Funções Domínio e Imagem Algoritmo Lei da Função input output domínio imagem Valores possíveis Valores obtidos
Ex1:  4 Ex2:  *Ex3: Cuidado! Exercícios e Exemplos (* indica maior grau de dificuldade)  (Reais não negativos)  condição  Dom= Dom=
Leis  de  Podem ser usadas para simplificar cálculos então
*Ex: Modo 1: Ou  [ 1 [ 3 | 1 | 3
Modo 2:(mais fácil):  Seja f(x) = | | 1 3 --------------- +++ +++ Caso típico Fazer pela reta. | | | -2 1 3 ++++++++++++++ ------------------ +++ ------- 1  3
*Ex. | | | ------------------------ ++++++++++++++ +++++ ++++ -3 1 4 Casos de divisão
Outros casos: *Ex: Ex: 3 -1 ++++++ ++++++++++++ ---------------- ------
Outros exemplos: Livro J. Stewart pag. 23 (1.1) – Ex. 23 a 40 .
Definição – Valor absoluto a para  |a|= -a para  |a| = max {-a,a}  | | | distância -3 5 distância 0 |-3| = 3 |5| = 5 Obs. ou
Exercícios de valor absoluto Ex1. Ex2. Ex3. *Ex4. Ex5. Função BATMAN condição
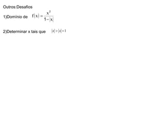
Outros:Desafios  1)Domínio de 2)Determinar x tais que
Funções F input output domínio imagem Vamos finalizar agora enfatizando a importância de se calcular o domínio de uma função Ex: Seja O que ocorre se tentamos fazer o gráfico da f de - 4 a 1 (num pacote MAPLE (comando PLOT), ou MATHEMATICA, etc).(Laboratório). Se não soubermos o domínio podemos obter gráficos vazios que expressam a realidade (vazios) Como vimos
Funções Crescentes - Decrescentes modelos crescente decrescente Exemplos iniciais: Seja  Quais os intervalos de crescimento? Crescente  Decrescente  O que ocorre em x=0
O mesmo para Crescente  Decrescente
Pontos Especiais Máximos – Mínimos Observe que o crescimento (decrescimento) de uma função pode indicar pontos máximos/mínimos locais Modelos
Funções contínuas X funções descontinuas Modelos: A: B:
Função côncava  x  convexa ou côncava para baixo  x  côncava para cima Ex. Cima  Baixo
INFLEXÃO: Neste ponto a concavidade muda Não é ponto de inflexão(descontinua em x=0)
Simetria , Periodicidade, Tendência Funções pares X impares - lâmina modelos par impar
Caracterização  Desenvolver: Complete o gráfico para x<0, sabendo que : a) f é par b) f é impar Use MAPLE
Outros exemplos Nem par nem impar impar par impar
Funções Periodicas F é periódica se o seu comportamento se repetir rigorosamente em intervalos de amplitude alfa.  Ex.  y = sen(x)  periodo = 2    Período = 1 Logo, período é o menor intervalo de repetição
AULA Modelagem e análise de funções De uma forma simples: “ Qualquer descrição matemática do mundo real é um modelo” Manipulando um modelo esperamos entender algo da realidade. Linguagem matemática 1) Uma caixa sem tampa é feita a partir de uma folha retangular medindo 12 x 20 cm e cortando-se nos cantos quadrados de lados x. Expresse: a) volume da caixa em função de x b) a superfície da caixa em função de x  c) analise o domínio, o gráfico, da função obtida.
x 12 20 2)expresse a área de uma janela com o formato abaixo em função do raio x, dado o perímetro de 15 metros l l | x x 3)Expresse o volume de água contido no tanque abaixo em função da altura h h 20 10 Qual a relação entre r e h? r
4)Num triângulo retângulo de lados 3,4,5 inscreve-se um retângulo conforme a figura abaixo.Qual a área deste retângulo em função de x ? 3 4 5 x y h a=x.y  falta a relação entre x e y h 3 4 5 h
Operações Gráficas com Funções - Translação y = f(x) Imagem (vertical) Argumento (horizontal)
- Mudanças de Escala Imagem (vertical) 0<C<1 C > 1
Argumento (horizontal) 0<C<1 C > 1
Reflexão Imagem (vertical) Argumento (horizontal)
Exemplos:Obtenha as funções pedidas a partir da função base e indique que transformação foi realizada.
Limites limite de seqüências transparências A idéia de limites Podemos dizer que  : Sem a idéia de limites não existiria cálculo. O que é  a velocidade instantânea? É o limite das velocidades médias. O que é declividade de uma curva? É o limite das declividades das secantes. O que é o comprimento de uma curva? É o limite co comprimento dos polígonos inscritos O que é a soma de uma série infinita? É o limite das somas dos termos finitos
Qual a área sob uma região com uma curva? É o limite das áreas das regiões limitadas pelas retas (ver figura) Idéia de limites com E, S nas lâminas Exemplos típicos laterais:  | a Função não definida em a
| a | | | | | | | | | | | | | | | | | | | | Limites laterais ......b
Usando a idéia de  continuidade Vemos que é possível calcular  em todo domínio, quando  polinômio, por exemplo, Exemplos gráficos:
Usando MAPLE para determinar domínios Vamos começar pela última função Usando o comando Solve  ; temos como solução Real Range  ,  Real Range Verifique o domínio de todas as funções que enfocamos e teste também algumas mais complicadas, como:

Notas De Aula

  • 1.
    Funções Domínio eImagem Algoritmo Lei da Função input output domínio imagem Valores possíveis Valores obtidos
  • 2.
    Ex1: 4Ex2: *Ex3: Cuidado! Exercícios e Exemplos (* indica maior grau de dificuldade) (Reais não negativos) condição Dom= Dom=
  • 3.
    Leis de Podem ser usadas para simplificar cálculos então
  • 4.
    *Ex: Modo 1:Ou [ 1 [ 3 | 1 | 3
  • 5.
    Modo 2:(mais fácil): Seja f(x) = | | 1 3 --------------- +++ +++ Caso típico Fazer pela reta. | | | -2 1 3 ++++++++++++++ ------------------ +++ ------- 1 3
  • 6.
    *Ex. | || ------------------------ ++++++++++++++ +++++ ++++ -3 1 4 Casos de divisão
  • 7.
    Outros casos: *Ex:Ex: 3 -1 ++++++ ++++++++++++ ---------------- ------
  • 8.
    Outros exemplos: LivroJ. Stewart pag. 23 (1.1) – Ex. 23 a 40 .
  • 9.
    Definição – Valorabsoluto a para |a|= -a para |a| = max {-a,a} | | | distância -3 5 distância 0 |-3| = 3 |5| = 5 Obs. ou
  • 10.
    Exercícios de valorabsoluto Ex1. Ex2. Ex3. *Ex4. Ex5. Função BATMAN condição
  • 11.
    Outros:Desafios 1)Domíniode 2)Determinar x tais que
  • 12.
    Funções F inputoutput domínio imagem Vamos finalizar agora enfatizando a importância de se calcular o domínio de uma função Ex: Seja O que ocorre se tentamos fazer o gráfico da f de - 4 a 1 (num pacote MAPLE (comando PLOT), ou MATHEMATICA, etc).(Laboratório). Se não soubermos o domínio podemos obter gráficos vazios que expressam a realidade (vazios) Como vimos
  • 13.
    Funções Crescentes -Decrescentes modelos crescente decrescente Exemplos iniciais: Seja Quais os intervalos de crescimento? Crescente Decrescente O que ocorre em x=0
  • 14.
    O mesmo paraCrescente Decrescente
  • 15.
    Pontos Especiais Máximos– Mínimos Observe que o crescimento (decrescimento) de uma função pode indicar pontos máximos/mínimos locais Modelos
  • 16.
    Funções contínuas Xfunções descontinuas Modelos: A: B:
  • 17.
    Função côncava x convexa ou côncava para baixo x côncava para cima Ex. Cima Baixo
  • 18.
    INFLEXÃO: Neste pontoa concavidade muda Não é ponto de inflexão(descontinua em x=0)
  • 19.
    Simetria , Periodicidade,Tendência Funções pares X impares - lâmina modelos par impar
  • 20.
    Caracterização Desenvolver:Complete o gráfico para x<0, sabendo que : a) f é par b) f é impar Use MAPLE
  • 21.
    Outros exemplos Nempar nem impar impar par impar
  • 22.
    Funções Periodicas Fé periódica se o seu comportamento se repetir rigorosamente em intervalos de amplitude alfa. Ex. y = sen(x) periodo = 2  Período = 1 Logo, período é o menor intervalo de repetição
  • 23.
    AULA Modelagem eanálise de funções De uma forma simples: “ Qualquer descrição matemática do mundo real é um modelo” Manipulando um modelo esperamos entender algo da realidade. Linguagem matemática 1) Uma caixa sem tampa é feita a partir de uma folha retangular medindo 12 x 20 cm e cortando-se nos cantos quadrados de lados x. Expresse: a) volume da caixa em função de x b) a superfície da caixa em função de x c) analise o domínio, o gráfico, da função obtida.
  • 24.
    x 12 202)expresse a área de uma janela com o formato abaixo em função do raio x, dado o perímetro de 15 metros l l | x x 3)Expresse o volume de água contido no tanque abaixo em função da altura h h 20 10 Qual a relação entre r e h? r
  • 25.
    4)Num triângulo retângulode lados 3,4,5 inscreve-se um retângulo conforme a figura abaixo.Qual a área deste retângulo em função de x ? 3 4 5 x y h a=x.y falta a relação entre x e y h 3 4 5 h
  • 26.
    Operações Gráficas comFunções - Translação y = f(x) Imagem (vertical) Argumento (horizontal)
  • 27.
    - Mudanças deEscala Imagem (vertical) 0<C<1 C > 1
  • 28.
  • 29.
    Reflexão Imagem (vertical)Argumento (horizontal)
  • 30.
    Exemplos:Obtenha as funçõespedidas a partir da função base e indique que transformação foi realizada.
  • 31.
    Limites limite deseqüências transparências A idéia de limites Podemos dizer que : Sem a idéia de limites não existiria cálculo. O que é a velocidade instantânea? É o limite das velocidades médias. O que é declividade de uma curva? É o limite das declividades das secantes. O que é o comprimento de uma curva? É o limite co comprimento dos polígonos inscritos O que é a soma de uma série infinita? É o limite das somas dos termos finitos
  • 32.
    Qual a áreasob uma região com uma curva? É o limite das áreas das regiões limitadas pelas retas (ver figura) Idéia de limites com E, S nas lâminas Exemplos típicos laterais: | a Função não definida em a
  • 33.
    | a || | | | | | | | | | | | | | | | | | | Limites laterais ......b
  • 34.
    Usando a idéiade continuidade Vemos que é possível calcular em todo domínio, quando polinômio, por exemplo, Exemplos gráficos:
  • 35.
    Usando MAPLE paradeterminar domínios Vamos começar pela última função Usando o comando Solve ; temos como solução Real Range , Real Range Verifique o domínio de todas as funções que enfocamos e teste também algumas mais complicadas, como: