Concurseiro Estatístico
concurseiro_estatistico@outlook.com
ENUNCIADO
Preliminares
X = ln V ∼ N(µ, σ2
) ⇒ V = eX
∼ log normal(µ, σ2
);
E(X) = µ e Var(X) = σ2
;
E(V ) =? e Var(V ) =? ⇒ Podemos dizer E(V ) = µ e Var(V ) = σ2
;
f(x) =
1
σ
√
2π
exp −
(x − µ)2
2σ2
, −∞ < x < ∞;
Se temos uma função da v.a X, digamos g(x) , então
E [g(X)] =
∞
−∞
g(x) · f(x) dx
Preliminares
Suponha que X ∼ Normal(0, σ2
)
Função densidade de probabilidade (fdp) é dada por:
f(x) =
1
σ
√
2π
exp −
x2
2σ2
, −∞ < x < ∞
Propriedade da densidade;
∞
−∞
f(x) dx = 1 ⇒
∞
−∞
1
σ
√
2π
exp −
x2
2σ2
dx = 1
Preliminares
Suponha que X ∼ Normal(σ2
, σ2
)
Função densidade de probabilidade (fdp) é dada por:
f(x) =
1
σ
√
2π
exp −
(x − σ2)2
2σ2
, −∞ < x < ∞
Propriedade da densidade;
∞
−∞
f(x) dx = 1 ⇒
∞
−∞
1
σ
√
2π
exp −
(x − σ2)2
2σ2
dx = 1
Preliminares  E(eX
), X ∼ N(0, σ2
)
Suponha inicialmente que X ∼ Normal(0, σ2
). Notação: eX
= exp(X);
E(eX
) =
∞
−∞
exp(x) ·
1
σ
√
2π
exp −
x2
2σ2
dx =
∞
−∞
1
σ
√
2π
exp x −
x2
2σ2
dx
E(eX
) =
∞
−∞
1
σ
√
2π
exp −
x2 − 2xσ2
2σ2
dx
E(eX
) =
∞
−∞
1
σ
√
2π
exp −
x2 − 2xσ2 + (σ2)2 − (σ2)2
2σ2
dx
E(eX
) =
∞
−∞
1
σ
√
2π
exp −
x − σ2 2
− σ4
2σ2
dx
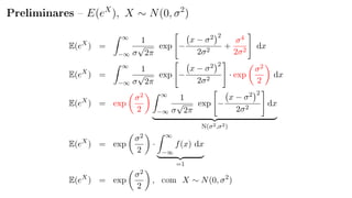
Preliminares  E(eX
), X ∼ N(0, σ2
)
E(eX
) =
∞
−∞
1
σ
√
2π
exp −
x − σ2 2
2σ2
+
σ4
2σ2
dx
E(eX
) =
∞
−∞
1
σ
√
2π
exp −
x − σ2 2
2σ2
· exp
σ2
2
dx
E(eX
) = exp
σ2
2
∞
−∞
1
σ
√
2π
exp −
x − σ2 2
2σ2
dx
N(σ2,σ2)
E(eX
) = exp
σ2
2
·
∞
−∞
f(x) dx
=1
E(eX
) = exp
σ2
2
, com X ∼ N(0, σ2
)
Esperança da Log Normal (µ, σ2
)
Voltamos na densidade da normal N(µ, σ2
):
E(eX
) =
∞
−∞
exp(x) ·
1
σ
√
2π
exp −
(x − µ)2
2σ2
dx
Seja Y = eX
e façamos a transformação y = x − µ ⇒ dy = dx .
E(Y ) =
∞
−∞
exp(y + µ) ·
1
σ
√
2π
exp −
(y + µ − µ)2
2σ2
dy
E(Y ) = exp(µ)
∞
−∞
exp(y) ·
1
σ
√
2π
exp −
y2
2σ2
dy
= E(eY ) com Y ∼N(0,σ2)
E(Y ) = exp(µ) · exp
σ2
2
= exp µ +
σ2
2
Esperança da Log Normal
Considerando a densidade da normal N(µ, σ2
):
E(eX
) =
∞
−∞
exp(x) ·
1
σ
√
2π
exp −
(x − µ)2
2σ2
dx = exp µ +
σ2
2
Inicialmente temos X = ln(V ) ⇔ V = eX
:
E(eX
) = E(V ) = exp µ +
σ2
2
GABARITO
V ∼ log normal ⇒ E(V ) = exp µ +
σ2
2
concurseiro_estatistico@outlook.com

Distribuição Log Normal - Valor Esperado

  • 1.
  • 3.
  • 4.
    Preliminares X = lnV ∼ N(µ, σ2 ) ⇒ V = eX ∼ log normal(µ, σ2 ); E(X) = µ e Var(X) = σ2 ; E(V ) =? e Var(V ) =? ⇒ Podemos dizer E(V ) = µ e Var(V ) = σ2 ; f(x) = 1 σ √ 2π exp − (x − µ)2 2σ2 , −∞ < x < ∞; Se temos uma função da v.a X, digamos g(x) , então E [g(X)] = ∞ −∞ g(x) · f(x) dx
  • 5.
    Preliminares Suponha que X∼ Normal(0, σ2 ) Função densidade de probabilidade (fdp) é dada por: f(x) = 1 σ √ 2π exp − x2 2σ2 , −∞ < x < ∞ Propriedade da densidade; ∞ −∞ f(x) dx = 1 ⇒ ∞ −∞ 1 σ √ 2π exp − x2 2σ2 dx = 1
  • 6.
    Preliminares Suponha que X∼ Normal(σ2 , σ2 ) Função densidade de probabilidade (fdp) é dada por: f(x) = 1 σ √ 2π exp − (x − σ2)2 2σ2 , −∞ < x < ∞ Propriedade da densidade; ∞ −∞ f(x) dx = 1 ⇒ ∞ −∞ 1 σ √ 2π exp − (x − σ2)2 2σ2 dx = 1
  • 7.
    Preliminares E(eX ),X ∼ N(0, σ2 ) Suponha inicialmente que X ∼ Normal(0, σ2 ). Notação: eX = exp(X); E(eX ) = ∞ −∞ exp(x) · 1 σ √ 2π exp − x2 2σ2 dx = ∞ −∞ 1 σ √ 2π exp x − x2 2σ2 dx E(eX ) = ∞ −∞ 1 σ √ 2π exp − x2 − 2xσ2 2σ2 dx E(eX ) = ∞ −∞ 1 σ √ 2π exp − x2 − 2xσ2 + (σ2)2 − (σ2)2 2σ2 dx E(eX ) = ∞ −∞ 1 σ √ 2π exp − x − σ2 2 − σ4 2σ2 dx
  • 8.
    Preliminares E(eX ),X ∼ N(0, σ2 ) E(eX ) = ∞ −∞ 1 σ √ 2π exp − x − σ2 2 2σ2 + σ4 2σ2 dx E(eX ) = ∞ −∞ 1 σ √ 2π exp − x − σ2 2 2σ2 · exp σ2 2 dx E(eX ) = exp σ2 2 ∞ −∞ 1 σ √ 2π exp − x − σ2 2 2σ2 dx N(σ2,σ2) E(eX ) = exp σ2 2 · ∞ −∞ f(x) dx =1 E(eX ) = exp σ2 2 , com X ∼ N(0, σ2 )
  • 9.
    Esperança da LogNormal (µ, σ2 ) Voltamos na densidade da normal N(µ, σ2 ): E(eX ) = ∞ −∞ exp(x) · 1 σ √ 2π exp − (x − µ)2 2σ2 dx Seja Y = eX e façamos a transformação y = x − µ ⇒ dy = dx . E(Y ) = ∞ −∞ exp(y + µ) · 1 σ √ 2π exp − (y + µ − µ)2 2σ2 dy E(Y ) = exp(µ) ∞ −∞ exp(y) · 1 σ √ 2π exp − y2 2σ2 dy = E(eY ) com Y ∼N(0,σ2) E(Y ) = exp(µ) · exp σ2 2 = exp µ + σ2 2
  • 10.
    Esperança da LogNormal Considerando a densidade da normal N(µ, σ2 ): E(eX ) = ∞ −∞ exp(x) · 1 σ √ 2π exp − (x − µ)2 2σ2 dx = exp µ + σ2 2 Inicialmente temos X = ln(V ) ⇔ V = eX : E(eX ) = E(V ) = exp µ + σ2 2
  • 11.
    GABARITO V ∼ lognormal ⇒ E(V ) = exp µ + σ2 2
  • 12.