Aula nº 02 – :
Autor: Wadiley Nascimento Facebook: Factos Matemáticos
Primitivas
Imediatas
Funções Reais de Variável Real – Integral Indefinida
Integral Indefinida é o mesmo que dizer Primitiva.
1ª Questão (Derivada): Dada a função 𝑓(𝑥), qual é a função 𝑭(𝒙), que é
igual à derivada da função dada 𝑓′(𝑥) .
𝐹(𝑥) = 𝑓′(𝑥)
2ª Questão (Invesa da Derivada): Dada a função 𝑓(𝑥), qual é a função
𝑭(𝒙), cuja a sua derivada é igual à função dada 𝑓(𝑥) .
𝐹′(𝑥) = 𝑓(𝑥)
Integral Indefinida
1.1 - Integrais Imediatas
Definição 1: Sejam 𝑓(𝑥) e 𝐹(𝑥) duas funções definidas num intervalo 𝐼.
Diz-se que 𝐹(𝑥) é uma primitiva de 𝑓 em 𝐼 se 𝐹′(𝑥) = 𝑓(𝑥), ∀𝑥 ∈ 𝐼.
Definição 1.1.1: Chamam-se primitivas imediatas as que se deduzem
directamente de uma regra de derivação.
A partir das regras de derivação obtém-se facilmente.
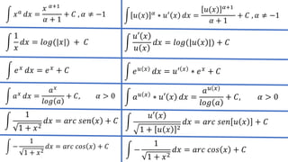
Primitivas
Imediatas
න 𝑢(𝑥) 𝛼
∗ 𝑢′
𝑥 𝑑𝑥 =
𝑢(𝑥) 𝛼+1
𝛼 + 1
+ 𝐶 , 𝛼 ≠ −1න 𝑥 𝑎 𝑑𝑥 =
𝑥 𝛼+1
𝛼 + 1
+ 𝐶 , 𝛼 ≠ −1
න
1
𝑥
𝑑𝑥 = 𝑙𝑜𝑔(|𝑥|) + 𝐶 න
𝑢′ 𝑥
𝑢 𝑥
𝑑𝑥 = 𝑙𝑜𝑔(|𝑢 𝑥 |) + 𝐶
න 𝑒 𝑥 𝑑𝑥 = 𝑒 𝑥 + 𝐶 න 𝑒 𝑢 𝑥 𝑑𝑥 = 𝑢′ 𝑥 ∗ 𝑒 𝑥 + 𝐶
න 𝑎 𝑥
𝑑𝑥 =
𝑎 𝑥
𝑙𝑜𝑔 𝑎
+ 𝐶, 𝛼 > 0 න 𝑎 𝑢 𝑥 ∗ 𝑢′ 𝑥 𝑑𝑥 =
𝑎 𝑢 𝑥
𝑙𝑜𝑔 𝑎
+ 𝐶, 𝛼 > 0
න
1
1 + 𝑥2
𝑑𝑥 = 𝑎𝑟𝑐 𝑠𝑒𝑛 𝑥 + 𝐶 න
𝑢′ 𝑥
1 + 𝑢 𝑥 2
𝑑𝑥 = 𝑎𝑟𝑐 𝑠𝑒𝑛 𝑢 𝑥 + 𝐶
න −
1
1 + 𝑥2
𝑑𝑥 = 𝑎𝑟𝑐 𝑐𝑜𝑠 𝑥 + 𝐶 න −
1
1 + 𝑥2
𝑑𝑥 = 𝑎𝑟𝑐 𝑐𝑜𝑠 𝑥 + 𝐶
න
𝑢′ 𝑥
1 + 𝑢 𝑥 2
𝑑𝑥 = 𝑎𝑟𝑐 𝑡𝑔 𝑢 𝑥 + 𝐶
න 𝑠𝑒𝑛 𝑥 𝑑𝑥 = − cos 𝑥 + 𝐶 න 𝑠𝑒𝑛 𝑢 𝑥 ∗ 𝑢′ 𝑥 𝑑𝑥 = − cos 𝑢(𝑥) + 𝐶
න cos 𝑥 𝑑𝑥 = 𝑠𝑒𝑛 𝑥 + 𝐶 න cos 𝑢 𝑥 ∗ 𝑢′ 𝑥 𝑑𝑥 = 𝑠𝑒𝑛 𝑢(𝑥) + 𝐶
න 𝑠𝑒𝑐2
𝑥 𝑑𝑥 = 𝑡𝑔 𝑥 + 𝐶 න 𝑠𝑒𝑐2
𝑢 𝑥 ∗ 𝑢′
𝑥 𝑑𝑥 = 𝑡𝑔 𝑢(𝑥) + 𝐶
න 𝑐𝑜𝑠𝑒𝑐2 𝑥 𝑑𝑥 = − 𝑐𝑜𝑡𝑔 𝑥 + 𝐶
න 𝑐𝑜𝑠𝑒𝑐2
𝑢 𝑥 ∗ 𝑢′
𝑥 𝑑𝑥 = − 𝑐𝑜𝑡𝑔 𝑢 𝑥 + 𝐶
න
1
1 + 𝑥2
𝑑𝑥 = 𝑎𝑟𝑐 𝑡𝑔 𝑥 + 𝐶
Fórmulas
I. Imediatas
Ex. 1: Calcule o seguinte integral:
⇔ න 𝑥2 + 𝑥 + 1 𝑑𝑥
⇔
𝑥2+1
2 + 1
+
𝑥1+1
1 + 1
+ 𝑥 + 𝐶
⇔
𝑥3
3
+
𝑥2
2
+ 𝑥 + 𝐶;
Segredo: Conhecer as Primitivas Imediatas
Recordar:
න 𝑥 𝑎 𝑑𝑥 =
𝑥 𝛼+1
𝛼 + 1
+ 𝐶 , 𝛼 ≠ −1
න 𝒙 𝟐
+ 𝒙 + 𝟏 𝒅𝒙
= න 𝑥2 𝑑𝑥 + න 𝑥 𝑑𝑥 + න 1 𝑑𝑥
Teorema 1.1.1: Seja f uma função primitivável num intervalo I. Então, para cada
𝑥0 ∈ 𝐼 e cada 𝑦0 ∈ ℝ, existe uma, e uma só, primitiva 𝑭(𝒙) de 𝑓(𝑥) tal que
𝐹(𝑥0) = 𝑦0.
Em particular, existe uma, e uma só, primitiva de 𝑓(𝑥) que se anula em 𝑥0.
Ex.2: Calculemos 𝑓 𝑥 sabendo que 𝑓′ 𝑥 = 𝑥 𝑥 e 𝑓(1) = 2.
𝐹 𝑥 = 𝑓 𝑥
Sabendo que, 𝑓 1 = 2 ⇔
(1)
5
2
Τ5 2
+ 𝐶 = 2 ⇔
1
Τ5 2
+ 𝐶 = 2 ⇔
1
1
∗
2
5
+ 𝐶 = 2
= න 𝑓′ 𝑥 𝑑𝑥 = න 𝑥 ∗ 𝑥
1
2 𝑑𝑥 = න 𝑥
3
2 𝑑𝑥 =
𝑥
3
2
+1
3
2
+ 1
+ 𝐶 =
𝑥
5
2
5
2
+ 𝐶
⇔
1
1
∗
2
5
+ 𝐶 = 2
Portanto,
𝑓 𝑥 =
2
5
𝑥
5
2 +
8
5
𝑻𝒆𝒍. +𝟐𝟑𝟗 𝟗𝟖𝟎 𝟏𝟎𝟒𝟓
⇔ 𝑓 𝑥 =
2 𝑥5 + 8
5
⇔
2
5
+ 𝐶 = 2 ⇔ 𝐶 = 2 −
2
5
⇔ 𝐶 =
8
5

Aula 02 - Primitivas Imediatas

  • 1.
    Aula nº 02– : Autor: Wadiley Nascimento Facebook: Factos Matemáticos Primitivas Imediatas
  • 2.
    Funções Reais deVariável Real – Integral Indefinida Integral Indefinida é o mesmo que dizer Primitiva. 1ª Questão (Derivada): Dada a função 𝑓(𝑥), qual é a função 𝑭(𝒙), que é igual à derivada da função dada 𝑓′(𝑥) . 𝐹(𝑥) = 𝑓′(𝑥) 2ª Questão (Invesa da Derivada): Dada a função 𝑓(𝑥), qual é a função 𝑭(𝒙), cuja a sua derivada é igual à função dada 𝑓(𝑥) . 𝐹′(𝑥) = 𝑓(𝑥)
  • 3.
    Integral Indefinida 1.1 -Integrais Imediatas Definição 1: Sejam 𝑓(𝑥) e 𝐹(𝑥) duas funções definidas num intervalo 𝐼. Diz-se que 𝐹(𝑥) é uma primitiva de 𝑓 em 𝐼 se 𝐹′(𝑥) = 𝑓(𝑥), ∀𝑥 ∈ 𝐼. Definição 1.1.1: Chamam-se primitivas imediatas as que se deduzem directamente de uma regra de derivação. A partir das regras de derivação obtém-se facilmente. Primitivas Imediatas
  • 4.
    න 𝑢(𝑥) 𝛼 ∗𝑢′ 𝑥 𝑑𝑥 = 𝑢(𝑥) 𝛼+1 𝛼 + 1 + 𝐶 , 𝛼 ≠ −1න 𝑥 𝑎 𝑑𝑥 = 𝑥 𝛼+1 𝛼 + 1 + 𝐶 , 𝛼 ≠ −1 න 1 𝑥 𝑑𝑥 = 𝑙𝑜𝑔(|𝑥|) + 𝐶 න 𝑢′ 𝑥 𝑢 𝑥 𝑑𝑥 = 𝑙𝑜𝑔(|𝑢 𝑥 |) + 𝐶 න 𝑒 𝑥 𝑑𝑥 = 𝑒 𝑥 + 𝐶 න 𝑒 𝑢 𝑥 𝑑𝑥 = 𝑢′ 𝑥 ∗ 𝑒 𝑥 + 𝐶 න 𝑎 𝑥 𝑑𝑥 = 𝑎 𝑥 𝑙𝑜𝑔 𝑎 + 𝐶, 𝛼 > 0 න 𝑎 𝑢 𝑥 ∗ 𝑢′ 𝑥 𝑑𝑥 = 𝑎 𝑢 𝑥 𝑙𝑜𝑔 𝑎 + 𝐶, 𝛼 > 0 න 1 1 + 𝑥2 𝑑𝑥 = 𝑎𝑟𝑐 𝑠𝑒𝑛 𝑥 + 𝐶 න 𝑢′ 𝑥 1 + 𝑢 𝑥 2 𝑑𝑥 = 𝑎𝑟𝑐 𝑠𝑒𝑛 𝑢 𝑥 + 𝐶 න − 1 1 + 𝑥2 𝑑𝑥 = 𝑎𝑟𝑐 𝑐𝑜𝑠 𝑥 + 𝐶 න − 1 1 + 𝑥2 𝑑𝑥 = 𝑎𝑟𝑐 𝑐𝑜𝑠 𝑥 + 𝐶
  • 5.
    න 𝑢′ 𝑥 1 +𝑢 𝑥 2 𝑑𝑥 = 𝑎𝑟𝑐 𝑡𝑔 𝑢 𝑥 + 𝐶 න 𝑠𝑒𝑛 𝑥 𝑑𝑥 = − cos 𝑥 + 𝐶 න 𝑠𝑒𝑛 𝑢 𝑥 ∗ 𝑢′ 𝑥 𝑑𝑥 = − cos 𝑢(𝑥) + 𝐶 න cos 𝑥 𝑑𝑥 = 𝑠𝑒𝑛 𝑥 + 𝐶 න cos 𝑢 𝑥 ∗ 𝑢′ 𝑥 𝑑𝑥 = 𝑠𝑒𝑛 𝑢(𝑥) + 𝐶 න 𝑠𝑒𝑐2 𝑥 𝑑𝑥 = 𝑡𝑔 𝑥 + 𝐶 න 𝑠𝑒𝑐2 𝑢 𝑥 ∗ 𝑢′ 𝑥 𝑑𝑥 = 𝑡𝑔 𝑢(𝑥) + 𝐶 න 𝑐𝑜𝑠𝑒𝑐2 𝑥 𝑑𝑥 = − 𝑐𝑜𝑡𝑔 𝑥 + 𝐶 න 𝑐𝑜𝑠𝑒𝑐2 𝑢 𝑥 ∗ 𝑢′ 𝑥 𝑑𝑥 = − 𝑐𝑜𝑡𝑔 𝑢 𝑥 + 𝐶 න 1 1 + 𝑥2 𝑑𝑥 = 𝑎𝑟𝑐 𝑡𝑔 𝑥 + 𝐶 Fórmulas I. Imediatas
  • 6.
    Ex. 1: Calculeo seguinte integral: ⇔ න 𝑥2 + 𝑥 + 1 𝑑𝑥 ⇔ 𝑥2+1 2 + 1 + 𝑥1+1 1 + 1 + 𝑥 + 𝐶 ⇔ 𝑥3 3 + 𝑥2 2 + 𝑥 + 𝐶; Segredo: Conhecer as Primitivas Imediatas Recordar: න 𝑥 𝑎 𝑑𝑥 = 𝑥 𝛼+1 𝛼 + 1 + 𝐶 , 𝛼 ≠ −1 න 𝒙 𝟐 + 𝒙 + 𝟏 𝒅𝒙 = න 𝑥2 𝑑𝑥 + න 𝑥 𝑑𝑥 + න 1 𝑑𝑥
  • 7.
    Teorema 1.1.1: Sejaf uma função primitivável num intervalo I. Então, para cada 𝑥0 ∈ 𝐼 e cada 𝑦0 ∈ ℝ, existe uma, e uma só, primitiva 𝑭(𝒙) de 𝑓(𝑥) tal que 𝐹(𝑥0) = 𝑦0. Em particular, existe uma, e uma só, primitiva de 𝑓(𝑥) que se anula em 𝑥0. Ex.2: Calculemos 𝑓 𝑥 sabendo que 𝑓′ 𝑥 = 𝑥 𝑥 e 𝑓(1) = 2. 𝐹 𝑥 = 𝑓 𝑥 Sabendo que, 𝑓 1 = 2 ⇔ (1) 5 2 Τ5 2 + 𝐶 = 2 ⇔ 1 Τ5 2 + 𝐶 = 2 ⇔ 1 1 ∗ 2 5 + 𝐶 = 2 = න 𝑓′ 𝑥 𝑑𝑥 = න 𝑥 ∗ 𝑥 1 2 𝑑𝑥 = න 𝑥 3 2 𝑑𝑥 = 𝑥 3 2 +1 3 2 + 1 + 𝐶 = 𝑥 5 2 5 2 + 𝐶
  • 8.
    ⇔ 1 1 ∗ 2 5 + 𝐶 =2 Portanto, 𝑓 𝑥 = 2 5 𝑥 5 2 + 8 5 𝑻𝒆𝒍. +𝟐𝟑𝟗 𝟗𝟖𝟎 𝟏𝟎𝟒𝟓 ⇔ 𝑓 𝑥 = 2 𝑥5 + 8 5 ⇔ 2 5 + 𝐶 = 2 ⇔ 𝐶 = 2 − 2 5 ⇔ 𝐶 = 8 5