Revisão e Exercícios P3
Escoamento interno
• O fluido está completamente confinado por uma superfície
  sólida.
• Representa o escoamento de um fluido em um duto ou tubo.
• Assim como no escoamento externo, no interno há dois
  regimes distintos: Recr = 2300
                    – Laminar: Re < 2300
                   – Turbulento: Re > 2300
• Nesse caso o número de Reynolds é ligeiramente distinto,
  sendo definido como:
                                        Sendo “D” o diâmetro
                                           interno do tubo
Perda de carga (hL)
• Representa as perdas irreversíveis de energia do escoamento:
  – Quando o fluido se dirige de um ponto ao outro da tubulação.
• Sua origem é o atrito que a parede da tubulação exerce sobre o
  fluido.
• Reflete em uma variação de pressão ao longo do escoamento.
• A perda de carga pode estar distribuída (hf) ao longo de toda
  tubulação e/ou localizada (hm) em um acessório (curva, restrição,
  válvula, etc):




                                  localizada (hm)                  h
                                                       distribuída ( f)
Como Determinar
                                            hf ? Diagrama
                                            de Moody e o
                                           fator de Atrito f




Rugosidade média de tubos (hr)


                                  Atenção: Dados da
                                       Tabela
                                 em milímetros - mm
Tubulação horizontal




    Equação 7.5 para z1 = z2 =0
Fluxograma de perda de carga
Resumo
Resumo
Resumo




         Rugoso
Condução de calor unidimensional em RP



• O fluxo de calor pode ser calculado através da Lei de Fourier
                             como:



   Fluxo de
     Calor
Condução de calor unidimensional em RP
 • No caso de parede compostas, o conceito de resistência
   térmica pode ser utilizado de forma análoga a circuitos
                  elétricos série/paralelo
Resumo




         (Isolante)
Aleta finita e ponta isolada
• Analisando através do circuito térmico, a resistência térmica
  da aleta:
                                              onde N é o número de aletas
                                                  fixadas à superfície.




• A taxa de transferência de calor da aleta pode ser
  determinado como:

• Onde:
Transferência de calor: aleta finita e
            condição de convecção
• Caso exista uma condição de contorno de convecção na
  extremidade da aleta (com transferência de calor para o
  ambiente, por exemplo), o comprimento da aleta precisa ser
  alterado:


• Para o caso de uma aleta cilíndrica com diâmetro D, a correção
  do comprimento da aleta será:


• Este novo comprimento de aleta (Lc) será usado no cálculo da
  resistência térmica da aleta:
Transferência de calor: parte não aletada
Fator de forma de condução
• Considerando que a geometria contém somente DUAS superfícies
  ISOTÉRMICAS, T1 e T2, e que o material é homogêneo:




• Onde S é o fator de forma de condução e tem dimensão de
  comprimento (m).
• Comparando esta equação com a das placas planas infinitas
  (unidimensional) pode-se determinar que o seu fator de forma de
  condução é:
                                                    Tabela 8-3.
                                                Páginas 312 a 314
Resumo: Condução Transiente
• Bi <0,1     Análise Concentrada: “Corpo qualquer”

  • Unidimensional. Bi>0,1     Sólido semi-infinito: 3
   condições de contorno (Mudanças súbitas em: Ts, Q,
                 T): “Fórmulas erf (X)”

  • Unidimensional. Bi>0,1       Placa infinita , Cilindro
                   Infinito: “Gráficos”    Lc = L/2


            • Configurações multidimensionais:
                 “Produto das Tadimensionais”  Lc = L
1
2
.
Q
• Uma tubulação com vapor d’agua a 200 oC está enterrada a
4     2 m abaixo do solo (Ksolo = 41 W/moC) que está a 0oC. O
      tubo (k = 41 W/moC) tem um diâmetro interno de 20 cm,
      uma espessura de 5 mm e um coeficiente de transferência
      de calor interno de 1000 W/m2 oC. O tubo é envolto em uma
      manta isolante (K = 0,06 W/moC) com 6 cm de diâmetro.
      Determine a taxa de calor perdida por metro linear de tubo.
Tc=49,04oC
• Um processo para tratamento de um material especial deve ser avaliado. O
  material, uma esfera com raio 5 mm, encontra-se inicialmente em equilíbrio a
  400 oC no interior de um forno. O material é repentinamente removido do forno e
  submetido a um processo de resfriamento em duas etapas.

     Etapa1: resfriamento ano ar a 20oC (ha = 10 W/m2 K) por um período de tempo
     ta até que a temperatura do centro atinja um valor crítico igual a 335oC.

     Etapa 2: Resfriamento em um banho agitado de água a 20oC e hb = 600 W/m2 K.

1.    Calcule o tempo requerido para a Etapa 1 do processo de resfriamento se
      completar (ta).

2.    Calcule o tempo requerido para a Etapa 2 do processo (tb), para que o centro da
      esfera se resfriar de 335oC (condição final da Etapa 1) para 50oC.



                   As propriedades termofísicas do material são:
                      20                   3000                1000

                                             6,66
1             Lc = V/A = r/3

    Bi= h x Lc / k = 10 x 0.005 / 3 x 20 = 8,33 x 10 -4 < 0,1




    t = 3000 x 0,005 x 1000 x ln (400-20/335-20)
    t = 94s


2
     Bi= h x Lc / k = 6000 x 0.005 / 3 x 20 = 0,5 > 0,1

         Portanto não pode usar o método da Capacitância Global.
                         Problema sem solução.
Análise da 1º lei para trocadores de
                calor
Método da efetividade (ε)
• A efetividade de um trocador de calor é a razão entre a taxa
  de calor que ele troca pela máxima taxa de calor que ele
  pode trocar:



• onde Q max é igual ao produto da menor capacidade térmica
  entre os dois fluidos pela máxima diferença de temperatura
  possível no trocador de calor (entrada):
Como calcular a efetividade
• A efetividade de um trocador é uma função:
• 1. do Número de Unidades Térmicas:

• 2. da razão entre Capacidades Térmicas:

• 3. da Configuração do Trocador.

                                            * NTU: representa um índice da
                   Gráficos 7.21 a 7.26         dimensão do trocador.
                                          No projeto de um trocador de calor é
                                          necessário estabelecer condições que
                                           resultam em valores moderados de
                                          NTU, de modo a não subdimensionar
                                                nem superdimensionar o
                                                      equipamento.

Revisão e exercícios P3

  • 1.
  • 2.
    Escoamento interno • Ofluido está completamente confinado por uma superfície sólida. • Representa o escoamento de um fluido em um duto ou tubo. • Assim como no escoamento externo, no interno há dois regimes distintos: Recr = 2300 – Laminar: Re < 2300 – Turbulento: Re > 2300 • Nesse caso o número de Reynolds é ligeiramente distinto, sendo definido como: Sendo “D” o diâmetro interno do tubo
  • 3.
    Perda de carga(hL) • Representa as perdas irreversíveis de energia do escoamento: – Quando o fluido se dirige de um ponto ao outro da tubulação. • Sua origem é o atrito que a parede da tubulação exerce sobre o fluido. • Reflete em uma variação de pressão ao longo do escoamento. • A perda de carga pode estar distribuída (hf) ao longo de toda tubulação e/ou localizada (hm) em um acessório (curva, restrição, válvula, etc): localizada (hm) h distribuída ( f)
  • 4.
    Como Determinar hf ? Diagrama de Moody e o fator de Atrito f Rugosidade média de tubos (hr) Atenção: Dados da Tabela em milímetros - mm
  • 5.
    Tubulação horizontal Equação 7.5 para z1 = z2 =0
  • 6.
  • 7.
  • 8.
  • 9.
    Resumo Rugoso
  • 10.
    Condução de calorunidimensional em RP • O fluxo de calor pode ser calculado através da Lei de Fourier como: Fluxo de Calor
  • 12.
    Condução de calorunidimensional em RP • No caso de parede compostas, o conceito de resistência térmica pode ser utilizado de forma análoga a circuitos elétricos série/paralelo
  • 13.
    Resumo (Isolante)
  • 14.
    Aleta finita eponta isolada • Analisando através do circuito térmico, a resistência térmica da aleta: onde N é o número de aletas fixadas à superfície. • A taxa de transferência de calor da aleta pode ser determinado como: • Onde:
  • 15.
    Transferência de calor:aleta finita e condição de convecção • Caso exista uma condição de contorno de convecção na extremidade da aleta (com transferência de calor para o ambiente, por exemplo), o comprimento da aleta precisa ser alterado: • Para o caso de uma aleta cilíndrica com diâmetro D, a correção do comprimento da aleta será: • Este novo comprimento de aleta (Lc) será usado no cálculo da resistência térmica da aleta:
  • 16.
    Transferência de calor:parte não aletada
  • 17.
    Fator de formade condução • Considerando que a geometria contém somente DUAS superfícies ISOTÉRMICAS, T1 e T2, e que o material é homogêneo: • Onde S é o fator de forma de condução e tem dimensão de comprimento (m). • Comparando esta equação com a das placas planas infinitas (unidimensional) pode-se determinar que o seu fator de forma de condução é: Tabela 8-3. Páginas 312 a 314
  • 18.
    Resumo: Condução Transiente •Bi <0,1 Análise Concentrada: “Corpo qualquer” • Unidimensional. Bi>0,1 Sólido semi-infinito: 3 condições de contorno (Mudanças súbitas em: Ts, Q, T): “Fórmulas erf (X)” • Unidimensional. Bi>0,1 Placa infinita , Cilindro Infinito: “Gráficos” Lc = L/2 • Configurações multidimensionais: “Produto das Tadimensionais” Lc = L
  • 19.
  • 21.
  • 24.
  • 26.
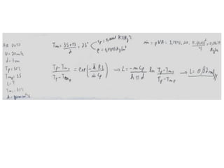
    • Uma tubulaçãocom vapor d’agua a 200 oC está enterrada a 4 2 m abaixo do solo (Ksolo = 41 W/moC) que está a 0oC. O tubo (k = 41 W/moC) tem um diâmetro interno de 20 cm, uma espessura de 5 mm e um coeficiente de transferência de calor interno de 1000 W/m2 oC. O tubo é envolto em uma manta isolante (K = 0,06 W/moC) com 6 cm de diâmetro. Determine a taxa de calor perdida por metro linear de tubo.
  • 30.
  • 31.
    • Um processopara tratamento de um material especial deve ser avaliado. O material, uma esfera com raio 5 mm, encontra-se inicialmente em equilíbrio a 400 oC no interior de um forno. O material é repentinamente removido do forno e submetido a um processo de resfriamento em duas etapas. Etapa1: resfriamento ano ar a 20oC (ha = 10 W/m2 K) por um período de tempo ta até que a temperatura do centro atinja um valor crítico igual a 335oC. Etapa 2: Resfriamento em um banho agitado de água a 20oC e hb = 600 W/m2 K. 1. Calcule o tempo requerido para a Etapa 1 do processo de resfriamento se completar (ta). 2. Calcule o tempo requerido para a Etapa 2 do processo (tb), para que o centro da esfera se resfriar de 335oC (condição final da Etapa 1) para 50oC. As propriedades termofísicas do material são: 20 3000 1000 6,66
  • 32.
    1 Lc = V/A = r/3 Bi= h x Lc / k = 10 x 0.005 / 3 x 20 = 8,33 x 10 -4 < 0,1 t = 3000 x 0,005 x 1000 x ln (400-20/335-20) t = 94s 2 Bi= h x Lc / k = 6000 x 0.005 / 3 x 20 = 0,5 > 0,1 Portanto não pode usar o método da Capacitância Global. Problema sem solução.
  • 33.
    Análise da 1ºlei para trocadores de calor
  • 34.
    Método da efetividade(ε) • A efetividade de um trocador de calor é a razão entre a taxa de calor que ele troca pela máxima taxa de calor que ele pode trocar: • onde Q max é igual ao produto da menor capacidade térmica entre os dois fluidos pela máxima diferença de temperatura possível no trocador de calor (entrada):
  • 35.
    Como calcular aefetividade • A efetividade de um trocador é uma função: • 1. do Número de Unidades Térmicas: • 2. da razão entre Capacidades Térmicas: • 3. da Configuração do Trocador. * NTU: representa um índice da Gráficos 7.21 a 7.26 dimensão do trocador. No projeto de um trocador de calor é necessário estabelecer condições que resultam em valores moderados de NTU, de modo a não subdimensionar nem superdimensionar o equipamento.