Capítulo 8: Transferência de calor
          por condução
Condução
• Equação da condução de calor;
• Condução de calor unidimensional e em regime
  permanente;
• Aletas;
• Condução de calor bidimensional (Fator de Forma);
• Condução de calor em regime transiente.
Condução
• Um corpo sólido isolado está em equilíbrio térmico se a
  sua temperatura for a mesma em qualquer parte do
  corpo.
• Se a temperatura no sólido não for uniforme, calor será
  transferido por atividade molecular das regiões de
  temperaturas elevadas para as de baixas temperaturas.
• Este processo de transferência de calor por condução é
  dependente do tempo e continuará ocorrendo até que
  um campo uniforme de temperatura exista em todo o
  corpo isolado.
Condução
• A transferência de energia ocorre por interação molecular
  (associada a energia cinética entre as partículas
  individuais ou em grupo, etc...) e não há transporte de
  massa (sistema):

  – Exemplos: ferro elétrico, moldes de fundição, parede
  com isolamento, etc.


• Sua contribuição para o processo global de transferência
  de calor pode ser bastante significativa, dependendo do
  material usado.
Modelo de condução térmica
• O mecanismo de transferência de calor por condução
     térmica consiste de um processo de difusão.

 • Temperatura é “transportada” da região de maior
     concentração para a de baixa concentração.

 • Joseph Fourier modelou a difusão em função do
   gradiente de temperatura e de uma constante de
                  proporcionalidade.
Modelo de condução térmica
• O taxa de calor por unidade de área, ou fluxo de calor
  (   ), depende da área em que ele cruza, portanto
  possui uma natureza vetorial.
Modelo de condução térmica
 • Fourier postulou que a taxa de
transferência de calor por unidade de
área da superfície é proporcional ao
gradiente de temperatura normal à
     superfície (dT/dn). A cte de
   proporcionalidade corresponde à
     condutibilidade térmica do
             material (k):

                                  Perfil de temperatura ao longo
                                  da linha a-a, paralela ao vetor
                                              normal n
Modelo de condução térmica



• Por que o sinal negativo na
       lei de Fourier??
• Por que o fluxo de calor é
   positivo quando flui na
  direção do decréscimo da
 temperatura (segunda lei da
       termodinâmica).
Condutibilidade térmica (k)
• É uma propriedade termofísica do material através do
  qual o calor flui.

• Usualmente refere-se a um material com comportamento
  isotrópico e homogêneo

  – Comportamento isotrópico: quando não há variação
  de propriedade com a direção.

  – Comportamento homogêneo: quando a propriedade é
  constante em toda a superfície do material.
Condutibilidade térmica (k)
• Unidades: W/m. oC ou Btu/h.ft. oF.

• Em muitos materiais apresenta
  uma grande dependência da
  temperatura e uma pequena da
  pressão.

• Para o mesmo fluxo de calor,
  quanto maior for k menor é a
  variação de temperatura ao longo
  da superfície.
Modelo de condução térmica
• O fluxo de calor na superfície diagonal da cunha de
  baquelite é de 680 Btu/h.ft2. Determine o fluxo de calor
  e o gradiente de temperatura nas direções x e y.

                       Kbaquelite = 0,8089 Btu/h x ftºF
• Uma lona de freio é pressionada contra um tambor
  rotativo de aço. Calor é gerado na superfície de contato
  tambor-lona na taxa de 200 W/m2. 90% do calor gerado
  passa para o tambor de aço, o restante passa pela
  lona. Determine os gradientes térmicos no ponto de
  contato tambor-lona.
                            Kaço = 60,3 W/mºC
                            Klona = 0,013 W/mºC
• Uma lona de freio é pressionada contra um tambor rotativo de aço.
  Calor é gerado na superfície de contato tambor-lona na taxa de
  200 W/m2. 90% do calor gerado passa para o tambor de aço, o
  restante passa pela lona. Determine os gradientes térmicos no
  ponto de contato tambor-lona.
Formulação – Sistema infinitesimal
     ou elemento do sólido




• Considerando que a conversão de alguma forma de
  energia (elétrica, química) em energia térmica pode
               ocorrer dentro do sistema.
Primeira Lei da Termodinâmica
• A taxa de transferência de calor do elemento é a soma
  da taxa de transferência de calor através das fronteiras
  do elemento e a taxa na qual energia térmica é gerada
  internamente

• Aplicando a 1ª lei e considerando que não há realização
  de trabalho e nem variação de energia cinética e
  potencial, pode-se escrever que:
Taxa de troca de energia interna
• A única forma de energia presente no elemento é a
  energia interna do material e pode-se escrever que:




• Admitiu-se que o calor específico é constante, pois as
  variações de temperatura na barra é pequena.
• Também foi admitido que o sistema é incompressível.
Taxa líquida de condução
• A lei de Fourier é utilizada para determinar a taxa
  líquida de transferência de calor por condução (material)
  através das seis superfícies planas do elemento.
• Considerando a condutibilidade térmica do material
  constante, a forma diferencial da taxa líquida de
  condução:
Taxa de calor gerada internamente

• O calor gerado dentro do elemento é expresso em
  termos de volume:




• Ou seja, refere-se à energia interna específica gerada
  por unidade de volume.
Equação da condução de calor
• No sistema de coordenadas cartesianas, a equação
  da condução de calor é:




• Ou
Equação da condução de calor
• No sistema de coordenadas cilíndricas, a equação da
  condução de calor é:
Condições de contorno
• Para determinar a distribuição de temperatura em um
  meio é necessário resolver a formulação correta da
  equação de calor.


• Esta solução depende das condições físicas existentes
  nas fronteiras do meio e, se a situação for dependente
   do tempo, das condições existentes no meio em um
                  determinado instante (t).


    • As condições de fronteira são chamadas de
               condições de contorno.
: Coordenada perpendicular à superfície através do qual o calor é transferido.
Parede Finas
• Considerando uma camada de material que apresenta
  um condutibilidade térmica constante k, espessura L e
  temperaturas superficiais impostas T0 e TL.
• A solução deste problema é simples quando as
  camadas podem ser consideradas finas, em
  consideração as dimensões do corpo que está sendo
  isolado.
Condução de calor unidimensional em RP




• Para um elemento unidimensional em que não haja
  geração de calor interna e em regime permanente, da
  equação da condução de calor pode-se escrever que:




• A solução geral:
                            Perfil linear de temperatura
Condução de calor unidimensional em RP

• Para o caso em que os dois
 lados da placa infinita estão em
    temperaturas uniformes as
   condições de contorno são:
  – Para x = 0     =>   T = To
  – Para x = L    =>    T = TL
  • Resolvendo a equação
diferencial com estas condições
     de contorno obtém-se:
Condução de calor unidimensional em RP




• O fluxo de calor pode ser calculado através da Lei de
                      Fourier como:



 Fluxo de
   Calor
Analogia: transferência de calor (RP)
        e fluxo de corrente
Analogia: transferência de calor (RP)
        e fluxo de corrente
Condução de calor unidimensional
            em RP
• Caso uma condição de contorno de convecção esteja
  presente em x = 0, as condições de contorno são:
  – Para x = 0   => h(T∞ – T ) = -k(dT/dx)
  – Para x = L   =>    T = T2
Condução de calor unidimensional
            em RP
 • Para a condição de contorno de convecção:
Condução de calor unidimensional
            em RP
• Para a condição de contorno de convecção, a taxa
     de transferência de calor através da placa é:
Condução de calor unidimensional
            em RP

                 • A taxa de transferência de
                     calor também pode ser
                    determinada na fronteira
                        com convecção:
Condução de calor unidimensional
             em RP
• A taxa de transferência de calor também pode ser
  determinada na análise do circuito térmico equivalente:




• A resistência total oferecida pelo sistema é a soma das
  resistências oferecidas pela fronteira com convecção e
  pelo sólido:
Condução de calor unidimensional
              em RP




• A taxa total de transferência de calor pela placa é:
Resumo
• Uma fita de aquecimento é fixada a uma face de uma grande placa
  de liga de alumínio 2024-T6 com 3 cm de espessura. A outra face
  da placa é exposta ao meio circunvizinho, que está a uma
  temperatura de 20º C. O lado de fora da fita de aquecimento está
  completamente isolado. Determinar a taxa de calor que precisa
  ser fornecida para manter a superfície da placa que está exposta
  ao ar a uma temperatura de 80º C. Determinar também a
  temperatura da superfície na qual a fita de aquecimento está
  fixada. O coeficiente de transferência de calor entre a superfície da
  placa e o ar é de 5 W/m2 ºC.




                                           Tq = ?
Condução de calor unidimensional
             em RP
• No caso de parede compostas, o conceito de resistência
  térmica pode ser utilizado de forma análoga a circuitos
  elétricos série/paralelo
1
Cilindro oco
• O circuito térmico também pode ser usado para
  determinar a taxa de transferência de calor
  unidimensional em RP em cilindro oco ou composto.

• Neste caso a direção do fluxo será puramente radial.

• Considere um cilindro com raio interno ri e externo ro ,
  comprimento L e temperaturas internas Ti e externa To.
Distribuição de temperatura -
              unidimensional
• Considerando que não há geração interna de calor e
  que o regime é permanente, a equação diferencial
  apropriada para o cilindro oco é:




• As condições de contorno são:
    – Para r = ri => T = Ti
    – Para r = ro => T = To

•   Integrando a equação:
Taxa de transferência de calor
• A expressão para a taxa total de transferência de calor é:




• A resistência equivalente oferecida pelo cilindro à
  transferência de calor é:
Resumo
Um tubo liso de aço carbono com diâmetro interno de 5,25 cm e
espessura de 0,78 cm, é recoberto com seis camadas de papel
corrugado de asbesto com 2 cm de espessura no total. A
temperatura do vapor de água no lado interno do tubo é de 150 °C
e o ar no lado externo é de 25 °C. Estime: i) a temperatura da
superfície do lado externo do isolamento e; ii) a taxa de
transferência de calor por metro de comprimento do tubo. Dados:
hvapor = 1500 W/m2°C ;                     har = 5 W/m2°C.
Um tubo liso de aço carbono com diâmetro interno de 5,25 cm e
espessura de 0,78 cm, é recoberto com seis camadas de papel
corrugado de asbesto com 2 cm de espessura no total. A
temperatura do vapor de água no lado interno do tubo é de 150 °C
e o ar no lado externo é de 25 °C. Estime: i) a temperatura da
superfície do lado externo do isolamento e; ii) a taxa de
transferência de calor por metro de comprimento do tubo. Dados:
hvapor = 1500 W/m2°C ;                     har = 5 W/m2°C.
Transferência de calor
• É desejável em muitas aplicações industriais aumentar
  a taxa de transferência de calor de uma superfície
  sólida para um fluido adjacente.


• Para tanto é preciso analisar os parâmetros de projeto e
  fazer as alterações necessárias para aumentar esta
  transferência de calor.
Aumento de transferência de calor
•       Considerando uma placa plana com temperatura da
        superfície fixa (uniforme), a taxa de transferência de calor
        pode ser elevada:
        – Com o aumento da velocidade do fluido, que tem o efeito
        de aumentar o coeficiente de transferência de calor (h);
        – Com o aumento da diferença de temperaturas da
        superfície e do fluido;
        – Com o aumento da área da superfície transversal,
        através da qual ocorre a convecção.
•       As duas primeiras medidas podem, em alguns casos, ser
        limitadas e se tornarem insuficientes, dispendiosas e/ou
        impraticáveis.
    •    Uma das opções mais comuns é aumentar a área da
                      superfície transversal.
Aletas
• São superfícies estendidas, que vão desde a parede da
  superfície sólida em direção ao fluido adjacente.
• São utilizadas para o aquecimento            e   para   o
  resfriamento de sistemas.
• A condutibilidade térmica do material da aleta tem forte
  efeito na distribuição de temperatura ao longo da aleta
  e afeta o grau no qual a taxa de transferência de calor é
  aumentada ou diminuída.
• O ideal é que a aleta tenha uma condutibilidade térmica
  alta para minimizar as variações de temperatura de sua
  base para a extremidade. No caso limite
  (condutibilidade infinita), toda a aleta estaria à
  mesma temperatura da base.
Aletas




• Como a área de contato entre o fluido e a superfície
  (área molhada) no caso aletado é superior, o fluxo de
  calor total é maior que no caso sem aletas.
• O problema básico no projeto térmico das superfícies
  aletadas é determinar uma correlação entre o fluxo de
  calor e as grandezas pertinentes ao sistema (∆T, h e k).
Aletas
Aletas

 O calor é transportado da base (ou para a base) por
meio da condução térmica e adicionado (ou removido)
    ao ambiente externo pela convecção térmica.
Aletas de seção transversal
                constante
• É a aleta mais simples de se analisar.


• A hipótese básica desse tipo de aleta é que a
  distribuição de temperatura nela é função unicamente de
  x (fluxo de calor unidimensional na aleta): esta
  hipótese é uma boa aproximação para certas condições.
Balanço de energia: análise preliminar

• Antes de iniciar o balanço de energia é importante notar
  que a área da superfície original (sem aletas) é a soma
  da área das bases das aletas com a área não aletada
  restante:




• Logo, a transferência de calor total será:




  • Onde o índice “ba” refere-se a base das aletas e
               “na” a parte não aletada.
Balanço de energia na aleta
• Da hipótese unidimensional, o fluxo de calor na base da
  aleta é independente de y e pode ser determinado por:
Balanço de energia na aleta
Balanço de energia na aleta
Equação da aleta
• Substituindo a expressão anterior na 1º Lei:




• Esta equação mostra que a taxa líquida de transferência
  de calor por condução na fatia de aleta é igual a taxa
    de transferência de calor por convecção do fluido
   através da superfície lateral da fatia considerada.
Aleta Longa
• A ponta da aleta está em equilíbrio térmico com o
  fluido, impondo neste caso a seguinte condição de
  contorno:
              T → T∞       quando     x →∞


• A outra condição é que a temperatura na base da aleta é
  igual a temperatura da superfície onde estão montadas
  as aletas:
               T = Tb      quando     x =0
Equação da aleta longa
Aleta longa: solução em θ
• Sendo h constante ao longo da aleta, a solução da
  equação diferencial é:




   • A temperatura decai exponencialmente a partir da
     temperatura da base até a do fluido numa posição
                     remota da base.
Aleta finita e ponta isolada
Transferência de calor: aleta finita e
          ponta isolada

  • A taxa de transferência de calor da aleta pode ser
                   determinado como:




• Onde:
Transferência de calor: aleta finita e
           ponta isolada
• Analisando através do circuito térmico, a resistência
  térmica da aleta:




     onde N é o número de aletas fixadas à
                   superfície.
Transferência de calor: parte não
            aletada
Transferência de calor total
Resistência equivalente
Taxa de transferência de calor total
Transferência de calor: aleta finita e
      condição de convecção
• Caso exista uma condição de contorno de convecção
  na extremidade da aleta (com transferência de calor
  para o ambiente, por exemplo), o comprimento da
  aleta precisa ser alterado:




• Este novo comprimento de aleta (Lc) será usado no
  cálculo da resistência térmica da aleta:
Aleta cilíndrica
• Para o caso de uma aleta cilíndrica com diâmetro D, a
        correção do comprimento da aleta será:
• Água quente a 98°C escoa através de um tubo de bronze comercial com
  diâmetro interno de 2 cm. O tubo é extrudado e tem o perfil da seção
  transversal mostrado abaixo. O diâmetro externo do tubo aletado é de
  2,8 cm e as aletas têm 1 cm de comprimento e 2 mm de espessura. O
  coeficiente de calor por convecção do lado da água é de 1200W/ m2°C.
  O tubo aletado está exposto ao ar a 15°C e o coeficiente de calor por
  convecção é 5 W/ m2°C. Determine a taxa de transferência de calor por
  metro de comprimento do tubo.
Condição de
Contorno: convecção
  aleta finita e
  ponta isolada
aleta finita e
 ponta isolada




Condição contorno:
    convecção
3,65 vezes
                         menor

       Nova Rexterna
                       2,275
Rc,e
Condução de calor bidimensional

• Soluções analíticas para condução térmica em casos 2D
  requer um esforço muito maior daquelas para casos 1D.
• Há no entanto inúmeras soluções baseadas em técnicas
  da Física-Matemática, tais como: séries de Fourier,
  séries de Bessel, séries de Legendre, Transformada de
  Laplace entre outras.
• Baseado nestas soluções analíticas o Livro Texto propõe
  a determinação da taxa de calor para algumas situações
  bidimensionais baseado em ”fatores de forma de
  condução”.
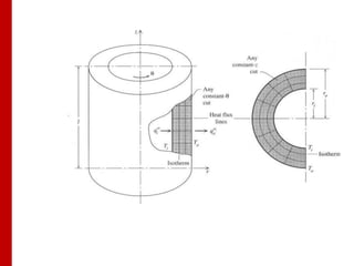
Fator de forma de condução
• Considerando que a geometria contém somente DUAS
  superfícies ISOTÉRMICAS, T1 e T2, e que o material é
  homogêneo:




• Onde S é o fator de forma de condução e tem dimensão
  de comprimento (m).
• Comparando esta equação com a das placas planas
  infinitas (unidimensional) pode-se determinar que o seu
  fator de forma de condução é:
    Tabela 8-3.
 Páginas 312 a 314
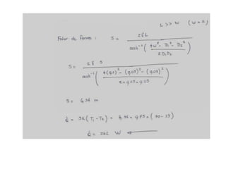
Tubos de água quente e fria seguem em paralelo por um trecho
de 5 m (figura). Ambos os tubos têm diâmetro de 5 cm, e a
distância entre suas linhas de centro é de 30 cm. As
temperaturas das superfícies dos tubos são 70°C e 15°C,
respectivamente para o de água quente e fria. Assumindo a
condutibilidade térmica do concreto como 0,75 W/m.°C,
determine a taxa de transferência de calor entre os tubos.
5
Condução de calor em regime transiente

• Até o momento só foi analisada a transferência de calor
  por condução em regime permanente.


• No entanto, na prática a temperatura, e outras
  propriedades, pode variar no espaço e no tempo, o
  que faz com que as condições de contorno térmicas
  sejam dependentes do tempo.


• Neste caso, a transferência de calor ocorre em regime
  transiente (ou transitório).
Condução de calor em regime transiente
   Considere que um corpo possua uma temperatura uniforme Ti e
     experimente uma mudança térmica repentina em seu meio
                          circunvizinho.

 • O calor transferido por convecção para o corpo sólido é difundido
 por condução em seu interior.

 • A taxa com que esta mudança é sentida no interior do corpo irá
 depender da resistência à transferência de calor oferecida em suas
 superfícies e a oferecida internamente (dentro do material).


                                                Como se calcula
                                                essa distribuição
                                                de Temperatura e
                                                o Fluxo de Calor?
Condução de calor em regime transiente
• Na obtenção da distribuição transitória no corpo, técnicas
  matemáticas são bastante elaboradas, mesmo para um configuração
  geométrica simples.

• Métodos numéricos: auxiliados por softwares. Útil para:
         Geometrias compostas complicadas de diferentes materiais.
         Propriedades termofísicas variáveis.
         Condições de contorno não lineares.



               Soluções utilizando expressões
              algébricas (com auxílio de grupos
              adimensionais) e cartas gráficas.
Método da Análise Concentrada

 • ou Capacitância Global.

• Quando um sólido sofre uma rápida
  alteração em sua temperatura, por
  meio do fluido circunvizinho.

• Distribuição de temperatura no sólido é uniforme (se Resistência
Térmica na Superfície for muito maior que a Resistência Térmica
interna).

• O caso limite será aquele em que a condutibilidade térmica do
material for infinita causando uma resistência interna nula à
transferência de calor.

• A temperatura dependente do tempo pode ser determinada através da
                 análise concentrada.
Análise concentrada
•   A 1ª lei para um corpo irregular, sem geração interna de calor, é:




•   Onde V é o volume e A é a área da superfície do corpo.




•   A distribuição de temperatura no corpo é obtida pela integração desta
    equação.
Modelo concentrado: distribuição de
           temperatura



Onde a é a constante de integração.
• A condição inicial pode ser escrita como:

Para:   t=0        T = T0


• A expressão final para a temperatura no corpo é:
Quando é válido aplicar a análise concentrada?
• A análise concentrada só é válida quando a temperatura no
            interior do corpo varia uniformemente.


• Se Bi ≤ 0,1




     Biot (Bi) compara as
resistências interna e externa
       ao corpo sólido.
  * L é uma dimensão
característica do corpo.
Análise concentrada – grupos adimensionais




                           Razão entre a taxa de
                            condução de calor
                               para a taxa de
                            armazenamento de
                              energia térmica
Análise concentrada: taxa de
           transferência de calor
• Expressão da temperatura no corpo na forma adimensional:



 • A taxa de transferência de calor, em qualquer instante de
                   tempo, é determinada por:




  • O calor total transferido do ou para o corpo sólido será:
Análise concentrada com geração
            interna de calor

 • Se houver geração interna de calor no corpo que
 comece em t = 0, a equação diferencial da energia será:




• Temperatura do corpo com geração interna de calor:
*   Constante de tempo:




Se           : Variação lenta de Temperatura


Se           : Variação rápida de Temperatura
Exemplo: Um esfera sólida de aço, AISI 1010, com 1 cm de
diâmetro, inicialmente a 15 oC é colocada em uma corrente
de ar, T = 60 oC. Estimar a temperatura dessa esfera em
função do tempo depois de ter sido colocada na corrente de
ar quente. Estimar também a taxa de calor transferido para
a esfera. O coeficiente médio de transferência de calor por
convecção é de 20 W/m2 oC.




                    Tabela A-14
Exemplo: Um esfera sólida de aço, AISI 1010, com 1 cm de diâmetro,
inicialmente a 15 oC é colocada em uma corrente de ar, T = 60 oC.
Estimar a temperatura dessa esfera em função do tempo depois de
ter sido colocada na corrente de ar quente. Estimar também a taxa de
calor transferido para a esfera. O coeficiente médio de transferência de
calor por convecção é de 20 W/m2 oC.
* A resolução do livro não utiliza o
 conceito de Constante de Tempo.
1
Supor Bi < 0,1 para cálculo do diâmetro e aplicar análise concentrada




                                                           Hipótese
                                                            válida;
Condução Transiente, Bi > 0,1
    • Não se considera a temperatura uniforme:


     –   Não se aplica a análise concentrada.

– Deve-se considerar a variação da temperatura no
               tempo e no espaço.

– O distúrbio da fronteira se propaga por “difusão” no
                    interior do sólido.
Condução transitória unidimensional
               Bi > 0,1
• O distúrbio da fronteira se propaga por „difusão‟ no interior do sólido
                   somente ao longo da direção “x”.
• Na ausência de geração interna de calor, a equação da condução
  de calor no sistema de coordenadas cartesianas reduz-se a:

                       2T 1 T
                                                       A sua análise
                      x 2
                              t                       dependerá de
                                                        configurações
                                                       específicas, nas
• Em coordenadas cilíndricas:                       quais serão definidas
                                                       uma condição
     2T 1 T 1 T                                  inicial (associado ao
                                                     tempo) e duas
    r 2
           r r  t                                    condições de
                                                          contorno.
Sólido semi-infinito: Possui uma face com largura
          “infinita”: Qualquer distúrbio na temperatura nessa face NUNCA
                             atingirá a outra extremidade;

          • A: Mudança súbita na temperatura de superfície
T1




     T1


                            Qualquer sólido com dimensões „finitas‟ pode ser
                            “aproximado” como um sólido semi-infinito desde
 T0                            que o distúrbio de temperatura da face não
                                       atinja a sua outra fronteira.
Função erro de Gauss
Sólido semi-infinito

           • B: Mudança súbita no fluxo de calor



qp





      T0
Sólido semi-infinito

       • C: Mudança súbita na temperatura do fluido




  T0
6
t = (60) (24) (3600) = 5,184 x106 s
Solução Gráfica: Para casos que envolvam condução
           unidimensional transiente onde Bi > 0,1
                 Placa infinita
                 Cilindro Infinito
                 Esfera

• Para que a transferência de calor seja unidimensional é
  necessário que as dimensões do corpo, normal a direção do
  fluxo, sejam muito grandes.
Condução transiente unidimensional

• A solução gráfica é apresentada para corpos sólidos
  com espessura 2L submetidos a um fluxo de calor
  imposto por um coeficiente de transferência de calor, h,
  idêntico em ambas as faces.

• Uma análise do modelo matemático, descrito pela
  equação diferencial e as condições inicial e de contorno,
  indica que a distribuição da temperatura na placa é uma
  função de NOVE variáveis:
Condução transiente unidimensional
• Para reduzir o número de variáveis recorre-se ao uso de grupos
  adimensionais.




• A solução gráfica fornece a temperatura na linha de centro e na
   superfície (x = L) relacionando Bi2Fo com diferentes curvas Bi.
• A solução gráfica para o calor transferido permite encontrá-lo
  através:
1 - Placa Plana infinita




   (Fig 8-20, 8-21 e 8-22)
2- Cilindro infinito




 (Fig 8-23, 8-24 e 8-25)
• Uma grande parede sólida de tijolo com 15 cm de espessura
  atinge uma temperatura uniforme de 0oC durante uma noite
  de inverno. Às 9 h da manhã o ar adjacente à parede se
  aquece até uma temperatura de 15oC. O ar se mantém nesta
  temperatura até as 15 h.
  Estimar a temperatura na linha de centro e na superfície
  da parede de tijolo às 12 h. Determinar também a
  temperatura média do tijolo e a quantidade de calor/m2 que
  foi transferida do ar para o tijolo. “h” pode ser considerado
  constante e igual a 50W/m2 oC.
Configurações multidimensionais
           São restritas aquelas que podem ser
           formadas através do uso de um sólido semi-
           infinito, placas infinitas, ou um cilindro infinito.
                       Restrições adicionais:
                    • Todas as condições de contorno
                  térmicas precisam experimentar uma
                       mudança súbita simultânea.
                • A distribuição de temperatura inicial no
                           corpo é uniforme, T0.
                • Todas as temperaturas da superfície do
                    fluido, definidas nas condições de
                   contorno após a mudança repentina,
                          precisam ser iguais, T.
                 • Fluxo de calor uniforme ou condições
                  de contorno não lineares não podem
                             estar presentes.
Configurações multidimensionais
                   • Temperatura adimensional num
                           paralelepípedo:




                   • Temperatura adimensional num
                           cilindro infinito:




                   Usar Lc = L ; NÃO L/2
Exemplo
 Um cilindro de aço inoxidável (AISI 304) de 2 cm de diâmetro e 5 cm
 de comprimento é retirado de um forno e colocado sobre uma mesa
 como mostrado na figura. O cilindro está a uma temperatura uniforme
 de 300°C quando é retirado do forno. A superfície em contato com a
 mesa é considerada perfeitamente isolada durante o processo de
 resfriamento, e as demais superfícies estão em contato com o ar a
 uma temperatura de 15°C. Determinar a temperatura máxima do
 cilindro 10 minutos depois de ter sido retirado do forno. O coeficiente
 médio de transferência de calor durante o processo de resfriamento é
 de 50 W/m2.°C.




  Resolução Livro texto



 9
Um cilindro de aço inoxidável (AISI 304) de 2 cm de diâmetro e 5 cm de
comprimento é retirado de um forno e colocado sobre uma mesa como
mostrado na figura. O cilindro está a uma temperatura uniforme de
300°C quando é retirado do forno. A superfície em contato com a mesa é
considerada perfeitamente isolada durante o processo de resfriamento,
e as demais superfícies estão em contato com o ar a uma temperatura
de 15°C. Determinar a temperatura máxima do cilindro 10 minutos
depois de ter sido retirado do forno. O coeficiente médio de
transferência de calor durante o processo de resfriamento é de 50
W/m2.°C.
Resumo: Condução Transiente
• Bi <0,1     Análise Concentrada: “Corpo qualquer”


  • Unidimensional. Bi>0,1     Sólido semi-infinito: 3
   condições de contorno (Mudanças súbitas em: Ts, Q,
                 T): “Fórmulas erf (X)”


  • Unidimensional. Bi>0,1       Placa infinita , Cilindro
                   Infinito: “Gráficos”       Lc = L/2

            • Configurações multidimensionais:
                 “Produto das Tadimensionais”  Lc = L
Exercícios propostos



8-7 ; 8-11 ; 8-21 ; 8-25 ; 8-28 ; 8-30 ; 8-38
2
2




              d3

    di
         de
3
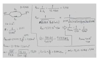
• O Tijolo da chaminé da figura a seguir, tem 5 m de altura.
  Uma estimativa da taxa de transferência de calor total
  através da parede da chaminé quando as superfícies
  internas estão a uma temperatura uniforme de 100ºC e
  as superfícies externas são mantidas a uma temperatura
  uniforme de 20º C é requerida.
• Tabela A-15.2     Ktijolo = 0,72 W/mºC


                                                      D = 5m
                                                      L = 0,1 m




                               * Solução no livro texto
Parede            • 4 planos de
                                             Simetria
                         Extremidades


                       Parede




   .
• Qc = 27,7 x 0,72 (100-20) = 1,595 kW
Uma condução unidimensional em regime permanente com
geração interna de energia ocorre numa placa plana de 50 mm
de espessura e condutibilidade térmica constante de 5 W/m.K.
Para estas condições, a distribuição de temperatura tem a forma
T(x) = a + bx + cx2. A superfície em x = 0 tem temperatura T(0) =
120°C e experimenta uma convecção com um fluido a 20°C e
h=500 W/m2.K. Já a superfície em x = L está bem isolada.
a) Através do balanço de energia na parede, calcule a taxa de
geração de calor.
b) Determine os coeficientes a, b e c aplicando as condições de
contorno à distribuição de temperatura dada.




                                Fluido
a)




b)
2
               )




120   = T(x)
Componentes eletrônicos estão instalados
no lado anterior de uma placa de circuito
(0,2 cm x 10 cm x 15 cm) que dissipa 15
W      uniformemente. A condutibilidade
térmica da placa é 12 W/m.°C. Todo o
                                             Componentes
calor gerado nos componentes é                eletrônicos   Aletas
conduzido através da placa e dissipado
pelo lado oposto para um meio a 37°C,
com um coeficiente de transferência de
calor de 45 W/m2.°C.
(a) Determine as temperaturas          das
superfícies dos dois lados da placa.
(b) Agora, considere que uma placa de
alumínio de 0,1 cm de espessura (com
mesma altura e largura da placa de
circuito), contendo 20 aletas retangulares
(0,2 cm x 2 cm x 15 cm), é colada à parte
posterior da placa de circuito com uma
camada de 0,03 cm de um adesivo (k =
1,8 W/m.°C). Determine as novas
temperaturas nos dois lados da placa de
circuito.
Componentes eletrônicos estão instalados no
lado anterior de uma placa de circuito (0,2
cm x 10 cm x 15 cm) que dissipa 15 W
uniformemente. A condutibilidade térmica da
placa é 12 W/m.°C. Todo o calor gerado nos
componentes é conduzido através da placa e
dissipado pelo lado oposto para um meio a
37°C, com um coeficiente de transferência de
calor de 45 W/m2.°C.
(a) Determine as temperaturas            das
superfícies dos dois lados da placa.
(b) Agora, considere que uma placa de
alumínio de 0,1 cm de espessura (com
mesma altura e largura da placa de circuito),
contendo 20 aletas retangulares (0,2 cm x 2
cm x 15 cm), é colada à parte posterior da
placa de circuito com uma camada de 0,03
cm de um adesivo (k = 1,8 W/m.°C).
Determine as novas temperaturas nos dois
lados da placa de circuito.
               Componentes
                eletrônicos   Aletas
Componentes eletrônicos estão instalados no
lado anterior de uma placa de circuito (0,2
cm x 10 cm x 15 cm) que dissipa 15 W
uniformemente. A condutibilidade térmica da
placa é 12 W/m.°C. Todo o calor gerado nos
componentes é conduzido através da placa e
dissipado pelo lado oposto para um meio a
37°C, com um coeficiente de transferência de
calor de 45 W/m2.°C.
(a) Determine as temperaturas            das
superfícies dos dois lados da placa.
(b) Agora, considere que uma placa de
alumínio de 0,1 cm de espessura (com
mesma altura e largura da placa de circuito),
contendo 20 aletas retangulares (0,2 cm x 2
cm x 15 cm), é colada à parte posterior da
placa de circuito com uma camada de 0,03
cm de um adesivo (k = 1,8 W/m.°C).
Determine as novas temperaturas nos dois
lados da placa de circuito.
         Componentes
          eletrônicos   Aletas
2.0 capitulo 8
2.0 capitulo 8
2.0 capitulo 8

2.0 capitulo 8

  • 1.
    Capítulo 8: Transferênciade calor por condução
  • 2.
    Condução • Equação dacondução de calor; • Condução de calor unidimensional e em regime permanente; • Aletas; • Condução de calor bidimensional (Fator de Forma); • Condução de calor em regime transiente.
  • 3.
    Condução • Um corposólido isolado está em equilíbrio térmico se a sua temperatura for a mesma em qualquer parte do corpo. • Se a temperatura no sólido não for uniforme, calor será transferido por atividade molecular das regiões de temperaturas elevadas para as de baixas temperaturas. • Este processo de transferência de calor por condução é dependente do tempo e continuará ocorrendo até que um campo uniforme de temperatura exista em todo o corpo isolado.
  • 4.
    Condução • A transferênciade energia ocorre por interação molecular (associada a energia cinética entre as partículas individuais ou em grupo, etc...) e não há transporte de massa (sistema): – Exemplos: ferro elétrico, moldes de fundição, parede com isolamento, etc. • Sua contribuição para o processo global de transferência de calor pode ser bastante significativa, dependendo do material usado.
  • 5.
    Modelo de conduçãotérmica • O mecanismo de transferência de calor por condução térmica consiste de um processo de difusão. • Temperatura é “transportada” da região de maior concentração para a de baixa concentração. • Joseph Fourier modelou a difusão em função do gradiente de temperatura e de uma constante de proporcionalidade.
  • 6.
    Modelo de conduçãotérmica • O taxa de calor por unidade de área, ou fluxo de calor ( ), depende da área em que ele cruza, portanto possui uma natureza vetorial.
  • 7.
    Modelo de conduçãotérmica • Fourier postulou que a taxa de transferência de calor por unidade de área da superfície é proporcional ao gradiente de temperatura normal à superfície (dT/dn). A cte de proporcionalidade corresponde à condutibilidade térmica do material (k): Perfil de temperatura ao longo da linha a-a, paralela ao vetor normal n
  • 8.
    Modelo de conduçãotérmica • Por que o sinal negativo na lei de Fourier?? • Por que o fluxo de calor é positivo quando flui na direção do decréscimo da temperatura (segunda lei da termodinâmica).
  • 9.
    Condutibilidade térmica (k) •É uma propriedade termofísica do material através do qual o calor flui. • Usualmente refere-se a um material com comportamento isotrópico e homogêneo – Comportamento isotrópico: quando não há variação de propriedade com a direção. – Comportamento homogêneo: quando a propriedade é constante em toda a superfície do material.
  • 10.
    Condutibilidade térmica (k) •Unidades: W/m. oC ou Btu/h.ft. oF. • Em muitos materiais apresenta uma grande dependência da temperatura e uma pequena da pressão. • Para o mesmo fluxo de calor, quanto maior for k menor é a variação de temperatura ao longo da superfície.
  • 11.
  • 12.
    • O fluxode calor na superfície diagonal da cunha de baquelite é de 680 Btu/h.ft2. Determine o fluxo de calor e o gradiente de temperatura nas direções x e y. Kbaquelite = 0,8089 Btu/h x ftºF
  • 14.
    • Uma lonade freio é pressionada contra um tambor rotativo de aço. Calor é gerado na superfície de contato tambor-lona na taxa de 200 W/m2. 90% do calor gerado passa para o tambor de aço, o restante passa pela lona. Determine os gradientes térmicos no ponto de contato tambor-lona. Kaço = 60,3 W/mºC Klona = 0,013 W/mºC
  • 15.
    • Uma lonade freio é pressionada contra um tambor rotativo de aço. Calor é gerado na superfície de contato tambor-lona na taxa de 200 W/m2. 90% do calor gerado passa para o tambor de aço, o restante passa pela lona. Determine os gradientes térmicos no ponto de contato tambor-lona.
  • 16.
    Formulação – Sistemainfinitesimal ou elemento do sólido • Considerando que a conversão de alguma forma de energia (elétrica, química) em energia térmica pode ocorrer dentro do sistema.
  • 17.
    Primeira Lei daTermodinâmica • A taxa de transferência de calor do elemento é a soma da taxa de transferência de calor através das fronteiras do elemento e a taxa na qual energia térmica é gerada internamente • Aplicando a 1ª lei e considerando que não há realização de trabalho e nem variação de energia cinética e potencial, pode-se escrever que:
  • 18.
    Taxa de trocade energia interna • A única forma de energia presente no elemento é a energia interna do material e pode-se escrever que: • Admitiu-se que o calor específico é constante, pois as variações de temperatura na barra é pequena. • Também foi admitido que o sistema é incompressível.
  • 19.
    Taxa líquida decondução • A lei de Fourier é utilizada para determinar a taxa líquida de transferência de calor por condução (material) através das seis superfícies planas do elemento. • Considerando a condutibilidade térmica do material constante, a forma diferencial da taxa líquida de condução:
  • 20.
    Taxa de calorgerada internamente • O calor gerado dentro do elemento é expresso em termos de volume: • Ou seja, refere-se à energia interna específica gerada por unidade de volume.
  • 21.
    Equação da conduçãode calor • No sistema de coordenadas cartesianas, a equação da condução de calor é: • Ou
  • 22.
    Equação da conduçãode calor • No sistema de coordenadas cilíndricas, a equação da condução de calor é:
  • 23.
    Condições de contorno •Para determinar a distribuição de temperatura em um meio é necessário resolver a formulação correta da equação de calor. • Esta solução depende das condições físicas existentes nas fronteiras do meio e, se a situação for dependente do tempo, das condições existentes no meio em um determinado instante (t). • As condições de fronteira são chamadas de condições de contorno.
  • 24.
    : Coordenada perpendicularà superfície através do qual o calor é transferido.
  • 25.
    Parede Finas • Considerandouma camada de material que apresenta um condutibilidade térmica constante k, espessura L e temperaturas superficiais impostas T0 e TL. • A solução deste problema é simples quando as camadas podem ser consideradas finas, em consideração as dimensões do corpo que está sendo isolado.
  • 26.
    Condução de calorunidimensional em RP • Para um elemento unidimensional em que não haja geração de calor interna e em regime permanente, da equação da condução de calor pode-se escrever que: • A solução geral: Perfil linear de temperatura
  • 27.
    Condução de calorunidimensional em RP • Para o caso em que os dois lados da placa infinita estão em temperaturas uniformes as condições de contorno são: – Para x = 0 => T = To – Para x = L => T = TL • Resolvendo a equação diferencial com estas condições de contorno obtém-se:
  • 28.
    Condução de calorunidimensional em RP • O fluxo de calor pode ser calculado através da Lei de Fourier como: Fluxo de Calor
  • 29.
    Analogia: transferência decalor (RP) e fluxo de corrente
  • 30.
    Analogia: transferência decalor (RP) e fluxo de corrente
  • 31.
    Condução de calorunidimensional em RP • Caso uma condição de contorno de convecção esteja presente em x = 0, as condições de contorno são: – Para x = 0 => h(T∞ – T ) = -k(dT/dx) – Para x = L => T = T2
  • 32.
    Condução de calorunidimensional em RP • Para a condição de contorno de convecção:
  • 33.
    Condução de calorunidimensional em RP • Para a condição de contorno de convecção, a taxa de transferência de calor através da placa é:
  • 34.
    Condução de calorunidimensional em RP • A taxa de transferência de calor também pode ser determinada na fronteira com convecção:
  • 35.
    Condução de calorunidimensional em RP • A taxa de transferência de calor também pode ser determinada na análise do circuito térmico equivalente: • A resistência total oferecida pelo sistema é a soma das resistências oferecidas pela fronteira com convecção e pelo sólido:
  • 36.
    Condução de calorunidimensional em RP • A taxa total de transferência de calor pela placa é:
  • 37.
  • 38.
    • Uma fitade aquecimento é fixada a uma face de uma grande placa de liga de alumínio 2024-T6 com 3 cm de espessura. A outra face da placa é exposta ao meio circunvizinho, que está a uma temperatura de 20º C. O lado de fora da fita de aquecimento está completamente isolado. Determinar a taxa de calor que precisa ser fornecida para manter a superfície da placa que está exposta ao ar a uma temperatura de 80º C. Determinar também a temperatura da superfície na qual a fita de aquecimento está fixada. O coeficiente de transferência de calor entre a superfície da placa e o ar é de 5 W/m2 ºC. Tq = ?
  • 41.
    Condução de calorunidimensional em RP • No caso de parede compostas, o conceito de resistência térmica pode ser utilizado de forma análoga a circuitos elétricos série/paralelo
  • 43.
  • 45.
    Cilindro oco • Ocircuito térmico também pode ser usado para determinar a taxa de transferência de calor unidimensional em RP em cilindro oco ou composto. • Neste caso a direção do fluxo será puramente radial. • Considere um cilindro com raio interno ri e externo ro , comprimento L e temperaturas internas Ti e externa To.
  • 47.
    Distribuição de temperatura- unidimensional • Considerando que não há geração interna de calor e que o regime é permanente, a equação diferencial apropriada para o cilindro oco é: • As condições de contorno são: – Para r = ri => T = Ti – Para r = ro => T = To • Integrando a equação:
  • 48.
    Taxa de transferênciade calor • A expressão para a taxa total de transferência de calor é: • A resistência equivalente oferecida pelo cilindro à transferência de calor é:
  • 49.
  • 50.
    Um tubo lisode aço carbono com diâmetro interno de 5,25 cm e espessura de 0,78 cm, é recoberto com seis camadas de papel corrugado de asbesto com 2 cm de espessura no total. A temperatura do vapor de água no lado interno do tubo é de 150 °C e o ar no lado externo é de 25 °C. Estime: i) a temperatura da superfície do lado externo do isolamento e; ii) a taxa de transferência de calor por metro de comprimento do tubo. Dados: hvapor = 1500 W/m2°C ; har = 5 W/m2°C.
  • 51.
    Um tubo lisode aço carbono com diâmetro interno de 5,25 cm e espessura de 0,78 cm, é recoberto com seis camadas de papel corrugado de asbesto com 2 cm de espessura no total. A temperatura do vapor de água no lado interno do tubo é de 150 °C e o ar no lado externo é de 25 °C. Estime: i) a temperatura da superfície do lado externo do isolamento e; ii) a taxa de transferência de calor por metro de comprimento do tubo. Dados: hvapor = 1500 W/m2°C ; har = 5 W/m2°C.
  • 54.
    Transferência de calor •É desejável em muitas aplicações industriais aumentar a taxa de transferência de calor de uma superfície sólida para um fluido adjacente. • Para tanto é preciso analisar os parâmetros de projeto e fazer as alterações necessárias para aumentar esta transferência de calor.
  • 55.
    Aumento de transferênciade calor • Considerando uma placa plana com temperatura da superfície fixa (uniforme), a taxa de transferência de calor pode ser elevada: – Com o aumento da velocidade do fluido, que tem o efeito de aumentar o coeficiente de transferência de calor (h); – Com o aumento da diferença de temperaturas da superfície e do fluido; – Com o aumento da área da superfície transversal, através da qual ocorre a convecção. • As duas primeiras medidas podem, em alguns casos, ser limitadas e se tornarem insuficientes, dispendiosas e/ou impraticáveis. • Uma das opções mais comuns é aumentar a área da superfície transversal.
  • 56.
    Aletas • São superfíciesestendidas, que vão desde a parede da superfície sólida em direção ao fluido adjacente. • São utilizadas para o aquecimento e para o resfriamento de sistemas. • A condutibilidade térmica do material da aleta tem forte efeito na distribuição de temperatura ao longo da aleta e afeta o grau no qual a taxa de transferência de calor é aumentada ou diminuída. • O ideal é que a aleta tenha uma condutibilidade térmica alta para minimizar as variações de temperatura de sua base para a extremidade. No caso limite (condutibilidade infinita), toda a aleta estaria à mesma temperatura da base.
  • 57.
    Aletas • Como aárea de contato entre o fluido e a superfície (área molhada) no caso aletado é superior, o fluxo de calor total é maior que no caso sem aletas. • O problema básico no projeto térmico das superfícies aletadas é determinar uma correlação entre o fluxo de calor e as grandezas pertinentes ao sistema (∆T, h e k).
  • 58.
  • 59.
    Aletas O caloré transportado da base (ou para a base) por meio da condução térmica e adicionado (ou removido) ao ambiente externo pela convecção térmica.
  • 60.
    Aletas de seçãotransversal constante • É a aleta mais simples de se analisar. • A hipótese básica desse tipo de aleta é que a distribuição de temperatura nela é função unicamente de x (fluxo de calor unidimensional na aleta): esta hipótese é uma boa aproximação para certas condições.
  • 61.
    Balanço de energia:análise preliminar • Antes de iniciar o balanço de energia é importante notar que a área da superfície original (sem aletas) é a soma da área das bases das aletas com a área não aletada restante: • Logo, a transferência de calor total será: • Onde o índice “ba” refere-se a base das aletas e “na” a parte não aletada.
  • 62.
    Balanço de energiana aleta • Da hipótese unidimensional, o fluxo de calor na base da aleta é independente de y e pode ser determinado por:
  • 63.
  • 64.
  • 65.
    Equação da aleta •Substituindo a expressão anterior na 1º Lei: • Esta equação mostra que a taxa líquida de transferência de calor por condução na fatia de aleta é igual a taxa de transferência de calor por convecção do fluido através da superfície lateral da fatia considerada.
  • 66.
    Aleta Longa • Aponta da aleta está em equilíbrio térmico com o fluido, impondo neste caso a seguinte condição de contorno: T → T∞ quando x →∞ • A outra condição é que a temperatura na base da aleta é igual a temperatura da superfície onde estão montadas as aletas: T = Tb quando x =0
  • 67.
  • 68.
    Aleta longa: soluçãoem θ • Sendo h constante ao longo da aleta, a solução da equação diferencial é: • A temperatura decai exponencialmente a partir da temperatura da base até a do fluido numa posição remota da base.
  • 69.
    Aleta finita eponta isolada
  • 70.
    Transferência de calor:aleta finita e ponta isolada • A taxa de transferência de calor da aleta pode ser determinado como: • Onde:
  • 71.
    Transferência de calor:aleta finita e ponta isolada • Analisando através do circuito térmico, a resistência térmica da aleta: onde N é o número de aletas fixadas à superfície.
  • 72.
    Transferência de calor:parte não aletada
  • 73.
  • 74.
  • 75.
    Taxa de transferênciade calor total
  • 76.
    Transferência de calor:aleta finita e condição de convecção • Caso exista uma condição de contorno de convecção na extremidade da aleta (com transferência de calor para o ambiente, por exemplo), o comprimento da aleta precisa ser alterado: • Este novo comprimento de aleta (Lc) será usado no cálculo da resistência térmica da aleta:
  • 77.
    Aleta cilíndrica • Parao caso de uma aleta cilíndrica com diâmetro D, a correção do comprimento da aleta será:
  • 79.
    • Água quentea 98°C escoa através de um tubo de bronze comercial com diâmetro interno de 2 cm. O tubo é extrudado e tem o perfil da seção transversal mostrado abaixo. O diâmetro externo do tubo aletado é de 2,8 cm e as aletas têm 1 cm de comprimento e 2 mm de espessura. O coeficiente de calor por convecção do lado da água é de 1200W/ m2°C. O tubo aletado está exposto ao ar a 15°C e o coeficiente de calor por convecção é 5 W/ m2°C. Determine a taxa de transferência de calor por metro de comprimento do tubo.
  • 80.
    Condição de Contorno: convecção aleta finita e ponta isolada
  • 82.
    aleta finita e ponta isolada Condição contorno: convecção
  • 83.
    3,65 vezes menor Nova Rexterna 2,275 Rc,e
  • 84.
    Condução de calorbidimensional • Soluções analíticas para condução térmica em casos 2D requer um esforço muito maior daquelas para casos 1D. • Há no entanto inúmeras soluções baseadas em técnicas da Física-Matemática, tais como: séries de Fourier, séries de Bessel, séries de Legendre, Transformada de Laplace entre outras. • Baseado nestas soluções analíticas o Livro Texto propõe a determinação da taxa de calor para algumas situações bidimensionais baseado em ”fatores de forma de condução”.
  • 85.
    Fator de formade condução • Considerando que a geometria contém somente DUAS superfícies ISOTÉRMICAS, T1 e T2, e que o material é homogêneo: • Onde S é o fator de forma de condução e tem dimensão de comprimento (m). • Comparando esta equação com a das placas planas infinitas (unidimensional) pode-se determinar que o seu fator de forma de condução é: Tabela 8-3. Páginas 312 a 314
  • 89.
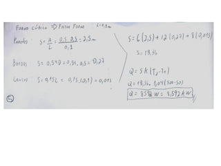
    Tubos de águaquente e fria seguem em paralelo por um trecho de 5 m (figura). Ambos os tubos têm diâmetro de 5 cm, e a distância entre suas linhas de centro é de 30 cm. As temperaturas das superfícies dos tubos são 70°C e 15°C, respectivamente para o de água quente e fria. Assumindo a condutibilidade térmica do concreto como 0,75 W/m.°C, determine a taxa de transferência de calor entre os tubos.
  • 91.
  • 93.
    Condução de calorem regime transiente • Até o momento só foi analisada a transferência de calor por condução em regime permanente. • No entanto, na prática a temperatura, e outras propriedades, pode variar no espaço e no tempo, o que faz com que as condições de contorno térmicas sejam dependentes do tempo. • Neste caso, a transferência de calor ocorre em regime transiente (ou transitório).
  • 94.
    Condução de calorem regime transiente Considere que um corpo possua uma temperatura uniforme Ti e experimente uma mudança térmica repentina em seu meio circunvizinho. • O calor transferido por convecção para o corpo sólido é difundido por condução em seu interior. • A taxa com que esta mudança é sentida no interior do corpo irá depender da resistência à transferência de calor oferecida em suas superfícies e a oferecida internamente (dentro do material). Como se calcula essa distribuição de Temperatura e o Fluxo de Calor?
  • 95.
    Condução de calorem regime transiente • Na obtenção da distribuição transitória no corpo, técnicas matemáticas são bastante elaboradas, mesmo para um configuração geométrica simples. • Métodos numéricos: auxiliados por softwares. Útil para: Geometrias compostas complicadas de diferentes materiais. Propriedades termofísicas variáveis. Condições de contorno não lineares. Soluções utilizando expressões algébricas (com auxílio de grupos adimensionais) e cartas gráficas.
  • 96.
    Método da AnáliseConcentrada • ou Capacitância Global. • Quando um sólido sofre uma rápida alteração em sua temperatura, por meio do fluido circunvizinho. • Distribuição de temperatura no sólido é uniforme (se Resistência Térmica na Superfície for muito maior que a Resistência Térmica interna). • O caso limite será aquele em que a condutibilidade térmica do material for infinita causando uma resistência interna nula à transferência de calor. • A temperatura dependente do tempo pode ser determinada através da análise concentrada.
  • 97.
    Análise concentrada • A 1ª lei para um corpo irregular, sem geração interna de calor, é: • Onde V é o volume e A é a área da superfície do corpo. • A distribuição de temperatura no corpo é obtida pela integração desta equação.
  • 98.
    Modelo concentrado: distribuiçãode temperatura Onde a é a constante de integração. • A condição inicial pode ser escrita como: Para: t=0 T = T0 • A expressão final para a temperatura no corpo é:
  • 99.
    Quando é válidoaplicar a análise concentrada? • A análise concentrada só é válida quando a temperatura no interior do corpo varia uniformemente. • Se Bi ≤ 0,1 Biot (Bi) compara as resistências interna e externa ao corpo sólido. * L é uma dimensão característica do corpo.
  • 100.
    Análise concentrada –grupos adimensionais Razão entre a taxa de condução de calor para a taxa de armazenamento de energia térmica
  • 101.
    Análise concentrada: taxade transferência de calor • Expressão da temperatura no corpo na forma adimensional: • A taxa de transferência de calor, em qualquer instante de tempo, é determinada por: • O calor total transferido do ou para o corpo sólido será:
  • 102.
    Análise concentrada comgeração interna de calor • Se houver geração interna de calor no corpo que comece em t = 0, a equação diferencial da energia será: • Temperatura do corpo com geração interna de calor:
  • 103.
    * Constante de tempo: Se : Variação lenta de Temperatura Se : Variação rápida de Temperatura
  • 104.
    Exemplo: Um esferasólida de aço, AISI 1010, com 1 cm de diâmetro, inicialmente a 15 oC é colocada em uma corrente de ar, T = 60 oC. Estimar a temperatura dessa esfera em função do tempo depois de ter sido colocada na corrente de ar quente. Estimar também a taxa de calor transferido para a esfera. O coeficiente médio de transferência de calor por convecção é de 20 W/m2 oC. Tabela A-14
  • 105.
    Exemplo: Um esferasólida de aço, AISI 1010, com 1 cm de diâmetro, inicialmente a 15 oC é colocada em uma corrente de ar, T = 60 oC. Estimar a temperatura dessa esfera em função do tempo depois de ter sido colocada na corrente de ar quente. Estimar também a taxa de calor transferido para a esfera. O coeficiente médio de transferência de calor por convecção é de 20 W/m2 oC.
  • 108.
    * A resoluçãodo livro não utiliza o conceito de Constante de Tempo.
  • 109.
  • 111.
    Supor Bi <0,1 para cálculo do diâmetro e aplicar análise concentrada Hipótese válida;
  • 112.
    Condução Transiente, Bi> 0,1 • Não se considera a temperatura uniforme: – Não se aplica a análise concentrada. – Deve-se considerar a variação da temperatura no tempo e no espaço. – O distúrbio da fronteira se propaga por “difusão” no interior do sólido.
  • 113.
    Condução transitória unidimensional Bi > 0,1 • O distúrbio da fronteira se propaga por „difusão‟ no interior do sólido somente ao longo da direção “x”. • Na ausência de geração interna de calor, a equação da condução de calor no sistema de coordenadas cartesianas reduz-se a:  2T 1 T  A sua análise x 2  t dependerá de configurações específicas, nas • Em coordenadas cilíndricas: quais serão definidas uma condição  2T 1 T 1 T inicial (associado ao   tempo) e duas r 2 r r  t condições de contorno.
  • 114.
    Sólido semi-infinito: Possuiuma face com largura “infinita”: Qualquer distúrbio na temperatura nessa face NUNCA atingirá a outra extremidade; • A: Mudança súbita na temperatura de superfície T1 T1 Qualquer sólido com dimensões „finitas‟ pode ser “aproximado” como um sólido semi-infinito desde T0 que o distúrbio de temperatura da face não atinja a sua outra fronteira.
  • 116.
  • 117.
    Sólido semi-infinito • B: Mudança súbita no fluxo de calor qp  T0
  • 118.
    Sólido semi-infinito • C: Mudança súbita na temperatura do fluido T0
  • 119.
  • 121.
    t = (60)(24) (3600) = 5,184 x106 s
  • 122.
    Solução Gráfica: Paracasos que envolvam condução unidimensional transiente onde Bi > 0,1 Placa infinita Cilindro Infinito Esfera • Para que a transferência de calor seja unidimensional é necessário que as dimensões do corpo, normal a direção do fluxo, sejam muito grandes.
  • 123.
    Condução transiente unidimensional •A solução gráfica é apresentada para corpos sólidos com espessura 2L submetidos a um fluxo de calor imposto por um coeficiente de transferência de calor, h, idêntico em ambas as faces. • Uma análise do modelo matemático, descrito pela equação diferencial e as condições inicial e de contorno, indica que a distribuição da temperatura na placa é uma função de NOVE variáveis:
  • 124.
    Condução transiente unidimensional •Para reduzir o número de variáveis recorre-se ao uso de grupos adimensionais. • A solução gráfica fornece a temperatura na linha de centro e na superfície (x = L) relacionando Bi2Fo com diferentes curvas Bi. • A solução gráfica para o calor transferido permite encontrá-lo através:
  • 125.
    1 - PlacaPlana infinita (Fig 8-20, 8-21 e 8-22)
  • 126.
    2- Cilindro infinito (Fig 8-23, 8-24 e 8-25)
  • 127.
    • Uma grandeparede sólida de tijolo com 15 cm de espessura atinge uma temperatura uniforme de 0oC durante uma noite de inverno. Às 9 h da manhã o ar adjacente à parede se aquece até uma temperatura de 15oC. O ar se mantém nesta temperatura até as 15 h. Estimar a temperatura na linha de centro e na superfície da parede de tijolo às 12 h. Determinar também a temperatura média do tijolo e a quantidade de calor/m2 que foi transferida do ar para o tijolo. “h” pode ser considerado constante e igual a 50W/m2 oC.
  • 131.
    Configurações multidimensionais São restritas aquelas que podem ser formadas através do uso de um sólido semi- infinito, placas infinitas, ou um cilindro infinito. Restrições adicionais: • Todas as condições de contorno térmicas precisam experimentar uma mudança súbita simultânea. • A distribuição de temperatura inicial no corpo é uniforme, T0. • Todas as temperaturas da superfície do fluido, definidas nas condições de contorno após a mudança repentina, precisam ser iguais, T. • Fluxo de calor uniforme ou condições de contorno não lineares não podem estar presentes.
  • 132.
    Configurações multidimensionais • Temperatura adimensional num paralelepípedo: • Temperatura adimensional num cilindro infinito: Usar Lc = L ; NÃO L/2
  • 133.
    Exemplo Um cilindrode aço inoxidável (AISI 304) de 2 cm de diâmetro e 5 cm de comprimento é retirado de um forno e colocado sobre uma mesa como mostrado na figura. O cilindro está a uma temperatura uniforme de 300°C quando é retirado do forno. A superfície em contato com a mesa é considerada perfeitamente isolada durante o processo de resfriamento, e as demais superfícies estão em contato com o ar a uma temperatura de 15°C. Determinar a temperatura máxima do cilindro 10 minutos depois de ter sido retirado do forno. O coeficiente médio de transferência de calor durante o processo de resfriamento é de 50 W/m2.°C. Resolução Livro texto 9
  • 134.
    Um cilindro deaço inoxidável (AISI 304) de 2 cm de diâmetro e 5 cm de comprimento é retirado de um forno e colocado sobre uma mesa como mostrado na figura. O cilindro está a uma temperatura uniforme de 300°C quando é retirado do forno. A superfície em contato com a mesa é considerada perfeitamente isolada durante o processo de resfriamento, e as demais superfícies estão em contato com o ar a uma temperatura de 15°C. Determinar a temperatura máxima do cilindro 10 minutos depois de ter sido retirado do forno. O coeficiente médio de transferência de calor durante o processo de resfriamento é de 50 W/m2.°C.
  • 136.
    Resumo: Condução Transiente •Bi <0,1 Análise Concentrada: “Corpo qualquer” • Unidimensional. Bi>0,1 Sólido semi-infinito: 3 condições de contorno (Mudanças súbitas em: Ts, Q, T): “Fórmulas erf (X)” • Unidimensional. Bi>0,1 Placa infinita , Cilindro Infinito: “Gráficos” Lc = L/2 • Configurações multidimensionais: “Produto das Tadimensionais” Lc = L
  • 137.
    Exercícios propostos 8-7 ;8-11 ; 8-21 ; 8-25 ; 8-28 ; 8-30 ; 8-38
  • 138.
  • 139.
    2 d3 di de
  • 142.
  • 144.
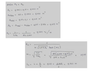
    • O Tijoloda chaminé da figura a seguir, tem 5 m de altura. Uma estimativa da taxa de transferência de calor total através da parede da chaminé quando as superfícies internas estão a uma temperatura uniforme de 100ºC e as superfícies externas são mantidas a uma temperatura uniforme de 20º C é requerida. • Tabela A-15.2 Ktijolo = 0,72 W/mºC D = 5m L = 0,1 m * Solução no livro texto
  • 145.
    Parede • 4 planos de Simetria Extremidades Parede . • Qc = 27,7 x 0,72 (100-20) = 1,595 kW
  • 146.
    Uma condução unidimensionalem regime permanente com geração interna de energia ocorre numa placa plana de 50 mm de espessura e condutibilidade térmica constante de 5 W/m.K. Para estas condições, a distribuição de temperatura tem a forma T(x) = a + bx + cx2. A superfície em x = 0 tem temperatura T(0) = 120°C e experimenta uma convecção com um fluido a 20°C e h=500 W/m2.K. Já a superfície em x = L está bem isolada. a) Através do balanço de energia na parede, calcule a taxa de geração de calor. b) Determine os coeficientes a, b e c aplicando as condições de contorno à distribuição de temperatura dada. Fluido
  • 147.
  • 148.
    2 ) 120 = T(x)
  • 149.
    Componentes eletrônicos estãoinstalados no lado anterior de uma placa de circuito (0,2 cm x 10 cm x 15 cm) que dissipa 15 W uniformemente. A condutibilidade térmica da placa é 12 W/m.°C. Todo o Componentes calor gerado nos componentes é eletrônicos Aletas conduzido através da placa e dissipado pelo lado oposto para um meio a 37°C, com um coeficiente de transferência de calor de 45 W/m2.°C. (a) Determine as temperaturas das superfícies dos dois lados da placa. (b) Agora, considere que uma placa de alumínio de 0,1 cm de espessura (com mesma altura e largura da placa de circuito), contendo 20 aletas retangulares (0,2 cm x 2 cm x 15 cm), é colada à parte posterior da placa de circuito com uma camada de 0,03 cm de um adesivo (k = 1,8 W/m.°C). Determine as novas temperaturas nos dois lados da placa de circuito.
  • 150.
    Componentes eletrônicos estãoinstalados no lado anterior de uma placa de circuito (0,2 cm x 10 cm x 15 cm) que dissipa 15 W uniformemente. A condutibilidade térmica da placa é 12 W/m.°C. Todo o calor gerado nos componentes é conduzido através da placa e dissipado pelo lado oposto para um meio a 37°C, com um coeficiente de transferência de calor de 45 W/m2.°C. (a) Determine as temperaturas das superfícies dos dois lados da placa. (b) Agora, considere que uma placa de alumínio de 0,1 cm de espessura (com mesma altura e largura da placa de circuito), contendo 20 aletas retangulares (0,2 cm x 2 cm x 15 cm), é colada à parte posterior da placa de circuito com uma camada de 0,03 cm de um adesivo (k = 1,8 W/m.°C). Determine as novas temperaturas nos dois lados da placa de circuito. Componentes eletrônicos Aletas
  • 152.
    Componentes eletrônicos estãoinstalados no lado anterior de uma placa de circuito (0,2 cm x 10 cm x 15 cm) que dissipa 15 W uniformemente. A condutibilidade térmica da placa é 12 W/m.°C. Todo o calor gerado nos componentes é conduzido através da placa e dissipado pelo lado oposto para um meio a 37°C, com um coeficiente de transferência de calor de 45 W/m2.°C. (a) Determine as temperaturas das superfícies dos dois lados da placa. (b) Agora, considere que uma placa de alumínio de 0,1 cm de espessura (com mesma altura e largura da placa de circuito), contendo 20 aletas retangulares (0,2 cm x 2 cm x 15 cm), é colada à parte posterior da placa de circuito com uma camada de 0,03 cm de um adesivo (k = 1,8 W/m.°C). Determine as novas temperaturas nos dois lados da placa de circuito. Componentes eletrônicos Aletas