Equação do 2º Grau Um breve resumo
Toda equação da forma  ax 2  + bx + c = 0 é dita como equação do 2º grau,  isso se a ≠ 0.
Exemplos: a) 3x 2  - 5x + 8 = 0,  a = 3,  b = -5  e  c = 8 b) - x 2  + x + 1 = 0, a = -1,  b = 1  e  c = 1 c) 5 + x 2  + 2x = 0, (atenção!!!)  a = 1,  b = 2  e  c = 5
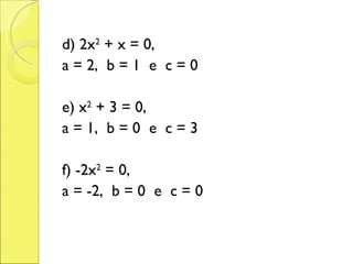
d) 2x 2  + x = 0, a = 2,  b = 1  e  c = 0 e) x 2  + 3 = 0, a = 1,  b = 0  e  c = 3 f) -2x 2  = 0, a = -2,  b = 0  e  c = 0
Percebemos que nos exemplos anteriores ora “falta” o  b  e ora “falta” o  c  (e, também falta  b  e  c  ao mesmo tempo),. Essas equações também são “equações do 2º grau” apenas denominamos de “incompletas”.
Não pense em ter  a  = 0, pois aí sim, não será mais equação do 2º grau. Exemplo: 0x 2  + 2x + 8 = 0 É o mesmo que escrever 2x + 8 = 0 Que não é uma equação do 2º grau.
Já ouvimos falar em “raiz da equação” e nada mais é uma valor que torna a equação igual a zero. Exemplo: 3 é raiz da equação x 2  - 5x + 6 = 0 ( 3 ) 2  – 5( 3 ) + 6 = 0 9 – 15 + 6 = 0 - 6 + 6 = 0
Uma equação do 2º grau pode ter no  máximo  duas raízes (por isso é uma equação do 2º grau). Um modo prático para verificarmos a quantidade de raízes de uma equação do 2º grau é pela famosa fórmula do ∆. Lembrando: ∆  = b 2  – 4ac
Exemplos: a) x 2  - 5x + 6 = 0 ∆  = (-5) 2  – 4(1)(6) ∆  = 25 – 24 ∆  = 1 A equação possui 2 raízes
b) x 2  - 6x + 9 = 0 ∆  = (-6) 2  – 4(1)(9) ∆  = 36 – 36 ∆  = 0 A equação possui 2 raízes iguais que podemos dizer que na  verdade tem somente uma raiz.
c) x 2  - x + 9 = 0 ∆  = (-1) 2  – 4(1)(9) ∆  = 1 – 36 ∆  = -35 A equação não possui raízes
De um modo prático podemos dizer que: ∆  > 0 a equação possui 2 raízes  distintas; ∆  = 0 a equação possui 1 raiz ou duas iguais; e, ∆  < 0 a equação não possui raiz(es).
Mas às vezes não basta saber somente quantas raízes a equação tem, e sim, saber quais são elas, daí que entra a tão famosa “fórmula de Baskhara”, relembremos: Lembre que “-b” significa “troque o sinal de b”, por isso que é importante saber separar o  a ,  b  e  c  da equação.
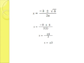
Exemplo: x 2  –  9  =  0 ∆  = (0) 2  – 4(1)(– 9) ∆  = 0 + 36 ∆  = 36 A equação possui 2 raízes distintas, então
 
Agora é só usar todo esse conhecimento e praticar... Bons estudos. Um abraço, Prof. Jean

EquaçãO Do 2º Grau Lanteuff

  • 1.
    Equação do 2ºGrau Um breve resumo
  • 2.
    Toda equação daforma ax 2 + bx + c = 0 é dita como equação do 2º grau, isso se a ≠ 0.
  • 3.
    Exemplos: a) 3x2 - 5x + 8 = 0, a = 3, b = -5 e c = 8 b) - x 2 + x + 1 = 0, a = -1, b = 1 e c = 1 c) 5 + x 2 + 2x = 0, (atenção!!!) a = 1, b = 2 e c = 5
  • 4.
    d) 2x 2 + x = 0, a = 2, b = 1 e c = 0 e) x 2 + 3 = 0, a = 1, b = 0 e c = 3 f) -2x 2 = 0, a = -2, b = 0 e c = 0
  • 5.
    Percebemos que nosexemplos anteriores ora “falta” o b e ora “falta” o c (e, também falta b e c ao mesmo tempo),. Essas equações também são “equações do 2º grau” apenas denominamos de “incompletas”.
  • 6.
    Não pense emter a = 0, pois aí sim, não será mais equação do 2º grau. Exemplo: 0x 2 + 2x + 8 = 0 É o mesmo que escrever 2x + 8 = 0 Que não é uma equação do 2º grau.
  • 7.
    Já ouvimos falarem “raiz da equação” e nada mais é uma valor que torna a equação igual a zero. Exemplo: 3 é raiz da equação x 2 - 5x + 6 = 0 ( 3 ) 2 – 5( 3 ) + 6 = 0 9 – 15 + 6 = 0 - 6 + 6 = 0
  • 8.
    Uma equação do2º grau pode ter no máximo duas raízes (por isso é uma equação do 2º grau). Um modo prático para verificarmos a quantidade de raízes de uma equação do 2º grau é pela famosa fórmula do ∆. Lembrando: ∆ = b 2 – 4ac
  • 9.
    Exemplos: a) x2 - 5x + 6 = 0 ∆ = (-5) 2 – 4(1)(6) ∆ = 25 – 24 ∆ = 1 A equação possui 2 raízes
  • 10.
    b) x 2 - 6x + 9 = 0 ∆ = (-6) 2 – 4(1)(9) ∆ = 36 – 36 ∆ = 0 A equação possui 2 raízes iguais que podemos dizer que na verdade tem somente uma raiz.
  • 11.
    c) x 2 - x + 9 = 0 ∆ = (-1) 2 – 4(1)(9) ∆ = 1 – 36 ∆ = -35 A equação não possui raízes
  • 12.
    De um modoprático podemos dizer que: ∆ > 0 a equação possui 2 raízes distintas; ∆ = 0 a equação possui 1 raiz ou duas iguais; e, ∆ < 0 a equação não possui raiz(es).
  • 13.
    Mas às vezesnão basta saber somente quantas raízes a equação tem, e sim, saber quais são elas, daí que entra a tão famosa “fórmula de Baskhara”, relembremos: Lembre que “-b” significa “troque o sinal de b”, por isso que é importante saber separar o a , b e c da equação.
  • 14.
    Exemplo: x 2 – 9 = 0 ∆ = (0) 2 – 4(1)(– 9) ∆ = 0 + 36 ∆ = 36 A equação possui 2 raízes distintas, então
  • 15.
  • 16.
    Agora é sóusar todo esse conhecimento e praticar... Bons estudos. Um abraço, Prof. Jean