Capítulo 5: Análise através de
     volume de controle
            Aula 5
•   Volume de controle
•   Conservação de massa
•   Conservação da quantidade de movimento
•   1º lei da termodinâmica aplicada ao VC
•   Equação de Bernoulli
•   Casos especiais
•   Seleção do VC
•   Segunda lei da termodinâmica
•   Conversão de energia

    5
Introdução
• Existe um fluxo de massa da substância de trabalho em cada
  equipamento desta usina, ou seja, na bomba, caldeira, turbina e
  condensador.
• Assim, não se pode analisar cada equipamento como um
  sistema termodinâmico fechado.
Introdução
• Além da transferência de energia na forma de calor e
  trabalho, já vista para sistemas termodinâmicos, existe
  também o transporte de energia associado à massa que
  escoa para dentro e para fora de cada equipamento.

• Logo, uma análise termodinâmica completa deve considerar a
  transferência de calor e de trabalho e o transporte de energia
                associado ao transporte de massa.
Volume de controle (VC)
• É um volume arbitrário do espaço através do qual há massa
  entrando e saindo.
• Seu contorno geométrico é denominado de superfície de
  controle:
      – Esta superfície pode ser real ou imaginária;
      – Pode estar em repouso (estacionária) ou em movimento
      (móvel).
• Através da superfície de controle pode atravessar:
       – Massa, trabalho, calor e quantidade de movimento.
• Em geral, qualquer região do espaço pode ser escolhida como
  volume de controle. No entanto, uma escolha apropriada pode
  simplificar bastante a resolução de um problema.
Estudo de um volume de controle
• No estudo termodinâmico de um sistema o interesse se
  concentrava nas mudanças das propriedades (pressão,
  temperatura, volume específico, entalpia, etc.).
• No estudo de um VC, além de continuar avaliando as
  mudanças das propriedades, procura-se:
         – conhecer as forças que atuam sobre o fluido que
                  atravessa a superfície de controle;
          – e também a reação exercida pelo fluido sobre a
                        superfície de controle.
• Muitas vezes o interesse é maior no efeito do movimento de
  uma massa de líquido, que no movimento em si.
Princípios de conservação
• Na análise do sistema termodinâmico foi usado o princípio da
  conservação da energia (Primeira lei) e a Segunda lei da
  termodinâmica.

• No volume de controle, além destes, é necessário também
  analisar o princípio da conservação de massa e da
  conservação de quantidade de movimento, uma vez que
  existe fluxo de massa.
Conservação de massa para VC




• O princípio da conservação de massa para VC enuncia que:
Conservação de massa para VC
Conservação de massa para VC
• Em geral podem existir vários locais na superfície de
    controle através dos quais a massa entra e sai.
  • Logo, para múltiplas entradas e saídas, tem-se:
Escoamento Unidimensional
• Quando uma corrente de fluxo de matéria entrando ou saindo
  do VC é:
        – Normal à superfície de controle nos locais em que a
                      massa entra e sai do VC, e
        – Todas as propriedades intensivas (INDEPENDEM DA
MASSA) são uniformes com a posição (se mantém constantes ao
   longo da área da seção reta do escoamento); diz-se que o
                escoamento é unidimensional.
Escoamento Unidimensional


• Considerando a velocidade de escoamento do ar (V) e a
  densidade do ar ( ), num escoamento unidimensional a taxa
  de massa ou vazão mássica (kg/s) será:



• Ou ainda:
Conservação de massa para VC
• Assim, considerando que o VC tenha apenas uma entrada e
                    uma saída, obtém-se:




• Analogamente, quando o VC tiver várias entradas (e) e várias
                   saídas (s), obtém-se:
Escoamento em regime permanente
• Quando as variáveis do escoamento num ponto do espaço
  não variam com o tempo, diz-se que o escoamento ocorre
  em regime permanente.
• Analisando do ponto de vista do fluxo de massa, a identidade
  da matéria no VC varia continuamente, porém a quantidade
  total de massa presente em qualquer instante permanece
  constante.
• Logo:
Escoamento em regime permanente



• Assim, num escoamento em regime permanente (a taxa de
  massa do VC se mantém constante) as taxas totais de
  entrada e saída de massa são iguais.
• No entanto, apenas esta igualdade não implica
  necessariamente que o escoamento seja em regime
  permanente, pois pode ocorrer de propriedades estarem
  variando com o tempo, como por exemplo a pressão ou a
  temperatura.
Escoamento em regime permanente
• Quando um fluido incompressível (  constante) escoa através
                        do VC, tem-se:

                                VAZÃO VOLUMÉTRICA: m3/s

• Isto é o que geralmente acontece quando se trata do
  escoamento de um líquido.
• Esta relação fornece imediatamente uma descrição qualitativa
  da velocidade na entrada e na saída do VC:
Ar escoa em condições normais (P = 101 kPa e T = 20 o C) através de
um tubo de paredes porosas mostrados na Figura abaixo. Nessas
condições a densidade é constante. Qual é a velocidade média
(uniforme) na saída do tubo? A porosidade do tubo é admitida
uniforme e o diâmetro d do tubo é constante.




      Solução no Livro
           Texto
Um fluido entra em um sistema de tubulação mostrada na figura
abaixo através da seção 1 e sai pelas seções 2 e 3. A vazão mássica
na seção 3 é um quarto da vazão mássica que entra na seção 1. O
diâmetro do tubo na seção 2 é d2=0,5d1, e a velocidade média na
seção 3 é V3 = 0,5 V1. Determine a velocidade média na seção 2 em
termos de V1 e o diâmetro da seção 3 em termos de d1. O fluido é
incompressível e, portanto, a sua densidade é constante.



 Solução no Livro
      Texto
• Um aquecedor de água operando em regime permanente
  apresenta duas entradas e uma saída. Na entrada 1, o vapor
  d’água entra a P1 = 7 bar, T1 = 200oC e com uma vazão mássica
  de 40 kg/s. Na entrada 2, água líquida a P2 = 7 bar e T2 = 40oC
  entra através de uma área A2 = 25 cm2. Líquido saturado a 7
  bar sai em 3 com uma vazão volumétrica de 0,06m3/s.
  Determine as vazões mássicas na entrada 2 e na saída (kg/s) e
  a velocidade na entrada 2 (m/s).
No escoamento em regime
permanente ocorre conservação de
   vazão mássica porém NÃO há
conservação de vazão volumétrica
 quando a densidade (ou o volume
 específico) NÃO for constante!!!!!
Conservação da quantidade de
        movimento
Estudo de um volume de controle
• No estudo termodinâmico de um sistema o interesse se
  concentrava nas mudanças das propriedades (pressão,
  temperatura, volume específico, entalpia, etc.).

• No estudo de um volume de controle, além de manter o
  interesse nas mudanças das propriedades, procura-se:
      – conhecer as forças que atuam sobre o fluido passando
                 através da superfície de controle;
          – e também a reação exercida pelo fluido sobre a
                       superfície de controle.
Princípios de conservação
• Na análise do sistema termodinâmico foi usado o princípio da
  conservação da energia (Primeira lei) e a Segunda lei da
  termodinâmica.

• No volume de controle, além destes, é necessário também
  analisar o princípio da conservação de massa e da
  conservação de quantidade de movimento, uma vez que
  existe fluxo de massa.
Revisão de quantidade de movimento
    • Quantidade de movimento (P), ou momento linear, é
                    definido como sendo:




 • Onde M é a massa da partícula (ou do sistema de partículas) e
   V é a sua velocidade (ou do centro de massa).
 • Como M é sempre uma grandeza escalar positiva, conclui-se
   que o momento linear e a velocidade têm o mesmo sentido.
 • No SI, a unidade que expressa momento linear é o kg.m/s.
Revisão de quantidade de movimento
• Newton expressou sua segunda lei originalmente em termos
  de momento linear:
A taxa de variação no tempo do movimento de uma partícula é
igual à força resultante que atua sobre a partícula e aponta no
                      sentido desta força.

• Assim, a segunda lei de Newton para um sistema se
  movimentando em relação à um referencial inercial pode ser
  escrito como:
Revisão de quantidade de movimento
               linear


• Desta expressão observa-se que a força externa
  resultante sobre a partícula varia o seu momento linear.
• Inversamente, a quantidade de movimento só pode ser
  mudado por uma força externa resultante.
• Se não existir força externa resultante, o momento linear
  não pode mudar.
Revisão de quantidade de movimento
               linear


• Substituindo o momento linear na segunda lei
  tem-se:
Conservação de momento linear para
                VC




 • O princípio da conservação de momento
         linear para VC enuncia que:
Conservação de momento linear para
                VC
• Assim, se a taxa de variação total de quantidade de
  movimento no VC no instante t é igual à resultante das forças
  atuando no VC neste mesmo instante, o enunciado do
  princípio da conservação pode ser expresso desta forma:




• Onde V é a velocidade relativa ao VC e me e ms são as taxas
  do fluxo de massa instantâneas na entrada e na saída
  respectivamente.
Conservação de momento linear para
                VC


• Os termos do lado direito da equação expressam a variação da
  quantidade de movimento do fluido à medida que ele passa
  através da entrada e da saída do VC.

• No caso do VC pode ocorrer variação do fluxo de massa com o
  tempo e por isto a unidade (SI) da variação de quantidade de
  movimento (no instante t) é expressa em kg.m/s 2.
Conservação de momento linear para
                 VC



• A equação acima é uma equação VETORIAL, portanto possui
  uma componente em cada direção do sistema de coordenadas
  (x, y e z).
• O lado direito é também chamado de força de inércia do
  fluido, pois representa a tendência do fluido permanecer em
  movimento a menos que atue uma força externa,
  representada pelo lado esquerdo.
Forças atuantes em um VC
    • As forças que atuam sobre o VC podem ser
                        separadas em:
• Forças de campo: estão relacionadas com a
  massa de fluido no interior do VC.
       – Gravidade;
• Forças de superfície: são as que atuam na
  superfície do VC.
       – Pressão;
       – Tensão de cisalhamento (age tangencialmente à
superfície do material)
Forças atuantes em um VC
• Forças de campo: são aquelas que resultam da existência de
  um campo gravitacional, elétrico ou magnético externo.
• A única força de campo que será considerada é o campo de
  força gravitacional da Terra.
• Assim, a força de campo que atua em um fluido:




• Onde  é a densidade do fluido e V é o volume do fluido.
Forças atuantes em um VC
• Forças de superfície: são aquelas que
  ocorrem devido à pressão e às forças
  viscosas que atuam na superfície do VC.
• A pressão atua em todas as direções em
  um ponto do espaço.
• A força da pressão externa ao VC sempre
  atua na direção normal à superfície de
  controle e ao longo da superfície interna
  do VC.
Forças de superfície: Pressão em um VC

• Se dA for um elemento de área da superfície do VC, então a
  força de superfície devido à pressão é obtida pela integração
  do produto P.dA, normal à superfície de controle (SC) ao
  longo de toda a superfície.




  • Onde “n” é o vetor unitário normal à SC e definido como
     sendo positivo na direção que aponta para fora da SC.
Forças de superfície: Pressão em um VC

• Se a SC é cercada por uma pressão
      constante, como a devida à
   pressão atmosférica (Patm), não
   haverá contribuição da pressão
    para a força resultante da SC.
Forças de superfície: Pressão em um
                     VC
• Se houver um escoamento que
   entra através da face “ad” e sai
       por “bc”, uma pressão
    adicional (PM) atuará no VC.
 • Esta pressão PM irá variar de
    intensidade ao longo do VC
        pois a velocidade do
         escoamento varia.
 • Logo, a força de pressão total
     devido ao escoamento e à
     pressão atmosférica será:
Forças de superfície: Pressão em um
                 VC

• Como a força resultante da pressão
     atmosférica é zero, tem-se:




 • A soma da pressão PM (pressão
   manométrica) e a Patm (pressão
 atmosférica) é a P (pressão absoluta):
           P = PM + Patm
Forças de superfície: Força viscosa no VC

 • Um fluido é uma substância que se deforma continuamente
      quando submetido a uma tensão de cisalhamento ( ).
• Esta deformação se deve ao fato de que o fluido não suporta
   a ação de uma força tangente à sua superfície.
• Logo a (  ) corresponde à força tangente à superfície dividida
   pela área da superfície.
• A taxa de deformação decorrente desta tensão é diferente
   para diferentes fluidos.
• A propriedade que relaciona  com a taxa de deformação de
   um fluido é a viscosidade (μ).
Forças de superfície: Força viscosa no VC

• O fluido adjacente a uma superfície sólida (parede) sofre
  o que é chamado de tensão de cisalhamento na parede
  (p ).

• Na superfície sólida a velocidade relativa entre o fluido
  e a superfície é nula (princípio da aderência ou do não
  escorregamento).

• Na medida que se afasta da parede, a velocidade do
  fluido relativa à parede vai aumentar de zero até um
  valor finito.
Forças de superfície: Força viscosa no
                 VC
• A tensão de cisalhamento ( p ) atua no sentido de resistir ao
  movimento do fluido e será máximo junto à superfície sólida
  (onde não existe movimento).

• Assim, a força viscosa na SC será:
Força externa total no VC
• A força externa total atuando em um VC é:




• A força viscosa será analisada nos
            Capítulos 6 e 7.
• A água escoa em regime permanente através de um cotovelo
  circular de 90o com redução, que descarrega para a
  atmosfera, como mostra a figura abaixo. O cotovelo é parte
  de um sistema de tubulação horizontal (plano x, y) e está
  conectado ao resto da tubulação por um flange. Determinar
  a força no flange do cotovelo nas direções x e y se a vazão
  mássica que passa através do cotovelo é de 88,0 lbm/s
  (  água = 63,31 lbm/ft3 a 70º F). PM1= 17,4 lbf/in2
• Um anteparo curvo é montado sobre rodas e move-se na
  direção x com uma velocidade constante U = 8 m/s como
  resultado de um jato de água (  = 998 kg/m3) que sai de um
  bocal estacionário como mostra a figura abaixo. A velocidade
  que água deixa o bocal é Vj = 25 m/s. Quando a água atinge o
  anteparo, ela está se movendo apenas na direção x, porém
  quando ela deixa o anteparo, ela foi desviada para uma
  direção 50o acima da direção x. Desprezando as forças de
  campo, qual é a força exercida pela água no anteparo móvel?
Conservação de energia:
Primeira lei da termodinâmica
       aplicada ao VC
Conservação de energia no VC



• O princípio da conservação de energia para VC enuncia que:
Conservação de energia no VC
• O enunciado do princípio da conservação
      pode ser expresso desta forma:
Conservação de energia no VC
• Enquanto que no sistema (sem fluxo de massa) a taxa de
  energia armazenada é:




• No VC existe a contribuição da energia transferida através do
                     fluxo de massa, sendo:


• onde Esup refere-se à transferência de energia devido ao
  esforço, atrito viscoso e pressão atuando na superfície de
  controle (SC) por conta do transporte de massa.
Conservação de energia no VC
• Logo, o enunciado da conservação de energia no VC pode ser
  expressa:




• A partir da conservação de momento linear definiu-se quem
  contribui para determinar Esup:
Conservação de energia no VC:
              Forças viscosas
•        refere-se à taxa de transferência de energia resultante
    da pressão que atua na SC e do movimento relativo entre o
    fluido e esta superfície.

• Logo,       é a integral do produto da força de pressão (-PdA),
  atuando na direção do centro do VC, e a velocidade normal a
  dA (V.n), sobre toda a SC:
Conservação de energia no VC:
            Força de pressão
• Considerando que a pressão (P) seja uniforme ao longo de
  toda a área da entrada, assim como a velocidade, tem-se
  que:


• Lembrando que (V.A) é a vazão volumétrica (m3/s), pode-se
  representá-la através do fluxo de massa:




• Logo, a transferência de energia devido à força da pressão na
  SC será:
Conservação de energia no VC
• Admitindo um VC que anula a força viscosa e substituindo a
  energia transferida pela força de pressão, tem-se:




• Assim, esta é a taxa de energia transferida no transporte de
  massa através da SC.

• Ou seja, é a taxa de energia necessária para mover o fluido
  para dentro e para fora do VC.
Conservação de energia no VC
• E a taxa de energia armazenada no VC (pela 1ª Lei):
Conservação de energia no VC
• No entanto, “e” representa a energia total específica
  transferida no fluxo de massa.
• Relembrando o conceito de energia total:
Conservação de energia no VC
Conservação de energia no VC
Conservação de energia no VC
• No caso do VC possuir várias entradas e saídas, o balanço da
  taxa de energia é:




 • Este balanço da taxa de energia estabelece a taxa
    na qual a energia cresce ou decresce em um VC.
Analisando a conservação de energia no VC




• Vale lembrar que o valor positivo de         é definido como a
  taxa de trabalho que está sendo realizado pelo fluido.
• Caso se queira aproveitar este trabalho, é necessário, por
  exemplo, convertê-lo em trabalho mecânico através de uma
  turbina ou um arranjo pistão-cilindro que forneça potência
  através da rotação de um eixo.
• No entanto, tais dispositivos possuem irreversibilidades e
  portanto, produzem menos potência de eixo que a potência
  disponível no fluido.
Analisando a conservação de energia no VC




• Analogamente, o valor negativo de       é definido como a taxa
  de trabalho que está sendo realizado sobre fluido.
• Para produzir este trabalho, o dispositivo tem que converter
  trabalho mecânico de eixo em trabalho sobre o fluido. Isto é
  feito através de um compressor ou uma bomba.
• Esta conversão também envolve irreversibilidades e portanto,
  deve-se fornecer mais potência ao eixo do compressor ou da
  bomba do que a que vai para o fluido.
Casos especiais: escoamento em
          regime permanente
• Ocorre quando todas variáveis do escoamento num ponto do
  espaço não variam com o tempo.
• Isto significa que não há variação de fluxo de massa e nem de
  taxa de energia armazenada dentro do VC.
• Assim, a equação de conservação de massa no VC (contendo
             apenas uma entrada e uma saída) em RP é:



         • E a equação da conservação de energia é:
Casos especiais: escoamento em
      regime permanente
Casos especiais: escoamento de
     gases perfeitos em RP



• Se o fluido é um gás   perfeito (ideal e com cp cte):


   • O escoamento em RP do gás perfeito no VC é:
Casos especiais: escoamento de
           líquidos em RP
• Quando o fluido for um líquido, é mais comum usar outra
               expressão. Lembrando-se que:




            • Sendo o escoamento em RP é:
Casos especiais: escoamento de
        líquidos em RP
            • Considerando que:

   • Substituindo e reagrupando tem-se:




        •
                               . :
            Dividindo tudo por mg
Casos especiais: escoamento de
        líquidos em RP
Casos especiais: escoamento de
             líquidos em RP
• A carga manométrica total (HT), seja na entrada ou saída, é
  definida como a soma da carga manométrica de pressão
  (P/ρg), da carga manométrica de velocidade (V2/2g) e da carga
  manométrica potencial gravitacional (z) por unidade de vazão
  mássica.
    • HT tem as dimensões de um comprimento (m ou ft).
hw




2
Mas o que representa exatamente a
    carga manométrica total (HT) ?
• A carga manométrica tem sua origem no campo da hidráulica e
  é forma de representar a pressão em um fluido.
• Considere, por exemplo, uma pressão atmosférica de 101 kPa
  (1atm). Ela pode ser representada como a altura de uma
  coluna de líquido equivalente. Se o líquido for água, com ρ =
  998 kg/m3, tem-se:



• Uma pressão atmosférica de 101 kPa é equivalente à força por
  unidade de área na base da coluna de água com altura de
  10,32 m. OU SEJA, uma pressão de 1 atm corresponde a uma
  carga manométrica de 10,32 m de coluna de água.
• Um sistema de sifão com diâmetro interno d=0,075m é utilizado para
  remover água de um recipiente A para outro B, conforme figura abaixo.
  Quando em operação, a vazão em RP através do sifão é de 0,03 m3/s. A
  temperatura da água é de 25 oC e ρ=998,3 kg/m3. Calcule qual a elevação do
  sifão acima da superfície da água do reservatório A, ∆z, na qual a pressão
  mínima do sifão seja igual à pressão de vapor da água (Pv=2,339 kPa).
  Admite-se que a perda de carga devido ao atrito e à transferência de calor
  pode ser desprezada, ou seja, hL=0. Admitir que o nível de água no
  reservatório é mantido constante.
2
Casos especiais: Equação de
               Bernoulli
• Ela é um caso particular da equação de conservação de
         energia, válida quando o escoamento for:

– Incompressível
– Em regime permanente
– Adiabático (sem transferência de calor) e reversível (sem
dissipação viscosa ou invíscido)
– Sem realização de trabalho
Casos especiais: Equação de
                 Bernoulli
• A equação de Bernoulli representa as formas de energia
  presentes em um escoamento.
• Ela afirma que essa energia se conserva entre dois pontos,
  uma vez que não há dissipação viscosa, trabalho e calor
  atravessando as fronteiras.
• É a primeira solução que relaciona campo de velocidade com
  campo de pressão.

• Ela pode ser empregada também para gases.
Casos especiais: Equação de
               Bernoulli
 • Considerando o escoamento em uma tubulação (com
      paredes paralelas) no plano horizontal (Z1=Z2):




                • Rearrumando tem-se:




• Cada termo desta forma da Eq. Bernoulli representa uma
                        pressão.
Casos especiais: Equação de Bernoulli




• O termo P é a pressão termodinâmica, chamada de pressão
  estática.
• À medida que V2 aumenta, P deve diminuir.
• Analogamente, a medida que V2 diminui, P deve aumentar.
  • Logo, existirá uma pressão estática mesmo que não haja
                          escoamento.
Casos especiais: Equação de
                 Bernoulli
• O termo ρ V2 /2 é a pressão dinâmica e existe apenas quando
  há escoamento.
  • Fora da camada limite de escoamento, o escoamento se
        comporta como se fosse invíscido e a Eq. Bernoulli
    estabelece que a soma das pressões estática e dinâmica é
       constante ao longo da linha de corrente horizontal.
• Esta pressão constante é chamada de pressão total ou
  pressão de estagnação.
Solução no Livro
     Texto
Casos especiais: Equação de Bernoulli –
  Fluido em repouso       Manômetros
• São medidores de pressão que operam em condições
  HIDROSTÁTICAS (ou seja, não há velocidades).




• Regra: mesmo fluido à mesma altura apresenta mesma
  pressão. Por quê?
• Porque a pressão só varia com a densidade (ρ) e a altura (z)
Manômetro: Tubo U
Manômetro Diferencial
Armazena-se água em um recipiente cuja seção transversal é
mostrada na figura abaixo. Numa pernas há mercúrio que, devido
ao fato de ser mais denso que a água ( Hg =13,55  água), depositou-
se no fundo do recipiente. A pressão na superfície livre é a pressão
atmosférica. Determinar a pressão nos fundos A, B, C e D, nas cotas
–z1, -z2 e –z3 abaixo da superfície livre.
(lembrar que a razão Hg / água = 13,55 é a densidade relativa do
mercúrio, listada na Tabela A-11)


 Solução no Livro
      Texto



 PTotal = P0 +  . g . H
Casos especiais: Equação de Bernoulli


• Fisicamente a pressão de estagnação representa a pressão
  estática que agirá em um ponto do fluido quando este for
  colocado em repouso (V=0) através de um processo adiabático
  reversível.
• A pressão estática de um escoamento pode ser obtida através
  de um manômetro ou de um sensor de pressão estática,
  chamada de tubo de Pitot.
• O tubo de Pitot mede também a pressão de estagnação do
  escoamento.
Tubo de Pitot
• Foi desenvolvido para realizar medidas locais da velocidade de
  correntezas em rios.
• Até hoje é muito utilizado na indústria aeronáutica, em
  instalações industriais (linhas de vapor, gases e líquidos) em
  sistemas de ventilação e laboratórios de pesquisa.
    • Permite realizar uma medida local da velocidade do
   escoamento a partir da pressão de estagnação e da pressão
                            estática.
• Pode ser empregado tanto para fluidos compressíveis como
  para incompressíveis.
Tubo de Pitot
Princípio básico do tubo de Pitot
 • O escoamento livre é desacelerado de modo reversível até a
                           estagnação.
• A energia total se conserva.




  • Primeira solução que relaciona campo de velocidade com
                       campo de pressão.
• A figura abaixo mostra o escoamento de água, a 5 oC, através
  da seção de testes horizontal de um túnel de água. Um tubo de
  Pitot é colocado no escoamento além da camada limite da
  parede da seção de testes. A sonda é conectada a um
  manômetro em U com mercúrio cujos ramos mostram uma
  diferença na coluna de mercúrio de ∆zHg= 52 mm. Determinar
  a velocidade da água no ponto onde está a sonda.
Seleção de um volume de controle (VC)
• A seleção do VC é fundamental para se resolver um problema.
• O melhor VC é normalmente determinado pela experiência e por
  uma análise cuidadosa das variáveis conhecidas e desconhecidas
  para o problema particular.
• Dadas as alturas entre reservatórios, o diâmetro da tubulação e
  o fluxo de massa (140 kg/s) deseja-se determinar a potência da
  bomba para transferir um volume de fluido na unidade de
  tempo (dado: eficiência da bomba = 85%).
• Dadas as alturas entre reservatórios, o diâmetro da tubulação e
  o fluxo de massa (140 kg/s) deseja-se determinar a potência da
  bomba para transferir um volume de fluido na unidade de
  tempo (dado: eficiência da bomba = 85%).
• Dadas as alturas entre reservatórios, o diâmetro da tubulação e o fluxo de
  massa (140 kg/s) deseja-se determinar a potência da bomba para transferir
  um volume de fluido na unidade de tempo (dado: eficiência da bomba = 85%).
• Dadas as alturas entre reservatórios, o diâmetro da tubulação e o fluxo de
  massa (140 kg/s) deseja-se determinar a potência da bomba para transferir
  um volume de fluido na unidade de tempo (dado: eficiência da bomba = 85%).
Dispositivos
• Os casos especiais podem ser aplicados em
  diferentes VCs, ou seja, em diferentes dispositivos,
  como por exemplo em bombas, turbinas, bocais,
  difusores, etc.
• Além disto, em cada dispositivo podem existir
  condições específicas e isto precisa ser levado em
  conta na análise de cada dispositivo.

RP
Dispositivos: bocais e difusores
• Um bocal é um dispositivo formado por um duto com área de
  seção reta variável, na qual a velocidade de um fluido
  aumenta na direção do escoamento.
• Um difusor é um dispositivo contrário ao bocal, no qual a
  velocidade do fluido diminui na direção do escoamento.
• Em bocais e difusores, o único trabalho é aquele associado ao
  escoamento do fluido, em locais onde a massa entra e deixa o
  VC.
• Em muitas situações, a variação de energia potencial na
  entrada e na saída é desprezível. Logo, simplificando, num
  bocal ou difusor:
Adiabático e RP
• Vapor entra em um bocal convergente-divergente operando em
  regime permanente (RP) com P1=40 bar, T1=400 oC e V1=10
  m/s. O vapor escoa através do bocal com transferência de calor
  desprezível e sem variação significativa na energia potencial. Na
  saída, P2=14 bar e V2=665 m/s. A vazão mássica é de 2 kg/s.
  Determine a área de saída do bocal em m2.
• Vapor entra em um bocal convergente-divergente operando em
  regime permanente (RP) com P1=40 bar, T1=400 oC e V1=10
  m/s. O vapor escoa através do bocal com transferência de calor
  desprezível e sem variação significativa na energia potencial. Na
  saída, P2=14 bar e V2=665 m/s. A vazão mássica é de 2 kg/s.
  Determine a área de saída do bocal em m2.
                               4 MPa      1,4 MPa
0   0
        0
Dispositivos: turbinas
• Uma turbina é um dispositivo no qual trabalho é
  desenvolvido como resultado de um gás ou de um
líquido passando através de um conjunto de lâminas
      fixadas a um eixo livre para sofrer rotação.
Turbinas
• As turbinas são usadas em várias instalações, como em
  instalações motoras a vapor, instalações motoras a gás,
  motores de aeronaves, etc.
• Nestes casos, vapor superaquecido ou gás entra na
  turbina e se expande até uma pressão de saída mais
  baixa, produzindo trabalho.
• Quando o fluido for vapor ou gás, a variação de
  energia potencial é usualmente desprezada.
• A escolha apropriada da superfície do VC em torno da
  turbina faz com que a variação de energia cinética seja
  frequentemente pouco expressiva também.
Adiabático
RP
• Vapor entra em uma turbina operando em RP com um fluxo de
  massa de 4600 kg/h. A turbina desenvolve uma potência de
  saída de 1000 kW. Na entrada, a pressão é de 60 bar, a
  temperatura é de 400 oC e a velocidade é de 10 m/s. Na saída
  a pressão é de 0,1 bar, o título é de 0,9 e a velocidade é de 50
  m/s. Calcule a transferência de calor entre a turbina e a
  vizinhança (em kW).
                             6 MPa       10 KPa
• Vapor entra em uma turbina operando em RP com um fluxo de massa de
  4600 kg/h. A turbina desenvolve uma potência de saída de 1000 kW. Na
  entrada, a pressão é de 60 bar, a temperatura é de 400 oC e a velocidade é
  de 10 m/s. Na saída a pressão é de 0,1 bar, o título é de 0,9 e a velocidade
  é de 50 m/s. Calcule a transferência de calor entre a turbina e a vizinhança
  (em kW).
                                           6 MPa        10 KPa
Dispositivos: compressores e bombas
• Os compressores são dispositivos no qual trabalho é
  realizado sobre o gás passando através deles com o
  objetivo de aumentar a pressão.
• Já nas bombas, a entrada de trabalho é utilizada para
  mudar o estado de um líquido que circula em seu
  interior.
• Em ambos os casos, a variação de energia potencial é
  normalmente desprezada.
• A transferência de calor para a vizinhança é
  frequentemente um efeito secundário.
• Ar é admitido em um compressor que opera em RP com
  P1=1bar, T1=290K e V1=6m/s através de uma entrada
  A1=0,1m2. Na saída, P2=7bar, T2=450K e V2=2m/s. A
  transferência de calor do compressor para a sua vizinhança
  ocorre a uma taxa de 180 kJ/min. Considerando que o ar se
  comporte como gás ideal, calcule a potência de entrada para
  o compressor (kW).
  Dados:
• Ar é admitido em um compressor que opera em RP com P1=1bar, T1=290K
  e V1=6m/s através de uma entrada A1=0,1m2. Na saída, P2=7bar, T2=450K
  e V2=2m/s. A transferência de calor do compressor para a sua vizinhança
  ocorre a uma taxa de 180 kJ/min. Considerando que o ar se comporte
  como gás ideal, calcule a potência de entrada para o compressor (kW).
Dispositivos: trocadores de calor
• Estes dispositivos transferem calor entre fluidos a
  diferentes temperaturas.
• Um exemplo são os radiadores de automóveis,
  condensadores, evaporadores e sistemas de
  resfriamento.
• A única interação em termos de trabalho com a
  fronteira de um VC é o trabalho do escoamento nos
  locais onde a matéria sai e entra. Assim a taxa de
  trabalho no VC pode ser considerada zero.
• A energia potencial geralmente pode ser desprezada
  nas entradas e saídas.
Variação de entropia em um sistema
• Num sistema termodinâmico a equação geral para a variação
  de entropia é:




 • A variação de entropia em um processo irreversível é maior
            que num reversível com o mesmo δQ e T.
Geração de entropia em um sistema
• De forma genérica, pode-se escrever que:



• Desde que:

• Representa a entropia gerada no processo devido às
  irreversibilidades.
Variação de entropia em um VC
• No VC a equação geral para a variação de entropia (tanto em
  sistemas reversíveis quanto irreversíveis) deverá considerar
  também a transferência de entropia do fluxo de massa
  através da superfície de controle:
Variação de entropia em um VC
• Para várias entradas e saídas do VC:
Variação de entropia em um VC



• S de um VC pode crescer de três formas: por adição de calor,
   por adição de massa ou pela presença de irreversibilidades.


• S de um VC pode diminuir de duas formas: por remoção de
                  calor ou remoção de massa.
Trabalho em RP no VC
Trabalho em RP no VC
Solução no Livro
     Texto
.     .
Q = m (hs –he) = 1 (2.776,1 – 762,81) = 2.013,3 kW


T = (179,91 + 177,69) / 2 = 178,8 = 452 K

. .            .
I = m (ss-se) – (Q / T) = 1 (6,6041 – 2,1387) – (2,013,3/452)

.
I = 0,01120 kW/K
• Vapor entra em uma turbina com uma pressão de 30 bar, a
  uma temperatura de 400º oC e uma velocidade de 160 m/s.
  Vapor saturado a 100 oC sai com uma velocidade de 100 m/s.
  Em RP, a turbina desenvolve um trabalho de 540 kJ/kg de
  vapor escoando através da turbina. Ocorre transferência de
  calor entre a turbina e a sua vizinhança a uma temperatura
  média da superfície externa igual a 350 K. Determine a taxa na
  qual a entropia é gerada no interior da turbina por kg de vapor
  escoando, em kJ/kg.K. Despreze a variação na energia
  potencial entre a entrada e a saída.
• Vapor entra em uma turbina com uma pressão de 30 bar, a
  uma temperatura de 400º oC e uma velocidade de 160 m/s.
  Vapor saturado a 100 oC sai com uma velocidade de 100 m/s.
  Em RP, a turbina desenvolve um trabalho de 540 kJ/kg de
  vapor escoando através da turbina. Ocorre transferência de
  calor entre a turbina e a sua vizinhança a uma temperatura
  média da superfície externa igual a 350 K. Determine a taxa na
  qual a entropia é gerada no interior da turbina por kg de vapor
  escoando, em kJ/kg.K. Despreze a variação na energia
  potencial entre a entrada e a saída.
                            0,3 MPa
Conversão de energia por ciclos
• Os ciclos de geração de potência retiram calor de uma fonte
  de alta temperatura, convertem parte desta energia em
  trabalho, e liberam o restante da energia para uma fonte de
  baixa temperatura.




• Para estes ciclos, a eficiência máxima é a eficiência de Carnot,
  que representa o ciclo ideal (reversível). No ciclo real, a
  eficiência é menor que de Carnot.
Conversão de energia por ciclos


                    2      3




                    1      4
Conversão de energia por ciclos
• Para a geração de potência, o trabalho fornecido deve ser
  menor que o produzido.
• Quando o trabalho líquido for fornecido ao ciclo (ou seja,
  fornece-se mais do que se extrai) este poderá ser utilizado
  como um ciclo de refrigeração ou bomba de calor.
• Além do uso de fluidos como substância de trabalho no ciclo,
  pode-se utilizar também substâncias de trabalho sólidas.
• Porém produzem uma quantidade de potência muito reduzida
  para merecer uso prático.
Ciclo de Rankine
• É o ciclo mais comum para a conversão de calor em trabalho.
• Unidades geradoras utilizam este ciclo para gerar potência a
  partir de fontes fósseis ou nucleares.
• A substância de trabalho normalmente utilizada é água,
  apesar de poder operar com outros fluidos (amônia, potássio,
  mercúrio, fluidos refrigerantes).
  • Será analisado apenas o ciclo de Rankine básico, usando
                 água como fluido de trabalho.
Ciclo de Rankine
• Consiste de quatro processos termodinâmicos distintos.
          • Processo de compressão na bomba (1-2):
  – É considerado adiabático reversível;
  – O processo real é muito próximo do adiabático porém
  existem irreversibilidades.

     • Processo de recebimento de calor na caldeira (2-3):
  – Ocorre a pressão constante;
  – No processo real ocorre uma queda de pressão à medida
  que o fluido escoa pela caldeira.
Ciclo de Rankine
         • Processo de expansão na turbina (3-4):
– É considerado como sendo adiabático reversível;
– O fluido de trabalho se encontra na região de saturação
(vapor saturado), porém no processo real opera-se a turbina
entrando com vapor superaquecido.
– No processo real também apresentará irreversibilidades que
aumentarão a entropia.
  • Processo de rejeição de calor no condensador (4-1):
– Ocorre a pressão constante;
– É recomendável que a bomba não receba uma mistura
líquido-vapor e por isto a mudança de fase vai até o estado de
líquido saturado.
Ciclo de Rankine
Ciclo de Rankine Ideal
                      • Neste ciclo ideal:
  – Todos os processos são reversíveis;
  – Não há queda de pressão nos trocadores de calor;
  – Não há irreversibilidades na turbina e na bomba.
• Será admitido regime permanente para todos os componentes.

• Cada componente será analisado em separado.
• A 1ª lei para VC:
Ciclo de Rankine Ideal
Ciclo de Rankine Ideal
Ciclo de Rankine Ideal
Ciclo de Rankine Ideal
Ciclo de Rankine Ideal
Ciclo de Rankine
Ciclo de Rankine Ideal



P3 = P2 e P4 = P1
Estado 1: Líquido saturado
Estado 4: Mistura Líquido-Vapor
s3=s3 e s2=s1
• O vapor em um ciclo de Rankine ideal entra na turbina a
  P3=10MPa e T3=500 oC e deixa a turbina a P4=10kPa.
  a) Represente o ciclo no diagrama T-s.
  b) Calcule a eficiência térmica do ciclo.
  c) Qual é a potência líquida produzida se a vazão mássica do
  vapor for de 10 kg/s?
• O vapor em um ciclo de Rankine ideal entra na turbina a
  P3=10MPa e T3=500 oC e deixa a turbina a P4=10kPa.
  a) Represente o ciclo no diagrama T-s.
  b) Calcule a eficiência térmica do ciclo.
  c) Qual é a potência líquida produzida se a vazão mássica do
  vapor for de 10 kg/s?




  P3 = 10 MPa
  T3 = 500 oC
  P4 = 10 KPa
  Na entrada da turbina o vapor é superaquecido.
.             P3 = P2 e P4 = P1
m = 10 kg/s
              Estado 1: Líquido saturado
              Estado 4: Mistura Líquido-Vapor
              s3=s3 e s2=s1
Efeito da pressão e temperatura no
            ciclo de Rankine
• A temperatura e pressão de recebimento e rejeiçãode calor
  afetam o rendimento do ciclo;
• Como nesses processos ocorre mudança de fase, não se pode
  alterar a pressão sem alterar a temperatura e vice-versa;
• A influência da temperatura e da pressão pode ser
  determinada facilmente analisando-se o diagrama T-s do ciclo
  de Rankine;
• A influência da temperatura e da pressão no rendimento
  então pode ser determinada pela nova relação de áreas.
Influência da pressão de
    condensação (P4,1)
            • A pressão caindo de P4 para P4’ ⇒
              diminuição da temperatura na qual o
                        calor é rejeitado.
          • O trabalho líquido e o calor fornecido
                           aumentam.
           • A área do aumento do calor << área
                do trabalho líquido: aumento no
                          rendimento.
             • Essa diminuição de pressão tem
              limites como por exemplo: não pode
                  haver mais de 10% de teor de
                  umidade na saída da turbina.
Influência da temperatura de
  aquecimento do vapor (T3)
              • O trabalho e o calor transmitido na
                         caldeira aumentam.
             • Como a temperatura média em que
                o calor é adicionado aumenta há um
                       aumento da eficiência.
               • Com o aumento da temperatura
                também há um aumento do título do
                      vapor na saída da turbina.
             • A temperatura no qual o vapor pode
                  ser superaquecido é limitada por
                 questões metalúrgicas em cerca de
                                620ºC.
Influência da pressão de vaporização
                (P2, 3)
                   • A temperatura máxima do vapor e a
                     pressão de saída da turbina é mantida
                                   constante.
                 • Neste caso, o calor rejeitado diminui da
                                 área 4-4’-b-b’.
                • O trabalho líquido tende a permanecer o
                     mesmo e o calor rejeitado diminui: há
                         um aumento do rendimento.
                  • A temperatura média na qual o calor é
                      fornecido também aumenta com o
                              aumento da pressão.
                   • O título do vapor que deixa a turbina
                       diminui quando a pressão máxima
                                   aumenta.
Resumindo
• Pode-se dizer que o rendimento de um ciclo de Rankine
  aumenta:
      – Pelo abaixamento da pressão de saída da turbina;
               – Pelo superaquecimento do vapor;
     – Pelo aumento da pressão no fornecimento de calor.

• O título do vapor que deixa a turbina:
           – Aumenta pelo superaquecimento do vapor;
   – Diminui pelo abaixamento da pressão na saída da turbina
      e pelo aumento da pressão no fornecimento de calor.
Ciclo de Rankine com reaquecimento
• O aumento da pressão no processo de fornecimento de calor aumenta
  o rendimento do ciclo de Rankine, mas provoca o aumento do teor de
  umidade do vapor nos estágios de baixa pressão da turbina.
• Para evitar esse problema desenvolveu-se o ciclo com reaquecimento,
  onde o vapor entra na turbina a uma pressão reduzida.
• Nesse ciclo o vapor expande na turbina até uma pressão intermediária
  e depois volta para a caldeira.
• Após o reaquecimento, o vapor expande-se totalmente na turbina até
  a pressão de saída.
• Há um pequeno ganho de rendimento neste ciclo uma vez que a
  temperatura média, no qual o calor é fornecido, não é alterada
  significativamente.
• Há uma diminuição do teor de umidade no estágio de baixa pressão da
  turbina, levando-o a um valor seguro.
.
W = h 3 – h 4 + h5 – h 6
Ciclo regenerativo
• O objetivo é aumentar a eficiência do ciclo de Rankine
  extraindo vapor da turbina e fazendo-o passar por um trocador
  de calor e aquecer a água antes de ela entrar na caldeira.
• O vapor extraído é condensado nesse trocador de calor e o
  líquido retorna para o ciclo.
• O vapor extraído não pode mais realizar trabalho na turbina e a
  potência da turbina será reduzida.
• Porém a quantidade de calor que deverá ser fornecido sofrerá
  uma redução ainda maior que a redução da potência: havendo
                   aumento da eficiência do ciclo.
• O calor na caldeira estará sendo oferecido a uma temperatura
  média maior e a eficiência do ciclo também será maior.
Co-geração é definida como o processo de
transformação de uma forma de energia em
    mais de uma forma de energia útil, de
  acordo com Oddone (2001), geralmente
 energia mecânica (movimentar máquinas,
   equipamentos e turbinas de geração de
  energia elétrica) e a térmica (geração de
               vapor ou calor).
  O mesmo autor salienta que a co-geração
  apresenta alta eficiência energética, pois
  não há o desperdício de energia térmica
  (como ocorre nas termoelétricas puras),
 pois essa energia é utilizada em processos
  industriais, como secagem, evaporação,
  aquecimento, cozimento, destilação, etc.
Perdas
• Tubulação:
  – As mais importantes são a perda de carga devido aos efeitos de
  atrito e a transferência de calor ao meio envolvente;
  – Tanto a perda de carga como a troca de calor provoca uma
  diminuição da disponibilidade energética do vapor que entra na
  turbina;
  – O mesmo ocorre na caldeira e por isto a água que entra na caldeira
  deve ser bombeada até uma pressão mais elevada do que a pressão
  desejada do vapor que deixa a caldeira, o que requer trabalho
  adicional de bombeamento.
• Turbina:
  – São principalmente as associadas com o escoamento do fluido de
  trabalho através da turbina;
  – A transferência de calor para o meio também representa uma
  perda, porém esta perda é secundária.
Perdas
• Bombas:
  – As perdas na bomba são análogas àquelas da turbina e
  decorrem principalmente da irreversibilidade associada ao
  escoamento do fluido;
  – A troca de calor usualmente é uma perda secundária.

• Condensador:
  – As perdas no condensador são relativamente pequenas;
  – Uma delas é o resfriamento abaixo da temperatura de
  saturação do líquido que deixa o condensador.
Exercícios - Capítulo 5
             Análise através de VC

• 5.7 ; 5.8 ; 5.12 ; 5.17 ; 5.19 ; 5.25 ; 5.27 ; 5.32 ;
  5.37 ; 5.52 ; 5.53 ; 5.55 ; 5.64 ; 5.70 ;
. .
              m1 = m2




               8
P1= 101 kPa                      P2= 105 kPa
T1 = 16ºC                        T2 = 18oC



                                               A1 = A2 =    x r2/2
              d1 = d2 = 0,6m

              A1V2 = 0,35 m3/s
                                                     Pv = RT
287
5
W=
4
0   0




P2= 50 KPa


             Tviz = 25ºC
P2= 50 KPa   S1 – S2
3




                                       1           2.
                                       .
                                               Q
                                           l

                                   A                    B




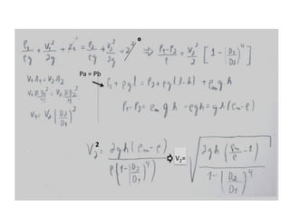
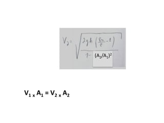
    Tubo de Venturi: Mede a velocidade do escoamento
     e a vazão de um líquido incompressível através da
       variação da pressão durante a passagem deste
     líquido por um tubo de seção mais larga e depois
              por outro de seção mais estreita
Pa = Pb




     2
          V2=
L




Equação de Bernoulli entre os pontos 1 e 2

                 Pb = Pc                     OU
(A2/A1)2




V 1 x A1 = V 2 x A2
V2 = 2 x 10 x 0,1 x (13,55-1)   = 5,8 m/s
                                         1 – (10/20)2
        (A2/A1)2




Vazão = V2 x A2 = 5,8 x 10 x 10-4 = 0,0058 m3/s = 5,8 L/s
Solução no Livro
      Texto



Turbina a água
Turbina a água




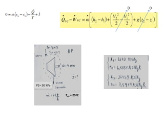
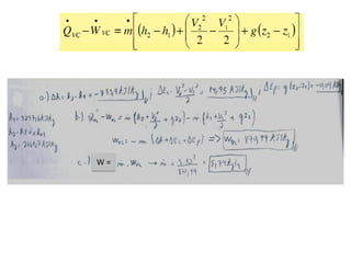
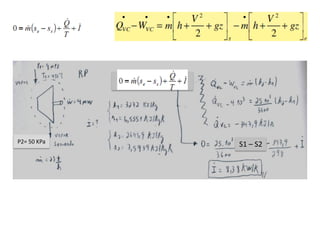
P1 = 300 KPa       P2 = 90 KPa         Z1-Z2 = 1,5m


V1 = Vazão volum. / Área 1

V2 = Vazão volum. / Área 2
Turbina a água




P1 = 300 KPa          P2 = 90 KPa         Z1-Z2 = 1,5m

V1 = Vazão volum. / Área 1 = 0,9 /      / 4 x (O,25)2 = 18,33 m/s

V2 = Vazão volum. / Área 2 = 0,9 /    / 4 x (O,40)2 = 7,162 m/s
.    .
W = m (P1 – P2) /  + (V12 – V22) / 2 + g (Z1 – Z2) =
.
W = 1000 x(0,9) 300.000 – 90.000 + 18,35 2 – 7,1622            + 9,807 x (1,5) = 303,3 kW
                    1000               2

.
Ws = 0,82   x   303,3 = 270,8 kW
Teorema de Transporte de Reynolds
• Teorema utilizado para transformar as equações válidas para
  um sistema termodinâmico em equações válidas para um
  volume de controle.

Capítulo 5

  • 1.
    Capítulo 5: Análiseatravés de volume de controle Aula 5
  • 2.
    Volume de controle • Conservação de massa • Conservação da quantidade de movimento • 1º lei da termodinâmica aplicada ao VC • Equação de Bernoulli • Casos especiais • Seleção do VC • Segunda lei da termodinâmica • Conversão de energia 5
  • 3.
    Introdução • Existe umfluxo de massa da substância de trabalho em cada equipamento desta usina, ou seja, na bomba, caldeira, turbina e condensador. • Assim, não se pode analisar cada equipamento como um sistema termodinâmico fechado.
  • 4.
    Introdução • Além datransferência de energia na forma de calor e trabalho, já vista para sistemas termodinâmicos, existe também o transporte de energia associado à massa que escoa para dentro e para fora de cada equipamento. • Logo, uma análise termodinâmica completa deve considerar a transferência de calor e de trabalho e o transporte de energia associado ao transporte de massa.
  • 5.
    Volume de controle(VC) • É um volume arbitrário do espaço através do qual há massa entrando e saindo. • Seu contorno geométrico é denominado de superfície de controle: – Esta superfície pode ser real ou imaginária; – Pode estar em repouso (estacionária) ou em movimento (móvel). • Através da superfície de controle pode atravessar: – Massa, trabalho, calor e quantidade de movimento. • Em geral, qualquer região do espaço pode ser escolhida como volume de controle. No entanto, uma escolha apropriada pode simplificar bastante a resolução de um problema.
  • 6.
    Estudo de umvolume de controle • No estudo termodinâmico de um sistema o interesse se concentrava nas mudanças das propriedades (pressão, temperatura, volume específico, entalpia, etc.). • No estudo de um VC, além de continuar avaliando as mudanças das propriedades, procura-se: – conhecer as forças que atuam sobre o fluido que atravessa a superfície de controle; – e também a reação exercida pelo fluido sobre a superfície de controle. • Muitas vezes o interesse é maior no efeito do movimento de uma massa de líquido, que no movimento em si.
  • 7.
    Princípios de conservação •Na análise do sistema termodinâmico foi usado o princípio da conservação da energia (Primeira lei) e a Segunda lei da termodinâmica. • No volume de controle, além destes, é necessário também analisar o princípio da conservação de massa e da conservação de quantidade de movimento, uma vez que existe fluxo de massa.
  • 8.
    Conservação de massapara VC • O princípio da conservação de massa para VC enuncia que:
  • 9.
  • 10.
    Conservação de massapara VC • Em geral podem existir vários locais na superfície de controle através dos quais a massa entra e sai. • Logo, para múltiplas entradas e saídas, tem-se:
  • 11.
    Escoamento Unidimensional • Quandouma corrente de fluxo de matéria entrando ou saindo do VC é: – Normal à superfície de controle nos locais em que a massa entra e sai do VC, e – Todas as propriedades intensivas (INDEPENDEM DA MASSA) são uniformes com a posição (se mantém constantes ao longo da área da seção reta do escoamento); diz-se que o escoamento é unidimensional.
  • 12.
    Escoamento Unidimensional • Considerandoa velocidade de escoamento do ar (V) e a densidade do ar ( ), num escoamento unidimensional a taxa de massa ou vazão mássica (kg/s) será: • Ou ainda:
  • 13.
    Conservação de massapara VC • Assim, considerando que o VC tenha apenas uma entrada e uma saída, obtém-se: • Analogamente, quando o VC tiver várias entradas (e) e várias saídas (s), obtém-se:
  • 14.
    Escoamento em regimepermanente • Quando as variáveis do escoamento num ponto do espaço não variam com o tempo, diz-se que o escoamento ocorre em regime permanente. • Analisando do ponto de vista do fluxo de massa, a identidade da matéria no VC varia continuamente, porém a quantidade total de massa presente em qualquer instante permanece constante. • Logo:
  • 15.
    Escoamento em regimepermanente • Assim, num escoamento em regime permanente (a taxa de massa do VC se mantém constante) as taxas totais de entrada e saída de massa são iguais. • No entanto, apenas esta igualdade não implica necessariamente que o escoamento seja em regime permanente, pois pode ocorrer de propriedades estarem variando com o tempo, como por exemplo a pressão ou a temperatura.
  • 16.
    Escoamento em regimepermanente • Quando um fluido incompressível (  constante) escoa através do VC, tem-se: VAZÃO VOLUMÉTRICA: m3/s • Isto é o que geralmente acontece quando se trata do escoamento de um líquido. • Esta relação fornece imediatamente uma descrição qualitativa da velocidade na entrada e na saída do VC:
  • 17.
    Ar escoa emcondições normais (P = 101 kPa e T = 20 o C) através de um tubo de paredes porosas mostrados na Figura abaixo. Nessas condições a densidade é constante. Qual é a velocidade média (uniforme) na saída do tubo? A porosidade do tubo é admitida uniforme e o diâmetro d do tubo é constante. Solução no Livro Texto
  • 18.
    Um fluido entraem um sistema de tubulação mostrada na figura abaixo através da seção 1 e sai pelas seções 2 e 3. A vazão mássica na seção 3 é um quarto da vazão mássica que entra na seção 1. O diâmetro do tubo na seção 2 é d2=0,5d1, e a velocidade média na seção 3 é V3 = 0,5 V1. Determine a velocidade média na seção 2 em termos de V1 e o diâmetro da seção 3 em termos de d1. O fluido é incompressível e, portanto, a sua densidade é constante. Solução no Livro Texto
  • 19.
    • Um aquecedorde água operando em regime permanente apresenta duas entradas e uma saída. Na entrada 1, o vapor d’água entra a P1 = 7 bar, T1 = 200oC e com uma vazão mássica de 40 kg/s. Na entrada 2, água líquida a P2 = 7 bar e T2 = 40oC entra através de uma área A2 = 25 cm2. Líquido saturado a 7 bar sai em 3 com uma vazão volumétrica de 0,06m3/s. Determine as vazões mássicas na entrada 2 e na saída (kg/s) e a velocidade na entrada 2 (m/s).
  • 23.
    No escoamento emregime permanente ocorre conservação de vazão mássica porém NÃO há conservação de vazão volumétrica quando a densidade (ou o volume específico) NÃO for constante!!!!!
  • 24.
  • 25.
    Estudo de umvolume de controle • No estudo termodinâmico de um sistema o interesse se concentrava nas mudanças das propriedades (pressão, temperatura, volume específico, entalpia, etc.). • No estudo de um volume de controle, além de manter o interesse nas mudanças das propriedades, procura-se: – conhecer as forças que atuam sobre o fluido passando através da superfície de controle; – e também a reação exercida pelo fluido sobre a superfície de controle.
  • 26.
    Princípios de conservação •Na análise do sistema termodinâmico foi usado o princípio da conservação da energia (Primeira lei) e a Segunda lei da termodinâmica. • No volume de controle, além destes, é necessário também analisar o princípio da conservação de massa e da conservação de quantidade de movimento, uma vez que existe fluxo de massa.
  • 27.
    Revisão de quantidadede movimento • Quantidade de movimento (P), ou momento linear, é definido como sendo: • Onde M é a massa da partícula (ou do sistema de partículas) e V é a sua velocidade (ou do centro de massa). • Como M é sempre uma grandeza escalar positiva, conclui-se que o momento linear e a velocidade têm o mesmo sentido. • No SI, a unidade que expressa momento linear é o kg.m/s.
  • 28.
    Revisão de quantidadede movimento • Newton expressou sua segunda lei originalmente em termos de momento linear: A taxa de variação no tempo do movimento de uma partícula é igual à força resultante que atua sobre a partícula e aponta no sentido desta força. • Assim, a segunda lei de Newton para um sistema se movimentando em relação à um referencial inercial pode ser escrito como:
  • 29.
    Revisão de quantidadede movimento linear • Desta expressão observa-se que a força externa resultante sobre a partícula varia o seu momento linear. • Inversamente, a quantidade de movimento só pode ser mudado por uma força externa resultante. • Se não existir força externa resultante, o momento linear não pode mudar.
  • 30.
    Revisão de quantidadede movimento linear • Substituindo o momento linear na segunda lei tem-se:
  • 31.
    Conservação de momentolinear para VC • O princípio da conservação de momento linear para VC enuncia que:
  • 32.
    Conservação de momentolinear para VC • Assim, se a taxa de variação total de quantidade de movimento no VC no instante t é igual à resultante das forças atuando no VC neste mesmo instante, o enunciado do princípio da conservação pode ser expresso desta forma: • Onde V é a velocidade relativa ao VC e me e ms são as taxas do fluxo de massa instantâneas na entrada e na saída respectivamente.
  • 33.
    Conservação de momentolinear para VC • Os termos do lado direito da equação expressam a variação da quantidade de movimento do fluido à medida que ele passa através da entrada e da saída do VC. • No caso do VC pode ocorrer variação do fluxo de massa com o tempo e por isto a unidade (SI) da variação de quantidade de movimento (no instante t) é expressa em kg.m/s 2.
  • 34.
    Conservação de momentolinear para VC • A equação acima é uma equação VETORIAL, portanto possui uma componente em cada direção do sistema de coordenadas (x, y e z). • O lado direito é também chamado de força de inércia do fluido, pois representa a tendência do fluido permanecer em movimento a menos que atue uma força externa, representada pelo lado esquerdo.
  • 35.
    Forças atuantes emum VC • As forças que atuam sobre o VC podem ser separadas em: • Forças de campo: estão relacionadas com a massa de fluido no interior do VC. – Gravidade; • Forças de superfície: são as que atuam na superfície do VC. – Pressão; – Tensão de cisalhamento (age tangencialmente à superfície do material)
  • 36.
    Forças atuantes emum VC • Forças de campo: são aquelas que resultam da existência de um campo gravitacional, elétrico ou magnético externo. • A única força de campo que será considerada é o campo de força gravitacional da Terra. • Assim, a força de campo que atua em um fluido: • Onde  é a densidade do fluido e V é o volume do fluido.
  • 37.
    Forças atuantes emum VC • Forças de superfície: são aquelas que ocorrem devido à pressão e às forças viscosas que atuam na superfície do VC. • A pressão atua em todas as direções em um ponto do espaço. • A força da pressão externa ao VC sempre atua na direção normal à superfície de controle e ao longo da superfície interna do VC.
  • 38.
    Forças de superfície:Pressão em um VC • Se dA for um elemento de área da superfície do VC, então a força de superfície devido à pressão é obtida pela integração do produto P.dA, normal à superfície de controle (SC) ao longo de toda a superfície. • Onde “n” é o vetor unitário normal à SC e definido como sendo positivo na direção que aponta para fora da SC.
  • 39.
    Forças de superfície:Pressão em um VC • Se a SC é cercada por uma pressão constante, como a devida à pressão atmosférica (Patm), não haverá contribuição da pressão para a força resultante da SC.
  • 40.
    Forças de superfície:Pressão em um VC • Se houver um escoamento que entra através da face “ad” e sai por “bc”, uma pressão adicional (PM) atuará no VC. • Esta pressão PM irá variar de intensidade ao longo do VC pois a velocidade do escoamento varia. • Logo, a força de pressão total devido ao escoamento e à pressão atmosférica será:
  • 41.
    Forças de superfície:Pressão em um VC • Como a força resultante da pressão atmosférica é zero, tem-se: • A soma da pressão PM (pressão manométrica) e a Patm (pressão atmosférica) é a P (pressão absoluta): P = PM + Patm
  • 42.
    Forças de superfície:Força viscosa no VC • Um fluido é uma substância que se deforma continuamente quando submetido a uma tensão de cisalhamento ( ). • Esta deformação se deve ao fato de que o fluido não suporta a ação de uma força tangente à sua superfície. • Logo a (  ) corresponde à força tangente à superfície dividida pela área da superfície. • A taxa de deformação decorrente desta tensão é diferente para diferentes fluidos. • A propriedade que relaciona  com a taxa de deformação de um fluido é a viscosidade (μ).
  • 43.
    Forças de superfície:Força viscosa no VC • O fluido adjacente a uma superfície sólida (parede) sofre o que é chamado de tensão de cisalhamento na parede (p ). • Na superfície sólida a velocidade relativa entre o fluido e a superfície é nula (princípio da aderência ou do não escorregamento). • Na medida que se afasta da parede, a velocidade do fluido relativa à parede vai aumentar de zero até um valor finito.
  • 44.
    Forças de superfície:Força viscosa no VC • A tensão de cisalhamento ( p ) atua no sentido de resistir ao movimento do fluido e será máximo junto à superfície sólida (onde não existe movimento). • Assim, a força viscosa na SC será:
  • 45.
    Força externa totalno VC • A força externa total atuando em um VC é: • A força viscosa será analisada nos Capítulos 6 e 7.
  • 46.
    • A águaescoa em regime permanente através de um cotovelo circular de 90o com redução, que descarrega para a atmosfera, como mostra a figura abaixo. O cotovelo é parte de um sistema de tubulação horizontal (plano x, y) e está conectado ao resto da tubulação por um flange. Determinar a força no flange do cotovelo nas direções x e y se a vazão mássica que passa através do cotovelo é de 88,0 lbm/s (  água = 63,31 lbm/ft3 a 70º F). PM1= 17,4 lbf/in2
  • 52.
    • Um anteparocurvo é montado sobre rodas e move-se na direção x com uma velocidade constante U = 8 m/s como resultado de um jato de água (  = 998 kg/m3) que sai de um bocal estacionário como mostra a figura abaixo. A velocidade que água deixa o bocal é Vj = 25 m/s. Quando a água atinge o anteparo, ela está se movendo apenas na direção x, porém quando ela deixa o anteparo, ela foi desviada para uma direção 50o acima da direção x. Desprezando as forças de campo, qual é a força exercida pela água no anteparo móvel?
  • 59.
    Conservação de energia: Primeiralei da termodinâmica aplicada ao VC
  • 60.
    Conservação de energiano VC • O princípio da conservação de energia para VC enuncia que:
  • 61.
    Conservação de energiano VC • O enunciado do princípio da conservação pode ser expresso desta forma:
  • 62.
    Conservação de energiano VC • Enquanto que no sistema (sem fluxo de massa) a taxa de energia armazenada é: • No VC existe a contribuição da energia transferida através do fluxo de massa, sendo: • onde Esup refere-se à transferência de energia devido ao esforço, atrito viscoso e pressão atuando na superfície de controle (SC) por conta do transporte de massa.
  • 63.
    Conservação de energiano VC • Logo, o enunciado da conservação de energia no VC pode ser expressa: • A partir da conservação de momento linear definiu-se quem contribui para determinar Esup:
  • 64.
    Conservação de energiano VC: Forças viscosas • refere-se à taxa de transferência de energia resultante da pressão que atua na SC e do movimento relativo entre o fluido e esta superfície. • Logo, é a integral do produto da força de pressão (-PdA), atuando na direção do centro do VC, e a velocidade normal a dA (V.n), sobre toda a SC:
  • 65.
    Conservação de energiano VC: Força de pressão • Considerando que a pressão (P) seja uniforme ao longo de toda a área da entrada, assim como a velocidade, tem-se que: • Lembrando que (V.A) é a vazão volumétrica (m3/s), pode-se representá-la através do fluxo de massa: • Logo, a transferência de energia devido à força da pressão na SC será:
  • 66.
    Conservação de energiano VC • Admitindo um VC que anula a força viscosa e substituindo a energia transferida pela força de pressão, tem-se: • Assim, esta é a taxa de energia transferida no transporte de massa através da SC. • Ou seja, é a taxa de energia necessária para mover o fluido para dentro e para fora do VC.
  • 67.
    Conservação de energiano VC • E a taxa de energia armazenada no VC (pela 1ª Lei):
  • 68.
    Conservação de energiano VC • No entanto, “e” representa a energia total específica transferida no fluxo de massa. • Relembrando o conceito de energia total:
  • 69.
  • 70.
  • 71.
    Conservação de energiano VC • No caso do VC possuir várias entradas e saídas, o balanço da taxa de energia é: • Este balanço da taxa de energia estabelece a taxa na qual a energia cresce ou decresce em um VC.
  • 72.
    Analisando a conservaçãode energia no VC • Vale lembrar que o valor positivo de é definido como a taxa de trabalho que está sendo realizado pelo fluido. • Caso se queira aproveitar este trabalho, é necessário, por exemplo, convertê-lo em trabalho mecânico através de uma turbina ou um arranjo pistão-cilindro que forneça potência através da rotação de um eixo. • No entanto, tais dispositivos possuem irreversibilidades e portanto, produzem menos potência de eixo que a potência disponível no fluido.
  • 73.
    Analisando a conservaçãode energia no VC • Analogamente, o valor negativo de é definido como a taxa de trabalho que está sendo realizado sobre fluido. • Para produzir este trabalho, o dispositivo tem que converter trabalho mecânico de eixo em trabalho sobre o fluido. Isto é feito através de um compressor ou uma bomba. • Esta conversão também envolve irreversibilidades e portanto, deve-se fornecer mais potência ao eixo do compressor ou da bomba do que a que vai para o fluido.
  • 74.
    Casos especiais: escoamentoem regime permanente • Ocorre quando todas variáveis do escoamento num ponto do espaço não variam com o tempo. • Isto significa que não há variação de fluxo de massa e nem de taxa de energia armazenada dentro do VC. • Assim, a equação de conservação de massa no VC (contendo apenas uma entrada e uma saída) em RP é: • E a equação da conservação de energia é:
  • 75.
    Casos especiais: escoamentoem regime permanente
  • 76.
    Casos especiais: escoamentode gases perfeitos em RP • Se o fluido é um gás perfeito (ideal e com cp cte): • O escoamento em RP do gás perfeito no VC é:
  • 77.
    Casos especiais: escoamentode líquidos em RP • Quando o fluido for um líquido, é mais comum usar outra expressão. Lembrando-se que: • Sendo o escoamento em RP é:
  • 78.
    Casos especiais: escoamentode líquidos em RP • Considerando que: • Substituindo e reagrupando tem-se: • . : Dividindo tudo por mg
  • 79.
    Casos especiais: escoamentode líquidos em RP
  • 80.
    Casos especiais: escoamentode líquidos em RP • A carga manométrica total (HT), seja na entrada ou saída, é definida como a soma da carga manométrica de pressão (P/ρg), da carga manométrica de velocidade (V2/2g) e da carga manométrica potencial gravitacional (z) por unidade de vazão mássica. • HT tem as dimensões de um comprimento (m ou ft).
  • 82.
  • 83.
    Mas o querepresenta exatamente a carga manométrica total (HT) ? • A carga manométrica tem sua origem no campo da hidráulica e é forma de representar a pressão em um fluido. • Considere, por exemplo, uma pressão atmosférica de 101 kPa (1atm). Ela pode ser representada como a altura de uma coluna de líquido equivalente. Se o líquido for água, com ρ = 998 kg/m3, tem-se: • Uma pressão atmosférica de 101 kPa é equivalente à força por unidade de área na base da coluna de água com altura de 10,32 m. OU SEJA, uma pressão de 1 atm corresponde a uma carga manométrica de 10,32 m de coluna de água.
  • 84.
    • Um sistemade sifão com diâmetro interno d=0,075m é utilizado para remover água de um recipiente A para outro B, conforme figura abaixo. Quando em operação, a vazão em RP através do sifão é de 0,03 m3/s. A temperatura da água é de 25 oC e ρ=998,3 kg/m3. Calcule qual a elevação do sifão acima da superfície da água do reservatório A, ∆z, na qual a pressão mínima do sifão seja igual à pressão de vapor da água (Pv=2,339 kPa). Admite-se que a perda de carga devido ao atrito e à transferência de calor pode ser desprezada, ou seja, hL=0. Admitir que o nível de água no reservatório é mantido constante.
  • 86.
  • 88.
    Casos especiais: Equaçãode Bernoulli • Ela é um caso particular da equação de conservação de energia, válida quando o escoamento for: – Incompressível – Em regime permanente – Adiabático (sem transferência de calor) e reversível (sem dissipação viscosa ou invíscido) – Sem realização de trabalho
  • 89.
    Casos especiais: Equaçãode Bernoulli • A equação de Bernoulli representa as formas de energia presentes em um escoamento. • Ela afirma que essa energia se conserva entre dois pontos, uma vez que não há dissipação viscosa, trabalho e calor atravessando as fronteiras. • É a primeira solução que relaciona campo de velocidade com campo de pressão. • Ela pode ser empregada também para gases.
  • 90.
    Casos especiais: Equaçãode Bernoulli • Considerando o escoamento em uma tubulação (com paredes paralelas) no plano horizontal (Z1=Z2): • Rearrumando tem-se: • Cada termo desta forma da Eq. Bernoulli representa uma pressão.
  • 91.
    Casos especiais: Equaçãode Bernoulli • O termo P é a pressão termodinâmica, chamada de pressão estática. • À medida que V2 aumenta, P deve diminuir. • Analogamente, a medida que V2 diminui, P deve aumentar. • Logo, existirá uma pressão estática mesmo que não haja escoamento.
  • 92.
    Casos especiais: Equaçãode Bernoulli • O termo ρ V2 /2 é a pressão dinâmica e existe apenas quando há escoamento. • Fora da camada limite de escoamento, o escoamento se comporta como se fosse invíscido e a Eq. Bernoulli estabelece que a soma das pressões estática e dinâmica é constante ao longo da linha de corrente horizontal. • Esta pressão constante é chamada de pressão total ou pressão de estagnação.
  • 93.
  • 94.
    Casos especiais: Equaçãode Bernoulli – Fluido em repouso Manômetros • São medidores de pressão que operam em condições HIDROSTÁTICAS (ou seja, não há velocidades). • Regra: mesmo fluido à mesma altura apresenta mesma pressão. Por quê? • Porque a pressão só varia com a densidade (ρ) e a altura (z)
  • 95.
  • 96.
  • 97.
    Armazena-se água emum recipiente cuja seção transversal é mostrada na figura abaixo. Numa pernas há mercúrio que, devido ao fato de ser mais denso que a água ( Hg =13,55  água), depositou- se no fundo do recipiente. A pressão na superfície livre é a pressão atmosférica. Determinar a pressão nos fundos A, B, C e D, nas cotas –z1, -z2 e –z3 abaixo da superfície livre. (lembrar que a razão Hg / água = 13,55 é a densidade relativa do mercúrio, listada na Tabela A-11) Solução no Livro Texto PTotal = P0 +  . g . H
  • 98.
    Casos especiais: Equaçãode Bernoulli • Fisicamente a pressão de estagnação representa a pressão estática que agirá em um ponto do fluido quando este for colocado em repouso (V=0) através de um processo adiabático reversível. • A pressão estática de um escoamento pode ser obtida através de um manômetro ou de um sensor de pressão estática, chamada de tubo de Pitot. • O tubo de Pitot mede também a pressão de estagnação do escoamento.
  • 99.
    Tubo de Pitot •Foi desenvolvido para realizar medidas locais da velocidade de correntezas em rios. • Até hoje é muito utilizado na indústria aeronáutica, em instalações industriais (linhas de vapor, gases e líquidos) em sistemas de ventilação e laboratórios de pesquisa. • Permite realizar uma medida local da velocidade do escoamento a partir da pressão de estagnação e da pressão estática. • Pode ser empregado tanto para fluidos compressíveis como para incompressíveis.
  • 100.
  • 101.
    Princípio básico dotubo de Pitot • O escoamento livre é desacelerado de modo reversível até a estagnação. • A energia total se conserva. • Primeira solução que relaciona campo de velocidade com campo de pressão.
  • 102.
    • A figuraabaixo mostra o escoamento de água, a 5 oC, através da seção de testes horizontal de um túnel de água. Um tubo de Pitot é colocado no escoamento além da camada limite da parede da seção de testes. A sonda é conectada a um manômetro em U com mercúrio cujos ramos mostram uma diferença na coluna de mercúrio de ∆zHg= 52 mm. Determinar a velocidade da água no ponto onde está a sonda.
  • 105.
    Seleção de umvolume de controle (VC) • A seleção do VC é fundamental para se resolver um problema. • O melhor VC é normalmente determinado pela experiência e por uma análise cuidadosa das variáveis conhecidas e desconhecidas para o problema particular.
  • 106.
    • Dadas asalturas entre reservatórios, o diâmetro da tubulação e o fluxo de massa (140 kg/s) deseja-se determinar a potência da bomba para transferir um volume de fluido na unidade de tempo (dado: eficiência da bomba = 85%).
  • 107.
    • Dadas asalturas entre reservatórios, o diâmetro da tubulação e o fluxo de massa (140 kg/s) deseja-se determinar a potência da bomba para transferir um volume de fluido na unidade de tempo (dado: eficiência da bomba = 85%).
  • 108.
    • Dadas asalturas entre reservatórios, o diâmetro da tubulação e o fluxo de massa (140 kg/s) deseja-se determinar a potência da bomba para transferir um volume de fluido na unidade de tempo (dado: eficiência da bomba = 85%).
  • 109.
    • Dadas asalturas entre reservatórios, o diâmetro da tubulação e o fluxo de massa (140 kg/s) deseja-se determinar a potência da bomba para transferir um volume de fluido na unidade de tempo (dado: eficiência da bomba = 85%).
  • 112.
    Dispositivos • Os casosespeciais podem ser aplicados em diferentes VCs, ou seja, em diferentes dispositivos, como por exemplo em bombas, turbinas, bocais, difusores, etc. • Além disto, em cada dispositivo podem existir condições específicas e isto precisa ser levado em conta na análise de cada dispositivo. RP
  • 113.
    Dispositivos: bocais edifusores • Um bocal é um dispositivo formado por um duto com área de seção reta variável, na qual a velocidade de um fluido aumenta na direção do escoamento. • Um difusor é um dispositivo contrário ao bocal, no qual a velocidade do fluido diminui na direção do escoamento. • Em bocais e difusores, o único trabalho é aquele associado ao escoamento do fluido, em locais onde a massa entra e deixa o VC. • Em muitas situações, a variação de energia potencial na entrada e na saída é desprezível. Logo, simplificando, num bocal ou difusor:
  • 114.
  • 115.
    • Vapor entraem um bocal convergente-divergente operando em regime permanente (RP) com P1=40 bar, T1=400 oC e V1=10 m/s. O vapor escoa através do bocal com transferência de calor desprezível e sem variação significativa na energia potencial. Na saída, P2=14 bar e V2=665 m/s. A vazão mássica é de 2 kg/s. Determine a área de saída do bocal em m2.
  • 116.
    • Vapor entraem um bocal convergente-divergente operando em regime permanente (RP) com P1=40 bar, T1=400 oC e V1=10 m/s. O vapor escoa através do bocal com transferência de calor desprezível e sem variação significativa na energia potencial. Na saída, P2=14 bar e V2=665 m/s. A vazão mássica é de 2 kg/s. Determine a área de saída do bocal em m2. 4 MPa 1,4 MPa
  • 117.
    0 0 0
  • 120.
    Dispositivos: turbinas • Umaturbina é um dispositivo no qual trabalho é desenvolvido como resultado de um gás ou de um líquido passando através de um conjunto de lâminas fixadas a um eixo livre para sofrer rotação.
  • 121.
    Turbinas • As turbinassão usadas em várias instalações, como em instalações motoras a vapor, instalações motoras a gás, motores de aeronaves, etc. • Nestes casos, vapor superaquecido ou gás entra na turbina e se expande até uma pressão de saída mais baixa, produzindo trabalho. • Quando o fluido for vapor ou gás, a variação de energia potencial é usualmente desprezada. • A escolha apropriada da superfície do VC em torno da turbina faz com que a variação de energia cinética seja frequentemente pouco expressiva também.
  • 122.
  • 123.
    • Vapor entraem uma turbina operando em RP com um fluxo de massa de 4600 kg/h. A turbina desenvolve uma potência de saída de 1000 kW. Na entrada, a pressão é de 60 bar, a temperatura é de 400 oC e a velocidade é de 10 m/s. Na saída a pressão é de 0,1 bar, o título é de 0,9 e a velocidade é de 50 m/s. Calcule a transferência de calor entre a turbina e a vizinhança (em kW). 6 MPa 10 KPa
  • 124.
    • Vapor entraem uma turbina operando em RP com um fluxo de massa de 4600 kg/h. A turbina desenvolve uma potência de saída de 1000 kW. Na entrada, a pressão é de 60 bar, a temperatura é de 400 oC e a velocidade é de 10 m/s. Na saída a pressão é de 0,1 bar, o título é de 0,9 e a velocidade é de 50 m/s. Calcule a transferência de calor entre a turbina e a vizinhança (em kW). 6 MPa 10 KPa
  • 127.
    Dispositivos: compressores ebombas • Os compressores são dispositivos no qual trabalho é realizado sobre o gás passando através deles com o objetivo de aumentar a pressão. • Já nas bombas, a entrada de trabalho é utilizada para mudar o estado de um líquido que circula em seu interior. • Em ambos os casos, a variação de energia potencial é normalmente desprezada. • A transferência de calor para a vizinhança é frequentemente um efeito secundário.
  • 129.
    • Ar éadmitido em um compressor que opera em RP com P1=1bar, T1=290K e V1=6m/s através de uma entrada A1=0,1m2. Na saída, P2=7bar, T2=450K e V2=2m/s. A transferência de calor do compressor para a sua vizinhança ocorre a uma taxa de 180 kJ/min. Considerando que o ar se comporte como gás ideal, calcule a potência de entrada para o compressor (kW). Dados:
  • 130.
    • Ar éadmitido em um compressor que opera em RP com P1=1bar, T1=290K e V1=6m/s através de uma entrada A1=0,1m2. Na saída, P2=7bar, T2=450K e V2=2m/s. A transferência de calor do compressor para a sua vizinhança ocorre a uma taxa de 180 kJ/min. Considerando que o ar se comporte como gás ideal, calcule a potência de entrada para o compressor (kW).
  • 134.
    Dispositivos: trocadores decalor • Estes dispositivos transferem calor entre fluidos a diferentes temperaturas. • Um exemplo são os radiadores de automóveis, condensadores, evaporadores e sistemas de resfriamento. • A única interação em termos de trabalho com a fronteira de um VC é o trabalho do escoamento nos locais onde a matéria sai e entra. Assim a taxa de trabalho no VC pode ser considerada zero. • A energia potencial geralmente pode ser desprezada nas entradas e saídas.
  • 136.
    Variação de entropiaem um sistema • Num sistema termodinâmico a equação geral para a variação de entropia é: • A variação de entropia em um processo irreversível é maior que num reversível com o mesmo δQ e T.
  • 137.
    Geração de entropiaem um sistema • De forma genérica, pode-se escrever que: • Desde que: • Representa a entropia gerada no processo devido às irreversibilidades.
  • 138.
    Variação de entropiaem um VC • No VC a equação geral para a variação de entropia (tanto em sistemas reversíveis quanto irreversíveis) deverá considerar também a transferência de entropia do fluxo de massa através da superfície de controle:
  • 139.
    Variação de entropiaem um VC • Para várias entradas e saídas do VC:
  • 140.
    Variação de entropiaem um VC • S de um VC pode crescer de três formas: por adição de calor, por adição de massa ou pela presença de irreversibilidades. • S de um VC pode diminuir de duas formas: por remoção de calor ou remoção de massa.
  • 141.
  • 142.
  • 145.
  • 146.
    . . Q = m (hs –he) = 1 (2.776,1 – 762,81) = 2.013,3 kW T = (179,91 + 177,69) / 2 = 178,8 = 452 K . . . I = m (ss-se) – (Q / T) = 1 (6,6041 – 2,1387) – (2,013,3/452) . I = 0,01120 kW/K
  • 147.
    • Vapor entraem uma turbina com uma pressão de 30 bar, a uma temperatura de 400º oC e uma velocidade de 160 m/s. Vapor saturado a 100 oC sai com uma velocidade de 100 m/s. Em RP, a turbina desenvolve um trabalho de 540 kJ/kg de vapor escoando através da turbina. Ocorre transferência de calor entre a turbina e a sua vizinhança a uma temperatura média da superfície externa igual a 350 K. Determine a taxa na qual a entropia é gerada no interior da turbina por kg de vapor escoando, em kJ/kg.K. Despreze a variação na energia potencial entre a entrada e a saída.
  • 148.
    • Vapor entraem uma turbina com uma pressão de 30 bar, a uma temperatura de 400º oC e uma velocidade de 160 m/s. Vapor saturado a 100 oC sai com uma velocidade de 100 m/s. Em RP, a turbina desenvolve um trabalho de 540 kJ/kg de vapor escoando através da turbina. Ocorre transferência de calor entre a turbina e a sua vizinhança a uma temperatura média da superfície externa igual a 350 K. Determine a taxa na qual a entropia é gerada no interior da turbina por kg de vapor escoando, em kJ/kg.K. Despreze a variação na energia potencial entre a entrada e a saída. 0,3 MPa
  • 151.
    Conversão de energiapor ciclos • Os ciclos de geração de potência retiram calor de uma fonte de alta temperatura, convertem parte desta energia em trabalho, e liberam o restante da energia para uma fonte de baixa temperatura. • Para estes ciclos, a eficiência máxima é a eficiência de Carnot, que representa o ciclo ideal (reversível). No ciclo real, a eficiência é menor que de Carnot.
  • 152.
    Conversão de energiapor ciclos 2 3 1 4
  • 153.
    Conversão de energiapor ciclos • Para a geração de potência, o trabalho fornecido deve ser menor que o produzido. • Quando o trabalho líquido for fornecido ao ciclo (ou seja, fornece-se mais do que se extrai) este poderá ser utilizado como um ciclo de refrigeração ou bomba de calor. • Além do uso de fluidos como substância de trabalho no ciclo, pode-se utilizar também substâncias de trabalho sólidas. • Porém produzem uma quantidade de potência muito reduzida para merecer uso prático.
  • 154.
    Ciclo de Rankine •É o ciclo mais comum para a conversão de calor em trabalho. • Unidades geradoras utilizam este ciclo para gerar potência a partir de fontes fósseis ou nucleares. • A substância de trabalho normalmente utilizada é água, apesar de poder operar com outros fluidos (amônia, potássio, mercúrio, fluidos refrigerantes). • Será analisado apenas o ciclo de Rankine básico, usando água como fluido de trabalho.
  • 155.
    Ciclo de Rankine •Consiste de quatro processos termodinâmicos distintos. • Processo de compressão na bomba (1-2): – É considerado adiabático reversível; – O processo real é muito próximo do adiabático porém existem irreversibilidades. • Processo de recebimento de calor na caldeira (2-3): – Ocorre a pressão constante; – No processo real ocorre uma queda de pressão à medida que o fluido escoa pela caldeira.
  • 156.
    Ciclo de Rankine • Processo de expansão na turbina (3-4): – É considerado como sendo adiabático reversível; – O fluido de trabalho se encontra na região de saturação (vapor saturado), porém no processo real opera-se a turbina entrando com vapor superaquecido. – No processo real também apresentará irreversibilidades que aumentarão a entropia. • Processo de rejeição de calor no condensador (4-1): – Ocorre a pressão constante; – É recomendável que a bomba não receba uma mistura líquido-vapor e por isto a mudança de fase vai até o estado de líquido saturado.
  • 157.
  • 158.
    Ciclo de RankineIdeal • Neste ciclo ideal: – Todos os processos são reversíveis; – Não há queda de pressão nos trocadores de calor; – Não há irreversibilidades na turbina e na bomba. • Será admitido regime permanente para todos os componentes. • Cada componente será analisado em separado. • A 1ª lei para VC:
  • 159.
  • 160.
  • 161.
  • 162.
  • 163.
  • 164.
  • 165.
    Ciclo de RankineIdeal P3 = P2 e P4 = P1 Estado 1: Líquido saturado Estado 4: Mistura Líquido-Vapor s3=s3 e s2=s1
  • 166.
    • O vaporem um ciclo de Rankine ideal entra na turbina a P3=10MPa e T3=500 oC e deixa a turbina a P4=10kPa. a) Represente o ciclo no diagrama T-s. b) Calcule a eficiência térmica do ciclo. c) Qual é a potência líquida produzida se a vazão mássica do vapor for de 10 kg/s?
  • 167.
    • O vaporem um ciclo de Rankine ideal entra na turbina a P3=10MPa e T3=500 oC e deixa a turbina a P4=10kPa. a) Represente o ciclo no diagrama T-s. b) Calcule a eficiência térmica do ciclo. c) Qual é a potência líquida produzida se a vazão mássica do vapor for de 10 kg/s? P3 = 10 MPa T3 = 500 oC P4 = 10 KPa Na entrada da turbina o vapor é superaquecido.
  • 168.
    . P3 = P2 e P4 = P1 m = 10 kg/s Estado 1: Líquido saturado Estado 4: Mistura Líquido-Vapor s3=s3 e s2=s1
  • 172.
    Efeito da pressãoe temperatura no ciclo de Rankine • A temperatura e pressão de recebimento e rejeiçãode calor afetam o rendimento do ciclo; • Como nesses processos ocorre mudança de fase, não se pode alterar a pressão sem alterar a temperatura e vice-versa; • A influência da temperatura e da pressão pode ser determinada facilmente analisando-se o diagrama T-s do ciclo de Rankine; • A influência da temperatura e da pressão no rendimento então pode ser determinada pela nova relação de áreas.
  • 173.
    Influência da pressãode condensação (P4,1) • A pressão caindo de P4 para P4’ ⇒ diminuição da temperatura na qual o calor é rejeitado. • O trabalho líquido e o calor fornecido aumentam. • A área do aumento do calor << área do trabalho líquido: aumento no rendimento. • Essa diminuição de pressão tem limites como por exemplo: não pode haver mais de 10% de teor de umidade na saída da turbina.
  • 174.
    Influência da temperaturade aquecimento do vapor (T3) • O trabalho e o calor transmitido na caldeira aumentam. • Como a temperatura média em que o calor é adicionado aumenta há um aumento da eficiência. • Com o aumento da temperatura também há um aumento do título do vapor na saída da turbina. • A temperatura no qual o vapor pode ser superaquecido é limitada por questões metalúrgicas em cerca de 620ºC.
  • 175.
    Influência da pressãode vaporização (P2, 3) • A temperatura máxima do vapor e a pressão de saída da turbina é mantida constante. • Neste caso, o calor rejeitado diminui da área 4-4’-b-b’. • O trabalho líquido tende a permanecer o mesmo e o calor rejeitado diminui: há um aumento do rendimento. • A temperatura média na qual o calor é fornecido também aumenta com o aumento da pressão. • O título do vapor que deixa a turbina diminui quando a pressão máxima aumenta.
  • 176.
    Resumindo • Pode-se dizerque o rendimento de um ciclo de Rankine aumenta: – Pelo abaixamento da pressão de saída da turbina; – Pelo superaquecimento do vapor; – Pelo aumento da pressão no fornecimento de calor. • O título do vapor que deixa a turbina: – Aumenta pelo superaquecimento do vapor; – Diminui pelo abaixamento da pressão na saída da turbina e pelo aumento da pressão no fornecimento de calor.
  • 177.
    Ciclo de Rankinecom reaquecimento • O aumento da pressão no processo de fornecimento de calor aumenta o rendimento do ciclo de Rankine, mas provoca o aumento do teor de umidade do vapor nos estágios de baixa pressão da turbina. • Para evitar esse problema desenvolveu-se o ciclo com reaquecimento, onde o vapor entra na turbina a uma pressão reduzida. • Nesse ciclo o vapor expande na turbina até uma pressão intermediária e depois volta para a caldeira. • Após o reaquecimento, o vapor expande-se totalmente na turbina até a pressão de saída. • Há um pequeno ganho de rendimento neste ciclo uma vez que a temperatura média, no qual o calor é fornecido, não é alterada significativamente. • Há uma diminuição do teor de umidade no estágio de baixa pressão da turbina, levando-o a um valor seguro.
  • 178.
    . W = h3 – h 4 + h5 – h 6
  • 179.
    Ciclo regenerativo • Oobjetivo é aumentar a eficiência do ciclo de Rankine extraindo vapor da turbina e fazendo-o passar por um trocador de calor e aquecer a água antes de ela entrar na caldeira. • O vapor extraído é condensado nesse trocador de calor e o líquido retorna para o ciclo. • O vapor extraído não pode mais realizar trabalho na turbina e a potência da turbina será reduzida. • Porém a quantidade de calor que deverá ser fornecido sofrerá uma redução ainda maior que a redução da potência: havendo aumento da eficiência do ciclo. • O calor na caldeira estará sendo oferecido a uma temperatura média maior e a eficiência do ciclo também será maior.
  • 182.
    Co-geração é definidacomo o processo de transformação de uma forma de energia em mais de uma forma de energia útil, de acordo com Oddone (2001), geralmente energia mecânica (movimentar máquinas, equipamentos e turbinas de geração de energia elétrica) e a térmica (geração de vapor ou calor). O mesmo autor salienta que a co-geração apresenta alta eficiência energética, pois não há o desperdício de energia térmica (como ocorre nas termoelétricas puras), pois essa energia é utilizada em processos industriais, como secagem, evaporação, aquecimento, cozimento, destilação, etc.
  • 183.
    Perdas • Tubulação: – As mais importantes são a perda de carga devido aos efeitos de atrito e a transferência de calor ao meio envolvente; – Tanto a perda de carga como a troca de calor provoca uma diminuição da disponibilidade energética do vapor que entra na turbina; – O mesmo ocorre na caldeira e por isto a água que entra na caldeira deve ser bombeada até uma pressão mais elevada do que a pressão desejada do vapor que deixa a caldeira, o que requer trabalho adicional de bombeamento. • Turbina: – São principalmente as associadas com o escoamento do fluido de trabalho através da turbina; – A transferência de calor para o meio também representa uma perda, porém esta perda é secundária.
  • 184.
    Perdas • Bombas: – As perdas na bomba são análogas àquelas da turbina e decorrem principalmente da irreversibilidade associada ao escoamento do fluido; – A troca de calor usualmente é uma perda secundária. • Condensador: – As perdas no condensador são relativamente pequenas; – Uma delas é o resfriamento abaixo da temperatura de saturação do líquido que deixa o condensador.
  • 185.
    Exercícios - Capítulo5 Análise através de VC • 5.7 ; 5.8 ; 5.12 ; 5.17 ; 5.19 ; 5.25 ; 5.27 ; 5.32 ; 5.37 ; 5.52 ; 5.53 ; 5.55 ; 5.64 ; 5.70 ;
  • 186.
    . . m1 = m2 8 P1= 101 kPa P2= 105 kPa T1 = 16ºC T2 = 18oC A1 = A2 =  x r2/2 d1 = d2 = 0,6m A1V2 = 0,35 m3/s Pv = RT
  • 187.
  • 188.
  • 189.
  • 190.
  • 191.
    0 0 P2= 50 KPa Tviz = 25ºC
  • 192.
    P2= 50 KPa S1 – S2
  • 193.
    3 1 2. . Q l A B Tubo de Venturi: Mede a velocidade do escoamento e a vazão de um líquido incompressível através da variação da pressão durante a passagem deste líquido por um tubo de seção mais larga e depois por outro de seção mais estreita
  • 194.
    Pa = Pb 2 V2=
  • 196.
    L Equação de Bernoullientre os pontos 1 e 2 Pb = Pc OU
  • 197.
    (A2/A1)2 V 1 xA1 = V 2 x A2
  • 198.
    V2 = 2x 10 x 0,1 x (13,55-1) = 5,8 m/s 1 – (10/20)2 (A2/A1)2 Vazão = V2 x A2 = 5,8 x 10 x 10-4 = 0,0058 m3/s = 5,8 L/s
  • 199.
    Solução no Livro Texto Turbina a água
  • 200.
    Turbina a água P1= 300 KPa P2 = 90 KPa Z1-Z2 = 1,5m V1 = Vazão volum. / Área 1 V2 = Vazão volum. / Área 2
  • 201.
    Turbina a água P1= 300 KPa P2 = 90 KPa Z1-Z2 = 1,5m V1 = Vazão volum. / Área 1 = 0,9 /  / 4 x (O,25)2 = 18,33 m/s V2 = Vazão volum. / Área 2 = 0,9 /  / 4 x (O,40)2 = 7,162 m/s . . W = m (P1 – P2) /  + (V12 – V22) / 2 + g (Z1 – Z2) = . W = 1000 x(0,9) 300.000 – 90.000 + 18,35 2 – 7,1622 + 9,807 x (1,5) = 303,3 kW 1000 2 . Ws = 0,82 x 303,3 = 270,8 kW
  • 202.
    Teorema de Transportede Reynolds • Teorema utilizado para transformar as equações válidas para um sistema termodinâmico em equações válidas para um volume de controle.