Capítulo 4: Análise de
Sistemas - 1ª e 2ª Leis da
     Termodinâmica
        Aula 7 a 10
Sistemas - 1ª e 2ª Leis
•   A primeira lei da termodinâmica
•   Alguns casos particulares
•   Primeira lei em um ciclo termodinâmico
•   A segunda lei da termodinâmica
•   Máquinas térmicas e bombas de calor
•   Ciclos reversíveis
•   Ciclo de Carnot
•   Entropia                           http://www.slideshare.net/

•   Equações T-dS                      login EM524CFEM

                                          senha 02082011
Energia?
Energia Interna (U)
• A energia interna refere-se à energia que a molécula possui
  como resultado dos movimentos de translação, rotação e
  vibração em nível microscópico.
• A energia interna está associada ao estado termodinâmico do
  sistema e seus valores são tabelados em função deste.
• Pode ser obtida através de equação de estado ou através da
  tabela termodinâmica.
• Na região de saturação uma mistura líquido-gás terá:
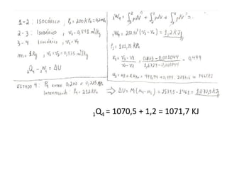
• Considere 5 Kg de vapor d'água contidos dentro de um
  conjunto pistão-cilindro. O vapor passa por uma expansão a
  partir do estado (1) , onde a sua energia específica interna
  u1 = 2709,9 kJ/kg, até o estado (2) onde u2 = 2659,6 kJ/kg
  Durante o processo ocorre transferência de 80 kJ de energia
  na forma de calor, para o vapor. Ocorre também a
  transferência de 18,5 kJ na forma de trabalho, através de
  uma hélice. Não há variação significativa de energia cinética
  e potencial do vapor. Determine o trabalho realizado pelo
  vapor sobre o pistão, durante o processo. Forneça o
  resultado em kJ.
=
• Um sistema fechado, inicialmente em equilíbrio na superfície
  da terra passa por um processo no qual recebe 200 BTU's
  (líquido) na forma de trabalho. Durante o processo o sistema
  perde para a vizinhança 30 BTU's (líquido) na forma de calor.
  No final do processo, o sistema está a uma velocidade de 200
  pés/s. a uma altitude de 200 pés. A massa do sistema é de 50
  lbm e a aceleração local da gravidade é 32,0 pés/s2.
  Determine a variação da energia interna do sistema em BTU.
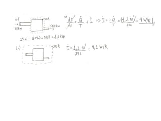
Energia Cinética
         Energia Potencial
                             Q = - 30 BTU

                             W = - 200 BTU
U  (30)  (200)  39,9  12,8   117,30BTU
.   .
• Q - W = dU/dt = M . Cv . dT / dt
  -1 - (-8,165) = 0,01 . 0,7165 . dT/dt
           dT/dt = 1000 K/s.
1

2
1Q4 =   1070,5 + 1,2 = 1071,7 KJ
.   .
        n = W/ Qin
                    .
       0,4 = 1000 / Qin
        .
       Qin = 2500 MW

       .    .   .
        Qin = W + Qout
.
Qout = 2500 – 1000 = 1500 MW
.                           .
QL = 360 kJ/min = 6 KW W = 2 KW
                .   .
         B = QL/ W = 6/2 = 3
            .       .   .
        B = Q L / Q H – QL
    .
    QH = 8 KW = 480 KJ/ min
.   .
          B = QH/ W =
                       .
        2,5 = 80.000 / W

         .
        W = 32.000 KJ / h

             .   .       .
           QL = Q H – W
.
QL = 80.000 – 32.000 = 48.000 KJ/h
Reservatórios térmicos
• Um sistema (corpo) do qual calor pode ser transferido
  indefinidamente sem que ocorra variações de temperatura
  no reservatório:
  – Desta forma, em um reservatório térmico a temperatura
  permanece sempre constante.
• O oceano e a atmosfera são reservatórios que pouco se
  afastam desta definição;
• Às vezes um reservatório do qual se retira calor é chamado
  de fonte quente (ou simplesmente fonte) e um reservatório
  que recebe calor é chamada de fonte fria (ou sorvedouro).
Irreversibilidades
Processos ideais ou reversíveis
• Devido à segunda lei, nenhuma máquina térmica pode
  apresentar teoricamente rendimento de 100%.
• Logo, qual é o máximo rendimento possível de uma máquina
  térmica?
• Para responder essa pergunta é necessário antes relembrar o
  que vem a ser um processo ideal, também conhecido como
  processo reversível:

    – Processo reversível para um sistema é aquele que, tendo
   ocorrido, pode ser invertido sem deixar vestígios no sistema
                            e no meio.
Processo reversível
• No processo reversível, o desvio do equilíbrio é
  infinitesimal e ocorre numa velocidade infinitesimal.
• Assim, um processo quase-estático é reversível e daqui por
  diante será denominado por esse termo.
• Uma vez que nos processos reais deseja-se uma velocidade
  finita, o desvio do equilíbrio deve ser finito. Por isto os
  processos reais são irreversíveis.
• Quanto maior o desvio do equilíbrio, maior a
  irreversibilidade.
• Nos casos reais, existem várias causas de irreversibilidade:
 – Atrito, resistência elétrica, deformação inelástica, reação
                    química espontânea, etc..
Processo reversível
• Quando irreversibilidades não ocorrerem dentro do sistema
  durante um processo, diz-se que o processo é internamente
  reversível.
• Quando também não ocorrerem na fronteira, diz-se que o
  processo é externamente reversível.
• Um ciclo externamente reversível é aquele em que todos os
  processos são externamente reversíveis.
• O ciclo usado para representar o ciclo externamente
  reversível é o Ciclo de Carnot.
Ciclo de Carnot


1                            n=1                  3               P
                1   2                                     4   3

QH                                  QL
TH                                  TL
              Processo 1-2                        Processo 3-4

2                   2   3           4                 1   4
                                        Isolado
    Isolado




              Processo 2-3                        Processo 4-1
                             n =
Ciclo de Carnot
• Independentemente da substância de
  trabalho, a máquina térmica que opera
  num Ciclo de Carnot consiste em 4             4                1
  processos externamente reversíveis:
                                                    (Caldeira)
     – Processo isotérmico reversível de
    1 transferência de calor, QH, do
       reservatório TH para o sistema;
     – Processo adiabático reversível de
2
   abaixamento de temperatura (TH→TL);
     – Processo isotérmico reversível de                             2
 3 transferência de calor, QL, do sistema   3
             ao reservatório TL;
     – Processo adiabático reversível de
  4 aumento de temperatura (TL→TH).
Ciclo de Carnot
  para vapor
• Neste caso o ciclo de Carnot
    continua composto de 2
   processos adiabáticos e 2
 processos isotérmicos, porém
      envolve duas fases.

• Por isto, nos processos 2-3 e
 4-1 (isotérmicos) eles ocorrem
 dentro da região de saturação
 (mudança de fase), ou seja, se
  constituem em uma mistura
         líquida-gasosa.

          Portanto: Pressão e Temperatura   Dados na Tabela de Saturação
           são propriedades dependentes
A segunda lei da termodinâmica
• O que basicamente a segunda lei estabelece é o fato de que
   um determinado processo ocorre naturalmente em uma
      determinada direção e não na oposta. Por exemplo:

  – Uma xícara de café irá esfriar em virtude da troca de calor
  com o meio ambiente, mas este não cederá calor para a xícara
  de café ficar quente;
  – Um carro consome gasolina para subir uma colina, mas
  descendo-a o nível de combustível no tanque não voltará ao
  inicial;
• Observações deste tipo são evidências da validade da 2º Lei.
Enunciados da segunda lei
• Enunciado de Clausius:

   É impossível construir um dispositivo que
    opere em um ciclo termodinâmico e não
  produza outros efeitos além da transferência
    de calor de um corpo frio para um corpo
                    quente.
• O que este enunciado quer dizer?
Enunciado de Clausius
• Imaginem dois reservatórios térmicos
 (alta e baixa temperatura) sujeitos a um
   processo em que uma determinada
   quantidade de calor é transferida do
      sistema de alta para o de baixa.
(Reservatório térmico consiste em um sistema
(corpo) do qual calor pode ser transferido
indefinidamente sem que ocorra variações de
temperatura no reservatório: Treserv=cte)

       • Esse sistema é possível?
   – Sim!! É como operam as chamadas
            máquinas térmicas.
Enunciado de Clausius

• Agora imaginem dois reservatórios
  térmicos (alta e baixa temperatura)
    sujeitos a um processo em que,
   naturalmente, uma determinada
  quantidade de calor é transferida do
    sistema de baixa para o de alta:

         • Isto é possível?
     – Não!! Apesar de não ferir a
    primeira lei da termodinâmica.
Enunciado de Clausius
 • É impossível construir um dispositivo que opere em
  um ciclo termodinâmico e não produza outros efeitos
   além da transferência de calor de um corpo frio para
                    um corpo quente.
• Assim, calor não pode fluir naturalmente de um corpo
  à temperatura mais baixa para outro à temperatura
  mais alta.
• No entanto, o enunciado de Clausius não elimina esta
  possibilidade.
• Para transferir calor de um corpo frio para outro
  quente devem existir “outros efeitos” no sistema.
Enunciado de Clausius
• Por exemplo: a refrigeração de alimentos é
  realizada por refrigeradores movidos a
  motores elétricos que necessitam de trabalho
  de sua vizinhança para operar.

• Logo o enunciado de Clausius indica que é
  impossível construir um ciclo de refrigeração
  que opere sem um aporte de trabalho.
Enunciados da segunda lei
• Enunciado de Kelvin-Planck:

   É impossível construir um dispositivo que
    opere em um ciclo termodinâmico e não
  produza outros efeitos além da produção de
     trabalho e troca de calor com um único
              reservatório térmico.

• E o que este enunciado quer dizer?
Enunciado de Kelvin-Planck
• O que acontece com o
  sistema ao lado (água)
quando realiza-se trabalho
        sobre ele?
  – A água aumentará de
temperatura pela ação das
   pás, sendo esse calor
   transmitido ao meio.
Enunciado de Kelvin-Planck

• Por outro lado, ao fornecer
  apenas calor ao sistema, o
       que acontecerá?

 • – A água aumentará de
  temperatura, mas não será
  realizado trabalho no eixo.
Enunciado de Kelvin-Planck
• É impossível construir um dispositivo que opere em um ciclo
  termodinâmico e não produza outros efeitos além da
  produção de trabalho e troca de calor com um único
  reservatório térmico.
Enunciado de Kelvin-Planck
   É impossível construir um dispositivo que
    opere em um ciclo termodinâmico e não
  produza outros efeitos além da produção de
     trabalho e troca de calor com um único
              reservatório térmico.
• Desta forma, calor não pode ser convertido em
  trabalho completa e continuamente em um único
  reservatório térmico operando em um ciclo
  termodinâmico;
  • A experiência mostra que o processo reverso é o
    processo natural: trabalho pode ser completa e
         continuamente convertida em calor.
Rendimento do ciclo de Carnot
• Primeiro Corolário:
  – É impossível construir uma máquina que opere entre dois
  reservatórios térmicos e tenha maior rendimento que uma
  máquina reversível, operando entre os mesmos reservatórios;

• Segundo Corolário:
  – Todas as máquinas que operam segundo o ciclo de Carnot,
  entre os dois reservatórios térmicos, têm o mesmo
  rendimento, independente da natureza da substância de
  trabalho ou da série de processos.
Rendimento do ciclo de Carnot
• A eficiência de uma máquina térmica externamente reversível:




• Como a eficiência independe da natureza da substância e dos
  processos, seu valor pode ser relacionado apenas à natureza
  dos reservatórios.
• Já que é a ∆T entre os dois reservatórios que fornece a força
  motriz para a transferência de calor entre eles, concluí-se que
  a eficiência do ciclo de uma máquina reversível depende
  apenas das temperaturas dos dois reservatórios:
Escala termodinâmica de
                temperatura
• Como a razão das transferências de calor em um ciclo de
  potência reversível depende apenas das temperaturas dos
  reservatórios, existirá uma escala de temperatura
  independente das propriedades de qualquer substância.

• Esta escala é denominada Escala Kelvin e é expressa:
Eficiência do ciclo de Carnot
• Assim, todas as máquinas térmicas externamente
    reversíveis operando entre dois reservatórios
            possuem a eficiência máxima:
Eficiência do ciclo de Carnot
 • Considerando os sistemas de refrigeração e as
bombas de calor operando como máquinas térmicas
    externamente reversíveis, o coeficiente de
            desempenho máximo será:
Eficiência do ciclo de Carnot



• A eficiência irá aumentar conforme TL diminua ou TH
  aumente.
• No entanto, nos ciclos motores reais TL é próxima da
  temperatura atmosfera ou da água de resfriamento obtida de
  um rio ou lago. Assim, o aumento de eficiência térmica pela
  redução de TL é pouco prática.
• Já o aumento da eficiência com o aumento de TH é algo mais
  factível, porém, precisa ser analisada pois irá incorrer no
  aumento do custo.
• Um motor térmico recebe calor de um reservatório a alta
  temperatura, gerando trabalho como mostrado na figura.
  Determine se essa máquina é reversível, irreversível ou
  impossível.
b)




100.000 / 13201
C)
C)




           b)




100.000 / 13201
Considerações iniciais
• A primeira lei introduziu a propriedade E (energia do
  sistema) e foi aplicada de forma qualitativa e quantitativa.
• A segunda lei foi analisada apenas de forma qualitativa.

          • Como quantificar a segunda lei?
• A propriedade definida a partir da segunda lei e que
  possibilita uma aplicação quantitativa é a ENTROPIA.
• A Desigualdade de Clausius é o primeiro passo para a
  definição da propriedade entropia.
Desigualdade de Clausius
• É um corolário da segunda lei e pode ser demonstrado para
  todos os ciclos possíveis:
  – Máquinas térmicas e térmicas revertidas, reversíveis ou
  irreversíveis;
          • A desigualdade de Clausius é definida como:




                                                   Equação geral
                                                     para ciclos
 Carnot               Ciclos Irreversíveis        termodinâmicos
Para um motor reversível
Para um motor reversível




                Máquina Reversível = Carnot
Para um motor irreversível
Para um motor reversível
Para um motor irreversível
Desigualdade de Clausius
Desigualdade de Clausius
Definição da entropia
Variação de entropia entre dois
                 estado
• A variação de entropia de um sistema entre um estado e outro
  pode ser obtida como:




• Para se integrar esta equação é necessário se conhecer a
  relação entre T e Q.

  • Com esta equação só é possível determinar variações de
  entropia, não sendo possível determinar os valores absolutos
                         da entropia.
Entropia da Tabela Termodinâmica
Variação de entropia no ciclo de
            Carnot




 Processos 2-3 e 4-1 são adiabáticos reversíveis.
           Portanto são isoentrópicos
Observações sobre eficiência
• Aumentando-se TH enquanto TL permanece constante, há um
  aumento da eficiência.

• Diminuindo TL enquanto TH permanece constante, a eficiência
  aumenta.

• Nos processos internamente reversíveis, a área abaixo da linha
  do processo em um diagrama T-s representa a quantidade de
  calor transferida:

      – Isso é verdade também para processos irreversíveis.
Onde δI representa a entropia gerada no processo
 devido às irreversibilidades (atrito, resistência
  elétrica, reações químicas espontâneas, etc.).
I   = Sger
Duas relações termodinâmicas
              importantes
• Relembrando: aplicando a primeira lei para uma substância
  compressível simples (sem movimento ou efeitos
  gravitacionais), pode-se escrever:

  • Se o processo pelo qual passa o sistema for reversível:
                 δQ = TdS e δW = PdV

• Logo tem-se:
Duas relações termodinâmicas
         importantes
Entropia da Equação de Estado
Observações
• As equações foram obtidas para um processo reversível e
  podem ser integradas para processos desse tipo.

• Como as equações tratam somente de propriedades
  (independentes do caminho adotado), podem ser usadas para
  qualquer processo entre dois estados.

• Ou seja, podem ser estendidas para processos irreversíveis.
Gás perfeito
Variação de entropia para um gás perfeito




 • Usando a segunda
  equação TdS para um
  gás perfeito tem-se:
Variação de entropia para uma
  substância incompressível
• Qual a variação de entropia específica para o ar, admitido
  como gás ideal, quando submetido a um processo de
  T1=300K, P1=1bar para T2=400K e P2=5bar ? Considere cp=cte.
Vale para cada processo

0
• Um gás perfeito é comprimido de forma isotérmica e
  reversível, de um volume de 0,01 m3 a uma pressão de 0,1
  MPa para uma pressão de 1,0 MPa. Quanto calor é transferido
  durante este processo?
• Um gás perfeito é comprimido de forma isotérmica e reversível, de um
  volume de 0,01 m3 a uma pressão de 0,1 MPa para uma pressão de 1,0
  MPa. Quanto calor é transferido durante este processo?
KJ/K
USAR
                                    TEMPERATURAS
250   1           2      100kPa
                                    EM KELVIN NOS
                                      CÁLCULOS

          4   3




                                    /Kg


                                  /Kg

                  S3 =
• Água contida em um conjunto pistão cilindro é submetida a
  dois processos em série a partir de um estado inicial, no qual a
  pressão contida é de 10 bar e a temperatura é 400ºC.

        Processo 1: A água é resfriada à medida que é
comprimida a uma pressão constante a partir de 10 bar até
atingir o estado de vapor saturado.
        Processo 2: A água é resfriada a volume constante até
150ºC.

A-) Esboce ambos os processos em diagramas T-v e p-v.
B-) Determine o Trabalho para o processo global, em kJ/kg.
C-) Determine a quantidade de calor transferida para o processo
global, em kJ/kg.
vl = v f
Vg = vv
• Um conjunto cilindro-pistão contém inicialmente 0,5 m 3
  de vapor d’água saturado a 200 kPa, enquanto o pistão
  se mantém apoiado sobre esbarros. A massa do pistão é tal
  que uma pressão de 300 kPa é necessária para movê-lo.
  Calor é então lentamente transferido ao vapor até que
  seu volume dobre. Mostre o processo num diagrama P-v
  (apresentando as linhas de saturação) e determine:

  a) A temperatura final.
  b) O trabalho realizado durante o processo.
  c) A transferência total de calor.
V2 = V1
v2 = v 1
• Dois tanques são conectados por uma válvula. Um tanque
  contém 2 kg de CO gasoso a 77ºC e 0,7 bar. O outro tanque
  contém 8 kg do mesmo gás a 27ºC e 1,2 bar. A válvula é aberta
  permitindo a mistura dos gases enquanto energia sob forma de
  calor é absorvida a partir da vizinhança. A temperatura final de
  equilíbrio é 42ºC. Utilizando o modelo de gás ideal, determine
  (a) a pressão final de equilíbrio, em bar; (b) a quantidade de
  calor trocado durante o processo, em kJ.
• Um pneu de bicicleta contendo ar a 0,5 Mpa e 25 oC (temperatura
  ambiente) vaza rapidamente de forma que em 1 segundo a
  pressão se reduziu a pressão ambiente, 0,1 MPa. O volume do
  pneu é de 0,001 m3. Assumindo que o ar seja gás perfeito,
  encontre a temperatura do ar que ficou no pneu após 1s e
  encontre o trabalho realizado sobre ou por este ar.

                                       P
                                            1




                                                  2

                     Sistema
                                                      V

      Exemplo 3.9: Ver resolução no Livro texto
Exercícios propostos
• 4.1; 4.3; 4.6; 4.10; 4.13; 4.14; 4.15; 4.16;
  4.17; 4.18; 4.22; 4.23; 4.24; 4.31; 4.32;
  4.34; 4.37; 4.38

2.0 capítulo 4 com gabarito do simulado

  • 1.
    Capítulo 4: Análisede Sistemas - 1ª e 2ª Leis da Termodinâmica Aula 7 a 10
  • 2.
    Sistemas - 1ªe 2ª Leis • A primeira lei da termodinâmica • Alguns casos particulares • Primeira lei em um ciclo termodinâmico • A segunda lei da termodinâmica • Máquinas térmicas e bombas de calor • Ciclos reversíveis • Ciclo de Carnot • Entropia http://www.slideshare.net/ • Equações T-dS login EM524CFEM senha 02082011
  • 3.
  • 7.
    Energia Interna (U) •A energia interna refere-se à energia que a molécula possui como resultado dos movimentos de translação, rotação e vibração em nível microscópico. • A energia interna está associada ao estado termodinâmico do sistema e seus valores são tabelados em função deste. • Pode ser obtida através de equação de estado ou através da tabela termodinâmica. • Na região de saturação uma mistura líquido-gás terá:
  • 14.
    • Considere 5Kg de vapor d'água contidos dentro de um conjunto pistão-cilindro. O vapor passa por uma expansão a partir do estado (1) , onde a sua energia específica interna u1 = 2709,9 kJ/kg, até o estado (2) onde u2 = 2659,6 kJ/kg Durante o processo ocorre transferência de 80 kJ de energia na forma de calor, para o vapor. Ocorre também a transferência de 18,5 kJ na forma de trabalho, através de uma hélice. Não há variação significativa de energia cinética e potencial do vapor. Determine o trabalho realizado pelo vapor sobre o pistão, durante o processo. Forneça o resultado em kJ.
  • 15.
  • 18.
    • Um sistemafechado, inicialmente em equilíbrio na superfície da terra passa por um processo no qual recebe 200 BTU's (líquido) na forma de trabalho. Durante o processo o sistema perde para a vizinhança 30 BTU's (líquido) na forma de calor. No final do processo, o sistema está a uma velocidade de 200 pés/s. a uma altitude de 200 pés. A massa do sistema é de 50 lbm e a aceleração local da gravidade é 32,0 pés/s2. Determine a variação da energia interna do sistema em BTU.
  • 19.
    Energia Cinética Energia Potencial Q = - 30 BTU W = - 200 BTU
  • 21.
    U  (30) (200)  39,9  12,8   117,30BTU
  • 23.
    . . • Q - W = dU/dt = M . Cv . dT / dt -1 - (-8,165) = 0,01 . 0,7165 . dT/dt dT/dt = 1000 K/s.
  • 27.
  • 37.
    1Q4 = 1070,5 + 1,2 = 1071,7 KJ
  • 48.
    . . n = W/ Qin . 0,4 = 1000 / Qin . Qin = 2500 MW . . . Qin = W + Qout . Qout = 2500 – 1000 = 1500 MW
  • 50.
    . . QL = 360 kJ/min = 6 KW W = 2 KW . . B = QL/ W = 6/2 = 3 . . . B = Q L / Q H – QL . QH = 8 KW = 480 KJ/ min
  • 52.
    . . B = QH/ W = . 2,5 = 80.000 / W . W = 32.000 KJ / h . . . QL = Q H – W . QL = 80.000 – 32.000 = 48.000 KJ/h
  • 53.
    Reservatórios térmicos • Umsistema (corpo) do qual calor pode ser transferido indefinidamente sem que ocorra variações de temperatura no reservatório: – Desta forma, em um reservatório térmico a temperatura permanece sempre constante. • O oceano e a atmosfera são reservatórios que pouco se afastam desta definição; • Às vezes um reservatório do qual se retira calor é chamado de fonte quente (ou simplesmente fonte) e um reservatório que recebe calor é chamada de fonte fria (ou sorvedouro).
  • 54.
  • 55.
    Processos ideais oureversíveis • Devido à segunda lei, nenhuma máquina térmica pode apresentar teoricamente rendimento de 100%. • Logo, qual é o máximo rendimento possível de uma máquina térmica? • Para responder essa pergunta é necessário antes relembrar o que vem a ser um processo ideal, também conhecido como processo reversível: – Processo reversível para um sistema é aquele que, tendo ocorrido, pode ser invertido sem deixar vestígios no sistema e no meio.
  • 56.
    Processo reversível • Noprocesso reversível, o desvio do equilíbrio é infinitesimal e ocorre numa velocidade infinitesimal. • Assim, um processo quase-estático é reversível e daqui por diante será denominado por esse termo. • Uma vez que nos processos reais deseja-se uma velocidade finita, o desvio do equilíbrio deve ser finito. Por isto os processos reais são irreversíveis. • Quanto maior o desvio do equilíbrio, maior a irreversibilidade. • Nos casos reais, existem várias causas de irreversibilidade: – Atrito, resistência elétrica, deformação inelástica, reação química espontânea, etc..
  • 57.
    Processo reversível • Quandoirreversibilidades não ocorrerem dentro do sistema durante um processo, diz-se que o processo é internamente reversível. • Quando também não ocorrerem na fronteira, diz-se que o processo é externamente reversível. • Um ciclo externamente reversível é aquele em que todos os processos são externamente reversíveis. • O ciclo usado para representar o ciclo externamente reversível é o Ciclo de Carnot.
  • 58.
    Ciclo de Carnot 1 n=1 3 P 1 2 4 3 QH QL TH TL Processo 1-2 Processo 3-4 2 2 3 4 1 4 Isolado Isolado Processo 2-3 Processo 4-1 n =
  • 59.
    Ciclo de Carnot •Independentemente da substância de trabalho, a máquina térmica que opera num Ciclo de Carnot consiste em 4 4 1 processos externamente reversíveis: (Caldeira) – Processo isotérmico reversível de 1 transferência de calor, QH, do reservatório TH para o sistema; – Processo adiabático reversível de 2 abaixamento de temperatura (TH→TL); – Processo isotérmico reversível de 2 3 transferência de calor, QL, do sistema 3 ao reservatório TL; – Processo adiabático reversível de 4 aumento de temperatura (TL→TH).
  • 60.
    Ciclo de Carnot para vapor • Neste caso o ciclo de Carnot continua composto de 2 processos adiabáticos e 2 processos isotérmicos, porém envolve duas fases. • Por isto, nos processos 2-3 e 4-1 (isotérmicos) eles ocorrem dentro da região de saturação (mudança de fase), ou seja, se constituem em uma mistura líquida-gasosa. Portanto: Pressão e Temperatura Dados na Tabela de Saturação são propriedades dependentes
  • 61.
    A segunda leida termodinâmica • O que basicamente a segunda lei estabelece é o fato de que um determinado processo ocorre naturalmente em uma determinada direção e não na oposta. Por exemplo: – Uma xícara de café irá esfriar em virtude da troca de calor com o meio ambiente, mas este não cederá calor para a xícara de café ficar quente; – Um carro consome gasolina para subir uma colina, mas descendo-a o nível de combustível no tanque não voltará ao inicial; • Observações deste tipo são evidências da validade da 2º Lei.
  • 62.
    Enunciados da segundalei • Enunciado de Clausius: É impossível construir um dispositivo que opere em um ciclo termodinâmico e não produza outros efeitos além da transferência de calor de um corpo frio para um corpo quente. • O que este enunciado quer dizer?
  • 63.
    Enunciado de Clausius •Imaginem dois reservatórios térmicos (alta e baixa temperatura) sujeitos a um processo em que uma determinada quantidade de calor é transferida do sistema de alta para o de baixa. (Reservatório térmico consiste em um sistema (corpo) do qual calor pode ser transferido indefinidamente sem que ocorra variações de temperatura no reservatório: Treserv=cte) • Esse sistema é possível? – Sim!! É como operam as chamadas máquinas térmicas.
  • 64.
    Enunciado de Clausius •Agora imaginem dois reservatórios térmicos (alta e baixa temperatura) sujeitos a um processo em que, naturalmente, uma determinada quantidade de calor é transferida do sistema de baixa para o de alta: • Isto é possível? – Não!! Apesar de não ferir a primeira lei da termodinâmica.
  • 65.
    Enunciado de Clausius • É impossível construir um dispositivo que opere em um ciclo termodinâmico e não produza outros efeitos além da transferência de calor de um corpo frio para um corpo quente. • Assim, calor não pode fluir naturalmente de um corpo à temperatura mais baixa para outro à temperatura mais alta. • No entanto, o enunciado de Clausius não elimina esta possibilidade. • Para transferir calor de um corpo frio para outro quente devem existir “outros efeitos” no sistema.
  • 66.
    Enunciado de Clausius •Por exemplo: a refrigeração de alimentos é realizada por refrigeradores movidos a motores elétricos que necessitam de trabalho de sua vizinhança para operar. • Logo o enunciado de Clausius indica que é impossível construir um ciclo de refrigeração que opere sem um aporte de trabalho.
  • 67.
    Enunciados da segundalei • Enunciado de Kelvin-Planck: É impossível construir um dispositivo que opere em um ciclo termodinâmico e não produza outros efeitos além da produção de trabalho e troca de calor com um único reservatório térmico. • E o que este enunciado quer dizer?
  • 68.
    Enunciado de Kelvin-Planck •O que acontece com o sistema ao lado (água) quando realiza-se trabalho sobre ele? – A água aumentará de temperatura pela ação das pás, sendo esse calor transmitido ao meio.
  • 69.
    Enunciado de Kelvin-Planck •Por outro lado, ao fornecer apenas calor ao sistema, o que acontecerá? • – A água aumentará de temperatura, mas não será realizado trabalho no eixo.
  • 70.
    Enunciado de Kelvin-Planck •É impossível construir um dispositivo que opere em um ciclo termodinâmico e não produza outros efeitos além da produção de trabalho e troca de calor com um único reservatório térmico.
  • 71.
    Enunciado de Kelvin-Planck É impossível construir um dispositivo que opere em um ciclo termodinâmico e não produza outros efeitos além da produção de trabalho e troca de calor com um único reservatório térmico. • Desta forma, calor não pode ser convertido em trabalho completa e continuamente em um único reservatório térmico operando em um ciclo termodinâmico; • A experiência mostra que o processo reverso é o processo natural: trabalho pode ser completa e continuamente convertida em calor.
  • 72.
    Rendimento do ciclode Carnot • Primeiro Corolário: – É impossível construir uma máquina que opere entre dois reservatórios térmicos e tenha maior rendimento que uma máquina reversível, operando entre os mesmos reservatórios; • Segundo Corolário: – Todas as máquinas que operam segundo o ciclo de Carnot, entre os dois reservatórios térmicos, têm o mesmo rendimento, independente da natureza da substância de trabalho ou da série de processos.
  • 73.
    Rendimento do ciclode Carnot • A eficiência de uma máquina térmica externamente reversível: • Como a eficiência independe da natureza da substância e dos processos, seu valor pode ser relacionado apenas à natureza dos reservatórios. • Já que é a ∆T entre os dois reservatórios que fornece a força motriz para a transferência de calor entre eles, concluí-se que a eficiência do ciclo de uma máquina reversível depende apenas das temperaturas dos dois reservatórios:
  • 74.
    Escala termodinâmica de temperatura • Como a razão das transferências de calor em um ciclo de potência reversível depende apenas das temperaturas dos reservatórios, existirá uma escala de temperatura independente das propriedades de qualquer substância. • Esta escala é denominada Escala Kelvin e é expressa:
  • 76.
    Eficiência do ciclode Carnot • Assim, todas as máquinas térmicas externamente reversíveis operando entre dois reservatórios possuem a eficiência máxima:
  • 77.
    Eficiência do ciclode Carnot • Considerando os sistemas de refrigeração e as bombas de calor operando como máquinas térmicas externamente reversíveis, o coeficiente de desempenho máximo será:
  • 78.
    Eficiência do ciclode Carnot • A eficiência irá aumentar conforme TL diminua ou TH aumente. • No entanto, nos ciclos motores reais TL é próxima da temperatura atmosfera ou da água de resfriamento obtida de um rio ou lago. Assim, o aumento de eficiência térmica pela redução de TL é pouco prática. • Já o aumento da eficiência com o aumento de TH é algo mais factível, porém, precisa ser analisada pois irá incorrer no aumento do custo.
  • 79.
    • Um motortérmico recebe calor de um reservatório a alta temperatura, gerando trabalho como mostrado na figura. Determine se essa máquina é reversível, irreversível ou impossível.
  • 84.
  • 85.
  • 86.
    C) b) 100.000 / 13201
  • 88.
    Considerações iniciais • Aprimeira lei introduziu a propriedade E (energia do sistema) e foi aplicada de forma qualitativa e quantitativa. • A segunda lei foi analisada apenas de forma qualitativa. • Como quantificar a segunda lei? • A propriedade definida a partir da segunda lei e que possibilita uma aplicação quantitativa é a ENTROPIA. • A Desigualdade de Clausius é o primeiro passo para a definição da propriedade entropia.
  • 89.
    Desigualdade de Clausius •É um corolário da segunda lei e pode ser demonstrado para todos os ciclos possíveis: – Máquinas térmicas e térmicas revertidas, reversíveis ou irreversíveis; • A desigualdade de Clausius é definida como: Equação geral para ciclos Carnot Ciclos Irreversíveis termodinâmicos
  • 90.
    Para um motorreversível
  • 91.
    Para um motorreversível Máquina Reversível = Carnot
  • 92.
    Para um motorirreversível
  • 93.
    Para um motorreversível
  • 94.
    Para um motorirreversível
  • 95.
  • 96.
  • 97.
  • 98.
    Variação de entropiaentre dois estado • A variação de entropia de um sistema entre um estado e outro pode ser obtida como: • Para se integrar esta equação é necessário se conhecer a relação entre T e Q. • Com esta equação só é possível determinar variações de entropia, não sendo possível determinar os valores absolutos da entropia.
  • 99.
    Entropia da TabelaTermodinâmica
  • 100.
    Variação de entropiano ciclo de Carnot Processos 2-3 e 4-1 são adiabáticos reversíveis. Portanto são isoentrópicos
  • 101.
    Observações sobre eficiência •Aumentando-se TH enquanto TL permanece constante, há um aumento da eficiência. • Diminuindo TL enquanto TH permanece constante, a eficiência aumenta. • Nos processos internamente reversíveis, a área abaixo da linha do processo em um diagrama T-s representa a quantidade de calor transferida: – Isso é verdade também para processos irreversíveis.
  • 105.
    Onde δI representaa entropia gerada no processo devido às irreversibilidades (atrito, resistência elétrica, reações químicas espontâneas, etc.).
  • 107.
    I = Sger
  • 110.
    Duas relações termodinâmicas importantes • Relembrando: aplicando a primeira lei para uma substância compressível simples (sem movimento ou efeitos gravitacionais), pode-se escrever: • Se o processo pelo qual passa o sistema for reversível: δQ = TdS e δW = PdV • Logo tem-se:
  • 111.
  • 112.
  • 113.
    Observações • As equaçõesforam obtidas para um processo reversível e podem ser integradas para processos desse tipo. • Como as equações tratam somente de propriedades (independentes do caminho adotado), podem ser usadas para qualquer processo entre dois estados. • Ou seja, podem ser estendidas para processos irreversíveis.
  • 114.
  • 115.
    Variação de entropiapara um gás perfeito • Usando a segunda equação TdS para um gás perfeito tem-se:
  • 116.
    Variação de entropiapara uma substância incompressível
  • 117.
    • Qual avariação de entropia específica para o ar, admitido como gás ideal, quando submetido a um processo de T1=300K, P1=1bar para T2=400K e P2=5bar ? Considere cp=cte.
  • 120.
    Vale para cadaprocesso 0
  • 122.
    • Um gásperfeito é comprimido de forma isotérmica e reversível, de um volume de 0,01 m3 a uma pressão de 0,1 MPa para uma pressão de 1,0 MPa. Quanto calor é transferido durante este processo?
  • 123.
    • Um gásperfeito é comprimido de forma isotérmica e reversível, de um volume de 0,01 m3 a uma pressão de 0,1 MPa para uma pressão de 1,0 MPa. Quanto calor é transferido durante este processo?
  • 129.
  • 137.
    USAR TEMPERATURAS 250 1 2 100kPa EM KELVIN NOS CÁLCULOS 4 3 /Kg /Kg S3 =
  • 138.
    • Água contidaem um conjunto pistão cilindro é submetida a dois processos em série a partir de um estado inicial, no qual a pressão contida é de 10 bar e a temperatura é 400ºC. Processo 1: A água é resfriada à medida que é comprimida a uma pressão constante a partir de 10 bar até atingir o estado de vapor saturado. Processo 2: A água é resfriada a volume constante até 150ºC. A-) Esboce ambos os processos em diagramas T-v e p-v. B-) Determine o Trabalho para o processo global, em kJ/kg. C-) Determine a quantidade de calor transferida para o processo global, em kJ/kg.
  • 141.
    vl = vf Vg = vv
  • 142.
    • Um conjuntocilindro-pistão contém inicialmente 0,5 m 3 de vapor d’água saturado a 200 kPa, enquanto o pistão se mantém apoiado sobre esbarros. A massa do pistão é tal que uma pressão de 300 kPa é necessária para movê-lo. Calor é então lentamente transferido ao vapor até que seu volume dobre. Mostre o processo num diagrama P-v (apresentando as linhas de saturação) e determine: a) A temperatura final. b) O trabalho realizado durante o processo. c) A transferência total de calor.
  • 143.
  • 144.
    • Dois tanquessão conectados por uma válvula. Um tanque contém 2 kg de CO gasoso a 77ºC e 0,7 bar. O outro tanque contém 8 kg do mesmo gás a 27ºC e 1,2 bar. A válvula é aberta permitindo a mistura dos gases enquanto energia sob forma de calor é absorvida a partir da vizinhança. A temperatura final de equilíbrio é 42ºC. Utilizando o modelo de gás ideal, determine (a) a pressão final de equilíbrio, em bar; (b) a quantidade de calor trocado durante o processo, em kJ.
  • 148.
    • Um pneude bicicleta contendo ar a 0,5 Mpa e 25 oC (temperatura ambiente) vaza rapidamente de forma que em 1 segundo a pressão se reduziu a pressão ambiente, 0,1 MPa. O volume do pneu é de 0,001 m3. Assumindo que o ar seja gás perfeito, encontre a temperatura do ar que ficou no pneu após 1s e encontre o trabalho realizado sobre ou por este ar. P 1 2 Sistema V Exemplo 3.9: Ver resolução no Livro texto
  • 149.
    Exercícios propostos • 4.1;4.3; 4.6; 4.10; 4.13; 4.14; 4.15; 4.16; 4.17; 4.18; 4.22; 4.23; 4.24; 4.31; 4.32; 4.34; 4.37; 4.38