Concurseiro Estatístico
concurseiro_estatistico@outlook.com
Conteúdo Exclusivo
concurseiro_estatistico@outlook.com
+5521980721945
Anselmo Alves de Sousa
Estatístico - CONRE 9743
Agenda
 Processos Não-Estacionários;
 Passeio Aleatório;
 Média , Variância e Função de Autocorrelação.
 Simulação de um Passeio Aleatório (trajetórias);
 Questão de Concurso SESC/IPAD2010.
Processos Não-Estacionários
 Tipos de Estacionariedade
 Estacionariedade Fraca;
 Estacionariedade Forte.
 Primeiro Momento, E(Xt)  ∞;
 Segundo Momento, E(X2
t )  ∞;
 Função de Autocovariância, γ(t):
γ(t) = Cov(Xt, Xt+s)
 Função de Autocorrelação, ρ(t):
ρ(t) =
γ(t)
γ(0)
Passeio Aleatório
 Considere a sequência {εt, t ≥ 1}, de v.a i.i.d , com (µε, σ2
ε )
Cov(εt1 , εt2 ) = 0
A Sequência
Xt = ε1 + ε2 + . . . + εt
é chamada Passeio Aleatório. Segue-se:
E(Xt) = E (ε1 + ε2 + . . . + εt)
= E(ε1) + E(ε2) + . . . + E(εt)
= tµε
Var(Xt) = Var (ε1 + ε2 + . . . + εt)
= Var(ε1) + Var(ε2) + . . . + Var(εt)
= tσ2
ε
Passeio Aleatório  FAC
Partindo da sequência Xt = ε1 + ε2 + . . . + εt e multiplicando por Xs
E(XtXs) = E [(ε1 + ε2 + . . . + εt) (ε1 + ε2 + . . . + εs)]
= E(ε2
1) + E(ε1ε2) + . . . + E(ε1ε3) + . . . + E(εtεs)
= E(ε2
1) + E(ε2
2) + . . . + E(ε2
min(t,s))
= σ2
ε + σ2
ε + . . . + σ2
ε
= σ2
ε min(t, s)
γ(t, s) = σ2
ε min(t, s)
SESC (IPAD2010)
34. Considere a sequência de ruídos brancos εt, (t ≥ 1), independentes e
identicamente distribuídos com média e µε e variância σ2
ε . Sobre a
sequência:
Xt = ε1 + ε2 + . . . + εt, (t ≥ 1)
é correto armar que
(A) o valor esperado de Xt é constante para qualquer t.
(B) a variância Xt cresce em função de t.
(C) a covariância de Xt1 e Xt2 só depende da diferença |t1 − t2|.
(D) o processo é estacionário.
(E) a variância Xt cresce em função de t2
· σ2
ε .
SESC (IPAD2010)
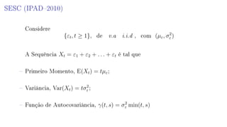
Considere
{εt, t ≥ 1}, de v.a i.i.d , com (µε, σ2
ε )
A Sequência Xt = ε1 + ε2 + . . . + εt é tal que
 Primeiro Momento, E(Xt) = tµε;
 Variância, Var(Xt) = tσ2
ε ;
 Função de Autocovariância, γ(t, s) = σ2
ε min(t, s)
SESC (IPAD2010)
34. Considere a sequência de ruídos brancos εt, (t ≥ 1), independentes e
identicamente distribuídos com média e µε e variância σ2
ε . Sobre a
sequência:
Xt = ε1 + ε2 + . . . + εt, (t ≥ 1)
é correto armar que
(A) o valor esperado de Xt é constante para qualquer t.
(B) a variância Xt cresce em função de t.
(C) a covariância de Xt1 e Xt2 só depende da diferença |t1 − t2|.
(D) o processo é estacionário.
(E) a variância Xt cresce em função de t2
· σ2
ε .
SESC (IPAD2010)
34. Considere a sequência de ruídos brancos εt, (t ≥ 1), independentes e
identicamente distribuídos com média e µε e variância σ2
ε . Sobre a
sequência:
Xt = ε1 + ε2 + . . . + εt, (t ≥ 1)
é correto armar que
(A)
(B) a variância Xt cresce em função de t.
(C)
(D)
(E)
Conteúdo Exclusivo
concurseiro_estatistico@outlook.com
+5521980721945
Anselmo Alves de Sousa
Estatístico - CONRE 9743

Random walk - Passeio Aleatório

  • 1.
  • 2.
  • 3.
    Agenda Processos Não-Estacionários; Passeio Aleatório; Média , Variância e Função de Autocorrelação. Simulação de um Passeio Aleatório (trajetórias); Questão de Concurso SESC/IPAD2010.
  • 4.
    Processos Não-Estacionários Tiposde Estacionariedade Estacionariedade Fraca; Estacionariedade Forte. Primeiro Momento, E(Xt) ∞; Segundo Momento, E(X2 t ) ∞; Função de Autocovariância, γ(t): γ(t) = Cov(Xt, Xt+s) Função de Autocorrelação, ρ(t): ρ(t) = γ(t) γ(0)
  • 5.
    Passeio Aleatório Considerea sequência {εt, t ≥ 1}, de v.a i.i.d , com (µε, σ2 ε ) Cov(εt1 , εt2 ) = 0 A Sequência Xt = ε1 + ε2 + . . . + εt é chamada Passeio Aleatório. Segue-se: E(Xt) = E (ε1 + ε2 + . . . + εt) = E(ε1) + E(ε2) + . . . + E(εt) = tµε Var(Xt) = Var (ε1 + ε2 + . . . + εt) = Var(ε1) + Var(ε2) + . . . + Var(εt) = tσ2 ε
  • 6.
    Passeio Aleatório FAC Partindo da sequência Xt = ε1 + ε2 + . . . + εt e multiplicando por Xs E(XtXs) = E [(ε1 + ε2 + . . . + εt) (ε1 + ε2 + . . . + εs)] = E(ε2 1) + E(ε1ε2) + . . . + E(ε1ε3) + . . . + E(εtεs) = E(ε2 1) + E(ε2 2) + . . . + E(ε2 min(t,s)) = σ2 ε + σ2 ε + . . . + σ2 ε = σ2 ε min(t, s) γ(t, s) = σ2 ε min(t, s)
  • 7.
    SESC (IPAD2010) 34. Considerea sequência de ruídos brancos εt, (t ≥ 1), independentes e identicamente distribuídos com média e µε e variância σ2 ε . Sobre a sequência: Xt = ε1 + ε2 + . . . + εt, (t ≥ 1) é correto armar que (A) o valor esperado de Xt é constante para qualquer t. (B) a variância Xt cresce em função de t. (C) a covariância de Xt1 e Xt2 só depende da diferença |t1 − t2|. (D) o processo é estacionário. (E) a variância Xt cresce em função de t2 · σ2 ε .
  • 8.
    SESC (IPAD2010) Considere {εt, t≥ 1}, de v.a i.i.d , com (µε, σ2 ε ) A Sequência Xt = ε1 + ε2 + . . . + εt é tal que Primeiro Momento, E(Xt) = tµε; Variância, Var(Xt) = tσ2 ε ; Função de Autocovariância, γ(t, s) = σ2 ε min(t, s)
  • 9.
    SESC (IPAD2010) 34. Considerea sequência de ruídos brancos εt, (t ≥ 1), independentes e identicamente distribuídos com média e µε e variância σ2 ε . Sobre a sequência: Xt = ε1 + ε2 + . . . + εt, (t ≥ 1) é correto armar que (A) o valor esperado de Xt é constante para qualquer t. (B) a variância Xt cresce em função de t. (C) a covariância de Xt1 e Xt2 só depende da diferença |t1 − t2|. (D) o processo é estacionário. (E) a variância Xt cresce em função de t2 · σ2 ε .
  • 10.
    SESC (IPAD2010) 34. Considerea sequência de ruídos brancos εt, (t ≥ 1), independentes e identicamente distribuídos com média e µε e variância σ2 ε . Sobre a sequência: Xt = ε1 + ε2 + . . . + εt, (t ≥ 1) é correto armar que (A) (B) a variância Xt cresce em função de t. (C) (D) (E)
  • 11.