PROGRESSÕES ARITMÉTICAS
AO FINAL DESTA AULA SERÁ IMPORTANTE
             ENTENDER:
 Conjunto dos números reais.

 O que é uma sequência numérica?

 Como determinar uma sequência finita ou infinita?

 Como determinar os termos de uma sequência?

 O que é uma sucessão aritmética e soma dos termos de uma
P.A.?
O QUE É UMA SEQUÊNCIA NUMÉRICA?


  São elementos cujos números pertencem ao conjunto
dos números reais, esses elementos estão dispostos
em uma certa ordem, um conjunto assim é chamado de
sequência numérica.


   Quando uma sequência tem infinitos termos ela se
chamara infinita; caso contrário, é uma sequência finita.
EXEMPLOS

Sequências infinitas:
Sucessão dos números pares (2, 4, 6, 8 ,...)
Sucessão dos números impares (1, 3, 5, 7,...)


Sequências finitas:
Sucessão dos números (1, 2, 3, 4, 5)
Sucessão dos números (10, 20, 30, 40, 50)
O QUE É UMA PROGRESSÃO ARITMÉTICA?



  É toda sequência numérica na qual, a partir do
segundo, cada termo é igual à soma de seu
antecessor com uma constante chamada de
razão, essa constante é indicada pela letra r.
DETERMINAÇÃO DE UMA SEQUÊNCIA


  Determinar uma sequência é saber qual a imagem de
n para todo n   ∈lN *, e podemos fazê-lo aplicando a lei
de recorrência ou o termo geral.
 O que é lei de recorrência?
    É uma lei que permite calcular cada termo da
sequência, apartir do termo anterior.
É necessário também, para determinação da
sequência, que o primeiro termo seja dado.


      A1 = 5
     
      An +1 = n + 1
     Logo : A1 = 5
     A2 = n + 1 ⇒ A2 = A1 + 1 ⇒ A2 = 5 + 1 ⇒ A2 = 6
     A3 = n + 1 ⇒ A3 = A2 + 1 ⇒ A3 = 6 + 1 ⇒ A3 = 7
     A4 = n + 1 ⇒ A4 = A3 + 1 ⇒ A4 = 7 + 1 ⇒ A4 = 8
     A5 = n + 1 ⇒ A5 = A4 + 1 ⇒ A5 = 8 + 1 ⇒ A5 = 9
Onde :

     é o primeiro termo.
A1
     é o segundo termo.
A2
     é o terceiro termo.
A3
     é o quarto termo.
A4   é o quinto termo.
A5
EXEMPLOS

1) (-5, -3, -1, 1, 3, 5, 7,...) é P.A. de razão r = 2.

2) (8, 8, 8, 8, 8, 8, 8, 8,...) é P.A. de razão r = 0.

3) (20, 16, 12, 8, 4, 0) é P.A. de razão r = -4.

Então uma P.A. pode ser:
Crescente: quando r é maior que zero (r > 0).
Constante: quando r é igual a zero (r = 0).
Decrescente: quando r é menor que zero (r < o).
AGORA VAMOS ALGUNS EXEMPLOS DE
                   EXERCÍCIOS
Exemplo 1: Escreva os quatro primeiros termos de uma P.A
sabendo que:

      = -3 e r = 4.         r=      -
A1                               A2 A1
     =    +r              = -3 + 4 = 1
A2 A1          ⇒ A2
  =       +r              =1 + 4 = 5
A3 A2          ⇒A
                      3
  =       +r              =5+4=9
A4 A3       ⇒ A4
  =       +r              = 9 + 4 = 13
A5 A4 ⇒ A5
Exemplo 2: Escreva uma P.A. de cinco termos sabendo que:


A1=   2   e r = 3.


A2 A1
  =     +r
             ⇒ A2
                     =
                         2   +3


A3 A2 ⇒ A3
  =       +r         =
                             2
                                 +6

  =  +r                  =           +9
A4 A3 ⇒ A4                       2
  =       +r         A5
                     =           + 12
A5 A4          ⇒ 2
FÓRMULA DO TERMO GERAL DE UMA P.A.

  Determinar o termo geral de uma P.A. é calcular o valor de uma
termo
          A  qualquer. Essa fórmula permite que encontremos,
dados trêsndos quatro elementos.
Sendo:
           termo geral
 An ⇒
 n        números de termos
     ⇒
          primeiro termo
A1 ⇒
 r       razão
     ⇒
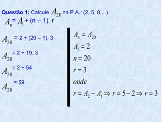
Questão 1: Calcule    A20 na P.A.: (2, 5, 8,...)
 An= A1 + (n – 1). r
                                An = A20
A20   = 2 + (20 – 1). 3
                                A1 = 2
    = 2 + 19. 3
A 20                            n = 20
A   = 2 + 54
                                r=3
  20
     = 59                       onde
A 20
                                r = A2 − A1 ⇒ r = 5 − 2 ⇒ r = 3
Questão 2: Determine a razão, sabendo que A = 14 e
                                          8
                                                     A1 = 0.
 An= A1 + ( n – 1 ). r
An = 0 + (8 – 1). r
                           An = A8 = 14
14 = 0 + 7 . r
                           A1 = 0
14 = 7r
                           n =8
  r = 14 / 7
                           r =?
  r=2
AGORA TENTE FAZER SOZINHO.

  Determine o sexto termo de uma P.A. onde   A1   =-3er=5




 Só para relembrar    A1    é o primeiro termo e r é a
razão.
SUBSTITUA NA FÓRMULA OS TERMOS QUE
                 VOCÊ POSSUI

     =-3
 A
 r 1= 5
 n = 6, pois é o sexto termo dessa P.A.


An = ?
   = + ( n – 1 ). r
     A1
An = - 3+ ( 6 – 1 ). 5
An = - 3+ 5 . 5
An = - 3 + 25
An = 22
An
INTERPOLAÇÃO

  Agora um outro exercício de P.A. que se chama interpolação.
    Este tipo de problema consiste em descobrir a razão, para
podermos determinar os elementos dessa P.A., onde são dados
dois valores (que são as extremidades) e a quantidades de
termos que ficam entre essas extremidades, chamamos de
interpolar.

Exemplo:
  Faça a interpolação de cinco meios aritméticos entre - 8 e 22.
   Neste caso devemos descobrir cinco números entre - 8 e 22
que formem juntamente com estes a seguinte P.A.
6 RAZÕES


            ( − 8, A2 , A3 , A4 , A5 , A6 ,22)
                ↑                                   ↑
                A1           5 meios               A7
 O problema fica resolvido com a determinação da razão da P.A.
Como
      A+ = -. 8 e A7 = 22, + 6 . r r = 5
  = 1 6 r          22 = - 8
                            então:
A7    A1      ⇒                 ⇒
  Os números procurados são - 3, 2, 7, 12, 17 e a P.A. é (- 8, - 3,
2, 7, 12, 17, 22)
Obs: Entre – 8 e 22 existem 6 razões, por isso na montagem
da expressão multiplicamos 6. r.
O número que se multiplica pela razão irá varias de acordo com a
quantidades de termos.


                 1    2     3     4    5      6


           ( − 8, A2 , A3 , A4 , A5 , A6 ,22)
AGORA TENTE FAZER ESTE EXERCÍCIO.

 1 - (FATES) - Interpolar 10 meios aritméticos entre 2 e 57 e
escrever a P. A. correspondente com primeiro termo igual a 2.



                            Lembre-se que é
                          preciso determinar a
                                 razão!
11 RAZÕES


 ( 2, A2 , A3 , A4 , A5 , A6 , A7 , A8 , A9 , A10 , A11 ,57 )
  ↑                                                       ↑
  A1                      10 meios
                                                         A  12
       (são 10 termos entre as extremidades que são 2 e 57)

    =     + 11 . r
A12= 2 + 11 . r
57
       A1
57- 2 = 11r
r = 55/11
r=5
SOMA DOS TERMOS DE UMA P.A. FINITA

  Podemos definir a soma dos termos de uma P.A. finita através
da fórmula:
                     ( A1 + An ).n
                Sn =
                           2
 Onde:
          soma dos termos de uma P.A. finita
 Sn ⇒
         primeiro termo
 A1 ⇒
         termo geral
 An ⇒
 n       número de termos
     ⇒
EXEMPLO
   Calcule a soma dos doze primeiros termos da P.A. (- 3, -1, 1, 3,
...).

 Neste caso devemos primeiro determinar o valor deA através
                                                        n

da fórmula do termo geral.

 An = A1 + (n − 1).r          An = A1 + (n − 1).r
r = A2 - A1                   An = −3 + (12 − 1).2
r = (-1) – (-3)
r=2
                              An = −3 + 22
                              An = 19
Agora podemos utilizar a fórmula de somatória dos termos da
P.A. , já que temos os elementos necessários:



         ( A1 + An ).n                An = 19
  Sn   =
               2
         ( −3 +19).12                A1 = −3
  Sn   =
               2
  Sn   =
         16.12                        n = 12
            2
         192
  Sn   =      ⇒96
           2
AGORA TENTE FAZER SOZINHO!


2 - (PUC-SP) - Determine uma P.A. sabendo que a
soma de seus 8 primeiros termos é 324 e que   A8 = 79.
Solução:

     ( A1 + An ).n
Sn =
            2          An = A1 + (n − 1).r
       ( A1 + 79).8
324 =                  79 = 2 + (8 − 1).r
             2
                       79 = 2 + 7 r
324.2 = (8 A1 + 632)
648 = (8 A1 + 632)
                       7 r = 77
648 −632 = 8 A1        r = 77 / 7
     16                r = 11
A1 =    ⇒2
      8
SENDO ASSIM OS ELEMENTOS DESSA P.A, SÃO

        (2, 13, 24, 35, 46, 57, 68, 79)




                    Poderemos calcular qualquer termo
                     das fórmulas gerais desde de que
                   sejam conhecidos três desses quatro
                                 valores!
BIBLIOGRAFIA


 FACCHINI,Walter. Matemática Volume Único. Editora
Saraiva, 2007.

  BACCARO, Nelson. Matemática; 2ºgrau. Editora
Ática,1995.

www.AulasDeMatematicanoRJ.Com.Br - Matemática - Progressão Aritimética

  • 1.
  • 2.
    AO FINAL DESTAAULA SERÁ IMPORTANTE ENTENDER:  Conjunto dos números reais.  O que é uma sequência numérica?  Como determinar uma sequência finita ou infinita?  Como determinar os termos de uma sequência?  O que é uma sucessão aritmética e soma dos termos de uma P.A.?
  • 3.
    O QUE ÉUMA SEQUÊNCIA NUMÉRICA? São elementos cujos números pertencem ao conjunto dos números reais, esses elementos estão dispostos em uma certa ordem, um conjunto assim é chamado de sequência numérica. Quando uma sequência tem infinitos termos ela se chamara infinita; caso contrário, é uma sequência finita.
  • 4.
    EXEMPLOS Sequências infinitas: Sucessão dosnúmeros pares (2, 4, 6, 8 ,...) Sucessão dos números impares (1, 3, 5, 7,...) Sequências finitas: Sucessão dos números (1, 2, 3, 4, 5) Sucessão dos números (10, 20, 30, 40, 50)
  • 5.
    O QUE ÉUMA PROGRESSÃO ARITMÉTICA? É toda sequência numérica na qual, a partir do segundo, cada termo é igual à soma de seu antecessor com uma constante chamada de razão, essa constante é indicada pela letra r.
  • 6.
    DETERMINAÇÃO DE UMASEQUÊNCIA Determinar uma sequência é saber qual a imagem de n para todo n ∈lN *, e podemos fazê-lo aplicando a lei de recorrência ou o termo geral. O que é lei de recorrência? É uma lei que permite calcular cada termo da sequência, apartir do termo anterior.
  • 7.
    É necessário também,para determinação da sequência, que o primeiro termo seja dado.  A1 = 5   An +1 = n + 1 Logo : A1 = 5 A2 = n + 1 ⇒ A2 = A1 + 1 ⇒ A2 = 5 + 1 ⇒ A2 = 6 A3 = n + 1 ⇒ A3 = A2 + 1 ⇒ A3 = 6 + 1 ⇒ A3 = 7 A4 = n + 1 ⇒ A4 = A3 + 1 ⇒ A4 = 7 + 1 ⇒ A4 = 8 A5 = n + 1 ⇒ A5 = A4 + 1 ⇒ A5 = 8 + 1 ⇒ A5 = 9
  • 8.
    Onde : é o primeiro termo. A1 é o segundo termo. A2 é o terceiro termo. A3 é o quarto termo. A4 é o quinto termo. A5
  • 9.
    EXEMPLOS 1) (-5, -3,-1, 1, 3, 5, 7,...) é P.A. de razão r = 2. 2) (8, 8, 8, 8, 8, 8, 8, 8,...) é P.A. de razão r = 0. 3) (20, 16, 12, 8, 4, 0) é P.A. de razão r = -4. Então uma P.A. pode ser: Crescente: quando r é maior que zero (r > 0). Constante: quando r é igual a zero (r = 0). Decrescente: quando r é menor que zero (r < o).
  • 10.
    AGORA VAMOS ALGUNSEXEMPLOS DE EXERCÍCIOS Exemplo 1: Escreva os quatro primeiros termos de uma P.A sabendo que: = -3 e r = 4. r= - A1 A2 A1 = +r = -3 + 4 = 1 A2 A1 ⇒ A2 = +r =1 + 4 = 5 A3 A2 ⇒A 3 = +r =5+4=9 A4 A3 ⇒ A4 = +r = 9 + 4 = 13 A5 A4 ⇒ A5
  • 11.
    Exemplo 2: Escrevauma P.A. de cinco termos sabendo que: A1= 2 e r = 3. A2 A1 = +r ⇒ A2 = 2 +3 A3 A2 ⇒ A3 = +r = 2 +6 = +r = +9 A4 A3 ⇒ A4 2 = +r A5 = + 12 A5 A4 ⇒ 2
  • 12.
    FÓRMULA DO TERMOGERAL DE UMA P.A. Determinar o termo geral de uma P.A. é calcular o valor de uma termo A qualquer. Essa fórmula permite que encontremos, dados trêsndos quatro elementos. Sendo: termo geral An ⇒ n números de termos ⇒ primeiro termo A1 ⇒ r razão ⇒
  • 13.
    Questão 1: Calcule A20 na P.A.: (2, 5, 8,...) An= A1 + (n – 1). r An = A20 A20 = 2 + (20 – 1). 3 A1 = 2 = 2 + 19. 3 A 20 n = 20 A = 2 + 54 r=3 20 = 59 onde A 20 r = A2 − A1 ⇒ r = 5 − 2 ⇒ r = 3
  • 14.
    Questão 2: Determinea razão, sabendo que A = 14 e 8 A1 = 0. An= A1 + ( n – 1 ). r An = 0 + (8 – 1). r An = A8 = 14 14 = 0 + 7 . r A1 = 0 14 = 7r n =8 r = 14 / 7 r =? r=2
  • 15.
    AGORA TENTE FAZERSOZINHO. Determine o sexto termo de uma P.A. onde A1 =-3er=5  Só para relembrar A1 é o primeiro termo e r é a razão.
  • 16.
    SUBSTITUA NA FÓRMULAOS TERMOS QUE VOCÊ POSSUI =-3 A r 1= 5  n = 6, pois é o sexto termo dessa P.A. An = ? = + ( n – 1 ). r A1 An = - 3+ ( 6 – 1 ). 5 An = - 3+ 5 . 5 An = - 3 + 25 An = 22 An
  • 17.
    INTERPOLAÇÃO Agoraum outro exercício de P.A. que se chama interpolação. Este tipo de problema consiste em descobrir a razão, para podermos determinar os elementos dessa P.A., onde são dados dois valores (que são as extremidades) e a quantidades de termos que ficam entre essas extremidades, chamamos de interpolar. Exemplo: Faça a interpolação de cinco meios aritméticos entre - 8 e 22. Neste caso devemos descobrir cinco números entre - 8 e 22 que formem juntamente com estes a seguinte P.A.
  • 18.
    6 RAZÕES ( − 8, A2 , A3 , A4 , A5 , A6 ,22) ↑ ↑ A1 5 meios A7 O problema fica resolvido com a determinação da razão da P.A. Como A+ = -. 8 e A7 = 22, + 6 . r r = 5 = 1 6 r 22 = - 8 então: A7 A1 ⇒ ⇒ Os números procurados são - 3, 2, 7, 12, 17 e a P.A. é (- 8, - 3, 2, 7, 12, 17, 22)
  • 19.
    Obs: Entre –8 e 22 existem 6 razões, por isso na montagem da expressão multiplicamos 6. r. O número que se multiplica pela razão irá varias de acordo com a quantidades de termos. 1 2 3 4 5 6 ( − 8, A2 , A3 , A4 , A5 , A6 ,22)
  • 20.
    AGORA TENTE FAZERESTE EXERCÍCIO. 1 - (FATES) - Interpolar 10 meios aritméticos entre 2 e 57 e escrever a P. A. correspondente com primeiro termo igual a 2. Lembre-se que é preciso determinar a razão!
  • 21.
    11 RAZÕES (2, A2 , A3 , A4 , A5 , A6 , A7 , A8 , A9 , A10 , A11 ,57 ) ↑ ↑ A1 10 meios A 12 (são 10 termos entre as extremidades que são 2 e 57) = + 11 . r A12= 2 + 11 . r 57 A1 57- 2 = 11r r = 55/11 r=5
  • 22.
    SOMA DOS TERMOSDE UMA P.A. FINITA Podemos definir a soma dos termos de uma P.A. finita através da fórmula: ( A1 + An ).n Sn = 2 Onde: soma dos termos de uma P.A. finita Sn ⇒ primeiro termo A1 ⇒ termo geral An ⇒ n número de termos ⇒
  • 23.
    EXEMPLO Calcule a soma dos doze primeiros termos da P.A. (- 3, -1, 1, 3, ...).  Neste caso devemos primeiro determinar o valor deA através n da fórmula do termo geral. An = A1 + (n − 1).r An = A1 + (n − 1).r r = A2 - A1 An = −3 + (12 − 1).2 r = (-1) – (-3) r=2 An = −3 + 22 An = 19
  • 24.
    Agora podemos utilizara fórmula de somatória dos termos da P.A. , já que temos os elementos necessários: ( A1 + An ).n An = 19 Sn = 2 ( −3 +19).12 A1 = −3 Sn = 2 Sn = 16.12 n = 12 2 192 Sn = ⇒96 2
  • 25.
    AGORA TENTE FAZERSOZINHO! 2 - (PUC-SP) - Determine uma P.A. sabendo que a soma de seus 8 primeiros termos é 324 e que A8 = 79.
  • 26.
    Solução: ( A1 + An ).n Sn = 2 An = A1 + (n − 1).r ( A1 + 79).8 324 = 79 = 2 + (8 − 1).r 2 79 = 2 + 7 r 324.2 = (8 A1 + 632) 648 = (8 A1 + 632) 7 r = 77 648 −632 = 8 A1 r = 77 / 7 16 r = 11 A1 = ⇒2 8
  • 27.
    SENDO ASSIM OSELEMENTOS DESSA P.A, SÃO (2, 13, 24, 35, 46, 57, 68, 79) Poderemos calcular qualquer termo das fórmulas gerais desde de que sejam conhecidos três desses quatro valores!
  • 28.
    BIBLIOGRAFIA FACCHINI,Walter. MatemáticaVolume Único. Editora Saraiva, 2007. BACCARO, Nelson. Matemática; 2ºgrau. Editora Ática,1995.