Universidade Estadual de Feira de Santana
               Departamento de saúde
              Disciplina de Farmacologia
                    Docente: Flávia
Discentes: Maria Lúcia, Thiara Cerqueira e Lívia Suenny
             3° Semestre de Odontologia
• Células eucarióticas sem mobilidade

• Não realizam fotossíntese

• Milhares de espécies

• 50 são patogênicos ao ser humano

• Comensalismo
• Tipos

• Leveduras

• Bolores

• Dimórficos
SISTEMA IMUNE                                   PATOGENICIDADE
                                                  DO FUNGO


  A patologia das infecções fúngicas baseia-se na inter-relação entre o
  sistema imune do hospedeiro e a patogenicidade de determinado
  fungo.
Superficie    Tecidos    Circulação
Adesão
         colonizada   profundos   sistemica
• Mudança Fenotípica



  Levedura        Candida         Hifas



  Conídios      B.dermatitidis   Leveduras
                                 maiores
• Principais componentes da parede celular
  fúngica:
• Esterol da membrana plasmática:
  ERGOSTEROL(alvo de muitas drogas)
• Quitina
• 1,3 β- glicano
• 1,6 β- glicano
1. Ergosterol
   (sintetizado) ->
   Acetil – CoA
2. Esqualeno
   (convertido) ->
   Lanosterol ->
   Esqualeno Epoxidase
3. Alilaminas e as
   Benzilaminas (inibe)
4. 14 α- esterol
   desmetilase P450
   (catalisa) ->
   lanosterol no esterol
5. Imidazólicos e os
   Triazólicos (inibe)
Superficiais

Cutâneas

Subcutâneas

Sistêmicas

Oportunistas
Superficiais



  Dermatocomicoses(Tinhas)    Candidíase superficial
 causadas pelo Trichophyton,
Microsporum ou Epidermophyton.
Sistêmicas

No Reino Unido, a doença fúngica sistêmica (ou “disseminada”)
mais comum é a candidíase.


Em outras partes do mundo:
-Blastomicose
- Histoplasmose
- Coccidiomicose
- Paracoccidiomicose
Pacientes em UTI
Pacientes
 imunossuprimidos(quimioterapia, transplante
 s)
Uso disseminado de antibióticos de amplo
 espectro
Próteses
Métodos baseados em culturas
Exame direto de amostras no microscópio
 óptico

PCR
Western blot      Micologia Moderna
 Amplo espectro de ação contra uma variedade de
  fungos patogênicos;

 Excelente penetração no líquido
  cefalorraquidiano (LCR), na urina e no osso;

 Baixa toxicidade farmacológica;

 Múltiplas vias de administração;
• Anfotericina
• Griselfuvina
• Equinocantinas




• Azóis (cetoconazol
,fluconazol,miconazol...)
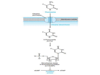
Citosina
              desaminase

                             5-fluoruracila      Ácido 5-
Flucitosina
                                 (5-FLU)      fluorodesoxiu
                                                  ridílico




                         Inibição da
                          síntese do             Timidilato
                          DNA e da               sintetase
                       divisão celular
Micoses sistêmicas



      Flucitosina como único
      medicamento: rápido
       desenvolvimento de
            resistência.




Anfotericina B promove o aumento da
 captação de flucitosina pelas células
               fúngicas
FARMACOCINÉTICA              CONTRA-INDICAÇÕES            EFEITOS ADVERSOS


Administrada por via             Gravidez e lactação      Supressão da medula óssea
intravenosa ou oral                                       (leucopenia
                                                          trombocitopenia)
Excelente penetração no      insuficiência renal severa   Náuseas, vômitos, Diarréia
SNC,olhos e trato urinário

Grande volume de                Hipersensibilidade ao     Disfunção hepática
distribuição                       princípio ativo


Liga-se pouco as proteínas            Crianças            falta de apetite
plasmáticas


Meia vida de 3-5 h                                        Transtornos gastrintestinais
Tubulina


Griseofulvina                   Organização do
                                 fuso mitótico

                  Proteína
                associada aos
                microtúbulos
Acumula-se nas
                               células precursoras
                              de queratina e liga-se          Crescimento da pele,
                                à queratinas das               dos cabelos ou das
O uso terapêutico da          células diferenciadas              unhas livres de
 griseofulvina oral é                                             infecção por
      limitado                                                   dermatófitos.




                                                      Na maioria das
                                                        situações, a
            Não é efetivo contra
                                                   griseofulvina parece
             leveduras e contra
                                                     ser fungistática.
             fungos dimórficos
Farmacocinética                Contra-indicações              Efeitos adversos
Muito insolúvel                Gravidez e lactação            SN(letargia, visão embaçada,
                                                              vertigem,)

Absorção do fármaco é          Crianças com menos de 2        Cefaléia, Erupção na pele e
melhor administrado com        anos de idade                  urticária
alimentos gordurosos

Tratamento precisa ser muito   hipersensibilidade             Hematológicos(leucopenia,ne
prolongado                                                    utropenia,monocitose)
Os efeitos adversos            indivíduos com problemas do    Insônia, Síndrome alérgica
aumentam com consumo de        fígado                         Distúrbios GI,hepatoxidade
álcool

Doses devem ser adm com         indivíduos com histórico de   Interações farmacológicas
intervalo de 6 h               lúpus                          com varfarina,barbitúricos,
                                                              contraceptivos orais

                                                              Doença do
                                                              soro,angiodema,dermatite
                                                              esfoliativa e necrólise
                                                              epidérmica tóxica
Inibidores da esqualeno-epoxidase (Alilaminas e Benzilaminas)
Inibidores da 14α – desmetilase (azois)
Terbinafina e naftifina → ALILAMINAS

Butenafina → BENZILAMINA
Farmacocinética             Contra-indicações        Efeitos adversos
Altamente lipofílico        Gravidez e lactação      Alterações GI
fungicida ou fungistática   Insuficiência renal ou   Erupções cutâneas, Prurido
                            hepática

Adm Oral e tópica           Crianças menores de 2    Dores articulares e
                            anos                     musculares

Liga-se fortemente às       hipersensibilidade ao    Diarréia
proteínas plasmáticas 99%   princípio ativo          Cefaléia, tontura
Meia vida de eliminação é                            Perda de apetite e paladar
de 300 h

Biodisponibilidade de 40%                            Hepatoxidade, síndrome
                                                     de Stevens-
                                                     Johnson,neutropenia
Os níveis plasmáticos
aumentam com Cimetidina
e diminuem com
rifampicina
 Só disponível na forma tópica

 Mecanismo de ação similar ao da Terbinafina

 Amplo espectro de atividade antifúngica

 Tratamento de tinha do corpo
Inibem a enzima fúngicas 14 α -desmetilase

 Inibem então a síntese de ergosterol

Desestabilizam a membrana fúngica
São compostos
                        sintéticos
                                      Imidazólis
Fungistáticos
                                       Triazóis




                                           Imidazóis menos
Seletivos para
                                            específicos que
    P450
                 Amplo espectro                o triazóis
                  de atividade
Maior inibição do P450

                                            Inibe síntese de hormônios
                                            esterois e gonodais
                       Estreita faixa
                        terapêutica
                                                       Não atinge o SNC


                              Absorção:TGI



                                            Farmacocinética
*Rifampicina,antiácidos,antagonistas dos receptores H2 diminuem a absorção do cetoconazol
Afeta metabolismo
de outros fármacos


                         Distúrbios Gastrintestinais

Hepatotoxicidade(raro)

                                    Efeitos endócrinos
                                    significativos




                           Efeitos adversos
• Administrado por via oral no tratamento de
  infecções do TGI
• Meia vida plasmática curta
• Atinge concentrações terapêuticas no
  osso,articulações e tecido pulmonar
• Inativado no fígado
• Pode ser administrado topicamente


                                               • O clotrimazol, econazol
                                                 tioconazol e o sulconazol são
                                                 utilizados apenas na forma
                                                 tópica
                                               • O clotrimazol interfere no
                                                 transporte de aminoácidos para
                                                 o interior do
                                                 micoorganismo,atraves de uma
                                                 ação sobre a MC
Efeitos adversos

Hepatotoxicidade                 Distúrbio GI




      Cefaléia                   Tontura




                 Dor abdominal
•   Via oral ou intravenosa
•   Excelente biodisponibilidade por via oral
•   Atinge concentrações elevadas no LCR
•   Meia vida de 25H
•   90% são excretados inalterados na urina
•   É o azol que menos possui efeitos sobre as enzimas
    microssomais hepáticas




            Fármaco de escolha para tratar a meninge criptocócica
Fármacos poliênicos


  Ergosterol


    Poros na membrana
Anfotericina B                 Nistatina

Insolúvel em água           Não sofre absorção sistêmica

Via IV principalmente       Forma tópica

Fungicida ou fungistática   Candida
• Toxicidade relacionada a infusão:
  -Febre,calafrios,cefaléia,hipotensão




• Toxicidade mais lenta
  -Insuficiência renal
  -Anemia(por falta de produção de eritropoetinas)
Inibe a síntese 1,3 β- glicano –
necessário para manter a
estrutura das paredes




                         morte
               lise da   do
              célula     fungo
   estresse
   osmótico
•   Liga-se altamente as proteínas do plasma
•   É metabolizada no fígado
•   Penetra pouco no LCR
•   Meia vida de 9-10H




• Foi aprovada para o tratamento de candidíase esofágica e para
  profilaxia antifúngica em receptores de transplantes de células
  tronco hematopoiéticas
Referências Bibliográficas
GOLAN, David E. Principios de farmacologia: a base fisiopatologica
da farmacoterapia. 2 ed. Rio de Janeiro: Guanabara Koogan, c2009
952 p. ISBN 9788527715201

RANG, H. P; DALE, M. Maureen. Rang & Dalle Farmacologia. 6. ed
Rio de Janeiro, RJ: Elsevier, 2008. 829 p. ISBN 9788535222432
(broch.)

KATZUNG, Bertram G. Farmacologia Básica e Clínica. 8ªEdição, Rio
de Janeiro: Guanabara Koogan, 2003 952 p. ISBN 992348579752587


GOODMAN, Louis Sanford; GILMAN, Alfred. As bases
farmacologicas da terapeutica. 9. ed Rio de Janeiro: McGraw - Hill
Interamericana do Brasil, 1996. 1436 p ISBN (enc.) 9765027338

Antifúngicos

  • 2.
    Universidade Estadual deFeira de Santana Departamento de saúde Disciplina de Farmacologia Docente: Flávia Discentes: Maria Lúcia, Thiara Cerqueira e Lívia Suenny 3° Semestre de Odontologia
  • 3.
    • Células eucarióticassem mobilidade • Não realizam fotossíntese • Milhares de espécies • 50 são patogênicos ao ser humano • Comensalismo
  • 4.
    • Tipos • Leveduras •Bolores • Dimórficos
  • 5.
    SISTEMA IMUNE PATOGENICIDADE DO FUNGO A patologia das infecções fúngicas baseia-se na inter-relação entre o sistema imune do hospedeiro e a patogenicidade de determinado fungo.
  • 6.
    Superficie Tecidos Circulação Adesão colonizada profundos sistemica
  • 7.
    • Mudança Fenotípica Levedura Candida Hifas Conídios B.dermatitidis Leveduras maiores
  • 8.
    • Principais componentesda parede celular fúngica: • Esterol da membrana plasmática: ERGOSTEROL(alvo de muitas drogas) • Quitina • 1,3 β- glicano • 1,6 β- glicano
  • 9.
    1. Ergosterol (sintetizado) -> Acetil – CoA 2. Esqualeno (convertido) -> Lanosterol -> Esqualeno Epoxidase 3. Alilaminas e as Benzilaminas (inibe) 4. 14 α- esterol desmetilase P450 (catalisa) -> lanosterol no esterol 5. Imidazólicos e os Triazólicos (inibe)
  • 10.
  • 11.
    Superficiais Dermatocomicoses(Tinhas) Candidíase superficial causadas pelo Trichophyton, Microsporum ou Epidermophyton.
  • 12.
    Sistêmicas No Reino Unido,a doença fúngica sistêmica (ou “disseminada”) mais comum é a candidíase. Em outras partes do mundo: -Blastomicose - Histoplasmose - Coccidiomicose - Paracoccidiomicose
  • 13.
    Pacientes em UTI Pacientes imunossuprimidos(quimioterapia, transplante s) Uso disseminado de antibióticos de amplo espectro Próteses
  • 14.
    Métodos baseados emculturas Exame direto de amostras no microscópio óptico PCR Western blot Micologia Moderna
  • 15.
     Amplo espectrode ação contra uma variedade de fungos patogênicos;  Excelente penetração no líquido cefalorraquidiano (LCR), na urina e no osso;  Baixa toxicidade farmacológica;  Múltiplas vias de administração;
  • 16.
    • Anfotericina • Griselfuvina •Equinocantinas • Azóis (cetoconazol ,fluconazol,miconazol...)
  • 20.
    Citosina desaminase 5-fluoruracila Ácido 5- Flucitosina (5-FLU) fluorodesoxiu ridílico Inibição da síntese do Timidilato DNA e da sintetase divisão celular
  • 22.
    Micoses sistêmicas Flucitosina como único medicamento: rápido desenvolvimento de resistência. Anfotericina B promove o aumento da captação de flucitosina pelas células fúngicas
  • 23.
    FARMACOCINÉTICA CONTRA-INDICAÇÕES EFEITOS ADVERSOS Administrada por via Gravidez e lactação Supressão da medula óssea intravenosa ou oral (leucopenia trombocitopenia) Excelente penetração no insuficiência renal severa Náuseas, vômitos, Diarréia SNC,olhos e trato urinário Grande volume de Hipersensibilidade ao Disfunção hepática distribuição princípio ativo Liga-se pouco as proteínas Crianças falta de apetite plasmáticas Meia vida de 3-5 h Transtornos gastrintestinais
  • 25.
    Tubulina Griseofulvina Organização do fuso mitótico Proteína associada aos microtúbulos
  • 26.
    Acumula-se nas células precursoras de queratina e liga-se Crescimento da pele, à queratinas das dos cabelos ou das O uso terapêutico da células diferenciadas unhas livres de griseofulvina oral é infecção por limitado dermatófitos. Na maioria das situações, a Não é efetivo contra griseofulvina parece leveduras e contra ser fungistática. fungos dimórficos
  • 27.
    Farmacocinética Contra-indicações Efeitos adversos Muito insolúvel Gravidez e lactação SN(letargia, visão embaçada, vertigem,) Absorção do fármaco é Crianças com menos de 2 Cefaléia, Erupção na pele e melhor administrado com anos de idade urticária alimentos gordurosos Tratamento precisa ser muito hipersensibilidade Hematológicos(leucopenia,ne prolongado utropenia,monocitose) Os efeitos adversos indivíduos com problemas do Insônia, Síndrome alérgica aumentam com consumo de fígado Distúrbios GI,hepatoxidade álcool Doses devem ser adm com indivíduos com histórico de Interações farmacológicas intervalo de 6 h lúpus com varfarina,barbitúricos, contraceptivos orais Doença do soro,angiodema,dermatite esfoliativa e necrólise epidérmica tóxica
  • 28.
    Inibidores da esqualeno-epoxidase(Alilaminas e Benzilaminas) Inibidores da 14α – desmetilase (azois)
  • 30.
    Terbinafina e naftifina→ ALILAMINAS Butenafina → BENZILAMINA
  • 31.
    Farmacocinética Contra-indicações Efeitos adversos Altamente lipofílico Gravidez e lactação Alterações GI fungicida ou fungistática Insuficiência renal ou Erupções cutâneas, Prurido hepática Adm Oral e tópica Crianças menores de 2 Dores articulares e anos musculares Liga-se fortemente às hipersensibilidade ao Diarréia proteínas plasmáticas 99% princípio ativo Cefaléia, tontura Meia vida de eliminação é Perda de apetite e paladar de 300 h Biodisponibilidade de 40% Hepatoxidade, síndrome de Stevens- Johnson,neutropenia Os níveis plasmáticos aumentam com Cimetidina e diminuem com rifampicina
  • 32.
     Só disponívelna forma tópica  Mecanismo de ação similar ao da Terbinafina  Amplo espectro de atividade antifúngica  Tratamento de tinha do corpo
  • 34.
    Inibem a enzimafúngicas 14 α -desmetilase Inibem então a síntese de ergosterol Desestabilizam a membrana fúngica
  • 35.
    São compostos sintéticos Imidazólis Fungistáticos Triazóis Imidazóis menos Seletivos para específicos que P450 Amplo espectro o triazóis de atividade
  • 36.
    Maior inibição doP450 Inibe síntese de hormônios esterois e gonodais Estreita faixa terapêutica Não atinge o SNC Absorção:TGI Farmacocinética *Rifampicina,antiácidos,antagonistas dos receptores H2 diminuem a absorção do cetoconazol
  • 37.
    Afeta metabolismo de outrosfármacos Distúrbios Gastrintestinais Hepatotoxicidade(raro) Efeitos endócrinos significativos Efeitos adversos
  • 38.
    • Administrado porvia oral no tratamento de infecções do TGI • Meia vida plasmática curta • Atinge concentrações terapêuticas no osso,articulações e tecido pulmonar • Inativado no fígado • Pode ser administrado topicamente • O clotrimazol, econazol tioconazol e o sulconazol são utilizados apenas na forma tópica • O clotrimazol interfere no transporte de aminoácidos para o interior do micoorganismo,atraves de uma ação sobre a MC
  • 40.
    Efeitos adversos Hepatotoxicidade Distúrbio GI Cefaléia Tontura Dor abdominal
  • 41.
    Via oral ou intravenosa • Excelente biodisponibilidade por via oral • Atinge concentrações elevadas no LCR • Meia vida de 25H • 90% são excretados inalterados na urina • É o azol que menos possui efeitos sobre as enzimas microssomais hepáticas Fármaco de escolha para tratar a meninge criptocócica
  • 43.
    Fármacos poliênicos Ergosterol Poros na membrana
  • 44.
    Anfotericina B Nistatina Insolúvel em água Não sofre absorção sistêmica Via IV principalmente Forma tópica Fungicida ou fungistática Candida
  • 46.
    • Toxicidade relacionadaa infusão: -Febre,calafrios,cefaléia,hipotensão • Toxicidade mais lenta -Insuficiência renal -Anemia(por falta de produção de eritropoetinas)
  • 48.
    Inibe a síntese1,3 β- glicano – necessário para manter a estrutura das paredes morte lise da do célula fungo estresse osmótico
  • 49.
    Liga-se altamente as proteínas do plasma • É metabolizada no fígado • Penetra pouco no LCR • Meia vida de 9-10H • Foi aprovada para o tratamento de candidíase esofágica e para profilaxia antifúngica em receptores de transplantes de células tronco hematopoiéticas
  • 50.
    Referências Bibliográficas GOLAN, DavidE. Principios de farmacologia: a base fisiopatologica da farmacoterapia. 2 ed. Rio de Janeiro: Guanabara Koogan, c2009 952 p. ISBN 9788527715201 RANG, H. P; DALE, M. Maureen. Rang & Dalle Farmacologia. 6. ed Rio de Janeiro, RJ: Elsevier, 2008. 829 p. ISBN 9788535222432 (broch.) KATZUNG, Bertram G. Farmacologia Básica e Clínica. 8ªEdição, Rio de Janeiro: Guanabara Koogan, 2003 952 p. ISBN 992348579752587 GOODMAN, Louis Sanford; GILMAN, Alfred. As bases farmacologicas da terapeutica. 9. ed Rio de Janeiro: McGraw - Hill Interamericana do Brasil, 1996. 1436 p ISBN (enc.) 9765027338