Anselmo Alves de Sousa
Estatístico - CONRE 9743
Agenda
Agenda
Variável Aleatória:
Agenda
Variável Aleatória: função de distribuição e de densidade;
Agenda
Variável Aleatória: função de distribuição e de densidade;
0 Distribuição Uniforme
Agenda
Variável Aleatória: função de distribuição e de densidade;
0 Distribuição Uniforme X ∼ U[a, b];
Agenda
Variável Aleatória: função de distribuição e de densidade;
0 Distribuição Uniforme X ∼ U[a, b];
1 Média e Variância: X ∼ U[a, b];
Agenda
Variável Aleatória: função de distribuição e de densidade;
0 Distribuição Uniforme X ∼ U[a, b];
1 Média e Variância: X ∼ U[a, b];
2 Distribuição Normal
Agenda
Variável Aleatória: função de distribuição e de densidade;
0 Distribuição Uniforme X ∼ U[a, b];
1 Média e Variância: X ∼ U[a, b];
2 Distribuição Normal X ∼ N(µ, σ2
);
Agenda
Variável Aleatória: função de distribuição e de densidade;
0 Distribuição Uniforme X ∼ U[a, b];
1 Média e Variância: X ∼ U[a, b];
2 Distribuição Normal X ∼ N(µ, σ2
);
3 Distribução F de probabilidade;
Agenda
Variável Aleatória: função de distribuição e de densidade;
0 Distribuição Uniforme X ∼ U[a, b];
1 Média e Variância: X ∼ U[a, b];
2 Distribuição Normal X ∼ N(µ, σ2
);
3 Distribução F de probabilidade;
4 Distribuição t de Student.
Agenda
Variável Aleatória: função de distribuição e de densidade;
0 Distribuição Uniforme X ∼ U[a, b];
1 Média e Variância: X ∼ U[a, b];
2 Distribuição Normal X ∼ N(µ, σ2
);
3 Distribução F de probabilidade;
4 Distribuição t de Student.
Introdução
Introdução
i. Variável Aleatória:
Introdução
i. Variável Aleatória: Seja (Ω, F, P)
Introdução
i. Variável Aleatória: Seja (Ω, F, P) um espaço de probabilidade.
Denominamos variável aleatória, qualquer função:
Introdução
i. Variável Aleatória: Seja (Ω, F, P) um espaço de probabilidade.
Denominamos variável aleatória, qualquer função: X : Ω → R
Introdução
i. Variável Aleatória: Seja (Ω, F, P) um espaço de probabilidade.
Denominamos variável aleatória, qualquer função: X : Ω → R tal que
X−1
(I) = {ω ∈ Ω : X(ω) ∈ I} ∈ F
Introdução
i. Variável Aleatória: Seja (Ω, F, P) um espaço de probabilidade.
Denominamos variável aleatória, qualquer função: X : Ω → R tal que
X−1
(I) = {ω ∈ Ω : X(ω) ∈ I} ∈ F
uma variável aleatória (v.a)
Introdução
i. Variável Aleatória: Seja (Ω, F, P) um espaço de probabilidade.
Denominamos variável aleatória, qualquer função: X : Ω → R tal que
X−1
(I) = {ω ∈ Ω : X(ω) ∈ I} ∈ F
uma variável aleatória (v.a) é um característico numérico do resultado de
um experimento aleatório.
Introdução
i. Variável Aleatória: Seja (Ω, F, P) um espaço de probabilidade.
Denominamos variável aleatória, qualquer função: X : Ω → R tal que
X−1
(I) = {ω ∈ Ω : X(ω) ∈ I} ∈ F
uma variável aleatória (v.a) é um característico numérico do resultado de
um experimento aleatório.
Uma variável aleatória X em um espaço de probabilidade (Ω, F, P)
Introdução
i. Variável Aleatória: Seja (Ω, F, P) um espaço de probabilidade.
Denominamos variável aleatória, qualquer função: X : Ω → R tal que
X−1
(I) = {ω ∈ Ω : X(ω) ∈ I} ∈ F
uma variável aleatória (v.a) é um característico numérico do resultado de
um experimento aleatório.
Uma variável aleatória X em um espaço de probabilidade (Ω, F, P) é
uma função real denida no espaço Ω
Introdução
i. Variável Aleatória: Seja (Ω, F, P) um espaço de probabilidade.
Denominamos variável aleatória, qualquer função: X : Ω → R tal que
X−1
(I) = {ω ∈ Ω : X(ω) ∈ I} ∈ F
uma variável aleatória (v.a) é um característico numérico do resultado de
um experimento aleatório.
Uma variável aleatória X em um espaço de probabilidade (Ω, F, P) é
uma função real denida no espaço Ω tal que [X ≤ x]
Introdução
i. Variável Aleatória: Seja (Ω, F, P) um espaço de probabilidade.
Denominamos variável aleatória, qualquer função: X : Ω → R tal que
X−1
(I) = {ω ∈ Ω : X(ω) ∈ I} ∈ F
uma variável aleatória (v.a) é um característico numérico do resultado de
um experimento aleatório.
Uma variável aleatória X em um espaço de probabilidade (Ω, F, P) é
uma função real denida no espaço Ω tal que [X ≤ x] é evento aleatório
∀x ∈ R; i.e,
Introdução
i. Variável Aleatória: Seja (Ω, F, P) um espaço de probabilidade.
Denominamos variável aleatória, qualquer função: X : Ω → R tal que
X−1
(I) = {ω ∈ Ω : X(ω) ∈ I} ∈ F
uma variável aleatória (v.a) é um característico numérico do resultado de
um experimento aleatório.
Uma variável aleatória X em um espaço de probabilidade (Ω, F, P) é
uma função real denida no espaço Ω tal que [X ≤ x] é evento aleatório
∀x ∈ R; i.e,
X : Ω → R é variável aleatória se [X ≤ x] ∈ F, ∀x ∈ R
Introdução
Introdução
Sendo X uma va em (Ω, F, P) sua função de distribuição é denida por:
Introdução
Sendo X uma va em (Ω, F, P) sua função de distribuição é denida por:
FX(x) = P(X ∈ (−∞, x])) = P(X ≤ x)
Introdução
Sendo X uma va em (Ω, F, P) sua função de distribuição é denida por:
FX(x) = P(X ∈ (−∞, x])) = P(X ≤ x)
A partir da f.d obtemos quaisquer informações acerca da v.a.
Introdução
Sendo X uma va em (Ω, F, P) sua função de distribuição é denida por:
FX(x) = P(X ∈ (−∞, x])) = P(X ≤ x)
A partir da f.d obtemos quaisquer informações acerca da v.a.
Obtemos também a função de densidade de probabilidade
Introdução
Sendo X uma va em (Ω, F, P) sua função de distribuição é denida por:
FX(x) = P(X ∈ (−∞, x])) = P(X ≤ x)
A partir da f.d obtemos quaisquer informações acerca da v.a.
Obtemos também a função de densidade de probabilidade ou a função de
probabilidade
Introdução
Sendo X uma va em (Ω, F, P) sua função de distribuição é denida por:
FX(x) = P(X ∈ (−∞, x])) = P(X ≤ x)
A partir da f.d obtemos quaisquer informações acerca da v.a.
Obtemos também a função de densidade de probabilidade ou a função de
probabilidade , que está associada à uma função de distribuição;
Introdução
Sendo X uma va em (Ω, F, P) sua função de distribuição é denida por:
FX(x) = P(X ∈ (−∞, x])) = P(X ≤ x)
A partir da f.d obtemos quaisquer informações acerca da v.a.
Obtemos também a função de densidade de probabilidade ou a função de
probabilidade , que está associada à uma função de distribuição;
Exame 2019
Exame 2019  Questão 1
Exame 2019  Questão 1
Julgue como verdadeiras ou falsas as armativas que se seguem:
Exame 2019  Questão 1
Julgue como verdadeiras ou falsas as armativas que se seguem:
0. Uma dada variável aleatória com distribuição uniforme no intervalo [2, 5] tem
média igual a 3, 50.
Exame 2019  Questão 1
Julgue como verdadeiras ou falsas as armativas que se seguem:
0. Uma dada variável aleatória com distribuição uniforme no intervalo [2, 5] tem
média igual a 3, 50.
1. Uma dada variável aleatória com distribuição uniforme no intervalo [2, 5] tem
variância igual a 0, 75.
Exame 2019  Questão 1
Julgue como verdadeiras ou falsas as armativas que se seguem:
0. Uma dada variável aleatória com distribuição uniforme no intervalo [2, 5] tem
média igual a 3, 50.
1. Uma dada variável aleatória com distribuição uniforme no intervalo [2, 5] tem
variância igual a 0, 75.
2. Seja X uma variável aleatória com distribuição normal, com média 2 e
variância 5, então Z =
X − 2
5
também apresenta distribuição normal, com
média 0 e variância 1.
Exame 2019  Questão 1
Julgue como verdadeiras ou falsas as armativas que se seguem:
0. Uma dada variável aleatória com distribuição uniforme no intervalo [2, 5] tem
média igual a 3, 50.
1. Uma dada variável aleatória com distribuição uniforme no intervalo [2, 5] tem
variância igual a 0, 75.
2. Seja X uma variável aleatória com distribuição normal, com média 2 e
variância 5, então Z =
X − 2
5
também apresenta distribuição normal, com
média 0 e variância 1.
3. Sejam Z1 e Z2 duas variáveis aleatórias independentes com distribuição
quiquadrado, então W =
Z1
Z2
apresenta distribuição F.
Exame 2019  Questão 1
Julgue como verdadeiras ou falsas as armativas que se seguem:
0. Uma dada variável aleatória com distribuição uniforme no intervalo [2, 5] tem
média igual a 3, 50.
1. Uma dada variável aleatória com distribuição uniforme no intervalo [2, 5] tem
variância igual a 0, 75.
2. Seja X uma variável aleatória com distribuição normal, com média 2 e
variância 5, então Z =
X − 2
5
também apresenta distribuição normal, com
média 0 e variância 1.
3. Sejam Z1 e Z2 duas variáveis aleatórias independentes com distribuição
quiquadrado, então W =
Z1
Z2
apresenta distribuição F.
4. Seja uma variável aleatória X, com distribuição t-Student com 2 graus de
liberdade. Então sua variância não será denida.
Distribuição Uniforme[a, b]
Distribuição Uniforme[a, b]
Função de densidade: X ∼ U[a, b], sua função de densidade é dada por
Distribuição Uniforme[a, b]
Função de densidade: X ∼ U[a, b], sua função de densidade é dada por
f(x) =
1
b − a
, a ≤ x ≤ b.
Distribuição Uniforme[a, b]
Função de densidade: X ∼ U[a, b], sua função de densidade é dada por
f(x) =
1
b − a
, a ≤ x ≤ b.
Valor esperado ou Esperança Matemática:
Distribuição Uniforme[a, b]
Função de densidade: X ∼ U[a, b], sua função de densidade é dada por
f(x) =
1
b − a
, a ≤ x ≤ b.
Valor esperado ou Esperança Matemática:
E(X) =
b
a
x · f(x) dx
Distribuição Uniforme[a, b]
Função de densidade: X ∼ U[a, b], sua função de densidade é dada por
f(x) =
1
b − a
, a ≤ x ≤ b.
Valor esperado ou Esperança Matemática:
E(X) =
b
a
x · f(x) dx
=
b
a
x
b − a
dx
Distribuição Uniforme[a, b]
Função de densidade: X ∼ U[a, b], sua função de densidade é dada por
f(x) =
1
b − a
, a ≤ x ≤ b.
Valor esperado ou Esperança Matemática:
E(X) =
b
a
x · f(x) dx
=
b
a
x
b − a
dx =
x2
2(b − a)
b
a
Distribuição Uniforme[a, b]
Função de densidade: X ∼ U[a, b], sua função de densidade é dada por
f(x) =
1
b − a
, a ≤ x ≤ b.
Valor esperado ou Esperança Matemática:
E(X) =
b
a
x · f(x) dx
=
b
a
x
b − a
dx =
x2
2(b − a)
b
a
=
b2
2(b − a)
Distribuição Uniforme[a, b]
Função de densidade: X ∼ U[a, b], sua função de densidade é dada por
f(x) =
1
b − a
, a ≤ x ≤ b.
Valor esperado ou Esperança Matemática:
E(X) =
b
a
x · f(x) dx
=
b
a
x
b − a
dx =
x2
2(b − a)
b
a
=
b2
2(b − a)
−
a2
2(b − a)
Distribuição Uniforme[a, b]
Função de densidade: X ∼ U[a, b], sua função de densidade é dada por
f(x) =
1
b − a
, a ≤ x ≤ b.
Valor esperado ou Esperança Matemática:
E(X) =
b
a
x · f(x) dx
=
b
a
x
b − a
dx =
x2
2(b − a)
b
a
=
b2
2(b − a)
−
a2
2(b − a)
=
b2 − a2
2(b − a)
Distribuição Uniforme[a, b]
Função de densidade: X ∼ U[a, b], sua função de densidade é dada por
f(x) =
1
b − a
, a ≤ x ≤ b.
Valor esperado ou Esperança Matemática:
E(X) =
b
a
x · f(x) dx
=
b
a
x
b − a
dx =
x2
2(b − a)
b
a
=
b2
2(b − a)
−
a2
2(b − a)
=
b2 − a2
2(b − a)
=
(b − a)(b + a)
Distribuição Uniforme[a, b]
Função de densidade: X ∼ U[a, b], sua função de densidade é dada por
f(x) =
1
b − a
, a ≤ x ≤ b.
Valor esperado ou Esperança Matemática:
E(X) =
b
a
x · f(x) dx
=
b
a
x
b − a
dx =
x2
2(b − a)
b
a
=
b2
2(b − a)
−
a2
2(b − a)
=
b2 − a2
2(b − a)
=
(b − a)(b + a)
2(b − a)
Distribuição Uniforme[a, b]
Função de densidade: X ∼ U[a, b], sua função de densidade é dada por
f(x) =
1
b − a
, a ≤ x ≤ b.
Valor esperado ou Esperança Matemática:
E(X) =
b
a
x · f(x) dx
=
b
a
x
b − a
dx =
x2
2(b − a)
b
a
=
b2
2(b − a)
−
a2
2(b − a)
=
b2 − a2
2(b − a)
=
(b − a)(b + a)
2(b − a)
=
(b − a)(b + a)
2(b − a)
Distribuição Uniforme[a, b]
Função de densidade: X ∼ U[a, b], sua função de densidade é dada por
f(x) =
1
b − a
, a ≤ x ≤ b.
Valor esperado ou Esperança Matemática:
E(X) =
b
a
x · f(x) dx
=
b
a
x
b − a
dx =
x2
2(b − a)
b
a
=
b2
2(b − a)
−
a2
2(b − a)
=
b2 − a2
2(b − a)
=
(b − a)(b + a)
2(b − a)
=
(b − a)(b + a)
2(b − a)
E(X) =
a + b
2
Distribuição Uniforme[a, b]
Função de densidade: X ∼ U[a, b], sua função de densidade é dada por
f(x) =
1
b − a
, a ≤ x ≤ b.
Distribuição Uniforme[a, b]
Função de densidade: X ∼ U[a, b], sua função de densidade é dada por
f(x) =
1
b − a
, a ≤ x ≤ b.
Valor esperado de X2
:
Distribuição Uniforme[a, b]
Função de densidade: X ∼ U[a, b], sua função de densidade é dada por
f(x) =
1
b − a
, a ≤ x ≤ b.
Valor esperado de X2
:
E(X2
)
Distribuição Uniforme[a, b]
Função de densidade: X ∼ U[a, b], sua função de densidade é dada por
f(x) =
1
b − a
, a ≤ x ≤ b.
Valor esperado de X2
:
E(X2
) =
b
a
x2
· f(x) dx
Distribuição Uniforme[a, b]
Função de densidade: X ∼ U[a, b], sua função de densidade é dada por
f(x) =
1
b − a
, a ≤ x ≤ b.
Valor esperado de X2
:
E(X2
) =
b
a
x2
· f(x) dx
=
b
a
x2
b − a
dx
Distribuição Uniforme[a, b]
Função de densidade: X ∼ U[a, b], sua função de densidade é dada por
f(x) =
1
b − a
, a ≤ x ≤ b.
Valor esperado de X2
:
E(X2
) =
b
a
x2
· f(x) dx
=
b
a
x2
b − a
dx =
x3
3(b − a)
b
a
Distribuição Uniforme[a, b]
Função de densidade: X ∼ U[a, b], sua função de densidade é dada por
f(x) =
1
b − a
, a ≤ x ≤ b.
Valor esperado de X2
:
E(X2
) =
b
a
x2
· f(x) dx
=
b
a
x2
b − a
dx =
x3
3(b − a)
b
a
=
b3
3(b − a)
Distribuição Uniforme[a, b]
Função de densidade: X ∼ U[a, b], sua função de densidade é dada por
f(x) =
1
b − a
, a ≤ x ≤ b.
Valor esperado de X2
:
E(X2
) =
b
a
x2
· f(x) dx
=
b
a
x2
b − a
dx =
x3
3(b − a)
b
a
=
b3
3(b − a)
−
a3
3(b − a)
Distribuição Uniforme[a, b]
Função de densidade: X ∼ U[a, b], sua função de densidade é dada por
f(x) =
1
b − a
, a ≤ x ≤ b.
Valor esperado de X2
:
E(X2
) =
b
a
x2
· f(x) dx
=
b
a
x2
b − a
dx =
x3
3(b − a)
b
a
=
b3
3(b − a)
−
a3
3(b − a)
=
b3 − a3
Distribuição Uniforme[a, b]
Função de densidade: X ∼ U[a, b], sua função de densidade é dada por
f(x) =
1
b − a
, a ≤ x ≤ b.
Valor esperado de X2
:
E(X2
) =
b
a
x2
· f(x) dx
=
b
a
x2
b − a
dx =
x3
3(b − a)
b
a
=
b3
3(b − a)
−
a3
3(b − a)
=
b3 − a3
3(b − a)
Distribuição Uniforme[a, b]
Função de densidade: X ∼ U[a, b], sua função de densidade é dada por
f(x) =
1
b − a
, a ≤ x ≤ b.
Valor esperado de X2
:
E(X2
) =
b
a
x2
· f(x) dx
=
b
a
x2
b − a
dx =
x3
3(b − a)
b
a
=
b3
3(b − a)
−
a3
3(b − a)
=
b3 − a3
3(b − a)
=
(b − a)(b2 + ab + a2)
Distribuição Uniforme[a, b]
Função de densidade: X ∼ U[a, b], sua função de densidade é dada por
f(x) =
1
b − a
, a ≤ x ≤ b.
Valor esperado de X2
:
E(X2
) =
b
a
x2
· f(x) dx
=
b
a
x2
b − a
dx =
x3
3(b − a)
b
a
=
b3
3(b − a)
−
a3
3(b − a)
=
b3 − a3
3(b − a)
=
(b − a)(b2 + ab + a2)
3(b − a)
Distribuição Uniforme[a, b]
Função de densidade: X ∼ U[a, b], sua função de densidade é dada por
f(x) =
1
b − a
, a ≤ x ≤ b.
Valor esperado de X2
:
E(X2
) =
b
a
x2
· f(x) dx
=
b
a
x2
b − a
dx =
x3
3(b − a)
b
a
=
b3
3(b − a)
−
a3
3(b − a)
=
b3 − a3
3(b − a)
=
(b − a)(b2 + ab + a2)
3(b − a)
=
(b − a)(b2 + ab + a2)
3(b − a)
Distribuição Uniforme[a, b]
Função de densidade: X ∼ U[a, b], sua função de densidade é dada por
f(x) =
1
b − a
, a ≤ x ≤ b.
Valor esperado de X2
:
E(X2
) =
b
a
x2
· f(x) dx
=
b
a
x2
b − a
dx =
x3
3(b − a)
b
a
=
b3
3(b − a)
−
a3
3(b − a)
=
b3 − a3
3(b − a)
=
(b − a)(b2 + ab + a2)
3(b − a)
=
(b − a)(b2 + ab + a2)
3(b − a)
E(X2
) =
b2 + ab + a2
3
Distribuição Uniforme[a, b]
Função de densidade: X ∼ U[a, b], sua função de densidade é dada por
f(x) =
1
b − a
, a ≤ x ≤ b.
Distribuição Uniforme[a, b]
Função de densidade: X ∼ U[a, b], sua função de densidade é dada por
f(x) =
1
b − a
, a ≤ x ≤ b.
Variância Var(X) = E(X2
) − E(X)2
:
Distribuição Uniforme[a, b]
Função de densidade: X ∼ U[a, b], sua função de densidade é dada por
f(x) =
1
b − a
, a ≤ x ≤ b.
Variância Var(X) = E(X2
) − E(X)2
:
Var(X)
Distribuição Uniforme[a, b]
Função de densidade: X ∼ U[a, b], sua função de densidade é dada por
f(x) =
1
b − a
, a ≤ x ≤ b.
Variância Var(X) = E(X2
) − E(X)2
:
Var(X) =
b2 + ab + a2
3
Distribuição Uniforme[a, b]
Função de densidade: X ∼ U[a, b], sua função de densidade é dada por
f(x) =
1
b − a
, a ≤ x ≤ b.
Variância Var(X) = E(X2
) − E(X)2
:
Var(X) =
b2 + ab + a2
3
−
a + b
2
2
Distribuição Uniforme[a, b]
Função de densidade: X ∼ U[a, b], sua função de densidade é dada por
f(x) =
1
b − a
, a ≤ x ≤ b.
Variância Var(X) = E(X2
) − E(X)2
:
Var(X) =
b2 + ab + a2
3
−
a + b
2
2
=
4b2 + 4ab + 4a2
12
Distribuição Uniforme[a, b]
Função de densidade: X ∼ U[a, b], sua função de densidade é dada por
f(x) =
1
b − a
, a ≤ x ≤ b.
Variância Var(X) = E(X2
) − E(X)2
:
Var(X) =
b2 + ab + a2
3
−
a + b
2
2
=
4b2 + 4ab + 4a2
12
−
a2 + 2ab + b2
4
Distribuição Uniforme[a, b]
Função de densidade: X ∼ U[a, b], sua função de densidade é dada por
f(x) =
1
b − a
, a ≤ x ≤ b.
Variância Var(X) = E(X2
) − E(X)2
:
Var(X) =
b2 + ab + a2
3
−
a + b
2
2
=
4b2 + 4ab + 4a2
12
−
a2 + 2ab + b2
4
=
4b2 + 4ab + 4a2
12
Distribuição Uniforme[a, b]
Função de densidade: X ∼ U[a, b], sua função de densidade é dada por
f(x) =
1
b − a
, a ≤ x ≤ b.
Variância Var(X) = E(X2
) − E(X)2
:
Var(X) =
b2 + ab + a2
3
−
a + b
2
2
=
4b2 + 4ab + 4a2
12
−
a2 + 2ab + b2
4
=
4b2 + 4ab + 4a2
12
−
3a2 + 6ab + 3b2
12
Distribuição Uniforme[a, b]
Função de densidade: X ∼ U[a, b], sua função de densidade é dada por
f(x) =
1
b − a
, a ≤ x ≤ b.
Variância Var(X) = E(X2
) − E(X)2
:
Var(X) =
b2 + ab + a2
3
−
a + b
2
2
=
4b2 + 4ab + 4a2
12
−
a2 + 2ab + b2
4
=
4b2 + 4ab + 4a2
12
−
3a2 + 6ab + 3b2
12
=
b2 − 2ab + a2
12
Distribuição Uniforme[a, b]
Função de densidade: X ∼ U[a, b], sua função de densidade é dada por
f(x) =
1
b − a
, a ≤ x ≤ b.
Variância Var(X) = E(X2
) − E(X)2
:
Var(X) =
b2 + ab + a2
3
−
a + b
2
2
=
4b2 + 4ab + 4a2
12
−
a2 + 2ab + b2
4
=
4b2 + 4ab + 4a2
12
−
3a2 + 6ab + 3b2
12
=
b2 − 2ab + a2
12
=
(b − a)2
12
Distribuição Uniforme[a, b]
Função de densidade: X ∼ U[a, b], sua função de densidade é dada por
f(x) =
1
b − a
, a ≤ x ≤ b.
Distribuição Uniforme[a, b]
Função de densidade: X ∼ U[a, b], sua função de densidade é dada por
f(x) =
1
b − a
, a ≤ x ≤ b.
Média e Variância:
Distribuição Uniforme[a, b]
Função de densidade: X ∼ U[a, b], sua função de densidade é dada por
f(x) =
1
b − a
, a ≤ x ≤ b.
Média e Variância:
E(X) =
a + b
2
Distribuição Uniforme[a, b]
Função de densidade: X ∼ U[a, b], sua função de densidade é dada por
f(x) =
1
b − a
, a ≤ x ≤ b.
Média e Variância:
E(X) =
a + b
2
e Var(X) =
(b − a)2
12
Distribuição Uniforme[a, b]
Função de densidade: X ∼ U[a, b], sua função de densidade é dada por
f(x) =
1
b − a
, a ≤ x ≤ b.
Média e Variância:
E(X) =
a + b
2
e Var(X) =
(b − a)2
12
. . . . . . . . . . . . . . . . . . . . . . . . . . . . . . . . . . . . . . . . . . . . . . . . . . . . . . . . . . . . . . . . . . . . . . . . . . . . . .
0. Uma dada variável aleatória com distribuição uniforme no intervalo [2, 5] tem
média igual a 3, 50.
Distribuição Uniforme[a, b]
Função de densidade: X ∼ U[a, b], sua função de densidade é dada por
f(x) =
1
b − a
, a ≤ x ≤ b.
Média e Variância:
E(X) =
a + b
2
e Var(X) =
(b − a)2
12
. . . . . . . . . . . . . . . . . . . . . . . . . . . . . . . . . . . . . . . . . . . . . . . . . . . . . . . . . . . . . . . . . . . . . . . . . . . . . .
0. Uma dada variável aleatória com distribuição uniforme no intervalo [2, 5] tem
média igual a 3, 50.
1. Uma dada variável aleatória com distribuição uniforme no intervalo [2, 5] tem
variância igual a 0, 75.
Distribuição Uniforme[a, b]
Função de densidade: X ∼ U[a, b], sua função de densidade é dada por
f(x) =
1
b − a
, a ≤ x ≤ b.
Média e Variância:
E(X) =
a + b
2
e Var(X) =
(b − a)2
12
. . . . . . . . . . . . . . . . . . . . . . . . . . . . . . . . . . . . . . . . . . . . . . . . . . . . . . . . . . . . . . . . . . . . . . . . . . . . . .
0. Uma dada variável aleatória com distribuição uniforme no intervalo [2, 5] tem
média igual a 3, 50.
1. Uma dada variável aleatória com distribuição uniforme no intervalo [2, 5] tem
variância igual a 0, 75.
Distribuição Uniforme[a, b]
Função de densidade: X ∼ U[a, b], sua função de densidade é dada por
f(x) =
1
b − a
, a ≤ x ≤ b.
Média e Variância:
E(X) =
a + b
2
e Var(X) =
(b − a)2
12
. . . . . . . . . . . . . . . . . . . . . . . . . . . . . . . . . . . . . . . . . . . . . . . . . . . . . . . . . . . . . . . . . . . . . . . . . . . . . .
0. V  Uma dada variável aleatória com distribuição uniforme no intervalo [2, 5]
tem média igual a 3, 50.
Distribuição Uniforme[a, b]
Função de densidade: X ∼ U[a, b], sua função de densidade é dada por
f(x) =
1
b − a
, a ≤ x ≤ b.
Média e Variância:
E(X) =
a + b
2
e Var(X) =
(b − a)2
12
. . . . . . . . . . . . . . . . . . . . . . . . . . . . . . . . . . . . . . . . . . . . . . . . . . . . . . . . . . . . . . . . . . . . . . . . . . . . . .
0. V  Uma dada variável aleatória com distribuição uniforme no intervalo [2, 5]
tem média igual a 3, 50. Temos E(X) = (2 + 5)/2 = 3, 5.
Distribuição Uniforme[a, b]
Função de densidade: X ∼ U[a, b], sua função de densidade é dada por
f(x) =
1
b − a
, a ≤ x ≤ b.
Média e Variância:
E(X) =
a + b
2
e Var(X) =
(b − a)2
12
. . . . . . . . . . . . . . . . . . . . . . . . . . . . . . . . . . . . . . . . . . . . . . . . . . . . . . . . . . . . . . . . . . . . . . . . . . . . . .
0. V  Uma dada variável aleatória com distribuição uniforme no intervalo [2, 5]
tem média igual a 3, 50. Temos E(X) = (2 + 5)/2 = 3, 5.
1. V  Uma dada variável aleatória com distribuição uniforme no intervalo [2, 5]
tem variância igual a 0, 75.
Distribuição Uniforme[a, b]
Função de densidade: X ∼ U[a, b], sua função de densidade é dada por
f(x) =
1
b − a
, a ≤ x ≤ b.
Média e Variância:
E(X) =
a + b
2
e Var(X) =
(b − a)2
12
. . . . . . . . . . . . . . . . . . . . . . . . . . . . . . . . . . . . . . . . . . . . . . . . . . . . . . . . . . . . . . . . . . . . . . . . . . . . . .
0. V  Uma dada variável aleatória com distribuição uniforme no intervalo [2, 5]
tem média igual a 3, 50. Temos E(X) = (2 + 5)/2 = 3, 5.
1. V  Uma dada variável aleatória com distribuição uniforme no intervalo [2, 5]
tem variância igual a 0, 75. Temos Var(X) = (5 − 2)2
/12 = 9/12 = 0, 75.
Distribuição Uniforme[a, b]
Função de densidade: X ∼ U[a, b], sua função de densidade é dada por
f(x) =
1
b − a
, a ≤ x ≤ b.
Média e Variância:
E(X) =
a + b
2
e Var(X) =
(b − a)2
12
. . . . . . . . . . . . . . . . . . . . . . . . . . . . . . . . . . . . . . . . . . . . . . . . . . . . . . . . . . . . . . . . . . . . . . . . . . . . . .
0. V  Uma dada variável aleatória com distribuição uniforme no intervalo [2, 5]
tem média igual a 3, 50. Temos E(X) = (2 + 5)/2 = 3, 5.
1. V  Uma dada variável aleatória com distribuição uniforme no intervalo [2, 5]
tem variância igual a 0, 75. Temos Var(X) = (5 − 2)2
/12 = 9/12 = 0, 75.
Distribuição Normal X ∼ N(µ, σ2
)
Distribuição Normal X ∼ N(µ, σ2
)
Uma variável X segue o modelo Normal se sua densidade é a seguinte:
Distribuição Normal X ∼ N(µ, σ2
)
Uma variável X segue o modelo Normal se sua densidade é a seguinte:
f(x)
Distribuição Normal X ∼ N(µ, σ2
)
Uma variável X segue o modelo Normal se sua densidade é a seguinte:
f(x) =
1
σ
√
2π
Distribuição Normal X ∼ N(µ, σ2
)
Uma variável X segue o modelo Normal se sua densidade é a seguinte:
f(x) =
1
σ
√
2π
exp −
(x − µ)2
2σ2
Distribuição Normal X ∼ N(µ, σ2
)
Uma variável X segue o modelo Normal se sua densidade é a seguinte:
f(x) =
1
σ
√
2π
exp −
(x − µ)2
2σ2
, −∞  x  ∞, com µ, σ ∈ R, σ  0
Distribuição Normal X ∼ N(µ, σ2
)
Uma variável X segue o modelo Normal se sua densidade é a seguinte:
f(x) =
1
σ
√
2π
exp −
(x − µ)2
2σ2
, −∞  x  ∞, com µ, σ ∈ R, σ  0
E(X) = µ
Distribuição Normal X ∼ N(µ, σ2
)
Uma variável X segue o modelo Normal se sua densidade é a seguinte:
f(x) =
1
σ
√
2π
exp −
(x − µ)2
2σ2
, −∞  x  ∞, com µ, σ ∈ R, σ  0
E(X) = µ e σ é o desvio padrão e Var(X) = σ2
.
Distribuição Normal X ∼ N(µ, σ2
)
Uma variável X segue o modelo Normal se sua densidade é a seguinte:
f(x) =
1
σ
√
2π
exp −
(x − µ)2
2σ2
, −∞  x  ∞, com µ, σ ∈ R, σ  0
E(X) = µ e σ é o desvio padrão e Var(X) = σ2
. Gráco:
Distribuição Normal X ∼ N(µ, σ2
)
Uma variável X segue o modelo Normal se sua densidade é a seguinte:
f(x) =
1
σ
√
2π
exp −
(x − µ)2
2σ2
, −∞  x  ∞, com µ, σ ∈ R, σ  0.
Distribuição Normal X ∼ N(µ, σ2
)
Uma variável X segue o modelo Normal se sua densidade é a seguinte:
f(x) =
1
σ
√
2π
exp −
(x − µ)2
2σ2
, −∞  x  ∞, com µ, σ ∈ R, σ  0.
A função de distribuição da N(µ, σ2
) não tem uma forma fechada;
Distribuição Normal X ∼ N(µ, σ2
)
Uma variável X segue o modelo Normal se sua densidade é a seguinte:
f(x) =
1
σ
√
2π
exp −
(x − µ)2
2σ2
, −∞  x  ∞, com µ, σ ∈ R, σ  0.
A função de distribuição da N(µ, σ2
) não tem uma forma fechada;
Sendo X ∼ N(µ; σ2
),
Distribuição Normal X ∼ N(µ, σ2
)
Uma variável X segue o modelo Normal se sua densidade é a seguinte:
f(x) =
1
σ
√
2π
exp −
(x − µ)2
2σ2
, −∞  x  ∞, com µ, σ ∈ R, σ  0.
A função de distribuição da N(µ, σ2
) não tem uma forma fechada;
Sendo X ∼ N(µ; σ2
), então Z =
X − µ
σ
⇒ N(0, 1);
Distribuição Normal X ∼ N(µ, σ2
)
Uma variável X segue o modelo Normal se sua densidade é a seguinte:
f(x) =
1
σ
√
2π
exp −
(x − µ)2
2σ2
, −∞  x  ∞, com µ, σ ∈ R, σ  0.
A função de distribuição da N(µ, σ2
) não tem uma forma fechada;
Sendo X ∼ N(µ; σ2
), então Z =
X − µ
σ
⇒ N(0, 1);
P
X − µ
σ
≤ z
Distribuição Normal X ∼ N(µ, σ2
)
Uma variável X segue o modelo Normal se sua densidade é a seguinte:
f(x) =
1
σ
√
2π
exp −
(x − µ)2
2σ2
, −∞  x  ∞, com µ, σ ∈ R, σ  0.
A função de distribuição da N(µ, σ2
) não tem uma forma fechada;
Sendo X ∼ N(µ; σ2
), então Z =
X − µ
σ
⇒ N(0, 1);
P
X − µ
σ
≤ z = P(X ≤ zσ + µ)
Distribuição Normal X ∼ N(µ, σ2
)
Uma variável X segue o modelo Normal se sua densidade é a seguinte:
f(x) =
1
σ
√
2π
exp −
(x − µ)2
2σ2
, −∞  x  ∞, com µ, σ ∈ R, σ  0.
A função de distribuição da N(µ, σ2
) não tem uma forma fechada;
Sendo X ∼ N(µ; σ2
), então Z =
X − µ
σ
⇒ N(0, 1);
P
X − µ
σ
≤ z = P(X ≤ zσ + µ)
=
zσ+µ
−∞
Distribuição Normal X ∼ N(µ, σ2
)
Uma variável X segue o modelo Normal se sua densidade é a seguinte:
f(x) =
1
σ
√
2π
exp −
(x − µ)2
2σ2
, −∞  x  ∞, com µ, σ ∈ R, σ  0.
A função de distribuição da N(µ, σ2
) não tem uma forma fechada;
Sendo X ∼ N(µ; σ2
), então Z =
X − µ
σ
⇒ N(0, 1);
P
X − µ
σ
≤ z = P(X ≤ zσ + µ)
=
zσ+µ
−∞
1
σ
√
2π
exp −
(x − µ)2
2σ2
dx
Distribuição Normal X ∼ N(µ, σ2
)
Uma variável X segue o modelo Normal se sua densidade é a seguinte:
f(x) =
1
σ
√
2π
exp −
(x − µ)2
2σ2
, −∞  x  ∞, com µ, σ ∈ R, σ  0.
A função de distribuição da N(µ, σ2
) não tem uma forma fechada;
Sendo X ∼ N(µ; σ2
), então Z =
X − µ
σ
⇒ N(0, 1);
P
X − µ
σ
≤ z = P(X ≤ zσ + µ)
=
zσ+µ
−∞
1
σ
√
2π
exp −
(x − µ)2
2σ2
dx
=
y
−∞
Distribuição Normal X ∼ N(µ, σ2
)
Uma variável X segue o modelo Normal se sua densidade é a seguinte:
f(x) =
1
σ
√
2π
exp −
(x − µ)2
2σ2
, −∞  x  ∞, com µ, σ ∈ R, σ  0.
A função de distribuição da N(µ, σ2
) não tem uma forma fechada;
Sendo X ∼ N(µ; σ2
), então Z =
X − µ
σ
⇒ N(0, 1);
P
X − µ
σ
≤ z = P(X ≤ zσ + µ)
=
zσ+µ
−∞
1
σ
√
2π
exp −
(x − µ)2
2σ2
dx
=
y
−∞
1
√
2π
exp −
y2
2
dy
Distribuição Normal X ∼ N(µ, σ2
)
Uma variável X segue o modelo Normal se sua densidade é a seguinte:
f(x) =
1
σ
√
2π
exp −
(x − µ)2
2σ2
, −∞  x  ∞, com µ, σ ∈ R, σ  0.
A função de distribuição da N(µ, σ2
) não tem uma forma fechada;
Sendo X ∼ N(µ; σ2
), então Z =
X − µ
σ
⇒ N(0, 1);
P
X − µ
σ
≤ z = P(X ≤ zσ + µ)
=
zσ+µ
−∞
1
σ
√
2π
exp −
(x − µ)2
2σ2
dx
=
y
−∞
1
√
2π
exp −
y2
2
dy
y = (x − µ)/σ
Distribuição Normal X ∼ N(2, 5)
Uma variável X segue o modelo Normal se sua densidade é a seguinte:
f(x) =
1
σ
√
2π
exp −
(x − µ)2
2σ2
, −∞  x  ∞, com µ, σ ∈ R, σ  0.
Distribuição Normal X ∼ N(2, 5)
Uma variável X segue o modelo Normal se sua densidade é a seguinte:
f(x) =
1
σ
√
2π
exp −
(x − µ)2
2σ2
, −∞  x  ∞, com µ, σ ∈ R, σ  0.
. . . . . . . . . . . . . . . . . . . . . . . . . . . . . . . . . . . . . . . . . . . . . . . . . . . . . . . . . . . . . . . . . . . . . . . . . . . . . . . . . . .
Julgue como verdadeiras ou falsas as armativas que se seguem:
Distribuição Normal X ∼ N(2, 5)
Uma variável X segue o modelo Normal se sua densidade é a seguinte:
f(x) =
1
σ
√
2π
exp −
(x − µ)2
2σ2
, −∞  x  ∞, com µ, σ ∈ R, σ  0.
. . . . . . . . . . . . . . . . . . . . . . . . . . . . . . . . . . . . . . . . . . . . . . . . . . . . . . . . . . . . . . . . . . . . . . . . . . . . . . . . . . .
Julgue como verdadeiras ou falsas as armativas que se seguem:
2. Seja X uma variável aleatória com distribuição normal, com média 2 e
variância 5
Distribuição Normal X ∼ N(2, 5)
Uma variável X segue o modelo Normal se sua densidade é a seguinte:
f(x) =
1
σ
√
2π
exp −
(x − µ)2
2σ2
, −∞  x  ∞, com µ, σ ∈ R, σ  0.
. . . . . . . . . . . . . . . . . . . . . . . . . . . . . . . . . . . . . . . . . . . . . . . . . . . . . . . . . . . . . . . . . . . . . . . . . . . . . . . . . . .
Julgue como verdadeiras ou falsas as armativas que se seguem:
2. Seja X uma variável aleatória com distribuição normal, com média 2 e
variância 5 , então Z =
X − 2
5
Distribuição Normal X ∼ N(2, 5)
Uma variável X segue o modelo Normal se sua densidade é a seguinte:
f(x) =
1
σ
√
2π
exp −
(x − µ)2
2σ2
, −∞  x  ∞, com µ, σ ∈ R, σ  0.
. . . . . . . . . . . . . . . . . . . . . . . . . . . . . . . . . . . . . . . . . . . . . . . . . . . . . . . . . . . . . . . . . . . . . . . . . . . . . . . . . . .
Julgue como verdadeiras ou falsas as armativas que se seguem:
2. Seja X uma variável aleatória com distribuição normal, com média 2 e
variância 5 , então Z =
X − 2
5
também apresenta distribuição normal, com
média 0 e variância 1.
Distribuição Normal X ∼ N(2, 5)
Uma variável X segue o modelo Normal se sua densidade é a seguinte:
f(x) =
1
σ
√
2π
exp −
(x − µ)2
2σ2
, −∞  x  ∞, com µ, σ ∈ R, σ  0.
. . . . . . . . . . . . . . . . . . . . . . . . . . . . . . . . . . . . . . . . . . . . . . . . . . . . . . . . . . . . . . . . . . . . . . . . . . . . . . . . . . .
Julgue como verdadeiras ou falsas as armativas que se seguem:
2. Seja X uma variável aleatória com distribuição normal, com média 2 e
variância 5 , então Z =
X − 2
5
também apresenta distribuição normal, com
média 0 e variância 1.
Distribuição Normal X ∼ N(2, 5)
Uma variável X segue o modelo Normal se sua densidade é a seguinte:
f(x) =
1
σ
√
2π
exp −
(x − µ)2
2σ2
, −∞  x  ∞, com µ, σ ∈ R, σ  0.
. . . . . . . . . . . . . . . . . . . . . . . . . . . . . . . . . . . . . . . . . . . . . . . . . . . . . . . . . . . . . . . . . . . . . . . . . . . . . . . . . . .
Julgue como verdadeiras ou falsas as armativas que se seguem:
2. F  Seja X uma variável aleatória com distribuição normal, com média 2 e
variância 5, então Z =
X − 2
5
também apresenta distribuição normal, com
média 0 e variância 1.
Distribuição Normal X ∼ N(2, 5)
Uma variável X segue o modelo Normal se sua densidade é a seguinte:
f(x) =
1
σ
√
2π
exp −
(x − µ)2
2σ2
, −∞  x  ∞, com µ, σ ∈ R, σ  0.
. . . . . . . . . . . . . . . . . . . . . . . . . . . . . . . . . . . . . . . . . . . . . . . . . . . . . . . . . . . . . . . . . . . . . . . . . . . . . . . . . . .
Julgue como verdadeiras ou falsas as armativas que se seguem:
2. F  Seja X uma variável aleatória com distribuição normal, com média 2 e
variância 5, então Z =
X − 2
5
também apresenta distribuição normal, com
média 0 e variância 1.
Veja que
µ = 2
Distribuição Normal X ∼ N(2, 5)
Uma variável X segue o modelo Normal se sua densidade é a seguinte:
f(x) =
1
σ
√
2π
exp −
(x − µ)2
2σ2
, −∞  x  ∞, com µ, σ ∈ R, σ  0.
. . . . . . . . . . . . . . . . . . . . . . . . . . . . . . . . . . . . . . . . . . . . . . . . . . . . . . . . . . . . . . . . . . . . . . . . . . . . . . . . . . .
Julgue como verdadeiras ou falsas as armativas que se seguem:
2. F  Seja X uma variável aleatória com distribuição normal, com média 2 e
variância 5, então Z =
X − 2
5
também apresenta distribuição normal, com
média 0 e variância 1.
Veja que
µ = 2 e σ =
√
5
Distribuição Normal X ∼ N(2, 5)
Uma variável X segue o modelo Normal se sua densidade é a seguinte:
f(x) =
1
σ
√
2π
exp −
(x − µ)2
2σ2
, −∞  x  ∞, com µ, σ ∈ R, σ  0.
. . . . . . . . . . . . . . . . . . . . . . . . . . . . . . . . . . . . . . . . . . . . . . . . . . . . . . . . . . . . . . . . . . . . . . . . . . . . . . . . . . .
Julgue como verdadeiras ou falsas as armativas que se seguem:
2. F  Seja X uma variável aleatória com distribuição normal, com média 2 e
variância 5, então Z =
X − 2
5
também apresenta distribuição normal, com
média 0 e variância 1.
Veja que
µ = 2 e σ =
√
5 ⇒ Z =
X − 2
√
5
Distribuição Normal X ∼ N(2, 5)
Uma variável X segue o modelo Normal se sua densidade é a seguinte:
f(x) =
1
σ
√
2π
exp −
(x − µ)2
2σ2
, −∞  x  ∞, com µ, σ ∈ R, σ  0.
. . . . . . . . . . . . . . . . . . . . . . . . . . . . . . . . . . . . . . . . . . . . . . . . . . . . . . . . . . . . . . . . . . . . . . . . . . . . . . . . . . .
Julgue como verdadeiras ou falsas as armativas que se seguem:
2. F  Seja X uma variável aleatória com distribuição normal, com média 2 e
variância 5, então Z =
X − 2
5
também apresenta distribuição normal, com
média 0 e variância 1.
Veja que
µ = 2 e σ =
√
5 ⇒ Z =
X − 2
√
5
∼ N(0, 1).
Distribuição F: W ∼ F(ν1, ν2)
Distribuição F: W ∼ F(ν1, ν2)
Sejam U e V duas v.a independentes
Distribuição F: W ∼ F(ν1, ν2)
Sejam U e V duas v.a independentes , cada uma com distribuição
qui-quadrado
Distribuição F: W ∼ F(ν1, ν2)
Sejam U e V duas v.a independentes , cada uma com distribuição
qui-quadrado , com ν1 e ν2, graus de liberdade
Distribuição F: W ∼ F(ν1, ν2)
Sejam U e V duas v.a independentes , cada uma com distribuição
qui-quadrado , com ν1 e ν2, graus de liberdade , respectivamente.
Distribuição F: W ∼ F(ν1, ν2)
Sejam U e V duas v.a independentes , cada uma com distribuição
qui-quadrado , com ν1 e ν2, graus de liberdade , respectivamente. Então a v.a
W =
U/ν1
V/ν2
Distribuição F: W ∼ F(ν1, ν2)
Sejam U e V duas v.a independentes , cada uma com distribuição
qui-quadrado , com ν1 e ν2, graus de liberdade , respectivamente. Então a v.a
W =
U/ν1
V/ν2
Tem função de densidade:
Distribuição F: W ∼ F(ν1, ν2)
Sejam U e V duas v.a independentes , cada uma com distribuição
qui-quadrado , com ν1 e ν2, graus de liberdade , respectivamente. Então a v.a
W =
U/ν1
V/ν2
Tem função de densidade:
f(w)
Distribuição F: W ∼ F(ν1, ν2)
Sejam U e V duas v.a independentes , cada uma com distribuição
qui-quadrado , com ν1 e ν2, graus de liberdade , respectivamente. Então a v.a
W =
U/ν1
V/ν2
Tem função de densidade:
f(w) =
Γ(ν1+ν2
2 )
Distribuição F: W ∼ F(ν1, ν2)
Sejam U e V duas v.a independentes , cada uma com distribuição
qui-quadrado , com ν1 e ν2, graus de liberdade , respectivamente. Então a v.a
W =
U/ν1
V/ν2
Tem função de densidade:
f(w) =
Γ(ν1+ν2
2 )
Γ ν1
2 Γ ν2
2
Distribuição F: W ∼ F(ν1, ν2)
Sejam U e V duas v.a independentes , cada uma com distribuição
qui-quadrado , com ν1 e ν2, graus de liberdade , respectivamente. Então a v.a
W =
U/ν1
V/ν2
Tem função de densidade:
f(w) =
Γ(ν1+ν2
2 )
Γ ν1
2 Γ ν2
2
·
ν1
ν2
ν1/2
Distribuição F: W ∼ F(ν1, ν2)
Sejam U e V duas v.a independentes , cada uma com distribuição
qui-quadrado , com ν1 e ν2, graus de liberdade , respectivamente. Então a v.a
W =
U/ν1
V/ν2
Tem função de densidade:
f(w) =
Γ(ν1+ν2
2 )
Γ ν1
2 Γ ν2
2
·
ν1
ν2
ν1/2
·
w
ν1−2
2
Distribuição F: W ∼ F(ν1, ν2)
Sejam U e V duas v.a independentes , cada uma com distribuição
qui-quadrado , com ν1 e ν2, graus de liberdade , respectivamente. Então a v.a
W =
U/ν1
V/ν2
Tem função de densidade:
f(w) =
Γ(ν1+ν2
2 )
Γ ν1
2 Γ ν2
2
·
ν1
ν2
ν1/2
·
w
ν1−2
2
1 + ν1
ν2
Distribuição F: W ∼ F(ν1, ν2)
Sejam U e V duas v.a independentes , cada uma com distribuição
qui-quadrado , com ν1 e ν2, graus de liberdade , respectivamente. Então a v.a
W =
U/ν1
V/ν2
Tem função de densidade:
f(w) =
Γ(ν1+ν2
2 )
Γ ν1
2 Γ ν2
2
·
ν1
ν2
ν1/2
·
w
ν1−2
2
1 + ν1
ν2
· w
ν1+ν2
2
,
Distribuição F: W ∼ F(ν1, ν2)
Sejam U e V duas v.a independentes , cada uma com distribuição
qui-quadrado , com ν1 e ν2, graus de liberdade , respectivamente. Então a v.a
W =
U/ν1
V/ν2
Tem função de densidade:
f(w) =
Γ(ν1+ν2
2 )
Γ ν1
2 Γ ν2
2
·
ν1
ν2
ν1/2
·
w
ν1−2
2
1 + ν1
ν2
· w
ν1+ν2
2
, w  0
Distribuição F: W ∼ F(ν1, ν2)
Sejam U e V duas v.a independentes , cada uma com distribuição
qui-quadrado , com ν1 e ν2, graus de liberdade , respectivamente. Então a v.a
W =
U/ν1
V/ν2
Tem função de densidade:
f(w) =
Γ(ν1+ν2
2 )
Γ ν1
2 Γ ν2
2
·
ν1
ν2
ν1/2
·
w
ν1−2
2
1 + ν1
ν2
· w
ν1+ν2
2
, w  0
. . . . . . . . . . . . . . . . . . . . . . . . . . . . . . . . . . . . . . . . . . . . . . . . . . . . . . . . . . . . . . . . . . . . . . . . . . . . . . . . . . .
Julgue como verdadeiras ou falsas as armativas que se seguem:
3. Sejam Z1 e Z2 duas variáveis aleatórias independentes com distribuição
qui-quadrado, então W =
Z1
Z2
apresenta distribuição F.
Distribuição F: W ∼ F(ν1, ν2)
Sejam U e V duas v.a independentes, cada uma com distribuição
qui-quadrado, com ν1 e ν2, graus de liberdade, respectivamente. Então a v.a
W =
U/ν1
V/ν2
Tem função de densidade:
f(w) =
Γ(ν1+ν2
2 )
Γ ν1
2 Γ ν2
2
·
ν1
ν2
ν1/2
·
w
ν1−2
2
1 + ν1
ν2
· w
ν1+ν2
2
, w  0
. . . . . . . . . . . . . . . . . . . . . . . . . . . . . . . . . . . . . . . . . . . . . . . . . . . . . . . . . . . . . . . . . . . . . . . . . . . . . . . . . . .
Julgue como verdadeiras ou falsas as armativas que se seguem:
3. F  Sejam Z1 e Z2 duas variáveis aleatórias independentes com distribuição
qui-quadrado, então W =
Z1
Z2
apresenta distribuição F.
Veja que não estão denidos ν1 e ν2, os graus de liberdade.
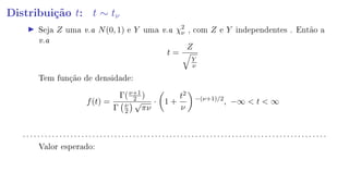
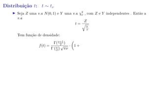
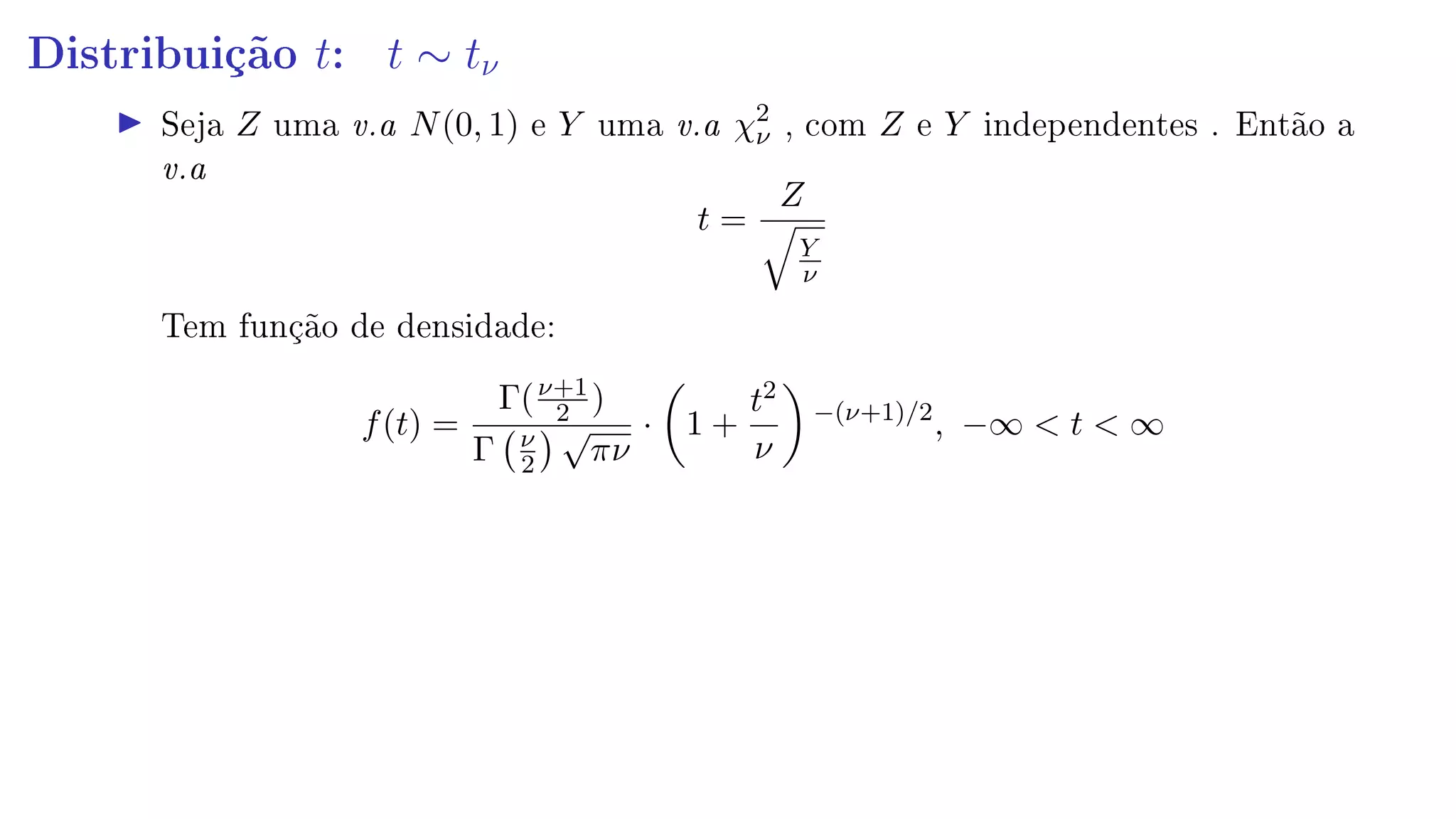
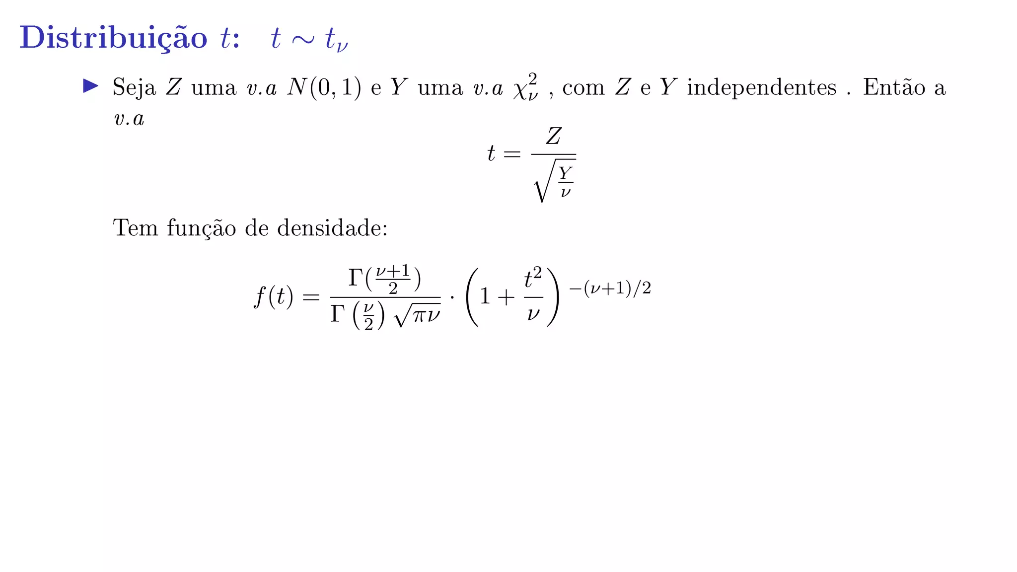
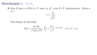
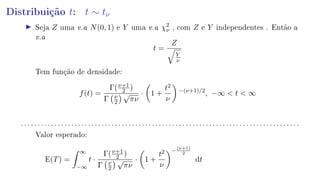
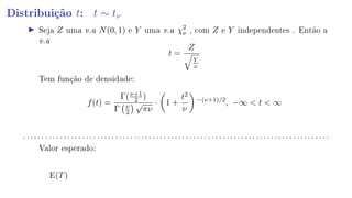
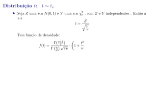
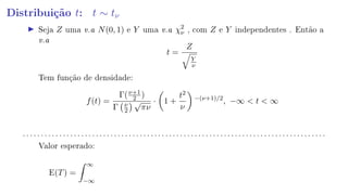
Distribuição t: t ∼ tν
Distribuição t: t ∼ tν
Seja Z uma v.a N(0, 1)
Distribuição t: t ∼ tν
Seja Z uma v.a N(0, 1) e Y uma v.a χ2
ν
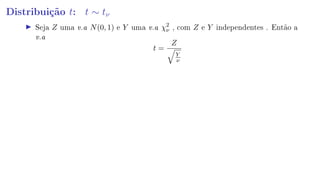
Distribuição t: t ∼ tν
Seja Z uma v.a N(0, 1) e Y uma v.a χ2
ν , com Z e Y independentes
Distribuição t: t ∼ tν
Seja Z uma v.a N(0, 1) e Y uma v.a χ2
ν , com Z e Y independentes . Então a
v.a
t =
Z
Y
ν
Distribuição t: t ∼ tν
Seja Z uma v.a N(0, 1) e Y uma v.a χ2
ν , com Z e Y independentes . Então a
v.a
t =
Z
Y
ν
Tem função de densidade:
f(t) =
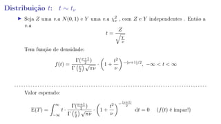
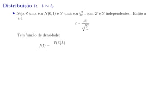
Distribuição t: t ∼ tν
Seja Z uma v.a N(0, 1) e Y uma v.a χ2
ν , com Z e Y independentes . Então a
v.a
t =
Z
Y
ν
Tem função de densidade:
f(t) =
Γ(ν+1
2 )
Distribuição t: t ∼ tν
Seja Z uma v.a N(0, 1) e Y uma v.a χ2
ν , com Z e Y independentes . Então a
v.a
t =
Z
Y
ν
Tem função de densidade:
f(t) =
Γ(ν+1
2 )
Γ ν
2
Distribuição t: t ∼ tν
Seja Z uma v.a N(0, 1) e Y uma v.a χ2
ν , com Z e Y independentes . Então a
v.a
t =
Z
Y
ν
Tem função de densidade:
f(t) =
Γ(ν+1
2 )
Γ ν
2
√
πν
Distribuição t: t ∼ tν
Seja Z uma v.a N(0, 1) e Y uma v.a χ2
ν , com Z e Y independentes . Então a
v.a
t =
Z
Y
ν
Tem função de densidade:
f(t) =
Γ(ν+1
2 )
Γ ν
2
√
πν
· 1 +
Distribuição t: t ∼ tν
Seja Z uma v.a N(0, 1) e Y uma v.a χ2
ν , com Z e Y independentes . Então a
v.a
t =
Z
Y
ν
Tem função de densidade:
f(t) =
Γ(ν+1
2 )
Γ ν
2
√
πν
· 1 +
t2
ν
Distribuição t: t ∼ tν
Seja Z uma v.a N(0, 1) e Y uma v.a χ2
ν , com Z e Y independentes . Então a
v.a
t =
Z
Y
ν
Tem função de densidade:
f(t) =
Γ(ν+1
2 )
Γ ν
2
√
πν
· 1 +
t2
ν
−(ν+1)/2
Distribuição t: t ∼ tν
Seja Z uma v.a N(0, 1) e Y uma v.a χ2
ν , com Z e Y independentes . Então a
v.a
t =
Z
Y
ν
Tem função de densidade:
f(t) =
Γ(ν+1
2 )
Γ ν
2
√
πν
· 1 +
t2
ν
−(ν+1)/2
, −∞  t  ∞
Distribuição t: t ∼ tν
Seja Z uma v.a N(0, 1) e Y uma v.a χ2
ν , com Z e Y independentes . Então a
v.a
t =
Z
Y
ν
Tem função de densidade:
f(t) =
Γ(ν+1
2 )
Γ ν
2
√
πν
· 1 +
t2
ν
−(ν+1)/2
, −∞  t  ∞
. . . . . . . . . . . . . . . . . . . . . . . . . . . . . . . . . . . . . . . . . . . . . . . . . . . . . . . . . . . . . . . . . . . . . . . . . . . . . . . . . . .
Valor esperado:
Distribuição t: t ∼ tν
Seja Z uma v.a N(0, 1) e Y uma v.a χ2
ν , com Z e Y independentes . Então a
v.a
t =
Z
Y
ν
Tem função de densidade:
f(t) =
Γ(ν+1
2 )
Γ ν
2
√
πν
· 1 +
t2
ν
−(ν+1)/2
, −∞  t  ∞
. . . . . . . . . . . . . . . . . . . . . . . . . . . . . . . . . . . . . . . . . . . . . . . . . . . . . . . . . . . . . . . . . . . . . . . . . . . . . . . . . . .
Valor esperado:
E(T)
Distribuição t: t ∼ tν
Seja Z uma v.a N(0, 1) e Y uma v.a χ2
ν , com Z e Y independentes . Então a
v.a
t =
Z
Y
ν
Tem função de densidade:
f(t) =
Γ(ν+1
2 )
Γ ν
2
√
πν
· 1 +
t2
ν
−(ν+1)/2
, −∞  t  ∞
. . . . . . . . . . . . . . . . . . . . . . . . . . . . . . . . . . . . . . . . . . . . . . . . . . . . . . . . . . . . . . . . . . . . . . . . . . . . . . . . . . .
Valor esperado:
E(T) =
∞
−∞
Distribuição t: t ∼ tν
Seja Z uma v.a N(0, 1) e Y uma v.a χ2
ν , com Z e Y independentes . Então a
v.a
t =
Z
Y
ν
Tem função de densidade:
f(t) =
Γ(ν+1
2 )
Γ ν
2
√
πν
· 1 +
t2
ν
−(ν+1)/2
, −∞  t  ∞
. . . . . . . . . . . . . . . . . . . . . . . . . . . . . . . . . . . . . . . . . . . . . . . . . . . . . . . . . . . . . . . . . . . . . . . . . . . . . . . . . . .
Valor esperado:
E(T) =
∞
−∞
t ·
Γ(ν+1
2 )
Γ ν
2
√
πν
· 1 +
t2
ν
−
(ν+1)
2
dt
Distribuição t: t ∼ tν
Seja Z uma v.a N(0, 1) e Y uma v.a χ2
ν , com Z e Y independentes . Então a
v.a
t =
Z
Y
ν
Tem função de densidade:
f(t) =
Γ(ν+1
2 )
Γ ν
2
√
πν
· 1 +
t2
ν
−(ν+1)/2
, −∞  t  ∞
. . . . . . . . . . . . . . . . . . . . . . . . . . . . . . . . . . . . . . . . . . . . . . . . . . . . . . . . . . . . . . . . . . . . . . . . . . . . . . . . . . .
Valor esperado:
E(T) =
∞
−∞
t ·
Γ(ν+1
2 )
Γ ν
2
√
πν
· 1 +
t2
ν
−
(ν+1)
2
dt = 0
Distribuição t: t ∼ tν
Seja Z uma v.a N(0, 1) e Y uma v.a χ2
ν , com Z e Y independentes . Então a
v.a
t =
Z
Y
ν
Tem função de densidade:
f(t) =
Γ(ν+1
2 )
Γ ν
2
√
πν
· 1 +
t2
ν
−(ν+1)/2
, −∞  t  ∞
. . . . . . . . . . . . . . . . . . . . . . . . . . . . . . . . . . . . . . . . . . . . . . . . . . . . . . . . . . . . . . . . . . . . . . . . . . . . . . . . . . .
Valor esperado:
E(T) =
∞
−∞
t ·
Γ(ν+1
2 )
Γ ν
2
√
πν
· 1 +
t2
ν
−
(ν+1)
2
dt = 0 (f(t) é ímpar!)
Distribuição t: t ∼ tν
Seja Z uma v.a N(0, 1) e Y uma v.a χ2
ν, com Z e Y independentes. Então a
v.a
t =
Z
Y
ν
Tem função de densidade:
f(t) =
Γ(ν+1
2 )
Γ ν
2
√
πν
· 1 +
t2
ν
−(ν+1)/2
, −∞  t  ∞
. . . . . . . . . . . . . . . . . . . . . . . . . . . . . . . . . . . . . . . . . . . . . . . . . . . . . . . . . . . . . . . . . . . . . . . . . . . . . . . . . . .
Variância: Var(X) = E(X2
) − E(X)2
, E(X) = 0 ⇒ Var(X) = E(X2
).
E(T2
) =
∞
−∞
Γ(ν+1
2 )
Γ ν
2
√
πν
· t2
1 +
t2
ν
−(ν+1)/2
dt
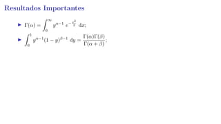
Resultados Importantes
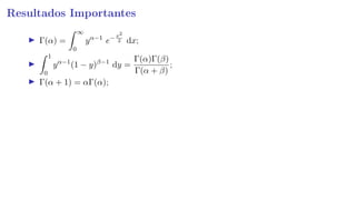
Resultados Importantes
Γ(α)
Resultados Importantes
Γ(α) =
∞
0
yα−1
e−x2
2 dx;
Resultados Importantes
Γ(α) =
∞
0
yα−1
e−x2
2 dx;
1
0
yα−1
(1 − y)β−1
dy
Resultados Importantes
Γ(α) =
∞
0
yα−1
e−x2
2 dx;
1
0
yα−1
(1 − y)β−1
dy =
Γ(α)Γ(β)
Γ(α + β)
;
Resultados Importantes
Γ(α) =
∞
0
yα−1
e−x2
2 dx;
1
0
yα−1
(1 − y)β−1
dy =
Γ(α)Γ(β)
Γ(α + β)
;
Γ(α + 1)
Resultados Importantes
Γ(α) =
∞
0
yα−1
e−x2
2 dx;
1
0
yα−1
(1 − y)β−1
dy =
Γ(α)Γ(β)
Γ(α + β)
;
Γ(α + 1) = αΓ(α);
Resultados Importantes
Γ(α) =
∞
0
yα−1
e−x2
2 dx;
1
0
yα−1
(1 − y)β−1
dy =
Γ(α)Γ(β)
Γ(α + β)
;
Γ(α + 1) = αΓ(α);
. . . . . . . . . . . . . . . . . . . . . . . . . . . . . . . . . . . . . . . . . . . . . . . . . . . . . . . . . . . . . . . . . . . . . . . . . . . . . . . . . . .
Variância da distribuição t de Student: Var(X) = E(X2
) − E(X)2
Resultados Importantes
Γ(α) =
∞
0
yα−1
e−x2
2 dx;
1
0
yα−1
(1 − y)β−1
dy =
Γ(α)Γ(β)
Γ(α + β)
;
Γ(α + 1) = αΓ(α);
. . . . . . . . . . . . . . . . . . . . . . . . . . . . . . . . . . . . . . . . . . . . . . . . . . . . . . . . . . . . . . . . . . . . . . . . . . . . . . . . . . .
Variância da distribuição t de Student: Var(X) = E(X2
) − E(X)2
E(T2
)
Resultados Importantes
Γ(α) =
∞
0
yα−1
e−x2
2 dx;
1
0
yα−1
(1 − y)β−1
dy =
Γ(α)Γ(β)
Γ(α + β)
;
Γ(α + 1) = αΓ(α);
. . . . . . . . . . . . . . . . . . . . . . . . . . . . . . . . . . . . . . . . . . . . . . . . . . . . . . . . . . . . . . . . . . . . . . . . . . . . . . . . . . .
Variância da distribuição t de Student: Var(X) = E(X2
) − E(X)2
E(T2
) =
∞
−∞
Resultados Importantes
Γ(α) =
∞
0
yα−1
e−x2
2 dx;
1
0
yα−1
(1 − y)β−1
dy =
Γ(α)Γ(β)
Γ(α + β)
;
Γ(α + 1) = αΓ(α);
. . . . . . . . . . . . . . . . . . . . . . . . . . . . . . . . . . . . . . . . . . . . . . . . . . . . . . . . . . . . . . . . . . . . . . . . . . . . . . . . . . .
Variância da distribuição t de Student: Var(X) = E(X2
) − E(X)2
E(T2
) =
∞
−∞
Γ(ν+1
2 )
Γ ν
2
√
πν
·
Resultados Importantes
Γ(α) =
∞
0
yα−1
e−x2
2 dx;
1
0
yα−1
(1 − y)β−1
dy =
Γ(α)Γ(β)
Γ(α + β)
;
Γ(α + 1) = αΓ(α);
. . . . . . . . . . . . . . . . . . . . . . . . . . . . . . . . . . . . . . . . . . . . . . . . . . . . . . . . . . . . . . . . . . . . . . . . . . . . . . . . . . .
Variância da distribuição t de Student: Var(X) = E(X2
) − E(X)2
E(T2
) =
∞
−∞
Γ(ν+1
2 )
Γ ν
2
√
πν
· t2
Resultados Importantes
Γ(α) =
∞
0
yα−1
e−x2
2 dx;
1
0
yα−1
(1 − y)β−1
dy =
Γ(α)Γ(β)
Γ(α + β)
;
Γ(α + 1) = αΓ(α);
. . . . . . . . . . . . . . . . . . . . . . . . . . . . . . . . . . . . . . . . . . . . . . . . . . . . . . . . . . . . . . . . . . . . . . . . . . . . . . . . . . .
Variância da distribuição t de Student: Var(X) = E(X2
) − E(X)2
E(T2
) =
∞
−∞
Γ(ν+1
2 )
Γ ν
2
√
πν
· t2
1 +
t2
ν
−
(ν+1)
2
dt
Resultados Importantes
Γ(α) =
∞
0
yα−1
e−x2
2 dx;
1
0
yα−1
(1 − y)β−1
dy =
Γ(α)Γ(β)
Γ(α + β)
;
Γ(α + 1) = αΓ(α);
. . . . . . . . . . . . . . . . . . . . . . . . . . . . . . . . . . . . . . . . . . . . . . . . . . . . . . . . . . . . . . . . . . . . . . . . . . . . . . . . . . .
Variância da distribuição t de Student: Var(X) = E(X2
) − E(X)2
E(T2
) =
∞
−∞
Γ(ν+1
2 )
Γ ν
2
√
πν
· t2
1 +
t2
ν
−
(ν+1)
2
dt
Seja y = 1 +
t2
v
−1
⇒ t ∈ R
Resultados Importantes
Γ(α) =
∞
0
yα−1
e−x2
2 dx;
1
0
yα−1
(1 − y)β−1
dy =
Γ(α)Γ(β)
Γ(α + β)
;
Γ(α + 1) = αΓ(α);
. . . . . . . . . . . . . . . . . . . . . . . . . . . . . . . . . . . . . . . . . . . . . . . . . . . . . . . . . . . . . . . . . . . . . . . . . . . . . . . . . . .
Variância da distribuição t de Student: Var(X) = E(X2
) − E(X)2
E(T2
) =
∞
−∞
Γ(ν+1
2 )
Γ ν
2
√
πν
· t2
1 +
t2
ν
−
(ν+1)
2
dt
Seja y = 1 +
t2
v
−1
⇒ t ∈ R , temos 0  y  1.
Variância da t
Variância da t
Variância da distribuição t de Student:
E(T2
) =
∞
−∞
Γ(ν+1
2 )
Γ ν
2
√
πν
· t2
1 +
t2
ν
−
(ν+1)
2
dt
Seja y = 1 +
t2
v
−1
⇒ t ∈ R, temos 0  y  1.
Variância da t
Variância da distribuição t de Student:
E(T2
) =
∞
−∞
Γ(ν+1
2 )
Γ ν
2
√
πν
· t2
1 +
t2
ν
−
(ν+1)
2
dt
Seja y = 1 +
t2
v
−1
⇒ t ∈ R, temos 0  y  1.
E(T2
)
Variância da t
Variância da distribuição t de Student:
E(T2
) =
∞
−∞
Γ(ν+1
2 )
Γ ν
2
√
πν
· t2
1 +
t2
ν
−
(ν+1)
2
dt
Seja y = 1 +
t2
v
−1
⇒ t ∈ R, temos 0  y  1.
E(T2
) = n
Γ n+1
2
Γ 1
2 Γ n
2
Variância da t
Variância da distribuição t de Student:
E(T2
) =
∞
−∞
Γ(ν+1
2 )
Γ ν
2
√
πν
· t2
1 +
t2
ν
−
(ν+1)
2
dt
Seja y = 1 +
t2
v
−1
⇒ t ∈ R, temos 0  y  1.
E(T2
) = n
Γ n+1
2
Γ 1
2 Γ n
2
1
0
y
n
2
−2
(1 − y)
1
2 dy
Variância da t
Variância da distribuição t de Student:
E(T2
) =
∞
−∞
Γ(ν+1
2 )
Γ ν
2
√
πν
· t2
1 +
t2
ν
−
(ν+1)
2
dt
Seja y = 1 +
t2
v
−1
⇒ t ∈ R, temos 0  y  1.
E(T2
) = n
Γ n+1
2
Γ 1
2 Γ n
2
1
0
y
n
2
−2
(1 − y)
1
2 dy =
n
n − 2
Variância da t
Variância da distribuição t de Student:
E(T2
) =
∞
−∞
Γ(ν+1
2 )
Γ ν
2
√
πν
· t2
1 +
t2
ν
−
(ν+1)
2
dt
Seja y = 1 +
t2
v
−1
⇒ t ∈ R, temos 0  y  1.
E(T2
) = n
Γ n+1
2
Γ 1
2 Γ n
2
1
0
y
n
2
−2
(1 − y)
1
2 dy =
n
n − 2
Finalmente X ∼ tn ⇒ E(X) = 0 e Var(X) =
n
n − 2
.
Exame 2019  Questão 1
4. V  Seja uma variável aleatória X, com distribuição t-Student com 2 graus de
liberdade. Então sua variância não será denida.
Exame 2019  Questão 1
4. V  Seja uma variável aleatória X, com distribuição t-Student com 2 graus de
liberdade. Então sua variância não será denida.
X ∼ tn ⇒ E(X) = 0 e Var(X) =
n
n − 2
Exame 2019  Questão 1
4. V  Seja uma variável aleatória X, com distribuição t-Student com 2 graus de
liberdade. Então sua variância não será denida.
X ∼ tn ⇒ E(X) = 0 e Var(X) =
n
n − 2
Conteúdo Exclusivo
concurseiro_estatistico@outlook.com
+5521980721945
Anselmo Alves de Sousa
Estatístico - CONRE 9743

Anpec - 2019 Estatística - Questão 1

  • 1.
    Anselmo Alves deSousa Estatístico - CONRE 9743
  • 4.
  • 5.
  • 6.
    Agenda Variável Aleatória: funçãode distribuição e de densidade;
  • 7.
    Agenda Variável Aleatória: funçãode distribuição e de densidade; 0 Distribuição Uniforme
  • 8.
    Agenda Variável Aleatória: funçãode distribuição e de densidade; 0 Distribuição Uniforme X ∼ U[a, b];
  • 9.
    Agenda Variável Aleatória: funçãode distribuição e de densidade; 0 Distribuição Uniforme X ∼ U[a, b]; 1 Média e Variância: X ∼ U[a, b];
  • 10.
    Agenda Variável Aleatória: funçãode distribuição e de densidade; 0 Distribuição Uniforme X ∼ U[a, b]; 1 Média e Variância: X ∼ U[a, b]; 2 Distribuição Normal
  • 11.
    Agenda Variável Aleatória: funçãode distribuição e de densidade; 0 Distribuição Uniforme X ∼ U[a, b]; 1 Média e Variância: X ∼ U[a, b]; 2 Distribuição Normal X ∼ N(µ, σ2 );
  • 12.
    Agenda Variável Aleatória: funçãode distribuição e de densidade; 0 Distribuição Uniforme X ∼ U[a, b]; 1 Média e Variância: X ∼ U[a, b]; 2 Distribuição Normal X ∼ N(µ, σ2 ); 3 Distribução F de probabilidade;
  • 13.
    Agenda Variável Aleatória: funçãode distribuição e de densidade; 0 Distribuição Uniforme X ∼ U[a, b]; 1 Média e Variância: X ∼ U[a, b]; 2 Distribuição Normal X ∼ N(µ, σ2 ); 3 Distribução F de probabilidade; 4 Distribuição t de Student.
  • 14.
    Agenda Variável Aleatória: funçãode distribuição e de densidade; 0 Distribuição Uniforme X ∼ U[a, b]; 1 Média e Variância: X ∼ U[a, b]; 2 Distribuição Normal X ∼ N(µ, σ2 ); 3 Distribução F de probabilidade; 4 Distribuição t de Student.
  • 15.
  • 16.
  • 17.
  • 18.
    Introdução i. Variável Aleatória:Seja (Ω, F, P) um espaço de probabilidade. Denominamos variável aleatória, qualquer função:
  • 19.
    Introdução i. Variável Aleatória:Seja (Ω, F, P) um espaço de probabilidade. Denominamos variável aleatória, qualquer função: X : Ω → R
  • 20.
    Introdução i. Variável Aleatória:Seja (Ω, F, P) um espaço de probabilidade. Denominamos variável aleatória, qualquer função: X : Ω → R tal que X−1 (I) = {ω ∈ Ω : X(ω) ∈ I} ∈ F
  • 21.
    Introdução i. Variável Aleatória:Seja (Ω, F, P) um espaço de probabilidade. Denominamos variável aleatória, qualquer função: X : Ω → R tal que X−1 (I) = {ω ∈ Ω : X(ω) ∈ I} ∈ F uma variável aleatória (v.a)
  • 22.
    Introdução i. Variável Aleatória:Seja (Ω, F, P) um espaço de probabilidade. Denominamos variável aleatória, qualquer função: X : Ω → R tal que X−1 (I) = {ω ∈ Ω : X(ω) ∈ I} ∈ F uma variável aleatória (v.a) é um característico numérico do resultado de um experimento aleatório.
  • 23.
    Introdução i. Variável Aleatória:Seja (Ω, F, P) um espaço de probabilidade. Denominamos variável aleatória, qualquer função: X : Ω → R tal que X−1 (I) = {ω ∈ Ω : X(ω) ∈ I} ∈ F uma variável aleatória (v.a) é um característico numérico do resultado de um experimento aleatório. Uma variável aleatória X em um espaço de probabilidade (Ω, F, P)
  • 24.
    Introdução i. Variável Aleatória:Seja (Ω, F, P) um espaço de probabilidade. Denominamos variável aleatória, qualquer função: X : Ω → R tal que X−1 (I) = {ω ∈ Ω : X(ω) ∈ I} ∈ F uma variável aleatória (v.a) é um característico numérico do resultado de um experimento aleatório. Uma variável aleatória X em um espaço de probabilidade (Ω, F, P) é uma função real denida no espaço Ω
  • 25.
    Introdução i. Variável Aleatória:Seja (Ω, F, P) um espaço de probabilidade. Denominamos variável aleatória, qualquer função: X : Ω → R tal que X−1 (I) = {ω ∈ Ω : X(ω) ∈ I} ∈ F uma variável aleatória (v.a) é um característico numérico do resultado de um experimento aleatório. Uma variável aleatória X em um espaço de probabilidade (Ω, F, P) é uma função real denida no espaço Ω tal que [X ≤ x]
  • 26.
    Introdução i. Variável Aleatória:Seja (Ω, F, P) um espaço de probabilidade. Denominamos variável aleatória, qualquer função: X : Ω → R tal que X−1 (I) = {ω ∈ Ω : X(ω) ∈ I} ∈ F uma variável aleatória (v.a) é um característico numérico do resultado de um experimento aleatório. Uma variável aleatória X em um espaço de probabilidade (Ω, F, P) é uma função real denida no espaço Ω tal que [X ≤ x] é evento aleatório ∀x ∈ R; i.e,
  • 27.
    Introdução i. Variável Aleatória:Seja (Ω, F, P) um espaço de probabilidade. Denominamos variável aleatória, qualquer função: X : Ω → R tal que X−1 (I) = {ω ∈ Ω : X(ω) ∈ I} ∈ F uma variável aleatória (v.a) é um característico numérico do resultado de um experimento aleatório. Uma variável aleatória X em um espaço de probabilidade (Ω, F, P) é uma função real denida no espaço Ω tal que [X ≤ x] é evento aleatório ∀x ∈ R; i.e, X : Ω → R é variável aleatória se [X ≤ x] ∈ F, ∀x ∈ R
  • 28.
  • 29.
    Introdução Sendo X umava em (Ω, F, P) sua função de distribuição é denida por:
  • 30.
    Introdução Sendo X umava em (Ω, F, P) sua função de distribuição é denida por: FX(x) = P(X ∈ (−∞, x])) = P(X ≤ x)
  • 31.
    Introdução Sendo X umava em (Ω, F, P) sua função de distribuição é denida por: FX(x) = P(X ∈ (−∞, x])) = P(X ≤ x) A partir da f.d obtemos quaisquer informações acerca da v.a.
  • 32.
    Introdução Sendo X umava em (Ω, F, P) sua função de distribuição é denida por: FX(x) = P(X ∈ (−∞, x])) = P(X ≤ x) A partir da f.d obtemos quaisquer informações acerca da v.a. Obtemos também a função de densidade de probabilidade
  • 33.
    Introdução Sendo X umava em (Ω, F, P) sua função de distribuição é denida por: FX(x) = P(X ∈ (−∞, x])) = P(X ≤ x) A partir da f.d obtemos quaisquer informações acerca da v.a. Obtemos também a função de densidade de probabilidade ou a função de probabilidade
  • 34.
    Introdução Sendo X umava em (Ω, F, P) sua função de distribuição é denida por: FX(x) = P(X ∈ (−∞, x])) = P(X ≤ x) A partir da f.d obtemos quaisquer informações acerca da v.a. Obtemos também a função de densidade de probabilidade ou a função de probabilidade , que está associada à uma função de distribuição;
  • 35.
    Introdução Sendo X umava em (Ω, F, P) sua função de distribuição é denida por: FX(x) = P(X ∈ (−∞, x])) = P(X ≤ x) A partir da f.d obtemos quaisquer informações acerca da v.a. Obtemos também a função de densidade de probabilidade ou a função de probabilidade , que está associada à uma função de distribuição;
  • 36.
  • 37.
    Exame 2019 Questão 1
  • 38.
    Exame 2019 Questão 1 Julgue como verdadeiras ou falsas as armativas que se seguem:
  • 39.
    Exame 2019 Questão 1 Julgue como verdadeiras ou falsas as armativas que se seguem: 0. Uma dada variável aleatória com distribuição uniforme no intervalo [2, 5] tem média igual a 3, 50.
  • 40.
    Exame 2019 Questão 1 Julgue como verdadeiras ou falsas as armativas que se seguem: 0. Uma dada variável aleatória com distribuição uniforme no intervalo [2, 5] tem média igual a 3, 50. 1. Uma dada variável aleatória com distribuição uniforme no intervalo [2, 5] tem variância igual a 0, 75.
  • 41.
    Exame 2019 Questão 1 Julgue como verdadeiras ou falsas as armativas que se seguem: 0. Uma dada variável aleatória com distribuição uniforme no intervalo [2, 5] tem média igual a 3, 50. 1. Uma dada variável aleatória com distribuição uniforme no intervalo [2, 5] tem variância igual a 0, 75. 2. Seja X uma variável aleatória com distribuição normal, com média 2 e variância 5, então Z = X − 2 5 também apresenta distribuição normal, com média 0 e variância 1.
  • 42.
    Exame 2019 Questão 1 Julgue como verdadeiras ou falsas as armativas que se seguem: 0. Uma dada variável aleatória com distribuição uniforme no intervalo [2, 5] tem média igual a 3, 50. 1. Uma dada variável aleatória com distribuição uniforme no intervalo [2, 5] tem variância igual a 0, 75. 2. Seja X uma variável aleatória com distribuição normal, com média 2 e variância 5, então Z = X − 2 5 também apresenta distribuição normal, com média 0 e variância 1. 3. Sejam Z1 e Z2 duas variáveis aleatórias independentes com distribuição quiquadrado, então W = Z1 Z2 apresenta distribuição F.
  • 43.
    Exame 2019 Questão 1 Julgue como verdadeiras ou falsas as armativas que se seguem: 0. Uma dada variável aleatória com distribuição uniforme no intervalo [2, 5] tem média igual a 3, 50. 1. Uma dada variável aleatória com distribuição uniforme no intervalo [2, 5] tem variância igual a 0, 75. 2. Seja X uma variável aleatória com distribuição normal, com média 2 e variância 5, então Z = X − 2 5 também apresenta distribuição normal, com média 0 e variância 1. 3. Sejam Z1 e Z2 duas variáveis aleatórias independentes com distribuição quiquadrado, então W = Z1 Z2 apresenta distribuição F. 4. Seja uma variável aleatória X, com distribuição t-Student com 2 graus de liberdade. Então sua variância não será denida.
  • 44.
  • 45.
    Distribuição Uniforme[a, b] Funçãode densidade: X ∼ U[a, b], sua função de densidade é dada por
  • 46.
    Distribuição Uniforme[a, b] Funçãode densidade: X ∼ U[a, b], sua função de densidade é dada por f(x) = 1 b − a , a ≤ x ≤ b.
  • 47.
    Distribuição Uniforme[a, b] Funçãode densidade: X ∼ U[a, b], sua função de densidade é dada por f(x) = 1 b − a , a ≤ x ≤ b. Valor esperado ou Esperança Matemática:
  • 48.
    Distribuição Uniforme[a, b] Funçãode densidade: X ∼ U[a, b], sua função de densidade é dada por f(x) = 1 b − a , a ≤ x ≤ b. Valor esperado ou Esperança Matemática: E(X) = b a x · f(x) dx
  • 49.
    Distribuição Uniforme[a, b] Funçãode densidade: X ∼ U[a, b], sua função de densidade é dada por f(x) = 1 b − a , a ≤ x ≤ b. Valor esperado ou Esperança Matemática: E(X) = b a x · f(x) dx = b a x b − a dx
  • 50.
    Distribuição Uniforme[a, b] Funçãode densidade: X ∼ U[a, b], sua função de densidade é dada por f(x) = 1 b − a , a ≤ x ≤ b. Valor esperado ou Esperança Matemática: E(X) = b a x · f(x) dx = b a x b − a dx = x2 2(b − a) b a
  • 51.
    Distribuição Uniforme[a, b] Funçãode densidade: X ∼ U[a, b], sua função de densidade é dada por f(x) = 1 b − a , a ≤ x ≤ b. Valor esperado ou Esperança Matemática: E(X) = b a x · f(x) dx = b a x b − a dx = x2 2(b − a) b a = b2 2(b − a)
  • 52.
    Distribuição Uniforme[a, b] Funçãode densidade: X ∼ U[a, b], sua função de densidade é dada por f(x) = 1 b − a , a ≤ x ≤ b. Valor esperado ou Esperança Matemática: E(X) = b a x · f(x) dx = b a x b − a dx = x2 2(b − a) b a = b2 2(b − a) − a2 2(b − a)
  • 53.
    Distribuição Uniforme[a, b] Funçãode densidade: X ∼ U[a, b], sua função de densidade é dada por f(x) = 1 b − a , a ≤ x ≤ b. Valor esperado ou Esperança Matemática: E(X) = b a x · f(x) dx = b a x b − a dx = x2 2(b − a) b a = b2 2(b − a) − a2 2(b − a) = b2 − a2 2(b − a)
  • 54.
    Distribuição Uniforme[a, b] Funçãode densidade: X ∼ U[a, b], sua função de densidade é dada por f(x) = 1 b − a , a ≤ x ≤ b. Valor esperado ou Esperança Matemática: E(X) = b a x · f(x) dx = b a x b − a dx = x2 2(b − a) b a = b2 2(b − a) − a2 2(b − a) = b2 − a2 2(b − a) = (b − a)(b + a)
  • 55.
    Distribuição Uniforme[a, b] Funçãode densidade: X ∼ U[a, b], sua função de densidade é dada por f(x) = 1 b − a , a ≤ x ≤ b. Valor esperado ou Esperança Matemática: E(X) = b a x · f(x) dx = b a x b − a dx = x2 2(b − a) b a = b2 2(b − a) − a2 2(b − a) = b2 − a2 2(b − a) = (b − a)(b + a) 2(b − a)
  • 56.
    Distribuição Uniforme[a, b] Funçãode densidade: X ∼ U[a, b], sua função de densidade é dada por f(x) = 1 b − a , a ≤ x ≤ b. Valor esperado ou Esperança Matemática: E(X) = b a x · f(x) dx = b a x b − a dx = x2 2(b − a) b a = b2 2(b − a) − a2 2(b − a) = b2 − a2 2(b − a) = (b − a)(b + a) 2(b − a) = (b − a)(b + a) 2(b − a)
  • 57.
    Distribuição Uniforme[a, b] Funçãode densidade: X ∼ U[a, b], sua função de densidade é dada por f(x) = 1 b − a , a ≤ x ≤ b. Valor esperado ou Esperança Matemática: E(X) = b a x · f(x) dx = b a x b − a dx = x2 2(b − a) b a = b2 2(b − a) − a2 2(b − a) = b2 − a2 2(b − a) = (b − a)(b + a) 2(b − a) = (b − a)(b + a) 2(b − a) E(X) = a + b 2
  • 58.
    Distribuição Uniforme[a, b] Funçãode densidade: X ∼ U[a, b], sua função de densidade é dada por f(x) = 1 b − a , a ≤ x ≤ b.
  • 59.
    Distribuição Uniforme[a, b] Funçãode densidade: X ∼ U[a, b], sua função de densidade é dada por f(x) = 1 b − a , a ≤ x ≤ b. Valor esperado de X2 :
  • 60.
    Distribuição Uniforme[a, b] Funçãode densidade: X ∼ U[a, b], sua função de densidade é dada por f(x) = 1 b − a , a ≤ x ≤ b. Valor esperado de X2 : E(X2 )
  • 61.
    Distribuição Uniforme[a, b] Funçãode densidade: X ∼ U[a, b], sua função de densidade é dada por f(x) = 1 b − a , a ≤ x ≤ b. Valor esperado de X2 : E(X2 ) = b a x2 · f(x) dx
  • 62.
    Distribuição Uniforme[a, b] Funçãode densidade: X ∼ U[a, b], sua função de densidade é dada por f(x) = 1 b − a , a ≤ x ≤ b. Valor esperado de X2 : E(X2 ) = b a x2 · f(x) dx = b a x2 b − a dx
  • 63.
    Distribuição Uniforme[a, b] Funçãode densidade: X ∼ U[a, b], sua função de densidade é dada por f(x) = 1 b − a , a ≤ x ≤ b. Valor esperado de X2 : E(X2 ) = b a x2 · f(x) dx = b a x2 b − a dx = x3 3(b − a) b a
  • 64.
    Distribuição Uniforme[a, b] Funçãode densidade: X ∼ U[a, b], sua função de densidade é dada por f(x) = 1 b − a , a ≤ x ≤ b. Valor esperado de X2 : E(X2 ) = b a x2 · f(x) dx = b a x2 b − a dx = x3 3(b − a) b a = b3 3(b − a)
  • 65.
    Distribuição Uniforme[a, b] Funçãode densidade: X ∼ U[a, b], sua função de densidade é dada por f(x) = 1 b − a , a ≤ x ≤ b. Valor esperado de X2 : E(X2 ) = b a x2 · f(x) dx = b a x2 b − a dx = x3 3(b − a) b a = b3 3(b − a) − a3 3(b − a)
  • 66.
    Distribuição Uniforme[a, b] Funçãode densidade: X ∼ U[a, b], sua função de densidade é dada por f(x) = 1 b − a , a ≤ x ≤ b. Valor esperado de X2 : E(X2 ) = b a x2 · f(x) dx = b a x2 b − a dx = x3 3(b − a) b a = b3 3(b − a) − a3 3(b − a) = b3 − a3
  • 67.
    Distribuição Uniforme[a, b] Funçãode densidade: X ∼ U[a, b], sua função de densidade é dada por f(x) = 1 b − a , a ≤ x ≤ b. Valor esperado de X2 : E(X2 ) = b a x2 · f(x) dx = b a x2 b − a dx = x3 3(b − a) b a = b3 3(b − a) − a3 3(b − a) = b3 − a3 3(b − a)
  • 68.
    Distribuição Uniforme[a, b] Funçãode densidade: X ∼ U[a, b], sua função de densidade é dada por f(x) = 1 b − a , a ≤ x ≤ b. Valor esperado de X2 : E(X2 ) = b a x2 · f(x) dx = b a x2 b − a dx = x3 3(b − a) b a = b3 3(b − a) − a3 3(b − a) = b3 − a3 3(b − a) = (b − a)(b2 + ab + a2)
  • 69.
    Distribuição Uniforme[a, b] Funçãode densidade: X ∼ U[a, b], sua função de densidade é dada por f(x) = 1 b − a , a ≤ x ≤ b. Valor esperado de X2 : E(X2 ) = b a x2 · f(x) dx = b a x2 b − a dx = x3 3(b − a) b a = b3 3(b − a) − a3 3(b − a) = b3 − a3 3(b − a) = (b − a)(b2 + ab + a2) 3(b − a)
  • 70.
    Distribuição Uniforme[a, b] Funçãode densidade: X ∼ U[a, b], sua função de densidade é dada por f(x) = 1 b − a , a ≤ x ≤ b. Valor esperado de X2 : E(X2 ) = b a x2 · f(x) dx = b a x2 b − a dx = x3 3(b − a) b a = b3 3(b − a) − a3 3(b − a) = b3 − a3 3(b − a) = (b − a)(b2 + ab + a2) 3(b − a) = (b − a)(b2 + ab + a2) 3(b − a)
  • 71.
    Distribuição Uniforme[a, b] Funçãode densidade: X ∼ U[a, b], sua função de densidade é dada por f(x) = 1 b − a , a ≤ x ≤ b. Valor esperado de X2 : E(X2 ) = b a x2 · f(x) dx = b a x2 b − a dx = x3 3(b − a) b a = b3 3(b − a) − a3 3(b − a) = b3 − a3 3(b − a) = (b − a)(b2 + ab + a2) 3(b − a) = (b − a)(b2 + ab + a2) 3(b − a) E(X2 ) = b2 + ab + a2 3
  • 72.
    Distribuição Uniforme[a, b] Funçãode densidade: X ∼ U[a, b], sua função de densidade é dada por f(x) = 1 b − a , a ≤ x ≤ b.
  • 73.
    Distribuição Uniforme[a, b] Funçãode densidade: X ∼ U[a, b], sua função de densidade é dada por f(x) = 1 b − a , a ≤ x ≤ b. Variância Var(X) = E(X2 ) − E(X)2 :
  • 74.
    Distribuição Uniforme[a, b] Funçãode densidade: X ∼ U[a, b], sua função de densidade é dada por f(x) = 1 b − a , a ≤ x ≤ b. Variância Var(X) = E(X2 ) − E(X)2 : Var(X)
  • 75.
    Distribuição Uniforme[a, b] Funçãode densidade: X ∼ U[a, b], sua função de densidade é dada por f(x) = 1 b − a , a ≤ x ≤ b. Variância Var(X) = E(X2 ) − E(X)2 : Var(X) = b2 + ab + a2 3
  • 76.
    Distribuição Uniforme[a, b] Funçãode densidade: X ∼ U[a, b], sua função de densidade é dada por f(x) = 1 b − a , a ≤ x ≤ b. Variância Var(X) = E(X2 ) − E(X)2 : Var(X) = b2 + ab + a2 3 − a + b 2 2
  • 77.
    Distribuição Uniforme[a, b] Funçãode densidade: X ∼ U[a, b], sua função de densidade é dada por f(x) = 1 b − a , a ≤ x ≤ b. Variância Var(X) = E(X2 ) − E(X)2 : Var(X) = b2 + ab + a2 3 − a + b 2 2 = 4b2 + 4ab + 4a2 12
  • 78.
    Distribuição Uniforme[a, b] Funçãode densidade: X ∼ U[a, b], sua função de densidade é dada por f(x) = 1 b − a , a ≤ x ≤ b. Variância Var(X) = E(X2 ) − E(X)2 : Var(X) = b2 + ab + a2 3 − a + b 2 2 = 4b2 + 4ab + 4a2 12 − a2 + 2ab + b2 4
  • 79.
    Distribuição Uniforme[a, b] Funçãode densidade: X ∼ U[a, b], sua função de densidade é dada por f(x) = 1 b − a , a ≤ x ≤ b. Variância Var(X) = E(X2 ) − E(X)2 : Var(X) = b2 + ab + a2 3 − a + b 2 2 = 4b2 + 4ab + 4a2 12 − a2 + 2ab + b2 4 = 4b2 + 4ab + 4a2 12
  • 80.
    Distribuição Uniforme[a, b] Funçãode densidade: X ∼ U[a, b], sua função de densidade é dada por f(x) = 1 b − a , a ≤ x ≤ b. Variância Var(X) = E(X2 ) − E(X)2 : Var(X) = b2 + ab + a2 3 − a + b 2 2 = 4b2 + 4ab + 4a2 12 − a2 + 2ab + b2 4 = 4b2 + 4ab + 4a2 12 − 3a2 + 6ab + 3b2 12
  • 81.
    Distribuição Uniforme[a, b] Funçãode densidade: X ∼ U[a, b], sua função de densidade é dada por f(x) = 1 b − a , a ≤ x ≤ b. Variância Var(X) = E(X2 ) − E(X)2 : Var(X) = b2 + ab + a2 3 − a + b 2 2 = 4b2 + 4ab + 4a2 12 − a2 + 2ab + b2 4 = 4b2 + 4ab + 4a2 12 − 3a2 + 6ab + 3b2 12 = b2 − 2ab + a2 12
  • 82.
    Distribuição Uniforme[a, b] Funçãode densidade: X ∼ U[a, b], sua função de densidade é dada por f(x) = 1 b − a , a ≤ x ≤ b. Variância Var(X) = E(X2 ) − E(X)2 : Var(X) = b2 + ab + a2 3 − a + b 2 2 = 4b2 + 4ab + 4a2 12 − a2 + 2ab + b2 4 = 4b2 + 4ab + 4a2 12 − 3a2 + 6ab + 3b2 12 = b2 − 2ab + a2 12 = (b − a)2 12
  • 83.
    Distribuição Uniforme[a, b] Funçãode densidade: X ∼ U[a, b], sua função de densidade é dada por f(x) = 1 b − a , a ≤ x ≤ b.
  • 84.
    Distribuição Uniforme[a, b] Funçãode densidade: X ∼ U[a, b], sua função de densidade é dada por f(x) = 1 b − a , a ≤ x ≤ b. Média e Variância:
  • 85.
    Distribuição Uniforme[a, b] Funçãode densidade: X ∼ U[a, b], sua função de densidade é dada por f(x) = 1 b − a , a ≤ x ≤ b. Média e Variância: E(X) = a + b 2
  • 86.
    Distribuição Uniforme[a, b] Funçãode densidade: X ∼ U[a, b], sua função de densidade é dada por f(x) = 1 b − a , a ≤ x ≤ b. Média e Variância: E(X) = a + b 2 e Var(X) = (b − a)2 12
  • 87.
    Distribuição Uniforme[a, b] Funçãode densidade: X ∼ U[a, b], sua função de densidade é dada por f(x) = 1 b − a , a ≤ x ≤ b. Média e Variância: E(X) = a + b 2 e Var(X) = (b − a)2 12 . . . . . . . . . . . . . . . . . . . . . . . . . . . . . . . . . . . . . . . . . . . . . . . . . . . . . . . . . . . . . . . . . . . . . . . . . . . . . . 0. Uma dada variável aleatória com distribuição uniforme no intervalo [2, 5] tem média igual a 3, 50.
  • 88.
    Distribuição Uniforme[a, b] Funçãode densidade: X ∼ U[a, b], sua função de densidade é dada por f(x) = 1 b − a , a ≤ x ≤ b. Média e Variância: E(X) = a + b 2 e Var(X) = (b − a)2 12 . . . . . . . . . . . . . . . . . . . . . . . . . . . . . . . . . . . . . . . . . . . . . . . . . . . . . . . . . . . . . . . . . . . . . . . . . . . . . . 0. Uma dada variável aleatória com distribuição uniforme no intervalo [2, 5] tem média igual a 3, 50. 1. Uma dada variável aleatória com distribuição uniforme no intervalo [2, 5] tem variância igual a 0, 75.
  • 89.
    Distribuição Uniforme[a, b] Funçãode densidade: X ∼ U[a, b], sua função de densidade é dada por f(x) = 1 b − a , a ≤ x ≤ b. Média e Variância: E(X) = a + b 2 e Var(X) = (b − a)2 12 . . . . . . . . . . . . . . . . . . . . . . . . . . . . . . . . . . . . . . . . . . . . . . . . . . . . . . . . . . . . . . . . . . . . . . . . . . . . . . 0. Uma dada variável aleatória com distribuição uniforme no intervalo [2, 5] tem média igual a 3, 50. 1. Uma dada variável aleatória com distribuição uniforme no intervalo [2, 5] tem variância igual a 0, 75.
  • 90.
    Distribuição Uniforme[a, b] Funçãode densidade: X ∼ U[a, b], sua função de densidade é dada por f(x) = 1 b − a , a ≤ x ≤ b. Média e Variância: E(X) = a + b 2 e Var(X) = (b − a)2 12 . . . . . . . . . . . . . . . . . . . . . . . . . . . . . . . . . . . . . . . . . . . . . . . . . . . . . . . . . . . . . . . . . . . . . . . . . . . . . . 0. V Uma dada variável aleatória com distribuição uniforme no intervalo [2, 5] tem média igual a 3, 50.
  • 91.
    Distribuição Uniforme[a, b] Funçãode densidade: X ∼ U[a, b], sua função de densidade é dada por f(x) = 1 b − a , a ≤ x ≤ b. Média e Variância: E(X) = a + b 2 e Var(X) = (b − a)2 12 . . . . . . . . . . . . . . . . . . . . . . . . . . . . . . . . . . . . . . . . . . . . . . . . . . . . . . . . . . . . . . . . . . . . . . . . . . . . . . 0. V Uma dada variável aleatória com distribuição uniforme no intervalo [2, 5] tem média igual a 3, 50. Temos E(X) = (2 + 5)/2 = 3, 5.
  • 92.
    Distribuição Uniforme[a, b] Funçãode densidade: X ∼ U[a, b], sua função de densidade é dada por f(x) = 1 b − a , a ≤ x ≤ b. Média e Variância: E(X) = a + b 2 e Var(X) = (b − a)2 12 . . . . . . . . . . . . . . . . . . . . . . . . . . . . . . . . . . . . . . . . . . . . . . . . . . . . . . . . . . . . . . . . . . . . . . . . . . . . . . 0. V Uma dada variável aleatória com distribuição uniforme no intervalo [2, 5] tem média igual a 3, 50. Temos E(X) = (2 + 5)/2 = 3, 5. 1. V Uma dada variável aleatória com distribuição uniforme no intervalo [2, 5] tem variância igual a 0, 75.
  • 93.
    Distribuição Uniforme[a, b] Funçãode densidade: X ∼ U[a, b], sua função de densidade é dada por f(x) = 1 b − a , a ≤ x ≤ b. Média e Variância: E(X) = a + b 2 e Var(X) = (b − a)2 12 . . . . . . . . . . . . . . . . . . . . . . . . . . . . . . . . . . . . . . . . . . . . . . . . . . . . . . . . . . . . . . . . . . . . . . . . . . . . . . 0. V Uma dada variável aleatória com distribuição uniforme no intervalo [2, 5] tem média igual a 3, 50. Temos E(X) = (2 + 5)/2 = 3, 5. 1. V Uma dada variável aleatória com distribuição uniforme no intervalo [2, 5] tem variância igual a 0, 75. Temos Var(X) = (5 − 2)2 /12 = 9/12 = 0, 75.
  • 94.
    Distribuição Uniforme[a, b] Funçãode densidade: X ∼ U[a, b], sua função de densidade é dada por f(x) = 1 b − a , a ≤ x ≤ b. Média e Variância: E(X) = a + b 2 e Var(X) = (b − a)2 12 . . . . . . . . . . . . . . . . . . . . . . . . . . . . . . . . . . . . . . . . . . . . . . . . . . . . . . . . . . . . . . . . . . . . . . . . . . . . . . 0. V Uma dada variável aleatória com distribuição uniforme no intervalo [2, 5] tem média igual a 3, 50. Temos E(X) = (2 + 5)/2 = 3, 5. 1. V Uma dada variável aleatória com distribuição uniforme no intervalo [2, 5] tem variância igual a 0, 75. Temos Var(X) = (5 − 2)2 /12 = 9/12 = 0, 75.
  • 95.
    Distribuição Normal X∼ N(µ, σ2 )
  • 96.
    Distribuição Normal X∼ N(µ, σ2 ) Uma variável X segue o modelo Normal se sua densidade é a seguinte:
  • 97.
    Distribuição Normal X∼ N(µ, σ2 ) Uma variável X segue o modelo Normal se sua densidade é a seguinte: f(x)
  • 98.
    Distribuição Normal X∼ N(µ, σ2 ) Uma variável X segue o modelo Normal se sua densidade é a seguinte: f(x) = 1 σ √ 2π
  • 99.
    Distribuição Normal X∼ N(µ, σ2 ) Uma variável X segue o modelo Normal se sua densidade é a seguinte: f(x) = 1 σ √ 2π exp − (x − µ)2 2σ2
  • 100.
    Distribuição Normal X∼ N(µ, σ2 ) Uma variável X segue o modelo Normal se sua densidade é a seguinte: f(x) = 1 σ √ 2π exp − (x − µ)2 2σ2 , −∞ x ∞, com µ, σ ∈ R, σ 0
  • 101.
    Distribuição Normal X∼ N(µ, σ2 ) Uma variável X segue o modelo Normal se sua densidade é a seguinte: f(x) = 1 σ √ 2π exp − (x − µ)2 2σ2 , −∞ x ∞, com µ, σ ∈ R, σ 0 E(X) = µ
  • 102.
    Distribuição Normal X∼ N(µ, σ2 ) Uma variável X segue o modelo Normal se sua densidade é a seguinte: f(x) = 1 σ √ 2π exp − (x − µ)2 2σ2 , −∞ x ∞, com µ, σ ∈ R, σ 0 E(X) = µ e σ é o desvio padrão e Var(X) = σ2 .
  • 103.
    Distribuição Normal X∼ N(µ, σ2 ) Uma variável X segue o modelo Normal se sua densidade é a seguinte: f(x) = 1 σ √ 2π exp − (x − µ)2 2σ2 , −∞ x ∞, com µ, σ ∈ R, σ 0 E(X) = µ e σ é o desvio padrão e Var(X) = σ2 . Gráco:
  • 104.
    Distribuição Normal X∼ N(µ, σ2 ) Uma variável X segue o modelo Normal se sua densidade é a seguinte: f(x) = 1 σ √ 2π exp − (x − µ)2 2σ2 , −∞ x ∞, com µ, σ ∈ R, σ 0.
  • 105.
    Distribuição Normal X∼ N(µ, σ2 ) Uma variável X segue o modelo Normal se sua densidade é a seguinte: f(x) = 1 σ √ 2π exp − (x − µ)2 2σ2 , −∞ x ∞, com µ, σ ∈ R, σ 0. A função de distribuição da N(µ, σ2 ) não tem uma forma fechada;
  • 106.
    Distribuição Normal X∼ N(µ, σ2 ) Uma variável X segue o modelo Normal se sua densidade é a seguinte: f(x) = 1 σ √ 2π exp − (x − µ)2 2σ2 , −∞ x ∞, com µ, σ ∈ R, σ 0. A função de distribuição da N(µ, σ2 ) não tem uma forma fechada; Sendo X ∼ N(µ; σ2 ),
  • 107.
    Distribuição Normal X∼ N(µ, σ2 ) Uma variável X segue o modelo Normal se sua densidade é a seguinte: f(x) = 1 σ √ 2π exp − (x − µ)2 2σ2 , −∞ x ∞, com µ, σ ∈ R, σ 0. A função de distribuição da N(µ, σ2 ) não tem uma forma fechada; Sendo X ∼ N(µ; σ2 ), então Z = X − µ σ ⇒ N(0, 1);
  • 108.
    Distribuição Normal X∼ N(µ, σ2 ) Uma variável X segue o modelo Normal se sua densidade é a seguinte: f(x) = 1 σ √ 2π exp − (x − µ)2 2σ2 , −∞ x ∞, com µ, σ ∈ R, σ 0. A função de distribuição da N(µ, σ2 ) não tem uma forma fechada; Sendo X ∼ N(µ; σ2 ), então Z = X − µ σ ⇒ N(0, 1); P X − µ σ ≤ z
  • 109.
    Distribuição Normal X∼ N(µ, σ2 ) Uma variável X segue o modelo Normal se sua densidade é a seguinte: f(x) = 1 σ √ 2π exp − (x − µ)2 2σ2 , −∞ x ∞, com µ, σ ∈ R, σ 0. A função de distribuição da N(µ, σ2 ) não tem uma forma fechada; Sendo X ∼ N(µ; σ2 ), então Z = X − µ σ ⇒ N(0, 1); P X − µ σ ≤ z = P(X ≤ zσ + µ)
  • 110.
    Distribuição Normal X∼ N(µ, σ2 ) Uma variável X segue o modelo Normal se sua densidade é a seguinte: f(x) = 1 σ √ 2π exp − (x − µ)2 2σ2 , −∞ x ∞, com µ, σ ∈ R, σ 0. A função de distribuição da N(µ, σ2 ) não tem uma forma fechada; Sendo X ∼ N(µ; σ2 ), então Z = X − µ σ ⇒ N(0, 1); P X − µ σ ≤ z = P(X ≤ zσ + µ) = zσ+µ −∞
  • 111.
    Distribuição Normal X∼ N(µ, σ2 ) Uma variável X segue o modelo Normal se sua densidade é a seguinte: f(x) = 1 σ √ 2π exp − (x − µ)2 2σ2 , −∞ x ∞, com µ, σ ∈ R, σ 0. A função de distribuição da N(µ, σ2 ) não tem uma forma fechada; Sendo X ∼ N(µ; σ2 ), então Z = X − µ σ ⇒ N(0, 1); P X − µ σ ≤ z = P(X ≤ zσ + µ) = zσ+µ −∞ 1 σ √ 2π exp − (x − µ)2 2σ2 dx
  • 112.
    Distribuição Normal X∼ N(µ, σ2 ) Uma variável X segue o modelo Normal se sua densidade é a seguinte: f(x) = 1 σ √ 2π exp − (x − µ)2 2σ2 , −∞ x ∞, com µ, σ ∈ R, σ 0. A função de distribuição da N(µ, σ2 ) não tem uma forma fechada; Sendo X ∼ N(µ; σ2 ), então Z = X − µ σ ⇒ N(0, 1); P X − µ σ ≤ z = P(X ≤ zσ + µ) = zσ+µ −∞ 1 σ √ 2π exp − (x − µ)2 2σ2 dx = y −∞
  • 113.
    Distribuição Normal X∼ N(µ, σ2 ) Uma variável X segue o modelo Normal se sua densidade é a seguinte: f(x) = 1 σ √ 2π exp − (x − µ)2 2σ2 , −∞ x ∞, com µ, σ ∈ R, σ 0. A função de distribuição da N(µ, σ2 ) não tem uma forma fechada; Sendo X ∼ N(µ; σ2 ), então Z = X − µ σ ⇒ N(0, 1); P X − µ σ ≤ z = P(X ≤ zσ + µ) = zσ+µ −∞ 1 σ √ 2π exp − (x − µ)2 2σ2 dx = y −∞ 1 √ 2π exp − y2 2 dy
  • 114.
    Distribuição Normal X∼ N(µ, σ2 ) Uma variável X segue o modelo Normal se sua densidade é a seguinte: f(x) = 1 σ √ 2π exp − (x − µ)2 2σ2 , −∞ x ∞, com µ, σ ∈ R, σ 0. A função de distribuição da N(µ, σ2 ) não tem uma forma fechada; Sendo X ∼ N(µ; σ2 ), então Z = X − µ σ ⇒ N(0, 1); P X − µ σ ≤ z = P(X ≤ zσ + µ) = zσ+µ −∞ 1 σ √ 2π exp − (x − µ)2 2σ2 dx = y −∞ 1 √ 2π exp − y2 2 dy y = (x − µ)/σ
  • 115.
    Distribuição Normal X∼ N(2, 5) Uma variável X segue o modelo Normal se sua densidade é a seguinte: f(x) = 1 σ √ 2π exp − (x − µ)2 2σ2 , −∞ x ∞, com µ, σ ∈ R, σ 0.
  • 116.
    Distribuição Normal X∼ N(2, 5) Uma variável X segue o modelo Normal se sua densidade é a seguinte: f(x) = 1 σ √ 2π exp − (x − µ)2 2σ2 , −∞ x ∞, com µ, σ ∈ R, σ 0. . . . . . . . . . . . . . . . . . . . . . . . . . . . . . . . . . . . . . . . . . . . . . . . . . . . . . . . . . . . . . . . . . . . . . . . . . . . . . . . . . . . Julgue como verdadeiras ou falsas as armativas que se seguem:
  • 117.
    Distribuição Normal X∼ N(2, 5) Uma variável X segue o modelo Normal se sua densidade é a seguinte: f(x) = 1 σ √ 2π exp − (x − µ)2 2σ2 , −∞ x ∞, com µ, σ ∈ R, σ 0. . . . . . . . . . . . . . . . . . . . . . . . . . . . . . . . . . . . . . . . . . . . . . . . . . . . . . . . . . . . . . . . . . . . . . . . . . . . . . . . . . . . Julgue como verdadeiras ou falsas as armativas que se seguem: 2. Seja X uma variável aleatória com distribuição normal, com média 2 e variância 5
  • 118.
    Distribuição Normal X∼ N(2, 5) Uma variável X segue o modelo Normal se sua densidade é a seguinte: f(x) = 1 σ √ 2π exp − (x − µ)2 2σ2 , −∞ x ∞, com µ, σ ∈ R, σ 0. . . . . . . . . . . . . . . . . . . . . . . . . . . . . . . . . . . . . . . . . . . . . . . . . . . . . . . . . . . . . . . . . . . . . . . . . . . . . . . . . . . . Julgue como verdadeiras ou falsas as armativas que se seguem: 2. Seja X uma variável aleatória com distribuição normal, com média 2 e variância 5 , então Z = X − 2 5
  • 119.
    Distribuição Normal X∼ N(2, 5) Uma variável X segue o modelo Normal se sua densidade é a seguinte: f(x) = 1 σ √ 2π exp − (x − µ)2 2σ2 , −∞ x ∞, com µ, σ ∈ R, σ 0. . . . . . . . . . . . . . . . . . . . . . . . . . . . . . . . . . . . . . . . . . . . . . . . . . . . . . . . . . . . . . . . . . . . . . . . . . . . . . . . . . . . Julgue como verdadeiras ou falsas as armativas que se seguem: 2. Seja X uma variável aleatória com distribuição normal, com média 2 e variância 5 , então Z = X − 2 5 também apresenta distribuição normal, com média 0 e variância 1.
  • 120.
    Distribuição Normal X∼ N(2, 5) Uma variável X segue o modelo Normal se sua densidade é a seguinte: f(x) = 1 σ √ 2π exp − (x − µ)2 2σ2 , −∞ x ∞, com µ, σ ∈ R, σ 0. . . . . . . . . . . . . . . . . . . . . . . . . . . . . . . . . . . . . . . . . . . . . . . . . . . . . . . . . . . . . . . . . . . . . . . . . . . . . . . . . . . . Julgue como verdadeiras ou falsas as armativas que se seguem: 2. Seja X uma variável aleatória com distribuição normal, com média 2 e variância 5 , então Z = X − 2 5 também apresenta distribuição normal, com média 0 e variância 1.
  • 121.
    Distribuição Normal X∼ N(2, 5) Uma variável X segue o modelo Normal se sua densidade é a seguinte: f(x) = 1 σ √ 2π exp − (x − µ)2 2σ2 , −∞ x ∞, com µ, σ ∈ R, σ 0. . . . . . . . . . . . . . . . . . . . . . . . . . . . . . . . . . . . . . . . . . . . . . . . . . . . . . . . . . . . . . . . . . . . . . . . . . . . . . . . . . . . Julgue como verdadeiras ou falsas as armativas que se seguem: 2. F Seja X uma variável aleatória com distribuição normal, com média 2 e variância 5, então Z = X − 2 5 também apresenta distribuição normal, com média 0 e variância 1.
  • 122.
    Distribuição Normal X∼ N(2, 5) Uma variável X segue o modelo Normal se sua densidade é a seguinte: f(x) = 1 σ √ 2π exp − (x − µ)2 2σ2 , −∞ x ∞, com µ, σ ∈ R, σ 0. . . . . . . . . . . . . . . . . . . . . . . . . . . . . . . . . . . . . . . . . . . . . . . . . . . . . . . . . . . . . . . . . . . . . . . . . . . . . . . . . . . . Julgue como verdadeiras ou falsas as armativas que se seguem: 2. F Seja X uma variável aleatória com distribuição normal, com média 2 e variância 5, então Z = X − 2 5 também apresenta distribuição normal, com média 0 e variância 1. Veja que µ = 2
  • 123.
    Distribuição Normal X∼ N(2, 5) Uma variável X segue o modelo Normal se sua densidade é a seguinte: f(x) = 1 σ √ 2π exp − (x − µ)2 2σ2 , −∞ x ∞, com µ, σ ∈ R, σ 0. . . . . . . . . . . . . . . . . . . . . . . . . . . . . . . . . . . . . . . . . . . . . . . . . . . . . . . . . . . . . . . . . . . . . . . . . . . . . . . . . . . . Julgue como verdadeiras ou falsas as armativas que se seguem: 2. F Seja X uma variável aleatória com distribuição normal, com média 2 e variância 5, então Z = X − 2 5 também apresenta distribuição normal, com média 0 e variância 1. Veja que µ = 2 e σ = √ 5
  • 124.
    Distribuição Normal X∼ N(2, 5) Uma variável X segue o modelo Normal se sua densidade é a seguinte: f(x) = 1 σ √ 2π exp − (x − µ)2 2σ2 , −∞ x ∞, com µ, σ ∈ R, σ 0. . . . . . . . . . . . . . . . . . . . . . . . . . . . . . . . . . . . . . . . . . . . . . . . . . . . . . . . . . . . . . . . . . . . . . . . . . . . . . . . . . . . Julgue como verdadeiras ou falsas as armativas que se seguem: 2. F Seja X uma variável aleatória com distribuição normal, com média 2 e variância 5, então Z = X − 2 5 também apresenta distribuição normal, com média 0 e variância 1. Veja que µ = 2 e σ = √ 5 ⇒ Z = X − 2 √ 5
  • 125.
    Distribuição Normal X∼ N(2, 5) Uma variável X segue o modelo Normal se sua densidade é a seguinte: f(x) = 1 σ √ 2π exp − (x − µ)2 2σ2 , −∞ x ∞, com µ, σ ∈ R, σ 0. . . . . . . . . . . . . . . . . . . . . . . . . . . . . . . . . . . . . . . . . . . . . . . . . . . . . . . . . . . . . . . . . . . . . . . . . . . . . . . . . . . . Julgue como verdadeiras ou falsas as armativas que se seguem: 2. F Seja X uma variável aleatória com distribuição normal, com média 2 e variância 5, então Z = X − 2 5 também apresenta distribuição normal, com média 0 e variância 1. Veja que µ = 2 e σ = √ 5 ⇒ Z = X − 2 √ 5 ∼ N(0, 1).
  • 126.
    Distribuição F: W∼ F(ν1, ν2)
  • 127.
    Distribuição F: W∼ F(ν1, ν2) Sejam U e V duas v.a independentes
  • 128.
    Distribuição F: W∼ F(ν1, ν2) Sejam U e V duas v.a independentes , cada uma com distribuição qui-quadrado
  • 129.
    Distribuição F: W∼ F(ν1, ν2) Sejam U e V duas v.a independentes , cada uma com distribuição qui-quadrado , com ν1 e ν2, graus de liberdade
  • 130.
    Distribuição F: W∼ F(ν1, ν2) Sejam U e V duas v.a independentes , cada uma com distribuição qui-quadrado , com ν1 e ν2, graus de liberdade , respectivamente.
  • 131.
    Distribuição F: W∼ F(ν1, ν2) Sejam U e V duas v.a independentes , cada uma com distribuição qui-quadrado , com ν1 e ν2, graus de liberdade , respectivamente. Então a v.a W = U/ν1 V/ν2
  • 132.
    Distribuição F: W∼ F(ν1, ν2) Sejam U e V duas v.a independentes , cada uma com distribuição qui-quadrado , com ν1 e ν2, graus de liberdade , respectivamente. Então a v.a W = U/ν1 V/ν2 Tem função de densidade:
  • 133.
    Distribuição F: W∼ F(ν1, ν2) Sejam U e V duas v.a independentes , cada uma com distribuição qui-quadrado , com ν1 e ν2, graus de liberdade , respectivamente. Então a v.a W = U/ν1 V/ν2 Tem função de densidade: f(w)
  • 134.
    Distribuição F: W∼ F(ν1, ν2) Sejam U e V duas v.a independentes , cada uma com distribuição qui-quadrado , com ν1 e ν2, graus de liberdade , respectivamente. Então a v.a W = U/ν1 V/ν2 Tem função de densidade: f(w) = Γ(ν1+ν2 2 )
  • 135.
    Distribuição F: W∼ F(ν1, ν2) Sejam U e V duas v.a independentes , cada uma com distribuição qui-quadrado , com ν1 e ν2, graus de liberdade , respectivamente. Então a v.a W = U/ν1 V/ν2 Tem função de densidade: f(w) = Γ(ν1+ν2 2 ) Γ ν1 2 Γ ν2 2
  • 136.
    Distribuição F: W∼ F(ν1, ν2) Sejam U e V duas v.a independentes , cada uma com distribuição qui-quadrado , com ν1 e ν2, graus de liberdade , respectivamente. Então a v.a W = U/ν1 V/ν2 Tem função de densidade: f(w) = Γ(ν1+ν2 2 ) Γ ν1 2 Γ ν2 2 · ν1 ν2 ν1/2
  • 137.
    Distribuição F: W∼ F(ν1, ν2) Sejam U e V duas v.a independentes , cada uma com distribuição qui-quadrado , com ν1 e ν2, graus de liberdade , respectivamente. Então a v.a W = U/ν1 V/ν2 Tem função de densidade: f(w) = Γ(ν1+ν2 2 ) Γ ν1 2 Γ ν2 2 · ν1 ν2 ν1/2 · w ν1−2 2
  • 138.
    Distribuição F: W∼ F(ν1, ν2) Sejam U e V duas v.a independentes , cada uma com distribuição qui-quadrado , com ν1 e ν2, graus de liberdade , respectivamente. Então a v.a W = U/ν1 V/ν2 Tem função de densidade: f(w) = Γ(ν1+ν2 2 ) Γ ν1 2 Γ ν2 2 · ν1 ν2 ν1/2 · w ν1−2 2 1 + ν1 ν2
  • 139.
    Distribuição F: W∼ F(ν1, ν2) Sejam U e V duas v.a independentes , cada uma com distribuição qui-quadrado , com ν1 e ν2, graus de liberdade , respectivamente. Então a v.a W = U/ν1 V/ν2 Tem função de densidade: f(w) = Γ(ν1+ν2 2 ) Γ ν1 2 Γ ν2 2 · ν1 ν2 ν1/2 · w ν1−2 2 1 + ν1 ν2 · w ν1+ν2 2 ,
  • 140.
    Distribuição F: W∼ F(ν1, ν2) Sejam U e V duas v.a independentes , cada uma com distribuição qui-quadrado , com ν1 e ν2, graus de liberdade , respectivamente. Então a v.a W = U/ν1 V/ν2 Tem função de densidade: f(w) = Γ(ν1+ν2 2 ) Γ ν1 2 Γ ν2 2 · ν1 ν2 ν1/2 · w ν1−2 2 1 + ν1 ν2 · w ν1+ν2 2 , w 0
  • 141.
    Distribuição F: W∼ F(ν1, ν2) Sejam U e V duas v.a independentes , cada uma com distribuição qui-quadrado , com ν1 e ν2, graus de liberdade , respectivamente. Então a v.a W = U/ν1 V/ν2 Tem função de densidade: f(w) = Γ(ν1+ν2 2 ) Γ ν1 2 Γ ν2 2 · ν1 ν2 ν1/2 · w ν1−2 2 1 + ν1 ν2 · w ν1+ν2 2 , w 0 . . . . . . . . . . . . . . . . . . . . . . . . . . . . . . . . . . . . . . . . . . . . . . . . . . . . . . . . . . . . . . . . . . . . . . . . . . . . . . . . . . . Julgue como verdadeiras ou falsas as armativas que se seguem: 3. Sejam Z1 e Z2 duas variáveis aleatórias independentes com distribuição qui-quadrado, então W = Z1 Z2 apresenta distribuição F.
  • 142.
    Distribuição F: W∼ F(ν1, ν2) Sejam U e V duas v.a independentes, cada uma com distribuição qui-quadrado, com ν1 e ν2, graus de liberdade, respectivamente. Então a v.a W = U/ν1 V/ν2 Tem função de densidade: f(w) = Γ(ν1+ν2 2 ) Γ ν1 2 Γ ν2 2 · ν1 ν2 ν1/2 · w ν1−2 2 1 + ν1 ν2 · w ν1+ν2 2 , w 0 . . . . . . . . . . . . . . . . . . . . . . . . . . . . . . . . . . . . . . . . . . . . . . . . . . . . . . . . . . . . . . . . . . . . . . . . . . . . . . . . . . . Julgue como verdadeiras ou falsas as armativas que se seguem: 3. F Sejam Z1 e Z2 duas variáveis aleatórias independentes com distribuição qui-quadrado, então W = Z1 Z2 apresenta distribuição F. Veja que não estão denidos ν1 e ν2, os graus de liberdade.
  • 143.
  • 144.
    Distribuição t: t∼ tν Seja Z uma v.a N(0, 1)
  • 145.
    Distribuição t: t∼ tν Seja Z uma v.a N(0, 1) e Y uma v.a χ2 ν
  • 146.
    Distribuição t: t∼ tν Seja Z uma v.a N(0, 1) e Y uma v.a χ2 ν , com Z e Y independentes
  • 147.
    Distribuição t: t∼ tν Seja Z uma v.a N(0, 1) e Y uma v.a χ2 ν , com Z e Y independentes . Então a v.a t = Z Y ν
  • 148.
    Distribuição t: t∼ tν Seja Z uma v.a N(0, 1) e Y uma v.a χ2 ν , com Z e Y independentes . Então a v.a t = Z Y ν Tem função de densidade: f(t) =
  • 149.
    Distribuição t: t∼ tν Seja Z uma v.a N(0, 1) e Y uma v.a χ2 ν , com Z e Y independentes . Então a v.a t = Z Y ν Tem função de densidade: f(t) = Γ(ν+1 2 )
  • 150.
    Distribuição t: t∼ tν Seja Z uma v.a N(0, 1) e Y uma v.a χ2 ν , com Z e Y independentes . Então a v.a t = Z Y ν Tem função de densidade: f(t) = Γ(ν+1 2 ) Γ ν 2
  • 151.
    Distribuição t: t∼ tν Seja Z uma v.a N(0, 1) e Y uma v.a χ2 ν , com Z e Y independentes . Então a v.a t = Z Y ν Tem função de densidade: f(t) = Γ(ν+1 2 ) Γ ν 2 √ πν
  • 152.
    Distribuição t: t∼ tν Seja Z uma v.a N(0, 1) e Y uma v.a χ2 ν , com Z e Y independentes . Então a v.a t = Z Y ν Tem função de densidade: f(t) = Γ(ν+1 2 ) Γ ν 2 √ πν · 1 +
  • 153.
    Distribuição t: t∼ tν Seja Z uma v.a N(0, 1) e Y uma v.a χ2 ν , com Z e Y independentes . Então a v.a t = Z Y ν Tem função de densidade: f(t) = Γ(ν+1 2 ) Γ ν 2 √ πν · 1 + t2 ν
  • 154.
    Distribuição t: t∼ tν Seja Z uma v.a N(0, 1) e Y uma v.a χ2 ν , com Z e Y independentes . Então a v.a t = Z Y ν Tem função de densidade: f(t) = Γ(ν+1 2 ) Γ ν 2 √ πν · 1 + t2 ν −(ν+1)/2
  • 155.
    Distribuição t: t∼ tν Seja Z uma v.a N(0, 1) e Y uma v.a χ2 ν , com Z e Y independentes . Então a v.a t = Z Y ν Tem função de densidade: f(t) = Γ(ν+1 2 ) Γ ν 2 √ πν · 1 + t2 ν −(ν+1)/2 , −∞ t ∞
  • 156.
    Distribuição t: t∼ tν Seja Z uma v.a N(0, 1) e Y uma v.a χ2 ν , com Z e Y independentes . Então a v.a t = Z Y ν Tem função de densidade: f(t) = Γ(ν+1 2 ) Γ ν 2 √ πν · 1 + t2 ν −(ν+1)/2 , −∞ t ∞ . . . . . . . . . . . . . . . . . . . . . . . . . . . . . . . . . . . . . . . . . . . . . . . . . . . . . . . . . . . . . . . . . . . . . . . . . . . . . . . . . . . Valor esperado:
  • 157.
    Distribuição t: t∼ tν Seja Z uma v.a N(0, 1) e Y uma v.a χ2 ν , com Z e Y independentes . Então a v.a t = Z Y ν Tem função de densidade: f(t) = Γ(ν+1 2 ) Γ ν 2 √ πν · 1 + t2 ν −(ν+1)/2 , −∞ t ∞ . . . . . . . . . . . . . . . . . . . . . . . . . . . . . . . . . . . . . . . . . . . . . . . . . . . . . . . . . . . . . . . . . . . . . . . . . . . . . . . . . . . Valor esperado: E(T)
  • 158.
    Distribuição t: t∼ tν Seja Z uma v.a N(0, 1) e Y uma v.a χ2 ν , com Z e Y independentes . Então a v.a t = Z Y ν Tem função de densidade: f(t) = Γ(ν+1 2 ) Γ ν 2 √ πν · 1 + t2 ν −(ν+1)/2 , −∞ t ∞ . . . . . . . . . . . . . . . . . . . . . . . . . . . . . . . . . . . . . . . . . . . . . . . . . . . . . . . . . . . . . . . . . . . . . . . . . . . . . . . . . . . Valor esperado: E(T) = ∞ −∞
  • 159.
    Distribuição t: t∼ tν Seja Z uma v.a N(0, 1) e Y uma v.a χ2 ν , com Z e Y independentes . Então a v.a t = Z Y ν Tem função de densidade: f(t) = Γ(ν+1 2 ) Γ ν 2 √ πν · 1 + t2 ν −(ν+1)/2 , −∞ t ∞ . . . . . . . . . . . . . . . . . . . . . . . . . . . . . . . . . . . . . . . . . . . . . . . . . . . . . . . . . . . . . . . . . . . . . . . . . . . . . . . . . . . Valor esperado: E(T) = ∞ −∞ t · Γ(ν+1 2 ) Γ ν 2 √ πν · 1 + t2 ν − (ν+1) 2 dt
  • 160.
    Distribuição t: t∼ tν Seja Z uma v.a N(0, 1) e Y uma v.a χ2 ν , com Z e Y independentes . Então a v.a t = Z Y ν Tem função de densidade: f(t) = Γ(ν+1 2 ) Γ ν 2 √ πν · 1 + t2 ν −(ν+1)/2 , −∞ t ∞ . . . . . . . . . . . . . . . . . . . . . . . . . . . . . . . . . . . . . . . . . . . . . . . . . . . . . . . . . . . . . . . . . . . . . . . . . . . . . . . . . . . Valor esperado: E(T) = ∞ −∞ t · Γ(ν+1 2 ) Γ ν 2 √ πν · 1 + t2 ν − (ν+1) 2 dt = 0
  • 161.
    Distribuição t: t∼ tν Seja Z uma v.a N(0, 1) e Y uma v.a χ2 ν , com Z e Y independentes . Então a v.a t = Z Y ν Tem função de densidade: f(t) = Γ(ν+1 2 ) Γ ν 2 √ πν · 1 + t2 ν −(ν+1)/2 , −∞ t ∞ . . . . . . . . . . . . . . . . . . . . . . . . . . . . . . . . . . . . . . . . . . . . . . . . . . . . . . . . . . . . . . . . . . . . . . . . . . . . . . . . . . . Valor esperado: E(T) = ∞ −∞ t · Γ(ν+1 2 ) Γ ν 2 √ πν · 1 + t2 ν − (ν+1) 2 dt = 0 (f(t) é ímpar!)
  • 162.
    Distribuição t: t∼ tν Seja Z uma v.a N(0, 1) e Y uma v.a χ2 ν, com Z e Y independentes. Então a v.a t = Z Y ν Tem função de densidade: f(t) = Γ(ν+1 2 ) Γ ν 2 √ πν · 1 + t2 ν −(ν+1)/2 , −∞ t ∞ . . . . . . . . . . . . . . . . . . . . . . . . . . . . . . . . . . . . . . . . . . . . . . . . . . . . . . . . . . . . . . . . . . . . . . . . . . . . . . . . . . . Variância: Var(X) = E(X2 ) − E(X)2 , E(X) = 0 ⇒ Var(X) = E(X2 ). E(T2 ) = ∞ −∞ Γ(ν+1 2 ) Γ ν 2 √ πν · t2 1 + t2 ν −(ν+1)/2 dt
  • 163.
  • 164.
  • 165.
  • 166.
  • 167.
    Resultados Importantes Γ(α) = ∞ 0 yα−1 e−x2 2dx; 1 0 yα−1 (1 − y)β−1 dy = Γ(α)Γ(β) Γ(α + β) ;
  • 168.
    Resultados Importantes Γ(α) = ∞ 0 yα−1 e−x2 2dx; 1 0 yα−1 (1 − y)β−1 dy = Γ(α)Γ(β) Γ(α + β) ; Γ(α + 1)
  • 169.
    Resultados Importantes Γ(α) = ∞ 0 yα−1 e−x2 2dx; 1 0 yα−1 (1 − y)β−1 dy = Γ(α)Γ(β) Γ(α + β) ; Γ(α + 1) = αΓ(α);
  • 170.
    Resultados Importantes Γ(α) = ∞ 0 yα−1 e−x2 2dx; 1 0 yα−1 (1 − y)β−1 dy = Γ(α)Γ(β) Γ(α + β) ; Γ(α + 1) = αΓ(α); . . . . . . . . . . . . . . . . . . . . . . . . . . . . . . . . . . . . . . . . . . . . . . . . . . . . . . . . . . . . . . . . . . . . . . . . . . . . . . . . . . . Variância da distribuição t de Student: Var(X) = E(X2 ) − E(X)2
  • 171.
    Resultados Importantes Γ(α) = ∞ 0 yα−1 e−x2 2dx; 1 0 yα−1 (1 − y)β−1 dy = Γ(α)Γ(β) Γ(α + β) ; Γ(α + 1) = αΓ(α); . . . . . . . . . . . . . . . . . . . . . . . . . . . . . . . . . . . . . . . . . . . . . . . . . . . . . . . . . . . . . . . . . . . . . . . . . . . . . . . . . . . Variância da distribuição t de Student: Var(X) = E(X2 ) − E(X)2 E(T2 )
  • 172.
    Resultados Importantes Γ(α) = ∞ 0 yα−1 e−x2 2dx; 1 0 yα−1 (1 − y)β−1 dy = Γ(α)Γ(β) Γ(α + β) ; Γ(α + 1) = αΓ(α); . . . . . . . . . . . . . . . . . . . . . . . . . . . . . . . . . . . . . . . . . . . . . . . . . . . . . . . . . . . . . . . . . . . . . . . . . . . . . . . . . . . Variância da distribuição t de Student: Var(X) = E(X2 ) − E(X)2 E(T2 ) = ∞ −∞
  • 173.
    Resultados Importantes Γ(α) = ∞ 0 yα−1 e−x2 2dx; 1 0 yα−1 (1 − y)β−1 dy = Γ(α)Γ(β) Γ(α + β) ; Γ(α + 1) = αΓ(α); . . . . . . . . . . . . . . . . . . . . . . . . . . . . . . . . . . . . . . . . . . . . . . . . . . . . . . . . . . . . . . . . . . . . . . . . . . . . . . . . . . . Variância da distribuição t de Student: Var(X) = E(X2 ) − E(X)2 E(T2 ) = ∞ −∞ Γ(ν+1 2 ) Γ ν 2 √ πν ·
  • 174.
    Resultados Importantes Γ(α) = ∞ 0 yα−1 e−x2 2dx; 1 0 yα−1 (1 − y)β−1 dy = Γ(α)Γ(β) Γ(α + β) ; Γ(α + 1) = αΓ(α); . . . . . . . . . . . . . . . . . . . . . . . . . . . . . . . . . . . . . . . . . . . . . . . . . . . . . . . . . . . . . . . . . . . . . . . . . . . . . . . . . . . Variância da distribuição t de Student: Var(X) = E(X2 ) − E(X)2 E(T2 ) = ∞ −∞ Γ(ν+1 2 ) Γ ν 2 √ πν · t2
  • 175.
    Resultados Importantes Γ(α) = ∞ 0 yα−1 e−x2 2dx; 1 0 yα−1 (1 − y)β−1 dy = Γ(α)Γ(β) Γ(α + β) ; Γ(α + 1) = αΓ(α); . . . . . . . . . . . . . . . . . . . . . . . . . . . . . . . . . . . . . . . . . . . . . . . . . . . . . . . . . . . . . . . . . . . . . . . . . . . . . . . . . . . Variância da distribuição t de Student: Var(X) = E(X2 ) − E(X)2 E(T2 ) = ∞ −∞ Γ(ν+1 2 ) Γ ν 2 √ πν · t2 1 + t2 ν − (ν+1) 2 dt
  • 176.
    Resultados Importantes Γ(α) = ∞ 0 yα−1 e−x2 2dx; 1 0 yα−1 (1 − y)β−1 dy = Γ(α)Γ(β) Γ(α + β) ; Γ(α + 1) = αΓ(α); . . . . . . . . . . . . . . . . . . . . . . . . . . . . . . . . . . . . . . . . . . . . . . . . . . . . . . . . . . . . . . . . . . . . . . . . . . . . . . . . . . . Variância da distribuição t de Student: Var(X) = E(X2 ) − E(X)2 E(T2 ) = ∞ −∞ Γ(ν+1 2 ) Γ ν 2 √ πν · t2 1 + t2 ν − (ν+1) 2 dt Seja y = 1 + t2 v −1 ⇒ t ∈ R
  • 177.
    Resultados Importantes Γ(α) = ∞ 0 yα−1 e−x2 2dx; 1 0 yα−1 (1 − y)β−1 dy = Γ(α)Γ(β) Γ(α + β) ; Γ(α + 1) = αΓ(α); . . . . . . . . . . . . . . . . . . . . . . . . . . . . . . . . . . . . . . . . . . . . . . . . . . . . . . . . . . . . . . . . . . . . . . . . . . . . . . . . . . . Variância da distribuição t de Student: Var(X) = E(X2 ) − E(X)2 E(T2 ) = ∞ −∞ Γ(ν+1 2 ) Γ ν 2 √ πν · t2 1 + t2 ν − (ν+1) 2 dt Seja y = 1 + t2 v −1 ⇒ t ∈ R , temos 0 y 1.
  • 178.
  • 179.
    Variância da t Variânciada distribuição t de Student: E(T2 ) = ∞ −∞ Γ(ν+1 2 ) Γ ν 2 √ πν · t2 1 + t2 ν − (ν+1) 2 dt Seja y = 1 + t2 v −1 ⇒ t ∈ R, temos 0 y 1.
  • 180.
    Variância da t Variânciada distribuição t de Student: E(T2 ) = ∞ −∞ Γ(ν+1 2 ) Γ ν 2 √ πν · t2 1 + t2 ν − (ν+1) 2 dt Seja y = 1 + t2 v −1 ⇒ t ∈ R, temos 0 y 1. E(T2 )
  • 181.
    Variância da t Variânciada distribuição t de Student: E(T2 ) = ∞ −∞ Γ(ν+1 2 ) Γ ν 2 √ πν · t2 1 + t2 ν − (ν+1) 2 dt Seja y = 1 + t2 v −1 ⇒ t ∈ R, temos 0 y 1. E(T2 ) = n Γ n+1 2 Γ 1 2 Γ n 2
  • 182.
    Variância da t Variânciada distribuição t de Student: E(T2 ) = ∞ −∞ Γ(ν+1 2 ) Γ ν 2 √ πν · t2 1 + t2 ν − (ν+1) 2 dt Seja y = 1 + t2 v −1 ⇒ t ∈ R, temos 0 y 1. E(T2 ) = n Γ n+1 2 Γ 1 2 Γ n 2 1 0 y n 2 −2 (1 − y) 1 2 dy
  • 183.
    Variância da t Variânciada distribuição t de Student: E(T2 ) = ∞ −∞ Γ(ν+1 2 ) Γ ν 2 √ πν · t2 1 + t2 ν − (ν+1) 2 dt Seja y = 1 + t2 v −1 ⇒ t ∈ R, temos 0 y 1. E(T2 ) = n Γ n+1 2 Γ 1 2 Γ n 2 1 0 y n 2 −2 (1 − y) 1 2 dy = n n − 2
  • 184.
    Variância da t Variânciada distribuição t de Student: E(T2 ) = ∞ −∞ Γ(ν+1 2 ) Γ ν 2 √ πν · t2 1 + t2 ν − (ν+1) 2 dt Seja y = 1 + t2 v −1 ⇒ t ∈ R, temos 0 y 1. E(T2 ) = n Γ n+1 2 Γ 1 2 Γ n 2 1 0 y n 2 −2 (1 − y) 1 2 dy = n n − 2 Finalmente X ∼ tn ⇒ E(X) = 0 e Var(X) = n n − 2 .
  • 185.
    Exame 2019 Questão 1 4. V Seja uma variável aleatória X, com distribuição t-Student com 2 graus de liberdade. Então sua variância não será denida.
  • 186.
    Exame 2019 Questão 1 4. V Seja uma variável aleatória X, com distribuição t-Student com 2 graus de liberdade. Então sua variância não será denida. X ∼ tn ⇒ E(X) = 0 e Var(X) = n n − 2
  • 187.
    Exame 2019 Questão 1 4. V Seja uma variável aleatória X, com distribuição t-Student com 2 graus de liberdade. Então sua variância não será denida. X ∼ tn ⇒ E(X) = 0 e Var(X) = n n − 2
  • 188.