Capítulo 6: Escoamento Externo



   Efeitos Viscosos e
        Térmicos
•   Conceitos fundamentais
•   Arrasto total
•   Arrasto viscoso e de pressão
•   Transferência de calor
Fluido
  • É qualquer substância que se deforma continuamente quando
    submetido a uma tensão de cisalhamento, ou seja, ele escoa.



  Tensão de cisalhamento:
Age tangencialmente à superfície
          do material.



  • Fluidos existem como líquido (água, gasolina), gás (ar,
    hidrogênio) e como uma combinação de líquido e gás (vapor
    úmido).
Propriedades de um fluido
• São várias as propriedades que permitem distinguir os fluidos
  e que são independentes do seu movimento:
  – Densidade;
  – Pressão de vapor;
  – Tensão superficial (atração molecular de um líquido próximo
  de uma superfície ou outro fluido);
  – Velocidade do som (velocidade na qual a onda acústica se
  movimenta no fluido).
Fluidos incompressíveis x
              compressíveis
• Fluidos compressíveis
  – São aqueles que apresentam variação na densidade quando
  escoam: usualmente os gases.
• Fluidos incompressíveis
  – São aqueles que não apresentam variação da densidade
  quando escoam (densidade constante ao longo do
  escoamento): usualmente líquidos e alguns gases.


     • Neste curso serão considerados apenas os fluidos
                       incompressíveis.
Escoamento incompressível x
         compressível
• A diferença entre o escoamento incompressível e
  compressível pode ser verificado através do número de
  Mach:




• Onde V é a velocidade do fluido e c é a velocidade do som.

• Esta equação permite determinar qual o escoamento de um
  fluido.
Escoamento incompressível x compressível


• Gases:
  – Se M < 0,3 ⇒ escoamento é incompressível.
  – Se M > 0,3⇒ escoamento é compressível.
  – M = 1,0 ⇒ escoamento é crítico (barreira do som no vôo de
  aeronaves).
  – Se M > 1,0 ⇒ escoamento é supersônico.
• Líquidos: o escoamento será incompressível pois a velocidade
  de som dos líquidos é muito grande:
  – Ex: Velocidade do som na água é cerca de 1.500 m/s.
Escoamento incompressível x compressível

          • Escoamentos incompressíveis de gases:
  – Escoamentos de ar em sistemas de ar condicionado e de
  aquecimento;
  – Escoamentos em torno de automóveis;
  – Escoamento de ar em volta de edifícios.
           • Escoamentos compressíveis de gases
  – Aerodinâmica de aeronaves de alta velocidade;
  – Escoamento de ar através de turbinas a jato;
  – Escoamento de vapor através de uma turbina em usinas
  termoelétricas.
Movimento de um fluido
• Pode ser analisado segundo duas descrições:
  Lagrangiana: é a descrição de movimento na qual as partículas
  individuais são observadas em função do tempo.
  – Torna-se uma tarefa bastante difícil quando o número de
  partículas é muito grande, como no escoamento de um fluido.
  Euleriana: é a descrição de movimento na qual as propriedades
  de escoamento (como a velocidade) são funções do espaço e
  do tempo.
        – A região de escoamento considerada é o campo de
                            escoamento.
Campo de escoamento
• É uma representação do movimento do fluido no espaço em
  diferentes instantes.
• A propriedade que descreve o campo de escoamento é a
  velocidade.
• A velocidade tem componentes nas três coordenadas
  cartesianas (x, y, z) e pode variar com o tempo.
• Assim, o campo de escoamento é como uma fotografia do
  movimento do conjunto de partículas e suas velocidades no
  instante t.
Campo de escoamento




• Linhas de corrente: definidas como a linha contínua que é
  tangente aos vetores velocidade ao longo do escoamento
  num dado instante t.

• As linhas de corrente são sempre paralelas ao escoamento.
Escoamento externo X interno
 • Escoamento externo é aquele que ocorre externamente a
  uma superfície sólida, onde o fluido está em contato com uma
                      única fronteira sólida;




• Escoamento interno é aquele que possui fronteiras limitando
                  o campo de escoamento;
Escoamento Interno



                   No escoamento
                 interno, os efeitos
                  viscosos causam
                perdas energéticas
                substanciais e são
                  responsáveis por
                   grande parte da
                energia necessária
               para transportar óleo
               e gás em tubulações.
Força externa total no VC
• A força externa total atuando em um VC é:
Tensão de cisalhamento
• Ao encontrar uma fronteira sólida, o fluido se deforma devido
  à aplicação de forças de cisalhamento (que agem
  paralelamente às superfícies do fluido).
• Enquanto esta força estiver atuando, o fluido continuará se
  deformando.
• Esta força é resultado de uma tensão (de cisalhamento)
  agindo sobre o fluido, que exerce uma oposição ao
  movimento do fluido.
• Energia deve ser fornecida para vencer esta resistência e
  manter o escoamento.
Tensão de cisalhamento
• Existem fluidos em que a relação entre a tensão de
  cisalhamento e a taxa de deformação é linear e pode ser
  expressa por:
Tensão de cisalhamento



• A taxa de deformação é proporcional à variação da velocidade
  do fluido na direção normal ao escoamento.

• A taxa de deformação é diferente para diferentes fluidos.
Viscosidade dinâmica
• É uma propriedade intensiva, também conhecida como
  viscosidade absoluta.
• Como relaciona tensão de cisalhamento e velocidade local
  está diretamente associada com o transporte de momento e
  portanto é uma propriedade de transporte.
• No SI : N.s/m2
• Apresenta valores tabelados variando com a temperatura e da
  pressão:

    – Varia muito com a temperatura e pouco com a pressão.
Fluidos newtonianos X não
             newtonianos
• Quando existe a relação linear entre a tensão de cisalhamento
  e a taxa de deformação resultante, os fluidos são chamados
  de newtonianos:
  – Água, óleos, etc.
• Neste caso a expressão para determinar a tensão de
  cisalhamento é válida.
     Nesse curso só trabalharemos com fluidos newtonianos.
• Quando o fluido não apresenta uma relação linear entre a
  tensão de cisalhamento e a taxa de deformação são
  conhecidos como fluidos não newtonianos:
• – Pastas de dentes, tintas, ketchup, etc.
Gradiente de velocidade
• Devido o princípio da aderência (ou do não escorregamento) o
  fluido em contato com uma superfície sólida (por exemplo uma
  mesa) possui a velocidade da superfície.
• Na medida em que afasta da parede, a velocidade do fluido
  relativa à parede aumenta, variando desde a velocidade da
  superfície (zero) até um valor máximo finito (U).
• Essa variação de velocidade é chamado de perfil de velocidade
  ou gradiente de velocidade.
   • A tensão de cisalhamento age no sentido de resistir ao
   movimento do fluido, sendo máxima na superfície onde não
                   existe movimento relativo.
Camada Limite
• É uma camada relativamente fina onde os efeitos das tensões
  viscosas de cisalhamento são preponderantes (ou seja, o
  escoamento é viscoso).
• Logo, é na camada limite que existe o gradiente de
  velocidade.
• A espessura da camada limite, δ, corresponde a distância a
  partir da qual o valor da velocidade do fluido corresponde a
  uma fração da velocidade a montante U.

              • Logo: u = 0 em y = 0
               • u = 0,99 U em y = δ
Fora da camada limite
• Fora da camada limite o fluido escoa com velocidade U,
  paralela à superfície sólida, como se ela não existisse.

   • Por isto, fora da camada limite os efeitos viscosos são
    desprezíveis e o escoamento pode ser tratado como sem
               viscosidade ou invíscido (τx = 0).


• Nesta extremidade da camada limite em que o escoamento é
  não-viscoso, a equação de Bernoulli pode ser válida.
Escoamento na camada limite
• Experimentos mostram que existem dois regimes de
  escoamento na camada limite: laminar e turbulento.
         • Escoamento laminar: fortemente ordenado
  – As partículas mantém seu padrão de comportamento;
  – O mecanismo de difusão é somente o molecular;
  – O escoamento se processa na forma de “lâminas” sobrepostas.

      • Escoamento turbulento: fortemente desordenado
  – As partículas não apresentam um padrão de comportamento;
  – O mecanismo de difusão não é somente o molecular;
  – Ocorre difusão devido ao movimento desordenado das partículas –
  choques.
Laminar   x   Turbulento
Escoamento na camada limite
• Os regimes de escoamento laminar e turbulento podem ser
  caracterizados considerando-se a relação entre a força de
  inércia numa partícula fluida e a força viscosa agindo nessa
  partícula fluida.

  • Essa relação é adimensional e é conhecida como
               Número de Reynolds (Re).
Escoamento na camada limite
• O regime de escoamento depende de três parâmetros físicos:

• 1- Escala de comprimento do campo de escoamento: L

  – Como por exemplo o comprimento da placa, o diâmetro de
  um duto, etc..
  – Se essa escala de comprimento é suficientemente grande, o
  distúrbio de escoamento pode aumentar, tornando-o
  turbulento.

• 2- Escala de velocidade:   U
  – Para uma velocidade suficientemente alta, o escoamento
  pode ser turbulento.
• 3- Viscosidade cinemática:   v
- razão entre a viscosidade dinâmica e a densidade:




• A viscosidade alta tende a amortecer as perturbações,
  dissipando sua energia, evitando o movimento desordenado.
  – Para uma viscosidade cinemática relativamente pequena, o
  escoamento pode ser turbulento.
Escoamento na camada limite
• A combinação dos parâmetros comprimento, velocidade e
  densidade referem-se à força inercial numa partícula fluida.
• A combinação dos parâmetros comprimento, velocidade e
  viscosidade referem-se à força viscosa agindo nesta partícula
  fluida.
• Estes parâmetros podem ser combinados em um único
  parâmetro, conhecido como Número de         Reynolds:
Número de Reynolds




• Existe um valor crítico de Re acima do qual o escoamento será
  turbulento e abaixo do qual será laminar.
    • Este valor é conhecido como número de Reynolds de
                        transição ou crítico.
Escoamento na camada limite
Escoamento na camada limite
• Na camada limite a pressão é constante ao longo da sua
  espessura: Py=0 = Py=δ
• Na extremidade da camada limite o escoamento é não-
  viscoso e Equação de Bernoulli pode ser válida. Assim, a
  pressão Py=δ pode ser encontrada caso a velocidade U na
  região não-viscosa seja conhecida:
Escoamento na camada limite
• A variação da pressão na direção do escoamento é conhecida
  caso a variação da velocidade U na direção x também seja
  conhecida.




• O termo dP/dx é chamado de gradiente de pressão do
  escoamento.
• Para o caso do escoamento próximo à superfície sólida, dU/dx =
  0 e o gradiente de pressão é zero.
Escoamento em regime
       permanente X transiente
• No escoamento em regime permanente não há alteração das
  propriedades da partícula ao longo do tempo.
  – Logo, as quantidades de interesse no escoamento de um
  fluido (como por exemplo velocidade, pressão e densidade)
  são independentes do tempo.

• No escoamento em regime transiente as propriedades da
  partícula se alteram ao longo do tempo.
Escoamento natural X forçado
• Natural: quando forças naturais (gravidade)
  movimentam o fluido e normalmente não há
  velocidade de movimento (U=0).

• Forçado: quando há uma fonte de energia externa
  que promove o movimento do fluido, havendo
  uma velocidade do fluido.
Escoamento de um fluido - RESUMO

•   Escoamento incompressível e compressível;
•   Escoamento externo e interno;
•   Escoamento laminar e turbulento;
•   Escoamento viscoso e não-viscoso;
•   Escoamento em regime permanente e transiente;
•   Escoamento natural e forçado.
Recr em placas planas
   • Experimentos realizados em uma placa plana lisa
  indicaram que o valor crítico de Re, baseado na distância
      ao longo da placa (a contar da borda do ataque) é
               aproximadamente   5 x 105.

• Caso a superfície da placa seja rugosa, o valor de Recr
        estará no intervalo 8 x 103 – 5 x 105.
Escoamento externo
• A medida que um fluido escoa ao passar por uma placa plana,
  o atrito exerce seu efeito de duas maneiras:
• Uma é a aplicação direta de uma força de atrito (viscosa)
  causada pela tensão de cisalhamento atuando sobre esta
  placa ⇒ associado ao chamado arrasto viscoso ou de atrito.
• A outra está relacionada ao fato de os efeitos do atrito no
  fluido que escoa poderem alterar drasticamente o percurso do
  fluido em torno da placa plana. Estes efeitos causam uma
  queda de pressão irreversível na direção do escoamento (a
  pressão na parte posterior da placa é menor que na parte
  frontal) ⇒ associado ao arrasto de pressão ou de forma.
  • O arrasto total sobre a fronteira do VC é a combinação do
                 arrasto de atrito com o de pressão.
Arrasto viscoso ou de atrito
• É o resultado do efeito da camada limite:
  – É originário dos efeitos viscosos, associados à tensão de
  cisalhamento, atuantes nas paredes sólidas.
• A tensão de cisalhamento age no sentido de resistir ao movimento
  do fluido, ou seja, no sentido oposto a deslocamento no eixo x, e
  quando multiplicada pela área apropriada, resulta na força viscosa.
• Assim, esta força viscosa agirá SEMPRE no sentido de se opor ao
  movimento.
• Quando define-se o VC e a sua superfície coincide com a superfície
  sólida, surge uma reação à esta tensão sobre esta superfície sólida,
  na direção positiva do deslocamento no eixo x, e oposta à direção da
  força viscosa sobre o fluido.
• Essa força de reação é chamada de força de arrasto viscosa.
Arrasto viscoso ou de atrito
• A tensão de cisalhamento é determinada pela viscosidade e
  pelo gradiente de velocidades.
• Devido as dificuldades de se determinar o gradiente de
  velocidades, pode-se determinar a tensão por meio do
  coeficiente de atrito de Fanno (Cf):




  • Existem Cf tabelados para alguns objetos e para a camada
          limite laminar e a camada limite turbulenta.
• Muitas vezes, o Cf se obtém a partir da relação com o Re. Tais
     relações são tabeladas para diversos tipos de objetos.
Arrasto viscoso ou de atrito
• A força de arrasto viscosa (Df) é determinada considerando
  que a força de arrasto de pressão é nula.
• Logo, Df é obtida pela multiplicação da tensão pela área do
  objeto:



• Existe uma expressão que permite determinar o arrasto de
  atrito para uma placa plana lisa tanto para a camada limite
  laminar quanto para a turbulenta. Esta expressão utiliza o
  coeficiente médio de atrito:
Coeficientes de arrasto de atrito
• Uma placa plana lisa tem comprimento L= 0,75m. A placa
  deve ser testada em ar e água, ambos com velocidade U=4,5
  m/s. A temperatura do ar e da água é de 20 oC e a pressão
  igual a pressão atmosférica. Determine se o escoamento no
  final da placa é laminar ou turbulento para cada fluido e a
  velocidade do ar necessária para tornar os escoamentos
  semelhantes.
U = 4,5 m/s

L = 0,75 m
Laminar



Turbulento
• Determine o arrasto, por unidade de largura, devido ao
  atrito (DF) na placa plana lisa descrita no exemplo anterior e
  a espessura da camada limite na extremidade final da placa
  quando for testada em ar e água.
A= b x L



               L
b



     Cf = ?
L
       b



  Ar



  Ar




Água



Água
Placa Plana possui 2 lados
Água



Água
Troca-se L por xcr na fórmula do Re
0,75 – 0,1115
Arrasto de Pressão
• Em grande parte das situações existe um gradiente de
  pressão na direção do escoamento do fluido.

• Conhecendo-se a área, haverá uma força de arrasto associado
  ao gradiente de pressão.

• O arrasto devido à pressão apresenta uma total dependência
  do formato do corpo, sendo por isso denominado também de
  arrasto de forma. Isso se dá, porque seu valor é atribuído de
  acordo com as distribuições de pressão ao longo da
  geometria submetida ao escoamento.
Arrasto de Pressão
• O arrasto de pressão vai contribuir para a resistência total
  sofrida pelo fluido e resultará num fenômeno chamado de
  separação do escoamento ou deslocamento da camada limite.

• No descolamento existe um gradiente de pressão entre a
  região frontal de estagnação (alta pressão) e a região do
  descolamento (baixa pressão).
Descolamento
Separação do escoamento
• Nos bocais:

  – A velocidade U do fluido está crescendo na direção do
  escoamento, dU/dx > 0;
  – Isto significa que o gradiente de pressão na direção do
  escoamento é negativo, dP/dx <0;
  – Assim a força de pressão resultante no fluido age de forma
  favorável, na direção do escoamento.
Separação do escoamento
• Nos difusores:
  – A velocidade U está decrescendo na direção do escoamento,
  dU/dx < 0;
  – O gradiente de pressão é positivo, dP/dx > 0;
  – E a resultante força de pressão age retardando o
  escoamento.
  – Este gradiente de pressão é chamado de gradiente de
  pressão adverso. Isto quer dizer que a quantidade de
  movimento do fluido está decrescendo e o fluido próximo à
  superfície pode ser levado ao repouso numa distância
  qualquer a partir da parede (u=0, y>0).
  – Quando isto ocorre, o escoamento se separa.
Separação do escoamento
• Uma conseqüência da separação do escoamento é a formação
  de uma esteira oscilatória, região esta de baixa pressão.
• Na esteira o fluido movimenta-se em redemoinhos e de forma
  alternada.
  • Esta separação representa uma perda de energia no fluido,
                reduzindo a eficiência do difusor.
• A existência da separação é função do número de Reynolds.
Arrasto total
• O arrasto total é soma do arrasto de atrito e de pressão:




• É determinado pelo coeficiente de arrasto, definido por:




• Este coeficiente apresenta-se definido para cada tipo de
  objeto.
Vale para Cilindro – Fig 6.15 ; pág. 200

Para Esfera – Fig 6.15; pág. 199
Arrasto de pressão
• É obtido por aproximação a partir do arrasto total e do arrasto
  de atrito.

• O arrasto de atrito é calculado conhecendo-se a área da
  superfície do objeto e o número de Reynolds do escoamento
  e considerando o arrasto de pressão nulo.

• A diferença entre o arrasto total e o arrasto de atrito fornece
  o arrasto de pressão.
Arrasto total em placas planas
• No caso do escoamento de um fluido ocorrer paralelo ao
  comprimento de uma placa plana, a contribuição do arrasto
  de pressão é nula pois somente os efeitos viscosos
  predominam. Logo, só há o arrasto de atrito.

• Quando o escoamento do fluido for normal à placa plana, o
  arrasto por unidade de largura refere-se apenas ao arrasto de
  pressão, pois a tensão de cisalhamento será normal ao
  escoamento. Logo não há arrasto de atrito.
• Um letreiro quadrado de 3 m x 3 m está pregado no topo de
  um poste de 10 m de altura, que tem 0,3 m de diâmetro.
  Calcule o momento fletor aproximado ao qual a base deverá
  resistir para um vento com velocidade de 30 m/s.
.

     . b1
bp
.

     . b1
bp
.

            Projeção
     . b1
bp
Força de sustentação
• Além da força de arrasto de pressão, que é a componente no
  eixo x do escoamento, existe uma força na componente no
  eixo y chamada de força de sustentação.
• Um exemplo desta força corresponde ao deslocamento em
  regime permanente de uma aeronave.
• Neste caso, a força de sustentação deve ser equilibrada pelo
  peso da aeronave.
Força de arrasto
• A redução da força de arrasto é muito importante para o
  desenvolvimento de aviões, caminhões e automóveis mais
  econômicos.
• O arrasto total multiplicado pela velocidade de tráfego gera
  a potência necessária para vencer os efeitos viscosos e de
  pressão e equivale a uma parcela significativa da potência
  total que deve ser produzida pelo motor do veículo.
• Por isto, várias pesquisas vêm sendo desenvolvidas para
  determinar métodos de redução de arrasto para diferentes
  objetos em movimento.
Tabela A-8: dados ar a T= -30ºC                  d) Potência = Força x velocidade
                                                              .
                                                             W = Dt x U
a) U= 160km/h = 44,4m/s
Re= UL/v = 44,4 x 36 / 10,81 x 10-6 = 148 x 106
                                                  Para item a:
Tab 6.4: Elipsóide 4:1 ; d=9; L= 36
                                                  .
L/d=4         Cd=0,041                            W = 84 x 44,4 = 3729,3 W
a)
                                                  Para o item c :
Dt = 0,041 x 1,4518 x 44,2/2 x 3,14 x 92/4        .
                                                  W= 73,6 x 38,88 = 2561,56 W
                   Dt = 84N


c) U = 140km/h = 38,88 (Re na mesma faixa
do item “a”, portanto, mesmo Cd

Dt = 0,041 x 1,4518 x 38,88/2 x 3,14 x 92/4

                  Dt = 73,6 N
Transferência de Calor
• Condução
– É a energia que está sendo transferida através de uma
substância (sólido ou fluido) em função do gradiente de
temperatura dentro da própria substância.

• Convecção
– É a energia transferida entre um fluido e uma superfície
sólida em função do movimento do fluido. Pode ser:

 Natural ou forçada.

• Radiação
– É a energia transferida por ondas eletromagnéticas.
Variação de temperatura
Escoamento
                                Externo



 Convecção                                                        Convecção
  Forçada                                                          Natural


Cálculo do Re      Configuração            Configuração          Cálculo do Ra
(Lam ou Turb)       Geométrica              Geométrica           (Lam ou Turb)

         Condição de                                     Condição de
           Contorno:                                       Contorno:
         -Tp uniforme                                    -Tp uniforme
         - Q uniforme                                    - Q uniforme
                            Fórmula específica
                             para o Cálculo do
                                    Nu



                         Cálculo do              Cálculo do
                             h                       .
                                                     Q
Convecção forçada x natural
• Quando o movimento do fluido é gerado por um dispositivo
  externo ao sistema, a convecção é forçada.

• Caso contrário, é natural:


– Nesse caso, a transferência de calor em
si garante a fonte necessária para realizar
               o movimento.

– Essa força surge devido às diferenças de
 densidades quando se aquece o fluido.

– Normalmente não se verifica velocidade
           do fluido (U=0).                   Exemplo: Vento?
Fluxo de Calor por Convecção
• Pode ser determinado por: Lei de resfriamento de Newton

                                     Calor total transferido em [W]


  Onde h = coeficiente de transferência de calor por convecção;
  Tp= temperatura da superfície;
  T∞ = temperatura do fluido fora da camada limite.

  ou
                                     Fluxo de calor por unidade
                                          de área [W/m2]
h médio
• Desta forma, é definido um valor médio para
                    h como:
Cálculo de h
1 – Análise dimensional combinada com dados experimentais;

2 – Soluções matemáticas exatas das equações da camada-
limite;

3 – Análises aproximadas das equações da camada-limite
através de integração;

4 – Analogia entre transferência de calor e momento;

5 – Análise numérica.

* Todos os métodos possuem restrições
Análise dimensional
Cálculo de h: Equações empíricas obtidas através dos dados
experimentais com a ajuda da análise dimensional.

     Limitações:
- Não fornece informações acerca da natureza do fenômeno;
- Pouco preciso;
- Necessidade de dados experimentais;
- Necessidade de conhecer de antemão quais variáveis influenciam
o fenômeno.

    Vantagem:
         - Ampla utilizaçãoatravés de simples
                procedimentos de rotina.
Camada limite térmica
Perfil de temperatura: aquecimento e
        resfriamento do fluido
Camada limite térmica
• Caso a superfície sólida esteja a uma temperatura diferente da
  corrente livre de escoamento (fora da camada limite), uma camada
  limite térmica também será formada.

• Sua taxa de desenvolvimento e espessura são semelhantes aos da
  camada limite hidrodinâmica.

• A relação entre as camadas limite térmica e hidrodinâmica é indicada
  pelo número de Prandtl:
                                    Onde ν é a viscosidade cinemática;
                                    α é a difusividade térmica e
                                    µ viscosidade dinâmica.
                                    k condutividade térmica


• Pr de vários fluidos está tabelado (Tabela A-8 e outras).
Camada limite térmica



                          Placa Plana


                                              
• Para escoamento na camada limite laminar:       1,026 Pr1/ 3
                                              T

• Na região turbulenta:        T
Relação entre h e T
                                              Lei de Fourier




• O coeficiente de transferência de calor local é proporcional à
       condutibilidade térmica do fluido e inversamente
      proporcional à espessura da camada limite térmica.
Número de Nusselt
• O número de Nusselt é uma relação entre o gradiente de temperatura no
  fluido imediatamente em contato com a superfície e o gradiente de
  temperatura de referência (Tp-T∞)/L. É uma medida conveniente do
  coeficiente de transmissão de calor por convecção.

• Da definição de h e de camada limite térmica, pode-se escrever que:


                                                                        local




                                                                        médio
Correlações para determinar o coef. de transf.
 de calor por convecção (h) são usualmente
 expressas em termos do número de Nusselt
               local ou médio.
Número de Nusselt



• A forma exata da relação funcional vai depender da configuração
  geométrica da superfície, da natureza do escoamento e das
  condições de contorno térmicas na superfície.



• As condições de contorno térmicas usuais são:
              – Temperatura uniforme na superfície;
                   – Fluxo de calor uniforme.
Nu: Convecção Forçada
              Placa plana Isotérmica


Rex < 5x105




5x105< Rex<5x107
Nu: Convecção Forçada
Fluxo de Calor Uniforme
• Um coletor solar de 3ft de largura e 10ft de comprimento
  é montado sobre um telhado. Ar, a uma temperatura de
  60ºF escoa através da largura do coletor. O ar move-se na
  velocidade de 10mph e a superfície do coletor está na
  temperatura uniforme de 220ºF. Determine a taxa de
  transferência de calor da placa?
Analogia entre atrito e calor
• Quando Pr = 1, as camadas limite térmica e hidrodinâmica são
  idênticas, ou seja, existe uma semelhança entre a quantidade de
  movimento e de calor transferido.

• Pode haver uma relação simples entre o coef. de arrasto de atrito e
  coef. médio de transferência de calor em uma placa plana: Número
  de Stanton
            Coef. De Arrasto
Analogia entre atrito e calor
• Para o intervalo 0,6 < Pr < 60: (aumento do intervalo de aplicação)


       Gráfico:
      Figura 6.8



• Analogia de Chilton-Colburn – válida para: i) escoamento laminar
  numa placa plana e ii) escoamentos turbulentos sobre superfícies
  planas ou com curvaturas.

            • Útil para calcular coef. transferência de calor em
                   superfícies rugosas.
                       Cálculo de h através dessa relação.
• Ar, a uma temperatura média de 30ºC, escoa sobre uma
   placa plana totalmente rugosa de 1m de comprimento
  numa velocidade de 100m/s. Estime o coeficiente médio
          de transferência de calor por convecção.
• Ar, a uma temperatura média de 30ºC, escoa sobre uma
      placa plana totalmente rugosa de 1m de comprimento
     numa velocidade de 100m/s. Estime o coeficiente médio
             de transferência de calor por convecção.


                          Para o intervalo 0,6 < Pr < 60




 Gráfico:
Figura 6.8


                         Dados do ar naTab. A-8
U
Temperatura da superfície não-
           uniforme

• Exemplo 6.9;      pag 214 a 217

• Interessante para visualização do uso das fórmulas
  envolvendo “local” (em um ponto “x” da superfície)
  ao invés de “médio”, no caso do cálculo do “h” e da
    forma que aumenta a complexidade da análise
       quando a temperatura da superfície não é
                       uniforme.
Convecção natural
• Número de Grashof:
Forças de empuxo / forças viscosas

• onde: g - aceleração da gravidade
β - coeficiente de expansão volumétrica; v – viscosidade cinemática


     para gás ideal β = 1/Tf; onde Tf = (Tp+T∞)/2

  • Número de Rayleigh:

                 Pode ser visto como a razão de forças e de
     flutuabilidade e (o produto de) difusividades térmica e dinâmica.

      • Para a placa plana vertical, a transição do escoamento
            laminar para o turbulento ocorre a Rax  109
Nu: Convecção Natural
Placa Plana Isotérmica Vertical
Nu: Convecção Natural
      Placa Plana Isotérmica Horizontal




A natureza do escoamento é instável em ambos os lados da placa
Nu: Convecção Natural
Placa plana com fluxo de calor uniforme
Correlações para cilindros e esferas
                   Escoamento Forçado

             ReLc < 1           &   0,6 < Pr < 1000
Fio, cilindros e tubos:

Esferas:

   Onde o comprimento
característico Lc (Re e Nu) e
Nu0 são dados na tabela 6-5:
Correlações para cilindros e esferas
                       Escoamento Forçado
             1< ReLc < 105       &         0,6 < Pr < 1000
Escoamento Forçado: Número de Nusselt médio para outros objetos de
       formas variadas com temperatura de parede uniforme:

                                             Nulam: Eq 6.30
(Eq. 6.45)

                                             Nutur: Eq 6.37

• Onde o comprimento característico Lc
(Re e Nu) e Nu0 são dados na tabela 6-5:
                                                    (* São as mesmas fórmulas
                                                        da Placa Plana com
                                                      temperatura uniforme na
                                                             superfície)
Correlação para objetos de formas variadas –
                  Convecção Natural

     • Correlação geral para cálculo do coef. transf. Calor em
   convecção natural para objetos de formas variadas (válida para
                  regiões laminar e turbulenta):




• O comprimento característico LC (Ra e Nu) e Nu0 são dados na Tabela 6-6.
Resumos
             Convecção Natural x Forçada
    • Para cada situação haverá uma correlação específica para Nu.
     • Deve-se tomar cuidado ao se determinar os parâmetros de
                            referência pois:
      – Convecção forçada: propriedades físicas avaliadas na
               temperatura do escoamento externo.
 • Assim, Re, Pr e Nu têm seus parâmetros avaliados por Text (ou T∞)
                          Usar Text   para coletar dados na   Tabela
      – Convecção natural: propriedades físicas avaliadas na
      temperatura da película (filme), que é uma média entre a T da
                parede e a externa:       Tf = (Tp+T∞)/2
   • Assim, β, Gr e Ra têm suas propriedades avaliadas por Tf.
                    Usar Tf   para coletar dados na   Tabela
Resumos

          Regime laminar x turbulento
  • Quem irá definir se o escoamento em uma placa plana se
   encontra em uma ou outra região será o número de Reynolds
     (convecção forçada) ou o número de Rayleigh (convecção
                             natural):

– Para cada geometria há um valor de Reynolds e de Rayleigh
   diferente para definir essa transição.

• Para cada regime, laminar ou turbulento, haverá uma
  correlação específica para Nu.

      • A partir do Nu calcula-se h e finalmente Q ou q”
Resumos


 Cálculo da taxa de transferência de calor
Escoamento
                                Externo



 Convecção                                                        Convecção
  Forçada                                                          Natural


Cálculo do Re      Configuração            Configuração          Cálculo do Ra
(Lam ou Turb)       Geométrica              Geométrica           (Lam ou Turb)

         Condição de                                     Condição de
           Contorno:                                       Contorno:
         -Tp uniforme                                    -Tp uniforme
         - Q uniforme                                    - Q uniforme
                            Fórmula específica
                             para o Cálculo do
                                    Nu



                         Cálculo do              Cálculo do
                             h                       .
                                                     Q
Resumos




                                     Laminar




                                      Turbulento




          T: Temperatura Uniforme.
          Q: Calor Uniforme.
Resumos




              *

             **

          * Quente em cima, Frio em baixo.
          ** Frio em baixo, Quente em cima.
Resumos




          Laminar


           Turbulento
• A superfície das paredes de um fogão de cozinha encontram-
   se na temperatura de 37,5ºC enquanto que a temperatura
   do forno está a 200ºC. O fogão tem 0,75m de altura e suas
  paredes tem 0,7m de largura. Se a temperatura do ar for de
   17,5ºC calcule a quantidade de calor perdida pelas laterais
                            do fogão.

                • Resolução pág 223 do livro
Resumos
          Grupos Adimensionais
Resumos

                    Propriedades avaliadas em T                    Transição:
                                                                5.103 < Re < 5.105

   Rex < 5.105

                                                                           2            2
                                                               Nu  Nu     lam    Nu   tur



5.105 < Rex < 107
                                                             Expressão para valor médio
                                                                   de Nu somente
                              Propriedades avaliadas em Tf    válida se 0,5 < Pr < 2000

    Rax  109

                                                               Transição de laminar para
                                                             turbulento ocorre a Rax  109



                                L = área/perímetro
Resumos




          Quando Turbulento:
               Eq 6.37
Resumos
Resumos
• Exercício 2: Um lâmpada de 40W, de 10 cm de diâmetro,
  instalada externamente está exposta ao ar que está a 14oC e
  na velocidade de 5m/s. Foi observado que a temperatura de
  sua superfície mantém-se aproximadamente em 36oC. Estime
  a taxa de perda de calor por convecção do bulbo considerando
  que a lâmpada seja esférica.
• Exercício 2: Um lâmpada de 40W, de 10 cm de diâmetro, instalada
  externamente está exposta ao ar que está a 14oC e na velocidade de 5m/s.
  Foi observado que a temperatura de sua superfície mantém-se
  aproximadamente em 36oC. Estime a taxa de perda de calor por convecção
  do bulbo considerando que a lâmpada seja esférica.
• Exercício 5: Um condutor elétrico tem a forma de um cilindro
  com diâmetro D = 25 mm e comprimento igual a 1 m. Ele é
  posicionado na horizontal e a temperatura de sua superfície
  igual a 60oC, enquanto que o ar que o circunda tem
  temperatura de 20oC. Determine a potência em W dissipada
  pelo condutor no ambiente. Utilize a relação proposta onde a
  dimensão característica L é o próprio diâmetro D.
• Exercício 3: Um condutor elétrico tem a forma de um cilindro
  com diâmetro D = 25 mm e comprimento igual a 1 m. Ele é
  posicionado na horizontal e a temperatura de sua superfície
  igual a 60oC, enquanto que o ar que o circunda tem
  temperatura de 20oC. Determine a potência em W dissipada
  pelo condutor no ambiente. Utilize a relação proposta onde a
  dimensão característica L é o próprio diâmetro D.
Exercícios propostos
6.18 ; 6.12 ; 6.24 ; 6.25 ; 6.34 ; 6.38 ; 6.39

Capítulo 6

  • 1.
    Capítulo 6: EscoamentoExterno Efeitos Viscosos e Térmicos
  • 2.
    Conceitos fundamentais • Arrasto total • Arrasto viscoso e de pressão • Transferência de calor
  • 3.
    Fluido •É qualquer substância que se deforma continuamente quando submetido a uma tensão de cisalhamento, ou seja, ele escoa. Tensão de cisalhamento: Age tangencialmente à superfície do material. • Fluidos existem como líquido (água, gasolina), gás (ar, hidrogênio) e como uma combinação de líquido e gás (vapor úmido).
  • 4.
    Propriedades de umfluido • São várias as propriedades que permitem distinguir os fluidos e que são independentes do seu movimento: – Densidade; – Pressão de vapor; – Tensão superficial (atração molecular de um líquido próximo de uma superfície ou outro fluido); – Velocidade do som (velocidade na qual a onda acústica se movimenta no fluido).
  • 5.
    Fluidos incompressíveis x compressíveis • Fluidos compressíveis – São aqueles que apresentam variação na densidade quando escoam: usualmente os gases. • Fluidos incompressíveis – São aqueles que não apresentam variação da densidade quando escoam (densidade constante ao longo do escoamento): usualmente líquidos e alguns gases. • Neste curso serão considerados apenas os fluidos incompressíveis.
  • 6.
    Escoamento incompressível x compressível • A diferença entre o escoamento incompressível e compressível pode ser verificado através do número de Mach: • Onde V é a velocidade do fluido e c é a velocidade do som. • Esta equação permite determinar qual o escoamento de um fluido.
  • 7.
    Escoamento incompressível xcompressível • Gases: – Se M < 0,3 ⇒ escoamento é incompressível. – Se M > 0,3⇒ escoamento é compressível. – M = 1,0 ⇒ escoamento é crítico (barreira do som no vôo de aeronaves). – Se M > 1,0 ⇒ escoamento é supersônico. • Líquidos: o escoamento será incompressível pois a velocidade de som dos líquidos é muito grande: – Ex: Velocidade do som na água é cerca de 1.500 m/s.
  • 8.
    Escoamento incompressível xcompressível • Escoamentos incompressíveis de gases: – Escoamentos de ar em sistemas de ar condicionado e de aquecimento; – Escoamentos em torno de automóveis; – Escoamento de ar em volta de edifícios. • Escoamentos compressíveis de gases – Aerodinâmica de aeronaves de alta velocidade; – Escoamento de ar através de turbinas a jato; – Escoamento de vapor através de uma turbina em usinas termoelétricas.
  • 9.
    Movimento de umfluido • Pode ser analisado segundo duas descrições: Lagrangiana: é a descrição de movimento na qual as partículas individuais são observadas em função do tempo. – Torna-se uma tarefa bastante difícil quando o número de partículas é muito grande, como no escoamento de um fluido. Euleriana: é a descrição de movimento na qual as propriedades de escoamento (como a velocidade) são funções do espaço e do tempo. – A região de escoamento considerada é o campo de escoamento.
  • 10.
    Campo de escoamento •É uma representação do movimento do fluido no espaço em diferentes instantes. • A propriedade que descreve o campo de escoamento é a velocidade. • A velocidade tem componentes nas três coordenadas cartesianas (x, y, z) e pode variar com o tempo. • Assim, o campo de escoamento é como uma fotografia do movimento do conjunto de partículas e suas velocidades no instante t.
  • 11.
    Campo de escoamento •Linhas de corrente: definidas como a linha contínua que é tangente aos vetores velocidade ao longo do escoamento num dado instante t. • As linhas de corrente são sempre paralelas ao escoamento.
  • 12.
    Escoamento externo Xinterno • Escoamento externo é aquele que ocorre externamente a uma superfície sólida, onde o fluido está em contato com uma única fronteira sólida; • Escoamento interno é aquele que possui fronteiras limitando o campo de escoamento;
  • 13.
    Escoamento Interno No escoamento interno, os efeitos viscosos causam perdas energéticas substanciais e são responsáveis por grande parte da energia necessária para transportar óleo e gás em tubulações.
  • 14.
    Força externa totalno VC • A força externa total atuando em um VC é:
  • 15.
    Tensão de cisalhamento •Ao encontrar uma fronteira sólida, o fluido se deforma devido à aplicação de forças de cisalhamento (que agem paralelamente às superfícies do fluido). • Enquanto esta força estiver atuando, o fluido continuará se deformando. • Esta força é resultado de uma tensão (de cisalhamento) agindo sobre o fluido, que exerce uma oposição ao movimento do fluido. • Energia deve ser fornecida para vencer esta resistência e manter o escoamento.
  • 16.
    Tensão de cisalhamento •Existem fluidos em que a relação entre a tensão de cisalhamento e a taxa de deformação é linear e pode ser expressa por:
  • 17.
    Tensão de cisalhamento •A taxa de deformação é proporcional à variação da velocidade do fluido na direção normal ao escoamento. • A taxa de deformação é diferente para diferentes fluidos.
  • 18.
    Viscosidade dinâmica • Éuma propriedade intensiva, também conhecida como viscosidade absoluta. • Como relaciona tensão de cisalhamento e velocidade local está diretamente associada com o transporte de momento e portanto é uma propriedade de transporte. • No SI : N.s/m2 • Apresenta valores tabelados variando com a temperatura e da pressão: – Varia muito com a temperatura e pouco com a pressão.
  • 20.
    Fluidos newtonianos Xnão newtonianos • Quando existe a relação linear entre a tensão de cisalhamento e a taxa de deformação resultante, os fluidos são chamados de newtonianos: – Água, óleos, etc. • Neste caso a expressão para determinar a tensão de cisalhamento é válida. Nesse curso só trabalharemos com fluidos newtonianos. • Quando o fluido não apresenta uma relação linear entre a tensão de cisalhamento e a taxa de deformação são conhecidos como fluidos não newtonianos: • – Pastas de dentes, tintas, ketchup, etc.
  • 22.
    Gradiente de velocidade •Devido o princípio da aderência (ou do não escorregamento) o fluido em contato com uma superfície sólida (por exemplo uma mesa) possui a velocidade da superfície. • Na medida em que afasta da parede, a velocidade do fluido relativa à parede aumenta, variando desde a velocidade da superfície (zero) até um valor máximo finito (U). • Essa variação de velocidade é chamado de perfil de velocidade ou gradiente de velocidade. • A tensão de cisalhamento age no sentido de resistir ao movimento do fluido, sendo máxima na superfície onde não existe movimento relativo.
  • 24.
    Camada Limite • Éuma camada relativamente fina onde os efeitos das tensões viscosas de cisalhamento são preponderantes (ou seja, o escoamento é viscoso). • Logo, é na camada limite que existe o gradiente de velocidade. • A espessura da camada limite, δ, corresponde a distância a partir da qual o valor da velocidade do fluido corresponde a uma fração da velocidade a montante U. • Logo: u = 0 em y = 0 • u = 0,99 U em y = δ
  • 26.
    Fora da camadalimite • Fora da camada limite o fluido escoa com velocidade U, paralela à superfície sólida, como se ela não existisse. • Por isto, fora da camada limite os efeitos viscosos são desprezíveis e o escoamento pode ser tratado como sem viscosidade ou invíscido (τx = 0). • Nesta extremidade da camada limite em que o escoamento é não-viscoso, a equação de Bernoulli pode ser válida.
  • 28.
    Escoamento na camadalimite • Experimentos mostram que existem dois regimes de escoamento na camada limite: laminar e turbulento. • Escoamento laminar: fortemente ordenado – As partículas mantém seu padrão de comportamento; – O mecanismo de difusão é somente o molecular; – O escoamento se processa na forma de “lâminas” sobrepostas. • Escoamento turbulento: fortemente desordenado – As partículas não apresentam um padrão de comportamento; – O mecanismo de difusão não é somente o molecular; – Ocorre difusão devido ao movimento desordenado das partículas – choques.
  • 29.
    Laminar x Turbulento
  • 30.
    Escoamento na camadalimite • Os regimes de escoamento laminar e turbulento podem ser caracterizados considerando-se a relação entre a força de inércia numa partícula fluida e a força viscosa agindo nessa partícula fluida. • Essa relação é adimensional e é conhecida como Número de Reynolds (Re).
  • 31.
    Escoamento na camadalimite • O regime de escoamento depende de três parâmetros físicos: • 1- Escala de comprimento do campo de escoamento: L – Como por exemplo o comprimento da placa, o diâmetro de um duto, etc.. – Se essa escala de comprimento é suficientemente grande, o distúrbio de escoamento pode aumentar, tornando-o turbulento. • 2- Escala de velocidade: U – Para uma velocidade suficientemente alta, o escoamento pode ser turbulento.
  • 32.
    • 3- Viscosidadecinemática: v - razão entre a viscosidade dinâmica e a densidade: • A viscosidade alta tende a amortecer as perturbações, dissipando sua energia, evitando o movimento desordenado. – Para uma viscosidade cinemática relativamente pequena, o escoamento pode ser turbulento.
  • 33.
    Escoamento na camadalimite • A combinação dos parâmetros comprimento, velocidade e densidade referem-se à força inercial numa partícula fluida. • A combinação dos parâmetros comprimento, velocidade e viscosidade referem-se à força viscosa agindo nesta partícula fluida. • Estes parâmetros podem ser combinados em um único parâmetro, conhecido como Número de Reynolds:
  • 34.
    Número de Reynolds •Existe um valor crítico de Re acima do qual o escoamento será turbulento e abaixo do qual será laminar. • Este valor é conhecido como número de Reynolds de transição ou crítico.
  • 35.
  • 37.
    Escoamento na camadalimite • Na camada limite a pressão é constante ao longo da sua espessura: Py=0 = Py=δ • Na extremidade da camada limite o escoamento é não- viscoso e Equação de Bernoulli pode ser válida. Assim, a pressão Py=δ pode ser encontrada caso a velocidade U na região não-viscosa seja conhecida:
  • 38.
    Escoamento na camadalimite • A variação da pressão na direção do escoamento é conhecida caso a variação da velocidade U na direção x também seja conhecida. • O termo dP/dx é chamado de gradiente de pressão do escoamento. • Para o caso do escoamento próximo à superfície sólida, dU/dx = 0 e o gradiente de pressão é zero.
  • 39.
    Escoamento em regime permanente X transiente • No escoamento em regime permanente não há alteração das propriedades da partícula ao longo do tempo. – Logo, as quantidades de interesse no escoamento de um fluido (como por exemplo velocidade, pressão e densidade) são independentes do tempo. • No escoamento em regime transiente as propriedades da partícula se alteram ao longo do tempo.
  • 40.
    Escoamento natural Xforçado • Natural: quando forças naturais (gravidade) movimentam o fluido e normalmente não há velocidade de movimento (U=0). • Forçado: quando há uma fonte de energia externa que promove o movimento do fluido, havendo uma velocidade do fluido.
  • 41.
    Escoamento de umfluido - RESUMO • Escoamento incompressível e compressível; • Escoamento externo e interno; • Escoamento laminar e turbulento; • Escoamento viscoso e não-viscoso; • Escoamento em regime permanente e transiente; • Escoamento natural e forçado.
  • 42.
    Recr em placasplanas • Experimentos realizados em uma placa plana lisa indicaram que o valor crítico de Re, baseado na distância ao longo da placa (a contar da borda do ataque) é aproximadamente 5 x 105. • Caso a superfície da placa seja rugosa, o valor de Recr estará no intervalo 8 x 103 – 5 x 105.
  • 43.
    Escoamento externo • Amedida que um fluido escoa ao passar por uma placa plana, o atrito exerce seu efeito de duas maneiras: • Uma é a aplicação direta de uma força de atrito (viscosa) causada pela tensão de cisalhamento atuando sobre esta placa ⇒ associado ao chamado arrasto viscoso ou de atrito. • A outra está relacionada ao fato de os efeitos do atrito no fluido que escoa poderem alterar drasticamente o percurso do fluido em torno da placa plana. Estes efeitos causam uma queda de pressão irreversível na direção do escoamento (a pressão na parte posterior da placa é menor que na parte frontal) ⇒ associado ao arrasto de pressão ou de forma. • O arrasto total sobre a fronteira do VC é a combinação do arrasto de atrito com o de pressão.
  • 44.
    Arrasto viscoso oude atrito • É o resultado do efeito da camada limite: – É originário dos efeitos viscosos, associados à tensão de cisalhamento, atuantes nas paredes sólidas. • A tensão de cisalhamento age no sentido de resistir ao movimento do fluido, ou seja, no sentido oposto a deslocamento no eixo x, e quando multiplicada pela área apropriada, resulta na força viscosa. • Assim, esta força viscosa agirá SEMPRE no sentido de se opor ao movimento. • Quando define-se o VC e a sua superfície coincide com a superfície sólida, surge uma reação à esta tensão sobre esta superfície sólida, na direção positiva do deslocamento no eixo x, e oposta à direção da força viscosa sobre o fluido. • Essa força de reação é chamada de força de arrasto viscosa.
  • 45.
    Arrasto viscoso oude atrito • A tensão de cisalhamento é determinada pela viscosidade e pelo gradiente de velocidades. • Devido as dificuldades de se determinar o gradiente de velocidades, pode-se determinar a tensão por meio do coeficiente de atrito de Fanno (Cf): • Existem Cf tabelados para alguns objetos e para a camada limite laminar e a camada limite turbulenta. • Muitas vezes, o Cf se obtém a partir da relação com o Re. Tais relações são tabeladas para diversos tipos de objetos.
  • 46.
    Arrasto viscoso oude atrito • A força de arrasto viscosa (Df) é determinada considerando que a força de arrasto de pressão é nula. • Logo, Df é obtida pela multiplicação da tensão pela área do objeto: • Existe uma expressão que permite determinar o arrasto de atrito para uma placa plana lisa tanto para a camada limite laminar quanto para a turbulenta. Esta expressão utiliza o coeficiente médio de atrito:
  • 47.
  • 49.
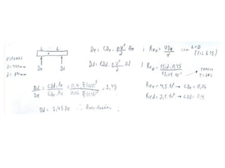
    • Uma placaplana lisa tem comprimento L= 0,75m. A placa deve ser testada em ar e água, ambos com velocidade U=4,5 m/s. A temperatura do ar e da água é de 20 oC e a pressão igual a pressão atmosférica. Determine se o escoamento no final da placa é laminar ou turbulento para cada fluido e a velocidade do ar necessária para tornar os escoamentos semelhantes.
  • 50.
    U = 4,5m/s L = 0,75 m
  • 51.
  • 54.
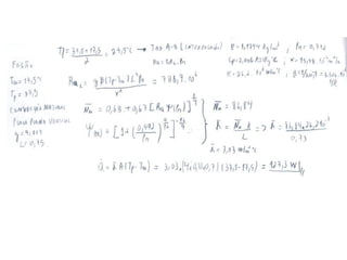
    • Determine oarrasto, por unidade de largura, devido ao atrito (DF) na placa plana lisa descrita no exemplo anterior e a espessura da camada limite na extremidade final da placa quando for testada em ar e água.
  • 55.
    A= b xL L b Cf = ?
  • 56.
    L b Ar Ar Água Água
  • 57.
  • 59.
  • 62.
    Troca-se L porxcr na fórmula do Re
  • 66.
  • 67.
    Arrasto de Pressão •Em grande parte das situações existe um gradiente de pressão na direção do escoamento do fluido. • Conhecendo-se a área, haverá uma força de arrasto associado ao gradiente de pressão. • O arrasto devido à pressão apresenta uma total dependência do formato do corpo, sendo por isso denominado também de arrasto de forma. Isso se dá, porque seu valor é atribuído de acordo com as distribuições de pressão ao longo da geometria submetida ao escoamento.
  • 68.
    Arrasto de Pressão •O arrasto de pressão vai contribuir para a resistência total sofrida pelo fluido e resultará num fenômeno chamado de separação do escoamento ou deslocamento da camada limite. • No descolamento existe um gradiente de pressão entre a região frontal de estagnação (alta pressão) e a região do descolamento (baixa pressão).
  • 69.
  • 70.
    Separação do escoamento •Nos bocais: – A velocidade U do fluido está crescendo na direção do escoamento, dU/dx > 0; – Isto significa que o gradiente de pressão na direção do escoamento é negativo, dP/dx <0; – Assim a força de pressão resultante no fluido age de forma favorável, na direção do escoamento.
  • 71.
    Separação do escoamento •Nos difusores: – A velocidade U está decrescendo na direção do escoamento, dU/dx < 0; – O gradiente de pressão é positivo, dP/dx > 0; – E a resultante força de pressão age retardando o escoamento. – Este gradiente de pressão é chamado de gradiente de pressão adverso. Isto quer dizer que a quantidade de movimento do fluido está decrescendo e o fluido próximo à superfície pode ser levado ao repouso numa distância qualquer a partir da parede (u=0, y>0). – Quando isto ocorre, o escoamento se separa.
  • 73.
    Separação do escoamento •Uma conseqüência da separação do escoamento é a formação de uma esteira oscilatória, região esta de baixa pressão. • Na esteira o fluido movimenta-se em redemoinhos e de forma alternada. • Esta separação representa uma perda de energia no fluido, reduzindo a eficiência do difusor. • A existência da separação é função do número de Reynolds.
  • 75.
    Arrasto total • Oarrasto total é soma do arrasto de atrito e de pressão: • É determinado pelo coeficiente de arrasto, definido por: • Este coeficiente apresenta-se definido para cada tipo de objeto.
  • 78.
    Vale para Cilindro– Fig 6.15 ; pág. 200 Para Esfera – Fig 6.15; pág. 199
  • 82.
    Arrasto de pressão •É obtido por aproximação a partir do arrasto total e do arrasto de atrito. • O arrasto de atrito é calculado conhecendo-se a área da superfície do objeto e o número de Reynolds do escoamento e considerando o arrasto de pressão nulo. • A diferença entre o arrasto total e o arrasto de atrito fornece o arrasto de pressão.
  • 83.
    Arrasto total emplacas planas • No caso do escoamento de um fluido ocorrer paralelo ao comprimento de uma placa plana, a contribuição do arrasto de pressão é nula pois somente os efeitos viscosos predominam. Logo, só há o arrasto de atrito. • Quando o escoamento do fluido for normal à placa plana, o arrasto por unidade de largura refere-se apenas ao arrasto de pressão, pois a tensão de cisalhamento será normal ao escoamento. Logo não há arrasto de atrito.
  • 84.
    • Um letreiroquadrado de 3 m x 3 m está pregado no topo de um poste de 10 m de altura, que tem 0,3 m de diâmetro. Calcule o momento fletor aproximado ao qual a base deverá resistir para um vento com velocidade de 30 m/s.
  • 85.
    . . b1 bp
  • 86.
    . . b1 bp
  • 87.
    . Projeção . b1 bp
  • 88.
    Força de sustentação •Além da força de arrasto de pressão, que é a componente no eixo x do escoamento, existe uma força na componente no eixo y chamada de força de sustentação. • Um exemplo desta força corresponde ao deslocamento em regime permanente de uma aeronave. • Neste caso, a força de sustentação deve ser equilibrada pelo peso da aeronave.
  • 89.
    Força de arrasto •A redução da força de arrasto é muito importante para o desenvolvimento de aviões, caminhões e automóveis mais econômicos. • O arrasto total multiplicado pela velocidade de tráfego gera a potência necessária para vencer os efeitos viscosos e de pressão e equivale a uma parcela significativa da potência total que deve ser produzida pelo motor do veículo. • Por isto, várias pesquisas vêm sendo desenvolvidas para determinar métodos de redução de arrasto para diferentes objetos em movimento.
  • 91.
    Tabela A-8: dadosar a T= -30ºC d) Potência = Força x velocidade . W = Dt x U a) U= 160km/h = 44,4m/s Re= UL/v = 44,4 x 36 / 10,81 x 10-6 = 148 x 106 Para item a: Tab 6.4: Elipsóide 4:1 ; d=9; L= 36 . L/d=4 Cd=0,041 W = 84 x 44,4 = 3729,3 W a) Para o item c : Dt = 0,041 x 1,4518 x 44,2/2 x 3,14 x 92/4 . W= 73,6 x 38,88 = 2561,56 W Dt = 84N c) U = 140km/h = 38,88 (Re na mesma faixa do item “a”, portanto, mesmo Cd Dt = 0,041 x 1,4518 x 38,88/2 x 3,14 x 92/4 Dt = 73,6 N
  • 94.
    Transferência de Calor •Condução – É a energia que está sendo transferida através de uma substância (sólido ou fluido) em função do gradiente de temperatura dentro da própria substância. • Convecção – É a energia transferida entre um fluido e uma superfície sólida em função do movimento do fluido. Pode ser:  Natural ou forçada. • Radiação – É a energia transferida por ondas eletromagnéticas.
  • 95.
  • 96.
    Escoamento Externo Convecção Convecção Forçada Natural Cálculo do Re Configuração Configuração Cálculo do Ra (Lam ou Turb) Geométrica Geométrica (Lam ou Turb) Condição de Condição de Contorno: Contorno: -Tp uniforme -Tp uniforme - Q uniforme - Q uniforme Fórmula específica para o Cálculo do Nu Cálculo do Cálculo do h . Q
  • 97.
    Convecção forçada xnatural • Quando o movimento do fluido é gerado por um dispositivo externo ao sistema, a convecção é forçada. • Caso contrário, é natural: – Nesse caso, a transferência de calor em si garante a fonte necessária para realizar o movimento. – Essa força surge devido às diferenças de densidades quando se aquece o fluido. – Normalmente não se verifica velocidade do fluido (U=0). Exemplo: Vento?
  • 98.
    Fluxo de Calorpor Convecção • Pode ser determinado por: Lei de resfriamento de Newton Calor total transferido em [W] Onde h = coeficiente de transferência de calor por convecção; Tp= temperatura da superfície; T∞ = temperatura do fluido fora da camada limite. ou Fluxo de calor por unidade de área [W/m2]
  • 99.
    h médio • Destaforma, é definido um valor médio para h como:
  • 100.
    Cálculo de h 1– Análise dimensional combinada com dados experimentais; 2 – Soluções matemáticas exatas das equações da camada- limite; 3 – Análises aproximadas das equações da camada-limite através de integração; 4 – Analogia entre transferência de calor e momento; 5 – Análise numérica. * Todos os métodos possuem restrições
  • 101.
    Análise dimensional Cálculo deh: Equações empíricas obtidas através dos dados experimentais com a ajuda da análise dimensional. Limitações: - Não fornece informações acerca da natureza do fenômeno; - Pouco preciso; - Necessidade de dados experimentais; - Necessidade de conhecer de antemão quais variáveis influenciam o fenômeno. Vantagem: - Ampla utilizaçãoatravés de simples procedimentos de rotina.
  • 102.
  • 103.
    Perfil de temperatura:aquecimento e resfriamento do fluido
  • 104.
    Camada limite térmica •Caso a superfície sólida esteja a uma temperatura diferente da corrente livre de escoamento (fora da camada limite), uma camada limite térmica também será formada. • Sua taxa de desenvolvimento e espessura são semelhantes aos da camada limite hidrodinâmica. • A relação entre as camadas limite térmica e hidrodinâmica é indicada pelo número de Prandtl: Onde ν é a viscosidade cinemática; α é a difusividade térmica e µ viscosidade dinâmica. k condutividade térmica • Pr de vários fluidos está tabelado (Tabela A-8 e outras).
  • 105.
    Camada limite térmica Placa Plana  • Para escoamento na camada limite laminar:  1,026 Pr1/ 3 T • Na região turbulenta:   T
  • 106.
    Relação entre he T Lei de Fourier • O coeficiente de transferência de calor local é proporcional à condutibilidade térmica do fluido e inversamente proporcional à espessura da camada limite térmica.
  • 107.
    Número de Nusselt •O número de Nusselt é uma relação entre o gradiente de temperatura no fluido imediatamente em contato com a superfície e o gradiente de temperatura de referência (Tp-T∞)/L. É uma medida conveniente do coeficiente de transmissão de calor por convecção. • Da definição de h e de camada limite térmica, pode-se escrever que: local médio Correlações para determinar o coef. de transf. de calor por convecção (h) são usualmente expressas em termos do número de Nusselt local ou médio.
  • 108.
    Número de Nusselt •A forma exata da relação funcional vai depender da configuração geométrica da superfície, da natureza do escoamento e das condições de contorno térmicas na superfície. • As condições de contorno térmicas usuais são: – Temperatura uniforme na superfície; – Fluxo de calor uniforme.
  • 109.
    Nu: Convecção Forçada Placa plana Isotérmica Rex < 5x105 5x105< Rex<5x107
  • 110.
  • 111.
    • Um coletorsolar de 3ft de largura e 10ft de comprimento é montado sobre um telhado. Ar, a uma temperatura de 60ºF escoa através da largura do coletor. O ar move-se na velocidade de 10mph e a superfície do coletor está na temperatura uniforme de 220ºF. Determine a taxa de transferência de calor da placa?
  • 113.
    Analogia entre atritoe calor • Quando Pr = 1, as camadas limite térmica e hidrodinâmica são idênticas, ou seja, existe uma semelhança entre a quantidade de movimento e de calor transferido. • Pode haver uma relação simples entre o coef. de arrasto de atrito e coef. médio de transferência de calor em uma placa plana: Número de Stanton Coef. De Arrasto
  • 114.
    Analogia entre atritoe calor • Para o intervalo 0,6 < Pr < 60: (aumento do intervalo de aplicação) Gráfico: Figura 6.8 • Analogia de Chilton-Colburn – válida para: i) escoamento laminar numa placa plana e ii) escoamentos turbulentos sobre superfícies planas ou com curvaturas. • Útil para calcular coef. transferência de calor em superfícies rugosas. Cálculo de h através dessa relação.
  • 115.
    • Ar, auma temperatura média de 30ºC, escoa sobre uma placa plana totalmente rugosa de 1m de comprimento numa velocidade de 100m/s. Estime o coeficiente médio de transferência de calor por convecção.
  • 116.
    • Ar, auma temperatura média de 30ºC, escoa sobre uma placa plana totalmente rugosa de 1m de comprimento numa velocidade de 100m/s. Estime o coeficiente médio de transferência de calor por convecção. Para o intervalo 0,6 < Pr < 60 Gráfico: Figura 6.8 Dados do ar naTab. A-8
  • 117.
  • 118.
    Temperatura da superfícienão- uniforme • Exemplo 6.9; pag 214 a 217 • Interessante para visualização do uso das fórmulas envolvendo “local” (em um ponto “x” da superfície) ao invés de “médio”, no caso do cálculo do “h” e da forma que aumenta a complexidade da análise quando a temperatura da superfície não é uniforme.
  • 119.
    Convecção natural • Númerode Grashof: Forças de empuxo / forças viscosas • onde: g - aceleração da gravidade β - coeficiente de expansão volumétrica; v – viscosidade cinemática  para gás ideal β = 1/Tf; onde Tf = (Tp+T∞)/2 • Número de Rayleigh: Pode ser visto como a razão de forças e de flutuabilidade e (o produto de) difusividades térmica e dinâmica. • Para a placa plana vertical, a transição do escoamento laminar para o turbulento ocorre a Rax  109
  • 120.
    Nu: Convecção Natural PlacaPlana Isotérmica Vertical
  • 121.
    Nu: Convecção Natural Placa Plana Isotérmica Horizontal A natureza do escoamento é instável em ambos os lados da placa
  • 122.
    Nu: Convecção Natural Placaplana com fluxo de calor uniforme
  • 123.
    Correlações para cilindrose esferas Escoamento Forçado ReLc < 1 & 0,6 < Pr < 1000 Fio, cilindros e tubos: Esferas: Onde o comprimento característico Lc (Re e Nu) e Nu0 são dados na tabela 6-5:
  • 124.
    Correlações para cilindrose esferas Escoamento Forçado 1< ReLc < 105 & 0,6 < Pr < 1000 Escoamento Forçado: Número de Nusselt médio para outros objetos de formas variadas com temperatura de parede uniforme: Nulam: Eq 6.30 (Eq. 6.45) Nutur: Eq 6.37 • Onde o comprimento característico Lc (Re e Nu) e Nu0 são dados na tabela 6-5: (* São as mesmas fórmulas da Placa Plana com temperatura uniforme na superfície)
  • 125.
    Correlação para objetosde formas variadas – Convecção Natural • Correlação geral para cálculo do coef. transf. Calor em convecção natural para objetos de formas variadas (válida para regiões laminar e turbulenta): • O comprimento característico LC (Ra e Nu) e Nu0 são dados na Tabela 6-6.
  • 126.
    Resumos Convecção Natural x Forçada • Para cada situação haverá uma correlação específica para Nu. • Deve-se tomar cuidado ao se determinar os parâmetros de referência pois: – Convecção forçada: propriedades físicas avaliadas na temperatura do escoamento externo. • Assim, Re, Pr e Nu têm seus parâmetros avaliados por Text (ou T∞) Usar Text para coletar dados na Tabela – Convecção natural: propriedades físicas avaliadas na temperatura da película (filme), que é uma média entre a T da parede e a externa: Tf = (Tp+T∞)/2 • Assim, β, Gr e Ra têm suas propriedades avaliadas por Tf. Usar Tf para coletar dados na Tabela
  • 127.
    Resumos Regime laminar x turbulento • Quem irá definir se o escoamento em uma placa plana se encontra em uma ou outra região será o número de Reynolds (convecção forçada) ou o número de Rayleigh (convecção natural): – Para cada geometria há um valor de Reynolds e de Rayleigh diferente para definir essa transição. • Para cada regime, laminar ou turbulento, haverá uma correlação específica para Nu. • A partir do Nu calcula-se h e finalmente Q ou q”
  • 128.
    Resumos Cálculo dataxa de transferência de calor
  • 129.
    Escoamento Externo Convecção Convecção Forçada Natural Cálculo do Re Configuração Configuração Cálculo do Ra (Lam ou Turb) Geométrica Geométrica (Lam ou Turb) Condição de Condição de Contorno: Contorno: -Tp uniforme -Tp uniforme - Q uniforme - Q uniforme Fórmula específica para o Cálculo do Nu Cálculo do Cálculo do h . Q
  • 130.
    Resumos Laminar Turbulento T: Temperatura Uniforme. Q: Calor Uniforme.
  • 131.
    Resumos * ** * Quente em cima, Frio em baixo. ** Frio em baixo, Quente em cima.
  • 132.
    Resumos Laminar Turbulento
  • 133.
    • A superfíciedas paredes de um fogão de cozinha encontram- se na temperatura de 37,5ºC enquanto que a temperatura do forno está a 200ºC. O fogão tem 0,75m de altura e suas paredes tem 0,7m de largura. Se a temperatura do ar for de 17,5ºC calcule a quantidade de calor perdida pelas laterais do fogão. • Resolução pág 223 do livro
  • 135.
    Resumos Grupos Adimensionais
  • 136.
    Resumos Propriedades avaliadas em T Transição: 5.103 < Re < 5.105 Rex < 5.105 2 2 Nu  Nu lam  Nu tur 5.105 < Rex < 107 Expressão para valor médio de Nu somente Propriedades avaliadas em Tf válida se 0,5 < Pr < 2000 Rax  109 Transição de laminar para turbulento ocorre a Rax  109 L = área/perímetro
  • 137.
    Resumos Quando Turbulento: Eq 6.37
  • 138.
  • 139.
  • 140.
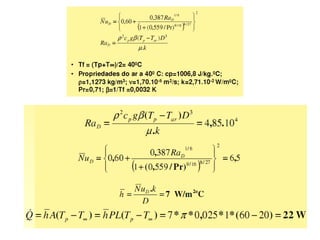
    • Exercício 2:Um lâmpada de 40W, de 10 cm de diâmetro, instalada externamente está exposta ao ar que está a 14oC e na velocidade de 5m/s. Foi observado que a temperatura de sua superfície mantém-se aproximadamente em 36oC. Estime a taxa de perda de calor por convecção do bulbo considerando que a lâmpada seja esférica.
  • 141.
    • Exercício 2:Um lâmpada de 40W, de 10 cm de diâmetro, instalada externamente está exposta ao ar que está a 14oC e na velocidade de 5m/s. Foi observado que a temperatura de sua superfície mantém-se aproximadamente em 36oC. Estime a taxa de perda de calor por convecção do bulbo considerando que a lâmpada seja esférica.
  • 144.
    • Exercício 5:Um condutor elétrico tem a forma de um cilindro com diâmetro D = 25 mm e comprimento igual a 1 m. Ele é posicionado na horizontal e a temperatura de sua superfície igual a 60oC, enquanto que o ar que o circunda tem temperatura de 20oC. Determine a potência em W dissipada pelo condutor no ambiente. Utilize a relação proposta onde a dimensão característica L é o próprio diâmetro D.
  • 145.
    • Exercício 3:Um condutor elétrico tem a forma de um cilindro com diâmetro D = 25 mm e comprimento igual a 1 m. Ele é posicionado na horizontal e a temperatura de sua superfície igual a 60oC, enquanto que o ar que o circunda tem temperatura de 20oC. Determine a potência em W dissipada pelo condutor no ambiente. Utilize a relação proposta onde a dimensão característica L é o próprio diâmetro D.
  • 147.
    Exercícios propostos 6.18 ;6.12 ; 6.24 ; 6.25 ; 6.34 ; 6.38 ; 6.39