Multiplicação de números inteirosExercícios 23 ao 25
Na multiplicação a regra do jogo do sinal é a mesma:Sinais iguais = +( + ) x ( + ) = + ( – ) x ( – ) = + Sinais diferentes = –( + ) x ( – ) = – ( – ) x ( + ) = – 
Nos casos em que o número de fatores negativos for par, o resultado será positivo. Caso o número de fatores negativos seja impar, o resultado será negativo. Exemplos: (+3) x (–2) x (–3) x (+2) = + 36 (dois fatores negativos) (–2) x (+5) x (+3) x (+2) = –  90 (um fator negativo) (–3) x (–2) x (–2) x (–4) = + 48 (quatro fatores negativos) (–2) x (–3) x (–1) x (+2) = – 12 (três números negativos)
Atividade 14 Exercícios 23 ao 25
23
23
24
(– 4 )   .  ( + 2)– 8(+ 4 )   .  ( +4)+ 16( + 4) . ( + 4) . ( + 4)32(– 12 )   .  ( + 2)–  24(– 12 )   .  (– 8)96(+ 16 )   .  (– 3 )– 48
25– 5 + (– 24)– 5 – 24– 29 (– 30) – (– 12)– 30 + 12–186 – (– 2) . (+ 4)6 – (– 8 )6 + 814 (– 4 ). (– 6)  +  24
(+ 12) + (– 30 )     + 12 – 30             –18 12 – (–6) + (+ 20 ) 12 + 6 + 20 38
 9 – [ (–14 )   –  ( –24 ) ] 9 – [ – 14 + 24 ]9 – [ + 10 ]9 – 10 – 1
(– 6) + { 2 . [– 3 + ( + 8 )]}– 6 + { 2 . [– 3 + 8]}– 6 + { 2 . 5}– 6 + 104
Divisão de números inteirosExercícios 26 e 27
( 16 ) : (– 8) –  2( – 20 ) : ( – 5) + 4(– 24 ) – (– 5) – 24 + 5– 19
[ – 8 + ( + 12) ] : ( – 2 )  [ – 8 + 12 ] : ( – 2 )[ + 4 ] : ( – 2)– 2(– 8 + 3 ) : [ – 3 . ( + 1) + 8]( – 5) : [ – 3 + 8]( – 5) : [ + 5] – 1
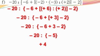
– 20 :  { – 6 + [(+ 6) : (+ 2)] – 2} – 20 :  { – 6 + [+ 3] – 2} – 20 :  { – 6 + 3 – 2}– 20 :  { – 5}+ 4
10 – { – 6 + [(+ 4) – 8]}10 – { – 6 + [– 4]}10 – { – 6 – 4}10 – {– 10}10 + 1020
[ – 20 +  ( – 8 )]  : [ 1 + ( + 6 )][ – 20 – 8 ]  : [ 1 + 6 ][ – 28 ]  : [ 7 ]– 4
Última atividade do 1º BimestrePáginas 108 a 118.                                  Ex.: 39, 44, 46, 50, 51, 55, 56, 57, 63, 67, 68 e 71

Multiplicação e divisão de inteiros

  • 1.
    Multiplicação de númerosinteirosExercícios 23 ao 25
  • 2.
    Na multiplicação aregra do jogo do sinal é a mesma:Sinais iguais = +( + ) x ( + ) = + ( – ) x ( – ) = + Sinais diferentes = –( + ) x ( – ) = – ( – ) x ( + ) = – 
  • 3.
    Nos casos emque o número de fatores negativos for par, o resultado será positivo. Caso o número de fatores negativos seja impar, o resultado será negativo. Exemplos: (+3) x (–2) x (–3) x (+2) = + 36 (dois fatores negativos) (–2) x (+5) x (+3) x (+2) = – 90 (um fator negativo) (–3) x (–2) x (–2) x (–4) = + 48 (quatro fatores negativos) (–2) x (–3) x (–1) x (+2) = – 12 (três números negativos)
  • 4.
  • 5.
  • 6.
  • 7.
  • 8.
    (– 4 ) . ( + 2)– 8(+ 4 ) . ( +4)+ 16( + 4) . ( + 4) . ( + 4)32(– 12 ) . ( + 2)– 24(– 12 ) . (– 8)96(+ 16 ) . (– 3 )– 48
  • 9.
    25– 5 +(– 24)– 5 – 24– 29 (– 30) – (– 12)– 30 + 12–186 – (– 2) . (+ 4)6 – (– 8 )6 + 814 (– 4 ). (– 6) + 24
  • 10.
    (+ 12) +(– 30 ) + 12 – 30 –18 12 – (–6) + (+ 20 ) 12 + 6 + 20 38
  • 11.
    9 –[ (–14 ) – ( –24 ) ] 9 – [ – 14 + 24 ]9 – [ + 10 ]9 – 10 – 1
  • 12.
    (– 6) +{ 2 . [– 3 + ( + 8 )]}– 6 + { 2 . [– 3 + 8]}– 6 + { 2 . 5}– 6 + 104
  • 13.
    Divisão de númerosinteirosExercícios 26 e 27
  • 15.
    ( 16 ): (– 8) – 2( – 20 ) : ( – 5) + 4(– 24 ) – (– 5) – 24 + 5– 19
  • 16.
    [ – 8+ ( + 12) ] : ( – 2 ) [ – 8 + 12 ] : ( – 2 )[ + 4 ] : ( – 2)– 2(– 8 + 3 ) : [ – 3 . ( + 1) + 8]( – 5) : [ – 3 + 8]( – 5) : [ + 5] – 1
  • 17.
    – 20 : { – 6 + [(+ 6) : (+ 2)] – 2} – 20 : { – 6 + [+ 3] – 2} – 20 : { – 6 + 3 – 2}– 20 : { – 5}+ 4
  • 18.
    10 – {– 6 + [(+ 4) – 8]}10 – { – 6 + [– 4]}10 – { – 6 – 4}10 – {– 10}10 + 1020
  • 19.
    [ – 20+ ( – 8 )] : [ 1 + ( + 6 )][ – 20 – 8 ] : [ 1 + 6 ][ – 28 ] : [ 7 ]– 4
  • 20.
    Última atividade do1º BimestrePáginas 108 a 118. Ex.: 39, 44, 46, 50, 51, 55, 56, 57, 63, 67, 68 e 71