Concurseiro Estatístico
concurseiro_estatistico@outlook.com
Enunciado  Teorema Central do Limite
Questão: Seja {Xn : n ≥ 1} uma sequência de variáveis i.i.d
com média µ e variância σ2
, para n ≥ 1, E(Xn − µ)4
= σ4
+ 1.
Use o Teorema Central do Limite e calcule
lim
n→∞
Pr
1
n
n
k=1
(Xk − µ)2
− σ2
≤
1
√
n
Teorema Central do Limite
Seja {Xn : n ≥ 1} uma sequência de variáveis i.i.d com esperança
µ e variância σ2
, com 0  σ2
 ∞. Então para
Sn = X1 + X2 + . . . + Xn
temos:
Sn − nµ
σ
√
n
d
−→ N(0, 1)
Resultados
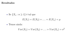
Se {Xn : n ≥ 1} é tal que
E(X1) = E(X2) = . . . = E(Xn) = µ
Temos ainda:
V ar(X1) = V ar(X2) = . . . = V ar(Xn) = σ2
Resultados
Observe que {Yn : n ≥ 1} é tal que (Xn − µ)2
= Yn
Lembrete: V ar(X) = E(X2
) − E(X)2
⇒ E(X2
) = σ2
+ µ2
E(Yk) = E (Xk − µ)2
= E X2
k − 2µXk + µ2
= E X2
k − 2µE(Xk) + µ2
= σ2
+ µ2
− 2µ2
+ µ2
= σ2
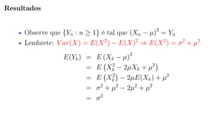
Resultados
Observe que {Yn : n ≥ 1} é tal que (Xn − µ)2
= Yn
Lembrete: V ar(X) = E(X2
) − E(X)2
⇒ E(X2
) = σ2
+ µ2
V ar(Yk) = V ar (Xk − µ)2
= E (Xk − µ)2 2
− E (Xk − µ)2 2
= E (Xk − µ)4
− (σ2
)2
= σ4
+ 1 − σ4
= 1
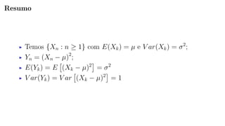
Resumo
Temos {Xn : n ≥ 1} com E(Xk) = µ e V ar(Xk) = σ2
;
Yn = (Xn − µ)2
;
E(Yk) = E (Xk − µ)2
= σ2
V ar(Yk) = V ar (Xk − µ)2
= 1
Resolução  Teorema Central do Limite
Podemos reescrever
Pr
1
n
n
k=1
(Xk − µ)2
− σ2
≤
1
√
n
= Pr −
1
√
n
≤
1
n
n
k=1
(Xk − µ)2
− σ2
≤
1
√
n
= Pr −
1
√
n
≤
n
k=1 (Xk − µ)2
− nσ2
n
≤
1
√
n
= Pr −1 ≤
n
k=1 (Xk − µ)2
− nσ2
√
n
≤ 1
= Pr −1 ≤
n
k=1 Yk − nσ2
√
n
≤ 1
= Pr (−1 ≤ Z ≤ 1) = P(|Z| ≤ 1)
§
¦
¤
¥
A probabilidade inicial converge para Pr(|Z| ≤ 1), onde Z ∼ N(0, 1)
Enunciado  Teorema Central do Limite
Questão: Seja {Xn : n ≥ 1} uma sequência de variáveis i.i.d
com média µ e variância σ2
, para n ≥ 1, E(Xn − µ)4
= σ4
+ 1.
Use o Teorema Central do Limite e calcule
lim
n→∞
Pr
1
n
n
k=1
(Xk − µ)2
− σ2
≤
1
√
n
= P(|Z| ≤ 1)
Materiais
Veja descrição do vídeo
concurseiro_estatistico@outlook.com

Teorema central do Limite - Exercício

  • 1.
  • 3.
    Enunciado TeoremaCentral do Limite Questão: Seja {Xn : n ≥ 1} uma sequência de variáveis i.i.d com média µ e variância σ2 , para n ≥ 1, E(Xn − µ)4 = σ4 + 1. Use o Teorema Central do Limite e calcule lim n→∞ Pr 1 n n k=1 (Xk − µ)2 − σ2 ≤ 1 √ n
  • 4.
    Teorema Central doLimite Seja {Xn : n ≥ 1} uma sequência de variáveis i.i.d com esperança µ e variância σ2 , com 0 σ2 ∞. Então para Sn = X1 + X2 + . . . + Xn temos: Sn − nµ σ √ n d −→ N(0, 1)
  • 5.
    Resultados Se {Xn :n ≥ 1} é tal que E(X1) = E(X2) = . . . = E(Xn) = µ Temos ainda: V ar(X1) = V ar(X2) = . . . = V ar(Xn) = σ2
  • 6.
    Resultados Observe que {Yn: n ≥ 1} é tal que (Xn − µ)2 = Yn Lembrete: V ar(X) = E(X2 ) − E(X)2 ⇒ E(X2 ) = σ2 + µ2 E(Yk) = E (Xk − µ)2 = E X2 k − 2µXk + µ2 = E X2 k − 2µE(Xk) + µ2 = σ2 + µ2 − 2µ2 + µ2 = σ2
  • 7.
    Resultados Observe que {Yn: n ≥ 1} é tal que (Xn − µ)2 = Yn Lembrete: V ar(X) = E(X2 ) − E(X)2 ⇒ E(X2 ) = σ2 + µ2 V ar(Yk) = V ar (Xk − µ)2 = E (Xk − µ)2 2 − E (Xk − µ)2 2 = E (Xk − µ)4 − (σ2 )2 = σ4 + 1 − σ4 = 1
  • 8.
    Resumo Temos {Xn :n ≥ 1} com E(Xk) = µ e V ar(Xk) = σ2 ; Yn = (Xn − µ)2 ; E(Yk) = E (Xk − µ)2 = σ2 V ar(Yk) = V ar (Xk − µ)2 = 1
  • 9.
    Resolução TeoremaCentral do Limite Podemos reescrever Pr 1 n n k=1 (Xk − µ)2 − σ2 ≤ 1 √ n = Pr − 1 √ n ≤ 1 n n k=1 (Xk − µ)2 − σ2 ≤ 1 √ n = Pr − 1 √ n ≤ n k=1 (Xk − µ)2 − nσ2 n ≤ 1 √ n = Pr −1 ≤ n k=1 (Xk − µ)2 − nσ2 √ n ≤ 1 = Pr −1 ≤ n k=1 Yk − nσ2 √ n ≤ 1 = Pr (−1 ≤ Z ≤ 1) = P(|Z| ≤ 1) § ¦ ¤ ¥ A probabilidade inicial converge para Pr(|Z| ≤ 1), onde Z ∼ N(0, 1)
  • 10.
    Enunciado TeoremaCentral do Limite Questão: Seja {Xn : n ≥ 1} uma sequência de variáveis i.i.d com média µ e variância σ2 , para n ≥ 1, E(Xn − µ)4 = σ4 + 1. Use o Teorema Central do Limite e calcule lim n→∞ Pr 1 n n k=1 (Xk − µ)2 − σ2 ≤ 1 √ n = P(|Z| ≤ 1)
  • 11.
    Materiais Veja descrição dovídeo concurseiro_estatistico@outlook.com