UNIVERSIDADE FEDERAL DO ESTADO DO RIO DE JANEIRO
CENTRO DE CIÊNCIAS EXATAS E TECNOLOGIA (CCET)
ESCOLA DE MATEMÁTICA
ATIVIDADE FINAL: PLANO DE AULA.
TEMA: PROGRESSÃO GEOMÉTRICA - 1ª PARTE.
Trabalho de aproveitamento da disciplina
Didática da Matemática, no curso
Licenciatura em Matemática, sob a
orientação da Professora Loisi.
LUIZ ANTONIO CLARO NETO
Rio de Janeiro, 19 / 08 / 2013.
Tema:
Progressão Geométrica.
Público Alvo:
Alunos do 1º ano ou do 2º ano do Ensino Médio.
Duração:
1 aula de 50 minutos.
Objetivos Gerais:
Dar aos alunos capacidade para que eles reconheçam as Progressões Geométricas e utilizem
suas fórmulas para resolução de problemas.
Objetivos Específicos:
a) Ter conhecimento da definição de Progressão Geométrica e suas características.
b) Ter conhecimento da fórmula do Termo Geral da Progressão Geométrica e da fórmula
“mais geral”.
c) Saber aplicar os conhecimento de Progressão Geométrica, seja em situações problema
ou em exercícios com aplicação direta de fórmula.
d) Saber classificar as Progressões Geométricas.
Conteúdo:
Explicação do que é uma Progressão Geométrica com exemplos do cotidiano e como função,
apresentação formal do Tema Progressão Geométrica, demonstração da fórmula do termo
geral (n-ésimo elemento) em função do primeiro termo (elemento) e a razão, apresentação do
termo “mais geral” da Progressão Geométrica e classificação das Progressões Geométricas.
Material
Lápis, borracha, caderno e o livro “A Matemática no Ensino Médio” - Volume 2 - ELON
LAGES LIMA, PAULO CEZAR PINTO CARVALHO, EDUARDO WAGNER, AUGUSTO
CESAR DE OLIVEIRA MORGADO – SBM.
Desenvolvimento:
a) Colocar o problema: “A população de um país é hoje igual a P e cresce 2% a.a. Qualₒ
será a população desse país daqui a n anos?”. Solução: “Se a população cresce 2%
a.a., em cada ano a população é 102% da população do ano anterior. Portanto, a cada
ano que passa, a população sofre uma multiplicação por 102% = 1,02. Depois de n a
população será Pₒ . 1,02ⁿ”.
b) Colocar o problema: “A torcida de certo clube é hoje igual a T e decresce 5% a.a.ₒ
Qual será a torcida desse clube daqui a n anos?”. Solução: “Se a torcida decresce 5%
a.a., em cada ano a torcida é 95% da torcida do ano anterior. Portanto, a cada ano que
passa, a torcida sofre uma multiplicação por 95% = 0,95. Depois de n anos, a torcida
será Tₒ . 0,95ⁿ”.
c) Afirmar: “Progressões Geométricas são sequências nas quais a taxa de crescimento q
de cada termo para o seguinte é sempre a mesma”.
d) Colocar: “Observe o comportamento da função f(x)=2 ͯno domínio dos números
naturais:
Na primeira coluna (Domínio): P.A.={1,2,3,4,...}, com r = 1 e a1 = 1.
E na segunda coluna (Imagem): P.G.={2,4,8,16,...}, com q = 2 e a1 = 2 (Obs: a1 =
f(1)).
e) Reforçar a definição: “Progressão Geométrica é uma sequência numérica onde cada
termo, a partir do primeiro, é obtido pela multiplicação do anterior por uma razão (q)
fixa”.
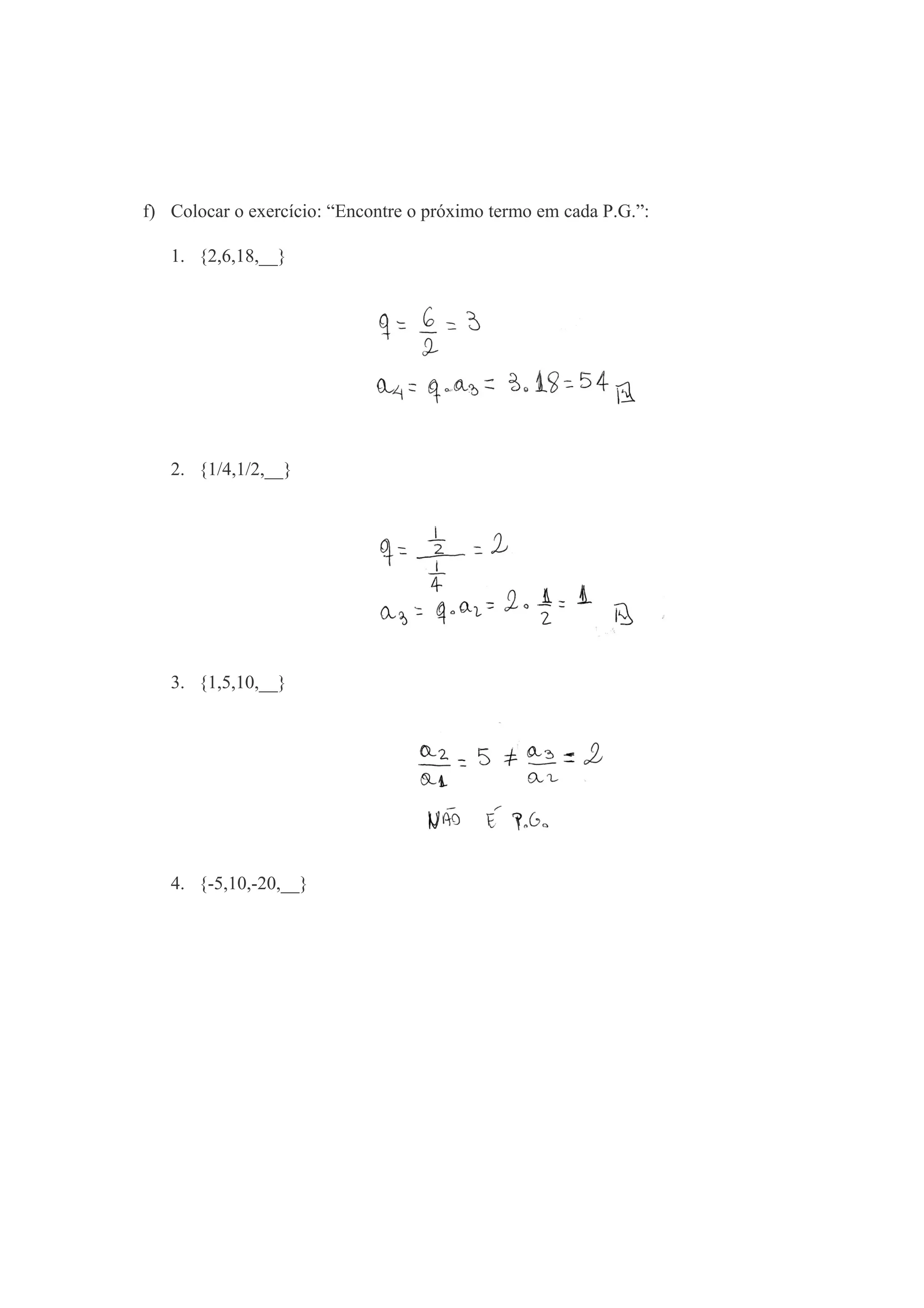
f) Colocar o exercício: “Encontre o próximo termo em cada P.G.”:
1. {2,6,18,__}
2. {1/4,1/2,__}
3. {1,5,10,__}
4. {-5,10,-20,__}
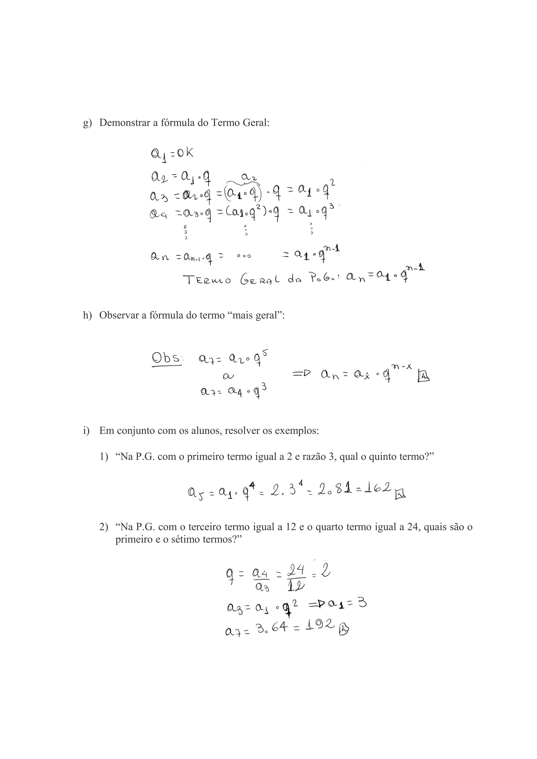
g) Demonstrar a fórmula do Termo Geral:
h) Observar a fórmula do termo “mais geral”:
i) Em conjunto com os alunos, resolver os exemplos:
1) “Na P.G. com o primeiro termo igual a 2 e razão 3, qual o quinto termo?”
2) “Na P.G. com o terceiro termo igual a 12 e o quarto termo igual a 24, quais são o
primeiro e o sétimo termos?”
3) “Na P.G. com o quinto termo igual a 16 e o primeiro igual a 1, qual a razão?”
j) Classificar as Progressões Geométricas:
1) Crescente: q > 1 e termos positivos. Ex.: {2,4,8,16,...}. Ou 0 < q < 1 e termos
negativos. Ex.: {-100,-50,-25,-25/2,...}
2) Decrescente: q > 1 e termos negativos. Ex.: {-2,-4,-8,-16,...}. Ou 0 < q < 1 e
termos positivos. Ex.: {100,50,25,25/2,...}
3) Oscilante: q < 0. Ex.: {2,-6,18,-54,...}.
4) Constante: q = 1. Ex.: {7,7,7,7,...}.
Obs.: Não define-se a P.G. nula, com q = 0 (Ora, não existe 0/0).
k) Passar para casa uma lista de exercícios do livro.
Avaliação:
Mesmo sem o resultado da lista de exercícios em mãos, é necessária uma auto avaliação
constante por parte do professor para saber se está sendo claro, objetivo, interessante e para
perceber se passa aos alunos ter completo conhecimento do conteúdo da matéria, revelando
conhecer os princípios fundamentais. Isso é necessário para que a turma confie nele, participe
intensamente da aula e abra espaço para que a relação entre professor e aluno se mantenha
espontânea e positiva. Também para permitir que a turma retire de cada contribuição os dados
que esta possa oferecer ao desenvolvimento da aula e se utilize de suas experiências anteriores
para a aprendizagem. Assim, o professor pode melhor avaliar o aproveitamento dos alunos,
sempre lembrando a eles que é importante se auto avaliarem também, e ditar o ritmo mais
conveniente para se alcançar os objetivos da aula em todos os aspectos.
De posse do resultado da lista de exercícios, da observação do comportamento dos alunos e da
participação durante a aula, há uma ótima avaliação para preparação dos testes, das provas e
das futuras aulas com o ritmo adequado para o melhor aproveitamento da turma.
Recursos didáticos:
Oralidade, lousa, caneta e data show.
Link:
http://www.slideshare.net/LuizAntonioClaroNT/plano-de-aula-p-g

Plano de Aula Progressão Geométrica - 1a. Parte.

  • 1.
    UNIVERSIDADE FEDERAL DOESTADO DO RIO DE JANEIRO CENTRO DE CIÊNCIAS EXATAS E TECNOLOGIA (CCET) ESCOLA DE MATEMÁTICA ATIVIDADE FINAL: PLANO DE AULA. TEMA: PROGRESSÃO GEOMÉTRICA - 1ª PARTE. Trabalho de aproveitamento da disciplina Didática da Matemática, no curso Licenciatura em Matemática, sob a orientação da Professora Loisi. LUIZ ANTONIO CLARO NETO Rio de Janeiro, 19 / 08 / 2013.
  • 2.
    Tema: Progressão Geométrica. Público Alvo: Alunosdo 1º ano ou do 2º ano do Ensino Médio. Duração: 1 aula de 50 minutos. Objetivos Gerais: Dar aos alunos capacidade para que eles reconheçam as Progressões Geométricas e utilizem suas fórmulas para resolução de problemas. Objetivos Específicos: a) Ter conhecimento da definição de Progressão Geométrica e suas características. b) Ter conhecimento da fórmula do Termo Geral da Progressão Geométrica e da fórmula “mais geral”. c) Saber aplicar os conhecimento de Progressão Geométrica, seja em situações problema ou em exercícios com aplicação direta de fórmula. d) Saber classificar as Progressões Geométricas. Conteúdo: Explicação do que é uma Progressão Geométrica com exemplos do cotidiano e como função, apresentação formal do Tema Progressão Geométrica, demonstração da fórmula do termo geral (n-ésimo elemento) em função do primeiro termo (elemento) e a razão, apresentação do termo “mais geral” da Progressão Geométrica e classificação das Progressões Geométricas. Material Lápis, borracha, caderno e o livro “A Matemática no Ensino Médio” - Volume 2 - ELON LAGES LIMA, PAULO CEZAR PINTO CARVALHO, EDUARDO WAGNER, AUGUSTO CESAR DE OLIVEIRA MORGADO – SBM. Desenvolvimento: a) Colocar o problema: “A população de um país é hoje igual a P e cresce 2% a.a. Qualₒ será a população desse país daqui a n anos?”. Solução: “Se a população cresce 2% a.a., em cada ano a população é 102% da população do ano anterior. Portanto, a cada ano que passa, a população sofre uma multiplicação por 102% = 1,02. Depois de n a população será Pₒ . 1,02ⁿ”.
  • 3.
    b) Colocar oproblema: “A torcida de certo clube é hoje igual a T e decresce 5% a.a.ₒ Qual será a torcida desse clube daqui a n anos?”. Solução: “Se a torcida decresce 5% a.a., em cada ano a torcida é 95% da torcida do ano anterior. Portanto, a cada ano que passa, a torcida sofre uma multiplicação por 95% = 0,95. Depois de n anos, a torcida será Tₒ . 0,95ⁿ”. c) Afirmar: “Progressões Geométricas são sequências nas quais a taxa de crescimento q de cada termo para o seguinte é sempre a mesma”. d) Colocar: “Observe o comportamento da função f(x)=2 ͯno domínio dos números naturais: Na primeira coluna (Domínio): P.A.={1,2,3,4,...}, com r = 1 e a1 = 1. E na segunda coluna (Imagem): P.G.={2,4,8,16,...}, com q = 2 e a1 = 2 (Obs: a1 = f(1)). e) Reforçar a definição: “Progressão Geométrica é uma sequência numérica onde cada termo, a partir do primeiro, é obtido pela multiplicação do anterior por uma razão (q) fixa”.
  • 4.
    f) Colocar oexercício: “Encontre o próximo termo em cada P.G.”: 1. {2,6,18,__} 2. {1/4,1/2,__} 3. {1,5,10,__} 4. {-5,10,-20,__}
  • 5.
    g) Demonstrar afórmula do Termo Geral: h) Observar a fórmula do termo “mais geral”: i) Em conjunto com os alunos, resolver os exemplos: 1) “Na P.G. com o primeiro termo igual a 2 e razão 3, qual o quinto termo?” 2) “Na P.G. com o terceiro termo igual a 12 e o quarto termo igual a 24, quais são o primeiro e o sétimo termos?”
  • 6.
    3) “Na P.G.com o quinto termo igual a 16 e o primeiro igual a 1, qual a razão?” j) Classificar as Progressões Geométricas: 1) Crescente: q > 1 e termos positivos. Ex.: {2,4,8,16,...}. Ou 0 < q < 1 e termos negativos. Ex.: {-100,-50,-25,-25/2,...} 2) Decrescente: q > 1 e termos negativos. Ex.: {-2,-4,-8,-16,...}. Ou 0 < q < 1 e termos positivos. Ex.: {100,50,25,25/2,...} 3) Oscilante: q < 0. Ex.: {2,-6,18,-54,...}. 4) Constante: q = 1. Ex.: {7,7,7,7,...}. Obs.: Não define-se a P.G. nula, com q = 0 (Ora, não existe 0/0). k) Passar para casa uma lista de exercícios do livro. Avaliação: Mesmo sem o resultado da lista de exercícios em mãos, é necessária uma auto avaliação constante por parte do professor para saber se está sendo claro, objetivo, interessante e para perceber se passa aos alunos ter completo conhecimento do conteúdo da matéria, revelando conhecer os princípios fundamentais. Isso é necessário para que a turma confie nele, participe intensamente da aula e abra espaço para que a relação entre professor e aluno se mantenha espontânea e positiva. Também para permitir que a turma retire de cada contribuição os dados que esta possa oferecer ao desenvolvimento da aula e se utilize de suas experiências anteriores para a aprendizagem. Assim, o professor pode melhor avaliar o aproveitamento dos alunos, sempre lembrando a eles que é importante se auto avaliarem também, e ditar o ritmo mais conveniente para se alcançar os objetivos da aula em todos os aspectos. De posse do resultado da lista de exercícios, da observação do comportamento dos alunos e da participação durante a aula, há uma ótima avaliação para preparação dos testes, das provas e das futuras aulas com o ritmo adequado para o melhor aproveitamento da turma.
  • 7.
    Recursos didáticos: Oralidade, lousa,caneta e data show. Link: http://www.slideshare.net/LuizAntonioClaroNT/plano-de-aula-p-g