Equações do 2º grau 
Fórmula resolvente 
9º Ano 
Professora Cristina Alves
Vejamos como podemos resolver equações do 2º grau 
completas 
x2 + 8x +16 = 0Û ( x + 4)2 = 0Û 
Û( x + 4)( x + 4) = 0Û 
A partir de aqui podemos 
resolver esta equação por dois 
processos diferentes. Vejamos 
com atenção cada processo. 
Û x + 4 = 0 Ú x + 4 = 0Û 
Û x = -4 Ú x = -4 
Û x + 4 = ± 0 
Û x + 4 = 0Û 
Û x = -4 
C.S. = {- 4}
Vejamos como resolver outra equação do 2º grau 
x2 - 8x + 7 = 0Û x2 -8x + 42 + 7 = 42 Û 
Û(x2 -8x +16) + 7 =16Û ( x - 4)2 =16 - 7Û 
Û( x - 4)2 = 9Û ( x - 4) = ± 9 Û 
Ûx -4 = 3 Ú x -4 = -3Û 
Û x = 3 + 4 Ú x = -3 + 4Û 
Ûx = 7 Ú x =1 
C.S. = { 1, 7 }
De um modo geral, dada uma equação do 2º grau 
completa temos: 
ax2 + bx + c = 0Û 
x c 
a 
Û 2 + + = 0Û 
a 
x b 
2 
b Û ÷ø 
ö 2 
çè 
÷ø 
æ 
a 
x b 
a 
ö çè 
b 
c 
ö çèæ = + ÷ø 
Û + + æ 
2 2 
2 
2 a 
a 
2a 
x b 
x b 2 
x b 
a 
ö çè 
c 
b 
Û - = ÷ø 
Û + + æ 
a 
a 
a 
2 2 
2 
2 4 
x b 2 
Ûæ + 
c 
b 
ö = - Û a 
÷øa 
çè 
a 
2 2 
2 4 
Dividir ambos os membros da 
equação por a ≠ 0 
Adicionar a ambos os 
membros da equação 
c 
Passar para o 2º membro o termo a 
Factorizar o 1º membro da equação, 
usando os casos notáveis da 
multiplicação
c 
x b b 
2 
Û - = ÷ø 
÷ø 
Reduzimos o 2º membro ao mesmo 
denominador e escrevemos na forma 
= b - ac 
Û de uma única fracção x b 
Ûæ + 2 
2 
4 
b ac 
Ûæ + 
x b 
a 
Û + = ± - 4 
Û 2 
2 a 
a 
b ac 
x b 
Û = - ± - Û 
2 
2 
4 
4 
a 
2 a 
Û = - ± 2 - 4 
x b b ac 
a 
2 
ö çè 
a 
a 
a 
2 2 
2 4 
Fórmula Resolvente 
ö çè 
2 2 
4 
4 
2 a 
Retiramos o quadrado do 1º membro 
com a noção de raiz quadrada 
Isolamos a incógnita x e 
calculamos a raiz do denominador
Fórmula Resolvente 
Para resolver uma equação do 2º grau completa, 
basta aplicar a fórmula resolvente, isto é: 
ax2 + bx + c = 0 
Û = - ± 2 - 4 
x b b ac 
com a , b e c Î IR e a ≠ 0 
a 
2
Vejamos um exercício prático: 
 Exercício 1: 
2x2 - ( - 14 ) ± ( - 14 ) 2 -14x + 20 = 0 - 4 ´ 2 ´ 
20 
Û 
´ 
Û = 
2 2 
x 
Aplicando a F.R. 
Û x = 14 ± 196 -160 Û = ± Û 
4 
x 14 36 
4 
Û = ± Û = + Ú = 14 - 6 
Û 
4 
x 14 6 x 14 6 
x 
4 
4 
Û x = 20 Ú x = Û x = Ú x = 
5 2 
8 
4 
4 
C.S. = { 2, 5}
Exercício 2: 
Resolve as seguintes equações do 2º grau 
completas usando a Fórmula Resolvente 
 a) 
 b) 
 c) 
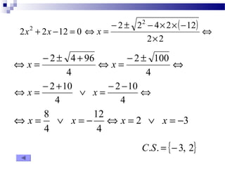
2x2 + 2x -12 = 0 
2x2 - x -1 = 0 
- x2 + 7x -12 = 0
2x2 - 2 ± 22 - 4 ´ 2 ´ ( - 
12 
) + 2x -12 = 0 Û 
´ 
Û = 
2 2 
x 
Û = - ± + Û = - 2 ± 100 
Û 
4 
x 2 4 96 x 
4 
Û = - + Ú = - 2 - 10 
Û 
4 
x 2 10 x 
4 
Û x = 8 Ú x = - Û x = Ú x = - 
2 3 
12 
4 
4 
C.S. = {- 3, 2}
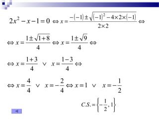
2x2 - x -1 = 0 - ( - 1 ) ± ( - 1 ) 2 - 4 ´ 2 ´ ( - 
1 
) Û 
´ 
Û = 
2 2 
x 
Û = ± + Û = 1 ± 9 
Û 
4 
x 1 1 8 x 
4 
Û = + Ú = 1 - 3 
Û 
4 
x 1 3 x 
4 
Û x = 4 Ú x = - Û x = Ú x = - 
1 1 
2 
2 
4 
4 
þ ý ü 
C.S. 1 
î í ì 
= - , 1 
2
x2 - 7 ± 72 - 4 ´ ( - 1 ) ´ ( - 
12 
) 
- + 7x -12 = 0 ( ) Û 
´ - 
Û = 
2 1 
x 
Û 
Û = - ± 
7 1 
- 
Û = - ± - 
x 7 49 48 x 
- 
2 
2 
Û 
Ú = - - 
7 1 
- 
Û = - + 
x 7 1 x 
- 
2 
2 
Û x = - Ú x = - 
x x 
6 Û = Ú = 
3 4 
8 
2 
2 
- 
- 
C.S. = {3, 4}
Agora que já sabes resolver equações do 2º 
grau completas, usando a Fórmula Resolvente, 
deves praticar bastante para não cometeres 
erros.

Equações do 2º grau fórmula resolvente

  • 1.
    Equações do 2ºgrau Fórmula resolvente 9º Ano Professora Cristina Alves
  • 2.
    Vejamos como podemosresolver equações do 2º grau completas x2 + 8x +16 = 0Û ( x + 4)2 = 0Û Û( x + 4)( x + 4) = 0Û A partir de aqui podemos resolver esta equação por dois processos diferentes. Vejamos com atenção cada processo. Û x + 4 = 0 Ú x + 4 = 0Û Û x = -4 Ú x = -4 Û x + 4 = ± 0 Û x + 4 = 0Û Û x = -4 C.S. = {- 4}
  • 3.
    Vejamos como resolveroutra equação do 2º grau x2 - 8x + 7 = 0Û x2 -8x + 42 + 7 = 42 Û Û(x2 -8x +16) + 7 =16Û ( x - 4)2 =16 - 7Û Û( x - 4)2 = 9Û ( x - 4) = ± 9 Û Ûx -4 = 3 Ú x -4 = -3Û Û x = 3 + 4 Ú x = -3 + 4Û Ûx = 7 Ú x =1 C.S. = { 1, 7 }
  • 4.
    De um modogeral, dada uma equação do 2º grau completa temos: ax2 + bx + c = 0Û x c a Û 2 + + = 0Û a x b 2 b Û ÷ø ö 2 çè ÷ø æ a x b a ö çè b c ö çèæ = + ÷ø Û + + æ 2 2 2 2 a a 2a x b x b 2 x b a ö çè c b Û - = ÷ø Û + + æ a a a 2 2 2 2 4 x b 2 Ûæ + c b ö = - Û a ÷øa çè a 2 2 2 4 Dividir ambos os membros da equação por a ≠ 0 Adicionar a ambos os membros da equação c Passar para o 2º membro o termo a Factorizar o 1º membro da equação, usando os casos notáveis da multiplicação
  • 5.
    c x bb 2 Û - = ÷ø ÷ø Reduzimos o 2º membro ao mesmo denominador e escrevemos na forma = b - ac Û de uma única fracção x b Ûæ + 2 2 4 b ac Ûæ + x b a Û + = ± - 4 Û 2 2 a a b ac x b Û = - ± - Û 2 2 4 4 a 2 a Û = - ± 2 - 4 x b b ac a 2 ö çè a a a 2 2 2 4 Fórmula Resolvente ö çè 2 2 4 4 2 a Retiramos o quadrado do 1º membro com a noção de raiz quadrada Isolamos a incógnita x e calculamos a raiz do denominador
  • 6.
    Fórmula Resolvente Pararesolver uma equação do 2º grau completa, basta aplicar a fórmula resolvente, isto é: ax2 + bx + c = 0 Û = - ± 2 - 4 x b b ac com a , b e c Î IR e a ≠ 0 a 2
  • 7.
    Vejamos um exercícioprático:  Exercício 1: 2x2 - ( - 14 ) ± ( - 14 ) 2 -14x + 20 = 0 - 4 ´ 2 ´ 20 Û ´ Û = 2 2 x Aplicando a F.R. Û x = 14 ± 196 -160 Û = ± Û 4 x 14 36 4 Û = ± Û = + Ú = 14 - 6 Û 4 x 14 6 x 14 6 x 4 4 Û x = 20 Ú x = Û x = Ú x = 5 2 8 4 4 C.S. = { 2, 5}
  • 8.
    Exercício 2: Resolveas seguintes equações do 2º grau completas usando a Fórmula Resolvente  a)  b)  c) 2x2 + 2x -12 = 0 2x2 - x -1 = 0 - x2 + 7x -12 = 0
  • 9.
    2x2 - 2± 22 - 4 ´ 2 ´ ( - 12 ) + 2x -12 = 0 Û ´ Û = 2 2 x Û = - ± + Û = - 2 ± 100 Û 4 x 2 4 96 x 4 Û = - + Ú = - 2 - 10 Û 4 x 2 10 x 4 Û x = 8 Ú x = - Û x = Ú x = - 2 3 12 4 4 C.S. = {- 3, 2}
  • 10.
    2x2 - x-1 = 0 - ( - 1 ) ± ( - 1 ) 2 - 4 ´ 2 ´ ( - 1 ) Û ´ Û = 2 2 x Û = ± + Û = 1 ± 9 Û 4 x 1 1 8 x 4 Û = + Ú = 1 - 3 Û 4 x 1 3 x 4 Û x = 4 Ú x = - Û x = Ú x = - 1 1 2 2 4 4 þ ý ü C.S. 1 î í ì = - , 1 2
  • 11.
    x2 - 7± 72 - 4 ´ ( - 1 ) ´ ( - 12 ) - + 7x -12 = 0 ( ) Û ´ - Û = 2 1 x Û Û = - ± 7 1 - Û = - ± - x 7 49 48 x - 2 2 Û Ú = - - 7 1 - Û = - + x 7 1 x - 2 2 Û x = - Ú x = - x x 6 Û = Ú = 3 4 8 2 2 - - C.S. = {3, 4}
  • 12.
    Agora que jásabes resolver equações do 2º grau completas, usando a Fórmula Resolvente, deves praticar bastante para não cometeres erros.