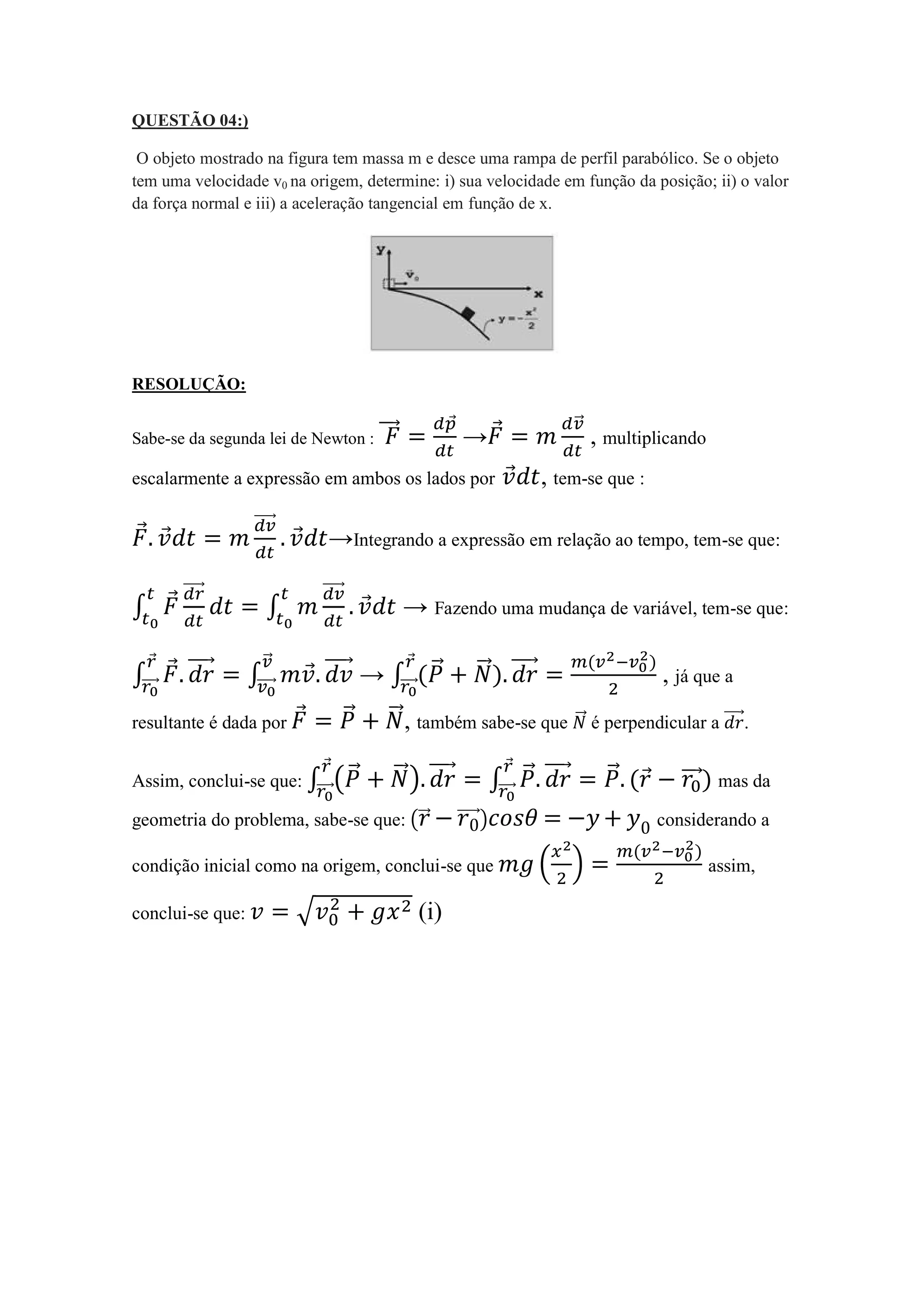
QUESTÃO 04:)

 O objeto mostrado na figura tem massa m e desce uma rampa de perfil parabólico. Se o objeto
tem uma velocidade v0 na origem, determine: i) sua velocidade em função da posição; ii) o valor
da força normal e iii) a aceleração tangencial em função de x.




RESOLUÇÃO:

                                                                               ⃗
Sabe-se da segunda lei de Newton : ⃗⃗⃗                 →                           , multiplicando
escalarmente a expressão em ambos os lados por                            , tem-se que :
                   ⃗⃗⃗⃗⃗
                                →Integrando a expressão em relação ao tempo, tem-se que:

        ⃗⃗⃗⃗⃗                  ⃗⃗⃗⃗⃗
∫                     ∫                     → Fazendo uma mudança de variável, tem-se que:

                     ⃗
∫⃗⃗⃗⃗    ⃗⃗⃗⃗     ∫⃗⃗⃗⃗        ⃗⃗⃗⃗ → ∫ ⃗                 ⃗        ⃗⃗⃗⃗                     , já que a
                                       ⃗⃗⃗⃗

resultante é dada por                  ⃗   ⃗ , também sabe-se que              ⃗ é perpendicular a ⃗⃗⃗⃗ .


Assim, conclui-se que: ∫ ( ⃗               ⃗ ) ⃗⃗⃗⃗             ∫⃗⃗⃗⃗ ⃗ ⃗⃗⃗⃗         ⃗        ⃗⃗⃗     mas da
                        ⃗⃗⃗⃗
geometria do problema, sabe-se que: (⃗                ⃗⃗⃗⃗⃗ )                              considerando a

condição inicial como na origem, conclui-se que                           ( )                        assim,

conclui-se que:            √                  (i)
y




                                              x
                                 ⃗
                        ∙

                         ⃗




Considerando as coordenadas tangencial e normal, tem-se que na direção normal:


          ̂          ̂                ̂ , o coeficiente angular da reta tangente no ponto em

questão, é dado por                      e também sabe-se que como         é seu suplementar,

                                                                   (       (   ) )
sabe-se que:                            , também sabe-se que
                             √                                             |    |

               ⁄
                   assim utilizando o resultado do item (i), tem-se que


                                 ⁄
                                      (ii)
      √

Sabe-se também que a aceleração tangencial é dada por:                               , assim, da

expressão obtida para o              , sabe-se que             √       .


               √         (iii)

4ª questão

  • 1.
    QUESTÃO 04:) Oobjeto mostrado na figura tem massa m e desce uma rampa de perfil parabólico. Se o objeto tem uma velocidade v0 na origem, determine: i) sua velocidade em função da posição; ii) o valor da força normal e iii) a aceleração tangencial em função de x. RESOLUÇÃO: ⃗ Sabe-se da segunda lei de Newton : ⃗⃗⃗ → , multiplicando escalarmente a expressão em ambos os lados por , tem-se que : ⃗⃗⃗⃗⃗ →Integrando a expressão em relação ao tempo, tem-se que: ⃗⃗⃗⃗⃗ ⃗⃗⃗⃗⃗ ∫ ∫ → Fazendo uma mudança de variável, tem-se que: ⃗ ∫⃗⃗⃗⃗ ⃗⃗⃗⃗ ∫⃗⃗⃗⃗ ⃗⃗⃗⃗ → ∫ ⃗ ⃗ ⃗⃗⃗⃗ , já que a ⃗⃗⃗⃗ resultante é dada por ⃗ ⃗ , também sabe-se que ⃗ é perpendicular a ⃗⃗⃗⃗ . Assim, conclui-se que: ∫ ( ⃗ ⃗ ) ⃗⃗⃗⃗ ∫⃗⃗⃗⃗ ⃗ ⃗⃗⃗⃗ ⃗ ⃗⃗⃗ mas da ⃗⃗⃗⃗ geometria do problema, sabe-se que: (⃗ ⃗⃗⃗⃗⃗ ) considerando a condição inicial como na origem, conclui-se que ( ) assim, conclui-se que: √ (i)
  • 2.
    y x ⃗ ∙ ⃗ Considerando as coordenadas tangencial e normal, tem-se que na direção normal: ̂ ̂ ̂ , o coeficiente angular da reta tangente no ponto em questão, é dado por e também sabe-se que como é seu suplementar, ( ( ) ) sabe-se que: , também sabe-se que √ | | ⁄ assim utilizando o resultado do item (i), tem-se que ⁄ (ii) √ Sabe-se também que a aceleração tangencial é dada por: , assim, da expressão obtida para o , sabe-se que √ . √ (iii)