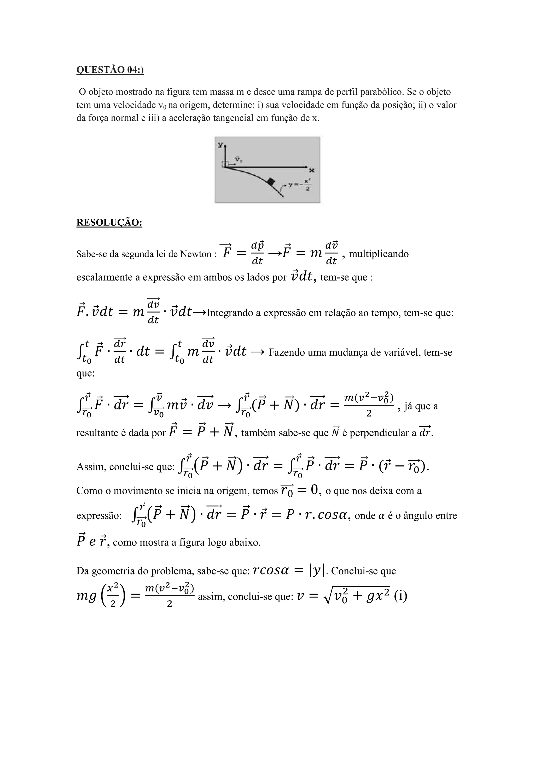
QUESTÃO 04:)

 O objeto mostrado na figura tem massa m e desce uma rampa de perfil parabólico. Se o objeto
tem uma velocidade v0 na origem, determine: i) sua velocidade em função da posição; ii) o valor
da força normal e iii) a aceleração tangencial em função de x.




RESOLUÇÃO:

                                                                             ⃗
Sabe-se da segunda lei de Newton : ⃗⃗⃗                       →                   , multiplicando
escalarmente a expressão em ambos os lados por                         , tem-se que :
                      ⃗⃗⃗⃗⃗
                                        →Integrando a expressão em relação ao tempo, tem-se que:

         ⃗⃗⃗⃗⃗                            ⃗⃗⃗⃗⃗
∫                                 ∫                      → Fazendo uma mudança de variável, tem-se
que:

                              ⃗
∫⃗⃗⃗⃗    ⃗⃗⃗⃗         ∫⃗⃗⃗⃗              ⃗⃗⃗⃗ → ∫ ⃗              ⃗    ⃗⃗⃗⃗                   , já que a
                                                 ⃗⃗⃗⃗

resultante é dada por                    ⃗        ⃗ , também sabe-se que     ⃗ é perpendicular a ⃗⃗⃗⃗ .


Assim, conclui-se que: ∫ ( ⃗                      ⃗ ) ⃗⃗⃗⃗       ∫⃗⃗⃗⃗ ⃗ ⃗⃗⃗⃗        ⃗            ⃗⃗⃗ .
                        ⃗⃗⃗⃗
Como o movimento se inicia na origem, temos ⃗⃗⃗⃗⃗                       , o que nos deixa com a
expressão:       ∫⃗⃗⃗⃗ ( ⃗            ⃗ ) ⃗⃗⃗⃗       ⃗                            , onde   é o ângulo entre

⃗       , como mostra a figura logo abaixo.
Da geometria do problema, sabe-se que:                                | |. Conclui-se que
        ( )                              assim, conclui-se que:              √              (i)
y




                                              x
                                 ⃗
                        ∙

                         ⃗




Considerando as coordenadas tangencial e normal, tem-se que na direção normal:


          ̂          ̂                   ̂ , o coeficiente angular da reta tangente no ponto

em questão, é dado por                       e também sabe-se que como         é seu suplementar,

                                                                   (       (   ) )
sabe-se que:                            , também sabe-se que
                             √                                             |    |

               ⁄
                   assim utilizando o resultado do item (i), tem-se que


                                 ⁄
                                      (ii)
      √

Sabe-se também que a aceleração tangencial é dada por:                               , assim, da

expressão obtida para o              , sabe-se que             √       .


               √         (iii)

4ª questão

  • 1.
    QUESTÃO 04:) Oobjeto mostrado na figura tem massa m e desce uma rampa de perfil parabólico. Se o objeto tem uma velocidade v0 na origem, determine: i) sua velocidade em função da posição; ii) o valor da força normal e iii) a aceleração tangencial em função de x. RESOLUÇÃO: ⃗ Sabe-se da segunda lei de Newton : ⃗⃗⃗ → , multiplicando escalarmente a expressão em ambos os lados por , tem-se que : ⃗⃗⃗⃗⃗ →Integrando a expressão em relação ao tempo, tem-se que: ⃗⃗⃗⃗⃗ ⃗⃗⃗⃗⃗ ∫ ∫ → Fazendo uma mudança de variável, tem-se que: ⃗ ∫⃗⃗⃗⃗ ⃗⃗⃗⃗ ∫⃗⃗⃗⃗ ⃗⃗⃗⃗ → ∫ ⃗ ⃗ ⃗⃗⃗⃗ , já que a ⃗⃗⃗⃗ resultante é dada por ⃗ ⃗ , também sabe-se que ⃗ é perpendicular a ⃗⃗⃗⃗ . Assim, conclui-se que: ∫ ( ⃗ ⃗ ) ⃗⃗⃗⃗ ∫⃗⃗⃗⃗ ⃗ ⃗⃗⃗⃗ ⃗ ⃗⃗⃗ . ⃗⃗⃗⃗ Como o movimento se inicia na origem, temos ⃗⃗⃗⃗⃗ , o que nos deixa com a expressão: ∫⃗⃗⃗⃗ ( ⃗ ⃗ ) ⃗⃗⃗⃗ ⃗ , onde é o ângulo entre ⃗ , como mostra a figura logo abaixo. Da geometria do problema, sabe-se que: | |. Conclui-se que ( ) assim, conclui-se que: √ (i)
  • 2.
    y x ⃗ ∙ ⃗ Considerando as coordenadas tangencial e normal, tem-se que na direção normal: ̂ ̂ ̂ , o coeficiente angular da reta tangente no ponto em questão, é dado por e também sabe-se que como é seu suplementar, ( ( ) ) sabe-se que: , também sabe-se que √ | | ⁄ assim utilizando o resultado do item (i), tem-se que ⁄ (ii) √ Sabe-se também que a aceleração tangencial é dada por: , assim, da expressão obtida para o , sabe-se que √ . √ (iii)