Produtos notáveis
Calcule os produtos:

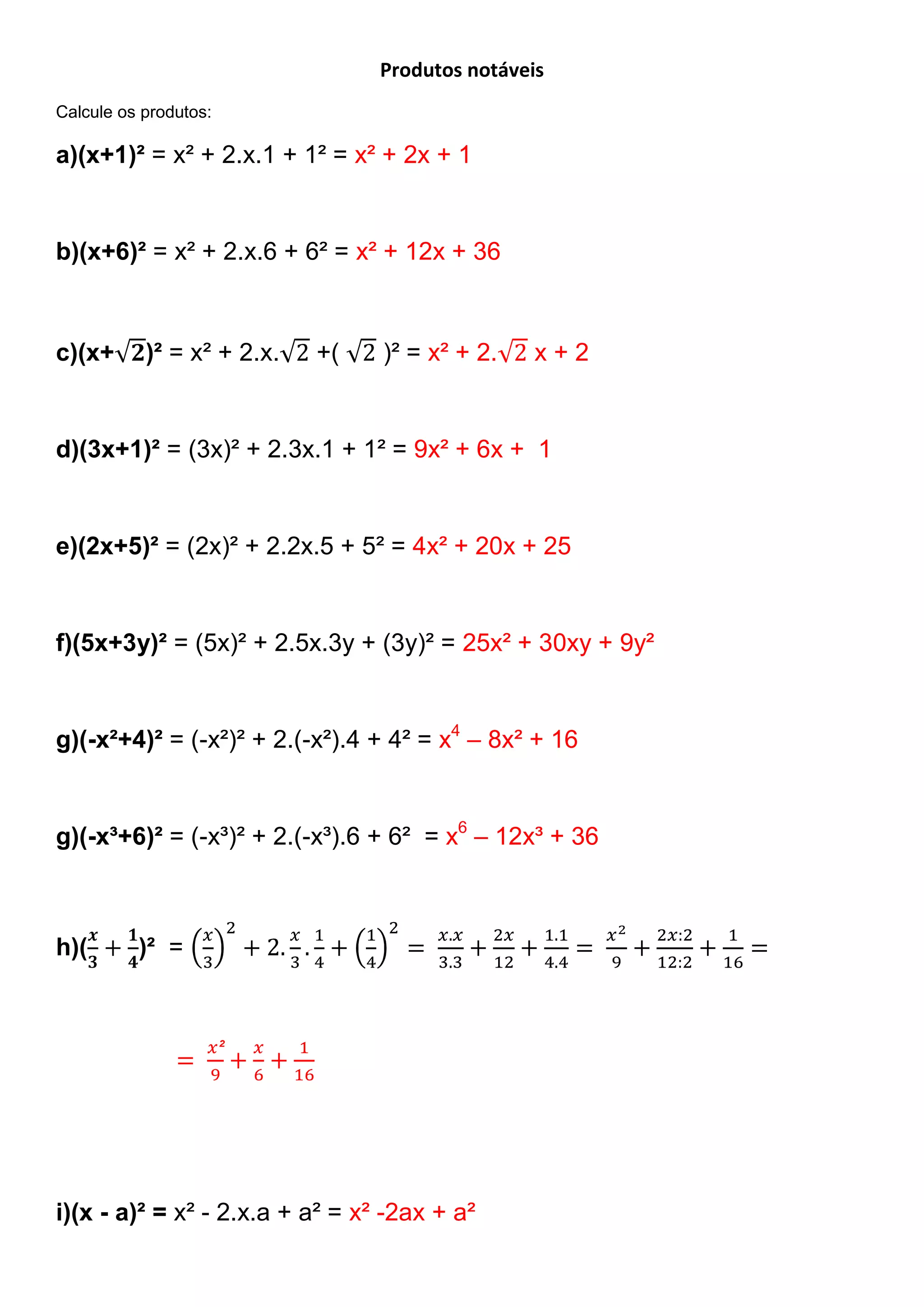
a)(x+1)² = x² + 2.x.1 + 1² = x² + 2x + 1


b)(x+6)² = x² + 2.x.6 + 6² = x² + 12x + 36



c)(x+      )² = x² + 2.x.   +(   )² = x² + 2.    x+2


d)(3x+1)² = (3x)² + 2.3x.1 + 1² = 9x² + 6x + 1


e)(2x+5)² = (2x)² + 2.2x.5 + 5² = 4x² + 20x + 25


f)(5x+3y)² = (5x)² + 2.5x.3y + (3y)² = 25x² + 30xy + 9y²


g)(-x²+4)² = (-x²)² + 2.(-x²).4 + 4² = x4 – 8x² + 16


g)(-x³+6)² = (-x³)² + 2.(-x³).6 + 6² = x6 – 12x³ + 36



h)(       )² =




i)(x - a)² = x² - 2.x.a + a² = x² -2ax + a²
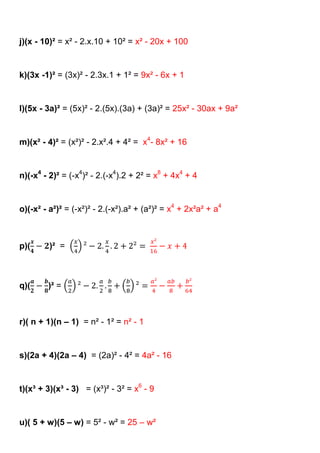
j)(x - 10)² = x² - 2.x.10 + 10² = x² - 20x + 100


k)(3x -1)² = (3x)² - 2.3x.1 + 1² = 9x² - 6x + 1


l)(5x - 3a)² = (5x)² - 2.(5x).(3a) + (3a)² = 25x² - 30ax + 9a²


m)(x² - 4)² = (x²)² - 2.x².4 + 4² = x4- 8x² + 16


n)(-x4 - 2)² = (-x4)² - 2.(-x4).2 + 2² = x8 + 4x4 + 4


o)(-x² - a²)² = (-x²)² - 2.(-x²).a² + (a²)² = x4 + 2x²a² + a4



p)(      )² =



q)(     )² =



r)( n + 1)(n – 1) = n² - 1² = n² - 1


s)(2a + 4)(2a – 4) = (2a)² - 4² = 4a² - 16


t)(x³ + 3)(x³ - 3) = (x³)² - 3² = x6 - 9


u)( 5 + w)(5 – w) = 5² - w² = 25 – w²
v)(a² + 2)(a² – 2) = (a²)² - 2² = a4 - 4



w)(x +     )(x -   ) = x² - (   )² = x² - 6



x)( n + )(n – ) = n² -



y)(       )(       ) =



 z)(x² + 3z)(x² - 3z) = (x²)² - (3z)² = x4 – 9z²


a)(x+1)³ = x³ + 3.x².1 + 3.x.1² + 1³ = x³ + 3x² + 3x + 1



b)(x+    )³ = x³ + 3.x²(   ) + 3.x.(    )² + (     )³ = x³ + 3   x² + 6x +     =
x³ + 3   x² + 6x + 2


c)(3x+1)³ = (3x)³ + 3.(3x)².1 + 3.3x.1² + 1³ =27x³ + 3.9x² + 9x + 1 =
27x³ + 27x² + 9x + 1


d)(5x+3y)³ = (5x)³ + 3.(5x)².(3y) + 3.(5x)(3y)² + (3y)³ =
125x³ + 9y.25x² + 15x.9y² + 27y³ = 125x³ + 225x²y + 135xy² + 27y³


e)(-x²+4)³ = (-x²)³ + 3.(-x²)².4 + 3.(-x²).4² + 4³= -x6 + 12x4 -3x².16 + 64=
-x6 + 12x4 – 48x² + 64
f)(    )³ =



g)(x - a)³ = x³ - 3.x².a + 3.x.a² - a³ = x³ - 3x²a + 3xa² - a³


h)(3x -1)³ = (3x)³ - 3.(3x)².1 + 3.(3x).1² - 1³ = 27x³ - 27x² + 9x – 1


i)(5x - 3a)³ = (5x)³ - 3.(5x)².(3a) + 3.(5x)(3a)² - (3a)³ =
= 125x³ - 225x²a + 135xy² - 27a³


j)(x4 - 2)³ = (x4)³ - 3.( x4)².2 + 3. x4.2² - 2³ = x12 – 6x8 + 12x4 – 8


k)(-3x -1)³ =(-3x)³ + 3.(-3x)².(-1) + 3.(-3x).(-1)² + (-1)³ = -27x³ - 27x² -9x - 1


l)(5x - 3a)³ = (5x)³ - 3.(5x)².(3a) + 3.(5x)(3a)² - (3a)³ =
= 125x³ - 225x²a + 135xy² - 27a³


m) (x + y + z)² = (x + y + z)(x+ y + z) =
x.x + xy + xz + yx + y.y + yz + zx + zy + z.z =
x² + y² + z² + 2xy + 2yz + 2xz
(A soma de três termos ao quadrado é o primeiro termo ao quadrado
mais o segundo termo ao quadrado mais o terceiro termo ao quadrado
mais duas vezes o primeiro termo vezes o segundo termo mais duas
vezes o segundo termo vezes o terceiro termo mais duas vezes o
primeiro termo vezes o terceiro termo)
n) (2x + 3y + 4z)² = (2x)² + (3y)² + (4z)² + 2.2x.3y + 2.3y.4z + 2.2x.4z
4x² + 9y² + 16z² + 12xy + 24yz + 16xz.


o) (3x - 5y + 6z)² = (3x)² + (-5y)² + (6z)² + 2.3x.(-5y) + 2.(-5y).6z + 2.3x.6z
9x² + 25y² + 36z² - 30xy – 60yz + 36xz


p) (4x - 7y - 8z)² =
(4x)² + (-7y)² + (-8z)² + 2.4x.(-7y) + 2.(-7y).(-8z) + 2.4x.(-8z)
= 16x² + 49y² + 64z² - 56xy – 112yz - 64xz


q) (-9x + 2y + 3z)² =
(-9x)² + (2y)² + (3z)² + 2.(-9x).2y + 2.2y.3z + 2.(-9x).3z
= 81x² + 4y² + 9z² - 36xy + 12yz - 54xz


r) (-8x - 7y - 6z)² =
(-8x)² + (-7y)² + (-6z)² + 2.(-8x).(-7y) + 2.(-7y).(-6z) + 2.(-8x).(-6z)
= 64x² + 49y² + 36z² + 112xy + 84yz + 96xz


s) (x² + 7y³ + 2z4)² =
(x²)² + (7y³)² + (2z4)² + 2.(x²).(7y³) + 2.(7y³).(2z4) + 2.(x²).(2z4)
= x4 + 49y6 + 4z8 + 14x²y³ + 28y³z4 + 4x²z4
Recuperação copie numa folha e entregue na próxima aula.
Calcule estes novos produtos notáveis:
a)(x + 2)²
b) (2x + 3)²
c) (6x + 7y)²
d) (x – 8)²
e) (4y – 9z)²
f) ( 10x – 11)²
g) (- 2x – 5)²
h) (x – 9)(x +9)
i) (7x – 15)(7x + 15)
j) (9y – 10)(9y + 10)
k) (x – 5)³
l) (3x + 4)³
m) ( 4x – 8)³
n) ( x + 8)³

o) (2x -       )³

p)

q) ( - 4x – 9y)³
r) (x + 3y + 10z)²
s) (2x + 5y - 8z)²
t) (3x – 8y + 2z)²
u) (- 4x – 6y – 9z)²

Produtos notáveis

  • 1.
    Produtos notáveis Calcule osprodutos: a)(x+1)² = x² + 2.x.1 + 1² = x² + 2x + 1 b)(x+6)² = x² + 2.x.6 + 6² = x² + 12x + 36 c)(x+ )² = x² + 2.x. +( )² = x² + 2. x+2 d)(3x+1)² = (3x)² + 2.3x.1 + 1² = 9x² + 6x + 1 e)(2x+5)² = (2x)² + 2.2x.5 + 5² = 4x² + 20x + 25 f)(5x+3y)² = (5x)² + 2.5x.3y + (3y)² = 25x² + 30xy + 9y² g)(-x²+4)² = (-x²)² + 2.(-x²).4 + 4² = x4 – 8x² + 16 g)(-x³+6)² = (-x³)² + 2.(-x³).6 + 6² = x6 – 12x³ + 36 h)( )² = i)(x - a)² = x² - 2.x.a + a² = x² -2ax + a²
  • 2.
    j)(x - 10)²= x² - 2.x.10 + 10² = x² - 20x + 100 k)(3x -1)² = (3x)² - 2.3x.1 + 1² = 9x² - 6x + 1 l)(5x - 3a)² = (5x)² - 2.(5x).(3a) + (3a)² = 25x² - 30ax + 9a² m)(x² - 4)² = (x²)² - 2.x².4 + 4² = x4- 8x² + 16 n)(-x4 - 2)² = (-x4)² - 2.(-x4).2 + 2² = x8 + 4x4 + 4 o)(-x² - a²)² = (-x²)² - 2.(-x²).a² + (a²)² = x4 + 2x²a² + a4 p)( )² = q)( )² = r)( n + 1)(n – 1) = n² - 1² = n² - 1 s)(2a + 4)(2a – 4) = (2a)² - 4² = 4a² - 16 t)(x³ + 3)(x³ - 3) = (x³)² - 3² = x6 - 9 u)( 5 + w)(5 – w) = 5² - w² = 25 – w²
  • 3.
    v)(a² + 2)(a²– 2) = (a²)² - 2² = a4 - 4 w)(x + )(x - ) = x² - ( )² = x² - 6 x)( n + )(n – ) = n² - y)( )( ) = z)(x² + 3z)(x² - 3z) = (x²)² - (3z)² = x4 – 9z² a)(x+1)³ = x³ + 3.x².1 + 3.x.1² + 1³ = x³ + 3x² + 3x + 1 b)(x+ )³ = x³ + 3.x²( ) + 3.x.( )² + ( )³ = x³ + 3 x² + 6x + = x³ + 3 x² + 6x + 2 c)(3x+1)³ = (3x)³ + 3.(3x)².1 + 3.3x.1² + 1³ =27x³ + 3.9x² + 9x + 1 = 27x³ + 27x² + 9x + 1 d)(5x+3y)³ = (5x)³ + 3.(5x)².(3y) + 3.(5x)(3y)² + (3y)³ = 125x³ + 9y.25x² + 15x.9y² + 27y³ = 125x³ + 225x²y + 135xy² + 27y³ e)(-x²+4)³ = (-x²)³ + 3.(-x²)².4 + 3.(-x²).4² + 4³= -x6 + 12x4 -3x².16 + 64= -x6 + 12x4 – 48x² + 64
  • 4.
    f)( )³ = g)(x - a)³ = x³ - 3.x².a + 3.x.a² - a³ = x³ - 3x²a + 3xa² - a³ h)(3x -1)³ = (3x)³ - 3.(3x)².1 + 3.(3x).1² - 1³ = 27x³ - 27x² + 9x – 1 i)(5x - 3a)³ = (5x)³ - 3.(5x)².(3a) + 3.(5x)(3a)² - (3a)³ = = 125x³ - 225x²a + 135xy² - 27a³ j)(x4 - 2)³ = (x4)³ - 3.( x4)².2 + 3. x4.2² - 2³ = x12 – 6x8 + 12x4 – 8 k)(-3x -1)³ =(-3x)³ + 3.(-3x)².(-1) + 3.(-3x).(-1)² + (-1)³ = -27x³ - 27x² -9x - 1 l)(5x - 3a)³ = (5x)³ - 3.(5x)².(3a) + 3.(5x)(3a)² - (3a)³ = = 125x³ - 225x²a + 135xy² - 27a³ m) (x + y + z)² = (x + y + z)(x+ y + z) = x.x + xy + xz + yx + y.y + yz + zx + zy + z.z = x² + y² + z² + 2xy + 2yz + 2xz (A soma de três termos ao quadrado é o primeiro termo ao quadrado mais o segundo termo ao quadrado mais o terceiro termo ao quadrado mais duas vezes o primeiro termo vezes o segundo termo mais duas vezes o segundo termo vezes o terceiro termo mais duas vezes o primeiro termo vezes o terceiro termo)
  • 5.
    n) (2x +3y + 4z)² = (2x)² + (3y)² + (4z)² + 2.2x.3y + 2.3y.4z + 2.2x.4z 4x² + 9y² + 16z² + 12xy + 24yz + 16xz. o) (3x - 5y + 6z)² = (3x)² + (-5y)² + (6z)² + 2.3x.(-5y) + 2.(-5y).6z + 2.3x.6z 9x² + 25y² + 36z² - 30xy – 60yz + 36xz p) (4x - 7y - 8z)² = (4x)² + (-7y)² + (-8z)² + 2.4x.(-7y) + 2.(-7y).(-8z) + 2.4x.(-8z) = 16x² + 49y² + 64z² - 56xy – 112yz - 64xz q) (-9x + 2y + 3z)² = (-9x)² + (2y)² + (3z)² + 2.(-9x).2y + 2.2y.3z + 2.(-9x).3z = 81x² + 4y² + 9z² - 36xy + 12yz - 54xz r) (-8x - 7y - 6z)² = (-8x)² + (-7y)² + (-6z)² + 2.(-8x).(-7y) + 2.(-7y).(-6z) + 2.(-8x).(-6z) = 64x² + 49y² + 36z² + 112xy + 84yz + 96xz s) (x² + 7y³ + 2z4)² = (x²)² + (7y³)² + (2z4)² + 2.(x²).(7y³) + 2.(7y³).(2z4) + 2.(x²).(2z4) = x4 + 49y6 + 4z8 + 14x²y³ + 28y³z4 + 4x²z4
  • 6.
    Recuperação copie numafolha e entregue na próxima aula. Calcule estes novos produtos notáveis: a)(x + 2)² b) (2x + 3)² c) (6x + 7y)² d) (x – 8)² e) (4y – 9z)² f) ( 10x – 11)² g) (- 2x – 5)² h) (x – 9)(x +9) i) (7x – 15)(7x + 15) j) (9y – 10)(9y + 10) k) (x – 5)³ l) (3x + 4)³ m) ( 4x – 8)³ n) ( x + 8)³ o) (2x - )³ p) q) ( - 4x – 9y)³ r) (x + 3y + 10z)² s) (2x + 5y - 8z)² t) (3x – 8y + 2z)² u) (- 4x – 6y – 9z)²