Matemática
              Fascículo 01
Álvaro Zimmermann Aranha
Índice

Função Exponencial e Logaritmos

Resumo Teórico ..................................................................................................................................1
Exercícios............................................................................................................................................4
Dicas ..................................................................................................................................................5
Resoluções .........................................................................................................................................6
Função Exponencial e Logaritmos

Resumo Teórico

Potência

Sendo a Î IR e n Î IN , temos:


      ìa 0 = 1
Def.: í n+ 1
      îa     = an × a

Consequência: a n = a ×4× a 4 a
                    1a 2 K   3
                                 n vezes


Propriedades das Potências

P1:   a m × a n = a m+ n

      am
P2:            = am - n
           n
       a

P3:   (a m ) n = a m × n

P4:   (a × b)m = am × bm
               m
      æaö              am
P5:   ç ÷          =
      è bø             bm

                        1
Obs. 1: a -n =                  (a ¹ 0)
                       an

           n            m
Obs. 2:        am = a       n   (n Î IN* e am ³ 0)

Função Exponencial

É toda função da forma y = ax com a Î IR , a > 0 e a ¹ 1.




                                                            1
Gráficos da Função Exponencial

0 < a < 1 (função decrescente)                    a > 1 (função crescente)




Equação Exponencial

Propriedade: Se af(x) = ag(x) Û f(x) = g(x)

Inequação Exponencial

Se 0 < a < 1: af(x) < ag(x) Û f(x) > g (x)

               inverte o sentido (0 < base < 1)

Se a > 1: af(x) < ag(x) Û f(x) < g(x)

            mantém o sentido (base > 1)

Função Logarítmica

Sendo x Î IR / x > 0 e a Î IR e 1 ¹ a > 0 então:

loga x = y Û x = ay

Obs.: Condição de Existência
                           ìx > 0
      Se y = loga x Þ C. E.í
                           îa > 0 e a ¹ 1

Gráficos da Função Logarítmica

0 < a < 1 (função decrescente)                    a > 1 (função crescente)




2
Propriedade dos logaritmos

P1:     loga (b . c) = loga b + loga c

              b
P2:     loga æ ö = loga b – loga c
             ç ÷
             èc ø

P3:     loga bn = n loga b

                     1
P4:      logan b =     loga b
                     n

                                               logc a
Fórmula de mudança de base: logb a =
                                               logc b

Equação Logarítmica

1.o Tipo: loga f(x) = loga g(x) Û f(x) = g(x)
2.o Tipo: loga f(x) = a Û f(x) = aa (a Î IR)

Obs.: Ao resolver as equações logarítmicas, é necessário verificar as condições de existência da
      equação inicial.

Inequação Logarítmica

1.o Tipo: log < log

Se 0 < a < 1
loga f(x) < loga g(x) Û f(x) > g(x)

         inverte o sentido (0 < base < 1)

Se a > 1
loga f(x) < loga g(x) Û f(x) < g(x)

           mantém o sentido (base > 1)

2.o Tipo: log < a (a Î IR)

Se 0 < a < 1
loga f(x) < a Û f(x) > aa

      inverte o sentido (0 < base < 1)

Se a > 1
loga f(x) < a Û f(x) < aa

      mantém o sentido (base > 1)

Obs.: Ao resolver as inequações logarítmicas, é necessário verificar as condições de existência da
      inequação inicial.




                                                                                                     3
Exercícios

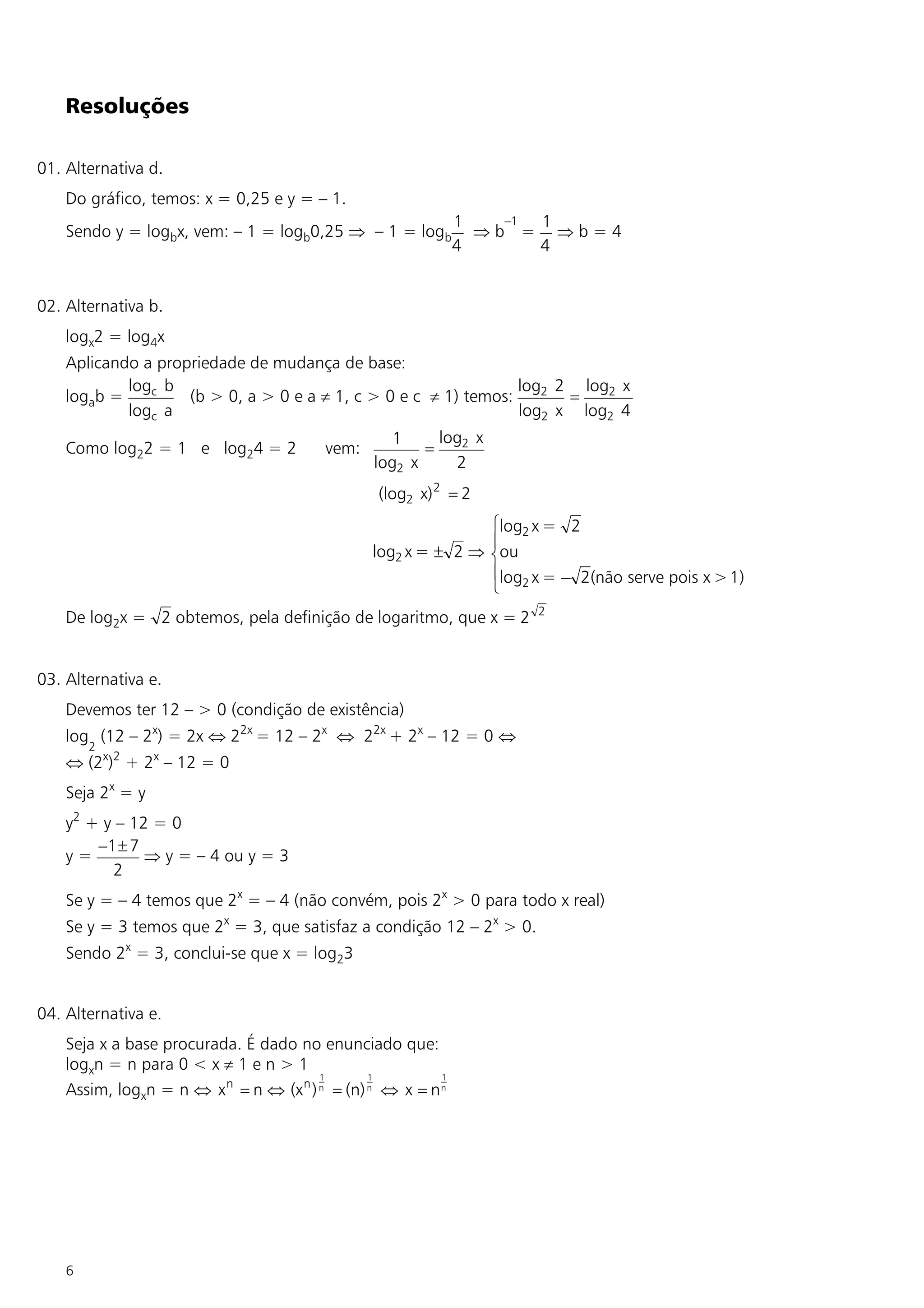
01. A figura ao lado mostra o gráfico da função logaritmo na base b.
    O valor de b é:
       1
    a.
       4
    b. 2
    c. 3
    d. 4
    e. 10


02. O número x > 1 tal que logx2 = log4x é:
          2                         2                                                                   2
    a.                     b. 2                  c. 2                  d. 2 2                e. 4
         4


03. O número real x que satisfaz a equação log2 (12 – 2x) = 2x é
    a. log25               b. log2 3             c. 2                  d. log2 5             e. log23


04. Em que base o logaritmo de um número natural n, n > 1, coincide com o próprio número n?
                                1                                                                   1
    a. nn                  b.                    c. n2                 d. n                  e. n n
                                n


05. Considere a função f, definida por f(x)= logax. Se f(a) = b e f(a+2) = b + 1, os valores respectivos de
    a e b são:
    a. 2 e 1               b. 2 e 2              c. 3 e 1              d. 3 e 2              e. 4 e 1


06. O mais amplo domínio real da função dada por f(x) = log3 (2x - 1) é
                       1
    a. ì x Î IR | x ¹ ü
       í                 ý
       î               2þ
                      1
    b. ì x Î IR | x > ü
       í                ý
       î              2þ
                   1
    c. ì x Î IR | < x £ 1ü
       í                   ý
       î           2       þ
    d. { x Î IR | x ³ 1}
    e. { x Î IR | x ¹ 1}


                                                    ì x + y = 2y
                                                    ï
07. Se o par ordenado (a; b) é a solução do sistema í 2                                , então a × b é igual a
                                                    ïlog10 (3x + 4) = 1 + log10 (y - 1)
                                                    î
    a. 2                   b. 4                  c. 6                  d. 8                  e. 9




    4
Dicas

01. Observando o gráfico, vemos que para x = 0,25 temos y = –1. Substituindo x e y em y = logbx,
    obtemos b.


02. Resolver a equação na base 2, utilizando a propriedade de mudança de base:
                logc a
      logab =          (b > 0, a > 0 e a ¹ 1, c > 0 e c ¹ 1)
                logc b


03. Devemos ter 12 – 2x > 0 (condição de existência). Para resolver a equação, use a definição de
    logaritmo (logab = c Û b = ac ) e substitua 2x por y.


04. É dado no enunciado que logxn = n (0 < x ¹ 1 e n > 1). Para obter a base x, aplique a definição de
    logaritmo.


05. Como f(x) = loga(x), f(a) = b e f(a + 2) = b + 1, trocando-se x por a e por a + 2, obtemos os valores
    de a e b.


06.
      1. Para determinar o domínio de f(x) = log3 (2x - 1) ,devemos ter log3(2x – 1) ³ 0.
      2. Para resolver a inequação logarítmica, basta notarmos que são equivalentes as inequações:
         logaf(x) ³ c Û logaf(x) ³ c × logaa Û
         Û logaf(x) ³ logaac Û f(x) ³ ac se a > 1 e c Î IR

07.
      1. Obtenha uma relação entre x e y na 1.a equação do sistema, lembrando que
         a n = n a m (a Î IR * , m Î Z e n Î IN*) e ab = ac Û
           m
                             +
         b = c (0 < a ¹ 1).
      2. Na 2.a equação do sistema, use a propriedade do logaritmo do produto:
         loga(b × c) = logab + logac e a consequência da definição:
         logab = logac Û b = c (0 < a ¹ 1, b > 0 e c > 0).
      3. Resolva o sistema obtido, equivalente ao sistema dado.




                                                                                                         5
Resoluções

01. Alternativa d.
    Do gráfico, temos: x = 0,25 e y = – 1.
                                                              1   –1 1
    Sendo y = logbx, vem: – 1 = logb0,25 Þ – 1 = logb           Þb = Þb=4
                                                              4      4


02. Alternativa b.
    logx2 = log4x
    Aplicando a propriedade de mudança de base:
            logc b                                               log2 2 log2 x
    logab =         (b > 0, a > 0 e a ¹ 1, c > 0 e c ¹ 1) temos:       =
            logc a                                               log2 x log2 4
                                                   1     log2 x
    Como log22 = 1 e log24 = 2           vem:          =
                                                log2 x     2
                                                 (log2 x) 2 = 2
                                                               ìlog2 x = 2
                                                               ï
                                                log2 x = ± 2 Þ íou
                                                               ïlog2 x = - 2(não serve pois x > 1)
                                                               î
                                                                      2
    De log2x = 2 obtemos, pela definição de logaritmo, que x = 2


03. Alternativa e.
    Devemos ter 12 – > 0 (condição de existência)
    log (12 – 2x) = 2x Û 22x = 12 – 2x Û 22x + 2x – 12 = 0 Û
        2
    Û (2x)2 + 2x – 12 = 0
    Seja 2x = y
    y2 + y – 12 = 0
        -1 ± 7
    y=         Þ y = – 4 ou y = 3
          2
    Se y = – 4 temos que 2x = – 4 (não convém, pois 2x > 0 para todo x real)
    Se y = 3 temos que 2x = 3, que satisfaz a condição 12 – 2x > 0.
    Sendo 2x = 3, conclui-se que x = log23


04. Alternativa e.
    Seja x a base procurada. É dado no enunciado que:
    logxn = n para 0 < x ¹ 1 e n > 1
                                        1       1         1
    Assim, logxn = n Û x n = n Û (x n ) n = (n) n Û x = n n




    6
05. Alternativa a.
    f(x) = loga(x)
                            ì0 < a ¹ 1
                            ï
    condições de existência íe
                            ïx > 0
                            î
    Se f(a) = b, temos que loga(a) = bb = 1
    Se f(a + 2) = b + 1, temos que loga(a + 2) = 2a2 = a + 2
                           1± 3
    a2 – a – 2 = 0 Þ a =        Þ a = 2, a = – 1 (não serve)
                            2
    Resposta: a = 2 e b = 1


06. Alternativa d.
    f(x) = log3 (2x - 1)
    Para que exista f(x) Î IR, devemos ter:
    log3(2x – 1) ³ 0
    log3(2x – 1) ³ 0 × log33 Þ log3(2x – 1) ³ log33º
    log3(2x – 1) ³ log31 Þ 2x – 1 ³ 1 Þ 2x ³ 2 Þ x ³ 1
    Então: D(f) = { x Î IR | x ³ 1}


07. Alternativa b.
    ì 2 x+y = 2 y
    ï              
    í
    ïlog10 (3x + 4) = log10 10 + log10 (y – 1) ‚
    î
          x+ y
                           x+y
     2    2     = 2y Û        = y Û x + y = 2y Û x = y
                            2
    ‚ log10(3x + 4) = log1010(y – 1) Û 3x + 4 = 10(y – 1) Û
        Û 3x + 4 = 10y – 10 Û 3x = 10y – 14
    condição de existência: 10(y – 1) > 0 Þ y > 1
                                           ìx = y
    Assim, o sistema dado é equivalente a: í
                                           î3x = 10y - 14
    3x = 10x – 14 Þ – 7x = – 14 Þ x = 2
    Como x = y temos que y = 2 (satisfaz a condição y > 1)
    Logo, a solução do sistema (a; b) é (2; 2)
    Então: a × b = 2 × 2 = 4




                                                                7

Mat exercicios resolvidos 005

  • 1.
    Matemática Fascículo 01 Álvaro Zimmermann Aranha
  • 2.
    Índice Função Exponencial eLogaritmos Resumo Teórico ..................................................................................................................................1 Exercícios............................................................................................................................................4 Dicas ..................................................................................................................................................5 Resoluções .........................................................................................................................................6
  • 3.
    Função Exponencial eLogaritmos Resumo Teórico Potência Sendo a Î IR e n Î IN , temos: ìa 0 = 1 Def.: í n+ 1 îa = an × a Consequência: a n = a ×4× a 4 a 1a 2 K 3 n vezes Propriedades das Potências P1: a m × a n = a m+ n am P2: = am - n n a P3: (a m ) n = a m × n P4: (a × b)m = am × bm m æaö am P5: ç ÷ = è bø bm 1 Obs. 1: a -n = (a ¹ 0) an n m Obs. 2: am = a n (n Î IN* e am ³ 0) Função Exponencial É toda função da forma y = ax com a Î IR , a > 0 e a ¹ 1. 1
  • 4.
    Gráficos da FunçãoExponencial 0 < a < 1 (função decrescente) a > 1 (função crescente) Equação Exponencial Propriedade: Se af(x) = ag(x) Û f(x) = g(x) Inequação Exponencial Se 0 < a < 1: af(x) < ag(x) Û f(x) > g (x) inverte o sentido (0 < base < 1) Se a > 1: af(x) < ag(x) Û f(x) < g(x) mantém o sentido (base > 1) Função Logarítmica Sendo x Î IR / x > 0 e a Î IR e 1 ¹ a > 0 então: loga x = y Û x = ay Obs.: Condição de Existência ìx > 0 Se y = loga x Þ C. E.í îa > 0 e a ¹ 1 Gráficos da Função Logarítmica 0 < a < 1 (função decrescente) a > 1 (função crescente) 2
  • 5.
    Propriedade dos logaritmos P1: loga (b . c) = loga b + loga c b P2: loga æ ö = loga b – loga c ç ÷ èc ø P3: loga bn = n loga b 1 P4: logan b = loga b n logc a Fórmula de mudança de base: logb a = logc b Equação Logarítmica 1.o Tipo: loga f(x) = loga g(x) Û f(x) = g(x) 2.o Tipo: loga f(x) = a Û f(x) = aa (a Î IR) Obs.: Ao resolver as equações logarítmicas, é necessário verificar as condições de existência da equação inicial. Inequação Logarítmica 1.o Tipo: log < log Se 0 < a < 1 loga f(x) < loga g(x) Û f(x) > g(x) inverte o sentido (0 < base < 1) Se a > 1 loga f(x) < loga g(x) Û f(x) < g(x) mantém o sentido (base > 1) 2.o Tipo: log < a (a Î IR) Se 0 < a < 1 loga f(x) < a Û f(x) > aa inverte o sentido (0 < base < 1) Se a > 1 loga f(x) < a Û f(x) < aa mantém o sentido (base > 1) Obs.: Ao resolver as inequações logarítmicas, é necessário verificar as condições de existência da inequação inicial. 3
  • 6.
    Exercícios 01. A figuraao lado mostra o gráfico da função logaritmo na base b. O valor de b é: 1 a. 4 b. 2 c. 3 d. 4 e. 10 02. O número x > 1 tal que logx2 = log4x é: 2 2 2 a. b. 2 c. 2 d. 2 2 e. 4 4 03. O número real x que satisfaz a equação log2 (12 – 2x) = 2x é a. log25 b. log2 3 c. 2 d. log2 5 e. log23 04. Em que base o logaritmo de um número natural n, n > 1, coincide com o próprio número n? 1 1 a. nn b. c. n2 d. n e. n n n 05. Considere a função f, definida por f(x)= logax. Se f(a) = b e f(a+2) = b + 1, os valores respectivos de a e b são: a. 2 e 1 b. 2 e 2 c. 3 e 1 d. 3 e 2 e. 4 e 1 06. O mais amplo domínio real da função dada por f(x) = log3 (2x - 1) é 1 a. ì x Î IR | x ¹ ü í ý î 2þ 1 b. ì x Î IR | x > ü í ý î 2þ 1 c. ì x Î IR | < x £ 1ü í ý î 2 þ d. { x Î IR | x ³ 1} e. { x Î IR | x ¹ 1} ì x + y = 2y ï 07. Se o par ordenado (a; b) é a solução do sistema í 2 , então a × b é igual a ïlog10 (3x + 4) = 1 + log10 (y - 1) î a. 2 b. 4 c. 6 d. 8 e. 9 4
  • 7.
    Dicas 01. Observando ográfico, vemos que para x = 0,25 temos y = –1. Substituindo x e y em y = logbx, obtemos b. 02. Resolver a equação na base 2, utilizando a propriedade de mudança de base: logc a logab = (b > 0, a > 0 e a ¹ 1, c > 0 e c ¹ 1) logc b 03. Devemos ter 12 – 2x > 0 (condição de existência). Para resolver a equação, use a definição de logaritmo (logab = c Û b = ac ) e substitua 2x por y. 04. É dado no enunciado que logxn = n (0 < x ¹ 1 e n > 1). Para obter a base x, aplique a definição de logaritmo. 05. Como f(x) = loga(x), f(a) = b e f(a + 2) = b + 1, trocando-se x por a e por a + 2, obtemos os valores de a e b. 06. 1. Para determinar o domínio de f(x) = log3 (2x - 1) ,devemos ter log3(2x – 1) ³ 0. 2. Para resolver a inequação logarítmica, basta notarmos que são equivalentes as inequações: logaf(x) ³ c Û logaf(x) ³ c × logaa Û Û logaf(x) ³ logaac Û f(x) ³ ac se a > 1 e c Î IR 07. 1. Obtenha uma relação entre x e y na 1.a equação do sistema, lembrando que a n = n a m (a Î IR * , m Î Z e n Î IN*) e ab = ac Û m + b = c (0 < a ¹ 1). 2. Na 2.a equação do sistema, use a propriedade do logaritmo do produto: loga(b × c) = logab + logac e a consequência da definição: logab = logac Û b = c (0 < a ¹ 1, b > 0 e c > 0). 3. Resolva o sistema obtido, equivalente ao sistema dado. 5
  • 8.
    Resoluções 01. Alternativa d. Do gráfico, temos: x = 0,25 e y = – 1. 1 –1 1 Sendo y = logbx, vem: – 1 = logb0,25 Þ – 1 = logb Þb = Þb=4 4 4 02. Alternativa b. logx2 = log4x Aplicando a propriedade de mudança de base: logc b log2 2 log2 x logab = (b > 0, a > 0 e a ¹ 1, c > 0 e c ¹ 1) temos: = logc a log2 x log2 4 1 log2 x Como log22 = 1 e log24 = 2 vem: = log2 x 2 (log2 x) 2 = 2 ìlog2 x = 2 ï log2 x = ± 2 Þ íou ïlog2 x = - 2(não serve pois x > 1) î 2 De log2x = 2 obtemos, pela definição de logaritmo, que x = 2 03. Alternativa e. Devemos ter 12 – > 0 (condição de existência) log (12 – 2x) = 2x Û 22x = 12 – 2x Û 22x + 2x – 12 = 0 Û 2 Û (2x)2 + 2x – 12 = 0 Seja 2x = y y2 + y – 12 = 0 -1 ± 7 y= Þ y = – 4 ou y = 3 2 Se y = – 4 temos que 2x = – 4 (não convém, pois 2x > 0 para todo x real) Se y = 3 temos que 2x = 3, que satisfaz a condição 12 – 2x > 0. Sendo 2x = 3, conclui-se que x = log23 04. Alternativa e. Seja x a base procurada. É dado no enunciado que: logxn = n para 0 < x ¹ 1 e n > 1 1 1 1 Assim, logxn = n Û x n = n Û (x n ) n = (n) n Û x = n n 6
  • 9.
    05. Alternativa a. f(x) = loga(x) ì0 < a ¹ 1 ï condições de existência íe ïx > 0 î Se f(a) = b, temos que loga(a) = bb = 1 Se f(a + 2) = b + 1, temos que loga(a + 2) = 2a2 = a + 2 1± 3 a2 – a – 2 = 0 Þ a = Þ a = 2, a = – 1 (não serve) 2 Resposta: a = 2 e b = 1 06. Alternativa d. f(x) = log3 (2x - 1) Para que exista f(x) Î IR, devemos ter: log3(2x – 1) ³ 0 log3(2x – 1) ³ 0 × log33 Þ log3(2x – 1) ³ log33º log3(2x – 1) ³ log31 Þ 2x – 1 ³ 1 Þ 2x ³ 2 Þ x ³ 1 Então: D(f) = { x Î IR | x ³ 1} 07. Alternativa b. ì 2 x+y = 2 y ï  í ïlog10 (3x + 4) = log10 10 + log10 (y – 1) ‚ î x+ y x+y  2 2 = 2y Û = y Û x + y = 2y Û x = y 2 ‚ log10(3x + 4) = log1010(y – 1) Û 3x + 4 = 10(y – 1) Û Û 3x + 4 = 10y – 10 Û 3x = 10y – 14 condição de existência: 10(y – 1) > 0 Þ y > 1 ìx = y Assim, o sistema dado é equivalente a: í î3x = 10y - 14 3x = 10x – 14 Þ – 7x = – 14 Þ x = 2 Como x = y temos que y = 2 (satisfaz a condição y > 1) Logo, a solução do sistema (a; b) é (2; 2) Então: a × b = 2 × 2 = 4 7