ANTIMICROBIANOS
ANTIMICROBIANOS




                   1
ANTIMICROBIANOS
• Substâncias químicas que inibem
 o crescimento ou provocam a
 destruição dos microorganismos.
• Produzidos através de
 microorganismos como bactérias,
 fungos, e outros, ou sintetizados
 total ou parcialmente.
• Uma das drogas mais utilizadas
 na terapêutica                2
• Segundo WAKSMAN (1942), os
 ANTIBIÓTICOS são substâncias
 produzidos originalmente pelo fungos
 e bactérias, tendo como propriedade
 comum a atividade bactericida ou
 bacteriostática em condições
 propícias, em germes sensíveis. São
 drogas utilizadas no tratamento de
 doenças infecciosas, assim como os
 quimioterápicos.
                                   3
ANTIBIÓTICOS:
• Fungos: griseofulvina, penicilina
• bactérias: polimixina B, bacitracina
• Streptomices: estreptomicina
• Microspora: gentamicina:
Atividade bactericida =inativação de
 todos microrganismos
Bacteriostática =controle do
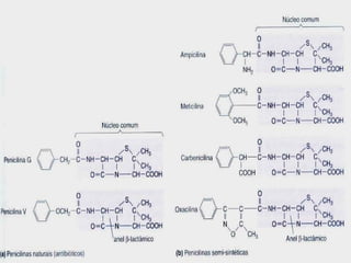
 crescimento bacteriano                  4
HISTÓRICO
• Os primeiros conhecimentos acerca
  dos antibióticos devem-se a Pasteur e
  Jouber, em 1877.
• FLEMING (1928) contribuiu
  valorosamente com o primeiro
  componente através da contaminação
  acidental de uma colônia de
  estafilococos que foi lisada pelo
  Penicilium notatum.               5
HISTÓRICO
• A era moderna da quimioterapia
  antimicrobiana inicia-se em 1936 com
  a introdução, na clínica, das
  sulfonamidas.
• Em 1941, a introdução da
  PENICILINA tornou-se um marco
  histórico na Medicina por revolucionar
  os princípios terapêuticos até então
  usados nas doenças infecciosas. 6
• Em 1941 FLOREY, CHAIM et cols.
 iniciaram a utilização experimental
 desta substância no tratamento de
 processos infecciosos em seres
 humanos. Atualmente a maioria dos
 antibióticos     são     produzidos
 sinteticamente ,



                                 7
• PASTEUR (1877) observou que
 algumas colônias eram capazes de
 produzir substâncias antagônicas a
 outros microorganismos.




                                      8
• Dentre os agentes
 antimicrobianos (desinfetantes,
 compostos fenílicos, iodados e
 outros) utilizados nos primórdios
 da humanidade, muitos
 apresentavam elevada toxidade
 relativa ao paciente, isto foi o que
 motivou os pesquisadores a
 desenvolverem drogas com
 propriedades mais seletivas e de
 menor toxidade ao paciente.
                                    9
• 1877 - Joubert e Pasteur (inibição
  crescimento antrhax)
• 1928 - Fleming: Descoberta
  penicilina
• 1936: Uso sulfonilamidas
• 1940: Florey, Chain e Abraahm
  isolamento da penicilina.
• 1941: Uso clínico penicilina
                                   10
Classificação - Microrganismos

1) Antibacterianos (Antibióticos e
 quimioterápicos)
2) Antifúngicos
3) Antivirais
4) Antiparasitários
5) Antiprotozoários.
                               11
Classificação ATB p/
Efeito
• BACTERICIDAS: Agem
 matando os microorganismos

• BACTERIOSTÁTICOS: Agem
 inibindo o crescimento dos
 microorganismos.
                              12
ESPECTRO DE AÇÃO
• A) Antibiótico de Pequeno
 espectro – Atuam sobre um grupo
 limitado de microrganismos; Ex.
 isoniazida – é ativa somente contra
 micobactérias.




                                   13
• B) Espectro Ampliado –
 Antibióticos eficazes contra
 microrganismo Gram-positivos e
 que também atuam contra um
 número significativo de bactérias
 Gram-negativas. Ex. ampicilina




                               14
• C) Amplo Espectro – Atingem
 ampla variedade de espécies
 microbianas; Ex. tetraciclina e
 clorafenicol. A administração de
 antibióticos de amplo espectro
 pode alterar drasticamente a
 natureza flora bacteriana normal e
 originar superinfecção de um
 microrganismo

                                  15
MECANISMOS DE AÇÃO




                     16
MECANISMOS DE AÇÃO

• Inibição da síntese da parede
  bacteriana
• Inibição da síntese protéica
• Ação nos ácidos nucléicos
• Inibição da função da membrana
  citoplasmática
                                  17
18
INIBIDORES DA PAREDE CELULAR

1. Beta-lactâmicos (penicilinas,
   cefalosporinas, carbapenemas,
   monobactâmicos)
2. Glicopeptideos (vancomicina,
   teicoplanina)
3. Bacitracina
4. Cicloserina
                                   19
BETALACTÂMICOS
• ANEL BETALACTÂMICO:
   Afinidade por proteínas da
 parede celular bacteriana,
 levando a destruição da mesma,
 por inibição da produção de
 mucopeptídeos, levando a morte
 celular por ruptura do equilíbrio
 osmótico do microorganismo.
                               20
R   CO   NH
                   S




               N
           O           COOH
BETALACTÂMICOS           21
ANTIBIÓTICOS BETA-LACTÂMICOS


• PENICILINAS
• CEFALOSPORINAS
• CARBAPENÊMICOS
• MONOBACTÂMICOS
• INIBIDORES
 BETALACTAMASES
                         22
Inibidores da Síntese da Parede

                              NAG
Citoplasma síntese de



                                           NAM
precursores da parede



                        UDP
                                         L- alanina
                                         Ácido D-glutamico
                                         L- lisina
                                         D- ala
                                        D- ala

                                    Cicloserina        23
Cicloserina


• inibe as reacões envolvidas
• na incorporação de D-ala-D-ala
• na cadeia tripeptídica de NAM


                                   24
Inibidores da Síntese da Parede

Membrana
citoplasmática             NAG          NAM     P   P   C55 lipídeo
síntese de novas
subunidades
                                                         Bacitracina
ligadas ao lípídeo                             L- lisina Previne a desfosforilação
transportador                                            do fosfolipídeo transportador,
                                                         impedindo a regeneração do
                                                         mesmo para a síntese continuar
 Glicopeptídeos
 Ligam-se a resíduos de D-ala-D-ala,
 prevenindo a incorporação de subunidades de
 peptidoglicano crescente



                                                                               25
NAG   NAM    P    P     C55 lipídeo


Glicopeptídeos
                               L- lisina




• Ligam-se a resíduos de D-ala-
 D-ala, prevenindo a
 incorporação de subunidades
 de peptidoglicano crescente
- Vancomicina
- Teicoplanina                             26
NAG   NAM    P    P     C55 lipídeo

Bacitracina
                                 L- lisina




• Previne a desfosforilação do
 fosfolipídeo transportador,
 impedindo a regeneração do
 mesmo para a síntese continuar


                                             27
Atividade dos Glicopeptídeos

• Moléculas polares grandes;
• São ativos contra MRSA;
• Vancomicina oral é utilizada para
Clostridium difficile;
•E.coli e Pseudomonas = RESISTENTES
•Staphylococcus, Streptococcus e
Enterococcus = SENSÍVEL
• Vancomicina é nefrotóxica (teicoplanina
é menos).                              28
Inibidores da Síntese da Parede




                                          NAG
Beta-lactâmicos
inibem as enzimas que




                                          NAM
catalisam a transpeptidação e
outras reações da etapa final




                                         NAG
da síntese da parede

ligação de novas




                                         NAM
                                D- ala
unidades de parede ao
peptidoglicano crescente                 29
Antibióticos Beta-lactâmicos

• Todos agem por ligação em PBPs
  (penicillin-binding proteins)
• PBPs são enzimas envolvidas na
  ligação das cadeias peptídicas da
  parede


                                      30
Antibióticos Beta-lactâmicos

• Bactérias diferentes podem ter PBPs
  distintas
• O espectro de atividade dependerá da
  capacidade de ligação do antibiótico à
  PBP do microrganismo


                                    31
PENICILINAS
• BENZILPENICILINAS
• FENOXIMETILPENICILINA
• AMPICILINA / AMOXICILINA
• OXACILINA / CLOXACILINA /
  DICLOXACILINA
• CARBENICILINA E TICARCILINA
• AZLOCILINA / MEZLOCILINA /
  PIPERACILINA              32
33
PENICILINAS
• NATURAIS: BENZILPENICILINAS
 (Uso injetável)
 Penicilina G Cristalina
 Penicilina G Procaína
 Penicilina G Benzatina
FENOXIMETILPENICILINA (Uso
 Oral)
                             34
PENICILINAS
   Espectro de Ação
• PEQUENO.
• Cocos GRAM + (Streptococos e
  pneumococos)
• Cocos GRAM – (Neisseria
  meningitides)
• Bacilos GRAM +
• Anaeróbios
• Treponema Pallidum             35
OXACILINA
• Penicilina Penicilinase-resistente
• Ação contra Estafilococos (s.
  aureus) produtor de penicilinases
• Uso Hospitalar
• Staphylococcus Epidermidis -
  resistente em 40 a 60% casos.
• Nome Comercial: Staficilin-N (500
  mg)
• Intervalos: 4/4 a 6/6 hs          36
CARBENICILINA/TICARCILIN
A/ PIPERACILINA
  PENICILINAS
   ANTIPSEUDOMONAS



                      37
CEFALOSPORINAS
• Como todos os antibióticos beta-lactam
  (e.g. penicilinas), as cefalosporinas
  interferem na sintese da parede celular
  de peptidoglicano via inibição de enzimas
  envolvidas no processo de
  transpeptidação
• Há resistência em algumas estirpes
  devido a disseminação de plasmídeos que
  codificam o gene da proteína beta-
  lactamase, que destrói o antibiótico antes
  que possa ter efeitos.                38
CEFALOSPORINAS
• Foram isoladas de culturas de
  Cephalosporium acremonium de um
  esgoto na ilha italiana de Sardenha
  em 1948 pelo italiano Giuseppe
  Brotzu. Ele reparou que em cultura
  inibiam a Salmonella typhi
• A farmacêutica Eli Lilly lançou as
  primeiras cefalosporinas na década
  de 1960.
                                  39
1ª Geração      2ª Geração
               • Cefamandol
• Cefazolina   • Cefuroxima
• Cefalotina   • Cefonicide
• Cefapirina   • Ceforanide
               • Cefaclor
• Cefalexina   • Cefprozil
• Cefradina    • Loracarbefe
• Cefadroxil   • Cefpodoxime
               • Cefotetam
                               40
Espectro Cefalosporinas
 de 1a Geração
• Cocos aeróbios Gram (+) (exceto
  enterococo)
• Estafilococo produtor de penicilinase,
  mas não sobre os oxacilina-
  resistentes.
• Sensíveis: E.coli, P. mirabilis,
  Klebsiella pneumoniae.
• Resistentes: P.aeruginosa e
  Haemophylus influenzae.
                                    41
Cefalosporinas de 2a Geração
Cefoxitina (Mefoxin), Cefaclor (ceclor),
  Cefuroxima (Zinacef)
• Menos ativas que as de 1a geração
  contra cocos Gram (+); Maior
  atividade contra bacilos Gram (-).
• Induz betalactamases, perdeu
  atividade contra Bacteroides fragilis
• Profilaxia cirurgias colorretais.
                                    42
3ª Geração
• Ceftriaxona     4ª Geração
• Cefotaxima
• Ceftizoxima    • Cefipima
• Ceftazidima
• Cefoperazona
                 • Cefpiroma
• Ceftibuteno
• Cefixima
• Cefatamet
                               43
Cefalosporinas de 3 Geração
                          a


Cefotaxima (Claforan), Ceftriaxona
  (Rocefin), Ceftazidima(Fortaz)
• Maior eficácia sobre bacilos Gram -
  como Enterobacteriaceas
• Utilizados em infecções graves.
• Alto Custo.
• Ceftriaxona e Cefotaxima utilizadas
  p/ tratamento de meningites
                                   44
Cefalosporinas de 4 Geração
                         a


• Mesma actividade contra Gram-
  negativas, mas com maior potencia
  para Gram-positivas do que os de
  terceira geração. Mais resistentes à
  degradação por beta-lactamase
  (mais eficazes contra estirpes
  parcialmente resistentes).
• Maior atividade contra Pseudomonas
  e enterobacteriáceas.             45
MONOBACTÂMICOS
AZTREONAM (Azactam)
• Germes aeróbios Gram (-):
  enterobacteriáceas, H.influenzae,
  Neisseria Gonorrhoeae.
• Não tem ação sobre Gram (+) e
  anaeróbios. Alternativa em
  tratamento de infecções graves
  hospitalares por germes Gram (-).
                                  46
CARBAPENÊMICOS
IMIPENEM (Tienan) e MEROPENEM
  (Meronen)
• ATBs de maior espectro
  antibacteriano que existem.
• Opções excepcionais em infecções
  mistas por germes
  multirresistentes (restrito a uso em
  CTI de grandes hospitais)
                                   47
RESISTÊNCIA AOS
BETALACTÂMICOS

   MODIFICAÇÃO DE PROTEÍNAS
   IMPERMEABILIDADE CELULAR
   PRODUÇÃO DE
    BETALACTAMASES


                           48
Inibidores de Beta-lactamases


• Ácido clavulânico: usado com
  amoxicilina ou c/ ticarcilina
• Sulbactam: usado com ampicilina
• Tazobactam: usado com piperacilina


                                 49
Inibidores de betalactamases

• Amoxicilina/clavulanato e
  Ampicilina/sulbactam:
• Usado em otites, sinusites e DBPOC
  infectado com maior atividade
  contra Haemophilus influenzae.
• Primeira escolha em mordidas
  humanas e de animais.
• Estafilococos sensíveis a meticilina.
                                    50
Inibidores da Síntese Protéica

• As subunidades ribossômicas
 envolvidas na tradução em
 procariotos são menores (30S &
 50S) do que em eucariotos (40S
 & 60S)



                                51
52
Inibidores da Síntese Protéica
• Aminoglicosídeos: amicacina,
 canamicina, espectinomicina,
 estreptomicina, gentamicina, neomicina,
 netilmicina, tobramicina

• Tetraciclinas: tetraciclina,
 clortetraciclina, oxitetraciclina, doxiciclina,
 minociclina                                53
Inibidores da Síntese Protéica

• Macrolídeos: eritromicina,
 azitromicina, claritromicina,
 roxitromicina

• Cloranfenicol
• Ácido fusídico
                                 54
AMINOGLICOSÍDEOS
• Principal alternativa no tratamento da
  sepse grave;
• Não são absorvidos pela via oral;
• Entrada na bactéria está relacionado a
  um mecanismo de transporte oxigênio-
  dependente (ausente em estreptococos,
  enterococos e anaeróbios);
• São nefrotóxicos e ototóxicos.
                                      55
MACROLÍDEOS

• Eritromicina               CH3

• Azitromicina        O
                    H3 C           OH
• Claritromicina   HO               CH3
                                     O    OH     N(CH3)

                   HO                     O      CH3
                   H3 C             CH3
                     H5 C2
                         O         CHO
                                     3
                                                 OCH3
                             O            O       OH
                                               CH3

                                                       56
MACROLÍDEOS
• Macrolídeos recentes inibem
  Mycobacterium, protozoários (T. gondii,
  E. histolytica, P. falciparum),
  Campylobacter, Helicobacter, Borrelia,
  Neisseria & outros patógenos genitais;
• Boa atividade contra patógenos
  respiratórios e genito-urinários;
• Complicações no trato GI,
  principalmente; eritromicina.
                                      57
Inibem a síntese
 TETRACICLINAS                protéica
                              prevenindo o
 R1   R2   R3   R4
                      OH
                              amino-acil tRNA de
                              entrar no sítio
            OH       CONH2    aceptor do
 OH   O    OH O               ribossomo

Natural: clortetraciclina,   Semi-sintéticas:
oxitetraciclina e            doxiciclina, minociclina
tetraciclina
                                                   58
TETRACICLINAS

• Ativas contra Gram (+), Gram (-),
  Chlamydia, Rickettsia, Coxiella,
  espiroquetas, algumas micobactérias,
  E histolytica & plasmódios;
• Efeitos na dentição (quelante de
  Ca+2);
• É comum intolerância no trato GI.
                                      59
CLORANFENICOL
• Núcleo Nitrobenzeno – Bloqueia a
  peptidil transferase, bloqueando assim a
  ligação peptídica
• Bacteriostáticos contra Gram (+),
  muitos Gram (-) (exceto P. aeruginosa),
  leptospiras, T. pallidum, clamídias,
  micoplasmas, rickétsias e vários
  anaeróbios
• Agente de segunda escolha devidos
  aos efeitos na medula                  60
Ácido Fusídico

• Ativo contra a maioria dos cocos
  Gram (+) e Gram (-), incluindo os
  MRSA
• Tem atividade contra micobacterias,
  G. lamblia e P. falciparum
• Utilizado em algumas infecções
  estafilocócicas e topicamente
                                     61
AÇÃO NO ÁCIDO NUCLÉICO




                         62
Atividade em Ácidos Nucleicos

• Inibição da síntese de precursores:
    Sulfonamidas e Trimetoprima

• Inibição da replicação de DNA:
 Quinolonas

• Inibição da RNA polimerase:
 Rifampicina
                                   63
Inibição da Síntese de Precursores

• Trimetoprima - inibe a síntese do
 folato necessário para a síntese das
 purinas e pirimidinas por inibição
 enzimática

• Sulfonamidas - também inibe o folato,
 só que em etapa distinta

                                        64
Inibição da Síntese de Precursores
síntese do ácido tetrahidrofólico
  Ácido p-amino benzóico
    (PABA) + pteridina

                                               NH2       NH2
     Di-hidropteroato
         sintetase

           X                                  SO2NH      COOH
  Ácido di-hidropteróico
                                          Sulfonamidas   PABA

                    Inibição por analogia estrutural
                                                               65
Síntese do Ácido Tetrahidrofólico
(Cont.)
      Ácido di-hidropteróico




         Di-hidrofolato
            sintetase          L-glutamina




       Ácido Di-hidrofólico



                                             66
Síntese do Ácido Tetrahidrofólico
(Cont.)

   Ácido di-hidrofólico               NH2
                                  N            OCH3

                           H2 N       N       OCH3
                                            OCH3
     Di-hidrofolato           Trimetoprima
        redutase

           X                      OH
                                                      O
                                                      C glu
                              N             CH2NH

          Ácido            H2 N N N
 tetrahidrofólico (THFA)          Ácido Fólico
                                                          67
Síntese do Ácido Tetrahidrofólico
(Cont.)

    Ácido tetrahidrofólico
           (THFA)



   Pirimidinas   Purinas
                                    68
Inibidores da Replicação do DNA

• Quinolonas (ác. nalidixico,
 ciprofloxacina, norfloxacina, etc)
 - agentes que afetam a DNA girase

• DNA girase é necessária para o
 espiralamneto do DNA

                                   69
Outros Agentes que Afetam Ác.
 Nucléicos

• Rifamicinas (rifampicina) -
  inibidores específicos da RNA
  polimerase DNA-dependente
  (bloqueia a formação de mRNA).
• Nitroimidazóis (metronidazol) -
  Quando reduzidos, reagem com o
  DNA, oxidando-o e causando ruptura
  da molécula.                    70
Lesão à Membrana Citoplasmática

• Polimixina B: representante dos
  antibióticos polipeptídicos; Efetivo
  contra Gram (-). Tem atividade
  contra P. aeruginosa;
• Anfotericinas
• Ionóforos
                                     71
72
73
ANTIVIRAIS
Condições para o Emprego
de Antivirals
  •   HIV
  •   Hepatites B e C
  •   Herpes virus: HSV, VZV, CMV
  •   Influenza
  •   RSV
  •   Febre Lassa
                                     74
Antivirais contra HIV


• Abacavir      •Inibidores de
• Didanosine    Protease
• Lamivudine    •Indinavir
                •Nelfinavir
• Stavudine
                •Ritonavir
• Zalcitabine   •Saquinavir
• Zidovudine
                             75
Antivirais contra vírus
respiratórios
                    RSV
Influenza           Ribavirin
Amantadine
Rimantadine
Zanamivir       Parainfluenza
Oseltamivir     ?Ribavirin

                                76
Medicamentos Antimicoticos
               • Daktacorte;

               • Nistatina;

               • Miconazol;

               • Griseofluvina;
                                  77
Daktacorte:
• Indicações: infecções da pele,
  causadas por dermatofitos ou
  leveduras.
• RAM: irritação cutânea que
  desaparece logo após a interrupção
  do tratamento.

                                   78
• NISTATINA
• Indicação: candidiase oral e
  vulvovaginal.
• RAM: diarréia, vomito, náuseas,
  gosto amargo na boca.


• MICONASOL:
• Indicação: Ptiriase e Eritasma.
• RAM: ardor e prurido local.       79
•GRISEOFLUVINA:

• Indicação: para tratar infecções da
 pele, couro cabeludo e das unhas.
RAM: alergia com lesões da pele,
 enjôo, vômitos, diarréia, dores de
 cabeça, alterações das células
 sanguíneas.
                                   80
ANTIPROTOZOÁRIOS

Os principais protozoários que
produzem doenças em seres
humanos são aqueles que causam
Malária, Amebíase, Leishaniose,
Tripanossomíase e Tricomoníase.

                                  81
FÁRMACOS ANTIMALÁRICOS
Cloridrato de cloroquina, fosfato de cloroquina e
sulfato de hidroxicloroquina (derivados da 4-
aminoquinolina).
   Cloridrato de mefloquina.
   Fosfato de primaquina (derivado da 8-aminoquinolona
   Gliconato de quinidina e sulfato de quinina.

    A cloroquina e a hidroxicloroquina, tem a
    capacidade de interromper a síntese se
    proteína no parasita.
                                                     82
A HIDROXICLOROQUINA: constitui uma
alternativa quando não se dispõe de
cloroquina. Para tratar malaria causada por
cepas de P. falciparum resistentes à
cloroquina a múltiplos fármacos, a quinina
constituem o fármacos de escolha e é
administrada com agentes anti-maláricos de
ação mais lenta.
A PRIMAQUINA: é o fármaco de escolha em
combinação com a cloroquina no tratamento
da malária por P. malária, P. vivax e P. ovale.
                                          83
A MEFLOQUINA: é utilizada para
tratar malária causada por P.
falciparum e também na profilaxia de
infecções pelo parasita da malária,
incluindo cepas de P. falciparum
resistentes a cloroquina.
A QUINIDINA: deve ser administrada
por via parenteral no tratamento de
malária em pacientes que não podem
tolerar a terapia oral.         84
ATOVAQUONA: Inibe o transporte de
elétrons, causando redução da atividade de
várias enzimas das mitocôndrias. Por sua
vez, esse efeito inibe a síntese de ácido
nucléico e do trifosfato de adenosina.




                                     85
FURAZOLIDONA: Pode matar as
bactérias e protozoários ao interferir em
seus sistemas enzimáticos e ao inibir a
monoamina oxidase.
IODOQUINOL: É um amebicida de
contato, que atua diretamente sobre os
protozoários presentes no TGI.


                                    86
MERTONIDAZOL: Destrói as bactérias, as
amebas e o trichomonas ao romper o DNA
e ao inibir a síntese de ácidos nucléicos,
causando finalmente a morte celular.

PENTAMIDINA: Interferem na síntese de
DNA, RNA, fosfolipídio e proteínas pelos
microrganismos.



                                      87
ANTI-
 HELMINTICOS:


Os fármacos anti-helmínticos atuam
por narcose ou paralisia do verme, ou
lesando a sua cutícula, acarretando na
digestão parcial ou rejeição do verme
por mecanismos imunológicos.
                                   88
BENZIMIDAZÓIS: Incluem
mebendazol, tiabendazol e albendazol.
Representam agentes de largo espectro e
constituem um dos principais grupos de
anti-helmínticos utilizados na clínica. O
mebendazol é rapidamente absorvido por
via oral. O tiabendazol é rapiudamente
absorvido pelo trato gastrintestinal.


                                      89
PIPERAZINA: é utilizada para tratar
as infecções causadas por nematóides
(Ascaris lumbricoides e Enterobius
Vermicularis).
Inibe a transmissão neuromuscular no
verme de forma reversível,
provavelmente ao atuar como GABA, o
neurotransmissor inibidor. Os vermes
são expelidos ainda vivos.
                                   90
OXAMNIQUINA: é utilizada no
tratamento da esquistossomose; seu
mecanismo de ação pode envolver a
intercalação no DNA, enquanto a sua
ação a capacidade do parasita em
concertar substancias.




                                91

Antimicrobianos

  • 1.
  • 2.
    ANTIMICROBIANOS • Substâncias químicasque inibem o crescimento ou provocam a destruição dos microorganismos. • Produzidos através de microorganismos como bactérias, fungos, e outros, ou sintetizados total ou parcialmente. • Uma das drogas mais utilizadas na terapêutica 2
  • 3.
    • Segundo WAKSMAN(1942), os ANTIBIÓTICOS são substâncias produzidos originalmente pelo fungos e bactérias, tendo como propriedade comum a atividade bactericida ou bacteriostática em condições propícias, em germes sensíveis. São drogas utilizadas no tratamento de doenças infecciosas, assim como os quimioterápicos. 3
  • 4.
    ANTIBIÓTICOS: • Fungos: griseofulvina,penicilina • bactérias: polimixina B, bacitracina • Streptomices: estreptomicina • Microspora: gentamicina: Atividade bactericida =inativação de todos microrganismos Bacteriostática =controle do crescimento bacteriano 4
  • 5.
    HISTÓRICO • Os primeirosconhecimentos acerca dos antibióticos devem-se a Pasteur e Jouber, em 1877. • FLEMING (1928) contribuiu valorosamente com o primeiro componente através da contaminação acidental de uma colônia de estafilococos que foi lisada pelo Penicilium notatum. 5
  • 6.
    HISTÓRICO • A eramoderna da quimioterapia antimicrobiana inicia-se em 1936 com a introdução, na clínica, das sulfonamidas. • Em 1941, a introdução da PENICILINA tornou-se um marco histórico na Medicina por revolucionar os princípios terapêuticos até então usados nas doenças infecciosas. 6
  • 7.
    • Em 1941FLOREY, CHAIM et cols. iniciaram a utilização experimental desta substância no tratamento de processos infecciosos em seres humanos. Atualmente a maioria dos antibióticos são produzidos sinteticamente , 7
  • 8.
    • PASTEUR (1877)observou que algumas colônias eram capazes de produzir substâncias antagônicas a outros microorganismos. 8
  • 9.
    • Dentre osagentes antimicrobianos (desinfetantes, compostos fenílicos, iodados e outros) utilizados nos primórdios da humanidade, muitos apresentavam elevada toxidade relativa ao paciente, isto foi o que motivou os pesquisadores a desenvolverem drogas com propriedades mais seletivas e de menor toxidade ao paciente. 9
  • 10.
    • 1877 -Joubert e Pasteur (inibição crescimento antrhax) • 1928 - Fleming: Descoberta penicilina • 1936: Uso sulfonilamidas • 1940: Florey, Chain e Abraahm isolamento da penicilina. • 1941: Uso clínico penicilina 10
  • 11.
    Classificação - Microrganismos 1)Antibacterianos (Antibióticos e quimioterápicos) 2) Antifúngicos 3) Antivirais 4) Antiparasitários 5) Antiprotozoários. 11
  • 12.
    Classificação ATB p/ Efeito •BACTERICIDAS: Agem matando os microorganismos • BACTERIOSTÁTICOS: Agem inibindo o crescimento dos microorganismos. 12
  • 13.
    ESPECTRO DE AÇÃO •A) Antibiótico de Pequeno espectro – Atuam sobre um grupo limitado de microrganismos; Ex. isoniazida – é ativa somente contra micobactérias. 13
  • 14.
    • B) EspectroAmpliado – Antibióticos eficazes contra microrganismo Gram-positivos e que também atuam contra um número significativo de bactérias Gram-negativas. Ex. ampicilina 14
  • 15.
    • C) AmploEspectro – Atingem ampla variedade de espécies microbianas; Ex. tetraciclina e clorafenicol. A administração de antibióticos de amplo espectro pode alterar drasticamente a natureza flora bacteriana normal e originar superinfecção de um microrganismo 15
  • 16.
  • 17.
    MECANISMOS DE AÇÃO •Inibição da síntese da parede bacteriana • Inibição da síntese protéica • Ação nos ácidos nucléicos • Inibição da função da membrana citoplasmática 17
  • 18.
  • 19.
    INIBIDORES DA PAREDECELULAR 1. Beta-lactâmicos (penicilinas, cefalosporinas, carbapenemas, monobactâmicos) 2. Glicopeptideos (vancomicina, teicoplanina) 3. Bacitracina 4. Cicloserina 19
  • 20.
    BETALACTÂMICOS • ANEL BETALACTÂMICO: Afinidade por proteínas da parede celular bacteriana, levando a destruição da mesma, por inibição da produção de mucopeptídeos, levando a morte celular por ruptura do equilíbrio osmótico do microorganismo. 20
  • 21.
    R CO NH S N O COOH BETALACTÂMICOS 21
  • 22.
    ANTIBIÓTICOS BETA-LACTÂMICOS • PENICILINAS •CEFALOSPORINAS • CARBAPENÊMICOS • MONOBACTÂMICOS • INIBIDORES BETALACTAMASES 22
  • 23.
    Inibidores da Sínteseda Parede NAG Citoplasma síntese de NAM precursores da parede UDP L- alanina Ácido D-glutamico L- lisina D- ala D- ala Cicloserina 23
  • 24.
    Cicloserina • inibe asreacões envolvidas • na incorporação de D-ala-D-ala • na cadeia tripeptídica de NAM 24
  • 25.
    Inibidores da Sínteseda Parede Membrana citoplasmática NAG NAM P P C55 lipídeo síntese de novas subunidades Bacitracina ligadas ao lípídeo L- lisina Previne a desfosforilação transportador do fosfolipídeo transportador, impedindo a regeneração do mesmo para a síntese continuar Glicopeptídeos Ligam-se a resíduos de D-ala-D-ala, prevenindo a incorporação de subunidades de peptidoglicano crescente 25
  • 26.
    NAG NAM P P C55 lipídeo Glicopeptídeos L- lisina • Ligam-se a resíduos de D-ala- D-ala, prevenindo a incorporação de subunidades de peptidoglicano crescente - Vancomicina - Teicoplanina 26
  • 27.
    NAG NAM P P C55 lipídeo Bacitracina L- lisina • Previne a desfosforilação do fosfolipídeo transportador, impedindo a regeneração do mesmo para a síntese continuar 27
  • 28.
    Atividade dos Glicopeptídeos •Moléculas polares grandes; • São ativos contra MRSA; • Vancomicina oral é utilizada para Clostridium difficile; •E.coli e Pseudomonas = RESISTENTES •Staphylococcus, Streptococcus e Enterococcus = SENSÍVEL • Vancomicina é nefrotóxica (teicoplanina é menos). 28
  • 29.
    Inibidores da Sínteseda Parede NAG Beta-lactâmicos inibem as enzimas que NAM catalisam a transpeptidação e outras reações da etapa final NAG da síntese da parede ligação de novas NAM D- ala unidades de parede ao peptidoglicano crescente 29
  • 30.
    Antibióticos Beta-lactâmicos • Todosagem por ligação em PBPs (penicillin-binding proteins) • PBPs são enzimas envolvidas na ligação das cadeias peptídicas da parede 30
  • 31.
    Antibióticos Beta-lactâmicos • Bactériasdiferentes podem ter PBPs distintas • O espectro de atividade dependerá da capacidade de ligação do antibiótico à PBP do microrganismo 31
  • 32.
    PENICILINAS • BENZILPENICILINAS • FENOXIMETILPENICILINA •AMPICILINA / AMOXICILINA • OXACILINA / CLOXACILINA / DICLOXACILINA • CARBENICILINA E TICARCILINA • AZLOCILINA / MEZLOCILINA / PIPERACILINA 32
  • 33.
  • 34.
    PENICILINAS • NATURAIS: BENZILPENICILINAS (Uso injetável) Penicilina G Cristalina Penicilina G Procaína Penicilina G Benzatina FENOXIMETILPENICILINA (Uso Oral) 34
  • 35.
    PENICILINAS Espectro de Ação • PEQUENO. • Cocos GRAM + (Streptococos e pneumococos) • Cocos GRAM – (Neisseria meningitides) • Bacilos GRAM + • Anaeróbios • Treponema Pallidum 35
  • 36.
    OXACILINA • Penicilina Penicilinase-resistente •Ação contra Estafilococos (s. aureus) produtor de penicilinases • Uso Hospitalar • Staphylococcus Epidermidis - resistente em 40 a 60% casos. • Nome Comercial: Staficilin-N (500 mg) • Intervalos: 4/4 a 6/6 hs 36
  • 37.
    CARBENICILINA/TICARCILIN A/ PIPERACILINA PENICILINAS ANTIPSEUDOMONAS 37
  • 38.
    CEFALOSPORINAS • Como todosos antibióticos beta-lactam (e.g. penicilinas), as cefalosporinas interferem na sintese da parede celular de peptidoglicano via inibição de enzimas envolvidas no processo de transpeptidação • Há resistência em algumas estirpes devido a disseminação de plasmídeos que codificam o gene da proteína beta- lactamase, que destrói o antibiótico antes que possa ter efeitos. 38
  • 39.
    CEFALOSPORINAS • Foram isoladasde culturas de Cephalosporium acremonium de um esgoto na ilha italiana de Sardenha em 1948 pelo italiano Giuseppe Brotzu. Ele reparou que em cultura inibiam a Salmonella typhi • A farmacêutica Eli Lilly lançou as primeiras cefalosporinas na década de 1960. 39
  • 40.
    1ª Geração 2ª Geração • Cefamandol • Cefazolina • Cefuroxima • Cefalotina • Cefonicide • Cefapirina • Ceforanide • Cefaclor • Cefalexina • Cefprozil • Cefradina • Loracarbefe • Cefadroxil • Cefpodoxime • Cefotetam 40
  • 41.
    Espectro Cefalosporinas de1a Geração • Cocos aeróbios Gram (+) (exceto enterococo) • Estafilococo produtor de penicilinase, mas não sobre os oxacilina- resistentes. • Sensíveis: E.coli, P. mirabilis, Klebsiella pneumoniae. • Resistentes: P.aeruginosa e Haemophylus influenzae. 41
  • 42.
    Cefalosporinas de 2aGeração Cefoxitina (Mefoxin), Cefaclor (ceclor), Cefuroxima (Zinacef) • Menos ativas que as de 1a geração contra cocos Gram (+); Maior atividade contra bacilos Gram (-). • Induz betalactamases, perdeu atividade contra Bacteroides fragilis • Profilaxia cirurgias colorretais. 42
  • 43.
    3ª Geração • Ceftriaxona 4ª Geração • Cefotaxima • Ceftizoxima • Cefipima • Ceftazidima • Cefoperazona • Cefpiroma • Ceftibuteno • Cefixima • Cefatamet 43
  • 44.
    Cefalosporinas de 3Geração a Cefotaxima (Claforan), Ceftriaxona (Rocefin), Ceftazidima(Fortaz) • Maior eficácia sobre bacilos Gram - como Enterobacteriaceas • Utilizados em infecções graves. • Alto Custo. • Ceftriaxona e Cefotaxima utilizadas p/ tratamento de meningites 44
  • 45.
    Cefalosporinas de 4Geração a • Mesma actividade contra Gram- negativas, mas com maior potencia para Gram-positivas do que os de terceira geração. Mais resistentes à degradação por beta-lactamase (mais eficazes contra estirpes parcialmente resistentes). • Maior atividade contra Pseudomonas e enterobacteriáceas. 45
  • 46.
    MONOBACTÂMICOS AZTREONAM (Azactam) • Germesaeróbios Gram (-): enterobacteriáceas, H.influenzae, Neisseria Gonorrhoeae. • Não tem ação sobre Gram (+) e anaeróbios. Alternativa em tratamento de infecções graves hospitalares por germes Gram (-). 46
  • 47.
    CARBAPENÊMICOS IMIPENEM (Tienan) eMEROPENEM (Meronen) • ATBs de maior espectro antibacteriano que existem. • Opções excepcionais em infecções mistas por germes multirresistentes (restrito a uso em CTI de grandes hospitais) 47
  • 48.
    RESISTÊNCIA AOS BETALACTÂMICOS  MODIFICAÇÃO DE PROTEÍNAS  IMPERMEABILIDADE CELULAR  PRODUÇÃO DE BETALACTAMASES 48
  • 49.
    Inibidores de Beta-lactamases •Ácido clavulânico: usado com amoxicilina ou c/ ticarcilina • Sulbactam: usado com ampicilina • Tazobactam: usado com piperacilina 49
  • 50.
    Inibidores de betalactamases •Amoxicilina/clavulanato e Ampicilina/sulbactam: • Usado em otites, sinusites e DBPOC infectado com maior atividade contra Haemophilus influenzae. • Primeira escolha em mordidas humanas e de animais. • Estafilococos sensíveis a meticilina. 50
  • 51.
    Inibidores da SínteseProtéica • As subunidades ribossômicas envolvidas na tradução em procariotos são menores (30S & 50S) do que em eucariotos (40S & 60S) 51
  • 52.
  • 53.
    Inibidores da SínteseProtéica • Aminoglicosídeos: amicacina, canamicina, espectinomicina, estreptomicina, gentamicina, neomicina, netilmicina, tobramicina • Tetraciclinas: tetraciclina, clortetraciclina, oxitetraciclina, doxiciclina, minociclina 53
  • 54.
    Inibidores da SínteseProtéica • Macrolídeos: eritromicina, azitromicina, claritromicina, roxitromicina • Cloranfenicol • Ácido fusídico 54
  • 55.
    AMINOGLICOSÍDEOS • Principal alternativano tratamento da sepse grave; • Não são absorvidos pela via oral; • Entrada na bactéria está relacionado a um mecanismo de transporte oxigênio- dependente (ausente em estreptococos, enterococos e anaeróbios); • São nefrotóxicos e ototóxicos. 55
  • 56.
    MACROLÍDEOS • Eritromicina CH3 • Azitromicina O H3 C OH • Claritromicina HO CH3 O OH N(CH3) HO O CH3 H3 C CH3 H5 C2 O CHO 3 OCH3 O O OH CH3 56
  • 57.
    MACROLÍDEOS • Macrolídeos recentesinibem Mycobacterium, protozoários (T. gondii, E. histolytica, P. falciparum), Campylobacter, Helicobacter, Borrelia, Neisseria & outros patógenos genitais; • Boa atividade contra patógenos respiratórios e genito-urinários; • Complicações no trato GI, principalmente; eritromicina. 57
  • 58.
    Inibem a síntese TETRACICLINAS protéica prevenindo o R1 R2 R3 R4 OH amino-acil tRNA de entrar no sítio OH CONH2 aceptor do OH O OH O ribossomo Natural: clortetraciclina, Semi-sintéticas: oxitetraciclina e doxiciclina, minociclina tetraciclina 58
  • 59.
    TETRACICLINAS • Ativas contraGram (+), Gram (-), Chlamydia, Rickettsia, Coxiella, espiroquetas, algumas micobactérias, E histolytica & plasmódios; • Efeitos na dentição (quelante de Ca+2); • É comum intolerância no trato GI. 59
  • 60.
    CLORANFENICOL • Núcleo Nitrobenzeno– Bloqueia a peptidil transferase, bloqueando assim a ligação peptídica • Bacteriostáticos contra Gram (+), muitos Gram (-) (exceto P. aeruginosa), leptospiras, T. pallidum, clamídias, micoplasmas, rickétsias e vários anaeróbios • Agente de segunda escolha devidos aos efeitos na medula 60
  • 61.
    Ácido Fusídico • Ativocontra a maioria dos cocos Gram (+) e Gram (-), incluindo os MRSA • Tem atividade contra micobacterias, G. lamblia e P. falciparum • Utilizado em algumas infecções estafilocócicas e topicamente 61
  • 62.
    AÇÃO NO ÁCIDONUCLÉICO 62
  • 63.
    Atividade em ÁcidosNucleicos • Inibição da síntese de precursores: Sulfonamidas e Trimetoprima • Inibição da replicação de DNA: Quinolonas • Inibição da RNA polimerase: Rifampicina 63
  • 64.
    Inibição da Síntesede Precursores • Trimetoprima - inibe a síntese do folato necessário para a síntese das purinas e pirimidinas por inibição enzimática • Sulfonamidas - também inibe o folato, só que em etapa distinta 64
  • 65.
    Inibição da Síntesede Precursores síntese do ácido tetrahidrofólico Ácido p-amino benzóico (PABA) + pteridina NH2 NH2 Di-hidropteroato sintetase X SO2NH COOH Ácido di-hidropteróico Sulfonamidas PABA Inibição por analogia estrutural 65
  • 66.
    Síntese do ÁcidoTetrahidrofólico (Cont.) Ácido di-hidropteróico Di-hidrofolato sintetase L-glutamina Ácido Di-hidrofólico 66
  • 67.
    Síntese do ÁcidoTetrahidrofólico (Cont.) Ácido di-hidrofólico NH2 N OCH3 H2 N N OCH3 OCH3 Di-hidrofolato Trimetoprima redutase X OH O C glu N CH2NH Ácido H2 N N N tetrahidrofólico (THFA) Ácido Fólico 67
  • 68.
    Síntese do ÁcidoTetrahidrofólico (Cont.) Ácido tetrahidrofólico (THFA) Pirimidinas Purinas 68
  • 69.
    Inibidores da Replicaçãodo DNA • Quinolonas (ác. nalidixico, ciprofloxacina, norfloxacina, etc) - agentes que afetam a DNA girase • DNA girase é necessária para o espiralamneto do DNA 69
  • 70.
    Outros Agentes queAfetam Ác. Nucléicos • Rifamicinas (rifampicina) - inibidores específicos da RNA polimerase DNA-dependente (bloqueia a formação de mRNA). • Nitroimidazóis (metronidazol) - Quando reduzidos, reagem com o DNA, oxidando-o e causando ruptura da molécula. 70
  • 71.
    Lesão à MembranaCitoplasmática • Polimixina B: representante dos antibióticos polipeptídicos; Efetivo contra Gram (-). Tem atividade contra P. aeruginosa; • Anfotericinas • Ionóforos 71
  • 72.
  • 73.
  • 74.
    ANTIVIRAIS Condições para oEmprego de Antivirals • HIV • Hepatites B e C • Herpes virus: HSV, VZV, CMV • Influenza • RSV • Febre Lassa 74
  • 75.
    Antivirais contra HIV •Abacavir •Inibidores de • Didanosine Protease • Lamivudine •Indinavir •Nelfinavir • Stavudine •Ritonavir • Zalcitabine •Saquinavir • Zidovudine 75
  • 76.
    Antivirais contra vírus respiratórios RSV Influenza Ribavirin Amantadine Rimantadine Zanamivir Parainfluenza Oseltamivir ?Ribavirin 76
  • 77.
    Medicamentos Antimicoticos • Daktacorte; • Nistatina; • Miconazol; • Griseofluvina; 77
  • 78.
    Daktacorte: • Indicações: infecçõesda pele, causadas por dermatofitos ou leveduras. • RAM: irritação cutânea que desaparece logo após a interrupção do tratamento. 78
  • 79.
    • NISTATINA • Indicação:candidiase oral e vulvovaginal. • RAM: diarréia, vomito, náuseas, gosto amargo na boca. • MICONASOL: • Indicação: Ptiriase e Eritasma. • RAM: ardor e prurido local. 79
  • 80.
    •GRISEOFLUVINA: • Indicação: paratratar infecções da pele, couro cabeludo e das unhas. RAM: alergia com lesões da pele, enjôo, vômitos, diarréia, dores de cabeça, alterações das células sanguíneas. 80
  • 81.
    ANTIPROTOZOÁRIOS Os principais protozoáriosque produzem doenças em seres humanos são aqueles que causam Malária, Amebíase, Leishaniose, Tripanossomíase e Tricomoníase. 81
  • 82.
    FÁRMACOS ANTIMALÁRICOS Cloridrato decloroquina, fosfato de cloroquina e sulfato de hidroxicloroquina (derivados da 4- aminoquinolina).  Cloridrato de mefloquina.  Fosfato de primaquina (derivado da 8-aminoquinolona  Gliconato de quinidina e sulfato de quinina. A cloroquina e a hidroxicloroquina, tem a capacidade de interromper a síntese se proteína no parasita. 82
  • 83.
    A HIDROXICLOROQUINA: constituiuma alternativa quando não se dispõe de cloroquina. Para tratar malaria causada por cepas de P. falciparum resistentes à cloroquina a múltiplos fármacos, a quinina constituem o fármacos de escolha e é administrada com agentes anti-maláricos de ação mais lenta. A PRIMAQUINA: é o fármaco de escolha em combinação com a cloroquina no tratamento da malária por P. malária, P. vivax e P. ovale. 83
  • 84.
    A MEFLOQUINA: éutilizada para tratar malária causada por P. falciparum e também na profilaxia de infecções pelo parasita da malária, incluindo cepas de P. falciparum resistentes a cloroquina. A QUINIDINA: deve ser administrada por via parenteral no tratamento de malária em pacientes que não podem tolerar a terapia oral. 84
  • 85.
    ATOVAQUONA: Inibe otransporte de elétrons, causando redução da atividade de várias enzimas das mitocôndrias. Por sua vez, esse efeito inibe a síntese de ácido nucléico e do trifosfato de adenosina. 85
  • 86.
    FURAZOLIDONA: Pode mataras bactérias e protozoários ao interferir em seus sistemas enzimáticos e ao inibir a monoamina oxidase. IODOQUINOL: É um amebicida de contato, que atua diretamente sobre os protozoários presentes no TGI. 86
  • 87.
    MERTONIDAZOL: Destrói asbactérias, as amebas e o trichomonas ao romper o DNA e ao inibir a síntese de ácidos nucléicos, causando finalmente a morte celular. PENTAMIDINA: Interferem na síntese de DNA, RNA, fosfolipídio e proteínas pelos microrganismos. 87
  • 88.
    ANTI- HELMINTICOS: Os fármacosanti-helmínticos atuam por narcose ou paralisia do verme, ou lesando a sua cutícula, acarretando na digestão parcial ou rejeição do verme por mecanismos imunológicos. 88
  • 89.
    BENZIMIDAZÓIS: Incluem mebendazol, tiabendazole albendazol. Representam agentes de largo espectro e constituem um dos principais grupos de anti-helmínticos utilizados na clínica. O mebendazol é rapidamente absorvido por via oral. O tiabendazol é rapiudamente absorvido pelo trato gastrintestinal. 89
  • 90.
    PIPERAZINA: é utilizadapara tratar as infecções causadas por nematóides (Ascaris lumbricoides e Enterobius Vermicularis). Inibe a transmissão neuromuscular no verme de forma reversível, provavelmente ao atuar como GABA, o neurotransmissor inibidor. Os vermes são expelidos ainda vivos. 90
  • 91.
    OXAMNIQUINA: é utilizadano tratamento da esquistossomose; seu mecanismo de ação pode envolver a intercalação no DNA, enquanto a sua ação a capacidade do parasita em concertar substancias. 91

Notas do Editor

  • #23 The beta-lactams include the penicillins, cephalosporins, carbapenems (e.g. imipenem) ,monobactams (aztreonam), and cephamycins that bind to and inhibit the enzyme, the penicillin binding protein, that catalyse the link between L-lysine and D-alanine.
  • #24 Peptidoglycan, a vital component of the cell wall, is unique to bacteria and therefore provides an optimum target for selective toxicity. Peptidoglycan (mucopeptide or murein), is a mixed polymer of hexose sugars, N-acetylglucosamine, and N-acetylmuramic acid, and amino acids. In Gram-positive oragnisms, the peptidoglycan forms a thick layer (20-80nm) external to the cell membrane. In Gram-negative species the peptidoglycan layer is thin (5-10nm). However, the peptidoglycan layer is overlain in Gram-negative organisms by an outer-membrane containing lipopolysaccharides & lipoprotein. Synthesis of peptidoglycan precursors begins in the cytoplasm. Cycloserine inhibits the reactions involved in incorporation of alanine into the cell wall precursor
  • #26 The wall subunits are transported across the cytoplasmic membrane in association with a lipid carrier. The drug bacitracin prevents dephosphorylation of the phospholip[id carrier which prevents the regeneration of the carrier, necessary for synthesis to occur. The glycopeptides (vancomycin and teicoplanin) bind to the terminal D-ala-D-ala residues and will therefore prevent the incorporation of the subunit into the growing peptidoglycan. Bacitracin – highly active against a number of Gram positive organisms ansd Neisseriae. Not absorbed by mouth. Is used topically and has been used orally for the suppression of gut flora, including Clostridium difficile.
  • #29 Vancomycin is a fermentation product of an actinomycete. It has a large complex structure and its antibacterial activity is largely restricted to Gram positive organisms. It is bactericidal against most, but against Enterococcus and some viridans streptococci it is bacteriostatic. Vancomycin is poorly absorbed from the GI tract. It doesn’t readily cross the blood brain barrier. It is excreted renally. Rapid IV administration can give rise to release of histamine from basophils and mast cells and gives rise to the ‘red-neck’ syndrome with pruritus, flushing, angio-oedema and, rarely cardiovascular collapse. It can cause nephrotoxicity and ototoxicity – drug levels need monitoring. Oral vancomycin is used to treat pseudomembranous colitis and staphylococcal enterocolitis. Teicoplanin doesn’t cause red neck syndrome; it has the advantage of less frequent dosing (once or twice daily versus qds) + less potential for oto- and nephrotoxicity.
  • #30 The beta-lactams comprise a large family of groups of compounds that all contain a beta-lactam ring. They include the penicillins, cephalosporins, carbapenems (e.g. imipenem) ,monobactams (aztreonam), and cephamycins that bind to and inhibit the enzyme, the penicillin binding protein, that catalyse the link between L-lysine and D-alanine. This group of antibiotics is shown in the next slide.
  • #50 The activity of penicillins may be enhanced by incorporating a beta-lactamase inhibitor, i.e., a substance that inhibits the enzyme which breaks down the beta-lactam ring.
  • #52 Although protein synthesis proceeds in essentially the same way in prokaryotes and eukaryotes, some differences can be exploited to achieve selective toxicity. The ribosomal units involved in mRNA translation in bacterial systems are smaller than in eukaryotes. A range of antibacterial agents act as inhibitors of protein synthesis, but knowledge of the mechanisms of action is incompletely understood.
  • #54 The aminoglycosides can be divided up into several different chemical groups. None are absorbed from the gut; they do not penetrate well into tissues and bone; and they do not cross the blood-brain barrier. The aminoglycosides are potentially nephrotoxic and ototoxic, and the ‘therapeutic window’, i.e., difference in concentation required for therapeutic activity and that which is toxic is small. Blood concentrations need monitoring regularly. Gentamicin - bactericidal
  • #57 The family of macrolides all share a large macrocyclic lactone ring, to which typically two sugars, one an amino sugar, are attached. The clinically important drugs are erythromycin, azithromycin and clarithromycin. They share overlapping binding sites on ribosomes with the lincosamides (clindamycin) and streptogramins (group currently under development), and resistance to macrolides confers resistance to the other two groups. The macrolides have a spectrum of activity against a number of respiratory pathogens, including the newly emergent Legionella spp. Eryhtromycin is therefore an important drug in the treatment of atypical pneumonia. In addition to Legionella, macrolides have activity against several other intracellular pathogens including Chlamydia and Rickettisia species. They are active against several another newly emergent pathogens – Campylobacter spp, Helicobacter pylori, and the spirochaete Borrelia burgdorferi (the agent causing Lyme disease). The activity against Chlamydia make them useful in the treatment of urogenital infections (the macrolides are active against Neisseria gonorrhoeae – the agent causing gonorrhoea). The newer agents also have a place in treating some Mycobacteria.
  • #58 The macrolides have a spectrum of activity against a number of respiratory pathogens, including the newly emergent Legionella spp. Eryhtromycin is therefore an important drug in the treatment of atypical pneumonia. In addition to Legionella, macrolides have activity against several other intracellular pathogens including Chlamydia and Rickettisia species. They are active against several another newly emergent pathogens – Campylobacter spp, Helicobacter pylori, and the spirochaete Borrelia burgdorferi (the agent causing Lyme disease). The activity against Chlamydia make them useful in the treatment of urogenital infections (the macrolides are active against Neisseria gonorrhoeae – the agent causing gonorrhoea). The newer agents also have a place in treating some Mycobacteria.
  • #59 The tetracyclines represent a family of large cyclic structures (four rings) derived from streptomyces species that have several sites for possible chemical substitutions. There are natural products and semi-synthetic derivatives. They Inhibit protein synthesis by preventing amino-acyl transfer RNA from entering the acceptor sites on the ribosome. This activity is not selective for prokaryotes, but uptake of tetracylines by bacterial cells is much greater than human cells. They are active against many common Gram (+)ve & (-)ve bacteria, chlamydiae, rickettsiae, coxiellae, spirochaetes, some mycobacteria, E histolytica , & plasmodia. Although active against a wide range of bacteria, their use is restricted by a wide range of resistance, due in part to the widespread use of these drugs in man and also to their use as growth promoters in animal feed. In man tetracyclines are used primarily in the treatment of infections due to mycoplasmas (lack cell wall), chlamydia, coxiellae, and rickettisiae (Gram-negative). Additional uses of tetracyclines include malaria, Lyme disease (Borrelia – spirochaete – stains with acridine orange), brucellosis (Gram-negative rods)
  • #60 They are active against many common Gram (+)ve & (-)ve bacteria, chlamydiae, rickettsiae, coxiellae, spirochaetes, some mycobacteria, E histolytica , & plasmodia. Although active against a wide range of bacteria, their use is restricted by a wide range of resistance, due in part to the widespread use of these drugs in man and also to their use as growth promoters in animal feed. In man tetracyclines are used primarily in the treatment of infections due to mycoplasmas (lack cell wall), chlamydia, coxiellae, and rickettisiae (Gram-negative). Additional uses of tetracyclines include malaria, Lyme disease (Borrelia – spirochaete – stains with acridine orange), brucellosis (Gram-negative rods)
  • #61 Chloramphenicol was isolated from streptomycetes and was the first broad-spectrum antibiotic to be discovered. It is a relatively simple molecule consisting of a nitrobenzene nucleus, which is responsible for some of its toxicity. The most important toxic effect of chloramphenicol is on the bone marrow. It can cause an idiosyncratic reaction causing aplastic anaemia which is not dose dependent and is irreversible, occurring at a rate of about 1 in 30 000 patients treated. It also causes a dose-dependant bone marrow suppression. Babies may be unable to conjugate (glucoronidation) chloramphenicol, and high plasma conxcentrations are associated with ‘gray baby syndrome’ with associated circulatory collapse. Metronidazole in combination with beta-lactam antibiotics is now preferred in the treatment of brain abscess. In the developing world chloramphenicol is still used for the treatment of typhoid fever. It is otherwise little used nowadays, reference being made to its use in cholera, plague, tularemia, bartonellosis, and meliodosis. Its bacteriostatic effect may inhibit the action of penicillins and other beta-lactam antibiotics against certain bacteria, eg, Klebsiella pneumoniae and other enterobacteria in vitro , but the clinical significance of this is uncertain
  • #62 Fusidic acid is one of a group of naturally occurring antibiotics (Fusidanes). It is active against most Gram (+)ves and Gram (-)ve cocci, including MRSA; has some activity against G. lamblia , P. falciparum and Mycobacteria. Mostly used for staphylococcal infections (osteomyelitis) and topically. Fusidic acid is well absorbed orally.
  • #66 Sulphonamides and trimethoprim both interfere in the synthesis of tetrahydrofolic acid by interacting with key enzymes in the pathway. The sulphonamides act at an early stage. Sulphonamides are structural analogues of and act in competition with para-amino benzoic acid. There are a large number of molecules in this group and they are produced entirely by chemical synthesis, ie, they are antibacterials, not antibiotics.
  • #68 Trimethoprim is one of a group of pyrimidine –like structures analagous in structure to the aminohydroxypyriomidine moiety of folic acid and in this way antagonizes the enzyme dihydrofolate reductase.
  • #70 Nalidixic acid is one of the earlier prototypes. The newer quinolones have a greater degree of activity against Gram-negative rods than nalidixic acid. Ciprofloxacin is also active against P. aeruginosa . In addition to the treatment of urinary tract infections, the newer quinolones are also useful for treating systemic Gram-negative infections. They also have activity against chlamydial and rickettsial infections and other intracellular oragnisms such as Legionella & S. typhi , and in combination with other drugs are used for treatment of atypical mycobacteria. They have activity against staphlylococci, but are less active against streptococci; enterococci are resistant.
  • #71 Rifamycins (eg rifampacin) specific inhibitors of bacterial DNA-dependent RNA polymerase. Rifampicin, for example, binds to RNA polymerase and thus blocks the synthesis of mRNA. Selective toxicity depends on its greater affinity for bacterial polymerases than equivalent human enzymes. Principal use of rifampicin and rifabutin is in the treatment of mycobacterial infection. Rifampicin – drug of choice for prophylaxis of meningococcal and Haemophilus meningitis Rifampicin is also useful in conjunction with other agents in treatment of severe staphylococcal infections – eg endocarditis. Also used to treat Legionella Metronidazole (a nitroimidazole) When reduced it can react with DNA, oxidizing it and causing strand breaks. Metronidazole is useful only against anaerobic bacteria, because only these can produce the low redox potential necessary to reduce the parent drug. Metronidazole is also useful in the treatment of E histolytica , G. lamblia , Balantidium coli , and Trichomonas vaginalis