Seja a rotacional de um vetor do                        :



                    ̂   ̂       ̂
  ⃗     ⃗       |
                |                      |
                                       |      ̂ (                      )   ̂ (   )   ̂ (   )




O objetivo é demonstrar que a rotacional de uma força conservativa é nulo.

Seja então a seguinte representação:
                    z

                        4          y
                                              3

                                                  x
            1                  2
                                                      y


  x

Sabe-se que para uma força conservativa:

                                                            ∮   ⃗⃗⃗⃗


Logo: ∫ ⃗⃗⃗ ⃗⃗⃗⃗        ∫ ⃗⃗⃗ ⃗⃗⃗⃗          ∫ ⃗⃗⃗ ⃗⃗⃗⃗      ∫ ⃗⃗⃗ ⃗⃗⃗⃗



Para o trecho 1-2, tem-se que:

                                             ∫ ⃗⃗⃗ ⃗⃗⃗⃗         ∫

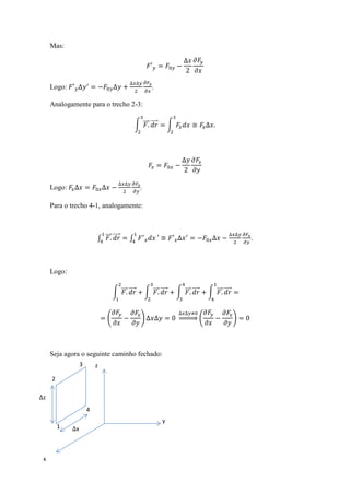
Mas:




Logo:                                             .

Para o trecho 3-4:

                                           ∫ ⃗⃗⃗ ⃗⃗⃗⃗       ∫
Mas:




    Logo:                                              .

    Analogamente para o trecho 2-3:

                                              ∫ ⃗⃗⃗ ⃗⃗⃗⃗         ∫




    Logo:                                       .

    Para o trecho 4-1, analogamente:



                         ∫ ⃗⃗⃗ ⃗⃗⃗⃗     ∫                                                              .



    Logo:

                                 ∫ ⃗⃗⃗ ⃗⃗⃗⃗         ∫ ⃗⃗⃗ ⃗⃗⃗⃗       ∫ ⃗⃗⃗ ⃗⃗⃗⃗       ∫ ⃗⃗⃗ ⃗⃗⃗⃗


                             (                  )                     ⇒           (                )




    Seja agora o seguinte caminho fechado:
                 3       z

    2

z
                     4
                                                            y
        1    x



x
Como a força é conservativa:

                                               ∮   ⃗⃗⃗⃗


Logo: ∫ ⃗⃗⃗ ⃗⃗⃗⃗   ∫ ⃗⃗⃗ ⃗⃗⃗⃗   ∫ ⃗⃗⃗ ⃗⃗⃗⃗     ∫ ⃗⃗⃗ ⃗⃗⃗⃗



Para o trecho 1-2, tem-se que:

                                  ∫ ⃗⃗⃗ ⃗⃗⃗⃗       ∫

Mas:




Logo:                               .

Para o trecho 3-4:

                                ∫ ⃗⃗⃗ ⃗⃗⃗⃗     ∫

Mas:




Logo:                                   .

Analogamente para o trecho 2-3:

                                  ∫ ⃗⃗⃗ ⃗⃗⃗⃗       ∫




Logo:                               .

Para o trecho 4-1, analogamente:
∫ ⃗⃗⃗ ⃗⃗⃗⃗         ∫                                                         .



    Logo:

                                  ∫ ⃗⃗⃗ ⃗⃗⃗⃗             ∫ ⃗⃗⃗ ⃗⃗⃗⃗       ∫ ⃗⃗⃗ ⃗⃗⃗⃗       ∫ ⃗⃗⃗ ⃗⃗⃗⃗


                (                 )                        ⇒          (                )           (        )



    Seja agora o seguinte caminho fechado:
                                          4          y         3
                       z

                                      z



                                          1                    2

                                                                      y



x




    Como a força é conservativa:

                                                               ∮       ⃗⃗⃗⃗


    Logo: ∫ ⃗⃗⃗ ⃗⃗⃗⃗        ∫ ⃗⃗⃗ ⃗⃗⃗⃗        ∫ ⃗⃗⃗ ⃗⃗⃗⃗           ∫ ⃗⃗⃗ ⃗⃗⃗⃗



    Para o trecho 1-2, tem-se que:

                                                  ∫ ⃗⃗⃗ ⃗⃗⃗⃗          ∫

    Mas:
Logo:                                               .

Para o trecho 3-4:

                                       ∫ ⃗⃗⃗ ⃗⃗⃗⃗              ∫

Mas:




Logo:                                                      .

Analogamente para o trecho 2-3:

                                               ∫ ⃗⃗⃗ ⃗⃗⃗⃗            ∫




Logo:                                           .

Para o trecho 4-1, analogamente:



                      ∫ ⃗⃗⃗ ⃗⃗⃗⃗           ∫                                                                .



Logo:

                             ∫ ⃗⃗⃗ ⃗⃗⃗⃗                 ∫ ⃗⃗⃗ ⃗⃗⃗⃗       ∫ ⃗⃗⃗ ⃗⃗⃗⃗       ∫ ⃗⃗⃗ ⃗⃗⃗⃗


          (                  )                            ⇒          (                )            (             )

Voltando ao rotacional:

                  ̂      ̂         ̂
   ⃗          |
              |                        |
                                       |        ̂ (                       )    ̂ (                     )   ̂ (       )
Mas, pelos cálculos efetuados anteriormente:

                  (           )   (            )   (   )

Logo:

                                      ⃗

Conforme queria-se demonstrar.

Questão 3

  • 1.
    Seja a rotacionalde um vetor do : ̂ ̂ ̂ ⃗ ⃗ | | | | ̂ ( ) ̂ ( ) ̂ ( ) O objetivo é demonstrar que a rotacional de uma força conservativa é nulo. Seja então a seguinte representação: z 4 y 3 x 1 2 y x Sabe-se que para uma força conservativa: ∮ ⃗⃗⃗⃗ Logo: ∫ ⃗⃗⃗ ⃗⃗⃗⃗ ∫ ⃗⃗⃗ ⃗⃗⃗⃗ ∫ ⃗⃗⃗ ⃗⃗⃗⃗ ∫ ⃗⃗⃗ ⃗⃗⃗⃗ Para o trecho 1-2, tem-se que: ∫ ⃗⃗⃗ ⃗⃗⃗⃗ ∫ Mas: Logo: . Para o trecho 3-4: ∫ ⃗⃗⃗ ⃗⃗⃗⃗ ∫
  • 2.
    Mas: Logo: . Analogamente para o trecho 2-3: ∫ ⃗⃗⃗ ⃗⃗⃗⃗ ∫ Logo: . Para o trecho 4-1, analogamente: ∫ ⃗⃗⃗ ⃗⃗⃗⃗ ∫ . Logo: ∫ ⃗⃗⃗ ⃗⃗⃗⃗ ∫ ⃗⃗⃗ ⃗⃗⃗⃗ ∫ ⃗⃗⃗ ⃗⃗⃗⃗ ∫ ⃗⃗⃗ ⃗⃗⃗⃗ ( ) ⇒ ( ) Seja agora o seguinte caminho fechado: 3 z 2 z 4 y 1 x x
  • 3.
    Como a forçaé conservativa: ∮ ⃗⃗⃗⃗ Logo: ∫ ⃗⃗⃗ ⃗⃗⃗⃗ ∫ ⃗⃗⃗ ⃗⃗⃗⃗ ∫ ⃗⃗⃗ ⃗⃗⃗⃗ ∫ ⃗⃗⃗ ⃗⃗⃗⃗ Para o trecho 1-2, tem-se que: ∫ ⃗⃗⃗ ⃗⃗⃗⃗ ∫ Mas: Logo: . Para o trecho 3-4: ∫ ⃗⃗⃗ ⃗⃗⃗⃗ ∫ Mas: Logo: . Analogamente para o trecho 2-3: ∫ ⃗⃗⃗ ⃗⃗⃗⃗ ∫ Logo: . Para o trecho 4-1, analogamente:
  • 4.
    ∫ ⃗⃗⃗ ⃗⃗⃗⃗ ∫ . Logo: ∫ ⃗⃗⃗ ⃗⃗⃗⃗ ∫ ⃗⃗⃗ ⃗⃗⃗⃗ ∫ ⃗⃗⃗ ⃗⃗⃗⃗ ∫ ⃗⃗⃗ ⃗⃗⃗⃗ ( ) ⇒ ( ) ( ) Seja agora o seguinte caminho fechado: 4 y 3 z z 1 2 y x Como a força é conservativa: ∮ ⃗⃗⃗⃗ Logo: ∫ ⃗⃗⃗ ⃗⃗⃗⃗ ∫ ⃗⃗⃗ ⃗⃗⃗⃗ ∫ ⃗⃗⃗ ⃗⃗⃗⃗ ∫ ⃗⃗⃗ ⃗⃗⃗⃗ Para o trecho 1-2, tem-se que: ∫ ⃗⃗⃗ ⃗⃗⃗⃗ ∫ Mas:
  • 5.
    Logo: . Para o trecho 3-4: ∫ ⃗⃗⃗ ⃗⃗⃗⃗ ∫ Mas: Logo: . Analogamente para o trecho 2-3: ∫ ⃗⃗⃗ ⃗⃗⃗⃗ ∫ Logo: . Para o trecho 4-1, analogamente: ∫ ⃗⃗⃗ ⃗⃗⃗⃗ ∫ . Logo: ∫ ⃗⃗⃗ ⃗⃗⃗⃗ ∫ ⃗⃗⃗ ⃗⃗⃗⃗ ∫ ⃗⃗⃗ ⃗⃗⃗⃗ ∫ ⃗⃗⃗ ⃗⃗⃗⃗ ( ) ⇒ ( ) ( ) Voltando ao rotacional: ̂ ̂ ̂ ⃗ | | | | ̂ ( ) ̂ ( ) ̂ ( )
  • 6.
    Mas, pelos cálculosefetuados anteriormente: ( ) ( ) ( ) Logo: ⃗ Conforme queria-se demonstrar.