Curso de Especialização em Telecomunicações



           Tersio Guilherme de Souza Cruz
1 – Noções de Função e Derivada
1.1 – Noções de Função
Definição: se uma variável y depende de outra variável x, de
tal forma que cada valor de x determina exatamente um valor
de y, então dizemos que y é uma função de x.


                                            2
         Exemplo
                           y            x
               Entrada x       função   Saída y
x    y

            0    0

            1    1
        2
y   x       4    2

            -1   1

            -2   4
Outros exemplos:

           y       cos x      ou                y( x)             cos x

                                                 1            2
               x        xo        vot            2
                                                      at
                              ou
                                                          1        2
               x (t )        xo         vot               2
                                                              at

                                        1
                                                q1 q 2
                        E (r )      4                 2
                                            0
                                                  r
Seja a posição x de um móvel em MRUV em função do tempo
t dada pela equação

                                              2
              x (t )     5     10 t      2t

 Então, a posição do móvel no instante t = 1,0 s é

                                                              2
           x (1, 0 )     5    10 (1, 0 )          2 (1, 0 )
           x (1, 0 )     5    10 , 0      2 ,0
           x (10 )      13 m
Função Linear:

                 y
                                                 (x1,y0)
                 y1

                                                          y1-y0
                      (x0,y0)
                 y0
                                    x1-x0
                 a


                        x0                           x1           x

                                      y1    y0
                          tg    m
                                      x1    x0
y1   y0       m ( x1     x0 )

y1   y0       m ( x1     x0 )

y         a             mx
     com a = y0 – mx0
y


    y   a   mx

a


        x
1.2 – Nocões de Derivada
                    Origens do Cálculo
    -Kepler, Galileu, Simon Stevin, Pièrre de Fermat, René Descartes,
                             Blaise Pascal ....



                       Isaac Newton (1642 – 1727)




                    Gottfried Wilhelm Leibnz
                         (1646 – 1716)
1.2 – O “Problema dos Matemáticos”
      Como traçar a reta tangente a uma curva dada num
               determinado ponto das curva?

   Circunferência                P         tangente


                                 raio



   1 – A tangente em P é uma reta que passa por P,
   perpendicularmente ao raio por esse mesmo ponto.

    2 – A tangente em P é a reta que só toca a circunferência
    neste ponto
Outras curvas: problemas!




               P
                                           P


        Qual o raio?                     Tangente?

                                 P




               Tangente. Mas toca duas vezes a reta
y            Definindo a tangente em P:                   secante

                                                         y = f(x)

                                                                Q
   f(x+ x)


f(x+ x)-f(x)


                                        P
        f(x)

                                                   x
                                        x                   x+ x              x

Logo, a secante msec é dada por m       f (x   x)      f ( x)
                                  sec
                                               x
y      Definindo a tangente em P:
                                                 y = f(x)

                                              Q             secante



  f(x+ x)                                   Q1

f(x+ x)-f(x)
                            P
      f(x)


                                   x
                            x          x+ x                      x
y         Definindo a tangente em P:
                                                y = f(x)

                                                Q


                                                           secante
                                           Q1
           f(x+ x) - f(x)
f(x+ x)                     P       Q2
    f(x)
                                x

                            x            x+ x                   x
A tangente mtang é definida por

                                   f (x   x)   f ( x)
               m tan g   lim
                         x     0          x                  secante


                                               Q
   f(x+ x)

                                                        tangente em
                                                             P
                                   P
        f(x)

                                   x           x+ x
1.3 – “Problema dos Físicos”:

         Como calcular a velocidade instantânea?
 Seja x(t) a posição de uma partícula em função do tempo t.


         x(t)
                                                x(t)




                                                       t
x(t)
                                                 x(t)
                                           Q
x(t0+ t)

                                                x
                          P
   x(t0)
                                  t
                                                        t
                           t0          t0+ t

    x(t0) = posição da partícula no instante t0
    x(t0+ t) = posição da partícula no instante t0

                     x     x (t       t)       x (t )
           vm
                     t                 t
Qual a velocidade (instantânea) v(t) no instante t?
               Paradoxo do Zenão de Eléia

   x(t)
                                                       x(t)
                                               Q
x(t0+ t)

                                                     x
                               P
    x(t0)
                                      t
                                                              t
                                t0             t0+ t

                               x (t       t)       x (t )
            v (t )   lim
                     t     0               t
1.4 - Definição de derivada



   A derivada de uma função f é a função f´ tal que o seu valor
      em qualquer número x do domínio de f seja dado por


                 ´    df             x (t   t)     x (t )
             f               lim
                      dx     t   0           t

se este limite existir

Uma função derivável em um ponto pode ser não-derivável em
                         outro!!!!
Duas Interpretações:

1- A derivada f´ de uma função é uma função cujo valor em x é a
inclinação da reta tangente ao gráfico de y = f(x) em x.


2 – A derivada f´ é uma função cujo valor em x é a taxa
instantânea da variação de y com relação a x no ponto x.


    Exemplos:

                  dx                          dQ
        v (t )                     I (t )
                  dt                          dt
d
                   v (t )        [ x ( t )]
 x(t)                       dt

                             v(t1)= 0
 v(t1)
         v(t0) 0

 v(t0)
v(t2)                                              v(t2) 0



                                                      t
              t0                   t1         t2
Exemplo usando a definição: calcule a derivada da função
                                             f(x) = 3+x2
                                                 f (x          x)          f ( x)
                         f´          lim
                                     x       0                     x

                                                       2                   2                2
                         3       (x               x)           3       x                x         2x x
        f (x    x)
                                             x                                          x

                                         2
                                     x           2x x
               f´    lim [                                 ]           lim [ x                  2 x]   2x
                     x       0                   x                     x       0




               df                d                                     d                           2
        f´                               [ f ( x )]                                [3            x ]        2x
               dx            dx                                        dx
1.5 - Algumas regras de derivação

     1.5.1 - Regra da Constante: para qualquer constante c
                                       y
            d
                (c )       0                      y=c
           dx                          c
                                                 Inclinação = 0


                                                                  x

    1.5.2 - Regra da Potência: para qualquer número real n

                       d         n         n 1            Ver exemplo
                               (x )   nx                    anterior
                       dx
1.5.3 - Regra da Multiplicação por uma Constante:se c é uma
constante e f(x) é uma função derivável no ponto x, cf(x) também
é uma função derivável e

                  d
                       [ cf ( x )]       cf ( x )
                  dx

  Exemplo: seja
                                              2
                           f ( x)        cx

                          d          2
                               ( cx )         2 cx
                          dx
1.5.4 - Regra da Soma:se f(x) e g(x) são duas funções deriváveis
no ponto x, a soma s(x) = f(x) + g(x) também é derivável e

                     s´( x )     f ´( x )     g ´( x )

    d                                 d                      d
        [ f ( x)      g ( x )]            [ f ( x )]             [ g ( x )]
   dx                                dx                  dx
                                                                      2
   Exemplo: seja a função            x (t )   10        4t       5t

                   f(x) = 10     g(x) = 4t      h(x) = -5t 2

        d                        2
             (10      4t       5t )       0    4       10 t       4       10 t
        dx
1.5.5 - Regra da Produto:se f(x) e g(x) são duas funções
deriváveis no ponto x, o produto P(x) = f(x) . g(x) também é
derivável e

                     ( f . g )´      fg ´ g . f ´

        d                                       dg                   df
            [ f ( x ). g ( x )]      f ( x ).             g ( x ).
       dx                                       dx                   dx

                                          2
Exemplo: seja a função     P ( x)        x (3 x      1)
                   f(x) = x2         g(x) =3x+1

                    2                                           2
     P ´( x )    ( x ).( 3 )      (3 x    1).( 2 x )       9x         2x
1.5.6 - Regra da Quociente:se f(x) e g(x) são duas funções
deriváveis no ponto x, o quociente P(x) = f(x) / g(x) também é
derivável e
                       f            g . f ´ fg ´
                   (       )´                 2
                                                                        com                  0
                       g                  g
                                                                df                      dg
                                              g ( x ).                    f ( x ).
              d            f ( x)                               dx                      dx
                                                                   2
              dx       g ( x)                                    g ( x)
                                                            2
    Exemplo: seja a função y                           (x        2x       21 ) /( x          3)

                                                   2                                2
              (x       3 ).( 2 x     2)       (x        2x           21 .(1)]   x            6x           15
   Q ´( x )                                        2                                                  2
                                     (x       3)                                        (x       3)
1.5.7 - Regra da Cadeia:se g(x) for derivável em x e a função f
for derivável em g(x), então a função composta f o g será
derivável em x, e

       ( f  g )`( x )          f ´( g ( x )). g ´( x )

                      dy       dy du
                      dx       du dx
   Exemplos:
                                    2
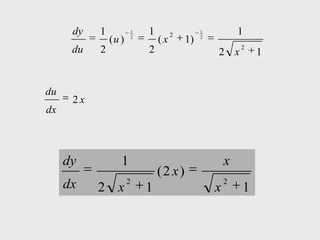
   a) Seja a função        y    x           1
                                                           1
                 2
      u      x        1                 y       u   (u )   2
dy   1          1   1        2
                                            1           1
               (u )   2
                              (x       1)   2

                                                        2
      du   2              2                     2 x         1


du
      2x
dx



     dy           1                                 x
                              (2 x)
                      2                             2
     dx    2 x            1                     x       1
b) Seja a função geral do tipo
                                         n
                      y         f ( x)
                                                   n
             u     f ( x)       e   y          u

             dy           n 1       du
                     nu                                f ´( x )
             du                      dx


              dy      dy du                  n 1
                                    nu             f ´( x )
              dx      du dx
1.5.8 – Funções Trigonométricas

                   f ( x)    sen u

     df ( x )                             du
                  d (sen u )      cos u
        dx                                dx

                 f ( x)     cos u

    df ( x )                                du
                d (cos u )          sen u
      dx                                    dx
f ( x)    tgu


           sen u             Regra do
f ( x)                       quociente
           cos u


  d                2    du
      ( tgu )   sec u
 dx                     dx
Exemplo: seja a função

                y     sen( 10 x     3)
Vamos introduzir a variável intermediária
                                   du
                u   10 x   3             10
                                   dx
                           dy
       y   sen u                cos u    cos( 10 x   3)
                           du


           dy       dy du
                                10 cos( 10 x         3)
           dx       du dx
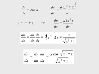
Exemplo: seja a função
                                            2
                        y       sen     x            1

                   2
      u        x            1                            y     sen u


               dy               dy du
                                                             Regra da cadeia
               dx               du dx


          dy                                    dy                      2
                       cos u                                 cos    x       1
          du                                    du
1
                                                      2
    dy                           du           d (x                1) 2
             cos u
    du                           dx                   dx
                                                              1

         2                           du           d (z )      2

z    x       1
                                     dx               dx

    du       du dz       1
                                 1                        x
                         2
                             z   2
                                     2x
                                                          2
    dx       dz dx                                    x               1


                                                      2
     dy          dy du           x cos            x               1
                                              2
     dx          du dx                    x           1
1.5.9 – Função Logarítmica : se u é uma função diferenciável de x
e u(x) 0, então




                      d              1 du
                           [ln u ]
                      dx             u dx
Exemplo: seja a função
                                              3
                         y           ln( x            2x       1)

                         3
             u       x               2x       1                    y   ln u


        dy       1                        1                            du          2
                                 3
                                                                              3x       2
        du       u           x            2x          1                dx


                                                          2
                             dy                   3x           2
                                                  3
                             dx               x           2x       1
1.5.10 – Função Exponencial : se u é uma função diferenciável
 de x, então
                                d           u               u   du
                                    [e ]                e
                            dx                                  dx

Exemplo: seja a função                                    1
                                                           2
                                        y           e    x




                            1                           du               2
                   u            2                                        3
                            x
                                                        dx           x


              dy       d            u               u   du                   2            1
                                                                                           2
                                [e ]            e                                3
                                                                                     e   x


              dx       dx                               dx                   x
1.6 - Derivada no ponto: seja a posição de um móvel dada pela
função
                                                             2
                      x (t )        3      0 ,5 t      3t
com x dado em metros. Calcule a velocidade do móvel no
instante t = 10,0s.
                              dx
                      v (t )
                              dt

                 dx
   v (10 , 0 )                      0 ,5     6t   t 10 , 0
                                                                 0 ,5   6 (10 , 0 )
                 dt   t 10 , 0




                                 v (t )    60 ,5 m
1.7 - Derivadas de Ordem Superior: se a função f for
derivável, então f´ é chamada de derivada primeira de f. Se a
derivada f´ existir, ela será chamada de derivada segunda de f e
poderá ser denotada por f´´.


A derivada enésima da função f (n=inteiro positivo e maior do
que 1), é a derivada primeira da derivada (n-1)ésima de f.

                      Notação de Leibniz

          df       derivada           3
                                    d f       derivada
                   primeira
          dx                        dx
                                          3   terceira
           2                          n
         d f        derivada        d f       derivada
               2    segunda               n   enésima
          dx                        dx
Exemplo: no MRUV a posição da partícula é dada por
                                            1        2
                   x (t )   x0    v0t       2
                                                at

em que x0 (posição inicial), v0 (velocidade inicial) e a
(aceleração) são constantes.

                            dx
                   v (t )           vo          at
                             dt


                                        2
                            dv      d x
                  a (t )                    2
                                                     a
                            dt      dt
1.8 – Derivadas Parciais: seja a função escalar (x,y,z) no
espaço. As derivadas parciais de em relação a x, y e z são,
respectivamente,


                                                               : lê-se “del”
    x             y                   z

Exemplo: seja a função
                                          2       3
                         f ( x, y )   x       y


                                                           2
                         2x                           3x
                  x                           y
Exemplo: a equação de uma onda numa corda vibrante é
dada por
               y ( x, t )    y m cos( kx            t)
com ym, k e    constantes.


 A velocidade vertical de um ponto localizado no ponto x
 (fixo) da corda é dada por
                    y
        vy                      [ y m cos( kx            t )]
                    t       t
          vy        y m [ sen( kx          t )].(          )

                   vy        y m sen( kx            t)
A aceleração vertical deste ponto é dada por

                2
                    y
     ay             2
                                [ y m sen( kx              t )]
                t           t

          ay            y m [cos( kx         t )].(        )

                                2
               ay                   y m cos( kx       t)

Derivada

  • 1.
    Curso de Especializaçãoem Telecomunicações Tersio Guilherme de Souza Cruz
  • 2.
    1 – Noçõesde Função e Derivada 1.1 – Noções de Função Definição: se uma variável y depende de outra variável x, de tal forma que cada valor de x determina exatamente um valor de y, então dizemos que y é uma função de x. 2 Exemplo y x Entrada x função Saída y
  • 3.
    x y 0 0 1 1 2 y x 4 2 -1 1 -2 4
  • 4.
    Outros exemplos: y cos x ou y( x) cos x 1 2 x xo vot 2 at ou 1 2 x (t ) xo vot 2 at 1 q1 q 2 E (r ) 4 2 0 r
  • 5.
    Seja a posiçãox de um móvel em MRUV em função do tempo t dada pela equação 2 x (t ) 5 10 t 2t Então, a posição do móvel no instante t = 1,0 s é 2 x (1, 0 ) 5 10 (1, 0 ) 2 (1, 0 ) x (1, 0 ) 5 10 , 0 2 ,0 x (10 ) 13 m
  • 6.
    Função Linear: y (x1,y0) y1 y1-y0 (x0,y0) y0 x1-x0 a x0 x1 x y1 y0 tg m x1 x0
  • 7.
    y1 y0 m ( x1 x0 ) y1 y0 m ( x1 x0 ) y a mx com a = y0 – mx0
  • 8.
    y y a mx a x
  • 9.
    1.2 – Nocõesde Derivada Origens do Cálculo -Kepler, Galileu, Simon Stevin, Pièrre de Fermat, René Descartes, Blaise Pascal .... Isaac Newton (1642 – 1727) Gottfried Wilhelm Leibnz (1646 – 1716)
  • 10.
    1.2 – O“Problema dos Matemáticos” Como traçar a reta tangente a uma curva dada num determinado ponto das curva? Circunferência P tangente raio 1 – A tangente em P é uma reta que passa por P, perpendicularmente ao raio por esse mesmo ponto. 2 – A tangente em P é a reta que só toca a circunferência neste ponto
  • 11.
    Outras curvas: problemas! P P Qual o raio? Tangente? P Tangente. Mas toca duas vezes a reta
  • 12.
    y Definindo a tangente em P: secante y = f(x) Q f(x+ x) f(x+ x)-f(x) P f(x) x x x+ x x Logo, a secante msec é dada por m f (x x) f ( x) sec x
  • 13.
    y Definindo a tangente em P: y = f(x) Q secante f(x+ x) Q1 f(x+ x)-f(x) P f(x) x x x+ x x
  • 14.
    y Definindo a tangente em P: y = f(x) Q secante Q1 f(x+ x) - f(x) f(x+ x) P Q2 f(x) x x x+ x x
  • 15.
    A tangente mtangé definida por f (x x) f ( x) m tan g lim x 0 x secante Q f(x+ x) tangente em P P f(x) x x+ x
  • 16.
    1.3 – “Problemados Físicos”: Como calcular a velocidade instantânea? Seja x(t) a posição de uma partícula em função do tempo t. x(t) x(t) t
  • 17.
    x(t) x(t) Q x(t0+ t) x P x(t0) t t t0 t0+ t x(t0) = posição da partícula no instante t0 x(t0+ t) = posição da partícula no instante t0 x x (t t) x (t ) vm t t
  • 18.
    Qual a velocidade(instantânea) v(t) no instante t? Paradoxo do Zenão de Eléia x(t) x(t) Q x(t0+ t) x P x(t0) t t t0 t0+ t x (t t) x (t ) v (t ) lim t 0 t
  • 19.
    1.4 - Definiçãode derivada A derivada de uma função f é a função f´ tal que o seu valor em qualquer número x do domínio de f seja dado por ´ df x (t t) x (t ) f lim dx t 0 t se este limite existir Uma função derivável em um ponto pode ser não-derivável em outro!!!!
  • 20.
    Duas Interpretações: 1- Aderivada f´ de uma função é uma função cujo valor em x é a inclinação da reta tangente ao gráfico de y = f(x) em x. 2 – A derivada f´ é uma função cujo valor em x é a taxa instantânea da variação de y com relação a x no ponto x. Exemplos: dx dQ v (t ) I (t ) dt dt
  • 21.
    d v (t ) [ x ( t )] x(t) dt v(t1)= 0 v(t1) v(t0) 0 v(t0) v(t2) v(t2) 0 t t0 t1 t2
  • 22.
    Exemplo usando adefinição: calcule a derivada da função f(x) = 3+x2 f (x x) f ( x) f´ lim x 0 x 2 2 2 3 (x x) 3 x x 2x x f (x x) x x 2 x 2x x f´ lim [ ] lim [ x 2 x] 2x x 0 x x 0 df d d 2 f´ [ f ( x )] [3 x ] 2x dx dx dx
  • 23.
    1.5 - Algumasregras de derivação 1.5.1 - Regra da Constante: para qualquer constante c y d (c ) 0 y=c dx c Inclinação = 0 x 1.5.2 - Regra da Potência: para qualquer número real n d n n 1 Ver exemplo (x ) nx anterior dx
  • 24.
    1.5.3 - Regrada Multiplicação por uma Constante:se c é uma constante e f(x) é uma função derivável no ponto x, cf(x) também é uma função derivável e d [ cf ( x )] cf ( x ) dx Exemplo: seja 2 f ( x) cx d 2 ( cx ) 2 cx dx
  • 25.
    1.5.4 - Regrada Soma:se f(x) e g(x) são duas funções deriváveis no ponto x, a soma s(x) = f(x) + g(x) também é derivável e s´( x ) f ´( x ) g ´( x ) d d d [ f ( x) g ( x )] [ f ( x )] [ g ( x )] dx dx dx 2 Exemplo: seja a função x (t ) 10 4t 5t f(x) = 10 g(x) = 4t h(x) = -5t 2 d 2 (10 4t 5t ) 0 4 10 t 4 10 t dx
  • 26.
    1.5.5 - Regrada Produto:se f(x) e g(x) são duas funções deriváveis no ponto x, o produto P(x) = f(x) . g(x) também é derivável e ( f . g )´ fg ´ g . f ´ d dg df [ f ( x ). g ( x )] f ( x ). g ( x ). dx dx dx 2 Exemplo: seja a função P ( x) x (3 x 1) f(x) = x2 g(x) =3x+1 2 2 P ´( x ) ( x ).( 3 ) (3 x 1).( 2 x ) 9x 2x
  • 27.
    1.5.6 - Regrada Quociente:se f(x) e g(x) são duas funções deriváveis no ponto x, o quociente P(x) = f(x) / g(x) também é derivável e f g . f ´ fg ´ ( )´ 2 com 0 g g df dg g ( x ). f ( x ). d f ( x) dx dx 2 dx g ( x) g ( x) 2 Exemplo: seja a função y (x 2x 21 ) /( x 3) 2 2 (x 3 ).( 2 x 2) (x 2x 21 .(1)] x 6x 15 Q ´( x ) 2 2 (x 3) (x 3)
  • 28.
    1.5.7 - Regrada Cadeia:se g(x) for derivável em x e a função f for derivável em g(x), então a função composta f o g será derivável em x, e ( f  g )`( x ) f ´( g ( x )). g ´( x ) dy dy du dx du dx Exemplos: 2 a) Seja a função y x 1 1 2 u x 1 y u (u ) 2
  • 29.
    dy 1 1 1 2 1 1 (u ) 2 (x 1) 2 2 du 2 2 2 x 1 du 2x dx dy 1 x (2 x) 2 2 dx 2 x 1 x 1
  • 30.
    b) Seja afunção geral do tipo n y f ( x) n u f ( x) e y u dy n 1 du nu f ´( x ) du dx dy dy du n 1 nu f ´( x ) dx du dx
  • 31.
    1.5.8 – FunçõesTrigonométricas f ( x) sen u df ( x ) du d (sen u ) cos u dx dx f ( x) cos u df ( x ) du d (cos u ) sen u dx dx
  • 32.
    f ( x) tgu sen u Regra do f ( x) quociente cos u d 2 du ( tgu ) sec u dx dx
  • 33.
    Exemplo: seja afunção y sen( 10 x 3) Vamos introduzir a variável intermediária du u 10 x 3 10 dx dy y sen u cos u cos( 10 x 3) du dy dy du 10 cos( 10 x 3) dx du dx
  • 34.
    Exemplo: seja afunção 2 y sen x 1 2 u x 1 y sen u dy dy du Regra da cadeia dx du dx dy dy 2 cos u cos x 1 du du
  • 35.
    1 2 dy du d (x 1) 2 cos u du dx dx 1 2 du d (z ) 2 z x 1 dx dx du du dz 1 1 x 2 z 2 2x 2 dx dz dx x 1 2 dy dy du x cos x 1 2 dx du dx x 1
  • 36.
    1.5.9 – FunçãoLogarítmica : se u é uma função diferenciável de x e u(x) 0, então d 1 du [ln u ] dx u dx
  • 37.
    Exemplo: seja afunção 3 y ln( x 2x 1) 3 u x 2x 1 y ln u dy 1 1 du 2 3 3x 2 du u x 2x 1 dx 2 dy 3x 2 3 dx x 2x 1
  • 38.
    1.5.10 – FunçãoExponencial : se u é uma função diferenciável de x, então d u u du [e ] e dx dx Exemplo: seja a função 1 2 y e x 1 du 2 u 2 3 x dx x dy d u u du 2 1 2 [e ] e 3 e x dx dx dx x
  • 39.
    1.6 - Derivadano ponto: seja a posição de um móvel dada pela função 2 x (t ) 3 0 ,5 t 3t com x dado em metros. Calcule a velocidade do móvel no instante t = 10,0s. dx v (t ) dt dx v (10 , 0 ) 0 ,5 6t t 10 , 0 0 ,5 6 (10 , 0 ) dt t 10 , 0 v (t ) 60 ,5 m
  • 40.
    1.7 - Derivadasde Ordem Superior: se a função f for derivável, então f´ é chamada de derivada primeira de f. Se a derivada f´ existir, ela será chamada de derivada segunda de f e poderá ser denotada por f´´. A derivada enésima da função f (n=inteiro positivo e maior do que 1), é a derivada primeira da derivada (n-1)ésima de f. Notação de Leibniz df derivada 3 d f derivada primeira dx dx 3 terceira 2 n d f derivada d f derivada 2 segunda n enésima dx dx
  • 41.
    Exemplo: no MRUVa posição da partícula é dada por 1 2 x (t ) x0 v0t 2 at em que x0 (posição inicial), v0 (velocidade inicial) e a (aceleração) são constantes. dx v (t ) vo at dt 2 dv d x a (t ) 2 a dt dt
  • 42.
    1.8 – DerivadasParciais: seja a função escalar (x,y,z) no espaço. As derivadas parciais de em relação a x, y e z são, respectivamente, : lê-se “del” x y z Exemplo: seja a função 2 3 f ( x, y ) x y 2 2x 3x x y
  • 43.
    Exemplo: a equaçãode uma onda numa corda vibrante é dada por y ( x, t ) y m cos( kx t) com ym, k e constantes. A velocidade vertical de um ponto localizado no ponto x (fixo) da corda é dada por y vy [ y m cos( kx t )] t t vy y m [ sen( kx t )].( ) vy y m sen( kx t)
  • 44.
    A aceleração verticaldeste ponto é dada por 2 y ay 2 [ y m sen( kx t )] t t ay y m [cos( kx t )].( ) 2 ay y m cos( kx t)