Resoluções dos exercícios do
capítulo 4
Livro professor Brunetti
4.1 – Determinar a velocidade do jato do líquido no
orifício do tanque de grandes dimensões da
figura. Considerar fluido ideal
Resolução do 4.1
Exercício 4.2
Supondo fluido ideal, mostrar que os jatos de dois orifícios na parede de um
tanque interceptam-se num mesmo ponto sobre um plano, que passa pela base
do tanque, se o nível do líquido acima do orifício superior for igual à altura do
orifício inferior acima da base.
Resolução do 4.2Primeiro considera-se as seções
especificadas na figura a seguir:
y
(0)
(x)
(1)
(2)
)ay(a
g
)ay(
gaxt1v1xxeixo
g
)ay(
tgt
2
1
ayyeixo
:se-temsituaçãoestapara
inclinadolançamentoodoConsideran
gav
g
v
a
g
vp
z
g
vp
zH0H
(1)a(0)deBernoullideEquação
+=
+
×=∴=⇒
+
=∴=+⇒
=⇒=∴
+
γ
+=+
γ
+∴=
4
2
21
22
21
2
2
1
2
2
11
1
2
2
00
01
)ay(a
g
a
)ya(gxt2v2xxeixo
g
a
tgt
2
1
ayeixo
:se-temsituaçãoestapara
inclinadolançamentoodoConsideran
)ya(gv
g
v
ya
g
vp
z
g
vp
zH0H
(2)a(0)deBernoullideEquação
+=×+=∴=⇒
=∴=⇒
+=⇒=+∴
+
γ
+=+
γ
+∴=
4
2
22
22
22
2
2
2
2
2
22
2
2
2
00
02
10−PHR
20−PHR
cqdx1x:Portanto ⇒= 2
4.3 – Está resolvido no sítio:
http://www.escoladavida.eng.br/mecflubasica/aulasfei/planejamento_fei.htm - na nona aula
4.4 – Um tubo de Pitot é preso num barco que se
desloca com 45 km/h. qual será a altura h
alcançada pela água no ramo vertical.
Resolução do 4.4
m,m,hh
,
h
g
v
8781257
102
2
63
45
2
2
1
≅=∴=
×
⎟
⎠
⎞
⎜
⎝
⎛
=
4.5 - Quais são as vazões de óleo em massa e em peso no tubo convergente da
figura, para elevar uma coluna de 20 cm de óleo no ponto (0)?
Dados; desprezar as perdas; γóleo= 8.000 N/m³; g = 10 mls²
Resolução do 4.5
4.6 Dado o dispositivo da figura, calcular a vazão do escoamento da água no
conduto. Desprezar as perdas e considerar o diagrama de velocidades
uniforme.
Dados: γH20 = 104 N/m³; γm = 6 X 104 N/m³; p2 = 20 kPa; A = 10-2 m²; g = 10m/s².
Resp.: Q = 40 Lls
0
s
m
AmédiavQ
s
m
,médiav,média
v
vm,0p
uniformesvelocidadedediagramao
considerouseesdesprezadaforamperdasasquejá,médiavv
m
N
)(,p
pm,OH,pzz
g
vp
z
g
vp
zHH
3
2104
4208083
20
2
10000
30000
0083
1
2
30000100006000020200001
220
2
20101
2
2
00
0
2
2
11
101
−×=×=
=×=∴=+∴
=→=
γ
=
=−×+=∴
=γ×−γ×+⇒=
+
γ
+=+
γ
+⇒=
Portanto Q= 40 l/s
4.7 – Está resolvido no sítio:
http://www.escoladavida.eng.br/mecflubasica/aulasfei/planejamento_fei.htm - na nona
aula
4.8 No conduto da figura, o fluido é considerado ideal. Dados: H1 = 16 m;
P1 = 52 kPa; γ = 104 N/m³; D1 = D3 = 10 cm. Determinar: a) a vazão em peso;
b) a altura h1 no manômetro; c) o diâmetro da seção (2).
PHR
cm,m,
,
,
D
D
,
,
QQ
s
m
,v
v
z,zHH
z,
p
zp
p)2(z-1360000,55-100000,5552000
amanométricequação)c
1h1h
,1h1h52000
amanométricequação)b
s
N
,
,
AvGQ
s
m
v
v
,mHH1H
m,
pp
:origina,v1vComo
g
vp
z
g
vp
zH1H)a
7521075
4312
2104
2
4
2
24312
4
210
421
43122
20
2
2
227821621
22782
210000827002
21000010
0126000180007000052000
100008110000713600010000
2314
4
210
4410
43
20
2
38117161632
813317
10000
52000
10
3
2
2
33
3
2
2
11
13
=−×≅
×
=∴
×π
×=
×π
×∴=
=∴+−+=∴=
−=
γ
⇒×−=
=×−××+
=⇒×=+−∴
×−=×−×−×+
=
×π
××=××γ=
=∴+−=∴===
−=
γ
∴
γ
+=+
=
+
γ
+=+
γ
+⇒=
4.9 – Está resolvido no sítio:
http://www.escoladavida.eng.br/mecflubasica/aulasfei/planejamento_fei.htm - na nona
aula
4.10 - Num carburador, a velocidade do ar na garganta do Venturi é 120 m/s. O diâmetro da
garganta é 25 mm. O tubo principal de admissão de gasolina tem um diâmetro de 1,15 mm e o
reservatório de gasolina pode ser considerado aberto à atmosfera com seu nível constante.
Supondo o ar como fluido ideal e incompressível e desprezando as perdas no tubo de gasolina,
determinar a relação gasolina/ar (em massa) que será admitida no motor. Dados:
ρgas= 720 kg/m³; ρar= 1 kg/m³; g = 10 m/s²
4.11 – Está resolvido no sítio:
http://www.escoladavida.eng.br/mecflubasica/aulasfei/planejamento_fei.htm - na
décima aula
4.12 Um túnel aerodinâmico foi projetado para que na seção de exploração A a
veia livre de seção quadrada de 0,2 m de lado tenha uma velocidade média
de 30 m/s. As perdas de carga são: entre A e 0 →100 m e entre 1 e A →
100 m. Calcular a pressão nas seções 0 e 1e a potência do ventilador se
seu rendimento é 70%. (γar = 12,7 N/m³)
Respostas: Po = -734,2 Pa; P, = 1805,8 Pa; Nv = 4,36 kW
kw4,36w,
,
,,,
vN
mvH
,
,
vH
,
,
HvH0H
Pa,p
,
,
p
ApH
g
v
ar
p
z
g
A
v
ar
Ap
Az
ApHHAH
Pa,
,
,p
s
m
,v,,,v,,Av
v
,
pv
,
p
ApH
g
A
v
ar
Ap
Az
g
v
ar
p
z
ApHAHH
≈≅
××××
=
≅∴=+
−
⇒=+
−=⇒++=
−
++
γ
+=+
γ
+⇒
−
+=
≅
⎟
⎟
⎠
⎞
⎜
⎜
⎝
⎛
−×=
=∴=××∴××=×
=+⇒+++=++
−
++
γ
+=+
γ
+⇒
−
+=
34354
70
200202030712
200
712
81805
712
2734
1
27340100
20
257
712
0
20
230
02
2
00
0
2
2
00
81805
20
257
1457121
571214040120203011
145
20
2
1
712
1100
20
230
00
20
2
1
712
10
12
2
2
2
11
111
4.13 – Está resolvido no sítio:
http://www.escoladavida.eng.br/mecflubasica/aulasfei/planejamento_fei.htm - na
décima aula
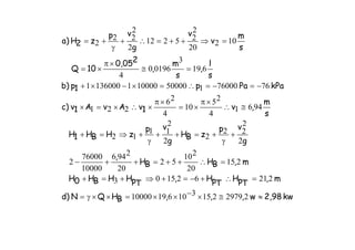
4.14 – Na instalação da figura, a carga total na seção (2) é 12 m. Nessa
seção, existe um piezômetro que indica 5 m. determinar: a) a vazão;
b) a pressão em (1); c) a perda de carga ao longo de toda a tubulação;
d) a potência que o fluido recebe da bomba.
8056
3
136000
3
410
2
,Becm2D;cm1D1m;h;
m
N
Hg;
m
N
OH
:Dados
=η====γ=γ
Respostas: a) 19,6 l/s; b) -76 kPa; c) 21,2 m; d) 3 kw
kw2,98w,,,BHQNd)
m,
TpH
TpH,
TpHHBH0H
m,BHBH
,
g
vp
zBH
g
vp
zHBH1H
s
m
,v1vAvA1v)c
kPaPap1p)b
s
l
,
s
m
,
20,05
10Q
s
m
v
v
g
vp
z2H)a
≈≅×−××=××γ=
=∴+−=+⇒+=+
=∴++=++−
+
γ
+=++
γ
+⇒=+
≅∴
×π
×=
×π
×∴×=×
−=−=∴=×−×+
=≅
×π
×=
=⇒++=∴+
γ
+=
2297921531061910000
221621503
215
20
210
52
20
2946
10000
76000
2
2
2
22
2
2
2
11
12
9461
4
25
10
4
26
221
76760001500001000011360001
619
3
01960
4
102
20
2
25212
2
2
22
2
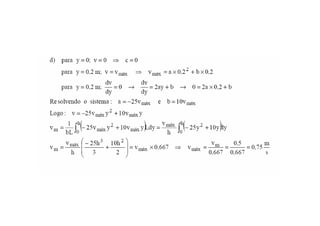
4.15 O bocal da figura descarrega 40 L/s de um fluido de v = 10-4m²/s e γ = 8.000
N/m³ no canal de seção retangular. Determinar:
a) a velocidade média do fluido no canal;
b) o mínimo diâmetro da seção (1) para que o escoamento seja laminar;
c) a perda de carga de (1) a (2) no bocal, quando o diâmetro é o do item (c),
supondo p1 = 0,3 MPa;
d) a velocidade máxima no canal se o diagrama é do tipo v = ay²+ by + c com
dv/dy = 0 na superfície do canal (vide figura).
g
vvp
pH
pH
g
vp
z
g
vp
z)c
2
2
22
2
111
21
212
2
222
2
2
2
111
1
×α−×α
+
γ
=−
−
+
×α
+
γ
+=
×α
+
γ
+
m,
,,,
pH 816
8000
61030
20
2420127802
21 ≅
×
+
×−×
=−
4.16 Dados: Hp2-3 = 2 m; A3 = 20 cm²; A2 = 1 cm²; Hp0-1 = 0,8 m; rendimento
da bomba igual a 70%. Determinar:
a) a vazão (L/s);
b) a área da seção (1) (cm²);
c) a potência fornecida pela bomba ao fluido.
w,,,BHQN
m,
,,
BH
s
m
,vv3-100,71
pressão.decargafornecerparaconstruídaégeralmente
bombaaquejáocorre,nãopráticanaisto
g
vv
BH
v
BH
v
3
:resultaistoebomba,darendimentonoaconsideradéjáperdaa
portantobomba,dasaídaeentradamenterespectiva(2)e(1)seçãoHBH1H)c
cm,m,
,
3-100,71
AA,3-100,71A1vQ
s
m
,v,
v
30005
pH
g
vp
z
g
vp
zpHH0H)b
s
l
,
s
m3-100,71Q
Qv2
3
399v:resulta(I)em(II)De
)II(vv3v2vA3vA2v
)I(vv
v
,
v
;zz
pH
g
vp
z
g
vp
zpHH2H)a
3729321310710410
321
20
294217
172
4102
2
2
1
2
2
20
2
21
3
20
2
11
2
24512410451
94
11941
94180
20
2
11
102
2
111
1
2
2
00
0101
710
3
41020
399
50
399
50
350
2
34002
220132
502
3
2
22
20
2
353
20
2
2313232
322
2
333
3
2
2
222
2323
≅×−××=××γ=
≅
−
=
=⇒−×=×
→
−
=∴
×
+=+
×
+
=+
=−×≅
×
=⇒×=×∴×=
≅⇒+
×
++=++
−
+
α
+
γ
+=+
γ
+⇒
−
+=
=×≅
−××=→=∴=
⇒=⇒×=×∴×=×
⇒=−⇒++=+∴=α=α=
−
+
α
+
γ
+=
α
+
γ
+⇒
−
+=
4.17 Na instalação da figura, a máquina M2 fornece ao fluido uma energia por
unidade de peso de 30 m e a perda de carga total do sistema é 15 m.
Determinar:
a) a potência da máquina M1 sendo ηΜ1 = 0,8;
b) a pressão na seção (2) em mca;
c) a perda de carga no trecho (2)-(5) da instalação.
Dados: Q = 20 L/s; γ= 104 N/m³; g = 10 m/s²; A = 10 cm² (área da seção dos tubos).
4.18 Na instalação da figura, a vazão de água na máquina é 16 L/s e tem-se
Hp1-2= Hp3-4= 1 m. O manômetro na seção (2) indica 200 kPa e o da seção
(3) indica 400 kPa. Determinar:
a) o sentido do escoamento;
b) a perda de carga no trecho (2)-(3);
c) o tipo de máquina e a potência que troca com o fluido;
d) a pressão do ar em (4) em kgf/cm²
MPa,
m
N
,arp
,
,
410
arp
5
pHpHpHHTH4Hd)
kw,wN,MHQN
.hidráulicatubinaumaémáquinaaqueafirmarse-pode
negativodeucomom,MH
,
MH,pHHMH2Hc)
mpHpH,,pHH3Hb)
(1).para(4)deseja,ou
2,para3deéescoamentoo2H3Hcomom,3H
m,2H
s
m
3ve
s
m
2v
vvA3vA2vQ)a
3620
2
4102361171
410
61010
212
1223341
9521195221231016410
2121
410
61010
223121
172323223240232
240
20
221
410
310400
0
223
20
281
410
310200
0
28
31083
31022
3101632
=×=∴+++
×
=−+
−+−+−+=−
==∴×−××=××γ=
⇒−=∴+
×
=+∴−+=+
=−⇒−+=∴−+=
⇒>∴=
×
+
×
+=
=
×
+
×
+=
==
−××=−××=−×∴×=×=
4.19 – Está resolvido no sítio:
http://www.escoladavida.eng.br/mecflubasica/aulasfei/planejamento_fei.htm - na
décima segunda aula
4.20 Na instalação da figura, os reservatórios são de pequenas dimensões, mas o
nível mantém-se constante.
a) Qual é a vazão na tubulação que une a parte inferior dos dois tanques?
b) Para que aconteça essa vazão, qual a pressão em (3)?
c) Qual é a perda de carga na tubulação inferior dos dois tanques?
Dados: potência recebida pelo fluido da bomba N = 1,5 kW; D1 = 4 cm; D1 ≠ D2;
p1 = 50 kPa (abs); patm= 100 kPa; Hp0-1 = 2 m; Hp2-3 = 4 m; γ = 104N/m³.
m,
inftubpH
inftubpH,
inftubpHH3Hc)
MPa0,207Pa,p
10000
3p
026,70
pHpHHBHH
m,BHBH,,BHQNb)
inferior.tubulação
pelacirculaqueaigualserdeveconstante,mantenhamse
níveisosqueparaerecalcabombaaquevazãoaéestá
s
l
,
s
m
,
,
,Q
s
m
,v
v
Paatmp
abs
pp
vp
pHHH)a
72007200
410720342
321030
72631062541031051
625
3
310625
4
2040
474
4742012
20
2
11
10000
50000
20
500001000005000011
2
20
2
11
10000
1201010
=∴+=⇒+=
=×=∴+++=+
−+−+=+
≅⇒×−××=×∴××γ=
=−×≅
×π
×=
≅=∴+
×
+−=
−=−=−=
+
×
++=∴−+=
4.21 No circuito da figura instalado num plano horizontal, tem-se p1 =0,3 MPa; P2=0;
P3=0,1 MPa; NT= 6 kW; ηΤ = 0,75; A1 = A2 = A4 = 80 cm²; A3 = 100 cm²;
γ = 104 N/m³. A potência que o fluido recebe da bomba é o dobro da potência
da turbina. Determinar:
a) a vazão;
b) a perda de carga no trecho da direita;
c) a leitura do manômetro (4);
d) a perda de carga no trecho da esquerda.
4.22 No circuito da figura, a bomba B, é acionada pela turbina. A vazão é 30 L/s e
os rendimentos da turbina e da bomba B, são, respectivamente, 0,7 e 0,8. A
perda de carga na tubulação é 15 m. Sabendo que o fluido (γ = 104 N/m³)
recebe da bomba B2 uma potência de 6 kW, determinar a potência que o fluido
cede à turbina.
kw3,42w,410Nm,
,
,
TH
m,BHBH,,,
,BH,BH,
,
BH
BH
mBHBH,pHTHBHBH
,
BH
TH
B
BHQ
TTHQBNTN
=≅×−××=⇒≅=
≅⇒×=−
=−+×∴=−+
=∴×××=⇒=−+
=∴
η
××γ
=η×××γ⇒=
342041131030411
560
46
461144048211
481211156015
560
1201
202200103010000600021
5601
4.23 – Está resolvido no sítio:
http://www.escoladavida.eng.br/mecflubasica/aulasfei/planejamento_fei.htm - na
décima primeira aula
4.24 – Está resolvido no sítio:
http://www.escoladavida.eng.br/mecflubasica/aulasfei/planejamento_fei.htm - na
décima primeira aula
4.25 – Está resolvido no sítio:
http://www.escoladavida.eng.br/mecflubasica/aulasfei/planejamento_fei.htm - na
décima primeira aula
4.26 O esquema da figura corresponde à seção longitudinal de um canal de 25 cm de
largura. Admite-se que a velocidade é invariável ao longo da normal ao plano do
esquema, sendo variável com y através de v = 30y – y² (y em cm e v em cm/s).
Sendo o fluido de peso específico 9 N/L, viscosidade cinemática 70 cSt e
g = 10 m/s² , determinar:
a) o gradiente de velocidade para y = 2 cm;
b) a máxima tensão de cisalhamento na seção em N/m²;
c) a velocidade média na seção em cm/s;
d) a vazão em massa na seção em kg/h;
e) o coeficiente da energia cinética (α) na seção.
4.27 – Está resolvido no sítio:
http://www.escoladavida.eng.br/mecflubasica/aulasfei/planejamento_fei.htm - na
décima segunda aula
4.28 A figura está num plano vertical. Calcular a perda de carga que deve ser
introduzida pela válvula ‘V’ da figura para que a vazão se distribua igualmente
nos dois ramais, cujos diâmetros são iguais. Dados: D = 5 cm; γH20 = 104 N/m³;
par = 0,2 MPa; Q = 10 L/s; Hp0-1 =2m; Hp1-2-3 = O;Hp2-3=3 m; Hp4-5 = 3 m;
Hp6-7 = 2 m.
4.29 – Está resolvido no sítio:
http://www.escoladavida.eng.br/mecflubasica/aulasfei/planejamento_fei.htm - na décima
segunda aula
4.30 Na instalação da figura, todas as tubulações são de diâmetro muito
grande em face da vazão, o que torna desprezível a carga cinética.
Determinar:
a) o tipo de máquina e a sua carga manométrica;
b) a vazão em volume proveniente do reservatório;
Dados: Q2 = Q3 ; Hp0-1 = 1 m; Hp1-2 = 1 m; Hp1-3 = 4 m; ηm = 80%; potência no
eixo da máquina = 0,7 kW
4.31 Na instalação da figura, todas as tubulações são de mesmo diâmetro (D = 138
mm); o registro é ajustado para que a vazão pela seção (1) seja a metade da
vazão pela seção (2). Para tal condição,a altura manométrica da bomba vale 8 m e
as perdas de carga valem, respectivamente:
Desprezando a perda de carga no 'T' na saída da bomba, determinar sua potência,
sendo seu rendimento 48%. γH20 = 104 N/m³; g = 10 m/s².
⎟
⎟
⎟
⎠
⎞
⎜
⎜
⎜
⎝
⎛
=
−⎟
⎟
⎟
⎠
⎞
⎜
⎜
⎜
⎝
⎛
=
−⎟
⎟
⎠
⎞
⎜
⎜
⎝
⎛
=
− g
v
,
spH;
g
v
spH;
g
ev
epH
2
2
251
22
2
15
12
2
3
1
0
4.32 No trecho da instalação da figura, que está num plano horizontal, determinar:
a) a leitura no manômetro (2) para que se possa considerar a perda de
carga desprezível no Tê;
b) a perda de carga de (1) a (2), (5) a (6) e (3) a (4);
c) a potência dissipada em todo o conjunto.
Dados:γ = 104 N/m³; p1 = 0,2MPa; p3 = 0,15 MPa; p5 = 0,1 MPa; A= lOcm² (área da
seção das tubulações).
4.33 Os tanques A e D são de grandes dimensões e o tanque C é de pequenas
dimensões, mas o nível (4) permanece constante. A bomba B, que tem
rendimento igual a 80%, recebe 11 kW do motor elétrico e tem carga
manométrica de 20 m. Determinar:
a) o tipo de máquina M e a sua carga manométrica;
b) a vazão no trecho (4)-(5) (Qc) (L/s);
c) a vazão que passa na bomba B (L/s);
d) a cota z (m).
4.34 O sistema de propulsão de um barco consta de uma bomba que recolhe água na
proa através de dois tubos de 5 cm de diâmetro e a lança na popa por um tubo
com o mesmo diâmetro. Calcular a potência da bomba, sabendo que a vazão em
cada conduto de entrada é 25 L/s, a potência dissipada pelos atritos é 0,44kW
e o rendimento é 0,75.
Vai continuar ...

Capitulo 4 livro