃES 123 Propriedades da Multiplicação Nome Sentença Obs: COMUTATIVA ASSOCIATIVA ELEMENTO NEUTRO DISTRIBUTIVA EM RELAÇÃO À ADIÇÃO ELEMENTO INVERSO FECHAMENTO CANCELAMENTO MULTIPLICATIVO RETA NUMÉRICA 1. Localize na reta: a) A= ½ b) B=1/3 c) C=5/6 d) D=2/5 e) E=3/4 2. Localize na reta: a) A=-1/2 b) B=-2/3 c) C=-5/8 3. Localize na reta: a) A= 4 1 2 b) 3 2 1B c) 4 1 2C d) 5 1 1D e) 5 2 E f) 3G 4. Ache o módulo, o inverso e o oposto de: a) 2/3 b) 3/5 c) 1/4 d) 4 e) -2 f) -2/3 5. Ache o inverso de 4 1 2 . 6. Ache o oposto do inverso de -3/4. 7. Ache a metade do triplo do inverso de 6 1 . 8. (Concurso Professor de Matemática 5ª à 8ª séries – Prefeitura Municipal de Orlândia-SP/2003) A figura mostra um trecho da reta numérica: Os pontos P e Q, indicados pelas setas, podem corresponder, respectivamente, aos números: a) -1,76 e -1,685 b) -1,76 e -1,525 c) -1,64 e -1,69 d) -1,64 e -1,52 e) -1,64 e -1,515
  • 124.
    OTÁVIO LUCIANO CAMARGOSALES DE MAGALHÃES 124 9. (Avaliação do SAEB – 4ª série – 2001) A reta numerada, o ponto A representa o número a) 7,0 b) 7,1 c) 7,5 d) 7,8 10. (Avaliação do SAEB – 4ª série – 2001) O número decimal correspondente ao ponto assinalado na reta numérica é a) 0,3 b) 0,23 c) 2,3 d) 2,03 11. (Concurso Professor de Matemática 5ª à 8ª séries e Ensino Médio– SESI-SP/2002) Na figura abaixo estão representados geometricamente os números reais –1, y, 0, x e 1. Com base nessa representação, é possível concluir que o produto x.y está localizado a) entre x e 1 b) entre 0 e x c) entre y e 0 d) entre –1 e y e) à esquerda de –1 12. (Concurso de Fiscal de Serviços Públicos – Prefeitura Municipal de São Carlos / 2002) Observe a figura abaixo. Os números indicados pelos pontos A e B na escala decimal são, respectivamente, a) 2,386 e 2,42 b) 2,385 e 2,42 c) 2,385 e 2,402 d) 2,381 e 2,42 e) 2,385 e 2,399 13. (Avaliação do SARESP 1998 – 5ª série - Diurno) Examine a figura: O ponto A corresponde a um dos números abaixo. A qual deles? a) 0,25 b) 0,85 c) 1,25 d) 1,85 14. (SIMAVE – 4ª série – 2002) Roberto está com febre. Veja a ilustração do termômetro que marca a temperatura dele: O termômetro está marcando: A) 39º C B) 39,3º C C) 39,5º C D) 40º C 15. (ENCCEJA – Ensino Fundamental – 2002) Uma estrada está sinalizada com marcadores de quilometragem que guardam entre si a mesma distância. Um carro X está na posição 150 e um carro Y, na posição 310.Um carro Z está entre X e Y, conforme a figura abaixo. Dentre as alternativas, assinale a que melhor expressa, em quilômetros, a localização do carro Z. (A) 160. (B) 190. (C) 210. (D) 270. 16. (Concurso Público para Professor de 5ª à 8ª série – Prefeitura Municipal de Araçatuba – SP/2000) Com 3 cartõesnumeradosde 1a 3, e um cartão marcado com uma vírgula, podemosrepresentar, porexemplo, o no decimal 1,23. O maior número e o menor número, expressos na notação decimal, que podemos representar com os quatro cartões são, respectivamente: a) 12,3 e 1,23 b) 32,1 e 2,13 c) 32,1 e 1,23 d) 23,1 e 2,13
  • 125.
    OTÁVIO LUCIANO CAMARGOSALES DE MAGALHÃES 125 17.(Avaliação do SARESP 2000 – 5ª série - Diurno) Das comparações abaixo, qual é verdadeira? a) 0,40<0,31 b) 1<1/2 c) 0,4<4/10 d) 2>1,9 18. (Concurso Público para Professor de 1ª à 4ª série – Prefeitura Cidade do Rio de Janeiro/2001?) Com 3 cartões numerados de 1 a 3, e um quarto cartão com uma vírgula, podemos representar, por exemplo, o no decimal 1,23. Quantos números decimais podemos representar com os quatro cartões? a) 3 b) 6 c) 9 d) 12 19. (ENCCEJA – Ensino Fundamental – 2002) Uma agência de modelos está selecionando jovens para uma propaganda de sorvetes. Entre as exigências, a agência solicita que os jovens tenham altura mínima de 1,65 m e máxima de 1,78 m. Se x é um número racional que representa a altura, em metros, de um jovem que pode ser escolhido para essa propaganda, é correto afirmar que (A) x < 1,78 (B) x > 1,65 (C) 1,65 x 1,78 (D) 1,65 x 1,78 20. (Avaliação do SARESP 1998 – 5ª série - Diurno) Célia fez regime e anotou seu progresso numa tabela: Semana Perda em Quilogramas 1ª 2,45 2ª 1,3 3ª 2,54 4ª 1,03 Em qual semana Célia perdeu menos peso? a) 1ª b) 2ª c) 3ª d) 4ª 21. (Avaliação do SAEB – 4ª série – 2001) Qual é o maior dos números abaixo: a) 0,398 b) 0,52 c) 0,5 d) 0,8 22. (Concurso para o Magistério do Estado e Município do Rio de Janeiro – 1988) Se x e y são números reais tais que 3,23<x<5,01 e 2,81<y<4,54, então, sobre a diferença x-y, pode-se afirmar que: a) -1,31<x-y<2,20 b) -1,41<x-y<0,73 c) 0,42<x-y<2,50 d) 0,42<x-y<2,73 e) 6,04<x-y<9,55 23. (Concurso do Magistério Estadual do Rio de Janeiro – 1990) Numa régua graduada, o segmento cujos extremos são X=7,13 e Y=8,32 se encontra dividido em sete partes iguais, conforme se vê na figura abaixo. O número decimal Z, correspondente à terceira divisão a partir da extremidade X, é expresso por: a) 7,30 b) 7,45 c) 7,60 d) 7,64 e) 7,82 INTERVALOS 1) Escreva, usando as três notações: a) o intervalo aberto de extremos -2 e 1. b) o intervalo semi-aberto à esquerda de extremos 3 e 8. c) o intervalo fechado de extremos 0 e 5. d) o intervalo semi-aberto à direita de extremos -5 e 1.
  • 126.
    OTÁVIO LUCIANO CAMARGOSALES DE MAGALHÃES 126 2) Usando a notação de intervalo, escreva: a) o subconjunto de IR formado pelos números reais maiores que 3. b) o subconjunto de IR formado pelos números reais menores que -1. c) o subconjunto de IR formado pelos números reais maiores ou iguais a 2. d) o subconjunto de IR formado pelos números reais menores ou iguais a ½. 3)Usando a notação de conjuntos, escreva os intervalos: a) [6,10[ b) ]-1.5] c) ]-6,0[ d) [0,+[ e) ]-,3[ f) [-5,2[ g) ]-10,10[ h)[- 3 , 3 ] i)]-,1] 4) Represente, na reta real, os intervalos: a) {xIR | 2<x<5} b) [2,8] c) ]-,2] d) {xIR | -2<x<2} e) {xIR | x>-1} f) ]1,5[ 5) Usando a notação de conjuntos, escreva os seguintes intervalos que estão representados na reta real: a) 2 4 b) 1 c) 2 5 d) ½ e) 3 6 g) -1 3 h) 2 6) Determine AB, quando: a) A={xIR | -1<x<2} e B={xIR | 0<x<5} b) A={xIR | x<3} e B={xIR |1<x<4} c) A={xIR | -3<x<1} e B={xIR | 0<x<3}
  • 127.
    OTÁVIO LUCIANO CAMARGOSALES DE MAGALHÃES 127 INTERVALO DISCRETO 1) Escreva os conjuntos por extenso (use adequadamente as reticências ... ) a) {𝑥 ∈ ℤ; 3 < 𝑥 < 10}={____________________________________} b) {𝑥 ∈ ℤ; −2 < 𝑥 < 7}={____________________________________} c) {𝑥 ∈ ℤ ∗; −2 < 𝑥 < 7}={___________________________________} d) {𝑥 ∈ ℕ; 3 < 𝑥 < 10}={____________________________________} e) {𝑥 ∈ ℕ; −2 < 𝑥 < 7}={____________________________________} f) {𝑥 ∈ ℕ ∗; −2 < 𝑥 < 7}={__________________________________} g) {𝑥 ∈ ℤ; 3 ≤ 𝑥 < 10}={____________________________________} h) {𝑥 ∈ ℤ; 3 < 𝑥 ≤ 10}={____________________________________} i) {𝑥 ∈ ℤ; 3 ≤ 𝑥 < 10}={____________________________________} j) {𝑥 ∈ ℤ; −1 ≤ 𝑥 < 5}={____________________________________} k) {𝑥 ∈ ℤ; −3 < 𝑥 ≤ 1}={____________________________________} l) {𝑥 ∈ ℤ; −5 ≤ 𝑥 < −3}={___________________________________} m) {𝑥 ∈ ℕ; 3 < 𝑥 < 4}={____________________________________} n) {𝑥 ∈ ℕ; −5 < 𝑥 < −2}={_________________________________} o) {𝑥 ∈ ℕ; 5 < 𝑥 < 100}={__________________________________} p) {𝑥 ∈ ℕ; −10 < 𝑥 < 500}={________________________________} q) {𝑥 ∈ ℕ; 𝑥 < 10}={____________________________________} r) {𝑥 ∈ ℕ; 𝑥 > 10}={____________________________________} s) {𝑥 ∈ ℤ; 𝑥 < 10}={____________________________________} t) {𝑥 ∈ ℤ; 𝑥 > 10}={____________________________________} u) {𝑥 ∈ ℤ ∗; 𝑥 > 10}={____________________________________} v) {𝑥 ∈ ℤ; 𝑥 ≥ 10}={____________________________________} w) {𝑥 ∈ ℤ; 𝑥 ≥ 10}={____________________________________} 2) Complete com ∈ (pertence) e ∉ (não pertence) -3 _____ {𝑥 ∈ ℤ; 3 < 𝑥 < 10} 4 _____ {𝑥 ∈ ℤ; 3 < 𝑥 < 10} 3 _____ {𝑥 ∈ ℤ; 3 < 𝑥 < 10} 3_____ {𝑥 ∈ ℤ; 3 ≤ 𝑥 < 10} 5,2_____ {𝑥 ∈ ℤ; 3 ≤ 𝑥 < 10} 7/2_____ {𝑥 ∈ ℤ; 3 ≤ 𝑥 < 10} 5,2_____ {𝑥 ∈ ℚ; 3 ≤ 𝑥 < 10} 7/2_____ {𝑥 ∈ ℚ; 3 ≤ 𝑥 < 10} 0,555...____{𝑥 ∈ ℚ; −5 < 𝑥 < 10} -1/3_____ {𝑥 ∈ ℚ; −2 < 𝑥 ≤ 3} 5/9_____ {𝑥 ∈ ℚ; 1 ≤ 𝑥 ≤ 2} 9/7_____ {𝑥 ∈ ℚ; 0 ≤ 𝑥 < 1} 1 3 5 _____ {𝑥 ∈ ℚ; 1 < 𝑥 < 2} GABARITO CONJUNTOS NUMÉRICOS CN.7.01.A 1) Defina os conjuntos: ℕ = {0,1,2, … , 𝑛, 𝑛 + 1, … } - Conjunto dos Números Naturais ℤ = {… , −3, −2, −1,0,1,2, … } - Conjunto dos Números Racionais ℚ = { 𝑝 𝑞 ; 𝑝, 𝑞 ∈ ℤ, 𝑞 ≠ 0} - Conjunto dos Números Racionais 2) Dado diagrama, coloque nos lugares corretos os números 3) Escreva o nome e defina: ℕ ∗= {𝑥 ∈ ℕ; 𝑥 ≠ 0} Nome: Conjunto dos Números Naturais Não Nulos ℤ ∗= {𝑥 ∈ ℤ; 𝑥 ≠ 0} Nome: Conjunto dos Números Inteiros Não Nulos ℤ+={𝑥 ∈ ℤ; 𝑥 ≥ 0} Nome: Conjunto dos Números Inteiros Não Negativos ℤ−={𝑥 ∈ ℤ; 𝑥 ≤ 0} Nome: Conjunto dos Números Inteiros Não Positivos ℤ+ ∗ ={𝑥 ∈ ℤ; 𝑥 > 0} Nome: Conjunto dos Números Inteiros Positivos ℤ− ∗ ={𝑥 ∈ ℤ; 𝑥 < 0} Nome: Conjunto dos Números Inteiros Negativos CONJUNTOS NUMÉRICOS CN.7.01.B ℚ ∗={𝑥 ∈ ℚ; 𝑥 ≠ 0} Nome: Conjunto dos Números Racionais Não Nulos ℚ+={𝑥 ∈ ℚ; 𝑥 ≥ 0} Nome: Conjunto dos Números Racionais Não Negativos ℚ−={𝑥 ∈ ℚ; 𝑥 ≤ 0} Nome: Conjunto dos Números Racionais Não Positivos ℚ+ ∗ ={𝑥 ∈ ℚ; 𝑥 > 0} Nome: Conjunto dos Números RacionaisPositivos ℚ− ∗ ={𝑥 ∈ ℚ; 𝑥 < 0} Nome: Conjunto dos Números Racionais Negativos 4) Pode-se dizer que A*=A-{0}. Dado isso, seℙ é o conjunto dos números pares, o que seria ℙ*? O conjunto dos Pares menos o zero, ou seja, {2,4,6,8,..., 2n, 2n+2, ...} 5) Complete com ∈ ou ∉: 0 ∈ ℕ 0 ∈ ℤ 0∈ ℚ 5 ∈ ℕ 5∈ ℤ 5∈ ℚ -2 ∉ ℕ -2∈ ℤ -2∈ ℚ 0,3 ∉ ℕ 0,3∉ ℤ 0,3∈ ℚ 2/3 ∉ ℕ 2/3∉ ℤ 2/3∈ ℚ -0,5 ∉ ℕ -0,5∉ ℤ 0,5∈ ℚ -1/5 ∉ ℕ -1/5∉ ℤ -1/5∈ ℚ 0,333....∉ ℕ 0,333....∉ ℤ 0,333...∈ ℚ 6) Escreva os números em seus locais nos diagramas de Venn: 1 2 3 deve entrar no terceiro círculo. Nenhum dos elementos ficará no último círculo (não aprendemos ainda os números reais) CONJUNTOS NUMÉRICOS CN.7.01.C 1) Complete com ⊂ (contém) ou ⊄ (não contém): ℕ ⊂ ℤ ℕ ⊂ ℚ ℤ ⊄ ℕ ℤ ⊂ ℚ ℚ ⊄ ℕ ℚ ⊄ ℤ A relação de pertinência existe quando relacionamos ELEMENTO e CONJUNTO. Podemos dizer então que: 5∈{0,1,2,3,4,5} e 2/3 ∈ ℚ enquanto 7∉{0,1,2,3,4,5} e 2/3 ∉ ℤ
  • 128.
    OTÁVIO LUCIANO CAMARGOSALES DE MAGALHÃES 128 Já a relação de pertinência existe quando relacionamos CONJUNTO e CONJUNTO, nesse caso dizemos que está contido e não está contido {1,2}⊂{0,1,2,3,4} {1,5}⊄{0,1,2,3,4} Um conjunto está contido no outro quando TODOS os seus elementos pertencem ao outro. 8) Determine a união e intersecção entre os conjuntos dos números naturais, inteiros e racionais. ℕ ∪ ℤ = ℤ ℕ ∪ ℚ = ℚ ℤ ∪ ℚ = ℚ ℕ ∩ ℤ = ℕ ℕ ∩ ℚ = ℕ ℤ ∩ ℚ = ℤ 9) Escreva 4 relações de inclusão entre conjuntos não-negativos, não- positivos, negativos, positivos e não-nulos envolvendo quaisquer conjuntos. ℤ+= ℕ ℤ− ∗ ⊂ ℚ− ∗ ℤ− ∗ ⊂ ℤ+ ℕ ∗=ℤ+ ∗ Existem outras 10) Pesquise as propriedades e as escreva (com ajuda do professor): Considere a, b, c números racionais. Propriedades da Adição Nome Sent; COMUTATIVA a+b=b+a ASSOCIATIVA (a+b)+c=a+(b+c) ELEMENTO NEUTRO a+0=0+a=a ELEMENTO OPOSTO a+(-a)=0 FECHAMENTO a+b∈ ℚ CANCEL. ADITIVO Se a+c+b+c então a=b Propriedades da Multiplicação Nome Sent. COMUTATIVA ab=ba ASSOCIATIVA (ab)c=a(bc) ELEMENTO NEUTRO a.1=1.a=a DISTRIBUTIVA EM RELAÇÃO À ADIÇÃO a(b+c)=ab+ac (a+b)c=ac+bc ELEMENTO INVERSO a.(1/a)=1 OBS: a≠0 FECHAMENTO ab∈ ℚ CANCELAMENTO MULTIPL Se ac=bc então a=b a≠0 CONJUNTOS NUMÉRICOS CN.7.01.D 1) Localize na reta: a) A= ½ b) B=1/3 c) C=5/6 d) D=2/5 e) E=3/4 4. Ache o módulo, o inverso e o oposto de: a) 2/3 módulo 2/3 inverso 3/2 oposto -2/3 b) 3/5 módulo 3/5 inverso 5/3 oposto -3/5 c) 1/4 módulo ¼ inverso 4 oposto -1/4 d) 4 módulo 4 inverso ¼ oposto -4 e) -2 módulo 2 inverso -1/2 oposto 2 f) -2/3 módulo 2/3 inverso -3/2 oposto 2/3 5. 2 1 4 = 9 4 , logo o inverso é 4/9 6. Resposta: 4/3 7) Inverso – 6 Triplo do inverso – 18 Metade disso – 9 8. e) -1,64 e -1,515 9. c) 7,5 CONJUNTOS NUMÉRICOS CN.7.01.E 10. c) 2,3 11. y é negativo e menor que 1 x está entre 0 e 1 Ignorando o sinal x . y é um número menor que y, mas xy é negativo, então estão entre y e 0. Veja um exemplo y=-1,3 e x=0,5, então xy=-0,65 c) entre y e 0 12. c) 2,385 e 2,402 13. Não há gabarito, o A deve ser próximo de 2,4 CONJUNTOS NUMÉRICOS CN.7.01.F 14.B) 39,3º C 15. (D) 270. 16. c) 32,1 e 1,23 17 d) 2>1,9 18. d) 12 Ignorando a vírgula temos 3x2x1=6 possibilidades. A vírgula pode ser colocada em 2 posições, ou seja 6x2=12, números. Listando: 1,23 12,3 1,32 13,2 2,13 21,3 2,31 23,1 3,12 31,2 3,21 32,1 CONJUNTOS NUMÉRICOS CN.7.01.G 19. (C) 1,65 x 1,78 (D) 1,65 x 1,78 Veja que as respostas estão iguais (erro meu) 20. d) 4ª 21. d) 0,8 23. 8,32-7,13=1,19 São 7 segmentos 1,19:7=0,17 3 x 0,17 = 0,51 7,13+0,51 = 7,64 d) 7,64 CONJUNTOS NUMÉRICOS CN.7.01.H 1) Escreva, usando as três notações: a) o intervalo aberto de extremos -2 e 1. -2<x<1 ]-2,1[ b) o intervalo semi-aberto à esquerda de extremos 3 e 8. 3<x≤8 ]3,8] c) o intervalo fechado de extremos 0 e 5. 0≤x≤5 [0,5] d) o intervalo semi-aberto à direita de extremos -5 e 1. -5≤x<1 [-5,1[ 2) Usando a notação de intervalo, escreva: a) o subconjunto de IR formado pelos números reais maiores que 3. x>3 ]3,∞[ b) o subconjunto de IR formado pelos números reais menores que -1. x<-1 ]-∞,-1[ c) o subconjunto de IR formado pelos números reais maiores ou iguais a 2. x≥2 [2,∞[ d) o subconjunto de IR formado pelos números reais menores ou iguais a ½. x≤1/2 ]- ∞,1/2] 3)Usando a notação de conjuntos, escreva os intervalos: a) [6,10[ 6≤x<10 b) ]-1,5] -1<x≤ 5 c) ]-6,0[ -6<x<0 d) [0,+[ x≥0 e) ]-,3[ x<3 f) [-5,2[ -5≤ 𝑥 < 2 g) ]-10,10[ -10<x<10 h)[- 3 , 3 ] −√3 ≤ 𝑥 ≤ √3 i)]-,1] x≤ 1 CONJUNTOS NUMÉRICOS CN.7.01.I 1) Escreva os conjuntos por extenso (use adequadamente as reticências ... ) {𝑥 ∈ ℤ; 3 < 𝑥 < 10}={4,5,6,7,8,9} {𝑥 ∈ ℤ; −2 < 𝑥 < 7}={-1,0,1,2,3,4,5,6} {𝑥 ∈ ℤ ∗; −2 < 𝑥 < 7}={-1,1,2,3,4,5,6} {𝑥 ∈ ℕ; 3 < 𝑥 < 10}={4,5,6,7,8,9} {𝑥 ∈ ℕ; −2 < 𝑥 < 7}={0,1,2,3,4,5,6} {𝑥 ∈ ℕ ∗; −2 < 𝑥 < 7}={1,2,3,4,5,6} {𝑥 ∈ ℤ; 3 ≤ 𝑥 < 10}={3,4,5,6,7,8,9} {𝑥 ∈ ℤ; 3 < 𝑥 ≤ 10}={4,5,6,7,8,9,10} {𝑥 ∈ ℤ; 3 ≤ 𝑥 < 10}={3,4,5,6,7,8,9} {𝑥 ∈ ℤ; −1 ≤ 𝑥 < 5}={-1,0,1,2,3,4} {𝑥 ∈ ℤ; −3 < 𝑥 ≤ 1}={-2,-1,0,1} {𝑥 ∈ ℤ; −5 ≤ 𝑥 < −3}={-5,-4} {𝑥 ∈ ℕ; 3 < 𝑥 < 4}={ }=∅ (nenhum número, não há números entre 3 e 4) {𝑥 ∈ ℕ; −5 < 𝑥 < −2}={ }=∅ (nenhum número, números naturais não podem ser negativos) {𝑥 ∈ ℕ; 5 < 𝑥 < 100}={6,7,8,9,...,99,100} {𝑥 ∈ ℕ; −10 < 𝑥 < 500}={-0,1,2,3,....,499,500} {𝑥 ∈ ℕ; 𝑥 < 10}={0,1,2,3,4,5,6,7,8,9} {𝑥 ∈ ℕ; 𝑥 > 10}={11,12,13,14,...} {𝑥 ∈ ℤ; 𝑥 < 10}={...,-2,-1, 0,1,2,3,4,5,6,7,8,9} {𝑥 ∈ ℤ; 𝑥 > 10}={11,12,13,14,...} {𝑥 ∈ ℤ ∗; 𝑥 > 10}={11,12,13,14,...} {𝑥 ∈ ℤ; 𝑥 ≥ 10}={...,-2,-1, 0,1,2,3,4,5,6,7,8,9,10} 2) Complete com ∈ (pertence) e ∉ (não pertence) -3 ∉ {𝑥 ∈ ℤ; 3 < 𝑥 < 10} 4 ∈ {𝑥 ∈ ℤ; 3 < 𝑥 < 10} 3 ∉ {𝑥 ∈ ℤ; 3 < 𝑥 < 10} 3∈ {𝑥 ∈ ℤ; 3 ≤ 𝑥 < 10} 5,2∉ {𝑥 ∈ ℤ; 3 ≤ 𝑥 < 10} 7/2∉ {𝑥 ∈ ℤ; 3 ≤ 𝑥 < 10} 5,2∈ {𝑥 ∈ ℚ; 3 ≤ 𝑥 < 10} 7/2∈ {𝑥 ∈ ℚ; 3 ≤ 𝑥 < 10} 0,555........ ∈ {𝑥 ∈ ℚ; −5 < 𝑥 < 10} -1/3∈ {𝑥 ∈ ℚ; −2 < 𝑥 ≤ 3} 5/9∉ {𝑥 ∈ ℚ; 1 ≤ 𝑥 ≤ 2} 9/7∈ {𝑥 ∈ ℚ; 0 ≤ 𝑥 < 1} 1 3 5 ∈ {𝑥 ∈ ℚ; 1 < 𝑥 < 2}
  • 129.
    OTÁVIO LUCIANO CAMARGOSALES DE MAGALHÃES 129 MULTIPLICAÇÃO E DIVISÃO DE NÚMEROS RACIONAIS 1. Calcule a. (-4) ∙        11 3 b. 20 9 9 5  c.                    6 1 7 2 9 7 d.                14 5 3 3 7 2. Cacule a. (+1,2) ∙ (+6) ∙ (+0,65) b. -6,4 ∙ 1,5 c. -0,7 ∙ (-2,1) d. (-2,7) ∙ (-0,5) ∙ (-4,2) ∙ (+2) 3. Calcule: a.              7 9 : 7 6 b.              9 10 : 27 5 c.          11 27 :9 d.        14 5 : 7 30 4. Calcule: a. (+2): (-0,5) b. (-2,1): (-2,8) c. (-0,18): (+0,36) d. (+0,6): (+0,03) 1- Efetue: a) 32,7:(-10) b) 12,7:(-1,27) c) (-7,2):(-2,5) 2- Efetue: a) 1/3:(-2/5) b) (-121/5):(-11/5) c) (-81/25):(-9/5) 3- Efetue 0,5:2/3 4- Renan disse que é muito chato fazer 36:(-0,25). Aurélia disse para ele fazer 36.(-4) que era a mesma coisa! Faça as contas e confira. 5- Vamos ver por que dividir por 0,25 é o mesmo que multiplicar por 4. a) Coloque 0,25 na forma de fração e simplifique. b) Se você dividir um número x pela fração obtida, o que vai acontecer? c) Em vez de dividir o número x por 0,5, pode-se mulitplicá-lo por quanto? 6- Efetue: a) 1 8 7 40 12 5  b) 1 2 3 5 3 5         c) . 3 7 1 2 3 5 5       
  • 130.
    OTÁVIO LUCIANO CAMARGOSALES DE MAGALHÃES 130 POTENCIAÇÃO DE NÚMEROS NEGATIVOS Usando a definição, calcule: a) (-3)2 b) (-5)2 c) (+2)3 d) (-2)4 e) (-3)4 f) (+3)4 g) (-3)4 h) (+5)2 i) (+2)3 j) (-2)2 l) (-2)3 m) (-2)4 n) (-2)5 o) (-3)2 p) (-3)3 q) (+3)2 r) (+5)3 s) (-5)3 t) (-12)0 u) (+6)0 v) (-12)1 x) (-3)4 z) (+12)1 a) (-10)3 b) (-1)1998 c) (-1)1999 d) (+5)0 1) Calcule: a) (-3)2 b) (-4)2 c) (-5)2 d) (-2)3 e) (-3)3 f) (-3)3 g) (-5)3 h) (-2)4 i) (-2)5 j) (-4)2 k) (-8)2 l)(-7)2 m) (-11)2 n) (-20)2 o) (-2)3 p) (-3)3 q) (-5)3 r) (-5)3 s) (-6)3 2) Calcule: a) (-2)4 b) (-2)5 c) (-2)6 d) (-2)7 e) (-2)8 3) Calcule: a) (-1)5 b) (-1)9 c) (-1)8 d) (-1)19 e) (-1)10 4) Calcule: a) (-5)0 b) (-6)0 c) (-415)0 5) Calcule: a) (-5)2 b) (+5)2 c) -52 6) Calcule: a) (-1)400 b) (-1)401 7) Calcule: a) (-10)4 b) (-10)12 c) (-10)15 8) Calcule: a) (-3)2 b) -32 c) (+3)2 d) 32 9) Sem calcular coloque V ou F (Verdadeiro ou Falso): a) 52=(-5)2 b) 63=(-6)3 c) 124=(-12)4 d) 5472=(-547)2 10) Calcule: a) 5-62 b) -62 c) 7-32 d) -32 11) Ache: a) (+6)2 b) (+2)3 12) Ache o valor de x: a) x2=16 b) x2=-16 c) x3=8 d) x3=-8
  • 131.
    OTÁVIO LUCIANO CAMARGOSALES DE MAGALHÃES 131 13) Calcule: a) 52 b) (-5)2 c) 23 d) (-2)3 e) 24 f) (-2)4 14) Calcule o valor de x: a) x2=25 b) x2=-25 c) x3=1 d) x3=-1 15) Calcule: a) 2 3 2       b) 2 4 5       c) 2 11 1       d) 3 2 3       e) 2 4 5        f) 3 3 2        g) 3 4 3        h) 0 4 1        i) 2 5 4       j) 2 3 7       k) 2 5 1       l) 4 3 2       m) 6 2 1       n) 9 2 1        o) 11 10 1        16) Se A= 2 3 2 4 1        , B= 0 2 3 1 3 2 1        , C= 3 22 6 35  , calcule A2+B+C 17) Calcule: a) 52 b) 63 c) (-4)2 d) 2 5 1       e) 3 3 2        f) 2 3 1 2       g) (0,2)2 h) (-0,222...)2 i) (0,5)2 j) (0,25)2 k) 2 5 2 1       l) 3 3 2 1        m) (0,333...)2 n) (1,555...)2 18) Calcule ...111,0 2 1 2        19) Calcule 22 3 1 3 2             
  • 132.
    OTÁVIO LUCIANO CAMARGOSALES DE MAGALHÃES 132 20) Reduza à uma só potência: 𝑎) 37 . 35 ∶ 34 𝑏) (−12)6 . (−12)2 . (−12) 𝑐) [(−10)3]5 𝑑) (67)3 𝑒) 54 . 52 . 5∶ 53 52 . 52 𝑓) (−7)5 (−7)3 21) Calcule o valor numérico de: a) x3-3x2+5x-1 para x=-3 b) x2-2xy+y2 sendo x=5 e y=-2 c) 3x2y-4xy2 quando x=-1 e y=-2 d) a3+3a2b+3ab2+b3 para a=5 e b=-2 EXPRESSÕES NUMÉRICAS COM NÚMEROS NEGATIVOS 1) Determine: a) 10+(-4).2 Resposta:2 b) (-5).3-(-6).4 Resposta: 9 c) 19-(-20):(-2) Resposta: +9 d) 8-10:(-5) Resposta: 10 e) (-40):8-30:(-6) Resposta: 0 f) 36:(-3)+(-5).(-2) Resposta: -2
  • 133.
    OTÁVIO LUCIANO CAMARGOSALES DE MAGALHÃES 133 g) 15:(-3)-28:(-4) Resposta: 2 h) 10-2.6 Resposta: -2 i) (-5):5-3.(-1)+1 Resposta: 3 j) 45-6.5+48:(-6) Resposta: 7 k) 30:(-10)+8-(-2).3 Resposta: 11 l) 25:(-25)+4:(-4)+2 Resposta: 0 m) -15:3+4 Resposta: -1 n) 20-(-28):(-7) Resposta: 16 o) (-30).2:(-3) Resposta: 20
  • 134.
    OTÁVIO LUCIANO CAMARGOSALES DE MAGALHÃES 134 p) (-16):4-18:(-6) Resposta: -1 q) 15+(-3).(-4)-2.(-15) Resposta: 57 r) 11-2.(-8)+7.(-4) Resposta: -1 s) 25-(-8).2 Resposta: 41 t) -12-(-3).4 Resposta: 0 u) 20-6.3 Resposta: 2 v) 2.(-5)+3.(-4)-4.(-6) Resposta: 2 w) 20-2.(-7)+(-12).3 Resposta: -2 x) -3.9+24 Resposta: -3 y) -5.4-(-3).7 Resposta: 1
  • 135.
    OTÁVIO LUCIANO CAMARGOSALES DE MAGALHÃES 135 z) 5.(-6)-3.2+28Resposta: -8 aa)2.(-9)+3.(-1) Resposta: -21 bb)15-2.(-5).(-1) Resposta: 5 1 Ache os valores numéricos a) 4x+20, para x=-5 Resposta: 0 b) xy+10, para x=4 e y=-3 Resposta: -2 c) 10-6a, para a=-2 Resposta: 22 d) 3a-b, para a=-6 e b=-21 Resposta: 3 e) 5x+13, para x=-2 Resposta: 3 f) 4a-ab, para a=-1 e b=2 Resposta: -2 g) ax+ay, para a=-2, x=-3, y=1 Resposta: 4 h) 5a-2b, para a=6 e b=15 Resposta: 0
  • 136.
    OTÁVIO LUCIANO CAMARGOSALES DE MAGALHÃES 136 i) x+xy, para x=-1 e y=1 Resposta: -2 j) 2x+xy-3y, para x=2 e y=-2 Resposta: 6 2 a) Se A=2.(-9)+20 e B=1-(-2).3, quanto vale A+B? Resposta: 9 b) Se x=(-1).(-2)-(-5) e y=6+(-3).3, quanto vale x-y? Resposta: 10 3 Resolva a) -5+(-3).8 Resposta: -29 b) -6.5-(-4).3 Resposta: -18 c) (-5+1)(-8+2) Resposta: 24 d) 6-(-6+4).(-5+9) Resposta: 14 e) (-3).(-4)+(-6).5 Resposta: -18 f) 12-(-2).3+(-4).(-5) Resposta: 38
  • 137.
    OTÁVIO LUCIANO CAMARGOSALES DE MAGALHÃES 137 g) 9.-[(-2).7-(-8).3] Resposta: -1 h) (-2).3+{2.[-3+(-2).(-4)]} Resp: 4 i) (-4+20):(-8) Resposta: -2 j) (-6-14):(-6+1) Resposta: 4 k) (-8).3-(-15):3 Resposta: -19 l) [-8+(-4).(-3)]:(-1-1) Resposta: -2 m) (-6-2+3):[-3.(-2+3)+8] Resp: -1 n) -20:{-6+[(-2).(-3):(+2)-2]} Resposta: 4 o) 10-{-6+[(-12):(-3)-8] Resposta: 20 p) [-20+(-12+4)]:[1+(-3).(-2)] Resposta: -4
  • 138.
    OTÁVIO LUCIANO CAMARGOSALES DE MAGALHÃES 138 1) Resolva as expressões: a) 15+(-8).3 Resposta -9 b) (-30):(-5)-(-4)Resposta: 10 c) 21-(-14):2 Resposta: 28 d) (-5)2+(-2)5 Resposta: - 7 e) (-6)2+(-1)3-33 Resposta: 8 f) (-6)2-12 Resposta: 24 g) -5.6-(-3)2 Resposta: -39 h) (-8)2:(-16)+5 Resposta: 1 i) 3.(-2)2+(-36):(-3)2 Resposta: 8 j) (-5)2+32 Resposta: 34 k) (-3)3-(-2)3-(-1)4 Resposta: -20
  • 139.
    OTÁVIO LUCIANO CAMARGOSALES DE MAGALHÃES 139 l) 3.(-4)2-(-7)2 Resposta: - 1 m) 15-3.(-2)2+5o Resposta: 4 n) (-4)3-24 Resposta: 80 o) 32-(-3)3+(-2)2 Resposta: 40 p) (-4)3:25-(-2)2.(-1)3 Resposta: 2 q) 8+(-45):(-3)2+(-4).(-1)3 Resposta: 7 r) (-6)0+(-3)2+(-2)3.(-1) Resp: 18 s) 32-42-(-2).(-4) Resposta: -15 t) (-7)2-(-7).(-6) Resposta: 7 u) 4.(-3)2+(-5)2 Resposta: 61 v) (-6)2:[(-4)-(-2)3] Resposta: 9 w) (-1)4-(-1)3.(-2)4:(-2)2 Resposta: 5
  • 140.
    OTÁVIO LUCIANO CAMARGOSALES DE MAGALHÃES 140 x) (-15+9)2:(-5+1) Resposta: -9 y) (-2-1)2.(-2+6)3-(5-4+2)3:(-5+2) Resposta: 585 2) Ache os valores numéricos: a) x3-2x2+5x+4, para x=-1 b) x2-y2, para x=-4 e y=-5 Resp: -9 c) x3-2x, para x=-1 Resposta: 1 d) a3-b3 , para a=1 e b=-2 Resp: 9 e) x2-xy-y3, para x=-4 e y=2 Resposta: 16 f) x2-5x-6, para x=2 Resposta: -12 g) x3-x2-x+1, para x=-1 Resposta: 0
  • 141.
    OTÁVIO LUCIANO CAMARGOSALES DE MAGALHÃES 141 1. − 3 4 − (− 5 6 ) . ( 7 5 ) Resposta: 5/12 2. (−3 − 3 5 ) (− 7 12 + 13 18 ) Resposta: -1/2 3. (−2 + 3 4 ) ( 1 2 + 1 3 ) Resposta: -25/24 4. − 3 2 + 1 3 1− 7 4 Resposta: 14/9 5. 2 21 − 3 7 : (− 3 5 ) Resposta: 17/21 6. (− 4 9 + 1 15 ) : (− 5 6 − 1 9 ) Resposta: 2/5 7. (− 5 9 ) : ( 2 3 ) − 7 6 Resposta: -2
  • 142.
    OTÁVIO LUCIANO CAMARGOSALES DE MAGALHÃES 142 8. 2 − 9 8 : (− 5 4 ) Resposta: 29/10 9. [(− 5 9 ) : (− 2 3 )] : (−3 2 3 ) Resp: -5/22 10.−15,8 + (−8,68): 6,2 Resp: 17,2 11. 2 5 (− 1 2 ) + 2 5 Resposta: 1/5 12.− 3 4 . 2 5 − 2 10 Resposta: -1/2 13.(3 − 1 2 ) . 1 4 Resposta 5/8 14.( 2 3 − 1 2 ) : (− 3 4 ) Resposta: -2/9 15.(− 2 3 ) 3 : 8 9 Resposta: -1/3 16.(− 1 2 + 2 3 ) (2 − 1 4 ) Resposta 7/24
  • 143.
    OTÁVIO LUCIANO CAMARGOSALES DE MAGALHÃES 143 17.(−2 + 1 3 ) : ( 2 3 − 3) Resposta 5/7 18.( 3 4 − 5 6 ) : ( 2 3 − 1 2 ) Resposta: -1/2 19. 2+ 1 3 1+ 1 2 Resposta 14/9 20. − 1 2 + 1 3 1 4 + 2 3 Resposta: -2/11 21. − 1 5 + 3 10 2 Resposta: 1/20 22. 1 5 1+ 1 2 Resposta: 2/15 23. −4 2− 1 2 Resposta: -8/3 24. 1− 1 2 2+ 3 2 Resposta: 1/7 25.(3 + 1 2 − 1 3 ) : ( 1 2 − 9 4 ) Resposta: -38/21
  • 144.
    OTÁVIO LUCIANO CAMARGOSALES DE MAGALHÃES 144 26.(−1 + 1 2 ) 3 − 1 4 Resposta: -3/8 27.(−2 + 1 2 ) 2 ( 1 2 − 1 4 ) Resposta: 9/16 28.( 3 2 − 1 3 ) 2 : ( 3 4 − 1 2 ) 2 Resposta: 196/9 29.(− 1 2 ) 3 − 1 4 [ 2 3 − (−1 + 1 2 ) 2 ] Resp: -11/48 30.(−1 − 1 2 ) (− 1 2 ) 2 Resposta: -3/8 31.(−2 − 1 3 − 1 2 ) : (−2 − 7 5 ) Resposta: 5/6 32.(− 1 9 − 1 3 ) + ( 1 4 − 2 3 ) ( 2 5 ) Resposta: -11/18 33.(2 − 1 3 ) 2 : ( 1 2 − 1) 3 Resposta: -200/9
  • 145.
    OTÁVIO LUCIANO CAMARGOSALES DE MAGALHÃES 145 34.{− 1 7 [(− 3 4 ) 2 + (3 − 1 2 ) 2 ]} : 109 4 Resposta: -1/28 35.√1 + 5 4 (0,2 + 1) Resposta: 9/5 36.(−2 + 1 3 ) 2 (0,4 − 1 5 ) 2 − 0,7√ 36 49 Resposta: -22/45 37.[ 1 2 − (1 + 1 2 ) 2 ] (2 + 2 3 ) Resposta: -14/3 38.(− 3 2 ) 2 : [(− 1 4 ) + 1 2 ] Resposta: 9 39. 1 2 : [2 − ( 2 3 + 1 4 )] Resposta: 6/13 40.(−6): [(− 3 2 ) 3 ( 10 9 − 2 15 . 10 6 )] Resposta: 2 41.16 ( 3 4 − 1 2 ) 3 − [ 5 2 + 1 3 . (− 3 4 )] Resposta: -2
  • 146.
    OTÁVIO LUCIANO CAMARGOSALES DE MAGALHÃES 146 42.( 2 3 − 1 2 ) 2 : (− 1 2 + 1 3 ) 2 Resposta: 1 43.5𝑥 − 3 4 : 𝑦 para x=3/4 e y=-3/8 Resposta: 23/4 44.12 − 5𝑥 para x=-4/3 Resposta: 56/3 45. 3 7 𝑥 − 5 8 : 𝑦 para x=-7/5 e y=-5/2 Resposta: -7/20 46.4𝑥 + 𝑦: 𝑥 para x=2/9 e y=-5/3 Resposta: -119/18 47.3x-5y para x=3/4 e y=-5/9 Resposta: 181/36 48.3x-4y sendo x=-2/3 e y=-2/5 Resposta: -2/5 49.x2-5x+6 sendo x=-3/4 Resposta: 165/16
  • 147.
    OTÁVIO LUCIANO CAMARGOSALES DE MAGALHÃES 147 50.3x-y sendo x=-3 e y=-1/2 Resposta: -17/2 51.3x2-2x+ 1 3 sendo x=-2/3 Resposta: 3 52.7x2-5x-3 sendo x=-3/5 Resposta: 63/25 53. 3𝑥−𝑦2 2𝑥+𝑦 sendo x=13/21 e y=-1/7 Resposta: 270/161 54.3x-5y sendo x=1/2 e y=1/5 Resposta: ½ 55.2x-3xy sendo =4/3 e y=-2/5 Resposta 64/15 56.x2-xy sendo x=2/5 e y=-1/10 Resposta: 1/5 57.3x2-2x-1 sendo x=1/3 Resposta: -4/3 58.-x2-6x sendo x=-2/3 Resposta: 32/9
  • 148.
    OTÁVIO LUCIANO CAMARGOSALES DE MAGALHÃES 148 59.2x2-x-3 sendo x=-1/2 Resposta: -2 60.2a-3b sendo a=3/2 e b=-2/3 Resposta: 5 61.2x2-3x-2 sendo x=-1/2 Resposta: 0 62.a2+3a sendo a=3b e b=-1/2 Resposta: =-9/4 GABARITO NÚMEROS NEGATIVOS NN.7.05.A 1) Determine: RESOLVA AS EXPRESSÕES NUMÉRICAS NO CADERNO a) 10+(-4).2 Resposta:2 10+(-8) 10-8 2 b) (-5).3-(-6).4 Resposta: 9 -15-(-24) -15+24 9 c) 19-(-20):(-2) Resposta: +9 19-(+10) 19-10 9 d) 8-10:(-5) Resposta: 10 8-(-2) 8+2 10 e) (-40):8-30:(-6) Resposta: 0 -5-(-5) -5+5 0 f) 36:(-3)+(-5).(-2) Resposta: -2 -12+10 -2 g) 15:(-3)-28:(-4) Resposta: 2 -5-(-7) -5+7 2 h) 10-2.6 Resposta: -2 10-12 -2 i) (-5):5-3.(-1)+1 Resposta: 3 -1-(-3)+1 -1+3+1 3 j) 45-6.5+48:(-6) Resposta: 7 45-30+(-8) 45-30-8 7 k) 30:(-10)+8-(-2).3 Resposta: 11 -3+8-(-6) -3+8+6 11 l) 25:(-25)+4:(-4)+2 Resposta: 0 -1+(-1)+2 -1-1+2 0 m) -15:3+4 Resposta: -1 -5+4 -1 n) 20-(-28):(-7) Resposta: 16 20-4 16 o) (-30).2:(-3) Resposta: 20 -60:(-3) 20 p) (-16):4-18:(-6) Resposta: -1 -4-(-3) -4+3 -1 q) 15+(-3).(-4)-2.(-15) Resposta: 57 15+12-(-30) 15+12+30 57 r) 11-2.(-8)+7.(-4) Resposta: -1 11-(-16)+(-28) 11+16-28 27-28 -1 s) 25-(-8).2 Resposta: 41 25-(-16) 25+16 41 t) -12-(-3).4 Resposta: 0 -12-(-12) -12+12 0 u) 20-6.3 Resposta: 2 20-18 2 v) 2.(-5)+3.(-4)-4.(-6) Resposta: 2 -10+(-12)-(-24) -10-12+24 -22+24 2 w) 20-2.(-7)+(-12).3 Resposta: -2 20-(-14)+(-36) 20+14-36 -2 x) -3.9+24 Resposta: -3 -27+24 -3 y) -5.4-(-3).7 Resposta: 1 -20-(-21) -20+21 1 z) 5.(-6)-3.2+28 Resposta: -8 -30-6+28 -8 aa) 2.(-9)+3.(-1) Resposta: -21 -18+(-3) -18-3 -21 bb) 15-2.(-5).(-1) Resposta: 5 15-10 5 NÚMEROS NEGATIVOS NN.7.05.B 1) Ache os valores numéricos a) 4x+20, para x=-5 Resposta: 0 4.(-5)+20 -20+20 0 b) xy+10, para x=4 e y=-3 Resposta: -2 4.(-3)+10 -12+10 -2 c) 10-6a, para a=-2 Resposta: 22 10-6.(-2) 10+12 22 d) 3a-b, para a=-6 e b=-21 Resposta: 3 3.(-6)-(-21) -18+21 3 e) 5x+13, para x=-2 Resposta: 3 5.(-2)+13 -10+13 3 f) 4a-ab, para a=-1 e b=2 Resposta: -2 4.(-1)-(-1).2 -4-(-2) -4+2 -2 g) ax+ay, para a=-2, x=-3, y=1 Resposta: 4 -2.(-3)+(-2).1
  • 149.
    OTÁVIO LUCIANO CAMARGOSALES DE MAGALHÃES 149 6+(-2) 6-2 4 h) 5a-2b, para a=6 e b=15 Resposta: 0 5.6-2.15 30-30 0 i) x+xy, para x=-1 e y=1 Resposta: -2 -1+(-1).1 -1-1 -2 j) 2x+xy-3y,para x=2 e y=-2 Resposta: 6 2.2+2.(-2)-3.(-2) 4-4+6 6 2 a) Se A=2.(-9)+20 e B=1-(-2).3, quanto vale A+B? Resposta: 9 A=-18+20=2 B=1-(-6)=7 A+B=2+7=9 b) Se x=(-1).(-2)-(-5) e y=6+(-3).3, quanto vale x-y? Resposta: 10 x=2-(-5)=2+5=7 y=6+(-9)=-3 x-y=7-(-3)=7+3=10 3. Resolva a) -5+(-3).8 Resposta: -29 -5+(-24) -5-24 -29 b) -6.5-(-4).3 Resposta: -18 -30-(-12) -30+12 -18 c) (-5+1)(-8+2) Resposta: 24 (-4)(-6) 24 d) 6-(-6+4).(-5+9) Resposta: 14 6-(-2)(4) 6-(-8) 6+8 14 e) (-3).(-4)+(-6).5 Resposta: -18 12+(-30) 12-30 -18 f) 12-(-2).3+(-4).(-5) Resposta: 38 12-(-6)+20 12+6+20 38 g) 9.-[(-2).7-(-8).3] Resposta: -1 9-[-14-(-24)] 9-[-14+24] 9-10 -1 h) (-2).3+{2.[-3+(-2).(-4)]} Resp: 4 -6+{2.[-3+8]} -6+{2.5} -6+10 4 i) (-4+20):(-8) Resposta: -2 16:(-8) -2 j) (-6-14):(-6+1) Resposta: 4 (-20):(-5) 4 k) (-8).3-(-15):3 Resposta: -19 -24-(-5) -24+5 -19 l) [-8+(-4).(-3)]:(-1-1) Resposta: -2 [-8+12]:(-2) 4:(-2) -2 m) (-6-2+3):[-3.(-2+3)+8] Resp: -1 (-5):[-3(1)+8] (-5):[-3+8] (-5):5 -1 n) -20:{-6+[(-2).(-3):(+2)-2]} Resposta: 4 -20:{-6+[6:2-2]} -20:{-6+[3-2]} -20:{-6+1} -20:{-5} 4 o) 10-{-6+[(-12):(-3)-8] Resposta: 20 10-{-6+[4-8]} 10-{-6+[-4]} 10-{-6-4} 10-{-10} 10+10 20 p) [-20+(-12+4)]:[1+(-3).(-2)] Resposta: -4 [-20+(-8)]:[1+6] [-20-8]:7 -28:7 -4 NÚMEROS NEGATIVOS NN.7.01.A 3) Resolva as expressões: a) 15+(-8).3 Resposta -9 15+(-24) 15-24 -9 b) (-30):(-5)-(-4) Resposta: 10 6+4 10 a) 21-(-14):2 Resposta: 28 21-(-7) 21+7 28 b) (-5)2 +(-2)5 Resposta: - 7 25+(-32) 25-32 -7 c) (-6)2 +(-1)3 -33 Resposta: 8 36+(-1)-27 36-1-27 8 d) (-6)2 -12 Resposta: 24 36-12 24 e) -5.6-(-3)2 Resposta: -39 -30-9 -39 f) (-8)2 :(-16)+5 Resposta: 1 64:(-16)+5 -4+5 1 g) 3.(-2)2 +(-36):(-3)2 Resposta: 8 3.4+(-36):9 12+(-4) 12-4 8 h) (-5)2 +32 Resposta: 34 25+9 34 i) (-3)3 -(-2)3 -(-1)4 Resposta: -20 -27-(-8)-1 -27+8-1 -28+8 -20 j) 3.(-4)2 -(-7)2 Resposta: - 1 3.16-49 48-49 -1 k) 15-3.(-2)2 +5o Resposta: 4 15-3.4+1 15-12+1 4 l) (-4)3 -24 Resposta: -80 -64-16 -80 m) 32 -(-3)3 +(-2)2 Resposta: 40 9-(-27)+4 9+27+4 40 n) (-4)3 :25 -(-2)2 .(-1)3 Resposta: 2 (-64):32-4:(-1) -2+4 2 o) 8+(-45):(-3)2 +(-4).(-1)3 Resposta: 7 8+(-45):9+(-4).(-1) 8+(-5)+4 8-5+4 7 p) (-6)0 +(-3)2 +(-2)3 .(-1) Resp: 18 1+9+(-8).(-1) 1+9+8 18 q) 32 -42 -(-2).(-4) Resposta: -15 9-16-8 -15 r) (-7)2 -(-7).(-6) Resposta: 7 49-42 7 s) 4.(-3)2 +(-5)2 Resposta: 61 4.9+25 36+25 61 t) (-6)2 :[(-4)-(-2)3 ]Resposta: 9 36:[-4-(-8)] 36:[-4+8] 36:4 9 u) (-1)4 -(-1)3 .(-2)4 :(-2)2 Resposta: 5 1-(-1).16:4 1-(-16):4 1-(-4) 1+4 5 v) (-15+9)2 :(-5+1)Resposta: -9 (-6)2 :(-4) 36:(-4) -9 w) (-2-1)2 .(-2+6)3 -(5-4+2)3 :(-5+2) Resposta: 585 (-3)2 .(4)3 -33 :(-3) 9.64-27:(-3) 576+9 585 4) Ache os valores numéricos: a) x3 -2x2 +5x+4, para x=-1 (-1)3 -2.(-1)2 +5(-1)+4 -1-2+(-5)+4 -1-2-5+4 -2 b) x2 -y2 , para x=-4 e y=-5 Resp: -9 (-4)2 -(-5)2 16-25 -9 d) x3 -2x, para x=-1 Resposta: 1 (-1)3 -2.(-1) -1+2 1 e) a3 -b3 , para a=1 e b=-2 Resp: 9 13 -(-2)3 1-(-8) 1+8 9 f) x2 -xy-y3 , para x=-4 e y=2 Resposta: 16 (-4)2 -(-4).2-23 16-(-8)-8 16+8-8 16 g) x2 -5x-6, para x=2 Resposta: -12 22 -5.2-6 4-10-6 -12
  • 150.
    OTÁVIO LUCIANO CAMARGOSALES DE MAGALHÃES 150 h) x3 -x2 -x+1, para x=-1 Resposta: 0 (-1)3 -(-1)2 -(-1)+1 -1-1+1+1 0 EXPRESSÕES NUMÉRICAS NN.7.11.Q 1. − 3 4 − (− 5 6 ) . ( 7 5 ) Resposta: 5/12 − 3 4 − (− 7 6 ) − 3 4 + 7 6 − 9 12 + 14 12 5 12 2. (−3 − 3 5 ) (− 7 12 + 13 18 ) Resposta: -1/2 (− 15 5 − 3 5 )(− 21 36 + 26 36 ) (− 18 5 )( 5 36 ) (− 1 1 ) (− 1 2 ) 1 2 3. (−2 + 3 4 ) ( 1 2 + 1 3 ) Resposta: -25/24 (− 8 4 + 3 4 ) ( 3 6 + 2 6 ) (− 5 4 ) ( 5 6 ) − 25 24 4. − 3 2 + 1 3 1− 7 4 Resposta: 14/9 − 9 6 + 2 6 4 4 − 7 4 − 7 6 − 3 4 = 28 18 = 14 9 5. 2 21 − 3 7 : (− 3 5 ) Resposta: 17/21 2 21 − 3 7 . (− 5 3 ) 2 21 + 5 7 2 21 + 15 21 = 17 21 6. (− 4 9 + 1 15 ): (− 5 6 − 1 9 ) Resposta: 2/5 (− 20 45 + 3 45 ) : (− 15 18 − 2 18 ) (− 17 45 ) : (− 17 18 ) (− 17 45 ) (− 18 17 ) = 2 5 7. (− 5 9 ) : ( 2 3 ) − 7 6 Resposta: -2 (− 5 9 ) ( 3 2 ) − 7 6 (− 5 6 ) − 7 6 (− 5 6 ) − 7 6 − 12 6 = −2 8. 2 − 9 8 : (− 5 4 ) Resposta: 29/10 2 − 9 8 (− 4 5 ) 2 − (− 9 10 ) 2 + 9 10 20 10 + 9 10 29 10 9. [(− 5 9 ) : (− 2 3 )]: (−3 2 3 ) Resposta: -5/22 [(− 5 9 ) (− 3 2 )] : (− 11 3 ) [ 5 6 ] : (− 11 3 ) 5 6 (− 3 11 ) − 15 66 = − 5 22 10. −15,8 + (−8,68): 6,2 Resposta: 17,2 -15,8+(-1,4) -17,2 11. 2 5 (− 1 2 ) + 2 5 Resposta: 1/55 − 1 5 + 2 5 = 1 5 12. − 3 4 . 2 5 − 2 10 Resposta: -1/2 − 3 10 − 2 10 = − 5 10 = − 1 2 13. (3 − 1 2 ) . 1 4 Resposta 5/8 ( 6 2 − 1 2 ) . 1 4 ( 5 2 ) . 1 4 = 5 8 14. ( 2 3 − 1 2 ) : (− 3 4 ) Resposta: -2/9 ( 4 6 − 3 6 ) : (− 3 4 ) ( 1 6 ) : (− 3 4 ) ( 1 6 ) (− 4 3 ) = − 4 18 = − 2 9 15. (− 2 3 ) 3 : 8 9 Resposta: -1/3 − 8 27 : 8 9 = − 8 27 . 9 8 = − 1 3 16. (− 1 2 + 2 3 ) (2 − 1 4 ) Resposta 7/24 (− 1 2 + 2 3 ) (2 − 1 4 ) (− 3 6 + 4 6 ) ( 8 4 − 1 4 ) ( 1 6 ) ( 7 4 ) = 7 24 17. (−2 + 1 3 ) : ( 2 3 − 3) Resposta 5/7 (− 6 3 + 1 3 ) : ( 2 3 − 9 3 ) (− 5 3 ) : (− 7 3 ) (− 5 3 ) : (− 3 7 ) = 5 7 18. ( 3 4 − 5 6 ) : ( 2 3 − 1 2 ) Resposta: -1/2 ( 15 12 − 10 12 ): ( 4 6 − 3 6 ) ( 9 12 − 10 12 ): ( 4 6 − 3 6 ) (− 1 12 ) : ( 1 6 ) (− 1 12 ) . 6 = − 6 12 = − 1 2 19. 2+ 1 3 1+ 1 2 Resposta 14/9 2 + 1 3 1 + 1 2 = 6 3 + 1 3 2 2 + 1 2 = 7 3 3 2 = 7 3 . 2 3 = 14 9 20. − 1 2 + 1 3 1 4 + 2 3 Resposta: -2/11 − 1 2 + 1 3 1 4 + 2 3 = − 3 6 + 2 6 3 12 + 8 12 = − 1 6 11 12 = − 1 6 . 12 11 = − 2 11 21. − 1 5 + 3 10 2 Resposta: 1/20 − 1 5 + 3 10 2 = − 2 10 + 3 10 2 = 1 10 2 = 1 20 22. 1 5 1+ 1 2 Resposta: 2/15 1 5 1 + 1 2 = 1 5 2 2 + 1 2 = 1 5 3 2 = 2 15 23. −4 2− 1 2 Resposta: -8/3 −4 2 − 1 2 = −4 4 2 − 1 2 = −4 3 2 = − 8 3 24. 1− 1 2 2+ 3 2 Resposta: 1/7 1 − 1 2 2 + 3 2 = 2 2 − 1 2 4 2 + 3 2 = 1 2 7 2 = 1 7 25. (3 + 1 2 − 1 3 ) : ( 1 2 − 9 4 ) Resposta: - 38/21 (3 + 1 2 − 1 3 ) : ( 1 2 − 9 4 ) ( 18 6 + 3 6 − 2 6 ) : ( 2 4 − 9 4 ) ( 19 6 ) : (− 7 4 ) = 19 6 . (− 4 7 ) = − 38 21 26. (−1 + 1 2 ) 3 − 1 4 Resposta: -3/8 (− 2 2 + 1 2 ) 3 − 1 4 (− 1 2 ) 3 − 1 4 − 1 8 − 1 4 = 1 8 − 2 8 = − 3 8 27. (−2 + 1 2 ) 2 ( 1 2 − 1 4 ) Resposta: 9/16 (− 4 2 + 1 2 ) 2 ( 2 4 − 1 4 ) (− 3 2 ) 2 ( 1 4 ) 9 4 ( 1 4 ) = 9 16 28. ( 3 2 − 1 3 ) 2 : ( 3 4 − 1 2 ) 2 Resposta: 196/9 ( 9 6 − 2 6 ) 2 : ( 3 4 − 2 4 ) 2 ( 7 6 ) 2 : ( 1 4 ) 2 49 36 : 1 16 = 49 36 . 16 = 196 9 29. (− 1 2 ) 3 − 1 4 [ 2 3 − (−1 + 1 2 ) 2 ] Resposta: -11/48 − 1 8 − 1 4 [ 2 3 − (− 1 2 ) 2 ] − 1 8 − 1 4 [ 2 3 − 1 4 ] − 1 8 − 1 4 [ 8 12 − 3 12 ] − 1 8 − 1 4 [ 5 12 ] − 1 8 − 5 48 − 6 48 − 5 48 = − 11 48 30. (−1 − 1 2 ) (− 1 2 ) 2 Resposta: -3/8 (−1 − 1 2 ) . 1 4 (− 2 2 − 1 2 ) . 1 4 (− 3 2 ) . 1 4 = − 3 8 31. (−2 − 1 3 − 1 2 ) : (−2 − 7 5 ) Resposta: 5/6 (− 12 6 − 2 6 − 3 6 ) : (− 10 5 − 7 5 ) (− 17 6 ) : (− 17 5 ) = (− 17 6 ) (− 5 17 ) = 5 6 32. (− 1 9 − 1 3 ) + ( 1 4 − 2 3 ) ( 2 5 ) Resposta: -11/18 (− 1 9 − 1 3 ) + ( 1 4 − 2 3 ) ( 2 5 ) (− 1 9 − 3 9 ) + ( 3 12 − 8 12 ) ( 2 5 ) (− 4 9 ) + (− 5 12 )( 2 5 ) (− 4 9 ) + (− 1 6 ) − 4 9 − 1 6 = − 8 18 − 3 18 = − 11 18 EXPRESSÕES NUMÉRICA NN.7.11.R
  • 151.
    OTÁVIO LUCIANO CAMARGOSALES DE MAGALHÃES 151 33. (2 − 1 3 ) 2 : ( 1 2 − 1) 3 Resposta: -200/9 ( 6 3 − 1 3 ) 2 : ( 1 2 − 2 2 ) 3 ( 5 3 ) 2 : (− 1 2 ) 3 25 9 : (− 1 8 ) = 25 9 . (−8) = − 200 9 34. {− 1 7 [(− 3 4 ) 2 + (3 − 1 2 ) 2 ]} : 109 4 Resposta: -1/28 {− 1 7 [ 9 16 + ( 6 2 − 1 2 ) 2 ]}: 109 4 {− 1 7 [ 9 16 + ( 5 2 ) 2 ]}: 109 4 {− 1 7 [ 9 16 + 25 4 ]} : 109 4 {− 1 7 [ 9 16 + 100 16 ]} : 109 4 {− 1 7 [ 109 16 ]} : 109 4 {− 109 112 } : 109 4 = − 109 112 . 4 109 = − 4 112 = − 2 56 = − 1 28 35. √1 + 5 4 (0,2 + 1) Resposta: 9/5 √ 4 4 + 5 4 (1,2) √ 9 4 ( 12 10 ) = 3 2 . 12 10 = 36 20 = 9 5 36. (−2 + 1 3 ) 2 (0,4 − 1 5 ) 2 − 0,7√ 36 49 Resp: -22/45 (− 6 3 + 1 3 ) 2 ( 4 10 − 1 5 ) 2 − 7 10 √ 36 49 (− 5 3 ) 2 ( 4 10 − 2 10 ) 2 − 7 10 . 6 7 25 9 ( 2 10 ) 2 − 3 5 25 9 . 4 100 − 3 5 = 1 9 − 3 5 = 5 45 − 27 45 = − 22 45 37. [ 1 2 − (1 + 1 2 ) 2 ](2 + 2 3 ) Resposta: -14/3 [ 1 2 − (1 + 1 2 ) 2 ] (2 + 2 3 ) [ 1 2 − ( 2 2 + 1 2 ) 2 ] ( 6 3 + 2 3 ) [ 1 2 − ( 3 2 ) 2 ]( 8 3 ) [ 1 2 − 9 4 ] ( 8 3 ) [ 2 4 − 9 4 ] ( 8 3 ) = − 7 4 . 8 3 = − 14 3 38. (− 3 2 ) 2 : [(− 1 4 ) + 1 2 ] Resposta: 9 9 4 : [− 1 4 + 2 4 ] = 9 4 : 1 4 = 9 39. 1 2 : [2 − ( 2 3 + 1 4 )] Resposta: 6/13 1 2 : [2 − ( 8 12 + 3 12 )] 1 2 : [ 24 12 − ( 11 12 )] 1 2 : [ 13 12 ] = 12 26 = 6 13 40. (−6): [(− 3 2 ) 3 ( 10 9 − 2 15 . 10 6 )] Resposta: 2 (−6): [(− 3 2 ) 3 ( 10 9 − 2 15 . 10 6 )] (−6): [− 27 8 ( 10 9 − 2 9 )] (−6): [− 27 8 ( 8 9 )] (−6): [−3] = 2 41. 16 ( 3 4 − 1 2 ) 3 − [ 5 2 + 1 3 . (− 3 4 )] Resposta: -2 16 ( 3 4 − 2 4 ) 3 − [ 5 2 + (− 1 4 )] 16 ( 1 4 ) 3 − [ 10 4 − 1 4 ] 16. 1 64 − [ 9 4 ] 1 4 − [ 9 4 ] = − 8 4 = −2 42. ( 2 3 − 1 2 ) 2 : (− 1 2 + 1 3 ) 2 Resposta: 1 ( 4 6 − 3 6 ) 2 : (− 3 6 + 2 6 ) 2 ( 1 6 ) 2 : (− 1 6 ) 2 1 36 : 1 36 = 1 43. 5𝑥 − 3 4 : 𝑦 para x=3/4 e y=- 3/8 Resposta: 23/4 5. 3 4 − 3 4 : (− 3 8 ) 15 4 − 3 4 . (− 8 3 ) 15 4 + 2 = 15 4 + 8 4 = 23 4 44. 12 − 5𝑥 para x=-4/3 Resposta: 56/3 12 − 5. (− 4 3 ) 12 + 20 3 = 36 3 + 20 3 = 56 3 45. 3 7 𝑥 − 5 8 : 𝑦 para x=-7/5 e y=-5/2 Resposta: -7/20 3 7 . (− 7 5 ) − 5 8 : (− 5 2 ) − 3 5 − 5 8 . (− 2 5 ) = − 3 5 + 1 4 − 12 20 + 5 20 = − 7 20 46. 4𝑥 + 𝑦: 𝑥 para x=2/9 e y=-5/3 Resp: -119/18 4. 2 9 + (− 5 3 ) : ( 2 9 ) 8 9 + (− 5 3 ) . ( 9 2 ) 8 9 + (− 15 2 ) = 8 9 − 15 2 = 16 18 − 135 18 = − 119 18 47. 3x-5y para x=3/4 e y=-5/9 Resposta: 181/36 3. 3 4 − 5. (− 5 9 ) 9 4 − 25 9 = 81 36 + 100 36 = 181 36 48. 3x-4y sendo x=-2/3 e y=- 2/5 Resposta: -2/5 3 (− 2 3 ) − 4 (− 2 5 ) −2 + 8 5 = − 10 5 + 8 5 = − 2 5 49. x2 -5x+6 sendo x=-3/4 Resposta: 165/16 (− 3 4 ) 2 − 5 (− 3 4 ) + 6 9 16 + 15 4 + 6 9 16 + 60 16 + 96 16 = 165 16 50. 3x-y sendo x=-3 e y=-1/2 Resposta: -17/2 3(−3) − (− 1 2 ) −9 + 1 2 = − 18 2 + 1 2 = − 17 2 51. 3x2 -2x+ 1 3 sendo x=-2/3 Resposta: 3 3. (− 2 3 ) 2 − 2. (− 2 3 ) + 1 3 3. 4 9 + 4 3 + 1 3 = 12 9 + 5 3 = 12 9 + 15 9 = 27 9 = 3 52. 7x2 -5x-3 sendo x=-3/5 Resposta: 63/25 7 (− 3 5 ) 2 − 5 (− 3 5 ) − 3 7. 9 25 + 3 − 3 = 63 25 53. 3𝑥−𝑦2 2𝑥+𝑦 sendo x=13/21 e y=-1/7 Resp: 270/161 3. 13 21 − (− 1 7 ) 2 2. 13 21 + (− 1 7 ) = 13 7 − 1 49 26 21 − 1 7 = 91 49 − 1 49 26 21 − 3 21 = 90 49 23 21 = 90 49 . 21 23 = 270 161 54. 3x-5y sendo x=1/2 e y=1/5 Resposta: ½ 3. 1 2 − 5. 1 5 = 3 2 − 1 = 3 2 − 2 2 = 1 2 55. 2x-3xy sendo =4/3 e y=- 2/5 Resposta 64/15 2. 4 3 − 3. 4 3 . (− 2 5 ) 8 3 − 4. (− 2 5 ) = 8 3 + 8 5 24 15 + 40 15 = 64 15 56. x2 -xy sendo x=2/5 e y=-1/10 Resposta: 1/5 ( 2 5 ) 2 − 2 5 . (− 1 10 ) 4 25 + 2 50 = 8 50 + 2 50 = 10 50 = 1 5 57. 3x2 -2x-1 sendo x=1/3 Resposta: -4/3 3. ( 1 3 ) 2 − 2. ( 1 3 ) − 1 3. 1 9 − 2. 1 3 − 1 3 9 − 2 3 − 1 = 3 9 − 6 9 − 9 9 − 12 9 = − 4 3 58. -x2 -6x sendo x=-2/3 Resposta: 32/9 − (− 2 3 ) 2 − 6 (− 2 3 ) − 4 9 + 12 3 = − 4 9 + 36 9 = 32 9 59. 2x2 -x-3 sendo x=-1/2 Resposta: -2 2. (− 1 2 ) 2 − (− 1 2 ) − 3 2. 1 4 + 1 2 − 3 2 4 + 1 2 − 3 2 4 + 2 4 − 12 4 − 8 4 = −2 60. 2a-3b sendo a=3/2 e b=-2/3 Resposta: 5 2. 3 2 − 3. (− 2 3 ) 3 + 2 = 5 61. 2x2 -3x-2 sendo x=-1/2 Resposta: 0 2. (− 1 2 ) 2 − 3. (− 1 2 ) − 2 2. 1 4 + 3 2 − 2 1 2 + 3 2 − 4 2 = 0 2 = 0 62. a2 +3a sendo a=3b e b=-1/2 Resposta: =-9/4 Primeiro calculamos 𝑎 = 3. (− 1 2 ) = − 3 2 (− 3 2 ) 2 + 3 (− 3 2 ) = 9 4 − 9 2 = 9 4 − 18 4 = − 9 4
  • 152.
    OTÁVIO LUCIANO CAMARGOSALES DE MAGALHÃES 152 POTÊNCIA DE EXPOENTE INTEIRO NEGATIVO 1)Calcule e observe a seqüência 34= 33= 32= 31= 30= 3-1= 3-2= 3-3= 3-4= 2) Calcule e observe a sequência 24= 23= 22= 21= 20= 2-1= 2-2= 2-3= 2-4= 3)Calcule: a) 2-1= b) 2-5= c) (-2)-2= d) 10-3= e) 3-3= f) (-3)-3= g) (-2)-1= h) (-2)-5= i) -2-4= j) –(-4)-3= k) –(-10)-1= l) –(-7)-2= 4) Calcule a) ( 1 2 ) −1 = b) ( 1 2 ) −2 = c) (− 1 3 ) −2 = d) (− 1 4 ) −1 = e) ( 2 3 ) −1 = f) (− 2 5 ) −2 = g) (− 5 3 ) −3 = h) − (− 1 6 ) −1 = i) − ( 1 3 ) −2 = j) − (− 3 2 ) −3 = k) (1 2 3 ) −2 = 5) Calcule: a) 0,2-1= b) 0,5-2= c) 1,2-1= d) 2,5-2= e) 3,5-2= f) 0,25-2= g) (-0,2)-2= h) (-2,5)-3= i) (-0,25)-2= 6) Resolva as expressões: a) 3-1+2-1 Resposta: 5/6 b) 3-1+2-2+(-4)-1 Resposta: 1/3 c) (9-1+6-2)-1 Resposta: 36/5 d) (40+4-1):(40-4-1) Resposta: 5/3 e) (-3)-1+(-1)-3 Resposta: -4/3 f) 2-4-22 Resposta: -63/16
  • 153.
    OTÁVIO LUCIANO CAMARGOSALES DE MAGALHÃES 153 g) (4-1+2-3)-1 Resposta: 8/3 h) (6-2.32)-1 Resposta: 4 i) 20+(-2)4.4-2-(-2)3 Resposta: 10 j) −22+( 1 3 ) −2 −24+(−3)2+40 Resposta: -5/6 1)Transforme em uma só potência (considere x e a não nulos): a) 79.7-6 = b) 10-9.10.105= c) 83.8-6= d) x3x-5x4= e) a8.a-8.a-1= 2) Transforme em uma só potência (considere x e a não nulos): a) 64:65= b) 27:2-2= c) 74:7-1= d) 10−3 10−5 = e) 𝑥6 𝑥−2 = f) 𝑎9 𝑎11 = 3)Transforme numa só potência (considere x não nulos): a) (6-1)4= b) (5-1)-3= c) (106)-2= 4) Transforme em um produto de potências: a)(5.11)-2= b) (3.102)-1= c) (2-4.54)2= 5) Transforme em um quociente de potências: a) (8:3)-2= b) (6-2:5)-4= c) (7-2:2-1)-3= 6) Simplifique (com todos valores diferentes de zero): a) 𝑎12 : 𝑎11 b) (a6)2.a8 c) (x9)2.x6 d) 𝑥7 𝑥7 e) 𝑥5.𝑥10 (𝑥5)2 f) 𝑎8 𝑎5 𝑎8 (𝑎4)5 12) Escreva como uma única potência (use tabelas): a) 256.47 86 b) 3−6,276 2433
  • 154.
    OTÁVIO LUCIANO CAMARGOSALES DE MAGALHÃES 154 13) Escreva como uma única potência: a) 0,00001:(100-2)3 b) 0,00001−2.100003 (0,13.102)4 14) Escreva como uma única potência 39.(32) −2 (33)4(34)−5 15) Simplifique . 𝑎15 𝑏10 𝑎12 𝑏9 16) Escreva como única potência: (511 . (52)−3 . (54)−2)−3 17) Simplifique . 𝑎−4 𝑏−10 𝑎12 𝑏−8 1) Resolva as expressões: a) 2−1 + 3−1 b) (−3)2 . (−2 + 2−1)−1 c) (3 − 5)2(−2 − 1)3 + ( 1 2 ) −2 d) 2−1+2−2 2−3 2)Se 𝐴 = (− 1 3 ) −2 , B= 2−1 5−1, C=2-1.5-2, ache A+B+C Prof. Otávio Luciano Camargo Sales de Magalhães POTENCIAÇÃO PT.7.01.A 1)Calcule e observe a seqüência 34 =81 33 =27 32 =9 31 =3 30 =1 3-1 =1/3 3-2 =1/9 3-3 =1/27 3-4 =1/81 2) Calcule e observe a sequência 24 =16 23 =8 22 =4 21 =2 20 =1 2-1 =1/2 2-2 =1/4 2-3 =1/8 2-4 =1/16 3)Calcule: a) 2-1 =1/2 b) 2-5 =1/32 c) (-2)-2 =1/4 OBS: Note que o fato de -2 ser par faz com que o sinal seja positivo. d) 10-3 =1/100 e) 3-3 =1/27 f) (-3)-3 =-1/27 Já no caso de -3, como é ímpar, se mantém o sinal. g) (-2)-1 =1/2 h) (-2)-5 =1/32i) -2-4 =-1/16 No caso de -2-4 o sinal não está elevado à - 4, apenas o 2 está. Portanto, mantém-se o sinal j) –(-4)-3 =-(-1/64)=1/64 k) –(-10)-1 =-(-1/10)=1/10 l) –(-7)-2 =-(1/7)=-1/7 4) Calcule a) ( 1 2 ) −1 =2 b) ( 1 2 ) −2 =4 c) (− 1 3 ) −2 =9 d) (− 1 4 ) −1 =-4 e) ( 2 3 ) −1 =3/2 f) (− 2 5 ) −2 =25/4 g) (− 5 3 ) −3 =-27/125 h) − (− 1 6 ) −1 =-(-6)=6 i) −( 1 3 ) −2 =-9 j) −(− 3 2 ) −3 =-(- 8/27)=8/27 k) (1 2 3 ) −2 =(5/3)-2 =9/25 5) Calcule: a) 0,2-1 =(1/5)-1 =5 b) 0,5-2 =(1/2)-2 =4 c) 1,2-1 =(6/5)-1 =5/6 0,2=2/10=1/5 0,5=5/10=1/2 1,2=12/10=6/5 d) 2,5-2 =(25/10)-2 =(5/2)-2 =4/25 e) 3,5-2 =(35/10)-2 =(7/2)-2 =4/49 f) 0,25-2 =(25/100)-2 =(1/4)-2 =16 g) (-0,2)-2 =(-1/5)-2 =25 h) (-2,5)-3 =(-25/10)-3 =(-5/2)-3 =-8/125 (Sinal negativo!) i) (-0,25)-2 =(-1/4)-2 =16 6) Resolva as expressões (no caderno): a) 3-1 +2-1 Resposta: 5/6 1 3 + 1 2 = 3 + 2 6 = 5 6 b) 3-1 +2-2 +(-4)-1 Resposta: 1/3 1 3 + 1 4 + (− 1 4 ) = 1 3 c) (9-1 +6-2 )-1 Resposta: 36/5 ( 1 9 + 1 36 ) −1 = ( 4 + 1 36 ) −1 = ( 5 36 ) −1 = 36 5 d) (40 +4-1 ):(40 -4-1 ) Resposta: 5/3
  • 155.
    OTÁVIO LUCIANO CAMARGOSALES DE MAGALHÃES 155 (1 + 1 4 ) : (1 − 1 4 ) = ( 4 + 1 4 ) : ( 4 − 1 4 ) = ( 5 4 ) : ( 3 4 ) = 5 4 . 4 3 = 5 3 e) (-3)-1 +(-1)-3 Resposta: -4/3 (− 1 3 ) + (−1) = − 1 3 − 1 = − 4 3 f) 2-4 -22 Resposta: -63/16 1 16 − 1 4 = 1 − 64 16 = − 63 16 g) (4-1 +2-3 )-1 Resposta: 8/3 ( 1 4 + 1 8 ) −1 = ( 2 + 1 8 ) −1 = ( 3 8 ) −1 = 8 3 h) (6-2 .32 )-1 Resposta: 4 ( 1 36 . 9) −1 = ( 1 4 ) −1 = 4 i) 20 +(-2)4 .4-2 -(-2)3 Resposta: 10 1 + 16 . 1 16 − (−8) = 1 + 1 + 8 = 10 j) −22+( 1 3 ) −2 −24+(−3)2+40 Resposta: -5/6 −22 + ( 1 3 ) −2 −24 + (−3)2 + 40 = −4 + 9 −16 + 9 + 1 = 5 −6 = − 5 6 Prof. Otávio Luciano Camargo Sales de Magalhães POTENCIAÇÃO PT.7.01.B 1)Transforme em uma só potência (considere x e a não nulos): b) 79 .7-6 =79+(-6) =715 b) 10-9 .10.105 =10-9+1+5 =10-3 c) 83 .8-6 =83+(-6) =8-3 d) x3 x-5 x4 =x3+(-5)+4 =x2 e) a8 .a-8 .a-1 =a8+(-8)+(-1) =a8-8-1 =a-1 2) Transforme em uma só potência (considere x e a não nulos): a) 64 :65 =64-5 =6-1 b) 27 :2-2 =27-(-2) =29 c) 74 :7-1 =74-(-1) =75 d) 10−3 10−5 = 10−3−(—5) = 102 e) 𝑥6 𝑥−2 = 𝑥6−(−2) = 𝑥8 f) 𝑎9 𝑎11 = 𝑎9−11 = 𝑎−2 3)Transforme numa só potência (considere x não nulos): a) (6-1 )4 =6-4 b) (5-1 )-3 =63 c) (106 )-2 =10-12 4) Transforme em um produto de potências: a)(5.11)-2 =5-2 .11-2 b) (3.102 )-1 =3- 1 .10-2 c) (2-4 .54 )2 =2-8 .58 5) Transforme em um quociente de potências: a) (8:3)-2 =8-2 :3-2 b) (6-2 :5)-4 =68 :5-4 c) (7-2 :2-1 )-3 =76 :23 6) Simplifique (com todos valores diferentes de zero) – no caderno: a) = 𝑎12 : 𝑎11 = 𝑎 Quando eu não indico expoente, ele é 1, é importante considerar isso. b)= (a6 )2 .a8 =a12 .a8 =a20 c) =(x9 )2 .x6 =x18 .x6 =x24 d) = 𝑥7 𝑥7 = 𝑥0 e) = 𝑥5.𝑥10 (𝑥5)2 = 𝑥15 𝑥10 = 𝑥5 f) = 𝑎8 𝑎5 𝑎8 (𝑎4)5 = 𝑎21 𝑎20 = 𝑎1 = 𝑎 12) Escreva como uma única potência (caderno): a) 256.47 86 = (28).(22) 7 (23)6 = 28.214 218 = 222 218 = 24 Substitua 256=28 , 4=22 e 8=23 . b) 3−6,276 2433 = 3−6.(33) 6 (35)3 = 3−6,318 315 = 312 315 = 3−3 Substitua 27=33 e 243=35 13) Escreva como uma única potência (caderno): a) 0,00001:(100-2 )3 =10-5 :((102 )-2 )3 =10-5 :10- 12 =107 b) 0,00001−2.100003 (0,13.102)4 = (10−5) −2 .(104) 3 ((10−1)3102)4 = 1010.1012 (10−3102)4 = 1022 (10−1)4 = 1022 10−4 = 1026 14) Escreva como uma única potência: 39 . (32)−2 (33)4(34)−5 = 39 . 3−4 312. 3−20 = 35 3−8 = 313 15) Simplifique . 𝑎15 𝑏10 𝑎12 𝑏9 = 𝑎3 𝑏 16) Escreva como única potência: (511 . (52)−3 . (54)−2)−3 = (511 . 5−6 . 5−8)−3 = (5−3)−3 = 59 17) Simplifique . 𝑎−4 𝑏−10 𝑎12 𝑏−8 = 𝑎−4−12 𝑏−10−(−8) = 𝑎−16 𝑏−2 Prof. Otávio Luciano Camargo Sales de Magalhães POTENCIAÇÃO PT.7.01.C 1) Resolva as expressões no caderno a) 2−1 + 3−1 1 2 + 1 3 = 3 6 + 2 6 = 5 6 b) (−3)2 . (−2 + 2−1)−1 9. (−2 + 1 2 ) −1 = 9. (− 4 2 + 1 2 ) −1 = 9. ( 3 2 ) −1 = 9. 2 3 = 6 c) (3 − 5)2(−2 − 1)3 + ( 1 2 ) −2 (−2)2(−3)3 + 4 = 4. (−27) + 4 = −108 + 4 = −104 d) 2−1+2−2 2−3 = 1 2 + 1 4 1 8 = 2 4 + 1 4 1 8 = 3 4 1 8 = 3 4 . 8 = 6 2)Lembre que 0,25=1/4 e calcule (0,25)-3 rapidamente. (1/4)-3 =64 3) Se 0,142857142857...=1/7, calcule (0,142857....)-2 . (1/7)-2 =49 4)Se 𝐴 = (− 1 3 ) −2 , B= 2−1 5−1 , C=2-1 .5-2 , ache A+B+C 𝐴 = 9 𝐵 = 1 2 1 5 = 5 2 C= 1 2 . 1 25 = 1 50 𝐴 + 𝐵 + 𝐶 = 9 + 5 2 + 1 50 = 450 50 + 125 50 + 1 50 = 576 50 = 288 25 𝑎 = 1 − 1 4 = 4 4 − 1 4 = 3 4 𝑏 = (1 − 1 2 ) −1 = ( 1 2 ) −1 = 2 𝑐 = 1 − 3 = −2 a) ( 3 4 ) 2 = 9 16 b) (2 − 3 4 ) −2 = ( 8 4 − 3 4 ) −2 = ( 5 4 ) −2 = 16 25 c) ( 3 4 .2 −2 ) −2 = ( 3 2 −2 ) −2 = ( 3 −4 ) −2 = 16 9
  • 156.
    OTÁVIO LUCIANO CAMARGOSALES DE MAGALHÃES 156 MAIS EXERCÍCIOS DE POTENCIAÇÃO 1) Calcule: a) 7-1 b) 6-2 c) 2-3 d) 2 3 1         e) 2 5 2         f) 2 5 2        g) 3 3 2         h) 3 6 5        i) 3 3 2 1        2) Calcule 5-1 +3-2 3) Calcule (-2,222...)-3 . 4) Ache o valor de: a) 2 4 1        b) 2 4 1         5) Calcule: a) 10-1 b) 10-2 c) 10-3 d) 10-4 e) 10-5 f) 10-6 6) Calcule: a) 2-1 b) 2-2 c) 2-3 d) 2-4 e) 2-5 f) 2-6 7) Se A=(−2 1 4 ) −1 , B=2-3 , C=5-2 , ache A+B+C 8) Ache o valor de   3 2 3 2 1...111,2         9) Calcule: a) (-2)-3 b) (-10)-3 c) (-5)-4 d) (-7)-3 10) Ache 20 +2-1 +2-2 +2-3 11) Ache o valor de  2 2 ...333,0 2 1 2       12) Se a=3.(2+5) e b=5.( 25 +1), ache ba ba   22
  • 157.
    OTÁVIO LUCIANO CAMARGOSALES DE MAGALHÃES 157 RADICIAÇÃO DE NÚMEROS RACIONAIS 1) Calcule: a) √25=________ b) √144=________ c) √100=________ d) 52 =________ e) 62 =________ f) 112 =________ g) √8 3 =________ h) √125 3 =________ i) 53 =________ j) 33 ==________ 2) Escreva-se como lê, seguindo os exemplos 52 – cinco ao quadrado 33 – três ao cubo 62=__________________ 73=__________________ 23=__________________ 3) Qual é: a) o dobro de 5______b) o quadrado de 5______c) o dobro de 10______d) o quadrado de 10______ e) o dobro de 7______f) o quadrado de 7______g) o dobro de 11______h) o quadrado de 11______ 4) Qual é: a) o triplo de 3______b) o cubo de 3______ c) o triplo de 5______ d) o cubo de 5______ e) o triplo de 7______ f) o cubo de 7______ g) o triplo de 10______ h) o quadrado de 10 ______ 5) Qual é a área do quadrado: Exemplo: Faça o mesmo com: Lado = 5 cm A= ___cm x___ cm =____ cm2 6) Qual é o lado do quadrado, dada a área: Exemplo: Área = 121 m2 Lado = √___𝑚2=___m 7) Qual é a medida? Exemplo: Lado = 3 m. Área = 3 m x 3 m = 9 m2 Área = 16 m2. Lado = √16𝑚2=4m a) Lado: 5 m. Área=___________. b) Lado: 10 m. Área=___________. c) Área: 100 m2. Lado =___________. d) Área: 121 m2. Lado =___________. e) Lado: 9 m. Área=___________. f) Área: 144 m2. Lado =___________. 8) Veja os números quadrados. Desenhe o próximo número quadrado.
  • 158.
    OTÁVIO LUCIANO CAMARGOSALES DE MAGALHÃES 158 9) Veja agora os números triangulares. Continue mais três desenhos. 10) Continue a tabela: 6 . 6 . 6 = ____ ∴ √ 3 = ____ 7 . 7 . 7 = ____ ∴ √ 3 = ____ 8 . 8 . 8 = ____ ∴ √ 3 = ____ 9 . 9 . 9 = ____ ∴ √ 3 = ____ 10 . 10 . 10 = ____ ∴ √ 3 = ____ 11 . 11 . 11= ____ ∴ √ 3 = ____ 12 . 12 . 12 = ____ ∴ √ 3 = ____ 13 . 13 . 13 = ____ ∴ √ 3 = ____ 14 . 14 . 14 = ____ ∴ √ 3 = ____ 15 . 15 . 15 = ____ ∴ √ 3 = ____ 16 . 16 . 16 = ____ ∴ √ 3 = ____ 17 . 17 . 17 = ____ ∴ √ 3 = ____ 18 . 18 . 18 = ____ ∴ √ 3 = ____ 19 . 19 . 19 = ____ ∴ √ 3 = ____ 11) Veja! 14=1.1.1.1=1 ∴ √1 4 = 1 24=2.2.2.2=16 ∴ √16 4 = 2 34=3.3.3.3=81 ∴ √81 4 = 3 44=4.4.4.4=____ ∴ √_____4 = ____ 54=5.5.5.5=____ ∴ √_____4 = ____ 64=6.6.6.6=____ ∴ √_____4 = ____ 74=7.7.7.7=____ ∴ √_____4 = ____ 84=8.8.8.8=____ ∴ √_____4 = ____ 94=9.9.9.9=____ ∴ √_____4 = ____ 12) Calcule: a) √125 3 =_____ b) √27 3 =_____ c) √81 4 =_____ d) √49=_____ e) √256 4 =_____ f) √144=_____ g) √625 4 =_____ h) √1331 3 =_____ i) √512 3 =_____ j)√1000 3 =_____ 5) Se 14196  e 15225  . Responda: existe 200 exata? 6) Se 332x332=110224 e 333x333=110889. Pode existir raiz quadrada exata de 110750? 7) Calcule: a) 169  c) 4.9 b) 169  d) 4.9 8) Calcule: a) 25144  b) 25144  c) 25.144 d) 25.144 9) Se A= 36 e B= 144 , ache o valor de A+B. 10) Se A= 49 , B=5+3, C= 144 , calcule: a) A+B b) B+C c) 2.A d) B. C e) C.A+2.B 11) Se A= 549  e B= 3144  , ache A+B
  • 159.
    OTÁVIO LUCIANO CAMARGOSALES DE MAGALHÃES 159 12) Se A= 36.25  B= 169196  e C=A+B. Ache: a) A+B+C b) 2.A.C 13) Se A= 25 , B=7+2, C= 9.2 , ache: a) A+B+C b) 2.A+C 14) Sei que A= 236.3  , B= A 925 , C= 5A , ache a metade de A+B+C. 15) Ache A+B, se A= )361(5  e B= 49.25  . 16) Sendo A= )49.23)(365(  B= 2).425(5  C= 49.25  , ache A+B+C 16) Ache o valor de x se xx  . 18) Para formar um pelotão de 169 soldados, eles são distribuídos em uma região quadrada, de forma regular. Quantos soldados haverá em cada lado do quadrado? 19) Sendo a= 4489e b= 121, ache o valor de a+b 20) Dados a= 493  , b= 92  e c= 25.3 , ache cba  21) Se a=3+ 36 e b=5. 49 , ache o valor de 2a+b+ a 22) Se a= 645.3  , b= 36.43  , c= 255  , d= 426  , calcule cdba  101 23) Calcule: a) 2523  b) 32 -23 c) 5.32 d) 23 .32 e) 33 +53 f) 53 -43 g) 3 464  h) 3 29  i) 25:53 j) 2 11121 24)Calcule: a) (5-3)2 b) (2+5)3 c) (5-3)3 d) (32 -23 )2
  • 160.
    OTÁVIO LUCIANO CAMARGOSALES DE MAGALHÃES 160 25) Calcule: a) 32 23  b) 2 3 c) 22 43  d) 23 3.42  26) Calcule: a) 2 5 b) 2 7 c) 2 10 d) 2 6 e) 2 8 f) 2 15 27) Calcule: a)  2 64 b)  2 49 c)  2 36 d)  2 81 e)  2 9 28) Calcule:  0 93493  29) Se A=30 , B=23 , calcule: BA . 30) Calcule: a) 2 3 5 b)  23 5 31) (Papiro de Rhind – 1600 a.C) “Em cada uma de sete casas, há sete gatos, cada um deles come sete ratos, cada um dos quais havia comido sete espigas de trigo, cada uma delas com sete hecates. Casas, gatos, ratos, espigas e hecates, quantos são?” 32) (Líber Abaci – Fibonacci – 1202) Há sete senhoras idosas na escada de Roma. Cada senhora tem sete mulos; cada mulo transporta sete sacos; cada saco contém sete pães; com cada pão há sete facas; para cada faca há sete bainhas. Entre mulheres, mulos, sacos, pães, facas e bainhas, quantos estão na estrada de Roma? 33) (Versos infantis clássicos ingleses) Quando ia a Saint Ives / Encontrei um homem com sete mulhers; / Cada mulher tinha sete sacos; / Cada saco tinha sete gatos; / Cada gato tinha sete gatinhos. / Gatinhos, gatos, sacos e mulheres, / Quantos iam para Saint Ives? 34) Ache: a) 33 278  b) 53 32.125 c) 43 16216  d) 9814  38) Qual o volume do cubo: Exemplo: Faça o mesmo:
  • 161.
    OTÁVIO LUCIANO CAMARGOSALES DE MAGALHÃES 161 39) Dado o volume do cubo, ache a medida da aresta 40) Qual é a medida? Exemplo: Aresta = 4 m. Volume = 4 m x 4 m x 4 m = 64 m3 Volume = 64 m2. Aresta = √64𝑚3=4m a) Aresta: 10 m. Volume=___________. b) Aresta: 8 m. Volume=___________. c) Volume: 216 m3. Aresta =___________. d) Volume: 1000 m3. Aresta =___________. e) Aresta: 11 m. Volume=___________. f) Volume: 125 m3. Aresta =___________. 41) Quais são os números cúbicos? Vamos relembrar algumas potências: 23=8 33=27 43=64 53=125 63=216 73=343 83=512 93=729 103=1000 113=1331 24=16 34=81 44=256 54=625 25=32 35=243 45=1024 55=3125 1) Calcule: a)3 27 =___ b) 4 81 =___ c) 3 64 =___ d)3 125 =___ e) 4 16 =___ f) 5 32 =___g) 9 512=___ 2) Calcule: a) 33 278  =___ b) 53 32.125 =___ c) 43 16216  =___ d) 9814  =___ e) 3 27125 =___ 3) Sei que 210=1024, calcule 10 1024=___. 4) Calcule: a) 81 =____ b) 4 81=____ c) 16 =____ d) 4 16 =____ e) 256 =____f) 4 256 =____ g) 256 =____h) 8 256 =____
  • 162.
    OTÁVIO LUCIANO CAMARGOSALES DE MAGALHÃES 162 5) Calcule 4 625 6) Calcule: a) 3 27 =____b) 3 27 =____c) 4 16 =____d) 4 16 =____ e) 36 =____f) =____ g) =____h) 5 32 =____ 7) Ache o valor de x: a) x2=16 b) x2=49 c) x2=-1 d) x3=-27 e) x3=8 f) x3=-1 g) x4=16 h) x4=-16 8) Calcule 2-1+3 8 . Resposta 5/2 9) Calcule efetuando todas operações (não usar propriedades): a)  3 3 8 b) 3 3 8 c)  4 4 1 d) 4 4 1 e)  2 9 f) 2 9 10) Calcule: a) 6 0 =___ b) 3 27 8 =___ 11) Resolva: a) 121495  Resposta: 24 b) 9 1 3 25 4  Resposta:7/5 c) 3 322 27.35  Resposta: -4 d) 33 001,0 27 8  Resposta: 23/30 12) Calcule: a) 3 8000 =___ b) 4 160000=___ c) 3 8000 =___ d) 4 160000 =___ e) 5 100000=___ f) 3 27000 =___ g) 3 1000000000=___ h) 0,0000646 =___ 13) Se a=3 8000e b=1-22, ache o valor de 2 10   b a Resposta: 17/9 14) Ache a metade da 3 64000000 36 5 32
  • 163.
    OTÁVIO LUCIANO CAMARGOSALES DE MAGALHÃES 163 15) (FACULDADES OBJETIVO) Qual o valor de 9 8 1 2 2 27 3 0 2 3            ( ) . Resposta: 6 16) (LONDRINA – Adapt.) Dados os números . a) Quanto é √ 𝑧? b) Quanto é xy-z? 𝑥 = 2/3 1/3 = 2 𝑦 = 2/3 3/2 = 4/9 𝑧 = 2/3 3 1/2 = 2/9 1/2 = 4/9 𝑎) √ 4 9 = 2 3 b) 20= 1 GABARITO Prof. Otávio Luciano Camargo Sales de Magalhães RADICIAÇÃO RD.7.01.A 1)Calcule: √27 3 =3 √81 4 =3 √64 3 = 4 √125 3 =5 √16 4 =2 √32 5 =2 √512 9 =2 2) Calcule: a) =2+3=5 b) =5.2=10 c) =6-2=4 d) =3:3=1 e) =125+3=128 3) Sei que 210 =1024, calcule =2. 4) Calcule: a) =3 b) =3 c) =2 d) =2 e) =4 f) =4 g) =2 h) =2 Aqui podemos concluir que a raiz quarta equivale a raiz quadrada da raiz quadrada ou seja: √ 4 = √√ A raiz oitava é a raiz quadrada da raiz quadrada da raiz quadrada √ 8 = √√√ 5) Calcule Pode ser calculado tirando-se a raiz quadrada da raiz quadrada, que resulta em 5. 6) Calcule: a) =-3 b) =3 c) =2 d) =não tem raiz e) =não há f) =6 g) =2 h) =-2 7) Ache o valor de x: a) x2 =16 b) x2 =49 x=4 ou x=-4 Não existe x c) x2 =-1 d) x3 =-27 Não existe x x=-3 e) x3 =8 f) x3 =-1 x=2 x=-1 g) x4 =16 h) x4 =-16 x=2 ou x=-2 Não existe x 8) Calcule 2-1 +. 1 2 + 2 = 1 2 + 4 2 = 5 2 9) Calcule efetuando todas operações (não usar propriedades): a) =23 = 8 b) =√512 3 = 8 c) =14 = 1 d) √1 4 = 1 e) =32 =9 f) = √81 = 9 O objetivo aqui é concluir que potências e raízes se cancelam. Prof. Otávio Luciano Camargo Sales de Magalhães RADICIAÇÃO RD.7.01.B 10) Calcule: a) =0 b) =-2/3 11) Resolva no caderno: a) Resposta: 24 5.7 − 11 = 35 − 11 = 24 b) Resposta:7/5 2 5 + 3 1 3 = 2 5 + 1 = 7 5 c) Resposta: -4 √25 − 9. √7 − 8 3 √16. √−1 3 = 4. (−1) = −4 d) Resposta: 23/30 2 3 − (−0,1) = 2 3 + 1 10 = 20 30 + 3 30 = 23 30 12) Calcule: a) =20 b) =20 c) =-20 d) =N/E e) =10 f) =-30 g) =100 h) =0,2 13) Se a=e b=1-22 , ache o valor de a=20 b=1-4=-3 20 10 − (−3)−2 = 2 − 1 9 = 18 9 − 1 9 = 17 9 Resposta: 17/9 14) Ache a metade da √400 = 20 A metade é 10 x    1 3 1 3 1 3 1 3 1 3 3 2 1 3 1 3 3 1 2 , ,y = z = 36 5 32
  • 164.
    OTÁVIO LUCIANO CAMARGOSALES DE MAGALHÃES 164 EXERCÍCIOS DO PROEB DE LOCALIZAÇÃO DE INFORMAÇÕES Questão 1 Questão 2 Questao 3 Questão 4 Questão 5
  • 165.
    OTÁVIO LUCIANO CAMARGOSALES DE MAGALHÃES 165
  • 166.
    OTÁVIO LUCIANO CAMARGOSALES DE MAGALHÃES 166 MÉDIA 1) As idades dos jogadores titulares de uma equipe de basquete são 25 anos, 27 anos, 22 anos, 30 anos e 31 anos. Qual é a idade média dos jogadores titulares dessa equipe? 2) Qual é a média aritmética dos números – 25, -22, -13, 15 e 30? 𝑀𝐴 = −25 − 22 − 13 + 15 + 30 5 = −60 + 45 5 = − 15 5 = −3 3) Qual é a média aritmética dos números 12, -10, -8, -12 e 7? 4) A diretoria de um clube é formada por 10 membros. As idades deles estão indicadas em anos a seguir: 27, 30, 30, 32, 30, 32, 30, 27, 30 e 32. Qual é a idade média dos membros da diretoria. 5) Uma livraria vende a seguinte quantidade de livros de literatura durante uma certa semana: 2ª feira 3ª feira 4ª feira 5ª feira 6ª feira sábado 13 23 22 27 22 25 Qual é a média diárias de vendas nessa semana? 6) Qual foi a média diária de veículos vendido numa concessionária que teve durante uma semana as seguintes vendas realizadas: -1000 0 1000 2000 3000 4000 5000 6000 janeiro fevereiro março abril maio junho
  • 167.
    OTÁVIO LUCIANO CAMARGOSALES DE MAGALHÃES 167 7) Ache o lucro médio mensal de uma empresa que apresentou durante o semestre os seguintes resultados (valores em reais): 8) As alturas dos jogadores de uma equipe de basquete são: 1,98 m; 2,02 m; 2,08 m; 1,92 m e 1,95 m. Qual é a média de altura dessa equipe? 9) Qual é a média aritmética dos números 2 3 , 1 6 e 3 4 ? 𝑀𝐴 = 2 3 + 1 6 + 3 4 3 = 8 12 + 2 12 + 9 12 3 = 19 12 3 = 19 36 10) Qual é a média aritmética dos números 4 5 , 1 4 , 3 2 ? 11) Qual é a média aritmética dos números 1, 2 3 , 1 4 , 1 6 ? 12) Qual é a média aritmética dos números 1/3, 0,5 e ¼? 13) Qual é a média aritmética dos números 1/2, 2/5 e ¾? 14) Qual é a média aritmética de 10 cm, 0,4 m e 0,25 m. Transforme tudo em centímetros: 10 cm, 40 cm e 25 cm, e ache a média! 15) Qual é a média de 2 km, 2.500 m e 3,8 km? 5136 250 4232 -372 -250 142 JA NE IRO F E V E RE IRO MA RÇ O A BRIL MA IO JUNH O
  • 168.
    OTÁVIO LUCIANO CAMARGOSALES DE MAGALHÃES 168 Média Aritmética Ponderada 16) Uma professora atribuirá pesos para as atividades, sendo: 1ª prova – peso 3 Trabalho – peso 2 2ª prova – peso 5 Resultados das notas de alguns alunos: 1ª prova Trabalho 2ª prova NOTA Maria 6 5 5 Vitória 7 6 5 Letícia 5 7 6 Ângela 10 9 8 Godofredo 3 9 6 Paulo 5 8 7 Venância 7 10 5 Amir 7 9 6 Leto 6 6 6 Nota de Maria 6.3+5.2+5.5 3+2+5 = 18+10+25 10 = 53 10 = 5,3 Nota de Vitória 7.3+6.2+5.5 3+2+5 = 21+12+25 10 = 59 10 = 5,9 17) Determine a média aritmética ponderada dos números 8, 15 e 20, com pesos 2, 2 e 1, respectivamente. MA= 8.2+15.2+20.1 2+2+1 = 16+30+20 5 = 66 5 = 13,2 18) Determine a média aritmética ponderada dos números 7, 12 e 25, com pesos 3, 2 e 5, respecitavamente. 19) Karina comprou 3 canetas por 20 reais cada uma e 2 canetas por 15 reais cada uma. Quanto ela pagou, em média, por caneta? Resposta: 18 20) Uma indústria produz um certo produto. Vendeu 3500 unidades desse produto por 30 reais cada e 8500 unidades por 24 reais cada. Qual foi o preço médio, por unidade? Resposta: R$ 22,75 21) Numa empresa com 20 funcionários, a distribuição dos salários está representada no quadro abaixo. Qual é o salário médio dos empregados dessa empresa? Número de empregados Salário (em reais) 12 800 5 1.200 3 2.000 Resposta: R$ 1.080,00 𝑀𝐴 = 12.800 + 5.1200 + 3.2000 12 + 5 + 3 = 9600 + 6000 + 6000 20 = 21600 2 = 1080
  • 169.
    OTÁVIO LUCIANO CAMARGOSALES DE MAGALHÃES 169 22) Foram pesquisadas as idades das pessoas dos alunos de um grupo e obtiveram-se os resultados organizados na tabela a seguir: Idades (anos) Número de alunos 13 4 14 11 15 7 16 3 Encontre a média das idades dos alunos da classe. Resposta: 14,36 anos 23) Num torneio de basquete, uma equipe marcou 104 pontos, 96 pontos, 117 pontos e 103 pontos nas 4 partidas que disputou na 1ª fase. Qual a média de pontos que essa equipe marcou nessa fase do torneio? Resposta: 105 pontos 24) Um colégio tem 8 professores e suas idades são 26 anos, 28 anos, 34 anos, 40 anos, 28 anos, 30 anos, 38 anos e 32 anos. Qual a idade média dos professores desse colégio? Resposta: 32 anos 25) Preparamos um refresco com 8 copos de água mineral e 2 copos de groselha. Se o copo de água mineral custa 8 centavos de real e o copo de groselha custa 13 centavos de real, qual é o custo de cada copo de refresco? Resposta: 9 centavos 26) Numa classe de 35 alunos há 22 homens e 13 mulheres. Numa prova de Matemática, a nota média dos homens foi 4,8 e a nota média das mulheres foi 4,0. Qual foi aproximadamente, a nota média da classe? R: 4,5 27) Determine a média aritmética ponderada dos números 9, 15, 26 e 30, com pesos 1, 2, 3 e 4, respectivamente. 28) Uma clínica odontológica possui 5 dentistas. As idades deles são 27, 29, 30, 38 e 46. Qual a idade média dessa equipe?
  • 170.
    OTÁVIO LUCIANO CAMARGOSALES DE MAGALHÃES 170 30) Ache a media da idade da seguinte classe: 𝑀𝐴 = 10.2 + 11.4 + 12.6 + 13.4 + 14.4 2 + 4 + 6 + 4 + 4 = 20 + 44 + 72 + 52 + 56 20 = 244 20 = 12,2 31) (ENEM – adaptado) Um sistema de radar é programado para registrar automaticamente a velocidade de todos os veículos trafegando por uma avendida, onde passam em média 300 veículos por hora, sendo 55 km/h a velocidade máxima permitida. Um levantamento estatístico dos registros do radar permitiu a elaboração da distribuição percentual de veículos de acordo com sua velocidade aproximada. Calcule a velocidade média aproximada. Resposta: 44 km/h 32) Ache a média dos seguintes números 11 14 14 12 12 11 14 14 11 14 14 13 11 12 12 11 14 14 11 13 12 13 12 11 13 11 11 11 13 11 12 12 12 14 11 13 13 13 13 15 11 – são 12, 12 – são 9, 13 – são 9, 14 – são 9, 15 – é 1 𝑀𝐴 = 11.12 + 12.9 + 13.9 + 14.9 + 15.1 12 + 9 + 9 + 9 + 1 = 132 + 108 + 117 + 126 + 15 40 = 498 40 = 12,45 Resposta: Idade média de 12,45 anos 0 1 2 3 4 5 6 7 10 anos 11 anos 12 anos 13 anos 14 anos 0 5 15 30 40 6 3 1 0 0 0 5 10 15 20 25 30 35 40 45 1 2 3 4 5 6 7 8 9 10
  • 171.
    OTÁVIO LUCIANO CAMARGOSALES DE MAGALHÃES 171 33) Ache a média dos números 15 15 13 13 12 15 13 13 12 13 14 13 15 13 13 12 15 14 15 14 14 14 15 15 15 15 15 14 15 13 13 13 14 15 14 14 15 14 12 15 Resposta: 13,9 34) Ache a média dos seguintes números 3 3 2 1 0 2 2 2 4 2 2 3 3 1 0 2 3 3 3 3 2 1 3 1 3 3 3 0 0 2 2 2 3 1 3 1 1 1 2 3 0 2 3 3 3 2 3 3 2 3 0 1 2 3 0 2 3 0 2 2 Resposta: 2 35) Construa um gráfico de barras correspondente aos números e depois calcule a média destes. 4 3 2 1 0 2 4 2 4 2 4 4 4 1 0 4 4 4 4 1 2 1 4 1 3 3 3 4 1 1 3 2 3 1 4 4 3 4 3 3 1 2 3 3 3 1 3 3 4 3 0 1 4 4 0 2 3 0 4 2 Prof. Otávio Luciano Camargo Sales de Magalhães ESTUDO DAS MÉDIAS EM.7.01.A 1) As idades dos jogadores titulares de uma equipe de basquete são 25 anos, 27 anos, 22 anos, 30 anos e 31 anos. Qual é a idade média dos jogadores titulares dessa equipe? 𝑀𝐴 = 25 + 27 + 22 + 30 + 31 5 = 135 5 = 27 Resposta: A média das idades é de 27 anos. 3) Qual é a média aritmética dos números 12, -10, -8, -12 e 7? 𝑀𝐴 = 12 − 10 − 8 − 12 + 7 5 = − 11 5 𝑜𝑢 − 2,2 4) A diretoria de um clube é formada por 10 membros. As idades deles estão indicadas em anos a seguir: 27, 30, 30, 32, 30, 32, 30, 27, 30 e 32. Qual é a idade média dos membros da diretoria. 𝑀𝐴 = 27 + 30 + 30 + 32 + 30 + 32 + 30 + 27 + 30 + 32 10 = 300 10 = 30 Resposta: A idade média é de 30 anos. 5) Uma livraria vende a seguinte quantidade de livros de literatura durante uma certa semana: 2ª feir a 3ª feir a 4ª feir a 5ª feir a 6ª feir a sábad o 13 23 22 27 22 25 Qual é a média de livros vendidos durante a semana (2ª até sábado). 𝑀𝐴 = 13 + 23 + 22 + 27 + 22 + 25 6 = 132 6 = 22 Resposta: A média é de 22 livros Prof. Otávio Luciano Camargo Sales de Magalhães ESTUDO DAS MÉDIAS EM.7.01.B 7) Ache o lucro médio mensal de uma empresa que apresentou durante o semestre os seguintes resultados (valores em reais):
  • 172.
    OTÁVIO LUCIANO CAMARGOSALES DE MAGALHÃES 172 𝑀𝐴 = 5136 + 250 + 4232 − 372 − 250 + 142 6 = 9138 6 = 1523 8) As alturas dos jogadores de uma equipe de basquete são: 1,98 m; 2,02 m; 2,08 m; 1,92 m e 1,95 m. Qual é a média de altura dessa equipe? 𝑀𝐴 = 1,98 + 2,02 + 2,08 + 1,92 + 1,95 5 = 9,95 5 = 1,99 R: a média de altura é 1,99 m 10) Qual é a média aritmética dos números 4 5 , 1 4 , 3 2 ? 𝑀𝐴 = 4 5 + 1 4 + 3 2 3 = 16 + 5 + 30 20 3 = 51 20 3 = 51 20 . 1 3 = 17 20 Resposta: 17/20 11) Qual é a média aritmética dos números 1, 2 3 , 1 4 , 1 6 ? 𝑀𝐴 = 1 + 2 3 + 1 4 + 1 6 4 = 24 + 16 + 6 + 4 24 4 = 50 24 4 = 50 24 . 1 4 = 50 96 = 25 48 Resposta 25/48 12) Qual é a média aritmética dos números 1/3, 0,5 e ¼? 𝑀𝐴 = 1 3 + 0,5 + 1 4 3 = 1 3 + 1 2 + 1 4 3 = 4 + 6 + 3 12 3 = 13 12 3 = 13 12 . 1 3 = 13 39 Lembre-se que 0,5=1/2 (meio), você pode calcular isso simplificando 5/10, mas, vale a pena decorar que 0,5=1/2 Resposta 13/39 13) Qual é a média aritmética dos números 1/2, 2/5 e ¾? 𝑀𝐴 = 1 2 + 2 5 + 3 4 3 = 10 + 8 + 15 20 3 = 33 20 . 1 3 = 11 20 Resposta 11/20 Resolução alternativa: 𝑀𝐴 = 0,5 + 0,4 + 0,75 3 = 1,65 3 = 0,55 = 55 100 = 11 20 14) Qual é a média aritmética de 10 cm, 0,4 m e 0,25 m. Transforme tudo em centímetros: 10 cm, 40 cm e 25 cm, e ache a média! 𝑀𝐴 = 10𝑐𝑚 + 40𝑐𝑚 + 25𝑐𝑚 3 = 55𝑐𝑚 3 = 18,3333 … . 𝑐𝑚 15) Qual é a média de 2 km, 2.500 m e 3,8 km? 2km = 2.000 m 3,8 km = 3.800 m 𝑀𝐴 = 2000𝑚 + 2500𝑚 + 3800𝑚 3 = 8300𝑚 3 = 27,666 … 𝑚 Prof. Otávio Luciano Camargo Sales de Magalhães ESTUDO DAS MÉDIAS EM.7.01.C Média Aritmética Ponderada 16) Uma professora atribuirá pesos para as atividades, sendo: 1ª prova – peso 3 Trabalho – peso 2 2ª prova – peso 5 Resultados das notas de alguns alunos: 1ª prov a Trabalh o 2ª prov a NOT A Maria 6 5 5 5,3 Vitória 7 6 5 5,8 Letícia 5 7 6 5,9 Ângela 10 9 8 8,8 Godofred o 3 9 6 5,7 Paulo 5 8 7 6,6 Venância 7 10 5 6,6 Amir 7 9 6 6,9 Leto 6 6 6 6,0 18) Determine a média aritmética ponderada dos números 7, 12 e 25, com pesos 3, 2 e 5, respectivamente. 𝑀𝐴 = 7.3 + 12.2 + 25.5 3 + 2 + 5 = 21 + 24 + 75 10 = 12 19) Karina comprou 3 canetas por 20 reais cada uma e 2 canetas por 15 reais cada uma. Quanto ela pagou, em média, por caneta? Resposta: 18 𝑀𝐴 = 3.20 + 2.15 3 + 2 = 90 5 = 18 20) Uma indústria produz um certo produto. Vendeu 3500 unidades desse produto por 30 reais cada e 8500 unidades por 24 reais cada. Qual foi o preço médio, por unidade? Resposta: R$ 22,75 𝑀𝐴 = 3500.30 + 8500.24 3500 + 8500 = 22,75 Prof. Otávio Luciano Camargo Sales de Magalhães ESTUDO DAS MÉDIAS EM.7.01.D 22) Foram pesquisadas as idades das pessoas dos alunos de um grupo e obtiveram-se os resultados organizados na tabela a seguir: Idades (anos) Número de alunos 13 4 14 11 15 7 16 3 Encontre a média das idades dos alunos da classe. Resposta: 14,36 anos 𝑀𝐴 = 13.4 + 14,11 + 15.7 + 16.3 4 + 11 + 7 + 3 = 14,36 23) Num torneio de basquete, uma equipe marcou 104 pontos, 96 pontos, 117 pontos e 103 pontos nas 4 partidas que disputou na 1ª fase. Qual a média de pontos que essa equipe marcou nessa fase do torneio? Resposta: 105 pontos 𝑀𝐴 = 104 + 96 + 117 + 103 4 = 105 24) Um colégio tem 8 professores e suas idades são 26 anos, 28 anos, 34 anos, 40 anos, 28 anos, 30 anos, 38 anos e 32 anos. Qual a idade média dos professores desse colégio? Resposta: 32 anos Basta somar todos os valores e dividir por 8. 25) Preparamos um refresco com 8 copos de água mineral e 2 copos de groselha. Se o copo de água mineral custa 8 centavos de real e o copo de groselha custa 13 centavos de real, qual é o custo de cada copo de refresco? Resposta: 9 centavos 8.8 + 2.13 8 + 2 = 64 + 26 10 = 9 26) Numa classe de 35 alunos há 22 homens e 13 mulheres. Numa prova de Matemática, a nota média dos homens foi 4,8 e a nota média das mulheres foi 4,0. Qual foi aproximadamente, a nota média da classe? R: 4,5 22.4,8 + 13.4 22 + 13 = 4,502857 …. O valor deve ser arredondado a 4,5 Prof. Otávio Luciano Camargo Sales de Magalhães ESTUDO DAS MÉDIAS EM.7.01.E 27) Determine a média aritmética ponderada dos números 9, 15, 26 e 30, com pesos 1, 2, 3 e 4, respectivamente. 𝑀𝐴 = 9.1 + 15.2 + 26.3 + 30.4 1 + 2 + 3 + 4 = 23,7 28) Uma clínica odontológica possui 5 dentistas. As idades deles são 27, 29, 30, 38 e 46. Qual a idade média dessa equipe? Basta somar os 5 valores e dividir por 5, encontaremos a idade média de 34. Prof. Otávio Luciano Camargo Sales de Magalhães ESTUDO DAS MÉDIAS EM.7.01.F 33) Ache a média dos números 1 5 1 5 1 3 1 3 1 2 1 5 1 3 1 3 1 2 1 3 1 4 1 3 1 5 1 3 1 3 1 2 1 5 1 4 1 5 1 4 1 4 1 4 1 5 1 5 1 5 1 5 1 5 1 4 1 5 1 3 1 3 1 3 1 4 1 5 1 4 1 4 1 5 1 4 1 2 1 5 Resposta: 13,9 São 40 valores, sendo 11 – são 4, 12 – são 11, 13 – são 10, 15 – são 15. 𝑀𝐴 = 11.4 + 12.11 + 13.10 + 15.15 40 = 13,9 34) Ache a média dos seguintes números 3 3 2 1 0 2 2 2 4 2 2 3 3 1 0 2 3 3 3 3 2 1 3 1 3 3 3 0 0 2 2 2 3 1 3 1 1 1 2 3 0 2 3 3 3 2 3 3 2 3 0 1 2 3 0 2 3 0 2 2 Resposta: 2 São 60 valores, sendo 8 número 0, 9 número 1, 19 número 2, 23 número 3 e 1 número 4. 𝑀𝐴 = 9.1 + 19,2 + 23.3 + 1.4 60 = 2 Note que não faz sentido incluir 8.0=0. 35) Construa um gráfico de barras correspondente aos números e depois calcule a média destes. 4 3 2 1 0 2 4 2 4 2 4 4 4 1 0 4 4 4 4 1 2 1 4 1 3 3 3 4 1 1 3 2 3 1 4 4 3 4 3 3 1 2 3 3 3 1 3 3 4 3 0 1 4 4 0 2 3 0 4 2 𝑀𝐴 = 1.11 + 2.9 + 3.16 + 4.19 60 = 2,55 PROBABILIDADE E CONTAGEM 1) Ao arremessar uma moeda honesta, qual é a probabilidade de encontrarmos: a) cara b) coroa 2) Um dado não-viciado é arremessado. Qual é a probabilidade de sair: a) o número 5? b) um número par? c) um número ímpar? d) um número maior que 4? e) um número menor que 4? f) um número primo? 3) Qual é o espaço amostral? a) do arremesso de uma moeda
  • 173.
    OTÁVIO LUCIANO CAMARGOSALES DE MAGALHÃES 173 b) do arremesso de um dado. c) do arremesso de duas moedas. d) do arremesso de dois dados. 4) Arremessando dois dados não-viciados e somando-se suas faces, qual é a probabilidade de encontrarmos: a) 1 b) 2 c) 3 d) 4 e)_ 5 f) 6 g) 7 h) 8 i) 9 j) 10 k) 11 l) 12 5) Arremessando duas moedas, qual é a probabilidade de: a) sair cara no primeiro lançamento. b) sair duas faces iguais 6) a) Em uma urna há 4 bolas, numeradas de 1 a 4. Qual é a probabilidade de sair um número par? b) Em uma urna há 100 bolas, numeradas de 1 a 100. Qual é a probabilidade de sair um número quadrado perfeito? c) Em uma urna há 25 bolas, numeradas de 1 a 25. Qual é a probabilidade de sair um número primo? d) Em uma urna há 50 bolas, numeradas de 1 a 50. Qual é a probabilidade de sair um número maior que 18? e) Em uma urna há 30 bolas, numeradas de 1 a 30. Qual é a probabilidade de sair um número múltiplo de 7? f) Em uma urna há 30 bolas, numeradas de 1 a 30. Qual é a probabilidade de sair um número múltiplo de 7 e 5 ao mesmo tempo? 7) Em um baralho comum sem o coringa, diga qual é a probabilidade de escolhermos uma carta: a) de naipe de copas. b) de naipe de ouro. c) de naipe de espadas. d) de naipe de paus. e) de número 7. f) de número 9. g) cuja face é K. h) cuja face é Q. i) cujo naipe é preto. j) cujo naipe é vermelho. k) um Ás de copas l) um 7 de ouros m) um valete vermelho. n) um 10 preto. o) uma carta de 4 ou de J p) uma carta que não seja J, K ou Q.
  • 174.
    OTÁVIO LUCIANO CAMARGOSALES DE MAGALHÃES 174 8) a) Qual é a probabilidade de um número de dois algarismos seja múltiplo de 15? b) Qual é a possibilidade de um número de três algarismos formado apenas com 3, 5 e 4 sem repetição seja par? 9) Escreva a árvore das probabilidades: a) do arremesso de três moedas. d) dos números de três algarismos que podem ser escritos com os algarismos 2, 5 e 4 com ou sem repetição. e) dos números de três algarismos que podem ser escritos com os algarismos 2, 5 e 4 sem repetição. f) Dos códigos de 3 caracteres formados com as letras A, B e C. g) Dos códigos de 3 caracteres formados com as letras A, B, C, D, E iniciados por vogal.
  • 175.
    OTÁVIO LUCIANO CAMARGOSALES DE MAGALHÃES 175 h) Dos números de 4 algarismos pares iniciados por 4, 6 ou 2 e sem repetição. 1) Qual é a probabilidade de se obter um resultado maior que 4 ao se lançar um dado honesto? 2) Ao lançar um dado duas vezes, qual é a probabilidade de se obter soma 5? 3) Em uma urna há 5 bolas vermelhas e 4 pretas, todas de mesmo tamanho e feitas do mesmo material. Retiramos duas bolas sucessivamente da urna, sem repô-las. Qual é a probabilidade de que sejam retiradas duas bolas vermelhas? 4) Pedro e João combinaram de lançar uma moeda 4 vezes. Pedro apostou que, nesses 4 lançamentos, não apareceriam 2 caras seguidas; João aceitou a aposta. Quem tem maior chance de ganhar a aposta? 5) Uma moeda é lançada 3 vezes. Qual é a probabilidade de que saiam 2 caras? 6) Um casal decidiu que vai ter 4 filhos. O que é mais provável: que tenham dois casais ou três filhos de um sexo e um de outro? 7) Duas peças de um dominó comum são sorteadas. Qual é a probabilidade de que tenham um número em comum? 8) Laura e Telma retiram um bilhete cada de uma urna em que há 100 bilhetes numerados de 1 a 100. Qual é a probabilidade de que o número retirado por Laura seja maior do que o de Telma? E se elas, depois de consultarem o número, devolvem o bilhete à urna?
  • 176.
    OTÁVIO LUCIANO CAMARGOSALES DE MAGALHÃES 176 9) Ana, Joana e Carolina apostam em um jogo de cara-e-coroa. Ana vence na primeira vez que saírem duas caras seguidas; Joana vence na primeira vez que saírem duas coroas seguidas; Carolina vence quando sair uma cara seguida de uma coroa. Qual é a probabilidade que cada uma tem de vencer? 10) O trecho a seguir foi obtido em um site de internet que se propõe a aumentar as chances de vitória no jogo da Sena (que consiste em sortear 6 dentre 60 dezenas). “Quando afirmamos, por exemplo, que as dezenas atrasadas são importantes, é porque já observamos, em nossos estudos, que todas as dezenas são sorteadas a cada quarenta testes, portanto, seria útil você acompanhar e apostar em dezenas atrasadas; você estaria assim aumentando muito suas chances.” Você concorda que apostar em uma dezena atrasada aumenta as chances de vitória na Sena? 11) Suponhamos que você tenha duas escolhas para apostar na Sena. Na primeira escolha aposta nas dezenas 1 - 3 - 5 7 - 9 - 11, e na segunda escolha nas dezenas 8 - 17 - 31 - 45 - 49 - 55. Qual você acha que tem maiores chances de ser vitoriosa? 12) (O Problema do Bode) Este problema foi proposto em um programa de rádio nos Estados Unidos e causou um enorme debate na internet. Em um programa de prêmios, o candidato tem diante de si três portas. Atrás de uma dessas portas, há um grande prêmio; atrás das demais há um bode. O candidato escolhe inicialmente uma das portas. O apresentador (que sabe qual é a porta que contém o prêmio) abre uma das portas não indicadas pelo candidato, mostrando necessariamente um bode. A seguir, ele pergunta se o candidato mantém sua escolha ou deseja trocar de porta. O candidato deve trocar ou não? (Uma forma de você guiar sua intuição consiste em simular o problema.) Problemas de Contagem 1) (Olimpíada Cearense de Matemática da Escola Pública – Numeratizar – 1ª série do Ensino Médio – 1ª fase/2003) A formiguinha vai caminhar de A até C passando por B. Ela só anda pelas estradas que já construiu: O número de caminhos diferentes que ela pode escolher é: a) 4 b) 5 c) 7 d) 8 e) 9 2) (EMEF Ricardo Caramuru de Castro Monteiro – CAIC Vale do Sol – Araraquara-SP – 8ª série – 2003) No Brasil, as placas de carro são compostas por 3 letras do alfabeto latino (total:26 letras) e 4 algarismos hindo-arábicos (total:10 algarismos). Qual é o número máximo de placas de carro que podem ser feitas no Brasil? a) 17576000 b) 175760000 c) 6760000 d) 115316136
  • 177.
    OTÁVIO LUCIANO CAMARGOSALES DE MAGALHÃES 177 3) (EMEB Arthur Natalino Deriggi – São Carlos-SP – 5ª série – 2003) Margareth tem 12 blusas e 11 saias. Quantas combinações de saia e blusa Margareth pode usar? a) 23 b) 12 c) 144 d) 132 e) 121 4) (EM Isaura Vilela Brasileiro – Botelhos – MG – 2000) Com seis tipos de cartões magnéticos e oito senhas diferentes, as opções de escolha de um cartão e uma senha são: a) 36 b) 42 c) 48 d) 52 e) 64 5) (EM Isaura Vilela Brasileiro – Botelhos – MG – 2000)Num microcomputador, para abrir certo arquivo, o usuário deve digitar 4 sinais ( que são / # | ^) numa certa ordem, sem repeti-los. Se ele não conhece a ordem e procura acertar a senha por tentativas, qual é o número máximo de tentativas que fará? a) 24 b) 30 c) 36 d) 40 e) 120 6) (XXIII Olimpíada Brasileira de Matemática – Nível 1, 2 e 3 – 1a fase – 2001) Na figura abaixo, temos 4 circunferências e alguns pontos destacados no interior dessas circunferências. Escolhendo exatamente um desses pontos dentro de cada uma das circunferências, e unindo-os por segmentos de reta que não se cruzam, formamos um quadrilátero. Quantos quadriláteros diferentes seremos capazes de desenhar nessas condições? A) 4 B) 14 C) 60 D) 120 E) 24 7) Uma bandeira tem quatro listas. De quantas maneiras eu posso pintá-las utilizando-se de 3 cores diferentes, de tal forma que não pintemos duas faixas consecutivas da mesma cor. 8) Numa festa 5 pessoas se cumprimentam. Quantos são os cumprimentos possíveis? 1) Escreva todas as palavras de duas sílabas diferentes que podem ser formadas combinando as sílabas ca, ma, to, da. Mas atenção para a regra: só valem palavras que existem na língua portuguesa. 2) O gato quer chegar até a borboleta. Ele só anda sobre as linhas pretas e só para a direita ou para cima. Desenhe 5 caminhos para o gato chegar até a borboleta. Depois, descubra: quantos são os caminhos.
  • 178.
    OTÁVIO LUCIANO CAMARGOSALES DE MAGALHÃES 178 3) Daniela adora artigos de papelaria. Nesta papelaria, um jogo de canetinhas custa R$ 12,50; uma agenda custa R$ 4,50; uma pasta com esquadros custa R$ 8,00; um estojinho do Mickey custa R$ 11,00 e uma caixinhas de clipes coloridos custa R$ 3,50. Ela quer compara um artigo de cada tipo, mas tem apenas R$ 20,00. Escreva todas as possibilidades de compra que Daniela tem e quanto ela gastaria em cada caso. 4) Num grupo das eliminatórias da Copa do Mundo de Futebol, estão as seleções: Bolívia, Brasil, Colômbia, Paraguai e Peru. Todas as equipes vão se enfrentar, mas apenas uma vez. a) Escreva a lista das partidas que vão ocorrer. b) Quantas serão as partidas? 5) Veja todas as adições de dois números naturais que têm soma 3: 0+3 1+2 2+1 3+0 a) Escreva todas as adições de dois números naturais com soma 5. b) Escreva todas as que têm soma 8. c) Sem escrever todas, descubra quantas são as adições de dois números naturais com soma 100. 6) Pense agora nas subtrações de dois números naturais que têm diferença 3. Quantas subtrações assim você acha que existem? 7) Vamos fazer bandeirinhas de 3 faixas, usando em cada bandeira sempre as mesmas 3 cores. Existem 6 bandeiras diferentes nessas condições. Desenhe todas elas. 8) Imagine que você tenha 3 cartões (um com o número 1, outro com o 2 e outro com o 3). Usando sempre os 3, represente todos os números de 3 algarismos que puder. Quantos são esses números? 9) Os exercícios 7 e 8 têm alguma coisa de parecido. Tente descobrir e explicar o que é. 10) Pense nos números naturais de 3 algarismos formados com 1, 2 ou 3. a) Escreva todos esses números. b) Quantos são eles?
  • 179.
    OTÁVIO LUCIANO CAMARGOSALES DE MAGALHÃES 179 11) Vai correr o bingo milionário! Os prêmios valem 100 mil, 100 mil, 50 mil, 50 mil, 10 mil, 10 mil, 10 mil e 5 mil. Um concorrente vai sortear 3 prêmios. Cada prêmio é sorteado uma só vez. a) Esse concorrente pode ganhar 70 mil? E 80 mil? b) Ele pode ganhar, no máximo, quanto? E quanto ele pode ganhar, no mínimo? 12) As placas de automóveis de certo pais são construídas com apenas uma letra e dois algarismos. A letra é sempre uma das 5 vogais. O primeiro algarismo é 1 ou 2; e o segundo também. a) Mostre todas as placas possíveis que comecem com A. b) Considerando todas as 5 vogais, qual é o total de placas possíveis? Gabaritos para Experimentos Aleatórios 1 2 3 4 5 6 7 8 9 10 11 12 13 14 15 16 17 18 19 20 Prof. Otávio Luciano Camargo Sales de Magalhães PROBABILIDADE E CONTAGEM PE.7.01.A 1) Ao arremessar uma moeda honesta, qual é a probabilidade de encontrarmos: a) cara Probabilidade ½ ou 50% b) coroa Probabilidade ½ ou 50% 2) Um dado não-viciado é arremessado. Qual é a probabilidade de sair: a) o número 5? Casos favoráveis: o 5 (1 caso) Casos possíveis: 6 Probabilidade: 1/6 b) um número par? Casos favoráveis: 2, 4 e 6 (3 casos) Casos possíveis: 6 Probabilidade: 3/6=1/2 (ou 50%) c) um número ímpar? Casos favoráveis: 1, 3 e 5 (3 casos) Casos possíveis: 6 Probabilidade: 3/6=1/2 (ou 50%) d) um número maior que 4? Casos favoráveis: 5 e 6 (2 casos) Casos possíveis: 6 Probabilidade: 2/6=1/3 (ou 33,33%) e) um número menor que 4? Casos favoráveis: 1, 2, 3 (3 casos) Casos possíveis: 6 Probabilidade: 3/6=1/2 (ou 50%) f) um número primo? Casos favoráveis: 2, 3 e 5 (3 casos) Casos possíveis: 6 Probabilidade: 3/6=1/2 (ou 50%) NÚMERO PRIMO é aquele que divide apenas por um e por ele mesmo, isto é, 2, 3, 5, 7, 11, 13, 17, 23, 29, 31, 37, 41, 43, 47, 53, etc... Quando a probabilidade é 0%=0 o evento é chamado de EVENTO IMPOSSÍVEL Quando a probabilidade é 100%=1 o evento é chamado de EVENTO CERTO 3) Qual é o espaço amostral? a) do arremesso de uma moeda {K, C} b) do arremesso de um dado.
  • 180.
    OTÁVIO LUCIANO CAMARGOSALES DE MAGALHÃES 180 {1, 2, 3, 4, 5, 6} c) do arremesso de duas moedas. {(K, K), (K,C), (C, K), (C,C)} d) do arremesso de dois dados. { (1,1), (1,2), (1,3), (1,4), (1,5), (1,6), (2,1), (2,2), (2,3), (2,4), (2,5), (2,6), (3,1), (3,2), (3,3), (3,4), (3,5), (3,6), (4,1), (4,2), (4,3), (4,4), (4,5), (4,6), (5,1), (5,2), (5,3), (5,4), (5,5), (5,6), (6,1), (6,2), (6,3), (6,4), (6,5), (6,6)} 3) Arremessando dois dados não-viciados e somando-se suas faces, qual é a probabilidade de encontrarmos: DIAGRAMA 1 – impossível 2 – (1,1) → 1/36 3 – (1,2), (2,3) → 2/36 = 1/18 4 – (1,3), (2,2), (3,1) → 3/36=1/12 5 – (1,4), (2,3), (3,2), (4,1) → 4/36=1/9 6 – (1,5), (2,4), (3,3), (4,2), (5,1) → 5/36 7 -(1,6), (2,5), (3,4), (4,3), (5,2), (6,1)→6/36 8 - (2,6), (3,5), (4,4), (5,3), (6,2) → 5/36 9 – (3,6), (4,5), (5,4), (6,3) → 4/36=1/9 10 – (4,6), (5,5), (6,4) → 3/36=1/12 11 – (5,6), (6,5) → 2/36=1/18 12 – (6,6) → 1/36 a) 1 → 0 b) 2 → 1/36 c) 3 →1/18 d) 4 → 1/12 e) 5 → 1/9 f) 6 → 5/36 g) 7 → 1/6 h) 8 → 5/36 i) 9 → 1/9 j) 10 → 1/12 k) 11 → 1/18 l) 12 → 1/36 5) Arremessando duas moedas, qual é a probabilidade de: Espaço amostral: KK, KC, CK, CC a) sair cara no primeiro lançamento. Raciocínio comum: 2/4 = 1/2 Raciocínio alternativo: ora, no primeiro lançamento pode sair cara ou coroa, então 1/2 b) sair duas faces iguais KK ou CC, portanto 2/4=1/2 6) a) Em uma urna há 4 bolas, numeradas de 1 a 4. Qual é a probabilidade de sair um número par? Casos favoráveis: 2 e 4 (2 casos) Casos possíveis: 4 Probabilidade: 2/4=1/2=50% b) Em uma urna há 100 bolas, numeradas de 1 a 100. Qual é a probabilidade de sair um número quadrado perfeito? Casos favoráveis: 1, 4, 9, 16, 25, 36, 49, 64, 81, 100 (10 casos) Casos possíveis: 100 Probabilidade: 10/100=1/10 ou 10% c) Em uma urna há 25 bolas, numeradas de 1 a 25. Qual é a probabilidade de sair um número primo? Casos favoráveis: 2, 3, 5, 7, 11, 13, 17, 23 (8 casos) Casos possíveis: 25 Probabilidade: 8/25 ou 32% Para achar a probabilidade pensamos assim 8------25 x-------100 Como 100=4 x 25, basta multiplicar 8 por 4, ou seja, temos 32. d) Em uma urna há 50 bolas, numeradas de 1 a 50. Qual é a probabilidade de sair um número maior que 18? Casos favoráveis: 19 a 50 (ou seja 50- 18=32) Casos possíveis: 50 Probabilidade 32/50 = 16/25 ou 64% e) Em uma urna há 30 bolas, numeradas de 1 a 30. Qual é a probabilidade de sair um número múltiplo de 7? Casos favoráveis: 7, 14, 21 e 28 (4 casos) Casos possíveis: 30 Probabilidade: 4/30=2/15 f) Em uma urna há 30 bolas, numeradas de 1 a 30. Qual é a probabilidade de sair um número múltiplo de 7 e 5 ao mesmo tempo? Casos favoráveis: nenhum. Não há número múltiplo de 7 e 5 ao mesmo tempo entre 1 e 30. Casos possíveis: 30 Probabilidade: 0/30 = 0% evento impossível Prof. Otávio Luciano Camargo Sales de Magalhães PROBABILIDADE E CONTAGEM PE.7.01.B 7) Em um baralho comum sem o coringa, diga qual é a probabilidade de escolhermos uma carta: São 13 cartas de cada um dos 4 naipes, ou seja, 52 cartas a) de naipe de copas. 13/52 ou 1/4 ou 25% b) de naipe de ouro. 13/52 ou 1/4 ou 25% c) de naipe de espadas. 13/52 ou 1/4 ou 25% d) de naipe de paus. 13/52 ou 1/4 ou 25% e) de número 7. 4/52 ou 1/13 f) de número 9. 4/52 ou 1/13 g) cuja face é K. 4/52 ou 1/13 h) cuja face é Q. 4/52 ou 1/13 i) cujo naipe é preto. 26/52 ou ½ ou 50% j) cujo naipe é vermelho. 26/52 ou ½ ou 50% k) um Ás de copas 1/52 l) um 7 de ouros 1/52 m) um valete vermelho. 2/52=1/26 n) um 10 preto. 2/52=1/26 o) uma carta de 4 ou de J 8/52=4/26=2/13 p) uma carta que não seja J, K ou Q. Sobram 10 cartas por naipe 40/52=10/13 8) a) Qual é a probabilidade de um número de dois algarismos seja múltiplo de 15? Casos favoráveis: 15, 30, 45, 60, 75 e 90 (ou seja, 6 casos). Casos possíveis: 10 ao 99, sendo 90 casos Probabilidade: 6/90=1/15 b) Qual é a possibilidade de um número de três algarismos formado apenas com 3, 5 e 4 sem repetição seja par? Casos favoráveis: 354 e 534 (2 casos) Caso possíveis: 354, 345, 534, 543, 435, 453 (6 casos) Probabilidade: 2/6=1/3 9) Escreva a árvore das probabilidades a) do arremesso de três moedas. d) dos números de três algarismos que podem ser escritos com os algarismos 2, 5 e 4 com ou sem repetição. e) dos números de três algarismos que podem ser escritos com os algarismos 2, 5 e 4 sem repetição. f) Dos códigos de 3 caracteres formados com as letras A, B e C. g) Dos códigos de 3 caracteres formados com as letras A, B, C, D, E iniciados por vogal. h) Dos números de 4 algarismos pares iniciados por 4, 6 ou 2 e sem repetição. Prof. Otávio Luciano Camargo Sales de Magalhães PROBABILIDADE E CONTAGEM PE.7.01.C 1) Qual é a probabilidade de se obter um resultado maior que 4 ao se lançar um dado honesto? 2/6 = 1/3 2) Ao lançar um dado duas vezes, qual é a probabilidade de se obter soma 5? As possibilidades são (1,4), (2,3), (3,2) ou (4,1). Ou seja, são 4 possibilidades num universo de 36. 4/36 = 1/9 3) Em uma urna há 5 bolas vermelhas e 4 pretas, todas de mesmo tamanho e feitas do mesmo material. Retiramos duas bolas sucessivamente da urna, sem repô-las. Qual é a probabilidade de que sejam retiradas duas bolas vermelhas? Usando o PRINCÍPIO FUNDAMENTAL DA CONTAGEM Casos Possíveis: 1ª retirada: 9 possibilidades 2ª retirada: 8 possibilidades Pelo PFC: 9 x 8 =72 Casos Favoráveis: 1ª retirada: 5 possibilidades, pois são 5 bolas vermelhas 2ª retirada: 4 possibilidades, pois não há reposição Pelo PFC: 5 x 4 = 20 20 / 72 = 10 / 36 = 5/18 4) Pedro e João combinaram de lançar uma moeda 4 vezes. Pedro apostou que, nesses 4 lançamentos, não apareceriam 2 caras seguidas; João aceitou a aposta. Quem tem maior chance de ganhar a aposta? Fazendo todas as 16 possibilidades (pode usar um diagrama de árvore), verificamos que em 8 dessas possibilidades aparecem 2 caras seguidas (faça o diagrama). Ou seja, há 8/16 = ½ de probabilidade de sair duas caras seguidas e 8/16 = ½ de probabilidade de NÃO sair duas caras seguidas. Os dois tem as mesmas chances! 5) Uma moeda é lançada 3 vezes. Qual é a probabilidade de que saiam 2 caras? Observe o diagrama 9A, e verifique que há 4 possibilidades de 8 para sair 2 caras, ou seja 4/8 = ½ ou 50%. Resposta: 50% 6) Um casal decidiu que vai ter 4 filhos. O que é mais provável: que tenham dois casais ou três filhos de um sexo e um de outro?
  • 181.
    OTÁVIO LUCIANO CAMARGOSALES DE MAGALHÃES 181 O mais provável é ter 2 filhos de cada sexo, pois, a probabilidade de nascer homem ou mulher é de 50%. 7) Duas peças de um dominó comum são sorteadas. Qual é a probabilidade de que tenham um número em comum? Um dominó é numerado de 0 a 9, ou seja, há 100 peças. As peças comuns são (0,0), (1,1), ... (9,9), ou seja, 10 peças com números duplos. 10/100 = 1/10 ou 10% 8) Laura e Telma retiram um bilhete cada de uma urna em que há 100 bilhetes numerados de 1 a 100. Qual é a probabilidade de que o número retirado por Laura seja maior do que o de Telma? E se elas, depois de consultarem o número, devolvem o bilhete à urna? Esse exercício é da programação de estudos para Olimpíadas de Matemática. Veja a resposta oficial: Em ambos os casos, Laura e Telma têm a mesma probabilidade de tirar um número maior que a outra. Se não há devolução, não pode haver empate, e a probabilidade de que Laura tenha o maior número é 50%. Se há devolução, há possibilidade de empate e a probabilidade de que isto ocorra ´e igual a 100 casos de empate dividido por 100 × 100 casos possíveis que ´e igual a 0, 01, Logo, neste caso a probabilidade de que Laura tenha um núumero maior do que o de Telma é (1 − 0,01)/2 =0, 99/2 = 0, 495. Esse exercício é muito difícil e não será solicitado na prova! Prof. Otávio Luciano Camargo Sales de Magalhães PROBABILIDADE E CONTAGEM PE.7.01.D 9) Ana, Joana e Carolina apostam em um jogo de cara-e-coroa. Ana vence na primeira vez que saírem duas caras seguidas; Joana vence na primeira vez que saírem duas coroas seguidas; Carolina vence quando sair uma cara seguida de uma coroa. Qual é a probabilidade que cada uma tem de vencer? Veja a árvore das probabilidades: A probabilidade de Ana ou Carolina vencer é 1/4+1/8=3/8. A de Joana é 1/4. (Considere o 3º galho como ¼ e o 4º galho como 1/8, você consegue entender o motivo!) Esse exercício é muito difícil e não será solicitado na prova! 10) O trecho a seguir foi obtido em um site de internet que se propõe a aumentar as chances de vitória no jogo da Sena (que consiste em sortear 6 dentre 60 dezenas). “Quando afirmamos, por exemplo, que as dezenas atrasadas são importantes, é porque já observamos, em nossos estudos, que todas as dezenas são sorteadas a cada quarenta testes, portanto, seria útil você acompanhar e apostar em dezenas atrasadas; você estaria assim aumentando muito suas chances.” Você concorda que apostar em uma dezena atrasada aumenta as chances de vitória na Sena? Resposta da OBM: Embora haja pessoas que ganhem a vida com este tipo de afirmação, ela é completamente sem sentido. As extrações são independentes, o que faz com que uma dezena estar atrasada seja completamente irrelevante para o que vai acontecer no futuro. Na verdade, se estamos em dúvidas sobre a equiprobabilidade das diversas dezenas, poderíamos concluir exatamente o contrário: se uma dezena sai menos que outras, talvez seja porque seja menos provável (por exemplo, a bolinha correspondente pode ser maior ou mais leve que as outras). Esse exercício é muito difícil e não será solicitado na prova! 11) Suponhamos que você tenha duas escolhas para apostar na Sena. Na primeira escolha aposta nas dezenas 1 - 3 - 5 7 - 9 - 11, e na segunda escolha nas dezenas 8 - 17 - 31 - 45 - 49 - 55. Qual você acha que tem maiores chances de ser vitoriosa? Resposta da OBM: Obviamente, os dois jogos têm a mesma probabilidade de serem vitoriosos (mas você acha que as pessoas, em geral, concordariam com isto? por quê?). Esse exercício é muito difícil e não será solicitado na prova! 12) (O Problema do Bode) Este problema foi proposto em um programa de rádio nos Estados Unidos e causou um enorme debate na internet. Em um programa de prêmios, o candidato tem diante de si três portas. Atrás de uma dessas portas, há um grande prêmio; atrás das demais há um bode. O candidato escolhe inicialmente uma das portas. O apresentador (que sabe qual é a porta que contém o prêmio) abre uma das portas não indicadas pelo candidato, mostrando necessariamente um bode. A seguir, ele pergunta se o candidato mantém sua escolha ou deseja trocar de porta. O candidato deve trocar ou não? (Uma forma de você guiar sua intuição consiste em simular o problema.) Resposta da OBM: O candidato deve trocar a porta. Se ele não o faz, sua chance de vitória está em ter escolhido a porta certa da primeira vez, o que ocorre com probabilidade 1/3. Trocando a porta, ele vai ganhar o prêmio exatamente nos casos em que a porta escolhida é a errada, o que tem probabilidade 2/3. Prof. Otávio Luciano Camargo Sales de Magalhães PROBABILIDADE E CONTAGEM PE.7.01.E Problemas de Contagem 1) (Olimpíada Cearense de Matemática da Escola Pública – Numeratizar – 1ª série do Ensino Médio – 1ª fase/2003) A formiguinha vai caminhar de A até C passando por B. Ela só anda pelas estradas que já construiu: O número de caminhos diferentes que ela pode escolher é: a) 4 b) 5 c) 7 d) 8 e) 9 Entre A e B: 3 caminhos Entre B e C: 3 caminhos Total de caminhos: 3 x 3 = 9 2) (EMEF Ricardo Caramuru de Castro Monteiro – CAIC Vale do Sol – Araraquara-SP – 8ª série – 2003) No Brasil, as placas de carro são compostas por 3 letras do alfabeto latino (total:26 letras) e 4 algarismos hindo-arábicos (total:10 algarismos). Qual é o número máximo de placas de carro que podem ser feitas no Brasil? a) 17576000 b) 175760000 c) 6760000 d) 115316136 Basta utilizar o princípio fundamental da contagem, que é bem mais simples: 26 x 26 x 26 x 10 x 10 x 10 x 10 3) (EMEB Arthur Natalino Deriggi – São Carlos- SP – 5ª série – 2003) Margareth tem 12 blusas e 11 saias. Quantas combinações de saia e blusa Margareth pode usar? a) 23 b) 12 c) 144 d) 132 e) 121 Basta fazer 12 x 11 = 132 4) (EM Isaura Vilela Brasileiro – Botelhos – MG – 2000) Com seis tipos de cartões magnéticos e oito senhas diferentes, as opções de escolha de um cartão e uma senha são: a) 36 b) 42 c) 48 d) 52 e) 64 Só fazer 6x8=48 5) (EM Isaura Vilela Brasileiro – Botelhos – MG – 2000)Num microcomputador, para abrir certo arquivo, o usuário deve digitar 4 sinais ( que são / # | ^) numa certa ordem, sem repeti-los. Se ele não conhece a ordem e procura acertar a senha por tentativas, qual é o número máximo de tentativas que fará? a) 24 b) 30 c) 36 d) 40 e) 120 Como o usuário não pode repetir, ele tem 3 x 4 x 2 x 1 = 24 possibilidades Prof. Otávio Luciano Camargo Sales de Magalhães PROBABILIDADE E CONTAGEM PE.7.01.F 6) (XXIII Olimpíada Brasileira de Matemática – Nível 1, 2 e 3 – 1a fase – 2001) Na figura abaixo, temos 4 circunferências e alguns pontos destacados no interior dessas circunferências. Escolhendo exatamente um desses pontos dentro de cada uma das circunferências, e unindo-os por segmentos de reta que não se cruzam, formamos um quadrilátero. Quantos quadriláteros diferentes seremos capazes de desenhar nessas condições? A) 4 B) 14 C) 60 D) 120 E) 24 O número de quantidade de quadriláterios é o produto dos vértices: 2 x 3 x 4 x 5 = 120. 7) Uma bandeira tem quatro listas. De quantas maneiras eu posso pintá-las utilizando-se de 3 cores diferentes, de tal forma que não pintemos duas faixas consecutivas da mesma cor. 1ª listra: qualquer cor = 3 2ª listra: menos a cor usada na 1ª listra = 2 3ª listra: menos a cor usada na 2ª listra = 2 4ª listra: menos a cor usada na 3ª listra = 2 3x2x2x2 = 24
  • 182.
    OTÁVIO LUCIANO CAMARGOSALES DE MAGALHÃES 182
  • 183.
    OTÁVIO LUCIANO CAMARGOSALES DE MAGALHÃES 183 REVISÃO GLOBAL DE GEOMETRIA INTRODUTÓRIA 1) Desenhe um par de retas: a) paralelas b) perpendiculares c) oblíquas 2) Desenhe um ângulo: a) reto b) agudo c) obtuso 3) Responda: a) Qual é a unidade de medida de ângulo?_____________ b) Qual é o instrumento que utilizamos para medir?__________ c) Por qual motivo uma circunferência tem 360º?___________________________________ d) Quantos minutos tem um grau?______ e) Quantos segundos tem um minuto?______ f) Quantos segundos tem um grau? 4) O que é (explique e desenhe): a) bissetriz b) mediatriz 5) Desenhe e dê exemplo de ângulos: a) complementares b) suplementares c) opostos pelo vértice 6) Dê a medida dos ângulos desconhecidos: 7) Qual é: a) O suplemento de 32º? b) O complemento de 20º? 8) Ache o valor de x:
  • 184.
    OTÁVIO LUCIANO CAMARGOSALES DE MAGALHÃES 184 9) Ache com o transferidor a medida dos ângulos 10) O mapa a seguir, com os pontos cardeais em Inglês, mostra as Coordenadas Geográficas. Você pode vê-las no círculo também: Responda: a) Por qual motivo a Longitude tem 180º para cada lado e a Latitude tem apenas 90º? b)Quantos graus tem o Equador? Justifique. c) Quantos graus tem o Meridiano de Greenwich? d) Quantos graus há de polo norte à polo sul? e) Do Equador ao polo sul há quantos graus? f) Se eu pegar as coordenadas geográficas 30N 90E cai em qual continente? Marque no mapa em azul. Faça o mesmo para 30S 150E. g) Dê uma coordenada do Oceano Pacífico.
  • 185.
    OTÁVIO LUCIANO CAMARGOSALES DE MAGALHÃES 185 11) Associe os números da cruzadinha com os conceitos geométricos. ( ) Polígono com todos os lados iguais ( ) Exemplo de Polígono Não .... ( ) Ângulo de 90º Desenhe: ( ) Retas .... ( ) Divide o ângulo em duas partes iguais ( ) Divide o segmento de reta em duas partes iguais, por uma reta perpendicular ( ) Retas ..... ( ) Ângulo com mais de 90º Desenhe: ( ) Ângulo com menos de 90º Desenhe: ( ) Instrumento de medida de ângulo 12) Veja uma foto de satélite de Mococa com as coordenadas geográficas: a) Qual é a latitude de Mococa? b) Qual é a longitude de Mococa? c) Escreva como se lê as coordenadas geográficas de Mococa. 13) Desenhe as diagonais dos polígonos
  • 186.
    OTÁVIO LUCIANO CAMARGOSALES DE MAGALHÃES 186 14) Veja exemplos de SIMETRIAS: ATENÇÃO! Em Simetrias os ângulos não se alteram! Faça o mesmo com a letra R: 15) Veja o que é SIMETRIA, e os EIXOS DE SIMETRIA nos dois exemplos: Desenhe, se houver, os eixos de Simetria: 16) Completes o desenhos com SIMETRIAS DE REFLEXÃO: ATENÇÃO! Em Simetrias os ângulos não se alteram!
  • 187.
    OTÁVIO LUCIANO CAMARGOSALES DE MAGALHÃES 187 17) Construa as simetrias pedidas: a) TRANSLAÇÃO b) REFLEXÃO c) ROTAÇÃO DE 90º PARA DIREITA d) ROTAÇÃO DE 180º 18) Complete de forma que haja dois eixos de simetria:
  • 188.
    OTÁVIO LUCIANO CAMARGOSALES DE MAGALHÃES 188 SIMETRIAS 1) Diga se o eixo assinalado nas figuras é o eixo de simetria: 2) A figura abaixo reproduz a planta original da Abadia de Jumièges, fundada em 654, na região da Normandia, norte da França. Encontre seu eixo de simetria. 3) Qual seria a imagem da pilha de cubos se o espelho não estivesse quebrado?
  • 189.
    OTÁVIO LUCIANO CAMARGOSALES DE MAGALHÃES 189 4) Encontre os eixos de simetria das figuras, se existir: 5) Encontre os eixos de simetria: 6) Por qual motivo se escreve ambulância “ao contrário”?
  • 190.
    OTÁVIO LUCIANO CAMARGOSALES DE MAGALHÃES 190 ÂNGULOS 1) (Material do Positivo – 6º ano) Quem é Bianca, quem é Ângela e quem é Alexandra? 2) (Material do Positivo – 6º ano) a) Fique em pé para frente do quadro e dê um giro de meia volta. Qual sua posição agora? b) Fique novamente em pé em frente para o quadro e gire ¼ de volta. Em que posição você parou? c) Fique em pé de frente para o quadro e gire uma volta. Qual sua posição depois do giro? 3) (Material do Positivo – 6º ano) Num papel quadriculado faça: - ande 4 quadradinhos - gire ¼ de volta à direita. - ande 6 quadrados - gire ¼ de volta à direita - ande 4 quadrados - gire ¼ de volta à direita - ande 6 quadrados Qual forma será formada? 4) (Material do Positivo – 6º ano) Quantos graus tem um ângulo de: a) 1 volta b) ½ volta c) ¼ de volta d) ¾ de volta a) 1/6 de volta e) 1/8 de volta
  • 191.
    OTÁVIO LUCIANO CAMARGOSALES DE MAGALHÃES 191 5) (Material do Positivo – 6º ano) Usando o transferidor diga qual é a medida de cada ângulo abaixo: 6) (Material do Positivo – 6º ano) Sem usar transferidor estime a medida de cada ângulo: 7) (Material do Positivo – 6º ano) As pessoas, os objetos e os animais são vistos sob um determinado ângulo de visão. O ângulo sob o qual vemos uma pessoa, por exemplo, depende da distância que estamos dela e da nossa posição. Observe, por exemplo, os jogadores de futebol. Quem tem melhor ânglo de visão para marcar um gol? 8) (Material do Positivo – 6º ano) De quantos graus foi cada giro? 9) (Material do Positivo – 6º ano) Qual das imagens do cão refletido no espelho é a correta? Explique:
  • 192.
    OTÁVIO LUCIANO CAMARGOSALES DE MAGALHÃES 192 10) (Material do Positivo – 6º ano) Qual das figuras abaixo possui eixo de simetria? 11) (Material do Positivo – 6º ano) Quantos eixos de simetria podem ser traçado nas figuras? 12) (Material do Positivo – 6º ano) Complete a figura para deixa-la simétrica: 13) (Material do Positivo – 6º ano) Trace todos os eixos de simetria nas figuras planas a seguir:
  • 193.
    OTÁVIO LUCIANO CAMARGOSALES DE MAGALHÃES 193 14) (Material do Positivo – 6º ano) Complete as figuras para ficarem simétricas: 15) (Material do Positivo – 6º ano) Como ficará a escrita das seguintes palavras no espelho: 16) (Material do Positivo – 6º ano) Analise a simetria da figura:
  • 194.
    OTÁVIO LUCIANO CAMARGOSALES DE MAGALHÃES 194 17) (CEFET-SP) Uma das condições para tornar o roço do palhaço simétrico é desenhar a outra sombrancelha no quadradinho: a) E3 b) D3 c) F3 d) E6 18) (Canguru Matemático – Nível E – 2014) Na porta de vidro da entrada de uma loja pintaram o buquê de flores ao lado. Como esse buquê aparece para quem olha do outro lado da porta? 19) (Canguru Matemático – Nível B – 2014) Eva alinhou oito cartões formando a palavra CANGURUS. Sua irmãzinha girou alguns cartões e a palavra ficou como a figura abaixo. Para acertar as letras, Eva fez rotações de 90 graus nos cartões. Por exemplo, faz duas rotações para acertar a letra C e uma para acertar a letra A, conforme mostrado: No mínimo, quantas dessas rotações ela deve fazer para acertar a palavra?
  • 195.
    OTÁVIO LUCIANO CAMARGOSALES DE MAGALHÃES 195 PROVA DE GEOMETRIA DO 3º BIMESTRE DE 2014 – 6º ANO – ESCOLA NOVA 1. (Valor: 0,3) Desenhe um ângulo reto, um angulo agudo e um ângulo obtuso. 2. (Valor: 0,4) a) Meça com o transferidor a medida dos ângulos externos da figura abaixo b) (Valor: 0,4) Meça os ângulos internos de cada triângulo que compõe a bandeira de Seychelles, um país do Oceano Índico. 3. (Valor: 0,2) Diga, em graus e minutos qual é a metade de 45º. 4. (Valor: 0,3) Se eu dobrar uma folha ao meio, conforme o desenho, quantos graus terá o ângulo assinalado 5. (Valor: 0,2) Qual é: a) o complemento de 8º. b) o suplemento de 40º. 6. (Valor: 0,6) Quanto é: a) 1º20’42’’+7º49’45’’ b) 20º2’15’’-18º10’ c) 2 x 3º14’20’’
  • 196.
    OTÁVIO LUCIANO CAMARGOSALES DE MAGALHÃES 196 7. (Valor: 0,4) As coordenadas geográficas de Monte Santo de Minas são: Latitude: -21.1955, Longitude: -46.9628 21° 11′ 44″ Sul, 46° 57′ 46″ Oeste A partir dessa informação, encontre a coordenada aproximada de Monte Santo de Minas no mapa de Minas Gerais: 8. (Valor: 1,2) Diga as coordenadas geográficas das capitais dos estados da Região Sudeste:
  • 197.
    OTÁVIO LUCIANO CAMARGOSALES DE MAGALHÃES 197 9. (Valor: 1,4) Veja o Mapa Mundi a) Dê as coordenadas de A, B, C, D, E. b) Em que Oceano está a coordenada: 20ºN 160ºW ____________________ 40ºS 20ºW____________________ 30ºS 100ºE ____________________ 85ºN 0º ____________________ c) Dê uma coordenada qualquer na: América ____________________ África ____________________ Europa ____________________ Ásia ____________________ Oceania ____________________ 10. (Valor: 0,3) Desenhe a mão livre um polígono não-convexo. 11. (Valor: 0,4) Desenhe todas as diagonais dos polígonos regulares 12. (Valor: 0,4) Qual tipo de simetria foi utilizada para fazer os seguintes desenhos? a) b)
  • 198.
    OTÁVIO LUCIANO CAMARGOSALES DE MAGALHÃES 198 13. (Valor: 0,3) Veja os tipos de simetria abaixo que aparecem nos seres vivos. Você consegue dar outro tipo de exemplo de simetria radical, real e assimetria? 14) (Valor: 0,4) Complete as figuras para que elas possuam simetria de reflexão: 15) (Valor: 0,6) Complete os quadradinhos para que as figuras possuam simetria de reflexão:
  • 199.
    OTÁVIO LUCIANO CAMARGOSALES DE MAGALHÃES 199 16) (Valor: 0,5) a) Que tipos de simetria possui o ser humano, os cnidários e os poríferos? (axial, radial) b) E os animais abaixo? 17) (Valor: 0,9) Escreva TODOS eixos de simetria se for possível: 18) (Valor: 0,9) a) Considere o “P” assinalado com o número 1. Quantos graus foi necessário para chegar nos números 2, 3, 4, 5 e 6? 2 – rotação de ______ 3 – rotação de ______ 4 – rotação de ______ 5 – rotação de ______ 6 – rotação de ______
  • 200.
    OTÁVIO LUCIANO CAMARGOSALES DE MAGALHÃES 200 b) E agora? Começando do 1 2 – rotação de ______ 3 – rotação de ______ 4 – rotação de ______ 19) (Valor: 0,6) Dado o desenho, faça as simetrias que se pede: a) Simetria de Reflexão b) Simetria de Translação 20) (Valor: 0,6) Faça as simetrias do desenho aos eixos vertical e horizontal 21) (Valor: 0,6) Que tipo de transformação foi feita em cada caso? 22) (Valor: 0,3) Faça com a letra inicial de seu nome: a) rotação de 90º b) rotação de 180º c) rotação de 270º
  • 201.
    OTÁVIO LUCIANO CAMARGOSALES DE MAGALHÃES 201 ÂNGULOS NOS TRIÂNGULOS 1) Com orientação do professor faça a experiência física para mostrar que a soma dos ângulos internos de um triângulo é 180º. 2) Veja o desenho do TANGRAM: a) Escreva o nome de cada peça b) Com um lápis azul marque todos os ângulos de 90º. c) Com um lápis vermelho marque todos os ângulos de 45º d) Quanto mede cada ângulo do triângulo retângulo isósceles?
  • 202.
    OTÁVIO LUCIANO CAMARGOSALES DE MAGALHÃES 202 TRIÂNGULOS 1) Dado o triângulo ABC a) Quais são os vértices?_____________________________ b) Quais são os lados?_____________________________ c) Quais são os ângulos? _________________________ 2) Complete as DEFINIÇÕES: a) Triângulo: é o polígono que possui _____________. b) Triângulo isósceles: é o triângulo que possui ___ lados com a mesma medida. c) Triângulo escaleno: é o triângulo que ____ possui nenhum lado com a mesma medida. d) Triângulo equilátero: é o triângulo que possui ___ lados com a mesma medida. e) Triângulo retângulo: é o triângulo que possui 1 ângulo ___________. f) Triângulo obtusângulo: é o triângulo que possui 1 ângulo __________. g) Triângulo acutângulo: é o triângulo que possui os ____ ângulos _______________. 3) Como podemos classificar os triângulos: a) Quantos aos lados: em ______________, ______________ e ________________. Desenhe: b) Quanto aos ângulos: em _______________, ______________ e ________________. Desenhe: 4) Desenhe um triângulo retângulo isósceles: QUADRILÁTEROS 5) Dado o quadrilátero ABCD a) Quais são os vértices?_____________________________ b) Quais são os lados?_____________________________ c) Quais são os ângulos? _________________________ 6) Complete as definições: a) Um QUADRILÁTERO é um polígono com ____ lados. b) Um PARALELOGRAMO é um quadrilátero com ___ par de lados paralelos. c) Um TRAPÉZIO é um quadrilátero com ___ pares de lados paralelos. d) Um LOSANGO é um quadrilátero com 4 ________ com a mesma medida. e) Um RETÂNGULO é um quadrilátero com 4 ________ com a mesma medida. f) Um QUADRADO é um quadrilátero com 4 _________ iguais e 4 _________ iguais. 7) Desenhe um paralelogramo e um trapézio. 8) Desenhe um losango, um retângulo e um quadrado. 9) Desenhe um polígono não convexo.
  • 203.
    OTÁVIO LUCIANO CAMARGOSALES DE MAGALHÃES 203 10) O que é verdadeiro: a) Todo quadrado é um retângulo? b) Todo retângulo é um quadrado? c) Todo quadrado é um losango? d) Todo losango é um quadrado? 11) Desenhe uma figura que seja ao mesmo tempo losango e retângulo. 12) Responda: a) O retângulo é um paralelogramo? b) O losango é um paralelogramo? c) O quadrado é um paralelogramo? Jornal “Agora São Paulo”, 28/11/2002, pág C-9. 13) Abaixo vemos 4 diagramas de Euler-Venn. Quais deles são verdadeiros? Cubos B. Retangulares Quadrados Retângulos B. Retangulares Cubos Retângulos Quadrados EXERCITE 1) Qual é o quadrilátero regular? 2) Que quadrilátero é ao mesmo tempo losango e retângulo? 3) Escreva em diagramas os conjuntos que representam os trapézios (T), paralelogramos (P), losangos (L), retângulos (R) e quadrados (R). 4) Num losango, que relação podemos estabelecer entre seus ângulos opostos? 5) Num paralelogramo, que relação podemos estabelecer entre seus ângulos opostos?
  • 204.
    OTÁVIO LUCIANO CAMARGOSALES DE MAGALHÃES 204 6) Chamamos de trapézio isósceles, um trapézio que tem os dois lados (que não são as bases), congruentes. Desenhe um trapézio isósceles e pinte da mesma cor os ângulos congruentes. 7) Chamamos de trapézio retângulo, um trapézio que possui um ângulo reto. Desenhe um trapézio retângulo. 8) Chamamos de trapézio escaleno, um trapézio cujos lados, que não são bases, são diferentes. Desenhe um trapézio escaleno. 9) Chamamos de pipa (KITE), um quadrilátero convexo que possui dois pares de lados consecutivos congruentes. Desenhe 3 pipas diferentes. 10) Chamamos de seta ou bumerangue (DART), um quadrilátero não-convexo que possui dois pares de lados consecutivos congruentes. Desenhe 3 setas diferentes. 11) Complete a tabela com sim ou não DIAGONAIS São congruentes Cortam-se no Ponto Médio São perpendiculares Quadrado Paralelogramo Trapézio Losango Retângulo 12) (Olimpíada de Matemática de Escola Pública do Ceará – 5ª série / Ensino Médio – 2003) Triminós são feitos de três quadrados e em duas formas, Qual das figuras abaixo pode ser feita usando somente triminós, supondo-se que que você tenha uma caixa com muitos exemplares das duas formas?
  • 205.
    OTÁVIO LUCIANO CAMARGOSALES DE MAGALHÃES 205 13) (Exame de Seleção do Colégio Pedro II – 5a série 2001) Você, certamente, conhece o jogo dominó. E sabe que cada peça desse jogo é formada por dois quadradinhos iguais com um lado em comum, como mostra a FIGURA 1. Existem jogos (quebra-cabeças) que também têm peças formadas por quadradinhos iguais com um lado em comum. Essas peças recebem diferentes nomes, dependendo do número de quadradinhos que as formam. Veja alguns exemplos na FIGURA 2. Chamamos de tetraminós as peças formadas por quatro quadradinhos. Ao todo, existem cinco tetraminós diferentes. Na FIGURA 2, foram desenhados três deles. - Um único tetraminó pode ser desenhado em várias posições. Veja, na FIGURA 3, algumas maneiras diferentes de se desenhar o mesmo tetraminó. a) Agora, mãos à obra! Desenhe no espaço abaixo os dois tetraminós que estão faltando na FIGURA 2. Mas, cuidado! Preste bem atenção para não desenhar um tetraminó repetido em posição diferente! b) Veja a figura que montei usando um triminó, um tetraminó e um pentaminó. I) Usando o quadradinho como unidade de medida de área, qual é a medida da área da figura que eu montei? II) Usando o lado do quadradinho como unidade de medida de comprimento, qual é a medida do perímetro da figura que eu montei?
  • 206.
    OTÁVIO LUCIANO CAMARGOSALES DE MAGALHÃES 206 14) (SARESP – 5ª série – Diurno – 1998) A outra metade desta folha contém o mesmo desenho. Desdobrando-a, que figura aparecerá no centro do retângulo? a) Quadrado b) Losango c) Retângulo d) Trapézio 15)(Concurso para Professor de Matemática de 5ª à 8ª séries e Ensino Médio PEBII do Estado de São Paulo – 2003) Uma forma de iniciar o estudo dos quadriláteros é pedir aos alunos que os classifiquem, tendo como critérios as suas propriedades e regularidades. Desta forma, os alunos terão maior compreensão de cada quadrilátero e das relações existentes entre eles. Uma possibilidade de apresentar as relações existentes entre alguns quadriláteros é por meio de conjuntos. Seja L o conjunto dos losangos, P o conjunto dos paralelogramos, Q o conjunto dos quadrados, R o conjunto dos retângulos, a relação entre eles pode ser representada por: 16) (Olimpíada Paulista de Matemática – 6ª série – Fase Final/1985) Leia com atenção as seguintes definições: Quadrilátero – é um polígono de quatro lados. Trapézio – é um quadrilátero que tem apenas dois lados paralelos entre si. Paralelogramo – é um quadrilátero que tem os quatro lados, dois a dois, paralelos entre si. Retângulo – é um paralelogramo que tem os quatro ângulos internos retos. Losango – é um paralelogramo que tem os quatro lados de medidas iguais. Quadrado – é um retângulo que é losango. a) No espaço entre parênteses, na frente das sentenças abaixo, coloque V se a sentença for verdadeira e, F se for falsa segundo as definições dadas acima: 1. Há trapézios que são paralelogramos ( ) 2. Qualquer retângulo é um parelelogramo ( ) 3. Qualquer paralelogramo é um losango ( ) 4. Há paralelogramo que são retângulo ( ) 5. Qualquer quadrado é um losango ( ) 6. Qualquer retângulo é um quadrado ( ) 7. Há retângulos quê são quadrados ( ) 8. Qualquer quadrado é um retângulo ( ) 9. Qualquer losango é um quadrado ( ) 10. Qualquer quadrado é um paralelogramo ( ) b) Justifique suas quatro primeiras respostas indicando em cada uma delas, a definição ou as definições usadas. 17) (Concurso para Professor de Matemática de 5ª à 8ª séries – Secretaria de Estado da Educação de Minas Gerais/2001) Considere as afirmativas abaixo: I – Todo quadrilátero que tem dois pares de lados opostos paralelos é um paralelogramo II – Todo paralelogramo que tem lados iguais é um losango III – Todo paralelogramo que tem ângulos iguais é um retângulo IV – Todo paralelogramo é um polígono regular Em relação a elas, pode-se concluir que: a) somente as afirmativas I, II e III são verdadeiras b) somente as afirmativas II, III e IV são verdadeiras c) somente as afirmativas I, III e IV são verdadeiras d) todas as alternativas são verdadeiras
  • 207.
    OTÁVIO LUCIANO CAMARGOSALES DE MAGALHÃES 207 18) (EM Isaura Vilela Brasileiro – Botelhos – MG – 2000) Qual das afirmações abaixo sobre o quadrado é falsa: a) Todo quadrado é simultaneamente losango e retângulo. b) Se um retângulo também for losango ele é quadrado. c) Quadrado é um polígono que tem quatro lados iguais. d) O polígono que tem quatro lados iguais chama-se quadrado. e) O quadrado é um polígono regular, pois tem quatro lados e quatro ângulos iguais. 19) (VUNESP) Considere as seguintes proposições: - todo quadrado é um losango; - todo quadrado é um retângulo; - todo retângulo é um paralelogramo; - todo triângulo equilátero é isósceles. Pode-se afirmar que: a) só uma verdadeira. b) todas são verdadeiras. c) só uma é falsa. d) duas são verdadeiras e duas são falsas. e) todas são falsas.
  • 208.
    OTÁVIO LUCIANO CAMARGOSALES DE MAGALHÃES 208 GEOMETRIA DOS RECORTES – Cole as respostas aqui. 1) Divida um quadrado em duas partes com apenas um corte: 2)Recorte um quadrado em duas partes iguais. 3) Recorte um quadrado em dois retângulos de tamanhos diferentes. 4) Recorte um quadrado em dois retângulos iguais. 5) Recorte um quadrado em três retângulos iguais. 6) Recorte um quadrado em quatro retângulos iguais. 7) Recorte um quadrado em quatro quadrados iguais. 8) Recorte um quadrado em dois triângulos iguais. 9) Recorte um quadrado em quatro triângulos iguais. 10) Divida um retângulo em duas partes com um corte. 11) Recorte um retângulo em quatro triângulos iguais. 12) Divida, se possível, um retângulo em dois quadrados iguais.
  • 209.
    OTÁVIO LUCIANO CAMARGOSALES DE MAGALHÃES 209 13)Corte um retângulo pela diagonal. 14)Qual é o tipo de triângulo formado por um corte na diagonal por um: retângulo e um quadrado. 15) Decomponha um retângulo em duas partes iguais e com elas componha um triângulo. 16) Decomponha um quadrado em duas partes e com elas componha um triângulo. 17) Forme dois triângulos retângulos iguais. 18) Forme um quadrado, um triângulo e um quadrilátero que não seja retângulo com dois triângulos retângulos iguais. 19) Decomponha um quadrado em dois trapézios. 20) Decomponha um quadrado em um trapézio e um triângulo. 21) Decomponha um quadrado em um trapézio e um pentágono. 22) Decomponha um quadrado em dois triângulos retângulos e um isósceles. 23) Com cortes, divida a figura abaixo em dois triângulos retângulos e um pentágono: 24) Com cortes, divida a figura abaixo em cinco partes iguais, e responda qual é o formato destas partes.
  • 210.
    OTÁVIO LUCIANO CAMARGOSALES DE MAGALHÃES 210 25) Com cortes, transforme a figura abaixo em trapézio e paralelogramo: 26) Desenhe um pentágono fora e um pentágono dentro da estrela, aproveitando todos os vértices dela. 27) TRIÂNGULO ISÓSCELES é aquele que tem dois lados iguais. TRIÂNGULO RETÂNGULO é aquele que tem um ângulo reto. Existem triângulos que são Retângulos e Isósceles. Pergunta: Como se chama o corte fazemos no Quadrado para formar dois triângulos retângulos e isósceles? 28) Desenhe um retângulo e divida-o em dois triângulos retângulos e um isósceles. 29) Desenhe um quadrilátero com todos os vértices contidos nos lados de um hexágono. 30) DESAFIO. Você deve dividir a figura em partes com MESMA ÁREA e MESMO FORMATO, em 2, 3 e 4 partes. O desafio está em dividir em 4 partes DE MESMO FORMATO E ÁREA. GABARITO 1) Divida um quadrado em duas partes com apenas um corte: r: 2)Recorte um quadrado em duas partes iguais. r: os cortes 1, 2 e 8 por exemplo 3) Recorte um quadrado em dois retângulos de tamanhos diferentes. r: 3 e 7 podem ser respostas. Existem infinitas respostas. Basta fazer um corte paralelo a um lado, sem que este corte seja no meio da figura. 4) Recorte um quadrado em dois retângulos iguais. r: 2 é uma resposta. 5) Recorte um quadrado em três retângulos iguais. r: 6) Recorte um quadrado em quatro retângulos iguais. r: 7) Recorte um quadrado em quatro quadrados iguais. r: A segunda alternativa do exercício anterior 8) Recorte um quadrado em dois triângulos iguais. r: 9) Recorte um quadrado em quatro triângulos iguais. r: Esta figura já é um trapézio!
  • 211.
    OTÁVIO LUCIANO CAMARGOSALES DE MAGALHÃES 211 10) Divida um retângulo em duas partes com um corte. r: 11) Recorte um retângulo em quatro triângulos iguais. r: 12) Divida, se possível, um retângulo em dois quadrados iguais. r: Isto só é possível se o retângulo tiver uma das dimensões igual ao dobro da outra. Por exemplo: 8x2 ou 5x10. 13)Corte um retângulo pela diagonal. r- Por exemplo, o exercício 10, segunda figura. 14)Qual é o tipo de triângulo formado por um corte na diagonal por um: retângulo e um quadrado. r: Um retângulo forma dois triângulos retângulos, e um quadrado forma dois triângulos que além de retângulos são isósceles. 15) Decomponha um retângulo em duas partes iguais e com elas componha um triângulo. r: existem outras alternativas (triângulo isósceles) 16) Decomponha um quadrado em duas partes e com elas componha um triângulo. r: note que o triângulo é isósceles. 17) Forme dois triângulos retângulos iguais. r: basta dividir um retângulo pela diagonal. 18) Forme um quadrado, um triângulo e um quadrilátero que não seja retângulo com dois triângulos retângulos iguais. r: 19) Decomponha um quadrado em dois trapézios. r: veja o exercício 78, figuras 4, 8 e 9 20) Decomponha um quadrado em um trapézio e um triângulo. r: veja o exercício 78, figura 6 21) Decomponha um quadrado em um trapézio e um pentágono. r: veja o exercício 78, figura 5 22) Decomponha um quadrado em dois triângulos retângulos e um isósceles. r:
  • 212.
    OTÁVIO LUCIANO CAMARGOSALES DE MAGALHÃES 212 UM ‘CHORINHO’ DE EXERCÍCIOS 1)Dê o nome aos polígonos: a) b) c) d) e) 2)Classifique os polígonos quanto aos lados: a) b) c) d) e) 3)Qual das duas formas geométricas espaciais abaixo é um poliedro? Justifique. a) b) 4) Divida a figura abaixo em quatro triângulos iguais: 5)Com apenas três cortes, divida o bloco retangular abaixo em oito partes iguais: 6) Responda: a) Como se chama o segmento de reta que corta um ângulo ao meio? b) Como se chama o corte que liga um vértice ao outro em um polígono? 7)Com no mínimo três peças do Tangram, monte as formas pedidas, e desenhe a solução. a) Monte com as peças um quadrado e desenhe a solução. b) Monte com as peças um triângulo isósceles e desenhe a solução. c) Monte com as peças um trapézio e desenhe a solução. d) Monte com as peças um paralelogramo e desenhe a solução. 8) Qual é o único polígono que não tem diagonais? 9) Quantas diagonais tem o hexágono? 10) Calcule o perímetro de um triângulo eqüilátero cujos lados medem 20 cm. POLIEDRO é uma forma geométrica espacial com todas as faces planas e arestas segmentos de reta! (Apenas uma idéia)
  • 213.
    OTÁVIO LUCIANO CAMARGOSALES DE MAGALHÃES 213
  • 214.
    OTÁVIO LUCIANO CAMARGOSALES DE MAGALHÃES 214 DIMENSÕES 1) Você sabe o que significam em geometria os conceitos de PONTO, RETA e PLANO? Veja as figuras abaixo, que dão uma pequena ligeira idéia destes objetos e tente compreender. Ponto Reta Plano A partir dos desenhos, você pode concluir que o número de dimensões do Plano é (??), da Reta é (??) e do Ponto é (??). Responda no caderno e tente justificar. 2) Com uma régua determine as dimensões: a) das folhas de seu caderno b) de uma folha de jornal c) de uma cartolina 3) Faça uma ESTIMATIVA das dimensões: a) da sala de aula b) de sua casa c) de seu quarto d) do pavilhão escolar Você não precisa medir o resultado, mas sim estimar, ou seja, achar o valor que você acha que têm as dimensões, com base em seu raciocínio. Use a criatividade e explique sua reposta.
  • 215.
    OTÁVIO LUCIANO CAMARGOSALES DE MAGALHÃES 215 BLOCO RETANGULAR Considere o Bloco Retangular ABCDEFGH da figura abaixo para todos os exercícios do 18 ao 28 desta seqüência. As medidas não correspondem às medidas reais indicadas: 18) Relacione: a) todos os vértices do Bloco Retangular ABCDEFGH. b) todas as arestas do Bloco Retangular ABCDEFGH. c) todas as faces do Bloco Retangular ABCDEFGH. 19) Escreva: a) todas arestas de 2 cm b) todas arestas de 3 cm c) todas arestas de 2,5 cm 20). Diga quais são: a) as arestas paralelas a AB b) as arestas paralelas a AE c) as arestas paralelas a EH 21) Ache a medida das arestas: a) AB b) CD c) CG d) EH e) FG f) BF 22) Ache todas as arestas: a) paralelas a AB b) perpendiculares a AB c) reversas a AB 23) Dados os pares de arestas, classifique-as, segundo o código seguinte: Pa – se forem paralelas Pe – se forem perpendiculares R – se forem reversas ( ) AB e FG ( ) AB e AD ( ) AB e AE ( ) AB e CD ( ) CD e EH ( ) EH e DH ( ) EH e GH ( ) EH e AD ( ) EH e CG ( ) FG e AD ( ) FG e AE ( ) FG e EH 24) Encontre a face oposta a CDGH. A uma dada aresta do Bloco Retangular, será que é verdade que existem em relação a esta, 4 arestas paralelas, 4 perpendiculares e 4 reversas? Pense sobre isto. A B D C E F GH 3 cm 2 cm 2,5 cm A B D C E F GH A B D C E F GH 3 cm 2 cm 2,5 cm
  • 216.
    OTÁVIO LUCIANO CAMARGOSALES DE MAGALHÃES 216 A B D C E F GH 3 cm 2 cm 2,5 cm A B D C E F GH A B D C E F GH 3 cm 2 cm 2,5 cm 25) Podemos dizer que AB=3cm. Agora esqueça a unidade centímetros e jogar um pouco com a Matemática, fazendo algumas contas sem significado. Isto é bom para não deixarmos “enferrujar” nossa Aritmética. Então, calcule o valor da expressão abaixo: 5,3 CGEH 26) Suponha que o Bloco Retangular ABCDEFGH é apenas uma armação feita de arames. Um besouro está no vértice A deste Bloco e vai caminhar até o vértice H onde se encontra uma folhinha. Um dos caminhos que o besouro pode fazer é: AD→DC→CG Responda: a) Quantos centímetros o besouro deve caminhar? b) Escreva todos os caminhos que o besouro pode fazer caminhando apenas três arestas para chegar na folhinha. 27) Determine a soma das medidas de todas as arestas do Bloco Retangular ABCDEFGH. 28) Quais são as dimensões do Bloco Retangular ABCDEFGH? 29) Que formato tem as faces do Bloco Retangular? E as faces do Cubo? 30) Verdadeiro ou falso? a) Todo Bloco Retangular é Cubo! b) Todo Cubo é Bloco Retangular! Após os exercícios feitos até aqui, você compreendendo conceitos de parelelismo e perpendicularidade (ou perpendicularismo) no Bloco Retangular deve estar muito mais fácil desenhar Blocos Retangulares a mão livre. Tente, pratique, faça desenhos! Dê preferência aos desenhos completos com as arestas escondidas pontilhadas, como no Bloco ABCDEFGH desta lista de exercícios! A maioria dos autores vai representar o nome de linhas (arestas) com um tracinho em cima do símbolo. A aresta AB deve ser indicada por ____ AB . Já a medida da aresta pode ser indicada simplesmente por AB ou por m( ____ AB ). Não nos preocuparemos com isto, por questões gráficas e de ordem prática. Existem várias maneiras de resolver a questão 27.. Já a 28 é muito fácil e você nem precisará de dica!
  • 217.
    OTÁVIO LUCIANO CAMARGOSALES DE MAGALHÃES 217 31) Responda a) Quantos vértices tem um Bloco Retangular? b) Quantas faces tem um Bloco Retangular? c) Quantas arestas tem um Bloco Retangular? d) Quantos vértices, faces e arestas tem um Cubo? 32) Qual face do dado está apoiada na superfície? a) b) 33) Preencha as faces incompletas dos dados, se for possível: 34) (ATIV. PRÁTICA 11 PLANIFICAÇÕES DO CUBO) Para esta tarefa você precisará de: Papel Quadriculado, Régua e Tesoura! Existem 11 planificações do cubo diferentes. As figuras abaixo são planificações do cubo: Já não se pode montar um cubo a partir das figuras abaixo: Tente descobrir toda as 11 planificações do cubo. Observação: As figuras abaixo são consideradas como a mesma planificação do cubo. Elas devem ser contadas apenas como uma única planificação: DICA: Com papel quadriculado construa peças com 6 quadrados (hexaminós) e vá fazendo tentativas até achar as 11 planificações. 5 3 1 2 3 1 1 3 5 1 2 6 1 42
  • 218.
    OTÁVIO LUCIANO CAMARGOSALES DE MAGALHÃES 218 BLOCO RETANGULAR II 35) (Álvaro Andrini) Qual das peças abaixo deve ser encaixada neste objeto para que ele fique com a forma de um bloco retangular? 36) (Vunesp) Todas as alternativas dadas representam planificações de um cubo. Os números no interior dos quadrados indicam a quantidade de pontos correspondentes a cada face de um dado de forma cúbica. Se a soma dos pontos marcados nas faces opostas é 7, a única alternativa que representa a planificação deste dado é 37) (Valor: 0,5) (Olimpíada de Matemática da Escola Pública do Ceará – Ensino Fundamental – Treinamento/2003) A figura abaixo deve ser dobrada de modo a formar um cubo. A letra A está sobre uma face. A letra sobre a face oposta será: a) B b) C c) D d) E e) F 38) (Valor: 0,5) Quantas caixas tem a pilha abaixo? 39) (Valor: 0,5) (Canguru Matemático – 2012) Um paralelepípedo foi montado com três peças de cores diferentes, conforme o desenho: Cada uma das peças é formada por 4 cubos. A peça branca do paralelepípedo se parece com qual das peças a seguir?
  • 219.
    OTÁVIO LUCIANO CAMARGOSALES DE MAGALHÃES 219 40) (Valor: 0,5) (Canguru Matemático – 2011) O desenho mostra um bloco formado por quatro dados iguais. Em cada dado, a soma das faces opostas é 7. Vista por trás, como fica o desenho do bloco? 41) (Valor: 0,5) (Canguru Matemático – 2011) O desenho a seguir representa um castelo construído com cubinhos iguais. O desenho abaixo representa o mesmo castelo visto de cima. Quantos cubinhos foram necessários para construir o castelo? a) 56 b) 60 c) 64 d) 68 e) 72 42) (Valor: 0,5) (Canguru Matemático – 2009) Tomás construiu uma mesa usando pequenos cubos iguais, como na figura. Quantos cubos ele usou? a) 24 b) 26 c) 28 d) 32 e) 36 43) (Valor: 0,5) Quantos cubinhos tem em cada pilha?
  • 220.
    OTÁVIO LUCIANO CAMARGOSALES DE MAGALHÃES 220 GABARITO DIMENSÕES 1) A partir dos desenhos, você pode concluir que o número de dimensões do Plano é (2: comprimento e largura, não tem altura), da Reta é (1: comprimento e sem largura e nem altura) e do Ponto é (0: nem comprimento nem largura e nem altura). Responda no caderno e tente justificar. 2) Com uma régua determine as dimensões: a) das folhas de seu caderno 21 cm x 30 cm b) de uma folha de jornal 35 cm x 50 cm c) de uma cartolina 50 cm x 1 m BLOCO RETANGULAR Considere o Bloco Retangular ABCDEFGH da figura abaixo para todos os exercícios do 18 ao 28 desta seqüência. As medidas não correspondem às medidas reais indicadas: 18) Relacione: a) todos os vértices do Bloco Retangular ABCDEFGH. A, B, C, D, E, F, G, H – 8 vértices b) todas as arestas do Bloco Retangular ABCDEFGH. AB, BC, CD, AD, AE, BF, CG, DH, EF, FG, GH, EH – 12 arestas c) todas as faces do Bloco Retangular ABCDEFGH. ABCD, EFGH, BFGC, AEHD, DCGH, ABFE – 6 faces 19) Escreva: a) todas arestas de 2 cm AD, BC, EH, FG b) todas arestas de 3 cm AB, GH, EF, CD c) todas arestas de 2,5 cm AE, BF, DH, CG 20). Diga quais são: a) as arestas paralelas a AB CD, GH, EF, AB b) as arestas paralelas a AE AE, BF, DH, CG c) as arestas paralelas a EH AD, BC, EH, FG 21) Ache a medida das arestas: a) AB=3cm b) CD=3cm c) CG =2,5 cm d) EH=2 cm e) FG=2 cm f) BF=2,5 cm 22) Ache todas as arestas: a) paralelas a AB AB, CD, GH, EF b) perpendiculares a AB AE, BF, AD, BC c) reversas a AB FG, DH, EH, CG 23) Dados os pares de arestas, classifique-as, segundo o código seguinte: Pa – se forem paralelas Pe – se forem perpendiculares R – se forem reversas (R) AB e FG (Pe) AB e AD (Pe) AB e AE (Pa) AB e CD (R ) CD e EH (Pe) EH e DH (Pe) EH e GH (Pa) EH e AD (R) EH e CG (Pa) FG e AD (R) FG e AE (Pa ) FG e EH
  • 221.
    OTÁVIO LUCIANO CAMARGOSALES DE MAGALHÃES 221 24) Encontre a face oposta a CDGH. ABFE 25) Podemos dizer que AB=3cm. Agora esqueça a unidade centímetros e jogar um pouco com a Matemática, fazendo algumas contas sem significado. Isto é bom para não deixarmos “enferrujar” nossa Aritmética. Então, calcule o valor da expressão abaixo: 5,3 CGEH √2 + 2,5 + 3, 5=√8 26) Suponha que o Bloco Retangular ABCDEFGH é apenas uma armação feita de arames. Um besouro está no vértice A deste Bloco e vai caminhar até o vértice G onde se encontra uma folhinha. Um dos caminhos que o besouro pode fazer é: AD→DC→CG Responda: a) Quantos centímetros o besouro deve caminhar? 2+3+2,5=7,5 Ele Deverá andar 7,5 cm b) Escreva todos os caminhos que o besouro pode fazer caminhando apenas três arestas para chegar na folhinha. AD→DC→CG AD→DH→HG AE→EH→HG AE→EF→FG AB→BF→FG AB→BC→CG 27) Determine a soma das medidas de todas as arestas do Bloco Retangular ABCDEFGH. 2 cm x 4 + 3 cm x 4 + 2,5 cm x 4 8 cm + 12 cm + 10 cm 30 cm (Raciocínio da Tífany) Ou 2+3+2,5=7,5 7,5 cm x 4 = 30 cm 28) Quais são as dimensões do Bloco Retangular ABCDEFGH? 2,5 cm x 3 cm x 2 cm 29) Que formato tem as faces do Bloco Retangular? E as faces do Cubo? Bloco Retângular – FORMATO: Retângulo Cubo – FORMATO: Quadrado 30) Verdadeiro ou falso? a) Todo Bloco Retangular é Cubo! FALSO b) Todo Cubo é Bloco Retangular! VERDADEIRO 31) Responda a) Quantos vértices tem um Bloco Retangular? 8 b) Quantas faces tem um Bloco Retangular? 6 c) Quantas arestas tem um Bloco Retangular? 12 d) Quantos vértices, faces e arestas tem um Cubo? o mesmo que um bloco retangular, 8, 6 e 12. 32) a) 6 b) 2 Em qualquer dado as faces opostas somam 7 42) (Valor: 0,5) (Canguru Matemático – 2009) Tomás construiu uma mesa usando pequenos cubos iguais, como na figura. Quantos cubos ele usou? a) 24 b) 26 c) 28 d) 32 e) 36 Tampa da mesa tem 4x5=20 As pernas da mesa tem 3x4=12 43) (Valor: 0,5) Quantos cubinhos tem em cada pilha? Raciocínio da Maria Lígia por degraus (de cima para baixo): 24+18+12+6=60
  • 222.
    OTÁVIO LUCIANO CAMARGOSALES DE MAGALHÃES 222 Polígono: ABCDE Lados: AB, BC, CD, DE, AE Vértices: A, B, C, D, E Ângulos: A, B, C, D, E (existem outras notações para ângulos, pesquise sobre isto) Perceba que, o número de lados, vértices e ângulos são iguais. A B CD E A B CD E Eu sou o Ornitorrinco. Sim, sou um mamífero estranho, mas isto não quer dizer que sou irregular! PRIMAS E PIRÂMIDES Tabela dos nomes especiais dos polígonos, segundo a tradição: 3 lados Triângulo ou trilátero 4 lados Quadrilátero 5 lados Pentágono 6 lados Hexágono 7 lados Heptágono ou Polígono de 7 lados 8 lados Octógono ou Polígono de 8 lados 9 lados Eneágono ou Polígono de 9 lados 10 lados Decágono ou Polígono de 10 lados 11 lados Undecágono ou Polígono de 11 lados 12 lados Dodecágono ou Polígono de 12 lados 15 lados Pentadecágono ou Polígono de 15 lados 20 lados Icoságono ou Polígono de 20 lados Elementos dos Polígonos São elementos dos polígonos lados, vértices e ângulos. Um polígono tem o mesmo número de lados, ângulos e vértices. Polígonos Regulares Um polígono regular é um polígono que: a) todos os lados têm a mesma medida b) todos os ângulos têm a mesma medida Veja alguns exemplos de Polígonos regulares: Qual é o triângulo regular? Qual é o quadrilátero regular?
  • 223.
    OTÁVIO LUCIANO CAMARGOSALES DE MAGALHÃES 223 MONTE AS FIGURAS DOS MOLDES e Complete a tabela NOME DA FORMA GEOMÉTRICA NÚMERO DE VÉRTICES V NÚMERO DE FACES F NÚMERO DE ARESTAS A V+F-A 2) Pinte nas planificações as BASES de azul e as FACES LATERAIS de amarelo:
  • 224.
    OTÁVIO LUCIANO CAMARGOSALES DE MAGALHÃES 224 3) Dê o nome para as figuras e conte vértices faces e arestas Forma ou Planificação Nome V F A V+F-A 4) Ligue as formas montadas com suas planificações? 5) Qual é o nome das figuras geradas pelas planificações abaixo? 6) Complete a tabela 7 lados na base 8 lados na base 100 lados na base ‘n’ lados na base Nome: Vértices Faces Arestas V+F-A
  • 225.
    OTÁVIO LUCIANO CAMARGOSALES DE MAGALHÃES 225 7) Complete a tabela 7 lados na base 8 lados na base 100 lados na base ‘n’ lados na base Nome: Vértices Faces Arestas V+F-A 8) Dadas as planificações dê o nome das formas 9) Dê o nome dos polígonos regulares: a) b) 10) (INEP – Guia de Itens – 8ª série) Observe a representação de um tetraedro regular. Qual das seguintes planificações é a desse tetraedro regular? 11) (INEP – Guia de Itens – 3ª série do Ensino Médio) A figura ao lado é a planificação de (A) uma pirâmide de base hexagonal. (B) um prisma de base hexagonal. (C) um paralelepípedo. (D) um hexaedro. (E) um prisma de base pentagonal.
  • 226.
    OTÁVIO LUCIANO CAMARGOSALES DE MAGALHÃES 226 DESENHO EM PAPEL QUADRICULADO Um importante instrumento que usamos em nossas aulas de Matemática são as malhas. Existem diversos tipos de malhas: a malha quadriculada (ou papel quadriculado) o papel milimetrado a malha triangular o papel isométrico Estas malhas servem em várias situações, e, nesta coleção serão utilizadas com freqüência. Todas podem ser utilizadas para desenhar Blocos Retangulares. Veja exemplos com papel quadriculado e com malha triangular: Cubo desenhado no Papel Quadriculado Cubo desenhado em malha triangular
  • 227.
    OTÁVIO LUCIANO CAMARGOSALES DE MAGALHÃES 227 1) Copie a figura em malha quadriculada.Treine. Você deverá fazer pelo menos 5 cópias corretas. 2) Copie as figuras, três vezes cada. 3) Copie a figura três vezes.
  • 228.
    OTÁVIO LUCIANO CAMARGOSALES DE MAGALHÃES 228 4) Copie a figura no quadriculado na forma normal e ampliada 2x. Faça isso duas vezes. 5) Copie no papel quadriculado. Duas vezes cada. 6) Copie no papel quadriculado, duas vezes cada:
  • 229.
    OTÁVIO LUCIANO CAMARGOSALES DE MAGALHÃES 229 7) Copie no papel quadriculado: 8) Copie no papel quadriculado:
  • 230.
    OTÁVIO LUCIANO CAMARGOSALES DE MAGALHÃES 230 9) Copie na malha quadriculada: 10) Copie na malha quadriculada:
  • 231.
    OTÁVIO LUCIANO CAMARGOSALES DE MAGALHÃES 231 11) Copie na malha quadriculada:
  • 232.
    OTÁVIO LUCIANO CAMARGOSALES DE MAGALHÃES 232 12) Veja a figura. Você deverá desenhá-la em várias posições, como se estivesse girando a figura. a) Gire a figura 90º para a esquerda (na horizontal) b) Gire a figura 180º na horizontal c) Gire a figura 90º para a direita (na vertical) d) Gire a figura 180º na vertical e) Reflita no espelho 13) Desenhe as figuras no papel quadriculado, segundo as regras que aprendemos:
  • 233.
    OTÁVIO LUCIANO CAMARGOSALES DE MAGALHÃES 233 EXERCÍCIOS 1) (Exame Final do Ensino Básico – Portugal – Matemática 92 – 3º Ciclo – 2012 – 1ª Chamada) Na Figura 1, está representado um recipiente com tinta. Nesse recipiente mergulhou-se um cubo branco, tal como se ilustra na Figura 2. Desta forma, a parte do cubo que ficou submersa adquiriu a cor da tinta. Em qual das opções seguintes pode estar uma planificação desse cubo depois de retirado do recipiente? Assinala a opção correta. 2) Quantos cubinhos faltam para completar o paralelepípedo?
  • 234.
    OTÁVIO LUCIANO CAMARGOSALES DE MAGALHÃES 234 2) A questão seguinte foi tema do Concurso Público de 2002 para Professor de 5ª à 8ª série da Prefeitura Municipal de Mogi das Cruzes, no estado de São Paulo, elaborada pela VUNESP: Todas as alternativas dadas representam planificações de um cubo. Os números no interior dos quadrados indicam a quantidade de pontos correspondentes a cada face de um dado de forma cúbica. Se a soma dos pontos marcados nas faces opostas é 7, a única alternativa que representa a planificação deste dado é 3) (Exame de Seleção do CEFET-SP – Ensino Médio – 1o semestre/2003) Sabe-se que para um dado ser equilibrado é necessário que a soma das faces opostas seja sempre 7. Observe a figura abaixo e aponte qual das figuras corresponde ao mesmo dado? a) b) c) d) e) 4) (Concurso do ICMS - 2002) Apresentam-se abaixo diferentes aspectos de um mesmo dado. São faces opostas neste dado: a) D e C b) A e C c) B e E d) B e D e) A e D 5) (XIX Olimpíada Brasileira de Matemática – Nível Júnior – 1a fase – 1997) A figura ao lado mostra três dados iguais. O número da face que é a base inferior da coluna de dados: a) é 1. b) é 2. c) é 4. d) é 6. e) pode ser 1 ou 4. 6) (XX Olimpíada Brasileira de Matemática – Nível 1 – 1a fase – 1998) Dezesseis cubos de 1cm de lado são colocados juntos, formando o paralelepípedo representado abaixo. A superfície do mesmo foi pintada de verde e, em seguida, os cubos foram separados. O número de cubos com exatamente duas faces verdes é: a) 2 b) 6 c) 4 d) 8 e) 10
  • 235.
    OTÁVIO LUCIANO CAMARGOSALES DE MAGALHÃES 235 7) (XX Olimpíada Brasileira de Matemática – Nível 2 – 1a fase – 1998) Pelo menos quantos metros de barbante são necessários para amarrar 15 pacotes, conforme a figura, sabendo que cada pacote mede 10cm  20cm  40cm, sendo reservados 20cm para o laço? a) 39 b) 36 c) 48 d) 56 e) 42 8) (XXII Olimpíada Brasileira de Matemática – Nível 1 – 1a fase – 2000) A figura abaixo foi desenhada em cartolina e dobrada de modo a formar um cubo. Qual das alternativas mostra o cubo assim formado? A) B) C) D) E) 9) (XXIII Olimpíada Brasileira de Matemática – Níveis 2 e 3 – 1a fase – 2001) Somente uma das figuras a seguir representa a planificação de um cubo na qual está destacada a sua interseção com um plano. Qual? A) B) C) D) E) 10) (XXIV Olimpíada Brasileira de Matemática – Nível 1 – 1a fase – 2002) Num armazém foram empilhadas embalagens cúbicas conforme mostra a figura a seguir. Se cada caixa pesa 25 kg, quanto pesa toda a pilha? A) 300 kg B) 325 kg C) 350 kg D) 375 kg E) 400 kg 11) (XXV Olimpíada Brasileira de Matemática – Nível 1 – 1a fase – 2003) Onze cubinhos, todos de mesma aresta, foram colados conforme a figura a seguir. O menor número de cubinhos, iguais aos já utilizados, que devem ser agregados ao sólido formado pelos onze cubinhos para obtermos um cubo maciço é igual a: A) 48 B) 49 C) 52 D) 53 E) 56
  • 236.
    OTÁVIO LUCIANO CAMARGOSALES DE MAGALHÃES 236 12) (XXV Olimpíada Brasileira de Matemática – Nível 1 – 2a fase – 2003) Em um dado comum a soma dos pontos sobre faces opostas é sempre 7. Beatriz construiu uma torre com 4 dados comuns iguais, colando as faces como mostrado na figura. Qual é o menor número de pontos que Beatriz pode obter somando todos os pontos das dezoito faces da superfície da torre? 13) (Concurso Público para Professor de 1ª à 4ª série – Prefeitura de Araçatuba - SP/2001) Qual é o volume deste sólido, formado por cubos de aresta medindo 1 metro? 14) (Exame de Admissão no Colégio Militar do Rio de Janeiro – 5ª série/2000) O aluno Miguel é curioso no estudo dos sólidos simples. Durante sua caminhada de retorno para casa, ao termino da aula, ele encontrou um paralelepípedo conforme a figura abaixo e então, resolveu identificar o número de vértice (V), somando-o ao número de faces (F) e, finalmente, subtraiu o número de arestas (A). Assim, a expressão V + F – A é igual a: a) 2 b) 3 c) 4 d) 5 e) 16 15) (Olimpíada de Matemática da Escola Pública do Ceará – Ensino Fundamental – Treinamento/2003) A figura abaixo deve ser dobrada de modo a formar um cubo. 16) (ENCCEJA – Ensino Médio – 2002) Para fazer um dado cúbico de cartolina, um garoto usou o molde com faces numeradas de 1 a 6, como mostra a figura ao lado. É correto afirmar que a soma dos números que estão em faces opostas (A) é sempre igual a 7. (B) nunca é múltiplo de 5. (C) é sempre menor que 10. (D) nunca é divisor de 20. 17)(ENCCEJA – Ensino Fundamental – 2002) Uma pessoa dispõe dos moldes representados abaixo e deseja montar uma caixa cúbica. Essa pessoa consegue atingir seu objetivo usando somente os moldes (A) I, II e III. (B) II, III e IV. (C) I, II e IV. (D) I, III e IV. a) 6 m3 b) 8 m3 c) 9 m3 d) 10 m3 A letra A está sobre uma face. A letra sobre a face oposta será: a) B b) C c) D d) E e) F
  • 237.
    OTÁVIO LUCIANO CAMARGOSALES DE MAGALHÃES 237 18) (UERJ-2000) Dobrando-se a planificação ao lado, reconstruímos o cubo que a originou. A letra que fica na face oposta à que tem um X é: a) V b) O c) B d) K 19) (Avaliação de Concluintes do Ensino Médio do Estado de São Paulo – 1997) A figura abaixo apresenta um cubo onde A, B, C, D, E, F, G e H são seus vértices: Considere as afirmações: I. A reta que passa por C e H é paralela à reta que passa por B e E II. A reta que passa por A e E é perpendicular ao plano que contém F, G e H III. O plano que contém A, E e B é paralelo ao plano que contém F, G e H. Então: a) todas as proposições são verdadeiras b) as proposições I e II são verdadeiras e a proposição III é falsa. c) a proposição I é falsa e as proposições II e III são verdadeiras d) a proposição II é falsa e as proposições I e III são verdadeiras e) todas as proposições são falsas. 20) (XXVI Olimpíada Brasileira de Matemática – Nível 1 – 1ª fase – 2004) Um cubo pode ser construído, a partir dos dois pedaços de papelão apresentados em uma das alternativas a seguir, bastando apenas dobrar nas linhas tracejadas e unir nas linhas contínuas. Esses dois pedaços são: A) B) C) E) D) 21) (XXVI Olimpíada Brasileira de Matemática – Nível 1 – 1ª fase – 2004) Observe a figura: Duas das figuras abaixo representam o objeto acima colocado em outras posições. I) II) III) IV) Elas são: A) I e II B) I e IV C) II e IV D) I e III E) II e III A B D C E F GH A B D C E F GH
  • 238.
    OTÁVIO LUCIANO CAMARGOSALES DE MAGALHÃES 238 22) (XXVI Olimpíada Brasileira de Matemática – Nível 3 – 1ª fase – 2004) O dono de uma loja empilhou vários blocos medindo 0,8m x 0,8m x 0,8m no canto da loja e encostados numa parede de vidro que dá para a rua, conforme mostra a figura abaixo. Quantos blocos no máximo, uma pessoa de 1,80m de altura que está do lado de fora da loja pode enxergar? Obs. Consideramos que uma pessoa pode enxergar uma caixa se consegue ver uma pequena região de área positiva de sua superfície. A) 13 B) 14 C) 15 D) 16 E) 17 23) (XXIV Olimpíada Paulista de Matemática – 6ª série – 2ª Fase – 2000) Questão 3 – Sobre uma mesa tenho quatro paralelepípedos reto-retângulos, todos iguais ao da figura seguinte: 7cm 3cm 5cm Vamos então construir outros paralelepípedos juntando todos os quatro, como por exemplo: 14cm 6cm 5cm Nas condições acima apresentadas, quantos paralelepípedos diferentes podemos construir? Justifique sua resposta com desenhos, especificando as medidas de cada paralelepípedo construído 24) (XXIV Olimpíada Paulista de Matemática – 6ª série – Fase Final – 2000) Um cubo de dimensões 5 cm x 5 cm x 5 cm é formado por “cubinhos” de 1 cm x 1 cm x 1 cm. São feitos três cavidades de dimensões 1 cm x 1 cm x 5 cm, 2 cm x 1 cm x 5 cm e 3 cm x 1 cm x 5 cm, retirando- se os “cubinhos”, como mostra a figura a seguir. Determine quantos “cubinhos sobraram na figura após a formação das três cavidades. 25) (XXVI Olimpíada Paulista de Matemática – Nível α – Fase Final – 2002) As 10 peças A, B, C, ..., J, mostradas a seguir, foram obtidas a partir de cubos de madeira de lado 10 cm. Algumas forma montadas colando-se três ou quatro cubos de madeira. a) Mostre como é possível montar um cubo de lado 20 cm utilizando algumas dessas peças. Você pode escolher aquelas que quiser! b) Mostre como é possível montar um cubo de lado 30 cm utilizando todas essas peças.
  • 239.
    OTÁVIO LUCIANO CAMARGOSALES DE MAGALHÃES 239 26) (Olimpíada Paulista de Matemática – 6ª série – Fase Final/1986) Em todos os dados a soma dos números nas duas faces opostas é igual a 7. a) Ao jogar cinco dados, a soma dos números das cinco faces voltadas para cima deu 17. Qual foi a soma dos números das faces opostas? Explique como você obteve sua resposta. b) Ao jogar três dados, o produto dos números das três faces voltadas para cima deu 36. Qual foi o produto dos números das faces opostas? Explique como você obteve sua resposta. 27) (Olimpíada Paulista de Matemática – 6ª série – 2ª Fase/1995) Na figura 1, temos a planificação de um cubo. Dobrando-se a planificação de maneira adequada, obtém-se um cubo. Imagine o cubo sobre uma mesa. A face de cima e a face em contato com a mesa são faces opostas estão marcadas com a mesma letra. O seu problema é este: na planificação de cubos mostradas abaixo, marcar as faces opostas. 28) (Olimpíada Paulista de Matemática – 6ª série – 2ª Fase/1996) Considere um cubo como o da figura à esquerda. O cubo será cortado por uma serra elétrica plana. Por exemplo, a serra pode cortá-lo passando pelo meio das arestas AD, BC e FG. O corte obtido será um quadrado como o da figura à direita. a) Se a serra passar pelos vértices D, B, F e H o corte será um polígono de quantos lados? Esses lados terão o mesmo tamanho? Por que? b) Se a serra passar pelos vértices D, B e G o corte será um polígono de quantos lados? Esses lados terão o mesmo tamanho? Por que? c) Se a serra passar pelos pontos médios das arestas AB, BF, FG, GH, HD e DA, o corte será um polígono de quantos lados? 29) (Olimpíada Paulista de Matemática – 7ª série – Fase Final/1984) Em um dado, a soma dos pontos de duas faces opostas é sempre igual a 7. Duas pessoas estão sentadas frente e, entre elas está um destes dados. Cada uma vê três faces do dado. Uma pessoa vê 9 pontos, a outra 15. Quantos pontos tem a face na qual está apoiado o dado? A B D C E F GH A B D C E F GH
  • 240.
    OTÁVIO LUCIANO CAMARGOSALES DE MAGALHÃES 240 30) Este desafio foi publicado na Revista Superinteressante especial “Super Legal” da Editora Abril em 2003. 31) O Exercício abaixo foi retirado da revista Tio Patinhas, da Editora Abril. Relacione as peças aos cubos correspondentes: 32) Resolva agora um problema que caiu nas Olimpíadas Paulistas de Matemática - OPM em 1980, na prova da 5a Série (2a fase): a) Empilhei caixas cúbicas n centro de uma sala e esqueci de contá-las. Quantas estão empilhadas (veja a figura)? b) Para completar um paralelepípedo com a base que temos, de quantas caixas irei precisar?
  • 241.
    OTÁVIO LUCIANO CAMARGOSALES DE MAGALHÃES 241 VISTAS 1) Desenhe as vistas lateral, frontal e superior das figuras: 2) Desenhe as vistas lateral, frontal e superior dessa figura: 3) (Adaptado do GAVE) Veja a figura, desenhe as vistas e conte quantos cubinhos possui: 4) (Ione Fernandes) Associe cada pilha com sua vista superior:
  • 242.
    OTÁVIO LUCIANO CAMARGOSALES DE MAGALHÃES 242 5) (AjudaAlunos) Responda a questão e desenhe as vistas corretas. 6) (Excer – Portugal) 7) A figura abaixo, do Blog Fabricadedibujos, mostra as várias vistas de um cubo sob várias perspectivas. Seu desafio é copiar essas vistas:
  • 243.
    OTÁVIO LUCIANO CAMARGOSALES DE MAGALHÃES 243 8) Desenhe uma pilha de cubos com as seguintes projeções ortogonais (vistas): 9) Dadas as vistas, desenhe uma pilha de cubos: 10) Desenhe as vistas dos sólidos:
  • 244.
    OTÁVIO LUCIANO CAMARGOSALES DE MAGALHÃES 244 11) Associe as vistas aos sólidos: 12) Monte o quebra cabeças conforme o modelo (faça isso fisicamente): 13) Veja as vistas de um carrinho e de um caminha. Faça o mesmo com objeto a sua escolha:
  • 245.
    OTÁVIO LUCIANO CAMARGOSALES DE MAGALHÃES 245 14) (Fernando Jackson) Associe os cubos às suas vistas: 15) Desenhe as vistas do apontador:
  • 246.
    OTÁVIO LUCIANO CAMARGOSALES DE MAGALHÃES 246 16) Desenhe o carinho em forma tridimensional: 17) Pinte a face de cada dimensão de uma cor (serão 3 cores): 18) Desenhe a figura com as seguintes vistas:
  • 247.
    OTÁVIO LUCIANO CAMARGOSALES DE MAGALHÃES 247 19) Complete a tabela: 20)Desenhe as vistas:
  • 248.
    OTÁVIO LUCIANO CAMARGOSALES DE MAGALHÃES 248 Sugestão de Leitura: Obra e Arte com Cubos: Kubor – Manfred Pernice http://entretenimento.uol.com.br/album/obras_29bienal_album.htm?abrefoto=1
  • 249.
    OTÁVIO LUCIANO CAMARGOSALES DE MAGALHÃES 249 EXERCÍCIOS 1) (Ajudaalunos) Observe o seguinte desenho. Se o desenho que está no ecrãn do computador for iniciado no ponto A, quais foram as ordens dadas pelo computador? a) Avance 2, esquerda 90º, avance 3, direita 90º, avance 2 ,direita 90º,avance 3. b) Repita 3 vezes [avance 2, esquerda 90º, avance 3, direita 90º, avance 2, direita 90º, avance3]. c) Repita 2 vezes [avance 2, esquerda 90º, avance 2, esquerda 90º, avance 2, esquerda 90º]. d) Repita 2 vezes [avance 2, esquerda 90º, avance 3, direita 90º, avance 2, direita 90º, avance3]. 2) Classifique em PRISMAS ou PIRÂMIDES: 3) Concurso para Professores de Matemática de 5ª à 8ª séries e Ensino Médio PEB II – Governo de São Paulo – 1998) Considere as três afirmações seguintes. I. Se uma pirâmide tem 30 arestas, então ela tem 16 vértices. II. Não existe prisma com 93 arestas. III. Um poliedro convexo com 12 arestas e 7 vértices tem 7 faces. Então, pode-se afirmar que a) I, II e III são verdadeiras b) apenas I e III são verdadeiras c) apenas I e II são verdadeira d) apenas II e III são verdadeiras e) nenhuma delas é verdadeira 4) (Concurso para Professores de Matemática de 5ª à 8ª séries – Governo de Minas Gerais – 2001) O número de arestas que um prisma reto de base hexagonal possui é: a) 18 b) 12 c) 8 d) 4 5) (Concurso para Professor de Matemática de 5ª à 8ª séries – Prefeitura de Orlândia – 2003) Analise as seguintes afirmativas sobre prismas e pirâmides: I. Uma pirâmide com 16 arestas tem 9 vértices; II. Existe prisma com 27 arestas; III.Existe pirâmide com 27 arestas; IV. Um prisma com 12 faces tem 20 vértices. Pode-se afirmar que estão corretas, apenas, as afirmações: a) I, II e III b) I, II e IV c) II, II e IV d) I e IV e) III e IV 6) (Concurso para Professor de Matemática de 5ª à 8ª séries – Prefeitura de Mogi das Cruzes – 2003) Um prisma tem 24 arestas. Pode-se afirmar que o número de faces desse prisma é: a) 8 b) 10 c) 12 d) 14 e) 16
  • 250.
    OTÁVIO LUCIANO CAMARGOSALES DE MAGALHÃES 250 7)(Concurso para Professor de Matemática do Ensino Médio – Governo de Minas Gerais – 2001) Um prisma com 9 faces será do tipo: a) pentagonal b) hexagonal c) heptagonal d) eneagonal 8) (Concurso Público para Professor de 1ª à 4ª série – Prefeitura de Araçatuba - SP/2001) Observe os sólidos geométricos: Qual deles tem: 8 arestas, 5 vértices e 5 faces? a) o prisma b) a pirâmidec) o cilindro d) o cone 9)(ENCCEJA – Ensino Médio – 2002) Paulo está construindo caixas em forma de pirâmide para montar o cenário de uma peça de teatro e tem a sua disposição peças de madeira recortadas como nas figuras. Como base para a pirâmide, Paulo pode usar as peças (A) III e IV. (B) II e V. (C) I e III. (D) II e IV. 10)(Exame de Seleção do Colégio Pedro II – 1a série do Ensino Médio 2003) Um polígono possui vértice duplo ou nó quando deste vértice partem mais de dois lados. Um polígono que apresenta um ou mais nós chama-se composto. Euler, um importante matemático, descobriu que, para um polígono de v vértices, i regiões internas e λ lados, vale a seguinte relação: Nas figuras abaixo as regiões internas estão hachuradas. a) Complete a tabela abaixo: FIGURA v i  1 3 1 3 2 5 2 6 3 7 3 4 12 5 2 8 b) Quantos vértices possui um polígono com 14 lados e 4 regiões internas? c) Determine o número de lados de um polígono com 18 vértices, cujo número de lados é o triplo do número de regiões internas, mais 3.
  • 251.
    OTÁVIO LUCIANO CAMARGOSALES DE MAGALHÃES 251 11)(Exame de Seleção do Colégio Pedro II – 1a série do Ensino Médio 2003) A figura abaixo representa uma pirâmide de base quadrada A pirâmide de base quadrada tem cinco faces, como você pode observar na planificação abaixo. Luiz deseja pintar as faces da pirâmide e não vai usar mais de uma cor na mesma face. Ele decidiu também que, em sua pirâmide montada, duas faces com uma aresta em comum, não podem ter a mesma cor. a) Quantas cores, no mínimo, Luiz precisa usar para pintar a pirâmide desta forma? b) Luiz tem 5 tintas de cores diferentes: amarelo, azul, vermelho, verde e roxo. Ele pintou três faces de sua pirâmide com as cores representadas na planificação abaixo: De quantas maneiras diferentes ele pode acabar de pintar essa pirâmide? 14)(UNESP – SP) Se dobrarmos convenientemente as linhas tracejadas da figura ao lado, obteremos uma figura espacial cujo nome é: a) pirâmide de base pentagonal b) paralelepípedo c) octaedro d) tetraedro e) prisma 15) Nas planificações abaixo, I - dê o nome das figuras; II – pinte de AZUL as bases e VERMELHO as faces laterais. 16) Desenhe o molde de: a) Um prisma quadrangular b) Uma pirâmide triangular 17) Dê o nome das formas geométricas:
  • 252.
    OTÁVIO LUCIANO CAMARGOSALES DE MAGALHÃES 252 18) Quantos vértices, faces e arestas tem: a) Prisma octogonal b) Pirâmide eneagonal V=_____ F=______ A=_____ V=_____ F=______ A=_____ c) Prisma decagonal d) Pirâmide icosagonal V=_____ F=______ A=_____ V=_____ F=______ A=_____ e) Prisma com 80 lados na base f) Pirâmide com 200 lados na base V=_____ F=______ A=_____ V=_____ F=______ A=_____ 19) Responda as questões: a) Que prisma tem 18 arestas? b)Que prisma tem 24 vértices? _______________________________ _______________________________ c) Que prisma tem 10 faces? d) Que pirâmide tem 10 vértices? _______________________________ _______________________________ e) Que pirâmide tem 18 arestas? f) Que pirâmide tem 12 faces? _______________________________ _______________________________ 20) Desenhe as planificações de: a) Um prisma eneagonal b) Uma pirâmide pentagonal 21) Nas planificações abaixo, I - dê o nome das figuras; II – pinte de AZUL as bases e VERMELHO as faces laterais. 22) Quantos são os vértices, faces e arestas do: a) Prisma com base com 80 lados b) Pirâmide com base com 150 lados V=____ F=______ A=_______ V=____ F=______ A=_______ 23) Desenhe o molde de: a) Um prisma pentagonal b) Uma pirâmide hexagonal
  • 253.
    OTÁVIO LUCIANO CAMARGOSALES DE MAGALHÃES 253 24) Determine: a) Os vértices: b) As arestas c) As faces 25) Usando uma régua graduada faça um molde de blocos retangulares de dimensões: a) 2 cm x 1,5 cm x 0,5 cm b) 3 cm x 0,5 cm x 0,5 cm Monte os blocos e apresente. 26) Responda: a) Qual é o prisma que tem 21 arestas? b) Qual é a pirâmide com 10 faces? 28)Veja a figura abaixo e responda a) Quantos são os vértices? b) Quantas são as faces? c) Quantas são as arestas? d) Calcule V+F-A 29) Construa em papel sulfite o molde para construir a seguinte figura
  • 254.
    OTÁVIO LUCIANO CAMARGOSALES DE MAGALHÃES 254 POLIEDROS DE PLATÃO 1)Dê o nome dos sólidos abaixo: p 2)Duas histórias interessantes relacionadas com este tema. Uma diz respeito ao Filósofo Grego Platão, outra ao Astrônomo e Físico Johannes Kepler. Platão associou os 4 elementos com os sólidos. Para ele a terra era o cubo, o ar era o octaedro regular, a água o icosaedro regular, o fogo o tetraedro regular. O formato do éter, a “alma do universo”, o “5º elemento” era um dodecaedro regular. Esta idéia está escrita em seu livro Timeu publicado em cerca de 360aC. Fonte: http://www.pythagoras.nu/mmmcms/public/artikel_printversie.php?deze_art_online_id=124 Associe os nomes às gravuras acima. 3) Escreva o nome dos sólidos cuja planificação está abaixo: 4)O que é um Poliedro Regular? 5)Preencha a tabela: Poliedro Regular V F A Número de arestas que Sai de um vértice Número de lados da Face T H O D I
  • 255.
    OTÁVIO LUCIANO CAMARGOSALES DE MAGALHÃES 255 A palavra poliedro vem do grego poli=muitas, edros=faces. Podemos fazer várias classificações de poliedros: a) Quanto à convexidade: em convexo e não convexo b) Quanto à característica: em euleriano e não euleriano c) Quanto à planificação: em planificável e não planificável Afirmamos para você, que, segundo as nossas definições (que não são universais): 1) Todo poliedro convexo é euleriano. 2) Todo poliedro planificável é euleriano. Gostaríamos de observar a nomenclatura dos poliedros: 4 faces tetraedro 5 faces pentaedro 6 faces hexaedro 7 faces heptaedro 8 faces octaedro 9 faces eneaedro 10 faces decaedro 11 faces undecaedro 12 faces dodecaedro 15 faces pentadecaedro 20 faces icosaedro Sugerimos que você faça o download do software Poly e brinque um pouquinho. Lá você encontrará muitos sólidos e poderá explorá-los. O site é www.peda.com/poly/. É um software livro, por isto você pode usá-lo em classe, sem maiores problemas. Além disso, cabe em um disquete. EXERCÍCIOS. 1) Quanto ao número de faces, o cubo é um: ( ) Tetraedro ( ) Hexaedro ( ) Octaedro 2) Quanto ao número de faces uma pirâmide quadrangular é um: ( ) Tetraedro ( ) Pentaedro ( ) Octaedro 3) Qual prisma é um hexaedro? ( ) Prisma triangular ( ) Prisma quadrangular( ) Prisma hexagonal 4) Veja o poliedro “escada”, primeiro exemplo da folha anterior. Qual é o total de vértices, faces e arestas? V= _____ F= _____ A= ____ 5) Calcule vértices, faces e arestas da figura:
  • 256.
    OTÁVIO LUCIANO CAMARGOSALES DE MAGALHÃES 256 6) Calcule o número de vértices, faces e arestas: CALCULANDO VÉRTICES, FACES E ARESTAS DE UM POLIEDRO Você pode ler o livro “Poliedros de Platão e os Dedos da Mão”, e compreender em detalhes as técnicas que usamos. IMPORTANTE: Esta técnica só funciona em poliedros em que todos os vértices tem o mesmo grau, ou seja, deles parte o mesmo número de arestas, e também que cada aresta pertença a exatamente 2 faces de um poliedro. (Ou seja, funciona com sólidos de Platão ou de Arquimedes). Cálculo do Número de Faces – A estratégia que descreveremos depende que você conte o número de faces, inclusive, registrando quando faces de cada tipo o poliedro possui. Cálculo do Número de Arestas – Cada aresta pertence a 2 faces exatamente (divisória). Então, pegamos o número de faces de cada quantidade de lados e multiplicamos pelo número de lados, somamos e o resultado dividimos por dois (veja o exemplo). Cálculo do Número de Vértices – Fazemos o mesmo cálculo acima, mas, dividimos pelo grau do vértice. Exemplos: Cubo (aqui é só contar, não é preciso da técnica, mas faremos como exemplo) Faces: 6 faces quadrangulares (quadradas) Arestas: 6 faces x 4 lados = 24; 242=12 arestas Vértices: 6 faces x 4 lados = 24; grau dos vértices: 3 (partem 3 arestas de cada vértice); 243=8 vértices Dodecaedro Faces: 12 faces pentagonais Arestas: 12 faces x 5 lados = 60; 602=30 arestas Vértices: 12 faces x 5 lados = 60; grau dos vértices: 3 (g=3); 603=20 vértices. Poliedro Bola, Buckyball ou Icosaedro Truncado Faces: 12 faces pentagonais, 20 faces hexagonais; total de faces: 12+20=32 faces Arestas: 12x5+20x6=60+120=180; 1802=90 arestas Vértices: grau dos vértices: 3; 1803=60 vértices Tetraedro Truncado Faces: 4 faces hexagonais, 4 faces triangulares; total de faces: 4+4=8 faces Arestas: 4x6+4x3=24+12=36; 362=18 arestas Vértices: grau do vértice: 3; 183=6 arestas
  • 257.
    OTÁVIO LUCIANO CAMARGOSALES DE MAGALHÃES 257 Ache, segundo as estratégias acima, o número de vértices, faces e arestas, dadas a figura e sua planificação Poliedro Regular é aquele que: (i) Tem todas faces com o mesmo número de lados. (ii) Os lados são polígonos regulares. (iii) De todos os vértices sai o mesmo número de arestas. (Todos vértices tem o mesmo grau.) O Poliedro de Platão não tem obrigatoriamente que seguir o item (ii). Iniciais: THODI – regra mnemônica para decorar quais são os sólidos de platão. Somente estes 5 poliedros regulares existem. Não é possível existir um 5º poliedro Regular. Podemos provar, facilmente, que não é possível existir um 6º poliedro Regular. O livro “Os Poliedros de Platão e os Dedos da Mão” chegam a estes resultado fundamental, da não existência do 5º poliedro regular. Vejam os conceitos e simbologias: Considere então: Prisma Piramidal Triangular – PP3 Prisma Piradimal Quadrangular – PP4 Prisma Piramidal N-agonal – PPn * Prisma Piramidal Triangular (ou Pirâmide Triangular Alongada ou Sólido de Johnson 7 – J7) * Prisma Piramidal Quadrangular (ou Pirâmide Quadrangular Alongada ou Sólido de Johnson 8 – J8) * Prisma Piramidal Pentagonal (ou Pirâmide Pentagonal Alongada ou Sólido de Johnson 9 – J9) a) Preencha a tabela: PP3 PP4 PP5 PP6 PP7 PP8 PP9 PP10 PP89 PP144 PP387 PPn V F A b) As seqüências de vértices, de faces e arestas estão em Progressão Aritmética, assim como estão as seqüências de Prismas e Pirâmides. c) Mostre que para os Prismas Piramidais, V+F-A=2.
  • 258.
    OTÁVIO LUCIANO CAMARGOSALES DE MAGALHÃES 258 Identificar quais sólidos correspondem ao 1 e 2: EXERCÍCIOS 1) (Concurso para Professor de Matemática de 5ª à 8ª séries e Ensino Médio – SESI-SP/04) O livro Timeu, escrito no século IV a.C contém as idéias de Platão sobre 5 poliedros regulares: o tetraedro, o cubo, o octaedro, o dodecaedro e o icosaedro, chamados “poliedros de Platão”. Imagine que você seja joalheiro e que possua uma pedra preciosa na forma de um cubo, e deseja esculpi-la. A pedra esculpida terá a forma de um poliedro de Platão cujos vértices, originalmente, eram os pontos centrais das faces do cubo. Quantas faces terá a pedra esculpida? a) 4 b) 6 c) 8 d) 12 e) 20 2) (Concurso para Professor de Matemática de 5ª à 8ª séries e Ensino Médio PEBII do Estado de São Paulo – 2003) Qual dos diagramas abaixo representa os argumentos a seguir? Alguns tetraedros são regulares. Todos os tetraedros são pirâmides. Logo, algumas pirâmides são regulares 3) (UERJ-1999) Um icosaedro regular tem 20 faces e 12 vértices, a partir dos quais retiram-se 12 pirâmides congruentes. As medidas das arestas dessas pirâmides são iguais a 1/3 da aresta do icosaedro. O que resta é um tipo de poliedro usado na fabricação de bolas. Observe as figuras. Para confeccionar uma bola de futebol, um artesão usa esse novo poliedro, no qual cada gomo é uma face. Ao costurar dois gomos para unir duas faces do poliedro, ele gasta 7 cm de linha. Depois de pronta a bola, o artesão gastou, no mínimo, um comprimento de linha igual a: a) 7,0 m b) 6,3 m c) 4,9 m d) 2,1 m
  • 259.
    OTÁVIO LUCIANO CAMARGOSALES DE MAGALHÃES 259 4) Uma bola de futebol é composta por 20 “gomos” hexagonais e 12 “gomos” pentagonais. Uma costureira gasta 15 cm de linha para emendar os gomos e formar uma bola. Quantos metros de linha usa essa costureira? 5) Desenhe: a) Pentágono não convexo b) Eneágono não convexo c) Heptágono não convexo 6) Dê o nome às formas: a) b) 7) Dada a forma geométrica e a planificação, encontre vértices, faces e arestas: 8) Qual é o formato das faces laterais do: a) Prisma_____________________________ b) Pirâmide _________________________ 9) Classifique as figuras quanto ao número de faces 4 faces – TETRAEDRO 5 faces – PENTAEDRO 6 faces – HEXAEDRO 7 faces – HEPTAEDRO 8 faces – OCTAEDRO 9 faces – ENEAEDRO 10 faces – DECAEDRO 11 faces – UNDECAEDRO 12 faces – DODECAEDRO 15 faces – PENTADECAEDRO 20 faces – ICOSAEDRO Como se classificaria quanto ao número de faces: a) a pirâmide hexagonal b) o prisma pentagonal _____________________________ _____________________________ c) a pirâmide eneagonal d) o prisma heptagonal _____________________________ _____________________________
  • 260.
    OTÁVIO LUCIANO CAMARGOSALES DE MAGALHÃES 260 11) Associe cada figura às suas planificações: 12) Classifique os poliedros quanto às faces 13) Um ponto que aparece em uma face de cada planificação estará também em outras faces depois de montada a figura. Quais são essas outras faces? Responda sem montar a figura. 14) Cada planificação a seguir tem uma face pintada que será vizinha de outras faces depois de montada a figura. Sem montá-la, assinale essas outras faces.
  • 261.
    OTÁVIO LUCIANO CAMARGOSALES DE MAGALHÃES 261 O PROBLEMA DAS SETE PONTES DE KÖNIGSBERG Se você ainda não conhece, vai conhecer agora um dos mais importantes e divulgados problemas de toda a Matemática, o problema das Sete Pontes de Königsberg, resolvido por Euler. Königsberg foi durante muito tempo uma cidade da Prússia (o nome vem do alemão König = rainha, Berg = montanha). Nesta cidade viveram muitos intelectuais da história da humanidade, inclusive o grande filósofo Immanuel Kant (que passou toda sua vida sem nunca sair desta cidade) e o matemático Regiomontanus (cujo apelido era este por ser uma versão latinizada do nome de sua cidade). Hoje a cidade se chama Kaliningrado, e pertence à Rússia, apesar de ficar encravado entre a Polônia e as antigas repúblicas da União Soviética. É a saída russa para o Oceano Altântico. O problema consistia em percorrer todas as pontes sem passar mais de uma vez por qualquer ponte. Ninguém conseguia resolver o problema, e sempre era necessário passar mais de uma vez por qualquer ponte. Retirando-se uma ponte, o problema tornava-se solúvel. Acrescentando-se uma ponte, também. Euler resolveu o problema usando grafos (veja o texto abaixo). Só para compreender o problema da impossibilidade. Imagine a figura ao lado. A parte de cima é o mapa geográfico das sete pontes, separado em 4 partes, A e B (margens) e B e D, ilhas, do Rio Prege, que banha a cidade. Representando as 4 partes por pontos (chamados vértices), e as pontes por linhas (chamadas arestas), separamos o plano em 5 regiões (4 “internas” e 1 “externa”). Esta figura é um Grafo (note que V+R-A=2, sendo R as regiões). Resolver o problema das sete pontes equivale a desenhar o grafo sem tirar o lápis do Papel. Isto não é possível, visto que, de todos os vértices sai um número ímpar de arestas (os vértices possuem grau ímpar), e, para fazer o desenho sem tirar o lápis do papel, deveríamos ter, no máximo 2 vértices de grau ímpar (o começo e o fim do desenho). Para compreender melhor esta idéia – que é fundamental – leia o livro “Par ou Ímpar”, de Luís Márcio Imenes, da Editora Ática, Coleção “Vivendo a Matemática”. CONHEÇA TAMBÉM: o problema da água, luz e telefone.
  • 262.
    OTÁVIO LUCIANO CAMARGOSALES DE MAGALHÃES 262 SÓLIDOS DE REVOLUÇÃO 1)Desenhe a forma geradora dos sólidos abaixo se eles forem de revolução (despreze detalhes mínimos). Caso contrário, assinale-os com um x: 2) (ENEM – 1998) Assim como na relação entre o perfil de um corte de um torno e a peça torneada, sólidos de revolução resultam da rotação de figuras planas em torno de um eixo, girando-se as figuras abaixo em torno da haste indicada obtém-se os sólidos de revolução que estão na coluna da direita. A correspondência correta entre as figuras planas e os sólidos de revolução obtidos é: a) 1A, 2B, 3C, 4D, 5E. b) 1B, 2C, 3D, 4E, 5A c) 1B, 2D, 3E, 4A, 5D d) 1D, 2E, 3A, 4B, 5C e) 1D, 2E, 3B, 4C, 5A
  • 263.
    OTÁVIO LUCIANO CAMARGOSALES DE MAGALHÃES 263 3) (ENEM 2001) Existem diferentes formas de representação plana da superfície da Terra (planisfério). Os planisférios de Mercator e de Peters são atualmente os mais utilizados. Mercator Peters Apesar de usarem projeções, respectivamente, conforme e equivalente, ambas utilizam como base da projeção o modelo: a) b) c) d) e) 4) (ENEM 2002) O mercado financeiro mundial funciona 24 horas por dia. As bolsas de valores estão articuladas, mesmo abrindo e fechando em diferentes horários, como ocorre com as bolsas de Nova Iorque, Londres, Pequim e São Paulo. Todas as pessoas que, por exemplo, estão envolvidas com exportações e importações de mercadorias precisam conhecer os fusos horários para fazer o melhor uso dessas informações. Considerando que as bolsas de valores começam a funcionar às 09:00 horas da manhã e que um investidor mora em Porto Alegre, pode-se afirmar que os horários em que ele deve consultar as bolsas e a seqüência em que as informações são obtidas estão corretos na alternativa: (A) Pequim (20:00 horas), Nova Iorque (07:00 horas) e Londres (12:00 horas). (B) Nova Iorque (07:00 horas), Londres (12:00 horas) e Pequim (20:00 horas). (C) Pequim (20:00 horas), Londres (12:00 horas) e Nova Iorque (07:00 horas). (D) Nova Iorque (07:00 horas), Londres (12:00 horas), Pequim (20:00 horas). (E) Nova Iorque (07:00 horas), Pequim (20:00 horas ), Londres (12:00 horas).
  • 264.
    OTÁVIO LUCIANO CAMARGOSALES DE MAGALHÃES 264 QUESTÕES DO 6º ANO – GEOMETRIA – ESCOLA NOVA – MONTE SANTO - 2014 Questão 1 Defina: a) Triângulo__________________________________________________ b) Quadrilátero__________________________________________________ c) Losango__________________________________________________ d) Retângulo_______________________________________________ e) Paralelogramo______________________________________________ f) Trapézio________________________________________________ g) Quadrado_________________________________________________ Agora desenhe um exemplo de cada uma das figuras definidas. Questão 2 Como eu classifico os triângulos: a) Quanto aos lados? b) Quanto aos ângulos? (Dê os nomes e explique os tipos) Questão 3 Se eu dobrar uma folha quadrada pela diagonal, eu terei um triângulo _______________ e ________________. (Classifique-o quanto aos lados e aos ângulos). Questão 4 a) Qual quadrilátero é ao mesmo tempo losango e retângulo?___________________ b) Todo quadrado é retângulo?__________ c) Todo retângulo é quadrado?__________ d) Todo losango é quadrado?__________ e) Todo quadrado é losango?___________ Questão 5 Represente em diagramas de Venn os quadrados, losangos e retângulos. Questão 7 Estime as dimensões: a) Da lousa b) De seu quarto c) Do cadarço de seu sapato d) Da quadra da escola e) Do prédio mais alto da cidade
  • 265.
    OTÁVIO LUCIANO CAMARGOSALES DE MAGALHÃES 265 Questão 9 Veja diversas situações e conte quantos cubos possui cada pilha. Explique o raciocínio. SITUAÇÃO I SITUAÇÃO II SITUAÇÃO III (duas vistas da MESMA pilha) SITUAÇÃO IV SITUAÇÃO V SITUAÇÃO VI Questão 10 Qual dos desenhos abaixo NÃO é uma planificação do cubo? Questão 11 Quais dos dados abaixo estão corretos? Lembre que a soma das faces opostas sempre é 7: Questão 12 (Adaptado OBMEP) Em um dado, a soma das faces opostas sempre é 7. Dois dados iguais foram colados como na figura. Qual é a soma dos números que estão nas faces coladas?
  • 266.
    OTÁVIO LUCIANO CAMARGOSALES DE MAGALHÃES 266 GABARITO Questão 1 Defina: DEFINIR TEM UM SIGNIFICADO PRÓPRIO!!!! h) Triângulo é o polígono de 3 lados. i) Quadrilátero é o polígono de 4 lados. j) Losango é o quadrilátero que tem 4 lados iguais. k) Retângulo é o quadrilátero que tem 4 ângulos retos. l) Paralelogramo é o quadrilátero que tem 2 pares de lados paralelos m) Trapézio é o quadrilátero que tem 1 par de lados paralelos n) Quadrado é o quadrilátero que tem 4 lados iguais e 4 ângulos retos. Agora desenhe um exemplo de cada uma das figuras definidas. Questão 2 Como eu classifico os triângulos: c) Quanto aos lados? Equilátero: se ele tiver os 3 lados iguais Isósceles: se ele tiver 2 lados iguais Escaleno: se não tiver nenhum lado igual d) Quanto aos ângulos? Retângulo: se ele tiver 1 ângulo reto + 2 ângulos agudos Obtusângulo: se ele tiver 1 ângulo obtuso + 2 ângulos agudos Acutângulo: se ele tiver os 3 ângulos agudo (Dê os nomes e explique os tipos) Questão 3 Se eu dobrar uma folha quadrada pela diagonal, eu terei um triângulo retângulo_ e isósceles. (Classifique-o quanto aos lados e aos ângulos). ESSE É UM TRIÂNGULO RETÂNGULO ISÓSCELES Questão 4 f) Qual quadrilátero é ao mesmo tempo losango e retângulo?Quadrado g) Todo quadrado é retângulo? SIM h) Todo retângulo é quadrado? NÃO i) Todo losango é quadrado?NÃO j) Todo quadrado é losango? SIM
  • 267.
    OTÁVIO LUCIANO CAMARGOSALES DE MAGALHÃES 267 CONSTRUÇÕES EM PAPEL ISOMÉTRICO 1) Veja as figuras: a) Quantos cubos tem a pilha? b) Desenhe a pilha de cubos no papel isométrico (pontilhado) 2) Colorir os cubinhos de acordo com suas dimensões. 3) Copie o desenho:
  • 268.
    OTÁVIO LUCIANO CAMARGOSALES DE MAGALHÃES 268 4) Copie os desenhos: 5) Copie os desenhos: EXERCÍCIOS
  • 269.
    OTÁVIO LUCIANO CAMARGOSALES DE MAGALHÃES 269 1) Tente copiar o sofá: 2) Faça cópias das figuras:
  • 270.
    OTÁVIO LUCIANO CAMARGOSALES DE MAGALHÃES 270 3) Reproduza as figuras: 4) Veja alguns desenhos. Tente copiar algum deles em tamanho natural! 5) Copie em papel isométrico:
  • 271.
    OTÁVIO LUCIANO CAMARGOSALES DE MAGALHÃES 271 6) Tente reproduzir em papel isométrico ou quadriculado:
  • 272.
    OTÁVIO LUCIANO CAMARGOSALES DE MAGALHÃES 272 7) Reproduza no papel isométrico:
  • 273.
    OTÁVIO LUCIANO CAMARGOSALES DE MAGALHÃES 273 8) Faça em papel isométrico ou quadriculado, mas continue mais 2 desenhos na sequência:
  • 274.
    OTÁVIO LUCIANO CAMARGOSALES DE MAGALHÃES 274 9) Tente reproduzir a seguinte atividade de desenho técnico:
  • 275.
    OTÁVIO LUCIANO CAMARGOSALES DE MAGALHÃES 275 CURVA DE JORDAN (Canguru Matemático – 2015 – 4+) . Na figura `a direita vemos uma ilha com uma costa muito recortada e alguns sapos. Quantos desses sapos estão na ilha? CURVA DE JORDAM Diga se cada ponto está dentro ou fora da curva:
  • 276.
    OTÁVIO LUCIANO CAMARGOSALES DE MAGALHÃES 276 O QUE NÃO VALE FAZER (Colorir)
  • 277.
    OTÁVIO LUCIANO CAMARGOSALES DE MAGALHÃES 277 POLIEDROS DE ARQUIMEDES
  • 278.
    OTÁVIO LUCIANO CAMARGOSALES DE MAGALHÃES 278 SÓLIDOS DE JOHNSON Um sólido de Johnson é um Poliedro onde as faces são polígonos regulares e que não são sólidos de Platão, nem um sólido de Arquimedes, nem um prisma nem um antiprisma. Norman Johnson elaborou uma lista de 92 sólidos em 1966, nomeou e numerou todos.
  • 279.
    OTÁVIO LUCIANO CAMARGOSALES DE MAGALHÃES 279 FAIXA DE MÖBIUS E GARRAFA DE KLEIN Muitas coisas ainda poderíamos falar sobre sólidos, mas, vamos parar por aqui, falando de um objeto muito importante dentro da Topologia, que é a Faixa de Möbius. Não entraremos em detalhes ou ressaltaremos toda a importância deste objeto, mas, apresentaremos ela sucintamente, da mesma forma que a Garrafa de Klein. Veja algumas gravuras da Faixa de Möbius, colhidas na Internet. Você irá compreender o que é esta Faixa, sem nenhuma explicação. A Faixa de Möbius, é um objeto tridimensional no plano. A Garrafa de Klein é um objeto da 4ª dimensão (portanto, para nós, imaginário) no espaço tridimensional. É complexo compreender esta noção. Veja alguns desenhos da Garrafa de Klein.
  • 280.
    OTÁVIO LUCIANO CAMARGOSALES DE MAGALHÃES 280 FRACTAIS TRIÂNGULO DE SIERPINSKY Um fractal muito famoso, é o Triângulo de Sierpinsky. Suficientemente elementar para o estudarmos e fazermos algumas análises sobre ele. Abaixo 4 iterações sobre o Triângulo de Sierpinsky. Lembre que isto é apenas uma idéia do Fractal. Os desenhos não são fractais, pois os fractais se repetem continuamente e infinitamente.
  • 281.
    OTÁVIO LUCIANO CAMARGOSALES DE MAGALHÃES 281 Agora, é com você! Vamos desenhar um Triângulo de Serpinsky ILHA DE VON KOCH Outro fractal interessante e conhecido é a Ilha de Von Koch. Muitas vezes associada à fractais de flocos de neve em filmes.
  • 282.
    OTÁVIO LUCIANO CAMARGOSALES DE MAGALHÃES 282 CONTRUÇÃO DE UM FRACTAL EM FOLHA DE PAPEL 1a Atividade: Construção de um Fractal numa Folha de Papel Instruções: 1. Meça o comprimento da folha ( = a ) 2. Meça a largura da folha ( = b ) 3. Dobre a folha de papel ao meio 4. Faça 2 cortes de comprimento a/4 afastados de cada lado do papel b/4 5. Dobre segundo o segmento criado pelos dois cortes 6. Repita os passos 1 - 5, mas agora para a parte da folha que acabou de dobrar 7. Continue o processo o máximo de vezes possíveis 8. Dobre a folha A4 formando um ângulo recto 9. Dobre a parte da folha obtida no passo 5, de modo a formar um ângulo recto com a dobra do passo 8 10. Repita o passo 9 para as outras partes da folha Questões: 1. Conte os elementos em cada iteração e faça uma tabela. 2. Identifique o padrão de crescimento e indique a sucessão que permite calcular o número de elementos para a n- ésima geração. 3. Qual a área total ( isto é, depois de uma infinidade de dobras ) da superfície dos elementos ? ( Sugestão: Escolha um valor conveniente para a área do primeiro elemento ) 4. Investigue o que acontece, se fizer um corte diferente, alterar o tamanho do corte ou aumentar o número de cortes. Problema adaptado de: "Fractal Cards: A Space for Exploration in Geometry and Discrete Mathematics", The Mathematics Teacher, 1998 Fonte: www.educ.fc.ul.pt
  • 283.
    OTÁVIO LUCIANO CAMARGOSALES DE MAGALHÃES 283 FRACTAIS MAIS COMPLICADINHOS:
  • 284.
    OTÁVIO LUCIANO CAMARGOSALES DE MAGALHÃES 284 EXERCÍCIOS Vamos tentar desenhar fractais?
  • 285.
    OTÁVIO LUCIANO CAMARGOSALES DE MAGALHÃES 285 GRAFOS Material copiado de: http://slideplayer.com.br/slide/3057037/# (Rita Maria Cargnin) Você já ouviu falar em Grafo? Que relação você acha que tem essa rota com um grafo? Alguns exemplos de Grafos: Grafos e o Teorema das 4 Cores
  • 286.
    OTÁVIO LUCIANO CAMARGOSALES DE MAGALHÃES 286 Atividade: Com quantas cores podemos pintar esse mapa? E se os estados vizinhos não pudessem ter a mesma cor. Quantas cores eu preciso utilizar, no mínimo? Construa o grafo desse mapa. Atividade: Construa o Grafo de Todos Estados do Brasil. Pinte o mapa utilizando apenas 4 cores, sem que estados vizinhos tenham a mesma cor. Atividade: Veja uma Árvore Genealógica e construa a da sua família.
  • 287.
    OTÁVIO LUCIANO CAMARGOSALES DE MAGALHÃES 287 EXERCÍCIOS 1) Colorir e fazer o grafo da América do Norte. 2) Colorir e fazer o grafo das bacias hidrográficas de Minas Gerais. 3) Faça o grafo da região de Monte Santo de Minas.
  • 288.
    OTÁVIO LUCIANO CAMARGOSALES DE MAGALHÃES 288 4)Pinte e faça o grafo dos estados do Canadá. Pesquise os nomes: 5) Pinte e faça um grafo da América Central. Pesquise os nomes: 6) Conte o número de vértices e arestas dos grafos e determine o grau de cada vértice: 7) Dado o grafo, determine o que se pede: a) Quantos são os vértices e as arestas? b) Qual é o grau de cada vértice? c) Os vértices v e w são adjacentes? d) Os vértices v e x são adjacentes? e) A aresta 2 é incidente ao vértice u? f) A aresta 5 é incidente ao vértice x? 8) Desenhe o grafo correspondente para o Problema das Sete Pontes e o correspondente ao problema da Água, Luz e Telefone:
  • 289.
    OTÁVIO LUCIANO CAMARGOSALES DE MAGALHÃES 289 9) Construa os grafos não-dirigidos a partir dos conjuntos de vértices e arestas dados a seguir e os classifique: a) V = {1, 2, 3, 4, 5} e A = {(1, 2), (1, 4), (1, 5), (2, 3), (3, 4), (4, 4)}; b) V = {1, 2, 3, 4, 5, 6} e A = {(1, 2), (1, 4), (1, 4), (2, 3), (2, 5), (3, 5)}; c) V = {1, 2, 3, 4, 5, 6} e A = {(1, 2), (1, 3), (1, 4), (2, 5), (2, 6), (3, 5), (3, 6), (4, 5), (4, 6)}; d) V = {1, 2, 3, 4, 5} e A = {(1, 2), (1, 4), (2, 3), (2, 4), (2, 5), (3, 4), (3, 5)}; e) V = {1, 2, 3, 4} e A = {(1, 2), (2, 3), (2, 4), (3, 4)}; f) V = {1, 2, 3, 4, 5, 6, 7, 8} e A = {(1, 2), (2, 2), (2, 3), (3, 4), (3, 5), (6, 7), (6, 8), (7, 8)}. 10) Construa todos os grafos completos com até 8 vértices. Quantas arestas tem cada um desses grafo? E se tiver n vértices? 11) Construa os seguintes grafos bipartidos completos: K1,1, K1,2, K1,3, K2,2, K2,3, K2,4, K3,3, K3,4, K4,4.
  • 290.
    OTÁVIO LUCIANO CAMARGOSALES DE MAGALHÃES 290 DESENHE SEM TIRAR O LÁPIS DO PAPEL Tente desenhar SEM TIRAR O LÁPIS DO PAPEL. Você deverá numerar os pontos de forma a ter uma ordem. No caso do desenho acima, A→B→C→D→E→A você desenha sem tirar o lápis do papel! ATENÇÃO! Não vale passar um risco em cima do outro. (Esse conteúdo é importante para a próxima aula)
  • 291.
    OTÁVIO LUCIANO CAMARGOSALES DE MAGALHÃES 291 EXERCÍCIOS DE PILHAS DE CUBO DO CANGURU MATEMÁTICO 1)(Canguru Matemático – 2013) O Pedro construiu o pódio representado na figura. Quantos cubos foram utilizados pelo Pedro? 2)(Canguru Matemático – 2015) O Daniel construiu dois tijolos como os da figura ao lado. Para construir cada tijolo colou dois cubos um ao outro. Qual ´e a construção que não pode ser obtida usando estes dois tijolos? 3)(Canguru Matemático – 2015) O Dinis construiu seis torres com cubos cinzentos e cubos brancos (ver figura a` direita). Cada torre ´e feita com cinco cubos. Cubos da mesma cor não se tocam. Quantos cubos brancos existem nas seis torres? 4) (Canguru Matemático – 2015 – 3+) O Nuno construiu um cubo colando pequenos cubos cinzentos e pequenos cubos brancos (ver figura ao lado). Sabemos que não há dois cubos pequenos da mesma cor colados um ao outro por uma face. Qual ´e a afirmação que descreve o numero de pequenos cubos utilizados? (A) Foi utilizado um cubo cinzento a mais do que cubos brancos (B) Foi utilizado um cubo branco a mais do que cubos cinzentos (C) Foi utilizado o mesmo numero de cubos brancos e cinzentos (D) Foram utilizados dois cubos brancos a mais do que cubos cinzentos (E) Foram utilizados dois cubos cinzentos a mais do que cubos brancos 5)(Canguru Matemático – 2014 – 3+) O Fábio tem 4 cubos vermelhos, 3 cubos azuis, 2 cubos verdes e um cubo amarelo. Ele constrói uma torre (ver a figura), de tal maneira que não existam dois cubos da mesma cor que se toquem. Qual ´e a cor do cubo do meio? (A) Vermelho (B) Azul (C) Verde (D) Amarelo (E) E impossível saber
  • 292.
    OTÁVIO LUCIANO CAMARGOSALES DE MAGALHÃES 292 SIMULADO DE GEOMETRIA 1) (SARESP) Um sólido geométrico é formado por seis faces quadradas. Esse sólido é: a) um cilindro b) uma pirâmide c) um cubo d) um quadrado e) um hexágono 2) (SARESP) Observe as figuras abaixo E verdade que: a) apenas II é triângulo. b) apenas II e III são triângulos. c) apenas I, II e III são triângulos d) todos são triângulos e) nenhum é triângulo. 3) (SARESP) Com o molde abaixo é possível montar a figura: 4) (SIMAVE) Fernanda desenhou sua sala de aula em uma malha quadriculada, reservando um espaço para o “Cantinho da Leitura”. Veja o que ela fez: O lado de cada quadradinho corresponde a 1 m. A área que corresponde à região cinza é igual a a) 56 m2 b) 50 m2 c) 20 m2 d) 9 m2 e) 17 m2 5) (Prova Brasil) Quantas figuras de quatro lados foram desenhadas? a) 1 b) 2 c) 3 d) 4 e)5 6) (SARESP) Para construir uma caixa em forma de paralelepípedo retângulo, parecida com uma embalagem de pasta dental, o molde a ser utilizado deve ser:
  • 293.
    OTÁVIO LUCIANO CAMARGOSALES DE MAGALHÃES 293 7) (SARESP) Observe os desenhos abaixo, feitos no computador, para indicar caminhos percorridos por um robozinho. O desenho que indica que o robozinho mudou somente duas vezes de direção e em ângulo reto é : a)1 b) 2 c) 3 d) 4 8) (SARESP) Um artista plástico está construindo um painel com ladrilhos decorados. Ele fez um esquema desse painel mostrado na figura e utilizou as formas de: a) quadrados e hexágonos b) triângulos e quadrados c) triângulos e pentágonos d) triângulos e hexágonos e) quadrados e pentágonos 9) (SARESP) Assinale a alternativa em que os dois sólidos geométricos representados só têm superfícies planas: 10) (SARESP) Observando a superfície das figuras retangulares, podemos dizer que: a) as figuras A e B têm a mesma área. b) a área de D é menor que a área de E. c) a área de B é maior que a área de A. d) a área de A é menor que a área de D. e) a área de E é a maior das áreas 11) (Canguru Matemático – 2013 – nível I) Com azulejos quadrados e cinzentos, o Tomás fez a construção representada pela figura abaixo. Quantos azulejos, do mesmo tipo, são necessários para preencher o interior da construção? a) 5 b) 6 c) 7 d) 8 e) 9 12) (Canguru Matemático – 2013 – nível I)
  • 294.
    OTÁVIO LUCIANO CAMARGOSALES DE MAGALHÃES 294 13) (Canguru Matemático – 2013 – nível I) A Luísa cortou um grande pedaço do bolo representado na figura Qual foi o pedaço que a Luísa cortou? 14) (Canguru Matemático – 2013 – nível I) Que tipo de quadrado aparece mais vezes na figura seguinte? 15) (Canguru Matemático – 2013 – nível I) O Pedro construiu o pódio representado na figura. Quantos cubos foram utilizados por Pedro? a) 12 b) 18 c) 19 d) 22 e) 24 16) (Canguru Matemático – 2013 – nível II) A Ana tem uma folha de papel com a forma de um quadrado (ver figura): Ela corta a folha em pedaços da forma . Qual o maior número de pedaços que a Ana pode obter? a) 1 b) 2 c) 3 d) 4 e) 5 17) (Canguru Matemático – 2013 – nível II) Um azulejo descola-se de uma parede e cai. A Carolina tem três azulejos extras, como o das figuras seguintes: Qual ou quais dos azulejos se encaixam na parede, de modo a manter o padrão? a) Apenas o b c) a e b d) b e c c) Apenas o c e) Qualquer um deles
  • 295.
    OTÁVIO LUCIANO CAMARGOSALES DE MAGALHÃES 295 18) (Canguru Matemático – 2013 – nível II) A Joana construiu um grande cubo com 27 pequenos cubos. Depois a Joana retirou um pequeno cubo de quatro cantos do cubo grande, como mostra a figura ao lado. Ela usou este sólido para carimbar várias formas num pedaço de papel. Quantas das seguintes formas pode a Joana obter? a) 1 b) 2 c) 3 d) 4 e) 5 19) (Canguru Matemático – 2013 – nível III) Quantos triângulos existem na figura? a) 9 b) 10 c) 11 d) 13 e) 12 20) (Canguru Matemático – 2013 – nível III) A Ana começa a caminhar a partir da posição da seta e na direção por ela indicada (ver figura). Em cada cruzamento ela vira ou para a direita ou para a esquerda. Primeiro, ela vai para a direita, depois para a esquerda e, em seguida, vira novamente para a esquerda. Depois a Ana vai para a direita e depois para a esquerda e, por fim, vira de novo para a esquerda. A Ana chegou a 21) (Canguru Matemático – 2013 – nível III) Qual das seguintes peças se encaixa com a peça de maneira a formar um retângulo? 22) (Canguru Matemático – 2013 – nível III) O Francisco uniu os pontos médios dos lados de um triângulo da figura obtendo triângulos menores. Depois repetiu este processo mais uma vez com os triângulos menores. Quantos triângulos do tamanho mais pequeno obteve o Francisco? a) 5 b) 8 c) 10 d) 16 e) 32 23) (Canguru Matemático – 2013 – nível Escolar) Na figura está representado um espelho retangular quebrado. Qual das seguintes peças está a faltar na figura anterior? 24) (Canguru Matemático – 2013 – nível Escolar) A Beatriz tem várias peças como a da figura Qual é o menor número dessas peças que ela precisa para formar um quadrado? a) 3 b) 4 c) 6 d) 8 e) 16
  • 296.
    OTÁVIO LUCIANO CAMARGOSALES DE MAGALHÃES 296
  • 297.
    OTÁVIO LUCIANO CAMARGOSALES DE MAGALHÃES 297 PROVA DE BOLSAS DO OBJETIVO DE MONTE SANTO DE MINAS – 2014 (6º ANO) 1) Num sítio há 10 animais, entre cabras e galinhas. Contei 26 patas ou pés. Quantas são as cabras? a) 2 b) 3 c) 4 d) 5 e) 6 2) Qual é o produto entre 43 e 102? a) 129 b) 145 c) 516 d) 4300 e) 4386 3) A Escola Nova fez uma excursão com 41 pessoas, entre alunos e professores. Os alunos ficaram em 10 barras com o mesmo número de alunos, e os professores ficaram em uma barraca maior com 8 pessoas a mais do que na barraca dos alunos. Qual é o total de professores que foram na excursão? a) 4 b) 3 c) 8 d) 10 e) 11 4) (SARESP) Paulo comprou 4 dúzias de lápis de cor para distribuir igualmente entre as 8 crianças de uma creche. Cada criança ganhará quantos lápis: a) 4 b) 6 c) 12 d) 48 e) 60 5) (SARESP) Fábio comprou um terreno que tem a forma da figura abaixo. A fração que representa a parte do terreno que será usada terreno que será ocupada pela casa é: a) 5/2 b) 3/2 c) 2/3 d) 2/5 e) 4/5 6) (SARESP) Um sólido geométrico é formado por seis faces quadradas. Esse sólido é: a) um cilindro b) uma pirâmide c) um cubo d) um quadrado e) um hexágono 7) (SARESP) O gráfico abaixo mostra a venda de caixas de papelão de uma fábrica de embalagens no primeiro semestre de 2005. A diferença entre a quantidade de caixas vendidas nos meses de maior e de menor venda foi de quantas caixas: a) 7065 b) 1271 c) 631 d) 288 e) 521 8) (SARESP) Com o molde abaixo é possível montar a figura:
  • 298.
    OTÁVIO LUCIANO CAMARGOSALES DE MAGALHÃES 298 9) (SIMAVE) Os garotos do time de futebol Águias da Baixada estão escolhendo as cores do uniforme. Veja as opções que eles têm: Quantos uniformes diferentes eles podem compor? a) 8 b) 6 c) 3 d) 2 e) 7 10) (SIMAVE) Fernanda desenhou sua sala de aula em uma malha quadriculada, reservando um espaço para o “Cantinho da Leitura”. Veja o que ela fez: O lado de cada quadradinho corresponde a 1 m. A área que corresponde à região cinza é igual a a) 56 m2 b) 50 m2 c) 20 m2 d) 9 m2 e) 17 m2 11) (CEFET-SP) Uma das condições para tornar o roço do palhaço simétrico é desenhar a outra sombrancelha no quadradinho: b) E3 b) D3 c) F3 d) E6 e) I8 12) (OBMEP) A capacidade do tanque de gasolina do carro de João é de 50 litros. As figuras mostram o medidor de gasolina do carro no momento da partida e no momento da chegada de uma viagem feita por João. Quantos litros de gasolina João gastou nessa viagem? a) 12,5 litros b) 25 litros c) 20 litros d) 40 litros e) 50 litros 13) (SRE-ITAJUBÁ) Qual dos relógios marca 7h15?
  • 299.
    OTÁVIO LUCIANO CAMARGOSALES DE MAGALHÃES 299 14) (SRE-ITAJUBÁ) Observe a reta numérica abaixo. Qual o valor localizado no ponto J da reta numérica? a) 330 b) 340 c) 350 d) 360 e) 370 15) (SRE-Itajubá) Mário tem as seguintes moedas: Quando dinheiro ele tem? a) R$ 9,90 b) R$ 10,00 c) R$ 19,00 d) R$ 16,40 16) (Canguru Matemático – 2014) Mônica escreve números na figura ao lado de modo que cada número escrito em cada quadradinho é igual ao produto dos números escritos nos dois quadradinhos abaixo dele, quando houver. Qual número ela deve escrever no quadradinho escuro? a) 0 b) 1 c) 2 d) 4 e) 8 17) (Canguru Matemático – 2014) Quantas bolinhas pretas há no desenho abaixo? a) 180 b) 181 c) 182 d) 183 e) 265 18) (Imenes & Léllis) Qual seria a imagem da pilha de cubos se o espelho não estivesse quebrado?
  • 300.
    OTÁVIO LUCIANO CAMARGOSALES DE MAGALHÃES 300 19) (Álvaro Andrini) Qual das peças abaixo deve ser encaixada neste objeto para que ele fique com a forma de um bloco retangular? 20) (Canguru Matemático – 2014) Um quadrado foi cortado em 4 partes, conforme mostrado na figura: Qual das figuras a seguir não pode ser montada com essas 4 partes? QUESTÕES DA SEMANA CULTURAL – MATEMÁTICA – MONTE SANTO DE MINAS - 2014 QUESTÕES TEMÁTICAS: LOCALIZAÇÃO DE INFORMAÇÕES MATEMÁTICAS 1) (SIMAVE) Veja o resultado da eleição para escolha do pássaro-mascote da turma do 6º ano da escola “Sucesso”. Quantos votos teve cada um dos pássaros que empataram? 2) (SIMAVE) Veja a reta numerada abaixo: Qual número corresponde ao M? 4) (SIMAVE) Catarina desenho uma reta numérica com intervalos iguais, veja: Qual número corresponde ao círculo escuro? 5) (SAEP – Palmas – TO) A tabela abaixo mostra as idades de vários alunos A coordenada do lugar de Elane é E2, e de Carolina é C4. Qual é coordenada de Diego?
  • 301.
    OTÁVIO LUCIANO CAMARGOSALES DE MAGALHÃES 301 6) (SARESP) Observe a representação da sala de reuniões da escola de Mateus: O pai de Mateus sempre gosta de sentar na última fileira de poltronas que ficam do lado direito de quem entra na sala. Qual é o lado/fila que o pai de Mateus sentará? 7) (SAEP – Palmas – TO) Associe as frações 3/2, 9/2 e 1/2 com os pontos A, B e C: 8) (SAEP – Palmas – TO) Os estudantes de uma escola foram perguntados sobre qual sua matéria preferida e responderam da seguinte maneira: Qual matéria é a preferida de 25% dos alunos dessa escola? 9) (SAEP – Palmas – TO) Os sapatos nos EUA tem numeração diferente da numeração do Brasil. Observe a tabela de conversão: Se nos Estados Unidos a pessoa do sexo masculino usa um calçado de número 7, qual é a sua numeração correspondente no Brasil? 10) (SARESP) O senhor Luiz tem uma loja que vende produtos esportivos. Na semana passada, ele pretendia vender as 100 camisetas de time de futebol que possuía. O gráfico mostra o número de camisetas que foram vendidas na loja de Luiz em cada dia da semana passada, de segunda-feira à sexta-feira. Após a venda de camisetas nesses cinco dias, quantas sobraram?
  • 302.
    OTÁVIO LUCIANO CAMARGOSALES DE MAGALHÃES 302 11) (CAED – MT) Veja abaixo o mapa do bairro onde Pedro Mora: Qual a coordenada da Igreja no mapa? 12) (CAED – MT) Veja as ruas do bairro de Mariana: Ela mora numa rua entre as Avenidas A e B e entre as ruas do hospital e da locadora. Em qual rua ela mora? 13) (CAED – MT) Ana fez o desenho de algumas ruas de seu bairro, próximas à sua casa. Localizou sua casa e marcou-a com seu nome. Localizou também a casa de quatro amigas e marcou-as com o nome de cada uma. Veja abaixo o que ela fez: Qual é a amiga que mora mais próxima dela? OUTRAS QUESTÕES 14) Qual é o produto entre 452 e 308? 15) Pensei em um número, somei 5, multipliquei por 2, tirei o número que pensei, dividi por 2, deu 10. Em que número eu pensei? 16) Uma escola tem 6 aulas por dia, sendo que a primeira se inicia 7h15. As aulas têm 45 minutos de duração cada, e há um intervalo de 20 minutos entre a 3ª e 4ª aulas. Que horas terminam as aulas nessa escola?
  • 303.
    OTÁVIO LUCIANO CAMARGOSALES DE MAGALHÃES 303 17) Qual é o número que vai no topo da Pirâmide Mágica aditiva? 18) Preciso pegar em uma gaveta no quarto escuro 3 canetas da mesma cor. Na gaveta temos 8 tipos de caneta. Qual é a quantidade mínima de canetas que temos que retirar da gaveta para termos certeza absoluta que pegamos 3 canetas da mesma cor? (Tanto faz a cor) 19) . (XX Olimpíada Brasileira de Matemática – Nível 1 – 1a fase – 1998) Joãozinho brinca de formar quadrados com palitos de fósforo como na figura a seguir. A quantidade de palitos necessária para fazer 100 quadrados é ____ 20) (Concurso Professor de Matemática 5ª à 8ª séries – Prefeitura Municipal de Orlândia-SP/2003) Observe a seqüência: O número de quadradinhos claros na figura que ocupa a 39ª posição é ___ GABARITO QUESTÕES TEMÁTICAS: LOCALIZAÇÃO DE INFORMAÇÕES MATEMÁTICAS 7) 3 2 = 1 1 2 , ou seja, está entre 1 e 2, então 3/2 = C 9 2 = 4 1 2 ,ou seja, está entre 4 e 5, então 9/2 = B 1/2 = A 10) Pegamos 100 e subtraímos os valores, 100-12-8-20-12-16=32 Ou somamos os valores e subtraímos de 100 100-(12+8+20+12+16)=100-68=32 OUTRAS QUESTÕES 14) Qual é o produto entre 452 e 308? Arme a conta e faça 452 x 308, e você terá a resposta! Verifique na calculadora! 15) Pensei em um número, somei 5, multipliquei por 2, tirei o número que pensei, dividi por 2, deu 10. Em que número eu pensei? (𝑥 + 5).2 − 𝑥 2 = 10 2. 𝑥 + 10 − 𝑥 2 = 10 𝑥 + 10 2 = 10 x+10=20 x=10 16) Uma escola tem 6 aulas por dia, sendo que a primeira se inicia 7h15. As aulas têm 45 minutos de duração cada, e há um intervalo de 20 minutos entre a 3ª e 4ª aulas. Que horas terminam as aulas nessa escola? 1ª aula 7h15-8h 2ª aula 8h-8h45 3ª aula – 8h45-9h30 Intervalo – 9h30-9h50 4ª aula – 9h50-10h35 5ª aula – 10h35 – 11h20 6ª aula - 11h20 – 12h05 Termina 12h05 17) Qual é o número que vai no topo da Pirâmide Mágica aditiva? 18) Preciso pegar em uma gaveta no quarto escuro 3 canetas da mesma cor. Na gaveta temos 8 tipos de caneta. Qual é a quantidade mínima de canetas que temos que retirar da gaveta para termos certeza absoluta que pegamos 3 canetas da mesma cor? (Tanto faz a cor) Esse é o Principio de Dirichilet ou Princípio da Casa dos Pombos, que estudamos na aula da tarde quando eu comecei. Se há 8 tipos de caneta, quando pegarmos 16 canetas, é possível que não tenhamos nenhum “trio” de canetas. A 17ª necessariamente é de uma das duas cores. A resposta é 17. 19) O primeiro quadrado usa 4 palitos, todos os outros usam 3 Então são 4 para o 1º quadrado e 3 para os outros 99 4+3x99=301 20) O 1º quadrado tem 2x2+1 quadrados brancos O 2º quadrado tem 3x3+1 quadrados brancos O 3º quadrado tem 4x4+1 quadrados brancos Portanto, o 39º quadrado tem 40x40+1=1601 quadrados
  • 304.
    OTÁVIO LUCIANO CAMARGOSALES DE MAGALHÃES 304 SIMULADO APLICADO NO 7º ANO 2015 – ESCOLA NOVA Questão 1 Quando os números 8, 3, 5, 0, 1 são arranjados do menor para o maior, o número do meio é: a) 8 b) 3 c) 5 d) 0 Questão 4 Um determinado produto custava R$ 150,00 e obtive um desconto de 20%. Quanto pagarei no produto? a) R$ 120 b) R$ 130 c) R$ 170 d) R$ 180 Questão 5 De Muzambinho até Monte Santo de Minas a distância é 73,2 km. O prof. Otávio já percorreu 22,1 km. Quantos metros falta para chegar em Monte Santo? a) 51,1 b) 511 c) 5110 d) 51100 Questão 6 Um pequeno supermercado possui três geladeiras e queria saber o total de queijo mussarela estocado, e, obteve os seguintes valores: Geladeira 1 2,25 kg Geladeira 2 5.000 g Geladeira 3 0,4 kg Qual é o total de mussarela em estoque? a) 3,15 kg b) 7,65 kg c) 11,25 kg d) 5002,65 g Questão 7 Resolva a soma algébrica -3+4-1+6-4-2+1-6 a) -9 b) -5 c) 5 d) 9 Questão 8 Resolva a soma algébrica − 2 3 + 1 4 a) 5/12 b) -5/12 c) 11/12 d) 3/7 Questão 9 Veja a movimentação em conta bancária Dia do Mês Operação Valor SALDO Saldo anterior R$ 1100 02 D Saque na boca do caixa R$ 300 R$ 800 02 D Cheque compensado R$ 100 R$ 700 02 D Débito Automático Luz R$ 100 ??? 03 D Débito Automático Telefone R$ 300 ??? 03 D Compras Cartão de Débito R$ 600 ??? 05 D Saque no caixa eletrônico R$ 700 ??? 06 C Recebimento de Salários R$ 1.200 ??? 07 D Taxas bancárias e Juros R$ 100 ??? 08 D Cheque compensado R$ 100 ??? 10 D Pagamento Boletos R$ 700 ??? 11 C Depósito na boca do Caixa R$ 400 ??? Qual era o saldo no dia 11? a) R$ 300,00 de crédito (dinheiro positivo) b) R$ 300,00 de débito (devendo) c) R$ 1.200,00 de crédito (dinheiro positivo) d) R$ 100,00 de débito (devendo) Questão 10 Veja parte de uma tabela de campeonato (há mais times no campeonato): Time Gols Pró Gols Contra Saldo de Gols Flarinthians 14 7 ??? Comengo 13 12 ??? Palminense ??? 10 -9 Flumeiras ??? 10 5 Dos quatro times, qual deles fez o maior número de gols? a) Flarinthians b) Comengo c) Palminense d) Flumeiras
  • 305.
    OTÁVIO LUCIANO CAMARGOSALES DE MAGALHÃES 305 TESTES 1. (Olimpíada de Matemática de Escola Pública do Ceará – 5ª série – 2003) Quando um número é dividido por 7, obtemos quociente 4 e resto 6. Qual é o número? a) 17 b) 168 c) 34 d) 31 e) 46 2.(Avaliação do SAEB – 4ª série – 2001) O quociente e o resto de 99835 são respectivamente: a) 17 e 28 b) 28 e 18 c) 35 e 5 d) 29 e 1 4. (Olimpíada de Matemática de Escola Pública do Ceará – 5ª série – 2003) O valor de 987+113-1000 é: a) 90 b) 10 c) 110 d) 2000 e) 100 (Olimpíada de Matemática de Escola Pública do Ceará – 5ª e 8a séries – 2003) A tabela mostra o desempenho das seleções do grupo A da Copa do Mundo de 2002: Seleção Jogos V E D P Dinamarca 3 2 1 0 7 Senegal 3 1 2 0 ? Uruguai 3 0 2 1 2 França 3 0 1 2 1 Legenda: V – vitórias, E- empates, D – derrotas, P – Pontos. Numa partida de futebol, a equipe vencedora ganha 3 pontos (a perdedora não ganha nada) e em caso de empate as duas ganham 1 ponto. 5. Quantos pontos obteve a seleção de Senegal? a) 3 b) 4 c) 5 d) 6 e) 7 6. Quantos gols sofreu a seleção do Uruguai. a) 2 b) 3 c) 4 d) 5 e) 6 7. (Olimpíada de Matemática de Escola Pública do Ceará – 5ª série – 2003) Calcule o valor de □ sabendo que 7X□=84. a) 9 b) 10 c) 11 d) 12 e) 54 8. (Olimpíada de Matemática de Escola Pública do Ceará – 5ª série – 2003) Um televisor pode ser comprado à vista por R$ 408,00, ou a prazo, em três pagamentos de R$ 142,00 cada um. Comprando a prazo vou pagar quantos reais a mais do que se comprasse a vista? a) R$ 14,00 b) R$ 16,00 c) R$ 18,00 d) R$ 28,00 e) R$ 30,00 9. (Avaliação do SARESP 2000 – 5ª série - Diurno) As bombas de combustível dos postos de serviço têm um contador que vai acumulando o local de litros vendidos. Veja os totais acumulados por dia em cada bomba do Posto do Pedro. 1ª bomba 2ª bomba Litros 15 635 10 215 Se o Posto do Pedro vender todos os dias a mesma quantidade, em quantos dias ele venderá 103400 litros? a) 6 dias b) 5 dias c) 4 dias d) 3 dias 10. (Avaliação do SARESP 2000 – 5ª série - Diurno) Em um jogo os participantes vão recebendo fichas de diferentes valores. Em uma partida, Clara recebeu 5 fichas de 2 pontos cada uma, 4 fichas de 3 pontos cada uma e 3 fichas de 5 pontos cada uma. Se o vencedor é o primeiro a completar 40 pontos, Clara: a) perdeu, pois ficaram faltando 4 pontos. b) perdeu, pois ficaram faltando 3 pontos. c) perdeu, pois ficaram faltando 3 pontos. d) venceu com 1 ponto a mais que o necessário. 11. (Avaliação do SARESP 2000 – 5ª série - Diurno) A tabela incompleta, apresentada abaixo, deveria mostrar o número de crianças vacinadas em um dia, num Posto de Saúde. Complete-a, sabendo que 10 crianças receberam vacina contra sarampo; tomaram vacina Sabin 2 crianças a mais que as vacinadas contra sarampo; o número de crianças vacinadas contra gripe foi o dobro das crianças vacinadas contra sarampo; foi vacinada contra tuberculose metade do número de crianças que tomaram vacina contra sarampo. Vacina Sabin Sarampo Gripe Tuberculose Número de crianças 10 Se todas crianças receberam uma ÚNICA vacina, o total de crianças vacinadas nesse dia foi: a) 47 b) 46 c) 45 d) 37
  • 306.
    OTÁVIO LUCIANO CAMARGOSALES DE MAGALHÃES 306 12. (Avaliação do SARESP 2000 – 5ª série - Diúrno) A tabela abaixo representa o número de torcedores presentes a um jogo de Corinthians x Palmeiras. Número de torcedores Corinthians Palmeiras Homens 1200 1000 Mulheres 800 700 Crianças 150 250 O número de torcedores nesse jogo foi: a) 4100 b) 4000 c) 2150 d) 1950 ATIVIDADES ESPECIAIS DE COMPLEMENTAÇÃO TEMÁTICA (Assuntos Diversos) 1) Escreva a expressão numérica correspondente às frases: a) a soma dos quadrados de 4 e de 5 __________________________ b) o quadrado da soma de 4 e de 5 ___________________________ c) a soma dos dobros de 4 e de 5 __________________________ d) o dobro da soma de 4 e de 5___________________________ e) o triplo da soma da raiz quadrada de 6 com o cubo de 4______________ 2) Quanto é? a) o produto de 3 e 2?__________ b) o produto de 5 e 7?_______ c) a diferença de 5 e 1?__________ d) a soma de 8 e 7?________ e) o quociente de 12 e 4?________ f) o cubo de 5?________ 3) Você vai fazer uma lista a) dos múltiplos de 9 __________________________________________ Quais são menores que 50?_______________________________________ b) dos múltiplos de 6__________________________________________ Escreva os maiores que 20 _____________________________________ c) dos múltiplos de 10______________________________________ Quais estão entre 12 e 50?___________________________________ d) dos múltiplos de 14_____________________________________ Quais estão entre 40 e 90?__________________________________ 4) Adivinhe um número que: * é múltiplo de 8; e * é menor que 30 e 40 5) Escreva quais números respeitam as seguintes Leis: a) 2 x 5_______________ b) 3 x 5__________________ c) 5<x<9_________________ d) 7 x 10__________________ e) 6<x 10________________ f) 6 x<10___________________ g) 6<x<10________________ h) 6 x 10__________________ i) 5<x<6__________________ j) 5 x 5____________________ BRINCADEIRINHA: O pai do padre é filho único do meu pai. O que eu sou do padre? ________________________________ 6) Lembra do Princípio das Gavetas de Dirichilet (ou Princípio da Casa dos Pombos)? Então resolva: a) Eu tenho uma gaveta com meias de 5 cores. Quantas meias eu tenho que tirar, no mínimo, para ter certeza que eu peguei um par de meias da mesma cor? _____________ b) E se na gaveta tivessem 8 cores de meia?_________ c) No 6º ano da Escola Nova de Monte Santo eu posso afirmar com certeza que dois alunos fazem aniversário no mesmo mês?________________ d) Qual é o mínimo de alunos que eu preciso para ter certeza absoluta que dois fazem aniversário no mesmo mês?_____________ e) E para ter certeza que fazem aniversário no mesmo dia?_________
  • 307.
    OTÁVIO LUCIANO CAMARGOSALES DE MAGALHÃES 307 7) Escreva os dois próximos números da sequência: 8)Os números acima são números triangulares. Os números quadrados são 1, 4, 9, 16, etc... Escreva os cinco primeiros números quadrados. 9)Em um campeonato todos times jogam contra todos times apenas uma vez. Quantos jogos serão se tiverem: a) 3 times ? _______________ b) 4 times?________________ c) 2 times?_______________ d) 5 times?________________ e) 6 times?_______________ f) 7 times?________________ 10) Calcule a soma dos números: a) 1+2=______ b) 1+2+3=_____ c) 1+2+3+4=________ d) 1+2+3+4+5=_________ e) 1+2+3+4+5+6=__________ 11) Calcule como fez Gauss: a) 1+2+3+4+....+197+198+199+200 b) 1+2+3+4+....+145+146+147+148 12) Calcule a soma dos números ímpares: a) 1+3=______ b) 1+3+5=_____ c) 1+3+5+7=_______ d) 1+3+5+7+9=__________ e) 1+3+5+7+9+11=___________ 13) Relembre os exercícios anteriores e faça: a) Q1+T2=_____ b) Q2+T3=____ c) Q3+T4=____ 14) Você consegue representar o exercício acima com um desenho? Faça.
  • 308.
    OTÁVIO LUCIANO CAMARGOSALES DE MAGALHÃES 308 15) Complete as pirâmides mágicas: 16)Resolva os problemas pelo método da tentativa e erro. Escreva os “chutes” que você deu e verifique a resposta: a) Tenho 8 animais entre cabras e galinhas. São um total de 20 patas ou pés. Quantas são as cabras e quantas são as galinhas? b)Tenho 13 automóveis entre carros e motos. São 32 rodas. Quantos são os carros e quantas são as motos? 17) Veja a figura: Fonte: http://www.panoramadaaquicultura.com.br/novosite/?p=1982 a) Juntas, quantas toneladas as regiões Sudeste e Sul produzem de produtos da aquicultura?____________ b) Juntas, quantos % da aquicultura é produzida pelas regiões Norte e Centro- Oeste?___________ c) Em quais regiões se produzem pintados?_____________ d) Qual a diferença % de produção entre a região que mais produz e a que menos produz? ________
  • 309.
    OTÁVIO LUCIANO CAMARGOSALES DE MAGALHÃES 309
  • 310.
    OTÁVIO LUCIANO CAMARGOSALES DE MAGALHÃES 310 SISTEMA DE NUMERAÇÃO ROMANO O Sistema de Numeração Romano, que todos conhecemos, também é decimal e posicional, mas, ele é representado pela repetição de elementos e por regras de justaposição de algarismos, e não pela multiplicação por potências de 10 dependendo da posição do número. É um sistema restrito, que não permite escrever números muito grandes. Vamos relembrá-lo, com alguns exemplos I – um II – dois III – três IV – quatro V – cinco VI – seis VII – sete VIII – oito IX – nove X – dez XI – onze XII – doze XIII – treze XIV – catorze XV – quinze XX – vinte XXI – vinte e um XXVI – vinte e seis XXX – trinta XXXIX – trinta e nove XL – quarenta L – cinqüenta LX – sessenta LXVII – sessenta e sete LXX – setenta LXXX – oitenta XC – noventa C – cem CI – cento e um CV – cento e cinco CXX – cento e vinte CXLVIII – cento e quarenta e oito CC – duzentos CCC – trezentos CD – quatrocentos D – quinhentos DC – seiscentos DCC – setecentos DCCC – oitocentos CM – novecentos M – mil MCC – mil e duzentos MCCVII – mil duzentos e sete MM – dois mil MMM – três mil É interessante observar que não existe algarismo romano para representar o número zero, o que é uma grande inconveniência. A partir de 3.999, escrevemos os numerais colocando traços em cima do que queremos dizer que vale mil vezes. Ex: 5.742, escrevemos DCCXLIIV . 134.526, escrevemos DXXVICXXXIV . 12.534.222, escrevemos CCXXIIDXXIVXII . Com certeza, um sistema complexo e de difícil uso. Experimente fazer uma divisão com algarismos romanos. Até 1.300, os algarismos indo arábicos foram proibidos em muitas cidades e países da Europa, sob o argumento que estes eram fáceis de falsificar. O uso de algarismos romanos durou até cerca o século XVII em algumas escolas, e até meados do século XVIII em escritas contábeis. É importante observar que a escrita de numerais romanos foi alterada no curso de sua história. Por exemplo, inicialmente o número 1000 era escrito como  | , e repetíamos até 4 vezes o número, sendo, por exemplo IIII o símbolo de 4, VIIII o símbolo de 9, XXXX o símbolo de 40, etc...Mais informações sobre isto e sobre a origem dos símbolos romanos você encontrará nas referências que damos. 1) Escreva em números romanos: a) 7 _____ b) 9 _____ c) 13 _____ d) 28 _____ e) 36 _____ f) 35 _____ g) 40 _____ h) 42 _____ i) 44 _____ j) 50 _____ k) 52 _____ l) 56 _____ m) 68 _____ n) 75 _____ o) 82 _____ p) 91 _____ q) 100 _____r) 108 _____ s) 143 _____t) 199 _____ u) 252 _____v) 574 _____w) 688 _____ x) 794 _____ y) 1.252 _____ 2) Escreva o ano que você nasceu em algarismos romanos. 3) Represente em algarismos hindo-arábicos: a) XI b) IX c) VIII d) XVII e) XIX f) XX g) XXIV h) XXVI i) XXVI j) XXXIV k) XL l) LX m) XLIII n) LXIX m) XLIX n) LXXIII o) XCIII p) XCIX q) CX r) CXC s) CCLXV t) DC u) DCXVII v) DCLXVI w) CDXLIV 4. Que ano é o de MCMXXXII?
  • 311.
    OTÁVIO LUCIANO CAMARGOSALES DE MAGALHÃES 311 EXERCÍCIOS 1. Escreva em algarismos romanos: a) 72 b) 512 c) 1.523 d) 2.004 e) 5.122 f) 122.511 g) 5.125.235 2. Escreva em algarismos indo-arábicos: a) LII b) XLVII c) LXXVII d) MCMLXIII e) DCCXXXIX f) DCCLXX g) XLVIIXV h) XXXVIIIDXI i) DLXIVCCCXI
  • 312.
    OTÁVIO LUCIANO CAMARGOSALES DE MAGALHÃES 312 3. Efetue a soma DCXVIII + MCMLXXVIII 4. No alto de uma casa estava escrito o número MDCCCXCVIII. Em que ano esta casa provavelmente foi construída? 5. (Exame de Seleção Cotil/Unicamp-2002) De acordo com as informações do quadro abaixo, escreva os séculos correspondentes, utilizando algarismos romanos. Navegante Feito Época Século Cristóvão Colombo Descoberta do continente americano 1488 Vasco da Gama Descoberta do caminho marítimo para as Índias 1498 Pedro Álvares Cabral Descoberta do Brasil 1500 Fernão de Magalhães Descoberta das Filipinas 1521 6. (Exame de Seleção do Centro Estadual de Educação Paula Souza – Ensino Médio – SP/1º 2001) Observe a tabela abaixo: ANO FATO SÉCULO 1445 Invenção da tipografia por Gutenberg 1876 Invenção do Telefone por Graham Bell 1957 Sputinik: 1º satélite colocado em órbita da Terra pelos russos Os séculos correspondetes a cada uma dessas datas são, respectivamente: a) XV, XIX e XX b) XIV, XVII e XVIII c) XIV, XX e XXI d) XIII, XX e XXI e) XIII, XVI E XX 7. (Concurso Professor de Matemática 5ª à 8ª séries – Prefeitura Municipal de Sertãozinho-SP/2002) 46. Durante a Idade Média, na Europa a multiplicação e a divisão de números naturais eram tidas como operações extremamente complicadas e dominadas apenas no nível universitário, por poucas pessoas tidas como sábias. Nessa época, essa dificuldade se devia ao fato de que a) o Sistema de Numeração Decimal, como hoje o conhecemos, ainda não era do conhecimento dos europeus. b) os europeus realizavam essas operações no sistema de numeração romana. c) o ábaco era bastante difundido na Europa, impedindo o desenvolvimento do algoritmo usual atual. d) os europeus não tinham necessidade de fazer multiplicações ou divisões para resolver problemas de seu cotidiano. e) os sábios que dominavam os procedimentos operatórios não os divulgavam, por desacreditarem da capacidade das demais pessoas em aprendê-los.
  • 313.
    OTÁVIO LUCIANO CAMARGOSALES DE MAGALHÃES 313 SISTEMA DE NUMERAÇÃO EGÍPCIO O Sistema de numeração egípcio também é decimal, porém, é feito com a justaposição repetida de numerais. Não é um sistema posicional. Não importa a ordem como foram colocados, os símbolos representa a mesma idéia. Um dos mais antigo vestígio de número da humanidade são gravações de numerais egípcios em um cetro real de 3400 aC, quando o rei Menes unificou o Baixo e o Alto Egito. Os números do cetro representavam as conquistas da guerra: 120.000 prisioneiros, 400.000 cabeças de gado e 1.422.000 cabras. Vejam os algarismos egípcios: bastão vertical Unidade (1) Calcanhar ou arco ou ferradura Dezena (10) Rolo de pergaminho, espiral, cadeia ou pedaço de corda enrolada Centena (100) Flor de lótus Unidade de Milhar (1.000) Dedo apontado ou encurvado Dezena de Milhar (10.000) Girino ou barboto (peixe) Centena de Milhar (100.000) Homem espantado com os braços esticados ou A figura da deidade cósmica Deus do sem-fim. Unidade de Milhão (1.000.000) Os algarismos egípcios se escreviam por justaposição. (Mapa do Egito retirado do livro de História da Matemática de Howard Eves)
  • 314.
    OTÁVIO LUCIANO CAMARGOSALES DE MAGALHÃES 314 Vejam os números até 20: Outros exemplos 45 (quarenta e cinco) 242 (duzentos e quarenta e dois) 1803 (mil oitocentos e três) Note que 245 pode ser escrito de várias outras formas, nada interferindo a posição: , ou Em nosso sistema de numeração, é evidentemente diferente escrever 245 e 452 ou 524. Mas no sistema egípcio a ordem não altera o sentido do número. Os egípcios não tinham sinal para o zero, da mesma forma que os romanos. No antigo Egito existiam três tipos de linguagem escrita: o hieroglífico (usada em monumentos de pedra, madeira ou metal, a forma mais bela de escrita já conhecida), o hierático (escrita religiosa ou sacerdotal, mais arredondada, que surgiu do uso mais rápido da pena de escrever de caniço dos escribas) e o demótico (versão popular e abreviada do hierático). A escrita que estudamos aqui é a hieroglífica. As presentes nas grandes pirâmides do Egito e nos monumentos dos reis. A numeração hierática e demótica, surgidas por volta do século VIII a.C., eram pouco diferentes entre si, sendo a escrita demótica um pouco mais simples. Abaixo, passamos uma tabela, com o sistema de numeração hierático comparado ao hieroglífico. Do livro Números e Numerais, da coleção Tópicos de História da Matemática para Uso em Sala de Aula, Os egípcios também conheciam frações. Todas de numerador 1 (exceção: 2/3). O estudo das frações egípcias é um dos mais encantadores da história da Matemática. Elas estão presentes no mais importante documento da antiguidade, com problemas Matemáticos, o Papiro de Rhind, que estudaremos em frente.
  • 315.
    OTÁVIO LUCIANO CAMARGOSALES DE MAGALHÃES 315 EXERCÍCIOS 1. Escreva em algarismos egípcios, os números encontrados no cetro do rei Menos: 120.000 prisioneiros, 400.000 cabeças de gado e 1.422.000 cabras. 2. Escreva em algarismos egípcios: a) 526 b) 111 c) 526 d) 1252 e) 10523 f) 1005 g) 52342 h) 152334 i) 5123456 3. Escreva em algarismos indo-arábicos: a) b) c) d) SISTEMA DE NUMERAÇÃO BABILÔNICO (Mapa da Mesopotâmia retirado do livro de História da Matemática de Howard Eves) Babilônia é a capital da Mesopotâmia, uma das mais importantes civilizações da antiguidade, localizada entre os rios Tigre e Eufrates. Mesopotâmia (meso = meio, potamus = rio). Atualmente, Iraque. O sistema de numeração babilônico, desenvolvido aproximadamente 2000 anos antes de Cristo não era decimal, era sexagesimal (base 60), usando-se o sistema decimal para representações de 1 à 60. E também era um sistema posicional (como o romano e o indo-arábico). Neste sistema não existia sinal para o zero, o que gerava muita confusão. Os números eram escritos em tábuas de argila, usando-se um estilo com ponta triangular que fazia figuras no formato de cunhas (caracteres cuneiformes). Para se escrever até 9 usavam-se cunhas da seguinte forma.
  • 316.
    OTÁVIO LUCIANO CAMARGOSALES DE MAGALHÃES 316 O dez era representado por uma cunha na horizontal: . Números entre 11 e 59 eram escritos misturando cunhas horizontais e verticais. Ex: 38 (trinta e oito) 55 (cinqüenta e cinco) Para escrever números maiores que 60, usava-se cunhas verticais antes das cunhas horizontais, separados por um espaço. Ex: 1x60 + 3 63 (sessenta e três) 1x60 + 15 75 (setenta e cinco) 1x60 + 24 104 (cento e quatro) 3x60 + 19 199 (cento e noventa e nove) 13x60 + 44 824 (oitocentos e vinte e quatro) Quando chegava-se em 3600, pulava-se mais um espaço. Ex: 1x3600 + 48x60 + 42 6522 (seis mil, quinhentos e vinte e dois) Em textos mais recentes (período selêucida, nos últimos 3 séculos antes de Cristo), usou-se o símbolo para separar os números. Fica evidente que escrever para representar 63 é uma forma mais simples do que se não usarmos os separadores. É claro que este sistema é muito confuso por não ter o número zero. Como se escreveria 60? A escrita do número 60 era idêntica ao do número 6, e isto gerou muitos problemas. O número , portanto, podia representar 1, 60 ou 3600. Ou seja, um sistema confuso. (Além disto, também poderia representar frações como 1/60 e 1/3600). Isto pela inexistência do número zero.
  • 317.
    OTÁVIO LUCIANO CAMARGOSALES DE MAGALHÃES 317 EXERCÍCIOS 1. Escreva em algarismos babilônicos: a) 43 b) 72 c) 89 d) 115 e) 125 f) 162 g) 192 h) 252 i) 722 j) 915 l) 1523 m) 2222 n) 5234 o)21523 p) 55135 2. Escreva em algarismos indo-arábicos: a) b) c) d) e) 3. Escreva os números 1, 60 e 3600 e fale das desvantagens do sistema de numeração babilônico. 4. (Concurso Professor de Matemática 5ª à 8ª séries e Ensino Médio– SESI-SP/2004) Os sumérios, segundo George Ifrah, em seu livro Os números, por volta de 3300 a.C. usavam os seguintes símbolos para números: - um pequeno cone para representar a unidade - a bolinha marcando a dezena - um grande cone das sessenta unidades - um grande cone perfurado vale 600 unidades - uma esfera equivale a 3600 unidades - uma esfera perfurada representa 36 000 unidades Por volta do ano de 2 650 a.C. foi proposto na escola de formação de escribas e contadores, o seguinte problema: “Um granel de cevada foi repartido entre diversos homens e cada qual recebeu 7 silas de cevada. Quantos eram os homens?” O granel equivale a 1 152 000 silas. Para resolver o problema é necessário efetuar uma divisão, que os sumérios faziam pelo sistema de trocas porque o cálculo escrito ainda não era utilizado. Como os sumérios representariam o número de homens, resultado correto para o problema? a) 6 bolinhas, 2 grandes cones, 4 cones perfurados, 6 esferas, 4 esferas perfuradas. b) 2 pequenos cones, 4 bolinhas, 2 grandes cones, 3 cones perfurados, 4 esferas, 5 esferas perfuradas. c) 1 pequeno cone, 5 bolinhas, 5 grandes cones, 4 cones perfurados, 5 esferas, 4 esferas perfuradas. d) 1 pequeno cone, 6 bolinhas, 2 grandes cones, 3 cones perfurados, 5 esferas, 3 esferas perfuradas. e) 3 pequeno cone, 4 bolinhas, 2 grandes cones, 5 cones perfurados, 5 esferas, 4 esferas perfuradas.
  • 318.
    OTÁVIO LUCIANO CAMARGOSALES DE MAGALHÃES 318 5. (ENCCEJA – Ensino Médio – 2002) A civilização babilônica viveu na Mesopotâmia há cerca de 6000 anos. Os estudiosos encontraram documentos dessa civilização feitos em tijolos relativamente finos de argila. A escrita era feita com uma espécie de estilete nos tijolos ainda úmidos. Os traços dessa escrita tinham o formato de cunha e por isso a escrita dos babilônios é chamada cuneiforme. Os arqueólogos descobriram tabletes babilônicos datados provavelmente de 1800 antes deCristo, onde apareceram as seqüências numéricas: 1, 3, 9, 27, 81,... 1, 4, 16, 64,... (Adaptado de CARVALHO, M. C. Padrões Numéricos e Seqüências. São Paulo. Editora Moderna. 1997) As seqüências descobertas mostram que os babilônios já trabalhavam naquela época com seqüências de números que mostram a seguinte regra de formação: cada número da seqüência pode ser obtido (A) a partir do segundo,somando ao anterior um mesmo número. (B) a partir do segundo, multiplicando o anterior por um mesmo número. (C) a partir do quarto, somando ao anterior um mesmo número. (D) a partir do terceiro, multiplicando o anterior por um mesmo número. SISTEMA DE NUMERAÇÃO MAIA “Esquecemos, a todo instante, os prodígios que o zero realiza no campo da Numeração” Lancelot Hogben Muito superior ao sistema babilônico, egípcio e romano, a civilização maia, que vivia na península do Yucatan (atual México), no século IV d.C., desenvolveu um sistema de numeração posicional, vigesimal (base 20) e com símbolo especial para o zero. Os maias tinham dois tipos de escrita, a hieroglífica maia, com “símbolos de cabeça” para os números de 0 a 13, e os números de 14 a 19 formados pela união da madíbula inferior de um símbolo de caveira para o 10 a um dos símbolos do 4 ao 9; e a escrita mais comum, popular. Esta escrita popular, que vamos ver sua estrutura facilitava cálculos aritméticos (inclusive a divisão) e servia para o comércio e para a contagem do tempo. (É importante observar que os maias usavam dois tipos de numeração, uma para contagem do tempo, em seu ano de 365 dias, e outra para fins comerciais. Na numeração para o tempo, chamada de contagem calendar, a terceira posição vale 360, e não 400, como deveria valer, e, a quarta posição 7200, ao invés de 8000, portanto, um símbolo poderia representar dois números diferentes, dependendo do contexto em que tivesse inserido). Até 20, os números eram escritos da seguinte maneira, usando-se ponto (seixo) e a barra (vareta ou bastão): Para números maiores que 20 são necessárias mais de 1 posição. E para o número 20 os maias usavam um concha (ou mão fechada). Alguns livros usam o símbolo para representar o zero da numeração maia. Veja os números: (Gravura do livro “Tópicos de História da Matemática para uso em sala de aula – Números e Numerais”) Na notação comum, os números acima representam 13, 151, 400 e 8002. Em notação calendar, os dois últimos números são 360 e 7202.
  • 319.
    OTÁVIO LUCIANO CAMARGOSALES DE MAGALHÃES 319 EXERCÍCIOS 1. Escreva em algarismos maias: a) 52 b) 45 c) 87 d) 135 e) 451 f) 525 g) 923 h) 1025 i) 9123 j) 65323 2. Escreva em algarismos indo-arábicos: a) b) c) d) e) f)