Universidade do Estado da Bahia – UNEB
Pró-Reitoria de Ensino de Graduação - PROGRAD
Campus Universitário Professor Gedival Sousa Andrade
DCHT XXIV Xique-Xique
MONITOR- JOSÉ MARÇAL
ORIENTADOR- PROFESSOR Msc. ANDRÉ RICARDO
XIQUE-XIQUE/BA
2016
𝑥 =
−𝑏 ± 𝑏2 − 4𝑎𝑐
𝑎2 + 𝑏22𝑎
𝑥 =
−𝑏 ± 𝑏2 − 4𝑎𝑐
2𝑎
𝑥 =
−𝑏 ± 𝑏2 − 4𝑎𝑐
2𝑎
𝑥 =
−𝑏 ± 𝑏2 − 4𝑎𝑐
2𝑎
𝑥 =
−𝑏 ± 𝑏2 − 4𝑎𝑐
2𝑎
𝑎2 + 𝑏2
𝑎2 + 𝑏2
𝑎2 + 𝑏2
𝑎2 + 𝑏2 𝑎2 + 𝑏2
𝑎2 + 𝑏2
𝑎2 + 𝑏2𝑎2 + 𝑏2
𝑎2 + 𝑏2
𝑎2 + 𝑏2
𝑎2 + 𝑏2
𝑎2 + 𝑏2
𝑎2 + 𝑏2
𝑎2 + 𝑏2
𝑎2 + 𝑏2
𝑎2 + 𝑏2
𝑎2 + 𝑏2
𝑎2 + 𝑏2
𝑎2 + 𝑏2
𝑥 =
−𝑏 ± 𝑏2 − 4𝑎𝑐
𝑎2 + 𝑏22𝑎
𝑥 =
−𝑏 ± 𝑏2 − 4𝑎𝑐
2𝑎
𝑥 =
−𝑏 ± 𝑏2 − 4𝑎𝑐
2𝑎
𝑥 =
−𝑏 ± 𝑏2 − 4𝑎𝑐
2𝑎
𝑥 =
−𝑏 ± 𝑏2 − 4𝑎𝑐
2𝑎
𝑎2 + 𝑏2
𝑎2 + 𝑏2
𝑎2 + 𝑏2
𝑎2 + 𝑏2 𝑎2 + 𝑏2
𝑎2 + 𝑏2
𝑎2 + 𝑏2𝑎2 + 𝑏2
𝑎2 + 𝑏2
𝑎2 + 𝑏2
𝑎2 + 𝑏2
𝑎2 + 𝑏2
𝑎2 + 𝑏2
𝑎2 + 𝑏2
𝑎2 + 𝑏2
𝑎2 + 𝑏2
𝑎2 + 𝑏2
𝑎2 + 𝑏2
𝑎2 + 𝑏2
É de grande importância o conhecimento das propriedades das potenciações,
principalmente nas situações operatórias entre potências. As regras claras e
objetivas são válidas também nos casos envolvendo funções exponenciais, y =
ax , com a > 0 e a ≠ 1.
Observe as regras e as aplicações das propriedades:
1) am * an = am + n
Multiplicação de potências de mesma base: conserva a base e soma os
expoentes.
2) am : an = am – n
Divisão de potências de mesma base: conserva a base e subtrai os expoentes.
3) (am)n = am * n
Potência de potência, multiplicar os expoentes.
EXEMPLOS-
1) 42 * 43 = 42 + 3 = 45
2) 104 : 102 = 104 – 2 = 102
3) (63)2 = 63*2 = 66
𝑥 =
−𝑏 ± 𝑏2 − 4𝑎𝑐
𝑎2 + 𝑏22𝑎
𝑥 =
−𝑏 ± 𝑏2 − 4𝑎𝑐
2𝑎
𝑥 =
−𝑏 ± 𝑏2 − 4𝑎𝑐
2𝑎
𝑥 =
−𝑏 ± 𝑏2 − 4𝑎𝑐
2𝑎
𝑥 =
−𝑏 ± 𝑏2 − 4𝑎𝑐
2𝑎
𝑎2 + 𝑏2
𝑎2 + 𝑏2
𝑎2 + 𝑏2
𝑎2 + 𝑏2 𝑎2 + 𝑏2
𝑎2 + 𝑏2
𝑎2 + 𝑏2𝑎2 + 𝑏2
𝑎2 + 𝑏2
𝑎2 + 𝑏2
𝑎2 + 𝑏2
𝑎2 + 𝑏2
𝑎2 + 𝑏2
𝑎2 + 𝑏2
𝑎2 + 𝑏2
𝑎2 + 𝑏2
𝑎2 + 𝑏2
𝑎2 + 𝑏2
𝑎2 + 𝑏2
4)
Potência com expoente racional: o expoente do radicando se transforma
no numerador do expoente da base fora da raiz, e o índice da raiz passa
a ser o denominador.
5) a–n = 1/an, a ≠ 0
Potência com expoente negativo: inverso da base elevado ao expoente
positivo.
6) a0 = 1
Toda base diferente de zero elevado ao expoente zero é igual a 1.
EXEMPLOS-
4)
5)2–2 = (1/2)2 = 1/4
6) 10000 = 1
EXERCÍCIOS
1) 32 * 33 : 34 = 32 + 3 – 4 = 31
2) 2–2 : 26 = 2– 2 – 6 = 2–8 = (1/2)8 = 1/256
3) ((72)3)4 = 7 2*3*4 = 724
4) 3x = 81 → 3x = 34 → x = 4
5)
6)
7)
8) (UFRGS) O valor da expressão é:
(A) -4
(B) 1/9
(C) 1
(D) 5/4
(E) 9
Resposta certa letra "E".
9) Calcule:
a) (3/2)⁻² = (R: 4/9)
b) (1/2)⁻³ = (R: 8)
c) (2/3)⁻² = (R: 9/4)
d) (-1/4)⁻² = (R: 16)
e) (5/2)⁻³ = (R: 8/125)
f) (-1/2)⁻⁴ = (R: 16)
10)
11) Supondo que x ≠ 0 e y ≠ 0, simplifique a expressão (x-2)1 + (y2)-1 + 2(xy1)-1:
Utilizando a propriedade da potência de potência, temos:
x-2 + y-2 + 2 (xy)-1
Podemos rescrever a expressão da seguinte forma:
1 + 1 + 2
x2 y2 xy
Tirando o mínimo múltiplo comum dos denominadores, temos:
y2 + x2 + 2xy
x2y2
Utilizando a ideia do trinômio quadrado perfeito, podemos simplificar a
expressão para:
12) (UFMA) Qual é o valor numérico da expressão:
Primeiramente, vamos rescrever os números das bases como forma de potência,
procurando reduzi-los ao menor número primo possível. Começando pelo numerador,
temos:
35-1 = (7* 5)-1 = 7-1
* 5-1
40-1 = (2³ * 5)-1 = 2-3
* 5-1
10² = (2 * 5)² = 2² * 5²
5 = 5¹
100 = (2² * 5² ) = 2²* 5²
Realizando o mesmo processo no denominador:
2³ = 2³
14-1 = (2 * 7)-1 = 2-1
* 7-1
5 = 5¹
25 = 5²
Reescrevendo a expressão:
Utilizando a regra para quociente de potências de mesma base, podemos fazer:
7-1
* 53
* 21
* 2-2
* 71
* 5-3 = 7-1+1
* 53-3
* 21-2 = 2-1 = 1
2
Portanto, o valor da expressão numérica é ½ .
ADIÇÃO
Ao trabalhar com radicais, podemos aplicar todas as propriedades básicas
da álgebra: tanto a multiplicação e a divisão quanto a adição e a
subtração. Veremos agora como determinar a soma e a diferença de
raízes.
O primeiro e mais importante detalhe que deve ser observado é que só
podemos realizar a adição e a subtração de radicais que apresentam
índices e radicandos iguais. Dizemos que esses são radicais
semelhantes. Observe alguns exemplos de radicais semelhantes com os
quais podemos operar a adição e a subtração:
a)
EXEMPLOS-
Como dito acima, operaremos apenas os coeficientes: – 2 + 1 – 3 = – 4.
b)
Subtrairemos os coeficientes 3 e – ½ para determinar a diferença dos
radicais:
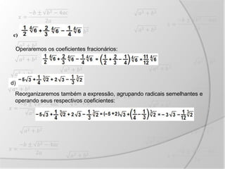
c)
Operaremos os coeficientes fracionários:
e)
Reorganizaremos também a expressão, agrupando radicais semelhantes e
operando seus respectivos coeficientes:
d)
Multiplicação e divisão de radicais
Ao realizar as operações de multiplicação e divisão de radicais, devemos
atentar em um detalhe importante: os índices das raízes são iguais ou
diferentes? Para cada um dos casos, agimos de forma diferenciada, como
poderemos ver a seguir:
1.Quando os índices são iguais
Você se lembra das 3ª e 4ª propriedades da radiciação? De acordo com
elas, para realizar o quociente ou a multiplicação de radicais que possuem
o mesmo índice, basta fazer a operação desejada entre os radicandos.
Vejamos a seguir como realizamos essas operações entre radicais com o
mesmo índice:
2.Quando os índices são diferentes
Para realizar uma multiplicação ou uma divisão entre raízes que apresentam índices
distintos, precisamos modificá-las para que todas tenham o mesmo índice. Para tanto,
podemos aplicar a 2ª propriedade da radiciação, que afirma que “a raiz não sofre
alteração se multiplicarmos ou dividirmos o índice do radical e o expoente do radicando
por um mesmo valor.”
Uma das alternativas mais práticas é encontrar o mínimo múltiplo comum entre os
índices, reescrevendo os radicais com o novo valor:
CALCULE-
1- 𝟔𝟒 2- 𝟕𝟐𝟗
𝟑
3- 𝟑𝟏𝟐𝟓
𝟒
4- 5-
R. 06. A
RACIONALIZAÇÃO
EXEMPLOS-
Praticando-
EXERCÍCIO
1- Racionalize as expressões-
• GUEDES, Franciely Jesus. "Racionalização de denominadores"; Brasil
Escola. Disponível em
<http://brasilescola.uol.com.br/matematica/racionalizacao-
denominadores.htm>. Acesso em 06 de outubro de 2016.
REFERENCIAS

POTENCIAÇÃO E RADICIAÇÃO

  • 1.
    Universidade do Estadoda Bahia – UNEB Pró-Reitoria de Ensino de Graduação - PROGRAD Campus Universitário Professor Gedival Sousa Andrade DCHT XXIV Xique-Xique MONITOR- JOSÉ MARÇAL ORIENTADOR- PROFESSOR Msc. ANDRÉ RICARDO XIQUE-XIQUE/BA 2016 𝑥 = −𝑏 ± 𝑏2 − 4𝑎𝑐 𝑎2 + 𝑏22𝑎 𝑥 = −𝑏 ± 𝑏2 − 4𝑎𝑐 2𝑎 𝑥 = −𝑏 ± 𝑏2 − 4𝑎𝑐 2𝑎 𝑥 = −𝑏 ± 𝑏2 − 4𝑎𝑐 2𝑎 𝑥 = −𝑏 ± 𝑏2 − 4𝑎𝑐 2𝑎 𝑎2 + 𝑏2 𝑎2 + 𝑏2 𝑎2 + 𝑏2 𝑎2 + 𝑏2 𝑎2 + 𝑏2 𝑎2 + 𝑏2 𝑎2 + 𝑏2𝑎2 + 𝑏2 𝑎2 + 𝑏2 𝑎2 + 𝑏2 𝑎2 + 𝑏2 𝑎2 + 𝑏2 𝑎2 + 𝑏2 𝑎2 + 𝑏2 𝑎2 + 𝑏2 𝑎2 + 𝑏2 𝑎2 + 𝑏2 𝑎2 + 𝑏2 𝑎2 + 𝑏2
  • 2.
    𝑥 = −𝑏 ±𝑏2 − 4𝑎𝑐 𝑎2 + 𝑏22𝑎 𝑥 = −𝑏 ± 𝑏2 − 4𝑎𝑐 2𝑎 𝑥 = −𝑏 ± 𝑏2 − 4𝑎𝑐 2𝑎 𝑥 = −𝑏 ± 𝑏2 − 4𝑎𝑐 2𝑎 𝑥 = −𝑏 ± 𝑏2 − 4𝑎𝑐 2𝑎 𝑎2 + 𝑏2 𝑎2 + 𝑏2 𝑎2 + 𝑏2 𝑎2 + 𝑏2 𝑎2 + 𝑏2 𝑎2 + 𝑏2 𝑎2 + 𝑏2𝑎2 + 𝑏2 𝑎2 + 𝑏2 𝑎2 + 𝑏2 𝑎2 + 𝑏2 𝑎2 + 𝑏2 𝑎2 + 𝑏2 𝑎2 + 𝑏2 𝑎2 + 𝑏2 𝑎2 + 𝑏2 𝑎2 + 𝑏2 𝑎2 + 𝑏2 𝑎2 + 𝑏2 É de grande importância o conhecimento das propriedades das potenciações, principalmente nas situações operatórias entre potências. As regras claras e objetivas são válidas também nos casos envolvendo funções exponenciais, y = ax , com a > 0 e a ≠ 1. Observe as regras e as aplicações das propriedades: 1) am * an = am + n Multiplicação de potências de mesma base: conserva a base e soma os expoentes. 2) am : an = am – n Divisão de potências de mesma base: conserva a base e subtrai os expoentes. 3) (am)n = am * n Potência de potência, multiplicar os expoentes. EXEMPLOS- 1) 42 * 43 = 42 + 3 = 45 2) 104 : 102 = 104 – 2 = 102 3) (63)2 = 63*2 = 66
  • 3.
    𝑥 = −𝑏 ±𝑏2 − 4𝑎𝑐 𝑎2 + 𝑏22𝑎 𝑥 = −𝑏 ± 𝑏2 − 4𝑎𝑐 2𝑎 𝑥 = −𝑏 ± 𝑏2 − 4𝑎𝑐 2𝑎 𝑥 = −𝑏 ± 𝑏2 − 4𝑎𝑐 2𝑎 𝑥 = −𝑏 ± 𝑏2 − 4𝑎𝑐 2𝑎 𝑎2 + 𝑏2 𝑎2 + 𝑏2 𝑎2 + 𝑏2 𝑎2 + 𝑏2 𝑎2 + 𝑏2 𝑎2 + 𝑏2 𝑎2 + 𝑏2𝑎2 + 𝑏2 𝑎2 + 𝑏2 𝑎2 + 𝑏2 𝑎2 + 𝑏2 𝑎2 + 𝑏2 𝑎2 + 𝑏2 𝑎2 + 𝑏2 𝑎2 + 𝑏2 𝑎2 + 𝑏2 𝑎2 + 𝑏2 𝑎2 + 𝑏2 𝑎2 + 𝑏2 4) Potência com expoente racional: o expoente do radicando se transforma no numerador do expoente da base fora da raiz, e o índice da raiz passa a ser o denominador. 5) a–n = 1/an, a ≠ 0 Potência com expoente negativo: inverso da base elevado ao expoente positivo. 6) a0 = 1 Toda base diferente de zero elevado ao expoente zero é igual a 1. EXEMPLOS- 4) 5)2–2 = (1/2)2 = 1/4 6) 10000 = 1
  • 4.
    EXERCÍCIOS 1) 32 *33 : 34 = 32 + 3 – 4 = 31 2) 2–2 : 26 = 2– 2 – 6 = 2–8 = (1/2)8 = 1/256 3) ((72)3)4 = 7 2*3*4 = 724 4) 3x = 81 → 3x = 34 → x = 4 5) 6)
  • 5.
  • 6.
    8) (UFRGS) Ovalor da expressão é: (A) -4 (B) 1/9 (C) 1 (D) 5/4 (E) 9 Resposta certa letra "E". 9) Calcule: a) (3/2)⁻² = (R: 4/9) b) (1/2)⁻³ = (R: 8) c) (2/3)⁻² = (R: 9/4) d) (-1/4)⁻² = (R: 16) e) (5/2)⁻³ = (R: 8/125) f) (-1/2)⁻⁴ = (R: 16)
  • 7.
  • 8.
    11) Supondo quex ≠ 0 e y ≠ 0, simplifique a expressão (x-2)1 + (y2)-1 + 2(xy1)-1: Utilizando a propriedade da potência de potência, temos: x-2 + y-2 + 2 (xy)-1 Podemos rescrever a expressão da seguinte forma: 1 + 1 + 2 x2 y2 xy Tirando o mínimo múltiplo comum dos denominadores, temos: y2 + x2 + 2xy x2y2 Utilizando a ideia do trinômio quadrado perfeito, podemos simplificar a expressão para:
  • 9.
    12) (UFMA) Qualé o valor numérico da expressão: Primeiramente, vamos rescrever os números das bases como forma de potência, procurando reduzi-los ao menor número primo possível. Começando pelo numerador, temos: 35-1 = (7* 5)-1 = 7-1 * 5-1 40-1 = (2³ * 5)-1 = 2-3 * 5-1 10² = (2 * 5)² = 2² * 5² 5 = 5¹ 100 = (2² * 5² ) = 2²* 5² Realizando o mesmo processo no denominador: 2³ = 2³ 14-1 = (2 * 7)-1 = 2-1 * 7-1 5 = 5¹ 25 = 5² Reescrevendo a expressão: Utilizando a regra para quociente de potências de mesma base, podemos fazer: 7-1 * 53 * 21 * 2-2 * 71 * 5-3 = 7-1+1 * 53-3 * 21-2 = 2-1 = 1 2 Portanto, o valor da expressão numérica é ½ .
  • 15.
    ADIÇÃO Ao trabalhar comradicais, podemos aplicar todas as propriedades básicas da álgebra: tanto a multiplicação e a divisão quanto a adição e a subtração. Veremos agora como determinar a soma e a diferença de raízes. O primeiro e mais importante detalhe que deve ser observado é que só podemos realizar a adição e a subtração de radicais que apresentam índices e radicandos iguais. Dizemos que esses são radicais semelhantes. Observe alguns exemplos de radicais semelhantes com os quais podemos operar a adição e a subtração:
  • 16.
    a) EXEMPLOS- Como dito acima,operaremos apenas os coeficientes: – 2 + 1 – 3 = – 4. b) Subtrairemos os coeficientes 3 e – ½ para determinar a diferença dos radicais:
  • 17.
    c) Operaremos os coeficientesfracionários: e) Reorganizaremos também a expressão, agrupando radicais semelhantes e operando seus respectivos coeficientes: d)
  • 18.
    Multiplicação e divisãode radicais Ao realizar as operações de multiplicação e divisão de radicais, devemos atentar em um detalhe importante: os índices das raízes são iguais ou diferentes? Para cada um dos casos, agimos de forma diferenciada, como poderemos ver a seguir: 1.Quando os índices são iguais Você se lembra das 3ª e 4ª propriedades da radiciação? De acordo com elas, para realizar o quociente ou a multiplicação de radicais que possuem o mesmo índice, basta fazer a operação desejada entre os radicandos. Vejamos a seguir como realizamos essas operações entre radicais com o mesmo índice:
  • 19.
    2.Quando os índicessão diferentes Para realizar uma multiplicação ou uma divisão entre raízes que apresentam índices distintos, precisamos modificá-las para que todas tenham o mesmo índice. Para tanto, podemos aplicar a 2ª propriedade da radiciação, que afirma que “a raiz não sofre alteração se multiplicarmos ou dividirmos o índice do radical e o expoente do radicando por um mesmo valor.” Uma das alternativas mais práticas é encontrar o mínimo múltiplo comum entre os índices, reescrevendo os radicais com o novo valor:
  • 20.
    CALCULE- 1- 𝟔𝟒 2-𝟕𝟐𝟗 𝟑 3- 𝟑𝟏𝟐𝟓 𝟒 4- 5-
  • 21.
  • 22.
  • 23.
  • 24.
  • 26.
  • 27.
    • GUEDES, FrancielyJesus. "Racionalização de denominadores"; Brasil Escola. Disponível em <http://brasilescola.uol.com.br/matematica/racionalizacao- denominadores.htm>. Acesso em 06 de outubro de 2016. REFERENCIAS