Arlindo Ugulino Netto – MEDICINA DE URG•NCIA – MEDICINA P8 – 2011.1
1
MED RESUMOS 2011
ARLINDO UGULINO NETTO
LUIZ GUSTAVO C. BARROS € YURI LEITE ELOY
MEDICINA – P8 – 2011.1
MEDICINA DE URG‚NCIA
REFER€NCIAS
1. Material baseado nas aulas ministradas pelos Professores Jorge Fonseca, Ciro Leite Mendes e F•bio Almeida na
FAMENE durante o per‚odo letivo de 2011.1.
2. CASTRO, A. L. C. Manual de medicina de desastres. Secret•ria Nacional de defesa civil. Bras‚lia: Ministƒrio da
Sa„de, 2002.
3. CAZARIM, J. L. B. Trauma Prƒ-hospitar e Hospitalar (Adulto e Crian„a). Rio de Janeiro: Editora MEDSI, 1997.
COIMBRA, R. M. Emerg…ncias Traum•ticas e n†o traum•ticas. S†o Paulo: Atheneu, 2001.
4. CECIL, Tratado de Medicina Interna/ editado por Lee Goodman (tradu‡†o de Ana Kemper et al), Rio de Janeiro.
Elsevier, 2005.
5. Advance Life Support Working Group of European. Resuscitation Council. Resuscitation, 1998; 37: 81-90.
American Heart Association in collaboration with ILCOR. Internacional Guidelines 2000. Resuscitation 2000, 46:
103-252.
6. BOTRANGER, K. L. Tratado de tƒcnica radiological b…sica anat†mica, 3ˆ ed. Rio de Janeiro: Guanaara Koogan,
1997.
7. GRENSPAN, A. Radiologia ortopƒdica, 2ˆ ed. Rio de Janeiro: Guanabara Koogan, 1996.
8. Monier, J. P. Manual de diagn‡stico radiol‡gico, 5ˆ ed. Rio de Janeiro: Med‚s, 1999.
9. GOLDMAN, L. & BENNETT, J. C. – Cecil tratado de medicina interna. 21ed. Rio de Janeiro, Guanabara Koogan,
2001. 2v.
10. Manual do ATLS - 2010
Arlindo Ugulino Netto – MEDICINA DE URG•NCIA – MEDICINA P8 – 2011.1
2
MED RESUMOS 2011
NETTO, Arlindo Ugulino.
MEDICINA DE URGÊNCIA E TERAPIA INTENSIVA
AVALIAÇÃO INICIAL AO POLITRAUMATIZADO
(Professor Fábio Almeida)
Segundo o Advanced Trauma Life Suport (ATLS
®
), o tratamento do paciente
traumatizado grave requer uma avaliação rápida das lesões e estabelecimento imediato
de um tratamento que salve a sua vida. Devido ao tempo, que é essencial, é
recomendável estabelecer uma abordagem sistemática, de fácil revisão e aplicação. A
este procedimento, denominamos de atendimento inicial, e inclui:
 Preparação
 Triagem
 Revisão primária (ABCDE)
 Reanimação
 Medidas auxiliares para revisão primária e reanimação
 Revisão secundária (revisão da cabeça aos pés e história)
A revisão primária e secundária devem ser realizadas de forma repetida e frequente, permitindo uma melhor
detecção de qualquer deterioração do estado do paciente e iniciar qualquer tratamento que seja necessário no momento
de detectar mudanças desfavoráveis.
Este capítulo, assim como faz o ATLS, se apresenta na forma de uma sequência progressiva longitudinal das
circunstâncias. Em uma situação clínica real, muitos destes parâmetros ocorrem de forma paralela ou simultânea. A
progressão linear ou longitudinal oferece ao médico a oportunidade de repassar mentalmente o desenvolvimento e
progressão da reanimação no trauma.
CONSIDERA‚ƒES INICIAIS
O ATLS, como o próprio termo já sugere, diz respeito ao Suporte Avançado de Vida no Trauma e, portanto, é um
programa de treinamento destinado apenas para médicos e paramédicos para o manejo de trauma físico agudo,
desenvolvido pelo Colégio Americano de Cirurgiões. Desta forma, o ATLS configura uma etapa exclusiva para a
formação médica, preparando este profissional de saúde a lidar, na sala de emergência (e, portanto, em ambiente
hospitalar), com uma vítima de trauma, que se torna um paciente em suas mãos.
A premissa do programa ATLS é identificar e tratar a maior ameaça à vida antes de mais nada. Ele defende que
a falta de um diagnóstico definitivo e de uma história detalhada não deve tornar mais lenta a aplicação do tratamento
indicado para a lesão que traz risco à vida, com as intervenções mais críticas em relação ao tempo sendo realizadas
mais precocemente. Entretanto, há evidências mistas que demonstram que o ATLS melhora o desfecho dos pacientes.
O curso do ATLS, independente da especialidade médica, treina o profissional por meio de aulas teórico-
práticas para garantir a ele a possibilidade de, na admissão de uma eventual vítima de trauma, diagnosticar fatores de
potencial risco de morte para o doente, estabilizá-lo e encaminhá-lo para um local onde será feito um tratamento
definitivo (que pode ser configurado pelo próprio hospital de admissão ou em outros centros hospitalares, esteja
localizado na mesma cidade ou de outras regiões).
O ATLS preconiza, portanto, um protocolo, na forma de uma maneira sistematizada e padronizada de atender a
vítima de trauma. Embora existam outros modos de atendimento, as estatísticas demonstram que o protocolo do ATLS
possibilita uma estabilidade mais ágil da vida e garante ao paciente uma maior chance de sobrevida.
OBJETIVOS
Portanto, podemos traçar os principais objetivos do ATLS, tais como:
 Realizar uma avaliação sistemática ao politraumatizado
 Identificar e, imediatamente, tratar afecções que possam interferir na sobrevida do paciente
 Definir prioridades
 Avaliar a capacidade da equipe e do hospital em resolver o problema do paciente (ver OBS
1
)
 Realizar um atendimento que não cause mais danos ao paciente, mas que o salve ou, pelo menos, o estabilize.
OBS
1
: A diferença entre um acidente com múltiplas vítimas de uma catástrofe, está na capacidade de resposta do
sistema de emergência que recebe as vítimas de ambas as situações. Caso a equipe de atendimento ao trauma não
esteja preparada e/ou o hospital não tenha o pleito necessário para tratar várias vítimas de um acidente, o ocorrido
passa a configurar um exemplo de catástrofe, ou tragédia. Caso contrário, uma vez que o sistema de atendimento ao
trauma for capaz de receber estas vítimas, configuramos um caso de acidente com múltiplas vítimas.
Arlindo Ugulino Netto – MEDICINA DE URG•NCIA – MEDICINA P8 – 2011.1
3
TRAUMA
Vimos, portanto, que o protocolo do ATLS sugere uma maior efici€ncia e agilidade durante o atendimento do
politraumatizado. A agilidade no tratamento inicial de uma v•tima de trauma ‚ necessƒria uma vez que os estudos
mostram que os 60 minutos do p„s-trauma s…o essenciais para uma melhor sobrevida do mesmo. Tanto que, este
per•odo de uma hora ‚ conhecido como Golden Hour (Hora de Ouro) pois, para algumas v•timas, tudo que puder ser
feito por ele deve ser feito ao longo deste intervalo de tempo. Dentro desse per•odo de ouro, existe ainda os chamados
10 minutos de Platina, que corresponde aos 10 primeiros minutos do p„s-trauma, durante os quais, preferencialmente,
todos os eventos de estabiliza†…o e transporte da v•tima devem ocorrer.
O transporte da v•tima deve ser realizado para um hospital que suporte este tipo de atendimento, onde deve
existir uma equipe preparada e devidamente treinada pelos par‡metros do ATLS.
Quanto ao trauma, devemos levantar algumas considera†ˆes conceituais e epidemiol„gicas:
 Toda causa externa que impˆe lesˆes ao indiv•duo deve ser considerada trauma: acidentes com ve•culos,
facadas, tiros, intoxica†ˆes, envenenamento, choque el‚trico, viol€ncia relacionada com qualquer sexo ou faixa
etƒria, acidentes com m‰ltiplas v•timas, acidentes com animais pe†onhentos, etc.
 O trauma consiste na primeira causa de „bitos na popula†…o jovem, e a segunda causa de „bitos na popula†…o
acima dos 50 anos.
 Segundo a OMS, o trauma corresponde a 10% das mortes no mundo. Em 2020, a OMS estima que as mortes no
tr‡nsito serƒ a terceira principal causa de morte.
TRAUMA TEAM WORK
O trauma team work, ou equipe de trauma, consiste em uma equipe treinada, formada por m‚dicos,
enfermeiros e t‚cnicos de enfermagem, em que cada um possui uma posi†…o e fun†…o pr‚-definidas dentro da
sistemƒtica que envolve o atendimento ao politraumatizado. O esquema de atendimento pr‚-definido e sugerido pelo
trauma team work ‚ compat•vel e pertinente com o que preconiza o ATLS, garantindo uma identifica†…o precoce do
problema segundo uma ordem de prioridade (vias a‚reas, respira†…o, circula†…o) e, eventualmente, o tratamento eficaz
do dist‰rbio.
PREPARA‚„O
A prepara†…o para a aten†…o do paciente politraumatizado se realiza em cenƒrios cl•nicos diferentes.
Primeiramente, temos a fase pré-hospitalar, em que todas as a†ˆes devem ser coordenadas com os m‚dicos que se
encontram no hospital que recebe o paciente. Em segundo lugar, durante a fase hospitalar, devem ser realizados
preparativos para facilitar a reanima†…o rƒpida do paciente traumatizado.
 Fase pré-hospitalar: uma coordena†…o adequada com o grupo de aten†…o pr‚-hospitalar pode fazer com que o tratamento
do paciente no s•tio do acidente seja mais rƒpido. O sistema pr‚-hospitalar deve estar organizado de forma que o hospital
sempre seja notificado durante o translado do paciente antes que este seja retirado do local do acidente. Esta etapa permite
que, no hospital, a equipe de trauma (Trauma Team Work) esteja devidamente preparada, de tal maneira que todo o pessoal
e os recursos hospitalares presentes no departamento de urg€ncia estejam dispon•veis, caso sejam necessƒrios no
momento da admiss…o do paciente. Durante esta fase pr‚-hospitalar, algumas medidas que priorizem a manuten†…o das
vias a‚reas, controle de hemorragias externas e choque, imobiliza†…o do paciente e translado imediato devem ser
enfatizadas.
 Fase hospitalar: ‚ fundamental planificar com antecipa†…o os requerimentos bƒsicos antes da chegada do paciente ao
hospital. De uma forma ideal, deve existir uma ƒrea espec•fica para aten†…o aos pacientes politraumatizados, uma equipe
adequada para manejo de via ƒreas (com laringosc„pios e tubos, por exemplo) e outra equipe portando solu†ˆes
intravenosas de cristal„ides (como o Ringer Lactato, por exemplo, muito utilizado nos casos de trauma). Š indispensƒvel
assegurar a presen†a imediata de pessoal de laborat„rios e de radiografias.
Em outras palavras, ‚ durante a fase de prepara†…o do atendimento ao politraumatizado quando devemos
analisar os seguintes questionamentos:
 Onde serão atendidos? – Condi†ˆes hospitalares locais, recursos locais e equipamentos de prote†…o.
 Quem irá atender? – Presen†a de uma equipe de trauma treinada.
 Quantos pacientes serão atendidos? – Acidente com m‰ltiplas v•timas x Catƒstrofes (ver OBS
1
).
 Quem será atendido primeiro? – Triagem.
TRIAGEM
A triagem consiste no m‚todo de sele†…o e classifica†…o de pacientes baseadas em suas necessidades
terap€uticas e nos recursos dispon•veis para sua aten†…o. O tratamento ocorre com base nas prioridades do ABC (A: via
a‚rea com controle da coluna cervical; B: respira†…o; e C: circula†…o, com controle de hemorragias), como serƒ
esbo†ado ao longo deste cap•tulo.
A triagem tamb‚m deve ser aplicada no local do acidente no intuito de selecionar adequadamente o hospital
para o qual os acidentados ser…o transladados. Š responsabilidade do pessoal do pr‚-hospitalar e do seu diretor m‚dico
Arlindo Ugulino Netto – MEDICINA DE URG•NCIA – MEDICINA P8 – 2011.1
4
que os pacientes, a depender do grau de suas lesões, serão transladados para hospitais especializados. É inadequado,
por exemplo, que a equipe pré-hospitalar leve um paciente politraumatizado para um hospital que não seja especializado
em trauma.
Geralmente, existem dois tipos de situações de triagem:
 Múltiplos lesionados: quando o número de pacientes e a gravidade de suas lesões não sobrepassam a
capacidade do hospital em proporcionar a atenção médica necessária, se atende primeiro os pacientes com
problemas que podem trazer perigo imediato a vida e os que apresentam lesões múltiplas (pacientes mais
graves).
 Acidentes massivos e desastres: quando o número de pacientes e a gravidade de suas lesões sobrepassam a
capacidade de recursos hospitalares e humanos, deve-se tratar primeiro os pacientes que apresentam maior
possibilidade de sobreviver (pacientes menos graves), que exigem menor gasto de tempo, equipe, material e
pessoal.
OBS
2
: No atendimento ambulatorial de uma sala de emergência, alguns hospitais de referência já adotam uma
classificação de cor pertinente ao grau de gravidade e de necessidade de tratamento que os pacientes admitidos se
enquadram. Tal classificação se baseia, em parte, com o método START (Simple Triage and Rapid Treatment). Desta
forma, temos:
 Pulseira vermelha: vítimas graves e críticas, que apresentam perigo de morte (ou seja, situação eminente de
morte). Ex: pacientes em choque; pneumotórax hipertensivo; grandes queimados; traumatismo cranioencefálico;
politraumatizados; etc.
 Pulseira amarela: são vítimas urgentes, mas que não apresentam perigo de morte. Ex: fratura do fêmur sem
associação com outro evento; tiro na mão; etc.
 Pulseira verde: pacientes admitidos para consulta médica ou outro atendimento sem que seja necessário um
atendimento urgente. Pode configurar ainda pacientes com suspeita de evento inflamatório agudo doloroso. Ex:
dor abdominal leve; enxaquecas; abdome agudo (apendicite, colecistite, aneurisma de aorta, etc.). Diante destas
situações, podemos concluir que, embora não tenham tanta prioridade de atendimento, pacientes classificados
com a cor verde devem ser tratados adequadamente, pois podem, facilmente, evoluir para uma classificação
amarela ou, até mesmo, vermelha.
 Pulseira azul: corresponde a última prioridade de atendimento e, geralmente, está relacionada com pacientes
admitidos para a realização de procedimentos como retirada de pontos, requisição de atestado médico, troca de
sondas, etc. Estes só serão atendidos se sobrar tempo.
OBS
3
: Após a realização da preparação e da triagem, o atendimento ao politraumatizado deve atender ao seguinte
algoritmo preconizado pelo ATLS:
Arlindo Ugulino Netto – MEDICINA DE URG•NCIA – MEDICINA P8 – 2011.1
5
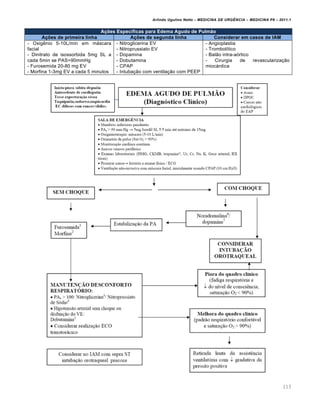
AVALIA‚„O INICIAL (REVIS„O PRIM…RIA)
A etapa de avalia†…o inicial, tamb‚m chamada de revis…o primƒria, leva em considera†…o as caracter•sticas das
lesˆes sofridas, os sinais vitais e os mecanismos da les…o dos pacientes para estabelecer as prioridades de tratamento.
No paciente traumatizado grave, as prioridades l„gicas de tratamento devem se estabelecer com base na evolu†…o
completa do paciente. O manejo do paciente deve consistir em uma revis…o primƒria rƒpida, reanima†…o e restaura†…o
das fun†ˆes vitais, seguida de uma revis…o secundƒria mais detalhada e completa (procurando por lesˆes n…o matam,
mas podem deixar sequelas ou deformidades), para chegar, finalmente, ao tratamento definitivo.
A revis…o primƒria busca, portanto, identificar o que “mata primeiro” (que ‚ a obstru†…o de vias a‚reas) e o que
“mais mata” (hipovolemia por choque hemorrƒgico). Desta forma, antes de mais nada, o primeiro passo a ser tomado ‚
tentar conversar com o paciente por pelo menos 10 segundos. Feito isso, devemos identificar sinais cr•ticos (como
obstru†…o das vias ƒreas superiores, dispn‚ia, choque e coma). Depois destes primeiros passos da avalia†…o inicial,
devemos iniciar o processo que constitui o chamado ABCDE da aten‚ƒo no trauma, que consiste em:
A. Vias a‚reas (Airway) e estabiliza†…o da coluna cervical. Consiste na permeabiliza†…o das vias a‚reas
(verificar, na cavidade oral, a presen†a de corpos estranhos, pr„tese dentƒria, sangue a ser aspirado, etc.) e, ao
mesmo tempo, prote†…o da coluna cervical, deixando-a em posi†…o neutra.
B. Respira†…o e ventila†…o (Breathing). Realizar, neste passo, uma breve inspe†…o da expansibilidade do t„rax,
al‚m de proceder com a percuss…o (para identificar um eventual pneumot„rax hipertensivo) e palpa†…o das
costelas, de maneira a contribuir com um diagn„stico precoce de causas amea†adoras Œ vida.
C. Circula†…o e controle das hemorragias (Circulation). Neste terceiro passo, avalia-se a pulsa†…o carot•dea, a
presen†a hemorragias vis•veis (contendo-as, se for o caso) e, se poss•vel, estabelecer um acesso venoso com
agulha de grosso calibre para reposi†…o vol€mica. Ao mesmo tempo, faz-se a coleta de amostra de sangue do
indiv•duo para rotina laboratorial e tipagem. Nesta etapa, faz-se o cateterismo vesical para avaliar a reposi†…o
vol€mica.
D. Avalia†…o neurol„gica (Desability). Consiste na avalia†…o do n•vel de consci€ncia (Escala de Coma de
Glasgow), simetria pupilar e presen†a de d‚ficits focais.
E. Exposi†…o e controle ambiental (Exposition). Nesta fase, devemos expor o paciente e realizar uma minuciosa
inspe†…o, a procura de fraturas, contusˆes, lacera†ˆes ainda n…o exploradas. Devemos prevenir, tamb‚m, a
hipotermia. Caso necessƒrio, uma vez estabilizado o quadro, o paciente deve ser encaminhado para a realiza†…o
de exames complementares.
Portanto, durante a revis…o primƒria, devemos identificar as situa‚„es que amea‚am a vida do paciente e,
simultaneamente, devemos iniciar o seu tratamento. As prioridades na evolu†…o e nos procedimentos de manejo s…o
expostos neste cap•tulo de forma sequencial, ordenados segundo a sua import‡ncia, com o prop„sito de maior claridade
de descri†…o.
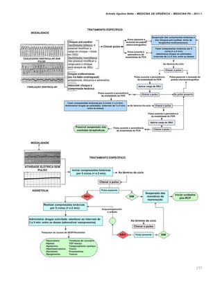
A. VIAS A…REAS
 A capacidade de o paciente falar corresponde ao primeiro crit‚rio a ser avaliado.
 Atentar para lesˆes que podem comprometer as vias a‚reas superiores (VAS).
 Promover a imobiliza†…o do pesco†o (com colar cervical ou com head blocks) para pacientes com les…o cervical
(ou com suspeita de les…o cervical). A princ•pio, todo politraumatizado tem les…o cervical, especialmente
quando apresentam escala de Coma de Glasgow (GCS) < 8, at‚ que se prove o contrƒrio.
 Controle imediato da coluna cervical por meio da manobra de jaw thrust.
 Se necessƒrio, realizar sequ€ncia de intuba†…o rƒpida para garantir via ƒrea definitiva.
As vias a‚ras e o controle da coluna cervical deve ser o primeiro par‡metro a ser avaliado, uma vez que
caracteriza lesˆes que matariam o paciente em primeira inst‡ncia. Desta forma, se o paciente ‚ capaz de falar, muito
provavalmente, ele n…o apresenta obstru†…o de VAS (por esta raz…o, tentar conversar com o paciente pode ser uma
etapa importante na avalia†…o inicial).
Š necessƒrio atentar para lesˆes que, eventualmente, possam
comprometer as VAS, tais como traumatismos cranio-encefƒlicos (TCE),
queimaduras de face, fratura de ossos da face, etc. Caso o paciente
apresente sangramento ou secre†…o em cavidade oral, podemos optar pela
aspira†…o. Se porventura o paciente apresenta queda da base da l•ngua –
o que ‚ comum em pacientes com rebaixamento de n•vel de consci€ncia –
devemos proceder com medidas que garantam a permeabilidade da via
a‚rea do paciente (como a instala†…o da c‡nula orofar•ngea de Guedel).
Algumas manobras podem ser realizadas para evitar que aconte†a
queda da base da l•ngua e obstru†…o das VAS por este evento. Dentre
elas, podemos utilizar as tr€s variantes do jaw thrust. A manobra de chin lift
(que consiste na extens…o mƒxima da cabe†a por tra†…o no queixo) deve
ser evitada para n…o agravar eventuais lesˆes cervicais.
Arlindo Ugulino Netto – MEDICINA DE URG•NCIA – MEDICINA P8 – 2011.1
6
É sempre bom frisar que o fato de a coluna cervical ser o segmento mais instável da coluna vertebral,
principalmente em pacientes politraumatizados, faz com que ela deva ser considerada logo no primeiro passo da
avaliação inicial da vítima de trauma. A princípio, todo politraumatizado deve ser considerado vítima de lesão cervical
(principalmente aqueles pacientes com GCS < 8) e, por isso, devem portar colar cervical até o momento da realização de
exames radiológicos.
Se o paciente não conversa espontaneamente, não respira ou apresenta GCS menor do que 8, este deve ser
submetido a ventilação mecânica com AMBU e cânula orofaríngea de Guedel ou, de um modo definitivo, intubação
orotraqueal com conexão a sistema de ventilação com O2.
B. RESPIRAÇÃO
 Monitorar a respiração da vítima e a saturação de O2 através da oximetria de pulso.
 Oferecer O2 e ventilar (atenção: a traqueostomia raramente é utilizada no ATLS, diferentemente da
cricotireoidostomia).
 Examinar pescoço e tórax.
 Realizar inspeção, percussão, palpação e ausculta do tórax.
 Esvaziar o espaço pleural: retirar, se necessário, o ar (com curativo de três pontos, para feridas abertas) ou o
sangue (com drenagem ou toracocentese).
Durante o passo B do ATLS, devemos monitorar, obrigatoriamente, a saturação de O2 através do oxímetro de
pulso, que já deve estar instalado no paciente desde o atendimento pré-hospitalar. Para o paciente politraumatizado,
devemos manter uma saturação mínima de 98%. Caso o paciente sature abaixo deste valor, devemos investigar alguma
causa de base para uma hipóxia.
Devemos oferecer oxigênio a 100%, 10 a 12 litros/minuto, a toda vítima de trauma, sobretudo àqueles pacientes
moderados a graves.
O exame da região cervical e torácica deve ser procedido. A semiotécnica do tórax consiste na realização da
inspeção, percussão, palpação e ausculta.
 Inspeção: expansibilidade, mobilidade, presença de assimetrias, movimentos paradoxais (no momento da
inspiração, o tórax se contrai e no momento da expiração, o tórax expande; tal situação acontece, geralmente,
em casos de fraturas múltiplas de costelas).
 Percussão: o timpanismo pode indicar pneumotórax hipertensivo, cujo diagnóstico deve ser, obrigatoriamente,
clínico (uma vez que o exame radiográfico não pode ser solicitado ainda nesta altura da avaliação).
 Palpação: presença de abaulamentos ou deformidades, que podem indicar fratura de costelas; presença de
creptação, que pode indicar enfisema subcutâneo.
 Ausculta: deve ser procedida de forma simétrica, em ambos os hemitórax, seguindo o ápice pulmonar esquerdo
depois o direito, terço médio esquerdo depois o direito, e base esquerda depois o direito.
Se o pneumotórax hipertensivo for identificado (paciente com desconforto respiratório, saturação de O2 baixa,
timpanismo à percussão, turgência jugular, murmúrios vesiculares reduzidos), por exemplo, é necessário promover a
descompressão (pois sempre que algum distúrbio for identificado, devemos tratá-lo). Para isso, podemos optar por
introduzir uma agulha de jelco n
o
14 na altura do 2º espaço intercostal apenas no intuito de tirar o paciente do quadro
emergencial de angústia respiratória.
Na vigência de um pneumotórax aberto, com feridas expostas (geralmente causadas por costelas fraturadas),
devemos optar pela confecção de um curativo de três pontos, que consiste em um pedaço quadrangular de plástico
aplicado sobre o local da lesão. Este plástico deve ser fixado por fitas adesivas em três de seus vértices e cantos, de
modo que uma extremidade não fixada funcione como uma válvula que se abra durante a expiração e que se feche na
inspiração. Esta medida, contudo, serve apenas para estabilizar o paciente que, eventualmente, terá seu tórax drenado
cirurgicamente durante a fase de tratamento definitivo.
C. CIRCULAÇÃO
 Checar pulsos centrais, avaliar a presença de sangramento ativo e de perfusão tecidual.
 Observar parâmetros como: consciência, agitação, sudorese, pulso, sede, diurese, saturação de O2, etc.
 Coibir hemorragias externas através de compressão direta (princípio do stop the bleeding).
 Para pacientes vítimas de trauma e com sinais de hipovolemia, não adianta realizar RCP.
 Estabelecer acesso venoso periférico (de preferência) e repor volume.
 Estar sempre atento para focos internos de sangramento.
 Considerar cinemática do trauma.
 Extremos de idade, atletas, grávidas.
 Lembrar fases do choque hipovolêmico.
Durante o passo C do ATLS, devemos identificar, em primeira instância, a presença de um eventual
sangramento externo em atividade. Caso haja algum, se faz necessário estancar imediatamente este sangramento (Stop
the bleeding!), seja por meio de compressão ou torniquete.
Arlindo Ugulino Netto – MEDICINA DE URG•NCIA – MEDICINA P8 – 2011.1
7
Para identificar um eventual estado de choque, podemos analisar os seguintes parâmetros:
 Estado de consciência: ao diminuir o volume circulante, a perfusão cerebral se altera de modo importante, causando
alterações no nível de consciência. No entanto, o paciente pode estar consciente e ter perdido uma grande quantidade de
sangue.
 Coloração da pele: depois de um traumatismo, um paciente com pele rosada, especialmente na face e nas extremidades,
raramente está gravemente hipovolêmico. Pelo contrário, a presença de uma coloração cinzenta a pálida das extremidades
é considerada um dado evidente de hipovolemia.
 Pulsação: os pulsos mais acessíveis para exploração são os centrais (femoral e carotídeo); estes devem ser avaliados
bilateralmente, buscando sua amplitude, frequência e ritmo. Um pulso rápido e fino é sinal de início de hipovolemia, embora
também possa indicar outras causas. Uma frequência normal de pulso, entretanto, não assegura normovolemia. A ausência
de pulsos centrais, quando esta não é atribuída a fatores locais, indica a necessidade de instituir medidas imediatas de
reanimação para restabelecer o volume sanguíneo perdido.
 Sudorese e má perfusão periférica: a presença de suor excessivo e o mau enchimento capilar (avaliado pela compressão da
polpa digital e identificado pelo enchimento capilar acima de 2 segundos) são indicativos de hipovolemia.
Para pacientes que se mostram com síndrome de hipovolemia, mesmos sem indícios de hemorragias externas,
devemos iniciar reposição volêmica imediata. Esta reposição pode ser feita com dois acessos venosos periféricos
calibrosos (com jelco n
o
14) e infusão rápida de Ringer Lactato (RL) aquecido a 39ºC, preferencialmente (pois o RL tem
maior afinidade pelo sistema neurológico). Simultaneamente, a coleta de sangue para teste de tipagem deve ser
procedida.
É necessário ressaltar que, na análise do ATLS, não existe parada cardíaca no trauma. Na verdade, o que o
ATLS preconiza é que não há indicação de ressuscitação cardiopulmonar (RCP) no trauma. Isso porque a principal
causa de morte no trauma se traduz pelo choque hipovolêmico e, portanto, compressões cardíacas ou desfibrilações de
nada valem se o coração não possui volume para bombear. Para estes pacientes, se faz necessário administrar volume,
e não tentar RCP (com exceções a esta regra, temos o trauma por choque elétrico, por exemplo, em que a eventual
parada cardiorrespiratória não se deu por falta de volume sanguíneo).
O ATLS recomenda que, inicialmente, o acesso venoso deve ser estabelecido em veias periféricas. Nesta fase,
portanto, nenhuma veia central deve ser puncionada. Caso o acesso venoso em fossa cubital seja dificultoso, preconiza-
se o acesso da veia safena magna, localizada anteriormente ao maléolo medial da tíbia, de um modo bastante
superficial. Na última revisão do ALTS, foi apresentada a realização de uma punção intraóssea no próprio maléolo
medial com auxílio de uma BIG (Bomb Injection Gun) para reposição rápida de líquidos.
D. AVALIAÇÃO NEUROLÓGICA
 Estar atento às alterações pupilares, estado mental e sinais de lateralização.
 Realizar escala de coma de Glasgow (GCS).
 Atenção para o uso de álcool/drogas, tubo orotraqueal e lactentes.
 Observar sinais de anisocoria (assimetria pupilar) e lateralização, que sugerem lesão focal.
 Elevar a cabeceira, se houver indícios de hipertensão intracraniana (HIC); otimizar a melhora da oferta de O2 e
a pressão arterial média (PAM).
 Assegurar ABC.
 Consulta ao neurocirurgião.
Ao final da revisão do ABC, devemos realizar uma rápida avaliação neurológica. Esta avaliação pretende
estabelecer o nível de consciência da vítima, assim como o padrão de reação pupilar (simetria e reflexo fotomotor),
sinais de lateralização e nível de uma eventual lesão medular.
Para avaliação neurológica do paciente politraumatizado, devemos analisar a Escala de Coma de Glasgow e as
reações pupilares. A Escala de Coma de Glasgow, um método simples e rápido para avaliar o nível de consciência do
paciente politraumatizado, leva em consideração três parâmetros (ver OBS
4
): abertura ocular, resposta verbal e resposta
motora. É necessário, obviamente, considerar o uso de drogas e de álcool: alguns avaliadores subestimam lesões
importantes do sistema nervoso por atribuirem os sinais neurológicos aos efeitos de tais substâncias.
O comprometimento do estado de consciência do paciente pode revelar a diminuição da oxigenação e/ou
perfusão cerebral, o que pode causar, diretamente, um tramatismo cerebral irreversível. As alterações da consciência
indicam a necessidade de reavaliar o estado de oxigenação, ventilacão e perfusão.
De fato, hipoglicemia, álcool, narcóticos e outras drogas também podem alterar o estado de consciência do
paciente; no entanto, quando estas hipóteses são descartadas como causa do distúrbio, sempre devemos considerar
uma lesão importante do sistema nervoso central, até que se prove o contrário.
Para melhorar ou estabilizar o nível de consciência do paciente, devemos sempre manter os parâmetros
hemodinâmicos em níveis ótimos, incluindo oxigenação e pressão arterial.
Solicitar uma avaliação mais detalhada do sistema nervoso com o auxílio de um neurocirurgião é extremamente
necessário no caso de trauma. Contudo, a utilização de exames de imagem (como a tomografia computadorizada) é
essencial para a evolução destes pacientes.
Arlindo Ugulino Netto – MEDICINA DE URG•NCIA – MEDICINA P8 – 2011.1
8
OBS
4
: A Escala de Coma de Glasgow (GCS) ‚ um dos principais preditores de progn„stico a longo prazo, sobretudo em
casos de traumatismo craniano. Trata-se de uma classifica†…o bastante objetiva, principalmente no momento da
admiss…o do paciente: se este recebeu um determinado escore e, com cerca de 30 minutos depois, seu escore mudou,
significa, de certeza, que alguma coisa mudou para melhor ou para pior. Desta forma, temos:
 GCS 14 – 15: trauma leve.
 GCS 9 – 13: trauma moderado.
 GCS < 8: trauma grave.
 Paciente intubado: deve receber a pontua†…o 1 para melhor resposta verbal e uma notifica†…o com a letra “T” ao
lado da soma de sua escala.
Arlindo Ugulino Netto – MEDICINA DE URG•NCIA – MEDICINA P8 – 2011.1
9
E. EXPOSIÇÃO
 Despir o paciente completamente.
 Não negligenciar nenhuma parte da anatomia, inclusive região dorsal, genitália e períneo.
 Realizar a manobra de rolamento em monobloco, evitando maior deslocamento da coluna vertebral.
 Proceder com controle da temperatura ambiente e evitar hipotermia do paciente.
 Após a avaliação, manter o paciente aquecido com cobertores ou ringer lactato (RL) aquecido.
 Remover objetos.
Na última etapa do ABCDE do ATLS, devemos realizar a exposição completa do paciente, da cabeça aos pés,
na frente e no dorso. Para isso, devemos aproveitar o momento da passagem do paciente politraumatizado da prancha
rígida do serviço de atendimento móvel para a maca da sala de emergência, e realizar um rolamento em monobloco do
paciente para avaliar o dorso como um todo (uma vez que o paciente permanece a maior parte do tempo em decúbito
dorsal, este é, teoricamente, o único momento para realizar a inspeção do dorso).
Durante essa inspeção, se faz necessário procurar por lesões que passaram desapercebidas durante o restante
da avaliação inicial, como tiros em dorso, hematomas, deformidades sugestivas de fraturas, etc.
É importante, também nesta etapa, manter a vítima aquecida, seja com cobertores ou com mantas isolantes
térmicas, seja com o uso de RL aquecido (a 39ºC).
OBS
5
: Ciladas durante a avaliação inicial. Devemos ter atenção para o seguinte check list das principais ciladas ou
pontos que passam desapercebidos ou não são tão considerados durante a avaliação inicial:
 História do paciente: ignorar o mecanismo de trauma.
 Vias aéreas: incapacidade de reconhecer uma obstrução e dificuldade para indicar uma via aérea cirúrgica.
 Respiração: dificuldade na intubação traqueal e dificuldade em identificar e tratar pneumotórax hipertensivo (cujo
diagnóstico é eminentemente clínico).
 Circulação: não identificar hemorragias externas, não identificar sangramentos internos, negligenciar a bomba.
 Estado neurológico: dificuldade em manter VAS, retardo na identificação de sinais de lateralização e negligência
de eventos neurológicos diante de sinais de embriaguês.
 Exposição: levar o paciente a uma hipotermia e não remover objetos.
MEDIDAS AUXILIARES
Depois da avaliação inicial e da estabilização do paciente, podemos partir para uma segunda etapa do algoritmo
do ATLS, que consiste no uso de medidas auxiliares. Obrigatoriamente, devemos lançar mão dos seguintes exames:
 Radiografias: da região cervical, tórax (em AP) e pelve. Estas radiografias devem ser obrigatoriamente
realizadas, mesmo na vigência de um exame físico completamente normal.
 Tomografia: realizada neste momento apenas se houver uma suspeita de lesão neurológica grave e cujo
tratamento deva ser imediato.
 Focused Assesment Sonography for Trauma (FAST): consiste na realização de ultrassonografia na sala
emergência. Configura um exame rápido e não invasivo, utilizado para detecção de trauma abdominal. É
realizado em quatro pontos específicos: (1) janela epigástrica (para procurar por hemopericárdio); (2)
hipocôndrio direito (para procurar lesões hepáticas); (3) hipocôndrio esquerdo (para procurar lesões esplênicas);
e (4) pelve (procurar por coleção sanguínea abdominal). Nele observa-se a presença de líquido, para detecção
de trauma abdominal. Por meio dele, podemos avaliar de maneira efetiva a presença de líquido livre na cavidade
peritoneal e a lesão de órgãos parenquimatosos. Se positivo for o achado, há indicação de cirurgia. Contudo, é
um procedimento examinador-dependente.
 Oximetria de pulso: para avaliar a saturação de O2.
 Sonda nasogástrica: tem a finalidade de evitar ou reduzir a distensão gástrica e diminuir o risco de
broncoaspiração. Portanto, só deve ser indicada caso o paciente se apresente inconsciente.
 Sonda vesical: a diurese horária é um importante parâmetro indicador de grande sensibilidade para o estado de
volemia do paciente, refletindo a perfusão renal. A monitorização da diurese horária pode ser melhor realizada
com a colocação de uma sonda vesical tipo Foley. A colocação da sonda vesical deve ser contraindicada em
pacientes com suspeita de ruptura uretral (suspeitamos quando há: presença de sangue no meato uretral
externo, equimose perineal, sangue no escroto, próstata não palpável durante o exame de toque, fratura
pélvica).
 Monitoramento cardíaco: a colocação de eletrodos para avaliação eletrocardiográfica é essencial para
pacientes politraumatizados, principalmente para avaliar a presença de disritmias, incluindo taquicardias
inexplicáveis, extrasístoles ventriculares e alterações no segmento ST. A presença de atividade elétrica sem
pulso pode ser indicativa de tamponamento cardíaco, pneumotórax hipertensivo e hipovolemia grave.
Arlindo Ugulino Netto – MEDICINA DE URG•NCIA – MEDICINA P8 – 2011.1
10
HIST†RIA E ANTECEDENTES
Caso o paciente seja identificado como muito grave após a etapa do ABCDE (como pacientes portadores de
TCE e choque), devemos encaminhá-lo o mais estável possível para a UTI ou bloco cirúrgico. Contudo, se o paciente
não apresenta perigo de vida e/ou foi estabilizado durante o ABCDE, podemos aplicar um breve interrogatório acerca de
seus antecedentes, seguindo-se a sequência ditada pela regra mnemônica AMPLA:
 Alergias (A)
 Medicamentos e passado médico (M)
 Prenhez (P) ou gravidez
 Última refeição ou líquidos (L)
 Cena do acidente, mecanismos do trauma (A)
Além destes parâmetros, devemos sempre ressaltar os sinais vitais do paciente (como frequência cardíaca e
respiratória, os quais não devem ser prioridade durante a avaliação inicial) e os dados fornecidos pelo pessoal do
atendimento pré-hospitalar.
AVALIA‚„O SECUND…RIA
O objetivo da avaliação secundária é identificar e tratar lesões que não matam obrigatoriamente, mas que podem
levar a perda de funções e causar sequelas importantes. Aqui, os parâmetros são mais anatômicos que fisiológicos
(diferentemente da prioridade que é feita durante a avaliação inicial). Esta avaliação deve visar o tratamento definitivo,
que acontece logo em seguida.
A sequência sugerida para a avaliação secundária é a que segue:
 Cabeça, olhos e orelhas;
 Bucomaxilofacial;
 Pescoço;
 Tórax;
 Abdome;
 Pelve e períneo;
 Extremidades e segmentos variados dos membros (ombros, joelhos, coxas, braços, etc.).
 Exame neurológico mais específico;
 Dorso.
A realização de outros exames complementares necessários também pode ser considerada nesta fase. Estes
exames, diferentemente dos obrigatórios realizados previamente na ocasião das medidas auxiliares, são aqueles que
custam mais tempo de realização e, portanto, só devem ser realizados com o paciente estabilizado. Os exames são
solicitados sob critérios médicos, como tomografia computadorizada, radiografia de membros e extremidades, estudos
radiológicos contrastados, arteriografias, urografias, endoscopias, ultrassonografias específicas, etc.
OBS
6
: Ciladas durante a avaliação secundária. As principais ciladas que ocorrem durante a avaliação secundária se
resumem na negligência de lesões de menor monta. Segue-se, portanto, o seguinte check list:
 Extremidades: fraturas nas mãos e nos pés; pequenos ferimentos.
 Abdome: lesões de vísceras ocas e lesões em retroperitônio (ureter); lesões de diafragma (penetrantes).
 Dorso: esquecer de fazer a inspeção durante o rolamento em monobloco.
 Durante o transporte (seja intra-hospitalar ou inter-hospitalar): não deixar de fazer uma nova reavaliação e
manter a atenção cuidados sobre drenos, tubos e catéteres.
DESTINOS
Os seguintes destinos hospitalares podem ser possíveis para pacientes politraumatizados:
 Unidade de terapia intensiva: pacientes com condições clínicas desfavoráveis para qualquer intervenção
cirúrgica.
 Bloco cirúrgico: pacientes que necessitam de cuidados cirúrgicos imediatos.
 Observação clínica: pacientes estáveis hemodinamicamente, portadores de trauma leve.
 Centro de imagem: pacientes que necessitam realizar tomografia, radiografia, ultrassonografia.
 Alta hospitalar: para pacientes que, depois de uma análise completa, não necessitam de maiores cuidados.
Contudo, a alta hospitalar pode tanto destinar o paciente de volta a sua casa ou encaminhá-lo para um outro
centro hospitalar (transferência inter-hospitalar).
Arlindo Ugulino Netto – MEDICINA DE URG•NCIA – MEDICINA P8 – 2011.1
11
CONSIDERA‚ƒES FINAIS
O paciente acidentado deve ser avaliado de forma rápida e completa. O médico deve estabelecer prioridades
para o manejo integral do paciente para não omitir nenhum passo no processo. Desta forma, devemos considerar o
seguinte:
 Uma história adequada inclui o relato completo do incidente traumático: o mecanismo do trauma determinará o
tipo e a extensão das lesões.
 Na avaliação primária, se identificam e tratam parâmetros fisiológicos (ABCDE).
 Na avaliação secundária, se identificam e tratam parâmetros anatômicos (que, no máximo, deixam sequelas)
 Sejamos rápidos: ao identificar distúrbios com potencial risco a vida, devemos tratá-los.
 Nunca causar mais dano ao paciente.
 Devemos nos certificar das possibilidades de tratamento cabíveis (recursos) ao centro hospitalar.
Arlindo Ugulino Netto – MEDICINA DE URG•NCIA – MEDICINA P8 – 2011.1
12
MED RESUMOS 2011
NETTO, Arlindo Ugulino; CORREIA, Luiz Gustavo.
MEDICINA DE URGÊNCIA E TERAPIA INTENSIVA
MONITORIZAÇÃO HEMODINÂMICA INVASIVA
(Professor Jorge Fonseca)
A monitora†…o hemodin‡mica pode ser conceituada como um conjunto de par‡metros analisados no paciente
que ajudam a definir o estado da fisiologia cardiovascular do mesmo. Estas informa†ˆes garantem ao m‚dico intensivista
dados que podem alterar, de forma importante, o progn„stico do paciente. Tal monitoriza†…o pode ser n…o-invasiva
(como a aferi†…o do pulso arterial perif‚rico, por exemplo) ou invasiva (por meio da utiliza†…o do cateter da artéria
pulmonar).
A medida da press…o de oclus…o da art‚ria pulmonar e a do d‚bito
card•aco formam as bases da monitorização hemodinâmica invasiva (MHI).
Estes procedimentos eram executados somente no laborat„rio de hemodin‡mica,
at‚ 1970, quando Swan e Ganz publicaram a utiliza†…o de um cateter flex•vel, fluxo
dirigido, com um bal…o em sua extremidade, para a medida da press…o de
enchimento do ventr•culo esquerdo. O cateterismo card•aco podia agora ser
executado Œ beira do leito, sem fluoroscopia, com menor incid€ncia de arritmias,
sem a experi€ncia e habilidade normalmente adquiridas no laborat„rio de
hemodin‡mica e finalmente com informa†ˆes fundamentais para o entendimento e
o tratamento das altera†ˆes hemodin‡micas.
A utiliza†…o cl•nica do cateter de Swan-Ganz (cateter da art‚ria pulmonar,
dirigida pelo fluxo) iniciou-se, portanto, nos primeiros anos da d‚cada de 1970 e
difundiu-se rapidamente devido a sua praticidade e eficƒcia, na medida das
pressˆes hemodin‡micas e na determina†…o do d‚bito card•aco pelo uso do
computador, guiando a administra†…o de l•quidos intravenosos, inotr„picos e
agentes redutores da p„s-carga. O cateter ‚ radiopaco e a fluoroscopia e/ou a
radiografia simples pode ser usada para guiar ou verificar a sua posi†…o.
FISIOLOGIA E ANATOMIA APLICADA A MHI
O corpo humano ‚, fundamentalmente, formado por c‚lulas; sendo esta a unidade morfofuncional do organismo
humano, n…o devemos estudar a fisiologia dos sistemas ou dos „rg…os – mas sim, a fisiologia celular. Sabe-se, portanto,
que o corpo ‚ formado, em m‚dia, por 100 trilhˆes de c‚lulas que devem trocar material com o meio externo. Por esta
raz…o, a oferta de O2 para as c‚lulas ‚ uma fun†…o essencial dos seres aer„bicos.
No momento em que esta oferta se torna ineficaz, instala-se uma situa†…o conhecida como disóxia tecidual,
que acarreta a morte celular por falta de respira†…o mitocondrial. Nas unidades de terapia intensiva (UTI), por exemplo,
observa-se o lactato como um importante marcador de mƒ perfus…o tissular (quando os n•veis de lactato sobem,
classicamente, diz-se que o progn„stico do paciente ‚ cada vez pior).
A MHI se faz importante quando se parte do pressuposto que a maior parte dos casos de dis„xia se instala sem
que haja par‡metros cl•nicos relevantes: o paciente pode estar em choque compensado, por exemplo, com press…o
arterial e frequ€ncia card•aca mantidas, mesmo que, em n•vel celular, a oferta de oxig€nio jƒ esteja comprometida.
Por esta raz…o, a monitoriza†…o dos par‡metros de perfus…o e oxigena†…o celular tem sido o objetivo primordial
para o tratamento dos pacientes cr•ticos, evitando, assim, a dis„xia tecidual antes mesmo que ela se instale. Contudo,
antes de entendermos a teoria do funcionamento do cateter da art‚ria pulmonar, devemos revisar alguns conceitos
bƒsicos da anatomia e fisiologia card•aca.
CORAÇÃO E CIRCULAÇÃO SANGUÍNEA
Como se sabe, o cora†…o constitui, na realidade, duas bombas distintas: o cora†…o direito (que envia sangue
pobre em O2 para os pulmˆes) e o cora†…o esquerdo (que bombeia sangue rico em O2 para os „rg…os perif‚ricos). Por
outro lado, cada um desses cora†ˆes ‚ uma bomba pulsƒtil com duas c‡maras, composta por ƒtrio e ventr•culo. O ƒtrio
funciona, principalmente, como bomba de escorva para os ventr•culos. O ventr•culo, por sua vez, fornece a for†a
principal que impulsiona o sangue para a circula†…o pulmonar (pelo ventr•culo direito) ou para circula†…o pulmonar (pelo
ventr•culo direito). Desta forma, temos:
Lado direito do coração Lado esquerdo do coração
 Recebe o sangue da circula†…o sist€mica pobre
em oxig€nio (SvO2 = 75%)
 Sistema de alta complac€ncia e baixas pressˆes
 Recebe o sangue da circula†…o pulmonar rico em
oxig€nio (SaO2 = 98%; ver OBS
1
)
 Sistema de altas pressˆes
Arlindo Ugulino Netto – MEDICINA DE URG•NCIA – MEDICINA P8 – 2011.1
13
OBS1
: Note que o sangue arterial é saturado em, aproximadamente, 98% de oxigênio (a saturação arterial de oxigênio não chega a
100% devido à presença do shunt fisiológico). Contudo, o sangue venoso apresenta-se com 75% de saturação de oxigênio, o que nos
faz concluir que, mesmo sendo alta a saturação de O2 arterial, os tecidos não utilizam mais do que 25% do oxigênio disponível a eles.
Teorias defendem que a sobrevivência das espécies aeróbicas depende deste mecanismo, uma vez que sempre haverá reservas
importantes de O2 no sangue venoso.
CICLO CARDÍACO
O ciclo cardíaco consiste de um período de relaxamento em que o coração se enche de sangue seguido por um
período de contração, quando o coração se esvazia. É, portanto, o período que decorre entre o início de um batimento
cardíaco até o início do batimento seguinte (contração atrial  contração ventricular  relaxamento ventricular).
 Sístole: Período de contração da musculatura, durante o qual o coração ejeta o sangue. Dura cerca de 0,15
segundos.
 Diástole: Período de relaxamento da musculatura, durante o qual o coração se enche de sangue. Dura cerca de
0,30 segundos.
O ciclo cardíaco inicia-se com a geração espontânea de um potencial de ação no nodo SA. Este estímulo
propaga-se para os átrios (através das junções abertas) e para o nodo AV (através das vias internodais). Os átrios se
contraem, enquanto no nodo AV ocorre um breve atraso na transmissão do estímulo para os ventrículos. Após a
contração atrial, o estímulo propaga-se do nodo AV para os ventrículos através do feixe AV e das fibras de Purkinje,
ocorrendo então a contração ventricular. Após a sístole, o coração relaxa e inicia-se o enchimento dos ventrículos.
Desta forma, de um modo mais específico, temos:
Fases da sístole ventricular Fases da diástole ventricular
 Contração isovolumétrica:
 Os ventrículos começam a se contrair, mas,
devido ao fato de as válvulas cardíacas
estarem fechadas, faz com que eles não
alterem o seu volume.
 Ocorre aumento da pressão ventricular.
 Corresponde ao complexo QRS do ECG.
 Fase de ejeção rápida:
 Com o aumento da pressão intraventricular, as
válvulas aórtica e pulmonar se abrem e o
sangue é ejetado durante a contração
ventricular.
 Cerca de 85% do volume é ejetado.
 Corresponde ao segmento ST do ECG.
 Fase de ejeção lenta:
 Os átrios se apresentam em início de diástole.
 Corresponde a onda T do ECG (repolarização
ventricular).
 Relaxamento isovolumétrico:
 Todas as válvulas cardíacas estão fechadas
 Pressões de átrios são maiores que as
pressões ventriculares
 Corresponde ao fim da onda T no ECG.
 Fase de enchimento ventricular rápido:
 Ocorre diminuição da pressão intraventricular
com o fechamento das válvulas semilunares.
 Com válvula átrio-ventricular aberta, o sangue
acumulado no átrio flui rapidamente para o
ventrículo.
 Cerca de 2/3 do volume atrial é ejetado e o
volume sanguíneo dentro do ventrículo
aumenta rapidamente.
 É representada pelo início da linha isoelétrica
após a onda T no ECG.
 Fase de contração (sístole) atrial:
 Os átrios se contraem para encher os
ventrículos antes da contração ventricular.
 O 1/3 restante do volume atrial é ejetado.
 Corresponde a onda P do ECG.
Observando as fases do ciclo cardíaco, nota-se que o sangue flui de forma contínua das grandes veias (cava
superior, inferior e seio venoso cardíaco) para os átrios. Deste volume atrial, cerca de 75% do sangue flui diretamente
dos átrios para os ventrículos pela simples ação da gravidade e da inércia, antes mesmo de acontecer contração atrial.
Então, com a contração atrial, acontece um enchimento adicional dos ventrículos de 25%. Portanto, os átrios funcionam,
simplesmente, como bombas de escorva, que aumentam a eficiência do bombeamento ventricular (débito cardíaco) em
até 25%.
Partindo deste pressuposto, patologias que acometam o átrio podem reduzir o débito cardíaco em 25%, o que
significa um volume considerável de sangue.
Arlindo Ugulino Netto – MEDICINA DE URG•NCIA – MEDICINA P8 – 2011.1
14
CARACTER‡STICAS DO CATETER
O cateter de art‚ria pulmonar (CAP) ou, simplesmente, cateter de Swan-Ganz, ‚ um dispositivo de grande valor
para a terapia intensiva, considerado, por especialistas, como o “canivete su•†o” desta especialidade por conta de suas
amplas atribui†ˆes. Possuindo cerca de 110 cm, o cateter de AP possui um pequeno bal…o inflƒvel em sua ponta que,
quando inflado, permite que o fluxo sangu•neo transporte o cateter pelo lado direito do cora†…o e para a art‚ria
pulmonar, sem a necessidade de realiza†…o de fluoroscopia, na beira do leito.
HISTÓRICO
O cateter de AP com bal…o flutuante foi criado pelo Dr. Jeremy Swan, cardiologista do Cedars-Sinai Hospital,
ap„s um passeio pelas praias de Santa M•nica.
“No outono de 1967, tive a oportunidade de levar meus filhos
(ainda crian•as) para a praia de Santa M‚nica. Era um
sƒbado de calor, e os barcos „ vela na ƒgua estavam parados.
Contudo, cerca de 500 metros da costa, observei uma grande
vela triangular bem desenvolvida e movendo-se na ƒgua com
velocidade razoƒvel. Tive, ent…o, a id†ia de colocar uma vela
ou um pƒra-quedas na ponta de um cateter altamente flex‡vel
e assim aumentar a freqˆ‰ncia de passagem do equipamento
para dentro da art†ria pulmonar.”
(Dr. Jeremy Swan – 1970)
A cria†…o e o desenvolvimento final do cateter de AP ocorreram em 1970, quando em publica†…o pelo New
England, Jeremy Swan divulgou a cateriza†…o do cora†…o de um homem com o uso de um bal…o direcionado por fluxo
sangu•neo. De maneira semelhante a uma vela, o cateter de AP ‚ equipado com um bal…o inflƒvel em sua ponta e, em
decorr€ncia de inje†…o de 1,5 mL de ar, o bal…o passa a agir como uma vela. Ou seja, o fluxo sangu•neo, por si s„,
consegue transportar o cateter pelo cora†…o direito.
CARACTERÍSTICAS BÁSICAS
O cateter existe nos tamanhos neonatal (3 French), pediƒtrico (5 French) e adulto (7 French). Os cateteres
adultos existem em dois comprimentos: 85 e 110 cm. Em resumo, suas principais caracter•sticas s…o:
 Possui uma extens…o de 110 cm.
 Tem um di‡metro externo de 2,3 mm.
 O corpo do cateter cont‚m quatro (4) vias, al‚m do bal…o em
sua extremidade distal:
 Via proximal (azul): permite a inje†…o de l•quidos
para as medidas hemodin‡micas e ‚ utilizado
tamb‚m para a medida da press…o venosa, central
(PVC) e coleta de exames de sangue.
 Via distal (amarela): permite a medida das pressˆes
nas c‡maras card•acas direitas, press…o arterial
pulmonar e press…o capilar pulmonar, durante a
inser†…o, al‚m da colheita de amostra do sangue
venoso, misto, na art‚ria pulmonar.
 Via do bal…o (vermelha): auxilia na migra†…o do
cateter pela flutua†…o dirigida pelo fluxo, permitindo
o encunhamento do cateter e a medida da press…o
capilar pulmonar, quando inflado em um ramo da
art‚ria pulmonar. Tem o volume de 1,5 ml.
 Termistor: consiste em dois finos fios isolados que
mede a temperatura sangu•nea na art‚ria pulmonar,
continuamente, sendo que, atrav‚s da
termodilui†…o, realiza as medidas hemodin‡micas
com o uso de um computador.
 Com dois canais internos, um que segue ao longo de todo o comprimento do cateter e se abre na sua ponta
(l‰men da AP) e, outro, que termina a 30 cm da sua ponta, abrindo-se no ƒtrio direito (l‰men do AD).
 A ponta do cateter ‚ equipada com um pequeno bal…o inflƒvel, com capacidade de 1,5 mL.
 O cateter tamb‚m possui um pequeno termistor (transdutor que tem a capacidade de captar mudan†as de
temperatura), localizado a 4 cm da ponta do cateter. Existe a possibilidade da inje†…o de um l•quido frio pelo
canal interno do cateter e, o fluxo deste l•quido frio, atrav‚s do m‚todo de termodilui†…o (ver OBS
9
), pelo
termistor, pode mensurar o d‚bito card•aco. Hƒ ainda o termistor de resposta rƒpida, que permite a medi†…o da
fra†…o de eje†…o do ventr•culo direito.
Arlindo Ugulino Netto – MEDICINA DE URG•NCIA – MEDICINA P8 – 2011.1
15
Portanto, em resumo, o cateter de artéria pulmonar (de Swan-Ganz) é um cateter que deve ser instalado no
coração direito através de punção da veia jugular ou da subclávia. Ele apresenta múltiplos lumens, mede cerca de 60 a
110cm e possui um balão em sua ponta. Tal balão, uma vez inflado, ajuda o fluxo sanguíneo a mover o cateter em
direção à artéria pulmonar (o fluxo sanguíneo direciona o cateter, como um barco a vela é direcionado pelo vento).
O cateter mais comum apresenta 4 lumens: (1) lúmen do balão para insuflação; (2) lúmen distal na artéria
pulmonar; (3) lúmen proximal no átrio direito; (4) termistor na ponta para medir a temperatura sanguínea e outros
parâmetros predeterminados.
Embora o cateter seja instalado nas câmaras direitas do coração, além de aferir todos os valores pressóricos
destas câmaras, ele permite mensurar, indiretamente, parâmetros cardiovasculares relacionados com o coração
esquerdo, sem que seja necessário levar o paciente para uma sala de hemodinâmica e fazer uso de fluoroscopia.
IMPORTˆNCIA DA MHI
Segundo o Professor Jorge Fonseca, a observação clínica nos pacientes críticos é, geralmente, insuficiente e
subjetiva, além de ter baixa correlação com os parâmetros hemodinâmicos. Por esta razão, o intensivista é incapaz de
predizer corretamente variáveis como débito cardíaco, pressão capilar pulmonar, resistência vascular sistêmica, etc. em
mais de 50% das vezes, por maior que seja sua experiência.
O advento da monitorização hemodinâmica invasiva com cateter de artéria pulmonar trouxe informações
fundamentais para o entendimento e o tratamento das alterações hemodinâmicas. Infelizmente, no Brasil, por razões de
elevado custo do equipamento e falta de treinamento adequado, a monitorização hemodinâmica está restrita a poucos
centros e em geral é de domínio do intensivista ou do cardiologista.
OBJETIVOS DA MHI
O cateter de Swan-Ganz é um instrumento de monitorização diagnóstica e não uma modalidade terapêutica.
Contudo, o tratamento do paciente crítico depende de uma adequada monitorização e de uma completa avaliação
hemodinâmica.
O cateter de artéria pulmonar permite um rápido acesso ao débito cardíaco, aos parâmetros hemodinâmicos e
de oxigenação tissular, contribuindo no diagnóstico e auxiliando o tratamento de pacientes críticos.
Desta forma, os principais objetivos que podemos citar acerca da MHI são:
 Avaliação dos principais parâmetros do sistema cardiovascular: pressões, fluxo, resistências, etc.
 Avaliar a estabilidade dos valores de base e tendências evolutivas, determinando a presença e grau de
eventuais disfunções cardiovasculares.
 Implementar e guiar intervenções terapêuticas, promovendo critérios para avaliar a eficácia do SCV.
PROCEDIMENTO E INSER‚„O DO CATETER
A instalação do cateter exige técnica, perícia e, acima de tudo, treinamento e prática. Em resumo, temos:
 Optar pela veia subclávia ou veia jugular;
 Realizar assepsia e anti-sepsia na área;
 Colocação do campo cirúrgico;
 Anestesia do sítio de punção;
 Retirada da agulha, permanecendo a bainha;
 Introdução do fio-guia metálico;
 Através do fio-guia, deve-se colocar o dilatador acoplado ao introdutor;
 Realizar punção venosa profunda (VSCE);
 Com o fio-guia posicionado, retira-se a agulha da bainha e realiza uma pequena incisão na pele;
 Com o introdutor instalado, retira-se o fio-guia metálico e o dilatador;
 Instala-se, então, as conexões do cateter ao discofix;
 Conexão do termistor ao transdutor;
 Zerar o sistema de calibração das pressões com o monitor;
 Realizar a fixação do cateter na pele, proteção com camisa protetora estéril e colocação da seringa de medir o
débito cardíaco;
 Preencher com líquido os lumens do cateter;
 Testar a integridade do balonete;
 Instalar a camisa protetora;
 Introduzir cateter pelo introdutor e insuflar o balonete após 15cm;
 Observar as curvas da pressão pelo monitor;
 Realizar radiografia do tórax para avaliar o posicionamento do cateter;
 Se adequadamente posicionado, deve-se descartar eventuais complicações;
 Realizar curativo asséptico.
Arlindo Ugulino Netto – MEDICINA DE URG•NCIA – MEDICINA P8 – 2011.1
16
INDICA‚ƒES PARA MHI
Sem as informa†ˆes fornecidas pelos cƒlculos hemodin‡micos atrav‚s do uso do cateter de Swan-Ganz, a
capacidade de avaliar eficazmente o d‚bito card•aco e as pressˆes de enchimento ventricular esquerdo, no paciente
cr•tico, ‚ pobre, apesar das informa†ˆes obtidas pela anamnese e por um exame f•sico cuidadoso.
Contudo, atualmente, n…o hƒ ainda um consenso dentre as indica†ˆes de uso do cateter de Swan-Ganz, visto
que hƒ uma enorme quantidade de trabalhos publicados a esse respeito, por‚m com metodologia duvidosa, permitindo
controv‚rsias a respeito das suas verdadeiras indica†ˆes.
Apesar disso, devemos sugerir o uso da MHI diante de um paciente cr•tico sempre considerando as seguintes
indica†ˆes:
Cardíacas Não-cardíacas
 Evolu†…o e seguimento nos estados de choque;
 Definir e avaliar hemodinamicamente o
tamponamento e/ou pericardite constritiva;
 Definir uso de inotr„picos, vasodilatadores ou
infus…o de volume no choque cardiog€nico.
 Definir terap€utica com fluido (atrav‚s da
mensura†…o indireta da press…o diast„lica final de
ventr•culo esquerdo – PD2VE);
 Definir uso de inotr„pico / fluido nos estados de
choque;
 Caracterizar estado hemodin‡mico no choque;
 Otimizar a oferta de oxig€nio (DO2) nos estados
de choque.
Exemplificando tais situa†ˆes, podemos, por exemplo, saber se devemos lan†ar m…o do uso de inotr„picos ou
da infus…o de volume em pacientes em choque. Como veremos mais adiante, a MHI fornece, dentre outros par‡metros,
a pressão venosa central (PVC) e a pressão de oclusão da artéria pulmonar (POAP). Se o paciente apresentar baixos
valores de PVC e POAP mesmo depois da infus…o de volume, por exemplo, constatamos que o cora†…o do paciente n…o
estƒ realizando sua fun†…o de bomba, sendo necessƒrio, neste caso, o uso associado de inotr„picos.
OBS
2
: Al‚m das indica†ˆes bƒsicas apresentadas na tabela anterior, alguns autores destacam as seguintes indica†ˆes:
 Necessidade de avalia†…o das variƒveis hemodin‡micas atrav‚s das medidas seriadas e da monitoriza†…o da
press…o atrial direita, press…o arterial pulmonar e/ou press…o capilar pulmonar, nos casos abaixo relacionados.
 Insufici€ncia card•aca aguda (ex.: infarto agudo do miocƒrdio, complicado com hipotens…o progressiva
ou choque cardiog€nico).
 Complica†ˆes mec‡nicas do infarto agudo do miocƒrdio (Diferencia†…o da ruptura do septo
interventricular da regurgita†…o mitral por ruptura de m‰sculo papilar ou tamponamento card•aco). Hƒ
t‚cnicas menos invasivas, tal como a ecocardiografia, para rƒpido aux•lio diagn„stico.
 Infarto do ventr•culo direito. O cateter de Swan-Ganz ajuda a guiar a expans…o vol€mica e o suporte
farmacol„gico dos pacientes hipotensos com infarto do ventr•culo direito.
 Insufici€ncia card•aca congestiva refratƒria. Os sinais cl•nicos e radiol„gicos correlacionam-se
pobremente com a gravidade da insufici€ncia card•aca. O cateter de Swan-Ganz pode ser ‰til n…o
apenas para otimizar o balan†o h•drico, mas, tamb‚m, para definir os pacientes nos quais a terapia n…o
pode ser tolerada ou ‚ ineficiente, que s…o os casos em que pode estar indicado o uso do bal…o intra-
a„rtico. Modalidades diagn„sticas menos invasivas como a ecocardiografia tamb‚m podem guiar a
terap€utica nestes casos.
 Hipertens…o pulmonar. O cateter de Swan-Ganz ‚ indicado para diagn„stico e para guiar a terapia
vasodilatadora nestes pacientes.
 Choque circulat„rio ou instabilidade hemodin‡mica, que n…o respondeu a expans…o vol€mica nem ao
uso de drogas vasoativas. A avalia†…o cl•nica do estado hemodin‡mico n…o ‚ confiƒvel nestes
pacientes.
 Situa†ˆes circulat„rias complexas (ex.: reposi†…o vol€mica, no grande queimado).
 Emerg€ncias m‚dicas, tais como: S•ndrome da Ang‰stia Respirat„ria Aguda (SARA); Sepse por
bact‚rias gram-negativas; intoxica†…o por drogas; insufici€ncia renal aguda; pancreatite
necroemorrƒgica.
 Pacientes de alto risco intra e p„s-operat„rio.
 Pacientes obst‚tricas de alto risco: cardiopatas; doen†a hipertensiva espec•fica da gesta†…o (pr‚-
ecl‡mpsia); descolamento prematuro de placenta.
 Determina†…o do d‚bito card•aco pelo m‚todo de termodilui†…o.
 Colheita de sangue venoso misto e infus…o de solu†ˆes.
OBS
3
: De um modo geral, a MHI deve ser indicada somente quando hƒ necessidade de decis…o cl•nica ou de
diagn„stico e houver comprometimento por parte dos profissionais intensivistas em atuar a partir dos dados obtidos com
o procedimento.
Arlindo Ugulino Netto – MEDICINA DE URG•NCIA – MEDICINA P8 – 2011.1
17
CONTRA-INDICA‚ƒES PARA MHI
As contra-indicações estão relacionadas ao:
 Uso de heparina para a manutenção da permeabilidade do cateter em pacientes com conhecida
hipersensibilidade à heparina.
 Pacientes com sepse recorrente ou estados de hipercoagulabilidade, em que a presença do cateter serve como
ponto para a manutenção da sepse ou formação de trombos.
 Pacientes com alterações do ritmo cardíaco, sendo obrigatória a monitorização eletrocardiográfica,
principalmente nos casos de: bloqueio completo do ramo esquerdo e Síndrome de Wolff-Parkinson-White (feixe
acessório, anômalo)
COMPLICA‚ƒES DA MHI
As principais complicações da MHI são inerentes ao procedimento de instalação do cateter da AP. Desta forma,
os riscos de complicações diminuem com a melhor experiência e treinamento do profissional.
Podemos citar as seguintes complicações:
Complicações vasculares Complicações relacionadas ao cateter
 Punção arterial
 Pneumotórax
 Lesão do plexo braquial
 Embolia gasosa
 Hemorragia
 Infecção
 Taquiarritmias
 Bloqueio de ramo direito (BRD), bloqueio
atrioventricular total (BAVT)
 Perfuração cardíaca
 Trombose e tromboembolismo
 Infarto pulmonar
 Sepse
 Endocardite
 Insuficiência de válvula pulmonar
OBS
4
: No que diz respeito ao tratamento de algumas das principais complicações do cateter de artéria pulmonar, temos:
 Pneumotórax: é mais comum em caso de punção da subclávia. Deve ser tratado com instalação de dreno de
tórax.
 Infecção: é a complicação mais comum, devendo ser tratada com o uso de antibióticos.
 Tromboflebite: em caso de vermelhidão local, deve-se retirar o cateter de artéria pulmonar.
 Disritmias ventriculares: causada pelo acometimento do ventrículo direito pela ponta do cateter; deve ser trada
com remoção do cateter e, se necessário, desfibrilação.
 Perfuração da artéria pulmonar: pode ser causada por inserções por tempo prolongado; deve ser tratada
cirurgicamente ou conservadoramente.
PARˆMETROS CEDIDOS PELA MHI
Como se sabe, a obtenção de determinados parâmetros hemodinâmicos fisiológicos é, algumas vezes, de
crucial importância no manuseio do paciente crítico. Graças à monitorização hemodinâmica invasiva, podemos avaliar os
seguintes parâmetros do estado circulatório do paciente:
 Parâmetros hemodinâmicos:
 Pressão venosa central (PVC), que é sinônimo de pressão do átrio direito (PAD), determinada pelo
retorno venoso do paciente.
 Pressão arterial pulmonar (PAP), auxiliando no diagnóstico de edema pulmonar;
 Pressão de oclusão da artéria pulmonar (POAP) ou pressão capilar pulmonar (PCP), por meio da qual
podemos mensurar os valores pressóricos do coração esquerdo (PCP = PAE);
 Débito cardíaco (DC);
 Resistência vascular sistêmica (RVS) e resistência vascular pulmonar.
 Parâmetros de oxigenação:
 Oferta de oxigênio (DO2)
 Consumo de oxigênio (VO2)
 Saturação arterial de oxigênio (SaO2)
 Saturação venosa mista de oxigênio (SvO2)
 Taxa de extração de oxigênio (TEO2 ou O2ER)
Arlindo Ugulino Netto – MEDICINA DE URG•NCIA – MEDICINA P8 – 2011.1
18
BASES FISIOL†GICAS DA MONITORIZA‚„O INVASIVA DA ART‰RIA PULMONAR
Para entendermos as bases físicas que explicam as mensurações pressóricas disponíveis ao cateter de artéria
pulmonar, devemos fazer, com o sistema cardiovascular, uma analogia com um sistema complexo de tubos (como as
câmaras e vasos) interligados e que apresentam comportas (como válvulas) ao longo de sua luz. Tais comportas, uma
vez fechadas, delimitam compartimentos ou segmentos isolados do restante do sistema onde os níveis pressóricos são
os mesmos, independente de onde seja feita a medição.
Observe, então, as seguintes situações que explicam a capacidade do cateter da artéria pulmonar em fornecer
dados pressóricos referentes ao coração direito ao mesmo tempo em que mensura a pressão do compartimento
esquerdo do coração.
Sístole ventricular
Na sístole ventricular, temos:
 Válvulas tricúspide e válvula mitral fechadas;
 Válvulas pulmonar e aórtica abertas;
 Pressão sistólica do ventrículo direito (PSVD) é
igual à pressão sistólica da artéria pulmonar
(PSAP).
Com a sístole ventricular, ocorre fechamento das válvulas
átrio-ventriculares, enquanto que as semilunares se
encontram abertas.
Desta combinação, nota-se que ocorre a formação de um
pertuito único entre o ventrículo direito e a artéria
pulmonar, de modo que a pressão no ventrículo direito
durante a sístole (PSVD) seja a mesma da pressão da
artéria pulmonar durante esta fase do ciclo cardíaco
(PSAP).
Portanto, a pressão sistólica da artéria pulmonar sempre
será a mesma da pressão sistólica do ventrículo direito
(salvo em algumas patologias, como, por exemplo,
estenose e/ou insuficiência da válvula pulmonar).
Arlindo Ugulino Netto – MEDICINA DE URG•NCIA – MEDICINA P8 – 2011.1
19
Diástole ventricular
Durante a diƒstole ventricular, temos:
 Vƒlvulas tric‰spide e vƒlvula mitral abertas;
 Vƒlvulas pulmonar e a„rtica fechadas;
 Pressão do átrio direito (PAD, que ‚ definida como
pressão venosa central) ‚ igual Œ pressão diastólica
do ventrículo direito (PDVD);
 Pressão diastólica do ventrículo direito (PDVD) ‚
menor que a pressão diastólica da artéria pulmonar
(PDAP);
 A pressão diastólica da artéria pulmonar ‚ igual Œ
pressão do átrio esquerdo (PAE) e Œ pressão
diastólica do ventrículo esquerdo (PDVE).
Com a diƒstole ventricular, abrem-se as vƒlvulas ƒtrio-
ventriculares e fecham-se as vƒlvulas semilunares.
Desta combina†…o, forma-se um novo pertuito que, a partir da
art‚ria pulmonar, se comunica com o cora†…o esquerdo. Tal
pertuito garante que, ao longo do seu trajeto, todas as pressˆes
sejam as mesmas: press…o diast„lica da art‚ria pulmonar =
press…o do ƒtrio esquerdo = press…o do ventr•culo esquerdo (se
n…o houver lesˆes esten„ticas nesta vƒlvula, obviamente).
Al‚m disso, nota-se que, como a vƒlvula tric‰spide estƒ aberta, a
press…o do ƒtrio direito ‚ a mesma que a press…o diast„lica do
ventr•culo direito. Portanto, quando se quer mensurar a press…o
venosa central (PVC), calcula-se a PAD que, durante a diƒstole,
‚ a mesma que a PDVD.
Diástole ventricular
Durante a diƒstole ventricular com insufla†…o do bal…o, temos:
 Vƒlvulas tric‰spide e vƒlvula mitral abertas;
 Vƒlvulas pulmonar e a„rtica fechadas;
 Pressão de oclusão da artéria pulmonar (POAP ou
press…o capilar pulmonar) ‚ igual Œ pressão do átrio
esquerdo e Œ pressão diastólica final do ventrículo
esquerdo (PDfVE).
Com a oclus…o completa da art‚ria pulmonar pelo bal…o do
cateter, este passa a mensurar os valores press„ricos do
cora†…o esquerdo – incluindo a press…o diast„lica final do
ventr•culo esquerdo.
Portanto, toda vez que o cateter de AP fornecer a POAP, temos
a possibilidade de calcular a PAE e a PDfVE.
Arlindo Ugulino Netto – MEDICINA DE URG•NCIA – MEDICINA P8 – 2011.1
20
ZONAS FISIOLÓGICAS DE PRESSÃO NO PULMÃO (ZONAS DE WEST)
Como podemos observar até agora, percebe-se que o cateter de artéria pulmonar garante e importante
mensuração da pressão nas câmaras cardíacas esquerdas sempre que houver um pertuito único entre a artéria
pulmonar e o ventrículo esquerdo. Obviamente, a distribuição do fluxo sanguíneo nos pulmões, que depende da inter-
relação entre a pressão capilar e a pressão alveolar, pode interferir neste paradigma.
Como se sabe, os pulmões normais apresentam um gradiente
de perfusão entre os ápices e bases dependendo dos efeitos da
gravidade. Na posição ortostática, a pressão hidrostática na base é de
cerca de 25 a 30 cmH2O, enquanto que no ápice é praticamente zero.
Existe, então, um gradiente de concentração entre a base e o ápice.
Assim, são definidas três zonas de perfusão nos pulmões:
 Zona 1: Nos terços superiores, a maior pressão do alvéolo
determina um colapso das veias e artérias, oferecendo
portanto, uma maior resistência ao fluxo sanguíneo. Logo,
nessa zona, a pressão alveolar excede a pressão arterial e o
fluxo de sangue é muito reduzido. Isso acontece devido o fato
do ar ser menos denso que o sangue, concentrando-se então,
no ápice dos pulmões, fazendo dessa região a zona mais
hiperventilada do órgão.
 Zona 2: No terço médio do pulmão, a pressão do alvéolo é
superada pelo pico de pressão da arteríola durante a sístole
ventricular.
 Zona 3: Nos terços inferiores, a pressão alveolar é superada
pela pressão vascular, permitindo uma melhor perfusão dessa
região durante todo o ciclo cardíaco (a base recebe 4x mais
sangue que o ápice). A resistência ao fluxo sanguíneo é
mínima, fazendo com que os capilares permaneçam
distendidos. Isso ocorre devido a ação da gravidade, que pelo
sangue ser mais denso que o ar, concentra-se mais
facilmente na região da base. Isso faz com que essa região
seja a mais hiperfundida do pulmão.
Portanto, tomando conhecimento das Zonas de West e deduzindo que elas podem interferir, diretamente, na
MHI, nota-se que a posição do cateter no tórax e a sua relação com o átrio esquerdo é importante para a adequada
reflexão da PAE quando medimos a PCP. Este acesso à PAE ao medirmos a PCP depende da presença de fluido
(sangue) preenchendo os segmentos vasculares entre a ponta do cateter e o átrio esquerdo.
Desta maneira, devemos instituir qual seria a melhor zona para instalação da ponta do cateter tomando como
base a pressão arterial (Pa), a pressão alveolar (PA) e a pressão venosa (Pv):
 Zona I:
 PA > Pa > Pv: a pressão alveolar excede a
pressão arterial e venosa pulmonares.
 A microvasculatura pulmonar apresenta
totalmente colapsada, impedindo a formação de
um pertuito único entre a artéria pulmonar e as
câmaras esquerdas do coração.
 Zona II:
 Pa > PA > Pv: a pressão alveolar é maior que a
pressão venosa, mas é menor do que a pressão
arterial.
 A microvasculatura pulmonar apresenta-se
parcialmente colapsada, mascarando os valores
reais da pressão das câmaras esquerdas
quando medidas a partir do cateter de AP.
 Zona III:
 Pa > Pv > PA: a pressão arterial e venosa são
maiores do que a pressão alveolar.
 A microvasculatura pulmonar apresenta-se
pérvia e permanece preenchida por fluidos, sem
sofrer compressão alveolar.
Arlindo Ugulino Netto – MEDICINA DE URG•NCIA – MEDICINA P8 – 2011.1
21
Portanto, para que a pressão capilar pulmonar reflita a pressão do átrio esquerdo (PAE) devemos optar pela
instalação do cateter ao nível da zona 3 de West, seja ela na base do pulmão (quando em ortostase) ou nos segmentos
posteriores do pulmão (quando o paciente se apresenta em decúbito).
OBS
5
: Alguns autores defendem que a instalação do cateter na Zona 2 de West seria mais prudente, devido ao maior
risco de colabamento alveolar que ocorre na Zona 3 pelo fato de haver maior pressão hidrostática com relação a
alveolar. Contudo, na zona 2, a PA é menor que a Pa, porém é maior que a Pv. Nesta situação, a pressão observada é
mais indicativa de pressão de via aérea do que da pressão atrial esquerda. Apenas na zona 3, há uma ininterrupta
coluna de sangue entre a ponta do cateter e o átrio esquerdo, permitindo a aferição confiável de sua pressão.
INTERPRETA‚„O DAS CURVAS DE PRESSƒES CEDIDAS PELO CATETER DE SWAN-GANZ
À medida que o cateter progride do átrio direito à artéria pulmonar, até sua posição de encunhamento, as curvas
de pressão, características das cavidades cardíacas e dos vasos vão se inscrevendo na tela do monitor.
O reconhecimento da morfologia normal das curvas de pressão intracavitárias e intravasculares é fundamental
para o sucesso do cateterismo da artéria pulmonar. As variantes ou os fatores mais comuns que podem modificar essa
morfologia, também devem ser reconhecidos pois todo o procedimento é feito às cegas e as curvas de pressão são a
única indicação precisa da posição do cateter. Na hipótese de dúvida a respeito da morfologia da curva ou dos valores
obtidos, o monitor e o transdutor devem ser recalibrados e zerados.
As curvas a serem descritas são:
 Curva do átrio direito (representando a PVC);
 Curva de ventrículo direito;
 Curva de artéria pulmonar;
 Curva de artéria pulmonar ocluída (curva de capilar pulmonar).
Arlindo Ugulino Netto – MEDICINA DE URG•NCIA – MEDICINA P8 – 2011.1
22
CURVA DO †TRIO DIREITO (PVC)
Após a entrada no AD, a onda de pressão ao lado
é observada. A curva é caracterizada por oscilações
contínuas na linha de base, relacionadas as ondas "a" e
"v". A pressão do átrio direito (PAD) deve ser medida no
monitor como pressão média.
Suas principais características são:
 PAD = PVC = PDVD (na di‡stole)
 0 – 6 mmHg
Na ausência de doença tricúspide, a PAD é igual a
pressão diastólica final do VD (PDfVD ou PD2VD) porque
ambas as cavidades se comunicam livremente quando a
válvula tricúspide está aberta (este detalhe é importante
pois a permanência do cateter no ventrículo direito causa
muita arritmia); a onda "a" reflete então a PDfVD quando a
válvula tricúspide estiver fechada durante a sístole
ventricular, a PAD é associada ao enchimento atrial e a
onda "v" normalmente chega a valores próximos a onda
"a".
CURVA DE VENTR‰CULO DIREITO
Após entrar no AD o balão é dirigido pelo
fluxo de sangue ao VD. A curva de pressão do VD é
facilmente reconhecida por um ramo ascendente e
um ramo descendente rápidos; ausência de incisura
dicrótica no ramo descendente que no final inscreve
uma curva diastólica (pd1 e pd2) e um valor de
pressão sistólica aproximadamente duas a três
vezes o valor da PAD. O VD é atingido, em média, a
30 cm do ponto de entrada da veia jugular interna.
Suas principais características são:
 Curva monomŠrfica
 PSVD = 25 – 30 mmHg (sistŠlica alta)
 PDVD = 0 – 6 mmHg (diastŠlica baixa)
A curva de AD e de VD já são ótimos
parâmetros para tratamento de choque. Se, por
exemplo, o paciente se apresenta com valores muito
baixos de PAD e PDVD (podendo até ser negativos),
podemos concluir que pouco sangue está chegando
ao coração do paciente, sendo necessária a
administração de volume, e não de drogas
vasopressoras ou inotrópicas. Caso esta medida
terapêutica não seja suficiente, devemos lançar mão
de drogas inotrópicas.
CURVA DE ART…RIA PULMONAR
Após o CAP atravessar a válvula pulmonar, a
curva passa a descrever uma nítida incisura dicrótica
em seu ramo descendente, representando o
fechamento da válvula pulmonar. A pressão diastólica
já não se aproxima do zero como na pressão diastólica
do VD e a pressão sistólica da artéria pulmonar é
normalmente igual à do VD. A pressão diastólica da
artéria pulmonar está relacionada a pressão de
enchimento do VE.
Suas principais característcas são:
 Presen‚a de incisura dicrŠtica
 Aumento da pressƒo diastŠlica
 PSAP = PSVD = 25 – 30 mmHg
 PDAP = 8 – 12 mmHg
 PAP m‹dia = 10 – 20 mmHg
Note que a PDAP é maior que a PDVD
devido ao fechamento da válvula pulmonar durante a
diástole (a responsável pela formação da incisura
dicrótica), diferentemente da PSAP (= PSVD).
Arlindo Ugulino Netto – MEDICINA DE URG•NCIA – MEDICINA P8 – 2011.1
23
CURVA DE PRESSŒO DE ART…RIA PULMONAR OCLU‰DA (PRESSŒO CAPILAR PULMONAR)
Jƒ na circula†…o pulmonar, o bal…o insuflado serƒ dirigido a uma regi…o pulmonar perif‚rica e quando encunhado em um
segmento da art‚ria pulmonar menor que seu di‡metro (de prefer€ncia, na zona 3 de West), n…o haverƒ fluxo sangu•neo distal Œ
extremidade do cateter e uma coluna estƒtica de sangue, que por estar em comunica†…o com a luz pulmonar do CAP, formarƒ uma
extens…o do sistema de monitoriza†…o.
O sangue na regi…o n…o oclu•da continuarƒ a fluir normalmente para as veias pulmonares e o ƒtrio esquerdo. A luz do CAP (e
portanto os tubos e o transdutor) medirƒ a press…o no primeiro ponto de encontro entre os vasos das regiˆes oclu•das e n…o oclu•das
ou seja, veias pulmonares. A press…o medida serƒ, portanto, a transmitida retrogradamente pelas veias pulmonares.
No final da diƒstole, com a vƒlvula mitral aberta, o ƒtrio esquerdo e o VE formam uma c‡mara comum: a press…o atrial
esquerda reflete, portanto, a press…o de enchimento do VE. A PAE ‚ transmitida as veias pulmonares durante a diƒstole, jƒ que n…o
hƒ vƒlvulas nestes vasos. Desta forma, cria-se uma coluna estƒtica de sangue entre a luz do CAP, veias pulmonares, ƒtrio esquerdo e
ventr•culo esquerdo.
O encunhamento do bal…o muda a onda de
press…o da art‚ria pulmonar em uma outra, com baixa
amplitude e morfologicamente igual Œ curva de AD ou AE.
Esta ‚ a press…o de oclus…o da art‚ria pulmonar (PoAP),
press…o pulmonar encunhada, press…o capilar
encunhada (PCW) ou press…o em cunha da art‚ria
pulmonar (PAPW). Durante a s•stole ventricular, com a
vƒlvula mitral fechada, o cateter registra a onda "v" atrial
esquerda que representa o enchimento atrial.
Desta forma, temos:
 Padrƒo apŠs a insufla‚ƒo do balonete;
 PAPO (PCP) = 6 – 12 mmHg
O bal…o n…o deve permanecer insuflado mais do
que alguns segundos, principalmente em pacientes
idosos ou com hipertens…o pulmonar, nos quais o perigo
de rotura da art‚ria pulmonar ‚ maior. Ap„s a defla†…o, o
bal…o retorna a posi†…o ideal no tronco da art‚ria
pulmonar e a curva de press…o pulmonar reaparece
imediatamente na tela do monitor.
OBS
6
: Os crit‚rios para encunhamento s…o os seguintes:
 A morfologia da curva de press…o com o bal…o insuflado ‚ similar Œ curva atrial;
 Ap„s desinsuflar o bal…o, uma curva t•pica de press…o da art‚ria pulmonar deve aparecer no monitor.
 A press…o m‚dia de oclus…o da art‚ria pulmonar ‚ menor do que a press…o m‚dia da art‚ria pulmonar.
 O tra†ado da curva de press…o e do ECG deverƒ mostrar duas ondas ("a" e "v") para cada complexo do ECG.
Nem sempre serƒ poss•vel distinguir estas duas ondas mas uma linha de base oscilante serƒ vis•vel.
OBS
7
: Note a seguinte rela†…o: a press…o capilar pulmonar (PCP) estƒ para o ƒtrio esquerdo assim como a press…o
venosa central (PVC) estƒ para o ƒtrio direito. Partindo deste pressuposto, podemos designar tais par‡metros como
press„es de enchimento, de modo que: quando a PVC estƒ baixa, sugere-se que o paciente estƒ hipovol€mico;
quando a PVC estƒ alta, sugere-se que ele estƒ com hipervolemia. De forma anƒloga, se a PCP estƒ baixa, significa
dizer que pouco sangue estƒ chegando ao ƒtrio esquerdo (o contrƒrio tamb‚m ‚ verdadeiro).
ESTUDO DAS VARI…VEIS CEDIDAS PELO CATETER DE ART‰RIA PULMONAR
Ao longo deste cap•tulo, vimos o qu…o ricas s…o as informa†ˆes cedidas pelo cateter de AP no que diz respeito a
adequada monitoriza†…o cardiovascular do paciente cr•tico. Neste momento, faremos algumas interpreta†ˆes e alusˆes
quanto Œs principais variƒveis que podem ser obtidas e estudadas a partir do uso do cateter de Swan-Ganz, tais como:
 Par‡metros hemodin‡micos normais
 Par‡metros de oxigena†…o
 Pressˆes de enchimento das c‡maras card•acas (PVC e PCP)
 Avalia†…o do d‚bito card•aco
 Avalia†…o das resist€ncias vasculares
VARI†VEIS HEMODIN•MICAS CEDIDAS PELO CATETER DE ART…RIA PULMONAR
Algumas das seguintes variƒveis hemodin‡micas facilmente obtidas atrav‚s da MHI oferecem o subs•dio
necessƒrio ao m‚dico para saber identificar e tratar, no paciente cr•tico, o risco de este desenvolver dis„xia tecidual – a
principal causa de morte ou de sequelas neste tipo de paciente. Podemos citar os seguintes par‡metros (os valores de
refer€ncia podem variar de acordo com a literatura pesquisada):
 Pressƒo arterial
 Sist„lica (PAS): 100 – 140 mmHg
 Diast„lica (PAD): 60 – 90 mmHg
Arlindo Ugulino Netto – MEDICINA DE URG•NCIA – MEDICINA P8 – 2011.1
24
 Pressão arterial média
 PAS + (2xPAD) = 70 – 105 mmHg
3
 Pressão do átrio direito (PAD) = Pressão venosa central (PVC)
 0 – 6 mmHg
 Pressão do ventrículo direito (PVD)
 Sist„lica (PSVD): 25 – 30 mmHg
 Diast„lica (PDVD): 0 – 6 mmHg
 Pressão da artéria pulmonar (PAP)
 Sist„lica (PSAP): 25 – 30 mmHg
 Diast„lica (PDAP): 8 – 12 mmHg
 M‚dia (PMAP): PSAP + (2xPDAP) = 9 – 18 mmHg
3
 Pressão da artéria pulmonar ocluída (PAPO) ou pressão capilar pulmonar (PCP)
 6 – 12 mmHg
 Pressão do átrio esquerdo (PAE):
 4 – 12 mmHg
 Débito cardíaco (DC)
 DC = Frequ€ncia card•aca x Volume sist„lico = 4,0 – 7,0 L/min
 Índice cardíaco (IC)
 IC = Frequ€ncia card•aca x Volume sist„lico = 2,8 – 3,6 L/min/m
2
Superf•cie corp„rea
Quando a t‚cnica de instala†…o do cateter ‚ bem realizada, todos estes dados s…o consideravelmente fi‚is ao
verdadeiro estado hemodin‡mico do paciente. Sem a MHI, o levantamento cl•nico destas variƒveis – fundamentais para
o curso e manejo para com o paciente cr•tico – seria muito dificultoso.
AVALIAÇÃO DAS PRESSÕES DE ENCHIMENTO DAS CÂMARAS CARDÍACAS
Como vimos a prop„sito da OBS
7
, as pressˆes de enchimento do ventr•culo direito e do ventr•culo esquerdo s…o,
respectivamente, representadas pela pressão de átrio direito (PAD ou, em outras palavras, PVC) e pela pressão
capilar pulmonar (PCP).
 Pressão de átrio direito (PAD) ou pressão venosa central (PVC): a press…o venosa central corresponde, por
conven†…o, Œ medi†…o press„rica feita ao n•vel do ƒtrio direito (isso porque n…o existem vƒlvulas entre as
grandes veias cavas e o ƒtrio direito e, com isso, todo o gradiente de press…o venosa ‚ concentrado no ƒtrio
direito) e, portanto, reflete a pressão de enchimento do ventrículo direito. Suas principais caracter•sticas s…o:
 PVC = PAD = PDfVD (caso n…o haja estenose tric‰spide) = 0 – 6 mmHg
 A PAD sofre influ€ncia das seguintes situa†ˆes: t•nus venoso perif‚rico; volemia; fun†…o card•aca;
resist€ncia vascular pulmonar.
 Pressão capilar pulmonar (PCP) ou pressão de artéria pulmonar ocluída (PAPO): ao insuflar o bal…o do
cateter de art‚ria pulmonar jƒ instalado em tal art‚ria (e, preferencialmente, na zona 3 de West), forma-se um
pertuito ‰nico entre a art‚ria pulmonar e as c‡maras esquerdas. Portanto, quando n…o houver obstƒculo
anat•mico, a PCP reflete, de maneira indireta, a press…o diast„lica final do ventr•culo esquerdo (PDfVE),
representando, com isso, a pressão de enchimento do ventrículo esquerdo. Desta forma, temos:
 PCP = PDfVE (caso n…o haja estenose mitral) = 6 – 12 mmHg.
 A PCP tamb‚m sofre influ€ncia das seguintes situa†ˆes: t•nus venoso perif‚rico; volemia; fun†…o
card•aca; resist€ncia vascular pulmonar.
OBS
8
: Como se sabe, a pré-carga cardíaca diz respeito, em outras palavras, a quantidade de sangue que entra no
ventr•culo. Alguns fatores podem influenciar diretamente na pr‚-carga e, com isso, alterar valores das pressˆes de
enchimento. Dentre os principais fatores, temos:
Arlindo Ugulino Netto – MEDICINA DE URG•NCIA – MEDICINA P8 – 2011.1
25
 Fatores que diminuem a pr‚-carga
 Hipovolemia
 Posi†ˆes que reduzam o retorno venoso
(ortostase, por exemplo)
 Vasodilata†…o
 Redu†…o do retorno venoso causada por
ventila†…o mec‡nica: alto PIP, altos n•veis
de PEEP.
 Pneumot„rax hipertensivo (o sangue n…o
retorna ao cora†…o quando hƒ
compress…o das veias cavas)
 Fatores que aumentam a pr‚-carga
 Aumento do volume intravascular
 Tamponamento card•aco
 Cardiopatias restritivas
 Disfun†…o ventricular esquerda
 Disfun†…o ventricular direita
AVALIAŽŒO DO D…BITO CARD‰ACO
Da fisiologia, lembremos que o d‹bito card•aco (DC) ‚ definido pelo produto da frequ€ncia card•aca pelo valor
do volume sist„lico. Para obter o chamado •ndice card•aco (IC), outro par‡metro cedido pelo cateter de Swan-Ganz,
devemos indexar o valor unitƒrio do DC (5 L/min) pela superf•cie corporal. Desta forma, temos:
DC = Frequ•ncia card•aca x Volume sistŠlico = 4 – 8 L/min
IC = DC / Superf•cie corporal = 2,8 – 3,6 L/min/m
2
Partindo deste pressuposto, o d‚bito card•aco pode ser influenciado por, pelo menos, tr€s variƒveis: pr‚-carga
(OBS
8
), contratilidade e p„s-carga (OBS
11
). Com isso, podemos intervir no d‚bito card•aco otimizando os seguintes
fatores: reposi†…o vol€mica, drogas inotr„picas, drogas vasodilatadoras ou vasoconstrictoras, etc.
Pr‹-carga Contratilidade PŠs-carga
 Š mensurada atrav‚s da
press…o venosa central (PVC)
e da press…o da art‚ria
pulmonar (PAPO)
 Representa a press…o
diast„lica final dos ventr•culos
direito e esquerdo (PDfVD e
PDfVE)
 A PDfV corresponde ao
volume diast„lico final dos
ventr•culos
 Š definida como a capacidade
do miocƒrdio em gerar tens…o
contrƒtil
 De dif•cil aferi†…o – fra†…o de
eje†…o
OBS: Lei de Frank-Starling: a for†a de
contra†…o card•aca ‚ diretamente
relacionada com o grau de
estiramento da fibra miocƒrdica ao
final da diƒstole.
 Š definida pelos fatores que
contribuem na imped‡ncia ao
fluxo sangu•neo que sai do
cora†…o, comandando a
velocidade de encurtamento
da fibra miocƒrdica
 Tem uma rela†…o inversa com
a performance card•aca
Como se sabe, a Press…o Arterial ‚ obtida, matematicamente, pelo produto da multiplica†…o entre o d‚bito
card•aco e a resist€ncia vascular total. Portanto, a press…o arterial ‚ diretamente proporcional ao DC e Œ resist€ncia
vascular. Da• a import‡ncia de mensurar o DC durante a MHI.
A t‚cnica de determina†…o do DC depende do princ•pio da termodilui†…o (ver OBS
9
) que se baseia, em resumo,
na inje†…o de soro gelado no ƒtrio direito pela via proximal do cateter. O termistor localizado na ponta do cateter detecta
a mudan†a da temperatura do sangue e mensura o DC atrav‚s de uma curva t‚rmica constru•da com base em cƒlculos
matemƒticos. Desta forma, temos que o DC ‚ inversamente proporcional ao tamanho da curva (temperatura x tempo):
 Curva larga – baixo DC: significa que ‚
necessƒrio mais tempo para a
temperatura do sangue retornar a linha de
base.
 Curva pequena – DC alto: significa que
menos tempo foi necessƒrio para a
temperatura do sangue retornar a linha de
base.
OBS
9
: O princ•pio da termodilui‚ƒo, utilizado no cƒlculo do d‚bito card•aco, ‚ uma extens…o da dilui†…o de indicador
(no caso, um indicador t‚rmico), na qual uma quantidade conhecida de indicador (ex.: frio) ‚ injetada em um local
especificado “corrente acima” (ex.: ƒtrio direito) e o resultante efeito dilucional do indicador, ao misturar-se com sangue,
numa localiza†…o “corrente abaixo” (ex.: termistor na art‚ria pulmonar), ‚ medido, gerando uma curva de diferencial de
temperatura, e a ƒrea abaixo desta curva ‚ integrada. Dessa maneira, o d‚bito card•aco ‚ calculado, empregando-se a
f„rmula de Stewart-Hamilton de dilui†…o do indicador.
Arlindo Ugulino Netto – MEDICINA DE URG•NCIA – MEDICINA P8 – 2011.1
26
OBS
10
: Determinantes do débito cardíaco.
Diminuição do débito cardíaco Aumento do débito cardíaco
 Enchimento ventricular inadequado
 Disritmias
 Hipovolemia
 Tamponamento card•aco
 Estenose mitral ou tric‰spide
 Pericardite constrictiva
 Cardiomiopatia restrictiva
 Esvaziamento ventricular inadequado
 Insufici€ncia mitral ou tric‰spide
 Infarto do miocƒrdio
 Aumento da p„s-carga (hipertens…o)
 Desordens metab„licas (acidose, hip„xia)
 Uso de drogas inotr„picas negativas
(beta-bloqueadores, bloqueadores dos
canais de cƒlcio)
 Fatores que aumentam a frequ€ncia card•aca,
contratilidade e diminuem a p„s-carga
 Sepse
 Anemia
 Gravidez
 Crise de hipertireoidismo
AVALIAÇÃO DAS RESISTÊNCIAS VASCULARES
Atrav‚s de cƒlculos predeterminados, o computador, acoplado ao sistema de MHI, pode fornecer dados
referentes a resist€ncia vascular.
 Resistência vascular sistêmica (RVS): reflete a p„s-carga do ventr•culo esquerdo (ver OBS
11
)
 RVS = (PAM – PAD) x 80 = 770 – 1500 dinas/segundo/cm
5
DC
 Resistência vascular pulmonar (RVP): reflete a p„s-carga do ventr•culo direito (ver OBS
11
)
 RVP = (PAPM – PCP) x 80 = 80 – 120 dinas/segundo/cm
5
DC
Se, por exemplo, um paciente apresenta-se em choque de origem cl•nica desconhecida e, ao analisar a MHI,
observamos uma press…o arterial muito baixa (obviamente, caracterizando um choque) associada a uma resist€ncia
vascular estiver alta, podemos sugerir que o componente arterial do paciente se encontra vasopl‚gica (dilatada),
caracterizando um t•pico choque hipovol€mico. Neste caso, devemos iniciar lan†ando m…o da infus…o de volume e
manter a monitoriza†…o invasiva e cl•nica.
OBS
11
: Como se sabe, a pós-carga cardíaca diz respeito, em outras palavras, a resist€ncia contra a qual os ventr•culos
devem bombear para ejetar o seu volume.
 Fatores que diminuem a p„s-carga
 Drogas vasodilatadoras:
nitroprussiato, nitroglicerina,
bloqueadores dos canais de
cƒlcio, beta-bloqueadores.
 Choque: s‚ptico, anafilƒtico,
neurog€nico.
 Hipertermia (febre)
 Fatores que aumentam a p„s-carga do
ventr•culo esquerdo (aumentam a RVS):
 Vasoconstric†…o: como ocorre na
hipotermia, hipertens…o, drogas
vasopressoras.
 Choque hipovol€mico ou
cardiog€nico.
 Efeitos obstrutivos: estenose
a„rtica e/ou pulmonar.
 Fatores que aumentam a
p„s-carga do ventr•culo
direito (aumentam a
RVP):
 Hipertens…o
pulmonar
 Hip„xia
 Embolia pulmonar
 Cor pulmonale.
AVALIAÇÃO DAS VARIÁVEIS DE OXIGENAÇÃO
Embora seja tema do pr„ximo cap•tulo, a anƒlise das variƒveis de oxigena†…o tamb‚m ‚ um importante
par‡metro cedido pela MHI. Por meio dela, podemos deduzir tr€s vertentes: (1) a quantidade de oxig€nio que estƒ sendo
ofertada para as c‚lulas; (2) a quantidade de oxig€nio que estƒ sendo utilizada pelos tecidos; e (3) o que estƒ sobrando
desta utiliza†…o e estƒ retornando ao cora†…o. Da•, temos:
 Oferta de oxigênio (DO2)
 DO2 = Conte‰do arterial de oxig€nio (CaO2) x D‚bito card•aco (DC) = 600 ml/min
 Consumo de oxigênio (VO2)
 VO2 = (Conte‰do arterial de oxig€nio - Conte‰do venoso de oxig€nio) x DC = 150 ml/min
Arlindo Ugulino Netto – MEDICINA DE URG•NCIA – MEDICINA P8 – 2011.1
27
 Taxa de extração de oxigênio (TEO2)
 TEO2 = VO2 / DO2 x 100= 20 – 30%
Estas variƒveis s…o importantes no advento de um choque s‚ptico, por exemplo, em que certos tipos de
bact‚rias liberam citocinas que inibem a respira†…o mitocondrial e, por esta raz…o, independente da oferta de oxig€nio
para o paciente, o consumo e a extra†…o do mesmo estarƒ prejudicado. Conclui-se, deste pressuposto, que n…o adianta
tratar choque s‚ptico apenas com a utiliza†…o de oxig€nio, uma vez que este n…o serƒ utilizado.
INTERPRETA‚„O DAS VARI…VEIS CEDIDAS PELO CATETER
Ao longo deste cap•tulo, vimos como e quais s…o as variƒveis que o cateter de art‚ria pulmonar monitoriza.
Neste momento, faremos alus…o Œ import‡ncia da interpreta†…o de cada variƒvel do ponto de vista cl•nico, diagn„stico e
progn„stico do paciente cr•tico. O seguinte quadro e a OBS
12
podem resumir a import‡ncia de tal interpreta†…o.
Arlindo Ugulino Netto – MEDICINA DE URG•NCIA – MEDICINA P8 – 2011.1
28
OBS12
: Tipos de choque circulatório. A saber, os principais tipos de choque que podemos citar s…o:
 Choque hipovolêmico: ocorre perda de sangue ou por perda de l•quidos corporais (desidrata†…o). Pode haver, contudo,
choques hipovol€micos em que o indiv•duo mant‚m a sua press…o arterial constante devido Œ libera†…o em massa de
catecolaminas (choque hipovol€mico grau I).
 Choque obstrutivo extra-cardíaco: cole†…o de sangue que se acumula no pericƒrdio dificultando o processo de expans…o
card•aca dentro deste saco.
 Choque cardiogênico: resultante de uma grave redu†…o da fun†…o card•aca.
 Choque distributivo: caracteriza-se n…o por redu†…o do volume circulante, mas por uma hipovolemia relativa inerente a
vasodilata†…o sist€mica. S…o tipos de choque distributivo:
o Choque neurog€nico: resultado de les…o raquimedular com acometimento do componente simpƒtico do sistema
nervoso aut•nomo.
o Choque s‚ptico: condi†…o causada por uma s•ndrome da resposta inflamat„ria sist€mica (SRIS) associada Œ
infec†…o.
o Choque anafilƒtico: rea†…o sist€mica inerente Œ libera†…o de subst‡ncias alerg€nicas.
INTERPRETAÇÃO DA PRESSÃO DO ÁTRIO DIREITO (PRESSÃO VENOSA CENTRAL)
 Reflete o estado de enchimento e a fun†…o diast„lica do cora†…o direito;
 Indiretamente, mensura a pr‚-carga do ventr•culo direito;
 O valor normal ‚ de 0 – 6 mmHg;
 Deve ser avaliada juntamente com o d‚bito card•aco e o •ndice sist„lico (VS/IS):
 PVC > 6 mmHg: significa dizer que muito sangue estƒ chegado ao cora†…o (hipervolemia) ou, mais
frequentemente, reflete fal€ncia de VD (se VS/IS for baixo);
 PVC < 0 mmHg: quase sempre reflete hipovolemia (se VS/IS foi baixo).
PVC alta PVC baixa
 Insufici€ncia ventricular direita (infarto agudo de VD)
 Miocardiopatia
 Insufici€ncia ventricular direita secundƒria a
aumento de RVP (estenose pulmonar, hipertens…o
pulmonar, sepse, doen†a pulmonar obstrutiva
cr•nica)
 Insufici€ncia ventricular direita secundƒria a
insufici€ncia ventricular esquerda (estenose mitral,
insufici€ncia mitral)
 Hipervolemia
 Hipovolemia
INTERPRETAÇÃO DA PRESSÃO CAPILAR PULMONAR (PCP)
 Reflete o estado de enchimento do ventr•culo esquerdo e press…o diast„lica final do VE (PDfVE ou PD2VE).
 Indiretamente, mensura a pr‚-carga do ventr•culo esquerdo;
 O valor normal varia de 8 – 12 mmHg.
 Deve ser avaliada juntamente com o d‚bito card•aco e o •ndice sist„lico (VS/IS):
 PCP > 18 mmHg usualmente reflete disfun†…o ventricular (se VS/IS for baixo);
 PCP < 8 mmHg usualmente reflete hipovolemia (se VS/IS for baixo)
PCP alta PCP baixa
 Hipervolemia
 Tamponamento card•aco
 Disfun†…o do ventr•culo esquerdo (insufici€ncia
card•aca congestiva, infarto agudo do miocƒrdio,
insufici€ncia mitral)
 Hipovolemia
 PCP < 18 mmHg – pulm…o encontra-se “seco”
 PCP = 20 a 30 mmHg – existe edema pulmonar
 PCP > 30 mmHg – existe edema pulmonar incompat•vel com a vida
INTERPRETAÇÃO DO VOLUME SISTÓLICO (VS)
 Volume sist„lico ‚ definido pela quantidade de sangue bombeada a cada batimento card•aco
 VS normal ‚ de 50 – 100 ml/batimento
 Š influenciado por:
 Pr‚-carga: determinada pelo enchimento ventricular durante a diƒstole.
 Contratilidade: ‚ a for†a de eje†…o ventricular. Refere a press…o gerada pelos ventr•culos e pelo sangue
a ser ejetado por eles. Š dificilmente mensurada por par‡metros cl•nicos.
 P„s-carga: determinada pela resist€ncia a eje†…o de sangue a partir dos ventr•culos.
Arlindo Ugulino Netto – MEDICINA DE URG•NCIA – MEDICINA P8 – 2011.1
29
INTERPRETAÇÃO DO ÍNDICE VOLUME SISTÓLICO
 •ndice sist„lico ‚ o volume sist„lico indexado a ƒrea de superf•cie corp„rea
 O IS normal ‚ de 2,5 – 4,5 ml/batimentos/m
2
Índice/Volume sistólicos Baixo Índice/Volume sistólicos Alto
 Volume sangu•neo inadequado (hipovolemia)
 Contratilidade ventricular prejudicada (isquemia,
necrose miocƒrdica)
 Aumento da RVS (HAS, uso de catecolaminas
 Disfun†…o valvar card•aca (insufici€ncia mitral)
 Diminui†…o da RVS:
 Sepse
 SRIS
 Choque anafilƒtico
INTERPRETAÇÃO DO DÉBITO/ÍNDICE CARDÍACO
 O DC ‚ a quantidade de sangue bombeado pelo cora†…o em um minuto.
 DC normal ‚ de 4 – 8 ml/min;
 IC normal ‚ de 2,5 – 4 l/min/m
2
 Š o principal determinante da oferta de oxig€nio aos tecidos;
 Valores anormais devem ser avaliados com VS/IS e SvO2
 Devemos atentar que um DC normal pode estar associado com um VS baixo na presen†a de taquicardia.
Índice cardíaco baixo Índice cardíaco alto
 Choque cardiog€nico
 Insufici€ncia ventricular esquerda
 Hipotermia
 Hipovolemia
 Sepse
 SRIS
 Hipertermia
INTERPRETAÇÃO DA SATURAÇÃO VENOSA MISTA DE OXIGÊNIO (SvO2)
 Reflete o balan†o entre a oferta e o consumo de oxig€nio
 Valores normais: 60 – 75%
 Quanto mais anormal for a SvO2, maior o risco de hip„xia tissular:
 < 60% - na medida em que o valor diminui abaixo disto, a amea†a a oxigena†…o tissular aumenta.
 > 80% - pode tamb‚m representar amea†a Œ oxigena†…o tissular
OBS
12
: Diagnóstico diferencial de estados de choque.
PVC PCP DC RVS TSVE
Choque distributivo ↓ ↓ ↑ ↓ ↓
Choque cardiogênico ↑ ↑ ↓ ↑ ↓
Choque hipovolêmico ↓ ↓ ↓ ↑ ↓
Choque obstrutivo ↑ ↑ ↓ ↑ ↓
CONSIDERA‚ƒES FINAIS
 O cateter de Swan-Ganz, embora seja um recurso diagn„stico fundamental para pacientes cr•ticos, ele n…o
representa uma ferramenta terap€utica.
 A MHI ‚ uma ferramenta que monitoriza a circula†…o e oferece informa†ˆes dif•ceis de se obter clinicamente.
 Estas informa†ˆes, por si s„, n…o impˆe benef•cio. Contudo, quando utilizadas em subgrupos espec•ficos com
protocolo adequado, observa-se benef•cios.
 Hƒ dados consistentes para garantir seguran†a do m‚todo.
Arlindo Ugulino Netto – MEDICINA DE URG•NCIA – MEDICINA P8 – 2011.1
30
MED RESUMOS 2011
NETTO, Arlindo Ugulino.
MEDICINA DE URGÊNCIA E TERAPIA INTENSIVA
OFERTA E CONSUMO DE OXIGÊNIO
(Professor Ciro Leite Mendes)
O que caracteriza a maioria dos pacientes gravemente enfermos, assistidos n…o s„ em unidades de terapia
intensiva (UTI), como tamb‚m nos ambientes de pronto-socorro e centros cir‰rgicos de emerg€ncia, ‚, justamente, a
presen†a de um dist‰rbio na rela†…o entre o que ‚ ofertado de oxig€nio para as suas c‚lulas e o que, efetivamente, elas
est…o fazendo uso.
Geralmente, na maior parte dos tipos de choque, ocorre uma diminui†…o da oferta de oxig€nio com rela†…o Œs
necessidades do mesmo. Portanto, saber lidar com certas variƒveis relacionadas a esta rela†…o pode render ao m‚dico
intensivista o diagn„stico de certos tipos de choque ou de maiores complica†ˆes, cabendo a ele uma maior possibilidade
de reverter o quadro pelo qual passa o enfermo.
CONSIDERA‚ƒES GERAIS
Como se sabe, o oxig€nio ‚ essencial para a respira†…o e metabolismo celular, sendo assim, fundamental para a
vida de um ser aer„bico. Dentre outras fun†ˆes, o oxig€nio ‚ responsƒvel por fazer com que uma mol‚cula de glicose
renda 38 ATPs. Da• a import‡ncia de estabelecer e mensurar a rela†…o entre a oferta e o consumo de oxig€nio – uma
vez que, sem oxig€nio, ‚ imposs•vel a sobreviv€ncia celular.
Embora alguns organismos unicelulares possam se dar ao luxo de viver sem oxig€nio, a partir de um
determinado ponto da evolu†…o, as c‚lulas passaram a incorporar oxig€nio para obter energia de forma mais eficiente,
tanto para manter suas fun†ˆes bƒsicas como para manter a pr„pria estrutura celular. Logicamente, sendo os seres
humanos o topo da cadeia evolutiva, esta caracter•stica, herdada ao longo da evolu†…o, tamb‚m ‚ essencial para a
sobreviv€ncia da nossa esp‚cie.
Portanto, constantemente, o ser humano necessita
retirar oxig€nio da atmosfera e distribu•-lo ao longo do corpo.
Estas fun†ˆes s…o comandadas, basicamente, pelos sistemas
respirat„rio e cardiovascular, que s…o intimamente
interligados. Esta fun†…o deve ser constante e harmoniosa –
o oxig€nio deve ser coletado da atmosfera para dentro dos
pulmˆes, deve ser transportado para a corrente sangu•nea e
enviado para todas as c‚lulas do corpo. Os produtos de seu
metabolismo devem, obrigatoriamente, serem eliminados.
Contudo, quando hƒ algum dist‰rbio na rela†…o oferta
e consumo de oxig€nio e as c‚lulas passam a n…o receber
oxig€nio de uma maneira adequada – isto ‚: a quantidade de
oxig€nio que elas utilizam estƒ abaixo das necessidades
funcionais para o seu metabolismo – elas passam a gerar
energia de uma maneira muito pouco eficaz: sem oxig€nio, a
mol‚cula de piruvato (formada a partir da glic„lise, que ocorre
no citoplasma) n…o ‚ capaz de entrar na mitoc•ndria para dar
continuidade Œs outras etapas da respira†…o celular e passa a
se acumular no citoplasma celular. Desta forma, como rege a
lei da conserva†…o das massas, o piruvato, ao ser
acumulado, passa a inibir a sua s•ntese – inibindo, assim, a
pr„pria glic„lise.
Para este ac‰mulo de piruvato dentro da c‚lula, o
organismo celular lan†a m…o da convers…o de piruvato em
lactato, uma mol‚cula capaz de sair do citoplasma celular e
alcan†ar a corrente sangu•nea (por esta raz…o, quando o
paciente se apresenta em estado de hip„xia, um dos
primeiros eventos que ocorrem ‚ o ac‰mulo de lactato no
sangue na forma de ácido lático).
A quantidade de energia que ‚ gerada por meio da glic„lise anaer„bica ‚ muito pequena e ineficaz – para se ter
a id‚ia, uma mol‚cula de glicose gera apenas 2 ATPs quando ela participa do ciclo anaer„bico ao inv‚s de render 38
mol‚culas de ATP. Tal quantidade pode ser considerada incompat•vel com a vida, pois existem c‚lulas com demanda
metab„lica t…o alta que n…o resistem a mais de 5 minutos sob este regime anaer„bico, como ‚ caso da c‚lula neuronal.
Arlindo Ugulino Netto – MEDICINA DE URG•NCIA – MEDICINA P8 – 2011.1
31
Observando o gráfico ao lado, fica mais
clara a importância do oxigênio para a vida
humana. Nele, podemos analisar a relação entre a
probabilidade de morte e o déficit de oxigênio. Tal
relação, até um determinado ponto, é pouco
significativa. Contudo, a partir deste ponto, a
relação passa a ser diretamente proporcional, de
modo que, a probabilidade de morte é cada vez
maior quanto maior for o débito de oxigênio.
Portanto, como vimos anteriormente:
sabendo que a maioria dos pacientes em estado
grave apresenta um distúrbio na relação entre a
oferta e consumo de oxigênio, é dever do médico
intensivista saber diagnosticar e tratar tal situação,
restaurando o equilíbrio da relação
oferta/consumo de O2.
Há várias formas de restaurar o equilíbrio desta relação, a depender do fator causador do distúrbio: a manobra
de Heimlich pode desobstruir uma via respiratória impérvia; a antibioticoterapia pode auxiliar no tratamento de uma
eventual pneumonia que prejudique as trocas gasosas; etc. Contudo, este capítulo tem por objetivo abordar os distúrbios
cardiovasculares que influenciam na relação oferta/consumo de O2, sendo o choque circulatório e suas variantes o
principal representante.
Por definição fisiopatológica, choque significa o desequilíbrio da relação entre a oferta e o consumo de oxigênio
determinado por alterações no sistema cardiovascular. Tais alterações podem se apresentar de várias formas, como
alterações da contratilidade do músculo cardíaco (em consequência de um infarto, por exemplo), um mau enchimento
capilar por diminuição da volemia circulante efetiva (como consequência de um choque hemorrágico), embolia pulmonar,
etc.
Os principais tipos de choque que podemos citar são:
 Choque hipovolêmico: ocorre perda de sangue ou por perda de líquidos corporais (desidratação). Pode haver,
contudo, choques hipovolêmicos em que o indivíduo mantém a sua pressão arterial constante devido à liberação
em massa de catecolaminas (choque hipovolêmico grau I).
 Choque obstrutivo extra-cardíaco: coleção de sangue que se acumula no pericárdio dificultando o processo
de expansão cardíaca dentro deste saco.
 Choque cardiogênico: resultante de uma grave redução da função cardíaca.
 Choque distributivo: caracteriza-se não por redução do volume circulante, mas por uma hipovolemia relativa
inerente a vasodilatação sistêmica. São tipos de choque distributivo:
o Choque neurogênico: resultado de lesão raquimedular com acometimento do componente simpático do
sistema nervoso autônomo.
o Choque séptico: condição causada por uma síndrome da resposta inflamatória sistêmica (SRIS)
associada à infecção.
o Choque anafilático: reação sistêmica inerente à liberação de substâncias alergênicas.
Obviamente, a relação entre oferta e consumo de O2 é obtida através da razão entre os valores referentes a
estas variáveis. Portanto, passaremos a estudar agora os determinantes desta relação, fazendo alusão aos fatores que
podem influenciar os mesmos e forma de mensurá-los.
DETERMINANTES DA OFERTA DE O2 AOS TECIDOS
A oferta de oxigênio aos tecidos é determinada, basicamente, pelo débito cardíaco e pelo conteúdo arterial de
oxigênio, obedecendo à seguinte relação:
Sendo:
 DO2: oferta de oxigênio (do inglês, delivery,que quer dizer entrega ou remessa);
 DC: débito cardíaco (quantidade de sangue bombeada pelo coração a cada minuto), determinado pelo volume
sistólico e pela frequência cardíaca;
 CaO2: conteúdo arterial de oxigênio, representando a quantidade de O2 no sangue.
Note que a oferta de oxigênio é diretamente proporcional ao débito cardíaco e à quantidade de oxigênio presente
no sangue. Destes dois componentes, podemos considerar o débito cardíaco como o mais importante, uma vez que
pode ser manipulado pelo organismo quando necessário.
Isso acontece, por exemplo, quando uma vítima de ferimento pérfuro-cortante perde muito sangue (e,
consequentemente, tem seu débito cardíaco reduzido) e, em resposta a barorreceptores, lança mão da liberação de uma
Arlindo Ugulino Netto – MEDICINA DE URG•NCIA – MEDICINA P8 – 2011.1
32
grande quantidade de catecolaminas que diminuem o t•nus vagal. Como consequ€ncia, ocorre aumento da frequ€ncia
card•aca, vasoconstric†…o arterial e aumento do t•nus vascular venoso, ativa†…o do sistema renina-angiotensina-
aldosterona (para manter as concentra†ˆes de s„dio e ƒgua), etc. Todos estes eventos ocorrem no intuito de restaurar a
volemia e o d‚bito card•aco.
Ent…o, note que o organismo ‚ capaz de gerar respostas para manipular o d‚bito card•aco sempre que
necessƒrio. Contudo, ele n…o ‚ capaz de fazer o mesmo – pelo menos, n…o t…o rapidamente – para manipular o
conte‰do arterial de oxig€nio. Portanto, ‚ neste componente que o m‚dico deve intervir terapeuticamente, no intuito de
melhorar a oferta de O2.
DÉBITO CARDÍACO
O d‚bito card•aco, como vimos, ‚ definido como a quantidade de sangue ejetada pelos ventr•culos a cada
minuto. Desta forma, temos:
Sendo:
 DC: d‚bito card•aco.
 VS: volume sist„lico ventricular, que pode ser definido como a quantidade de sangue que o cora†…o ejeta a cada
batimento. Matematicamente, consiste na diferen†a entre o Volume Diast„lico Final (VDF) e o Volume Sist„lico
Final (VSF). O VS pode variar entre os ventr•culos a depender de vƒrias situa†ˆes, inclusive fisiol„gicas. Durante
a inspira†…o, por exemplo, a press…o intratorƒcica diminui, fazendo com que mais sangue entre no ƒtrio e no
ventr•culo direito, enquanto que menos sangue ‚ destinado ao ventr•culo esquerdo. Portanto, na inspira†…o,
enquanto que o VS do ventr•culo direito tende a aumentar, o VS do ventr•culo esquerdo tende a diminuir (o
contrƒrio, durante a expira†…o, ‚ verdadeiro). Contudo, ao final de um minuto, o VS para ambos os ventr•culos,
apesar destas varia†ˆes moment‡neas, vai ser id€ntico.
 FC: frequ€ncia card•aca, que corresponde ao n‰mero de vezes que o cora†…o bate por minuto (N: 60 – 100
bpm). Em princ•pio, quanto menor for a frequ€ncia card•aca, menor ‚ o d‚bito card•aco (o contrƒrio tamb‚m ‚
verdadeiro). Portanto, quanto maior for a frequ€ncia card•aca, maior o d‚bito card•aco e, em consequ€ncia disso,
maior serƒ a oferta de oxig€nio. Por conta disso, uma das primeiras respostas que o organismo lan†a m…o
mediante a presen†a de hip„xia ou falta de volemia ‚ o aumento da frequ€ncia card•aca.
O volume sistólico ‚, portanto, essencial para a regula†…o
do d‚bito card•aco. Como vimos anteriormente, ele pode ser
definido como o volume de sangue que o cora†…o ejeta a cada
batimento. Matematicamente, ‚ definido pela diferen†a entre o
Volume Diast„lico Final (VDF) e o Volume Sist„lico Final (VSF) –
ver OBS
1
.
O volume ejetado no cora†…o humano varia em torno de 70
ml (mililitros). O valor do volume sist„lico resulta de uma intera†…o
complexa entre a for†a com que a fibra se contrai (contratilidade
cardíaca), o volume de sangue que chega previamente Œ contra†…o
(pré-carga) e a resist€ncia que o sistema circulat„rio impˆe Œ
eje†…o do sangue (pós-carga). Este mecanismo participa de um
sistema mais amplo, que estabelece o controle do d‚bito card•aco (o
volume de sangue que o cora†…o ejeta a cada minuto).
OBS
1
: Ap„s esta explica†…o, um levantamento pode ser feito: por mais eficiente que seja a contra†…o ventricular, nunca
o m‰sculo card•aco ‚ capaz de ejetar todo o sangue. Desta forma, a fra†…o de eje†…o fica em torno de 60 a 70% do total
de sangue que enche os ventr•culos ao final da diƒstole. Por esta raz…o, sempre haverƒ um volume sist„lico final (VSF) a
ser calculado.
Portanto, das rela†ˆes matemƒticas que vimos at‚ ent…o, tudo que aumentar o VDF vai aumentar o VS; por
outro lado, tudo que aumentar o VSF, diminui o VS. E, portanto, s…o as variaveis que vimos a pouco as responsƒveis por
influenciar nos valores do VS: pr‚-carga, p„s-carga e contratilidade. Desta forma, temos:
Arlindo Ugulino Netto – MEDICINA DE URG•NCIA – MEDICINA P8 – 2011.1
33
Pré-carga.
A pr‚-carga pode ser definida como o estiramento inicial dos mi„citos card•acos antes da contra†…o (isto ‚,
“antes da carga el‚trica”). Estƒ relacionada, dessa forma, com o grau de estiramento do sarc•mero. Como o tamanho do
sarc•mero n…o pode ser determinado no cora†…o intacto, utilizam-se outros •ndices, tais como volume ou press…o
diast„licos finais do ventr•culo.
Uma propriedade importante do sarc•mero miocƒrdio referente Œ pr‚-carga (e tamb‚m a p„s-carga) ‚
determinada pela lei de Frank-Starling. Como se sabe, a maior parte do sangue que chega ao ventr•culo deve ser
ejetado do mesmo. Da•, segundo esta lei, o aparelho contrƒtil microsc„pico do m‰sculo miocƒrdico funciona como uma
mola que, uma vez contra•da at‚ um determinado ponto, ele volta impondo uma determinada for†a; quanto mais se
aumenta a distens…o do sarc•mero (at‚ o limite de 2“m), maior ‚ a for†a com a qual ele se contrai. Portanto, segundo a
lei de Frank-Starling, em condi†ˆes normais, o cora†…o bombearƒ todo sangue que a ele chegar, sem que haja ac‰mulo
de sangue nos vasos (acumulando-se, apenas, o volume sist„lico final fisiol„gico).
Portanto, podemos apontar a pr‚-carga como o responsƒvel pela distens…o do sarc•mero. Em outras palavras, ‚
a quantidade de sangue presente no ventr•culo ao final da diƒstole a responsƒvel pelo estiramento do sarc•mero. Por
conta deste mecanismo fisiol„gico, quanto mais sangue chegar ao cora†…o, maior serƒ a capacidade de eje†…o card•aca
para manter a premissa do d‚bito card•aco (“tudo que chega ao cora†…o, deve sair”).
Esta propriedade ‚ importante devido Œs varia†ˆes constantes que ocorrem com o retorno venoso (como vimos
anteriormente, o pr„prio ciclo respirat„rio influencia diretamente no retorno venoso), e o ventr•culo deve estar preparado
para estas altera†ˆes.
Se, eventualmente, o volume diast„lico final do VD estiver reduzido, significa dizer que a pr‚-carga card•aca
tamb‚m estƒ reduzida (redu†…o esta avaliada atrav‚s da monitoriza†…o hemodin‡mica invasiva, obviamente). Nesta
situa†…o, ‚ necessƒria uma iniciativa m‚dico-terap€utica para aumentar a pr‚-carga – para isso, infunde-se volume no
paciente. Contudo, como mostram os grƒficos abaixo, nem todos os pacientes respondem bem a infus…o de l•quidos
para o aumento da pr‚-carga e, consequentemente, da oferta de oxig€nio.
A rela†…o entre a press…o diast„lica final do VE (pr‚-carga) e o d‚bito card•aco
(volume sist„lico, no grƒfico) ‚ estabelecida por meio do grƒfico ao lado (curva
de Frank-Starling). Note que a curva apresenta um grande segmento linear
que caracteriza uma rela†…o diretamente proporcional entre o aumento de
volume e o aumento de press…o dentro do VE. Contudo, existe um ponto de
distens…o mƒxima do sarc•mero que determina a horizontaliza†…o da curva,
que ocorre quando os valores do volume de sangue se aproximam de 100ml,
de modo que, mesmo com o aumento da press…o no VE, n…o ocorre aumento
significativo do volume sist„lico.
Clinicamente, a interpreta†…o desta curva traz detalhes prƒticos importantes:
pacientes que ainda se apresentam na fase em que hƒ uma rela†…o
diretamente proporcional entre o d‚bito card•aco e a PDfVE (1) s…o
classificados como pacientes fluido-responsivos, de modo que, nestes
pacientes, vale a pena intervir oferecendo fluido endovenoso no intuito de
aumentar o volume sist„lico, aumentando o d‚bito card•aco e,
consequentemente, a oferta de oxig€nio.
Contudo, quando os pacientes se encontram em um estado em que a rela†…o
jƒ n…o ‚ mais direta (2), os classificamos como pacientes não-fluido-
responsivos, de modo que, mesmo oferecendo l•quido endovenoso para eles,
pequeno serƒ o impacto no d‚bito card•aco e na oferta de oxig€nio, uma vez
que a distens…o do seu sarc•mero jƒ se encontra em um limiar mƒximo. Se por
ventura for infundido mais l•quido, o sarc•mero n…o responderƒ com a mesma
contratilidade de pacientes fluido-responsivos.
Se insistirmos em infundir l•quidos nestes pacientes n…o-fluido-responsivos,
poderƒ ocorrer extravasamento do l•quido intravascular para o terceiro espa†o
ou para o interst•cio pulmonar, causando congest…o e edema pulmonar,
piorando ainda mais a oferta de oxig€nio.
Apesar de a interpreta†…o prƒtica da curva de Frank-Starling influenciar, de modo direto, a nossa conduta
terap€utica em pacientes com d‚ficit de pr‚-carga, ‚ muito dif•cil, clinicamente, saber diferenciar um paciente fluido-
responsivo de um n…o-fluido-responsivo. Geralmente, a diferencia†…o s„ ‚ feita ap„s a tentativa de infundir o l•quido
endovenoso.
Arlindo Ugulino Netto – MEDICINA DE URG•NCIA – MEDICINA P8 – 2011.1
34
Pós-carga.
A p„s-carga pode ser imaginada como a resist€ncia que o cora†…o tem que vencer para ejetar o sangue durante
a s•stole (isto ‚, “ap„s a carga el‚trica que determina a contra†…o ventricular”). Em termos mais simples, a p„s‐carga
estƒ fortemente relacionada Œ pressão arterial. Mais precisamente, a p„s-carga ‚ relacionada ao estresse de parede ou
tens…o.
A p„s-carga ‚ determinada, por tanto, pela resist€ncia vascular sist€mica (no caso do ventr•culo esquerdo) e
pela resist€ncia vascular pulmonar (no caso do ventr•culo direito). No que diz respeito Œ p„s-carga do VE: existe uma
rela†…o diretamente proporcional entre a constric†…o arteriolar (em n•vel dos esf•ncteres pr‚-capilares, mais
precisamente), resist€ncia vascular sist€mica, press…o na raiz da aorta e p„s-carga card•aca. Desta forma, quanto maior
for a resist€ncia vascular sist€mica, maior a dificuldade que o VE apresenta em ejetar o sangue e, com isso, maior a p„s-
carga.
Portanto, a p„s-carga ‚ maior quando a press…o a„rtica e a resist€ncia vascular sist€mica est…o aumentadas.
Quando a p„s-carga aumenta, ocorre ainda incremento do volume sist„lico final e, consequentemente, uma diminui†…o
no volume sist„lico (isso porque: quanto maior a dificuldade do VE em ejetar sangue para fora do cora†…o, mais sangue
passa a ser acumular no mesmo ao final da s•stole).
Um aumento na p„s-carga desvia a curva de Frank-Starling para
baixo e para a direita (de A para B, como mostra o grƒfico ao lado). A
base para isso estƒ na rela†…o for†a-contratilidade para os mi„citos
card•acos.
Note no grƒfico A ao lado, que o cora†…o exerce uma determinada
press…o para ejetar um determinado volume sist„lico. Contudo, com o
aumento da p„s-carga (B), maior serƒ a press…o diast„lica final no
ventr•culo esquerdo para a mesma quantidade de volume sist„lico (o
que faz a curva desviar para a direita e para baixo).
Portanto, ao analisarmos os determinantes do d‚bito card•aco de um modo geral, podemos concluir que o
aumento da pr‚-carga, at‚ um certo ponto, melhora a oferta de oxig€nio, enquanto que o aumento da p„s-carga diminui
esta oferta. Neste momento, o estudante pode raciocinar que prudente seria lan†ar m…o de drogas que diminuem a p„s-
carga ao mƒximo, facilitando a eje†…o de sangue a partir dos ventr•culos, aumentando o d‚bito card•aco e, assim, a
oferta de oxig€nio.
Contudo, tal racioc•nio ‚ pertinente at‚ um certo ponto: para que haja fluxo em um tubo, ‚ necessƒrio que haja
diferen†a de press…o entre as duas extremidades (pressão de perfusão). O mesmo ocorre com o sistema vascular: se
reduzirmos a p„s-carga a valores pr„ximos a 0 mmHg, por exemplo, n…o haverƒ fluxo ao longo do tubo e, com isso, n…o
haverƒ oferta nenhuma de oxig€nio.
Na prƒtica, a press…o de perfus…o no sistema cardiovascular ‚ determinada pela diferen†a de press…o que existe
na raiz da art‚ria aorta e no ventr•culo direito, garantindo o fluxo de sangue ao longo do sistema vascular. Por isso que
n…o se pode reduzir tanto a p„s-carga, sendo necessƒrio manter uma press…o de perfus…o m•nima de 55 mmHg para
que haja fluxo sangu•neo.
Š prudente, portanto, reduzir a p„s-carga quando esta estƒ demasiadamente elevada, como em pacientes
hipertensos, que alcan†am picos de 220x110 mmHg, o que leva a preju•zos importantes no volume sist„lico e na oferta
de oxig€nio do paciente. Š por esta raz…o que muitos pacientes apresentam edema agudo de pulm…o quando passam
por crises hipertensivas: o ventr•culo n…o consegue vencer a resist€ncia imposta pela p„s-carga e passa a acumular
cada vez mais sangue ao final da s•stole. Desta forma, mais sangue ‚ acumulado ao final da diƒstole, sendo o excesso
transmitido para o ƒtrio esquerdo e, consequentemente, para os capilares pulmonares, causando, ao final deste
mecanismo, o edema pulmonar. Estes pacientes devem ter sua p„s-carga reduzida (com Nitroprussiato, por exemplo),
melhorando o d‚bito card•aco e, consequentemente, a oferta de oxig€nio.
Contratilidade cardíaca.
Assim como a pr‚-carga e a p„s-carga, a contratilidade tamb‚m influencia no d‚bito card•aco. Podemos definir a
contratilidade como a capacidade do miocƒrdio em gerar tens…o contrƒtil (tamb‚m respondendo Œ lei de Frank-Starling).
Š de dif•cil aferi†…o cl•nica, embora possa ser mensurada a partir da fra†…o de eje†…o.
Arlindo Ugulino Netto – MEDICINA DE URG•NCIA – MEDICINA P8 – 2011.1
35
Tudo que aumenta a for†a de contra†…o miocƒrdica interfere no aumento do volume sist„lico (pois o VSF ‚, cada
vez mais, diminu•do) e, consequentemente, o d‚bito card•aco tamb‚m aumenta. Esta contratilidade pode sofrer
influ€ncia de fatores que a reduzem (insufici€ncia card•aca consequente de um infarto agudo do miocƒrdio,
medicamentos β-bloqueadores como o Propanolol) ou a intensificam (como a noradrenalina, a adrenalina e a
dobutamina). Por esta raz…o, uma das respostas do organismo frente Œ queda do d‚bito card•aco ‚ a libera†…o de
catecolaminas que aumentam a contratilidade card•aca (inotropismo positivo) e a frequ€ncia card•aca (cronotropismo
positivo).
CONTEÚDO ARTERIAL DE OXIGÊNIO
Como vimos anteriormente, a oferta de oxig€nio aos tecidos ‚ determinada, basicamente, pelo d‚bito card•aco e
pelo conte‰do arterial de oxig€nio. O conte‰do arterial de oxig€nio (CaO2), por sua vez, ‚ determinado pela fra†…o de
oxigênio dissolvido do plasma e a fra†…o de oxigênio ligada à hemoglobina, obedecendo a seguinte rela†…o:
Sendo:
 CaO2: conte‰do arterial de oxig€nio.
 PaO2: press…o parcial de oxig€nio dissolvido no plasma. Esta PaO2 representa a fra†…o de O2 que circula livre, dilu•da no
sangue. Contudo, apenas uma pequena parcela de O2 circula livre no plasma pois, como todos os gases, o O2 possui um
coeficiente de dissolubilidade muito baixo, devido Œ sua energia cin‚tica alta, dificultando a sua dissolu†…o plasmƒtica (por
isso, ‚ multiplicado por uma constante pequena: 0,0031).
 Hb: quantidade de hemoglobina em g/dl. Š uma mol‚cula que representa um ponto forte na escala evolutiva, permitindo aos
organismos multicelulares o transporte de oxig€nio para as vƒrias c‚lulas ao longo de uma dist‡ncia relativamente longa
(diferentemente dos seres unicelulares, que transportam oxig€nio por difus…o, os organismos multicelulares transportam
oxig€nio por convec†…o). A liga†…o do oxig€nio Œ hemoglobina diminui a energia cin‚tica deste gƒs, permitindo, assim, o seu
transporte ao longo do sangue. Ela possui quatro s•tios de liga†…o para o O2 e uma conforma†…o estrutural que permite uma
propriedade essencial para o transporte de O2: cada mol‚cula de oxig€nio que se liga a hemoglobina faz com que outro s•tio
de liga†…o seja liberado. Desta forma, quanto maior for o n‰mero de mol‚culas de O2 ligadas Œ hemoglobina, maior serƒ a
facilidade de a hemoglobina se ligar a mais O2.. A porcentagem de s•tios de liga†…o de O2 ocupados determina a satura†…o
da hemoglobina (se dois s•tios da Hb est…o ligados ao O2, por exemplo, diz-se que hƒ uma satura†…o de 50%).
 SatO2: ‚ a satura†…o de oxig€nio da hemoglobina. Aproximadamente 98,5% do O2 ‚ carreado pela hemoglobina; logo, a
SatO2 ‚ extremamente importante para a oferta perif‚rica de O2. O aspecto sigmoide da curva de dissocia†…o da
oxiemoglobina (OBS2
) determina que varia†…o da PaO2 acima de 60 mmHg levar…o a mudan†as apenas discretas na SaO2
(SaO2=90%); em contraste, pequenas mudan†as da PaO2 abaixo de 60 mmHg determina†…o grandes varia†ˆes na SaO2.
OBS
2
: Oxigenação e curva de dissociação da oxi-
hemoglobina. A curva de dissocia†…o da hemoglobina depende,
principalmente, da satura†…o e da press…o parcial de oxig€nio. O
grƒfico ao lado demonstra que, a medida em que a PaO2 aumenta,
a satura†…o tamb‚m sobe harmonicamente at‚ determinado ponto
(60mmHg). A partir deste valor press„rico, a satura†…o sobe muito
pouco mesmo variando valores maiores de PaO2.
Isto significa que, em uma queda da PaO2 de 60 a 40mmHg, a
queda de satura†…o ‚ bem mais brusca do que ocorre nas quedas
de PaO2 de 120 a 100mmHg, por exemplo, quando cai cerca de
apenas 1% de satura†…o.
Alguns fatores podem desviar a curva de dissocia†…o para a
direita ou para a esquerda, trazendo algumas repercussˆes cuja
interpreta†…o ‚ importante. Tais fatores influenciam na dissocia†…o
da Hb ao alterarem a press…o parcial de O2 (P50) e a satura†…o da
hemoglobina. Os principais deles s…o: temperatura corporal e o pH
do sangue.
 Fatores que desviam a curva para direita: a curva de dissocia†…o ‚ desviada para direita por fatores que aumentam a
press…o parcial de oxig€nio e diminuem a satura†…o de oxig€nio. Isso significa que tais fatores diminuem a afinidade da
hemoglobina por O2 e, consequentemente, aumentam a libera†…o de oxig€nio pela hemoglobina (fazendo com que haja
muito O2 dissolvido no sangue), mas diminuem a satura†…o da Hb (pouco O2 ligado Œ Hb). Os fatores s…o: febre (hipertermia),
acidose, cortic„ides, fosfatos org‡nicos, aumento de Hb, aumento de 2,3 DPG. Portanto, o desvio da curva para direita
melhora a PaO2, mas diminui a satura†…o.
Arlindo Ugulino Netto – MEDICINA DE URG•NCIA – MEDICINA P8 – 2011.1
36
 Fatores que desviam a curva para esquerda: a curva de dissociação é desviada para esquerda por fatores que diminuem
a pressão parcial de oxigênio no sangue (causam hipoxemia celular), pois aumentam a afinidade da hemoglobina por O2,
aumentando, consequentemente, a saturação do oxigênio (o O2 encontra mais dificuldade em se dissociar da Hb). Neste
caso, a PaO2 do sangue encontra-se baixa, pois o oxigênio é pouco liberado, mantendo a saturação de Hb. São exemplos
destes fatores: hipotermia, alcalose, hipocapnia, diminuição dos níveis Hb, diminuição dos fosfatos, presença de Hb
anormais. Portanto, o desvio da curva para esquerda melhora a saturação de Hb, mas diminui a P50. Por esta razão, a
hipotermia e a alcalose são consideradas situações mais graves, visto que podem causar hipóxia celular (uma vez que,
embora a hemoglobina esteja supersaturada de O2, pouco oxigênio consegue se liberar para suprir a demanda metabólica
celular).
Portanto, em resumo, o conteúdo arterial de oxigênio é determinado pelas duas formas principais de transporte
sanguíneo de oxigênio: a fração de O2 que se encontra dissolvida no plasma e outra fração ligada à hemoglobina.
Contudo, muito pouco oxigênio circula dissolvido no plasma: como podemos ver na relação matemática apresentada
anteriormente, a fração livre no plasma é produto da multiplicação entre a pressão parcial de O2 e uma constante cujo
valor é insignificante (0,0031). Apenas quando existem fatores que desviam a curva de dissociação da hemoglobina para
a direita (como a hipertermia, a acidose metabólica, etc.), ocorre uma diminuição da afinidade da hemoglobina por O2 e
uma maior presença de O2 dissolvido no plasma.
Em contrapartida, a maior parte do oxigênio é transportada em associação com a hemoglobina. Esta fração, por
sua vez, é bem mais significativa, sendo influenciada, basicamente, por dois fatores: a quantidade de hemoglobina no
sangue (medida em g/dl) e a saturação de oxigênio da hemoglobina (medida em porcentagem, isto é: uma relação,
que pode ser simplificada pela quantidade de sítios de ligação da hemoglobina que estão ocupados). A constante 1,34,
que multiplica estes dois fatores, representa a quantidade de oxigênio que cada grama de hemoglobina, saturada em
100%, é capaz de transportar.
Desta forma, dissecando matematicamente o conteúdo arterial de oxigênio, temos:
Da relação matemática que vimos anteriormente, temos:
CaO2 = O2 ligado Š hemoglobina + O2 dissolvido no plasma
CaO2 =(SatO2 x 1,34 x Hb) + (PaO2 x 0,0031)
Sabendo que:
 Hemoglobina (Hb) = 15 g/dl (o que equivale a 150 g/l)
 Saturação Arterial de Oxigênio (SatO2 ou SaO2) = 98% (0,98)
 Pressão parcial de O2 arterial (PaO2) = 100 mmHg
Temos:
CaO2 = (0,98 x 1,34 x 15) + (0,003 x 100)
CaO2 = 19,7 + 0,3
CaO2 = 20,0 ml/dl = 20,0 vol% ou 200 ml/l (para igualar Š unidade de d‹bito cardŒaco)
OBS: Note que o valor da CaO2 (em ml/dl) foi multiplicado por 10 (resultando ml/l). Esta conversão se faz
importante quando queremos mensurar a oferta de oxigênio (DO2) e, para isso, necessitamos utilizar o valor do
débito cardíaco (DC), que é disponibilizado em l/min. Convertendo o valor da CaO2 de ml/dl para ml/l, podemos
eliminar as unidades (litro) durante este cálculo matemático. Contudo, se quisermos facilitar ainda mais a conta,
podemos converter a unidade da hemoglobina: se cada dl sangue tem 15g de hemoglobina, 1 litro de sangue terá
150g. Fazendo isso, o valor da CaO2 já será disponibilizado em ml/l, compatível com o cálculo do DO2.
CÁLCULO DA OFERTA ARTERIAL DE OXIGÊNIO
Para por em prática o que aprendemos até então, imaginemos um recipiente contendo um volume
correspondente a 1 litro de sangue de um indivíduo normal (isto é, sem anemia, talassemia ou qualquer outro distúrbio
sanguíneo). Normalmente, 1 litro de sangue apresenta cerca de 150g de hemoglobina (o que equivale a 15g/dl).
Sabendo que 1g de Hb 100% saturada carrega cerca de 1,34 ml de O2 na forma de oxihemoglobina, temos um
valor aproximado de 200 ml de O2 carreado ao longo do sangue junto à hemoglobina. Contudo, como sabemos, além da
fração de oxigênio ligada à hemoglobina, também existe a fração que é carreada dissolvida no plasma, o que adiciona a
este valor cerca de 3 ml de O2 (valor aproximado a partir da multiplicação de 100 mmHg, a pressão parcial de O2, pela
constante 0,0031). Desta forma, temos:
Arlindo Ugulino Netto – MEDICINA DE URG•NCIA – MEDICINA P8 – 2011.1
37
Portanto, no fim das contas, cada litro de sangue vai carrear 203 ml de oxig€nio (sendo 200 ml ligados Œ
hemoglobina e 3 ml dissolvidos no plasma). Portanto, partindo do pressuposto que o d‚bito card•aco basal de uma
pessoa normal ‚ de, aproximadamente, 5 litros/minuto, devemos multiplicar o conte‰do arterial de oxig€nio para cada
um dos litros que compˆe o d‚bito card•aco:
Portanto, a oferta de oxig€nio em um paciente normal, com 150g de Hb/litro e press…o parcial de O2 de 100
mmHg, ‚ de, aproximadamente, 1015 ml de O2 por minuto.
DETERMINANTES DO CONSUMO DE OXIG•NIO
Assim como previamente aprendemos a calcular a oferta de oxig€nio, devemos saber mensurar o quanto de O2
restou ap„s o metabolismo celular e, desta diferen†a, calcular o consumo de oxig€nio. Podemos obter facilmente o seu
valor atrav‚s do cƒlculo do Remanescente Venoso, utilizando a seguinte rela†…o:
Para tal cƒlculo, devemos coletar o sangue de um componente venoso e calcular o conteúdo venoso de
oxigênio. Esta etapa ‚ obtida da mesma forma que calculamos o conte‰do arterial de oxig€nio – contudo, ao inv‚s de
usar dados referentes ao sangue arterial (como a satura†…o e press…o parcial de O2), devemos obter os mesmos dados
sendo do pr„prio sangue venoso (de prefer€ncia, da art‚ria pulmonar). Desta forma, temos:
Arlindo Ugulino Netto – MEDICINA DE URG•NCIA – MEDICINA P8 – 2011.1
38
Sendo:
 CvO2: Conteúdo Venoso de Oxigênio.
 SvO2: sangue venoso misto, coletado da artéria pulmonar pelo cateter de Swan-Ganz (se fosse coletado em
outra veia, o conteúdo venoso poderia variar: o conteúdo venoso do músculo é muito alto, enquanto que do
cérebro e do coração é muito baixo). O sangue venoso misto representa, por convenção, a mistura de todos os
territórios venosos do organismo e, consequentemente, representa o conteúdo de oxigênio que restou depois do
metabolismo de todos os tecidos orgânicos.
 PvO2: pressão parcial do oxigênio no sangue venoso misto.
Desta forma, temos:
CvO2 = O2 ligado Š hemoglobina + O2 dissolvido no sangue venoso
CvO2 = (SvO2 x 1,34 x Hb) + (PvO2 x 0,0031)
Utilizando os mesmos dados que foram utilizados para calcular o conte€do arterial de O2, temos o seguinte valor
para o Conte€do Venoso de Oxig•nio:
CvO2 = 150 ml/l
Desta forma, sabendo que cada ml de sangue venoso misto apresenta 150 ml de oxigênio, devemos mensurar o
Remanescente Venoso para o mesmo valor de débito cardíaco utilizado para calcular a oferta de O2 (5 litros por
minuto). O resultado seria aproximadamente 750 ml de O2 por minuto.
CÁLCULO DO CONSUMO DE OXIGÊNIO
Conhecendo o quanto de oxigênio foi ofertado pelo sangue arterial (DO2) e o quanto de oxigênio restou do
metabolismo (remanescente venoso), podemos mensurar o quanto de O2 foi consumido (VO2). Portanto, temos:
Desta forma, seguindo o exemplo até então apresentado, temos:
VO2 = DC x (CaO2 - CvO2)
VO2 = 5 l/min x (203 – 150)
VO2 = 5 x 53
VO2 = 265 ml de O2/min
Portanto, ao passo em que o sangue arterial oferece cerca de 1015ml de O2/minuto, o organismo consome
apenas 265 ml de O2 ao longo de 1 minuto.
Observando estes valores, nota-se que é muito oxigênio ofertado e para pouco consumo. Contudo, esta gritante
diferença nada mais é que uma estratégia evolutiva do organismo no intuito de manter reservas de oxigênio no sangue.
Arlindo Ugulino Netto – MEDICINA DE URG•NCIA – MEDICINA P8 – 2011.1
39
Caso contrƒrio, isto ‚, se o consumo fosse igual Œ oferta, no momento em que o indiv•duo perdesse um pouco do seu
d‚bito card•aco, a oferta cairia com rela†…o ao consumo, fazendo com que as c‚lulas entrassem em sofrimento imediato,
sendo seguido de morte celular. Portanto, a natureza lan†a m…o deste mecanismo de oferta maior do que consumo para
dar tempo ao organismo de se recuperar de certas situa†ˆes de risco.
TAXA DE EXTRA‚„O DE OXIG•NIO
A rela†…o entre o consumo (VO2) e a oferta (DO2) de oxig€nio pode ser estabelecida atrav‚s do cƒlculo da taxa
de extra†…o de oxig€nio (TEO2 ou O2ER, do ingl€s extraction rate). Por defini†…o, a taxa de extra†…o de O2 ‚ a capta†…o
fracional de oxig€nio do leito capilar. Š obtida dividindo-se o consumo pela oferta de O2:
Sendo:
 O2ER: taxa de extra†…o de oxig€nio.
 Valor de refer€ncia: 25 – 30% (o que significa dizer que, normalmente, 25 – 30% de oxig€nio que ‚
ofertado aos tecidos ‚, efetivamente, consumido).
 O2ER de 18%  pode significar duas situa†ˆes: (1) uma oferta muito grande de O2 frente a um consumo
relativamente baixo ou normal; (2) um consumo demasiadamente baixo de O2 frente a uma oferta
normal ou elevada. Ex: anestesia, hipotermia, gravidez, fase hiperdin‡mica do choque.
 O2ER 40%  pode significar duas situa†ˆes: (1) um aumento demasiado do consumo O2 frente a uma
oferta relativamente baixa ou normal (como ocorre nos casos de convuls…o, febre, exerc•cios f•sicos,
fase hipodin‡mica do choque, etc.); (2) diminui†…o exagerada da oferta de O2 frente a um consumo
normal ou elevado.
 VO2: consumo de O2.
 DO2: oferta de O2.
Observe, ent…o, o seguinte exemplo, de modo que o consumo de O2 seja de 130ml de O2/min e a oferta, por sua
vez, ‚ de 540ml de O2/min.
O2ER = VO2/DO2 x 100
O2ER = 130/540 x 100
O2ER = 24%  Desta forma, conclui-se que 24% do oxigênio que está sendo ofertado pelo sangue aos tecidos
está sendo efetivamente consumido.
Relação entre oferta e consumo
(débito/DO2 normal). Observando o grƒfico
ao lado, consideremos um paciente que
apresente 5 l/min de d‚bito card•aco, uma
oferta de oxig€nio que gira em torno de 1000
ml/min e consumo de 300 ml/min. Calculando
sua taxa de extra†…o, temos um valor
aproximado de 26%. Tais dados sugerem um
paciente h•gido, de sangue normal.
Contudo, consideremos tamb‚m que este
paciente se torna v•tima de um ferimento por
arma de fogo e passa a perder muito sangue.
Arlindo Ugulino Netto – MEDICINA DE URG•NCIA – MEDICINA P8 – 2011.1
40
Relação entre oferta e consumo (débito/DO2 em
declínio). Depois de lan†adas todas as respostas
compensat„rias poss•veis, ocorre diminui†…o da volemia,
do retorno venoso e da pr‚-carga. Consequentemente,
como mostra o grƒfico, ocorre queda do d‚bito card•aco (5
para 4 l/min) e da oferta de oxig€nio (de 1000 para 900
ml/min). Contudo, note que o consumo de oxig€nio
continua o mesmo (cerca de 305ml/min), pois,
proporcionalmente, os tecidos aumentaram a taxa de
extra†…o de O2 (de 25% para 37%).
Relação entre oferta e consumo (débito/DO2 crítico).
Com o progredir do sangramento, o d‚bito card•aco (de 4
para 2,5 l/min) e a oferta de oxig€nio (de 900 para 600
ml/min) continuam caindo. Contudo, os tecidos ainda
conseguem extrair ainda mais oxig€nio (de 37 a 50%),
mantendo, ainda praticamente constante, o consumo de
oxig€nio (305 ml/min). Isso pode ser explicado devido Œ
presen†a de uma grande reserva de oxig€nio no
remanescente venoso (a oferta de oxig€nio ‚,
praticamente, duas vezes maior que o consumo).
Contudo, ap„s este ponto (conhecido como ponto de DO2
crítico ou ponto de disóxia, caracterizado por uma taxa
de extra†…o entre 50 – 60%), o consumo come†a a cair
com rela†…o Œ oferta, sugerindo um desarranjo vascular
importante.
Relação entre oferta e consumo (débito/DO2
insuficiente). Na medida em que o paciente perde volume
(e, com isso, diminui d‚bito card•aco) e a oferta de oxig€nio
diminui, chega um determinado ponto (o ponto de DO2
cr•tico), antes mesmo de a oferta de oxig€nio se igualar ao
consumo, em que o paciente passa a experimentar uma
queda importante no consumo de oxig€nio. Como vimos
anteriormente, isso ocorre quando a taxa de extra†…o
alcan†a valores entre 50 – 60%, o que jƒ sugere um
desarranjo vascular importante.
Relação entre oferta e consumo (débito/DO2
criticamente insuficiente). Depois do ponto de dis„xia, as
c‚lulas come†am a passar por um regime de anaerobiose.
Nesta fase, o consumo continua a cair (de 285 para 255
ml/min), ao passo em que a taxa de consumo continua alta
(de 65 para 75%). Nesta fase, o lactato, como marcador de
dis„xia tissular, come†a a aumentar seus n•veis sangu•neos.
Arlindo Ugulino Netto – MEDICINA DE URG•NCIA – MEDICINA P8 – 2011.1
41
Existem, portanto, duas relações diferentes
entre DO2 e VO2: (1) uma fase inicial em
que o consumo de oxigênio não varia
apesar da queda de O2, conhecida como
fase de consumo de O2 independente da
oferta; e (2) outra fase, caracterizada por
uma queda importante do consumo de O2
com relação à oferta, conhecida como fase
de consumo de O2 dependente da oferta.
O principal objetivo terapêutico do
intensivista é converter o paciente que se
encontra descompensado e na segunda
fase para a primeira, sob pena de o mesmo
vir a óbito.
Portanto, o intensivista deve evitar e/ou
traçar estratégias terapêuticas para evitar
esta segunda fase da relação VO2/DO2
agindo em todas as variáveis possíveis:
 Se, por exemplo, o paciente se apresenta em choque hemorrágico, o intensivista deve agir na pré-carga, além
de fornecer sangue para o paciente e, ao mesmo tempo, aumentar a hemoglobina (na forma de concentrado de
hemácias) e, consequentemente, a oferta de oxigênio.
 Se o paciente está chocado por se apresentar em choque cardiogênico após infarto agudo do miocárdio, é
necessário interferir no inotropismo cardíaco.
 Se o paciente se apresenta chocado porque teve tamponamento pericárdico, é necessário realizar uma
terapêutica voltada para o tamponamento.
 O choque séptico, como veremos em outros capítulos, apresenta vários mecanismos que interferem na relação
VO2/DO2, interferindo, por exemplo, na volemia, no débito cardíaco, na pós-carga, disfunção mitocondrial, etc.
Note, portanto, que cada paciente apresenta um distúrbio específico que interfere na relação VO2/DO2. Contudo,
a principal causa de distúrbio nesta relação está relacionada com as vias aéreas (pneumonias, síndromes da
insuficiência respiratória aguda, etc.). Portanto, para estes pacientes, devemos intervir rapidamente oferecendo oxigênio
através de máscaras, no intuito de aumentar a PaO2 e a SatO2, além de tratar a causa de base. Com isso, nem sempre
é necessário intervir no débito cardíaco (infundindo líquidos, por exemplo), mas apenas no CaO2 (salvo em casos que o
paciente apresente hipovolemia).
Arlindo Ugulino Netto – MEDICINA DE URG•NCIA – MEDICINA P8 – 2011.1
42
MED RESUMOS 2011
CORREIA, Luiz Gustavo; NETTO, Arlindo Ugulino.
MEDICINA DE URGÊNCIA E TERAPIA INTENSIVA
CHOQUE CIRCULATÓRIO
(Professor Jorge Fonseca)
O choque circulat„rio ‚ uma situa†…o de emergência médica extrema, caracterizado pela combina†…o de dois
fatores: (1) queda do d‚bito card•aco com redu†…o da perfus…o tissular (leia-se “tecidual”) perif‚rica e/ou (2) fal€ncia
circulat„ria generalizada. Portanto, a principal consequ€ncia desta entidade cl•nica ‚ o sofrimento celular s‰bito, intenso
e generalizado, que leva ao processo de hip„xia, hipoperfus…o (isquemia), que ‚ agravado persistentemente por
mediadores, quer sejam humorais, inflamat„rios ou t„xicos. O efeito final ‚ a fal€ncia m‰ltipla de „rg…os e sistemas.
Considera-se o choque como uma situa†…o cl•nica de emerg€ncia m‚dica: ‚ fatal quando n…o reconhecida ou
revertida com tratamento rƒpido, intensivo e agressivo para restaurar o d‚bito card•aco, a perfus…o e a oxigena†…o
tecidual, antes que ocorram lesˆes miocƒrdicas, cerebrais, renais, etc. ou, antes mesmo que se tenha uma evolu†…o
desfavorƒvel para s•ndrome da angustia respirat„ria (SARA), coagula†…o intravascular disseminada, sepse.
INTRODU‚„O
O termo “choc” (parada) foi utilizado pela primeira vez pelo m‚dico franc€s Le Dran em 1743 para indicar colapso agudo
ap„s epis„dio traumƒtico grave. At‚ final do s‚culo passado n…o houve evolu†…o no entendimento e terap€utica desta situa†…o cl•nica.
Em 1891 foi registrada a introdu†…o de solu†…o salina intravenosa no choque hemorrƒgico e somente ap„s 1942, a partir de modelo
experimental desenvolvido por WIGGERS, novos conhecimentos sobre a fisiopatologia e terap€utica do choque foram adquiridos
(HAUPTMAN & CHAUDRY, 1993). S•ndrome de insufici€ncia circulat„ria aguda e colapso vascular agudo s…o tamb‚m denomina†ˆes
usuais para esta complexa s•ndrome. Apesar dos avan†os, ainda hoje muitos pontos importantes no entendimento da patog€nese do
choque continuam a nos desafiar.
O choque, conforme dito anteriormente ‚ um grave estado patol„gico que se caracteriza pelo sofrimento celular s‰bito,
intenso, persistente e generalizado, em consequ€ncia a uma baixa perfus…o de oxig€nio e nutrientes para um conjunto de c‚lulas
previamente normais. Da fisiologia cardiovascular, lembramos que a perfus…o tissular ‚ dita adequada quando o sistema
cardiovascular promove tr€s eventos bƒsicos para a homeostasia celular: (1) Aporte permanente oxig€nio e nutrientes Œs c‚lulas; (2)
Manuten†…o de um fluxo sangu•neo constante aos capilares; (3) Recolhimento de produtos e res•duos metab„licos. Para que esta
perfus…o se mantenha em n•veis adequadamente “fisiol„gicos”, se faz necessƒrio que o sistema circulat„rio forne†a, por parte da
bomba card•aca e vasos sangu•neos, um volume sangu•neo satisfat„rio, eje†…o sangu•nea eficaz e t•nus vascular adequado. Em
qualquer situa†…o que promova desequil•brio de um desses componentes, o curso final serƒ a defici€ncia circulat„ria aguda, com
hipoperfus…o tissular.
CLASSIFICA‚„O DO CHOQUE
A classifica†…o do choque circulat„rio obedece a uma finalidade estritamente didƒtica, tendo em vista que a
maioria dos quadros de choque mostra mais de um componente em sua evolu†…o Basicamente, classificamos o choque
em tr€s formas distintas:
 Choque hipovolêmico: caracterizado por baixo volume intravascular, relativo a sua capacit‡ncia, ou seja,
hipovolemia relativa ou absoluta. O volume contido no compartimento intravascular ‚ inadequado para a
perfus…o tecidual. A queda do d‚bito card•aco resulta, basicamente, da perda de volume sangu•neo circulante
por hemorragia, desidrata†…o, sequestro de l•quido no terceiro espa†o. Inicialmente, o sistema org‡nico, como
um todo, na tentativa de compensar a perda de l•quidos induz uma resposta sist€mica: vasoconstric†…o e
contra†…o das veias por est•mulo adren‚rgico, geralmente, quando a perda atinge 15% da volemia circulante.
 Choque cardiogênico: resulta da queda aguda da fun†…o miocontrƒtil do cora†…o, tais como ocorre na
s•ndrome coronariana aguda, miocardiopatia dilatada, insufici€ncia card•aca classe IV. Desta forma, a fun†…o de
bomba do cora†…o passa a ser insuficiente para manter o d‚bito card•aco em n•veis compat•veis com as
necessidades metab„licas.
 Obstrutivo - resulta de bloqueio mec‡nico ao fluxo sangu•neo na circula†…o pulmonar ou sist€mica
 Choque distributivo ‚ o que engloba, basicamente, o choque s‚ptico, anafilƒtico e o neurog€nico. Nesta
situa†…o, n…o hƒ diminui†…o da volemia circulante, nem sequer da capacidade miocontrƒtil do cora†…o, portanto,
o d‚bito card•aco e a volemia s…o preservados inicialmente. O principal efeito fisiopatol„gico ‚ a vasodilata†…o
grave e generalizada, que ocorre por conta da libera†…o de mediadores inflamat„rios ou, ainda, por conta da
vasoplegia determinada pela perda do t•nus vascular mantida pelo sistema nervoso aut•nomo simpƒtico.
FASES FISIOPATOL†GICAS DO CHOQUE
A microcirculação ‚ a maior unidade vascular corporal, representando 90% de todos os vasos. Estruturam-se
em arter•olas terminais, metarter•olas, capilares e v€nulas coletoras, al‚m de esf•ncteres pr‚-capilares e anastomoses
(shunts) arteriovenosas funcionalmente muito importantes.
Arlindo Ugulino Netto – MEDICINA DE URG•NCIA – MEDICINA P8 – 2011.1
43
Arteríolas e vênulas sofrem regulação
autonômica simpática, enquanto as outras
estruturas têm seu tônus fortemente
influenciado por mecanismos de
autorregulação controlados pela concentração
de O2 e metabolismo celular. Os esfíncteres
pré-capilares são extremamente sensíveis,
sofrendo relaxamento em função do aumento
nas concentrações locais de íons hidrogênio e
potássio, CO2, adenosina histamina, óxido
nítrico, bradicinina e outros fatores, contraindo
quando há redução destas substâncias e
presença de catecolaminas.
Existem, basicamente, dois
mecanismos de controle da hemodinâmica:
 Manutenção da pressão arterial e do fluxo sanguíneo de distribuição determinados basicamente pelo tônus de
artérias e arteriolas (resistência periférica) e pelo débito cardíaco (força de contração e frequência).
 Controle do armazenamento e distribuição do volume sanguíneo disponível para o retorno venoso e enchimento
atrial, sob domínio da microcirculação e sistema venoso.
Sempre que uma agressão interfere com o funcionamento adequado do sistema circulatório, mecanismos
homeostáticos são mobilizados com o objetivo de restaurar a fisiologia do sistema. São ativados mecanismos reflexos
mediados por via neural, mecanismos humorais e auto-regulatórios. Estes mecanismos compensatórios caracterizam a
fase I do choque.
FASE I DO CHOQUE – ATIVAŽŒO DE MECANISMOS REGULADORES
Com a redução da pressão arterial, os barorreceptores ou presso-receptores localizados nos seios carotídeos e
arco aórtico diminuem os estímulos aferentes ao sistema nervoso central. Em resposta, ocorre a redução na atividade
vagal eferente com predomínio do tono simpático. Este induz taquicardia e vasoconstricção que é mais acentuada na
pele, músculo esquelético, rins e leito
vascular esplâncnico que são ricos em
alfa-receptores. Deste modo, o sangue é
dirigido para a circulação central
mantendo órgãos essenciais à
sobrevivência imediata, como coração,
sistema nervoso central e pulmões. A
pressão arteriolar muito baixa estimula os
quimioreceptores periféricos sensíveis a
anóxia que se instala pela perfusão
diminuída nos tecidos. O estímulo desses
receptores acentua a vasoconstrição
periférica e produz taquipnéia. Este
estímulo respiratório melhora o retorno
venoso devido à ação bombeadora
auxiliar determinada pelo pulmão,
durante a inspiração.
Pressão sanguínea abaixo de 40 mmHg resulta em isquemia do sistema nervoso central devido ao afluxo
inadequado de sangue e sobrevém descarga simpática mais intensa que é somada àquela desencadeada pelos
receptores, o que acentua ainda mais o tônus simpático e aumenta a contratilidade do miocárdio. Respondendo ao
estimulo simpático, a medula da adrenal libera catecolaminas em quantidades expressivas (epinefrina até 50 vezes
àquela em condições fisiológicas) na tentativa de compensar a hipotensão persistente. As catecolaminas promovem
contração esplênica, vasoconstrição periférica e têm estímulo crono e inotrópico sobre o miocárdio.
A baixa perfusão renal em pressões abaixo de 60 mmHg estimula a liberação de renina pelo aparelho
justaglomerular. Esta transforma o angiotensinogênio do plasma em angiotensina que tem potente ação vasoconstritora.
A angiotensina estimula também a secreção da aldosterona que promove reabsorção de sódio e água desde os túbulos
renais.
A pressão baixa nos átrios e em nível dos presso-receptores promove a liberação do hormônio antidiurético
(ADH) ou vasopressina e do hormônio adrenocorticotrófico (ACTH) pela hipófise. A vasopressina é um dos mais
potentes vasoconstritores liberados no organismo e atua controlando excreção renal de água. Em pressões sangüíneas
inferiores a 50 mmHg, sua secreção aumenta 20 a 50 vezes. O ACTH estimula a secreção de corticosteróides
(aldosterona e hidrocortisona). A aldosterona auxilia a estabilizar o volume plasmático aumentando a reabsorção de
Arlindo Ugulino Netto – MEDICINA DE URG•NCIA – MEDICINA P8 – 2011.1
44
sódio pelos rins. Os glicocorticoides potencializam o efeito das catecolaminas e estimulam a gliconeogênese. Quando a
magnitude e a duração do insulto ultrapassam a capacidade de regulação homeostática instala-se um quadro de
insuficiência circulatória aguda, denominado choque. A persistência da agressão pode permitir a evolução do processo
para a fase seguinte, progressiva e descompensada.
FASE II DO CHOQUE – DESCOMPENSAŽŒO E PLEGIA VASCULAR
Ocorre falência cardíaca por hipofluxo
coronariano: a hipotensão diminui o fluxo de
sangue para as artérias coronárias, deprimindo a
função cardíaca. Esta depressão do miocárdio
agrava a pressão precariamente baixa,
completando um ciclo que tende a tomar-se
irreversível. A insuficiência microcirculatória
isquêmica é estabelecida pela constrição
desencadeada através dos mecanismos
compensatórios do choque. Inicialmente o sangue
flui apenas pelas metarteríolas devido ao
fechamento dos esfíncteres pré-capilares. Nesta
fase há passagem de liquido intersticial para a luz
capilar, tentando repor a volemia.
Na medida em que se acentua a
constrição na arteríola terminal, o fluxo é desviado
pelas comunicações artério-venosas para as vênulas distais. Com a persistência da constrição sistêmica os tecidos
entram em acidose devido à hipóxia tecidual. Este fenômeno intensifica a produção de fatores vasotrópicos locais que
relaxam os esfíncteres pré-capilares. O sangue flui então para o leito capilar que, nesta fase, está bastante ampliado.
Isto causa dois efeitos: (1) a quantidade de sangue que mesmo em condições de normovolemia seria insuficiente para
irrigar todo o leito capilar distendido é precariamente baixa e resulta em diminuição do retorno venoso, da pressão
venosa central e do débito cardíaco; (2) o fluxo capilar sofre estase e não supre as necessidades da célula que se torna
anóxica. Esta fase é agravada pela constrição das arteríolas proximais e vênulas distais que estão sob efeito dos fatores
vasotrópicos sistêmicos.
Em consequência, a pressão hidrostática sistêmica não é transmitida ao sangue estagnado e os catabólitos não
retornam pela circulação venosa. A acentuada redução no fluxo periférico propicia o acúmulo de fatores vasotrópicos
locais que diminuem o tono vascular periférico agravando ainda mais a hipotensão. Esta expansão do leito vascular
caracteriza a fase II do choque.
FASE III DO CHOQUE – DISFUNŽŒO E CIVD
A acidose resultante da hipóxia celular deprime diretamente o miocárdio e diminui a resposta deste á
estimulação simpática das catecolaminas. Este conjunto de eventos recrudesce a isquemia e favorece o aparecimento
de lesões endoteliais, liberação de tromboplastina e a agregação de hemácias, tornando o sangue hipercoagulável
iniciando a fase de coagulação intravascular disseminada que caracteriza a fase III do choque.
FASE IV DO CHOQUE – DISFUNŽŒO DE M‘LTIPLOS ’RGŒOS (DMOS)
A perda funcional da barreira epitelial do
trato gastrintestinal permite a passagem de flora e
toxinas para o meio circulante.
Com a generalização e agravamento da
hipóxia tissular as funções de órgãos vitais
começam a deteriorar, ocorrendo hemorragias por
coagulopatia de consumo, ativação generalizada
de plasminogênio com fibrinólise sistêmica,
microinfartos, vasoplegia, necrose tubular aguda e
finalmente falência múltipla de órgãos
caracterizando a fase IV ou de choque irreversível.
Arlindo Ugulino Netto – MEDICINA DE URG•NCIA – MEDICINA P8 – 2011.1
45
REPERCUSSƒES SIST•MICAS DO CHOQUE
A hipoperfus…o tecidual prolongada do choque, independente de sua causa, cursa com a libera†…o de
antígenos, endotoxina e exotoxinas, que ativam neutrófilos, macrófagos e monócitos e, ao mesmo tempo, tamb‚m
promovem lesão endotelial vascular com s‰bito aumento da sua permeabilidade. O choque causado por infec†…o
sist€mica, tal como ocorre pela libera†…o de toxinas estafiloc„ccicas ou estreptoc„ccicas, sofrerƒ influ€ncia da libera†…o
de super-ant•genos bacterianos que estimulam linf„citos T a produzir citocinas maci†amente.
Com o recrutamento de c‚lulas imunol„gicas e do sistema inflamat„rio, ocorre, em sequ€ncia, uma cascata de
eventos de libera†…o de mediadores. O efeito desta libera†…o abrupta de componentes inflamat„rios ‚ a amplia†…o da
pr„pria resposta inflamat„ria sist€mica e estimula†…o de rea†ˆes de defesa, causando altera†ˆes metab„licas
(catabolismo), neuroend„crinas (aumento da produ†…o de renina, adrenalina, noradrenalina, vasopressina, cortisol,
glucagon, horm•nio do crescimento), vasomotoras (hemodin‡micas e na microcircula†…o), da coagula†…o (ativa†…o do
sistema complemento). Estas rea†ˆes ou cascata de eventos desencadeiam respostas fisiol„gicas e imunol„gicas de
defesa, bem como aumentam a les…o endotelial e tecidual, fechando um ciclo vicioso pela libera†…o de mais mediadores
inflamat„rios. O fator ativador de plaquetas, as prostaglandinas e o „xido n•trico, assim como algumas toxinas, s…o
potentes vasodilatadores, o que acarreta hipotens…o, hipoperfus…o e hipoxemia tecidual e que, em ‰ltima inst‡ncia,
levar…o ou agravar…o ainda mais o choque.
Síndrome da resposta inflamatória sistêmica (SIRS).
Com a libera†…o de mediadores inflamat„rios (constituindo a s•ndrome da resposta inflamat„ria sist€mica, SIRS),
que fecham um ciclo-vicioso, vƒrios tecidos org‡nicos s…o afetados. Desde altera†ˆes do sistema hemodin‡mico, at‚
mesmo, em ‰ltima inst‡ncia, disfun†…o neurol„gica aguda, ‚ resultado da libera†…o maci†a de mediadores que ampliam
a resposta inflamat„ria.
Quando n…o resolvidos, o choque e a SIRS evoluem para choque refratƒrio e para a fal€ncia m‰ltipla de „rg…os,
que ‚ a associa†…o em combina†ˆes diversas de disfun†…o renal aguda, coagula†…o intravascular disseminada (CIVD),
s•ndrome da ang‰stia respirat„ria do adulto (SARA), disfun†…o miocƒrdica, insufici€ncia hepƒtica aguda, disfun†…o
neurol„gica aguda, •leo ou enterocolite e depress…o medular.
Sistema Nervoso Central.
O c‚rebro ‚ o „rg…o que menos sofre interfer€ncia das varia†ˆes sist€micas da volemia, pois seu fluxo
sangu•neo tem regula†…o local. O tono vascular local n…o ‚ regulado pelo sistema nervoso simpƒtico, mas por agentes
da circula†…o. Os principais s…o o oxig€nio, di„xido de carbono e pr„tons hidrog€nio cujas concentra†ˆes ao serem
alteradas provocam vasodilata†…o nesta circula†…o regional durante o choque.
Recentemente tem sido demonstrado, no entanto, que hƒ varia†ˆes significativas no fluxo sangu•neo em
diferentes regiˆes do c‚rebro, em resposta a hipovolemia, resultando em redistribui†…o do mesmo. Esta redistribui†…o
parece favorecer aquelas ƒreas onde se localizam os neur•nios relacionados ao controle cardiovascular. Al‚m disso,
press…o sangu•nea mantida em torno de 35 mmHg por mais de 2 horas produz les…o irrevers•vel no sistema nervoso
central.
Alterações Pulmonares.
Os pulmˆes s…o bastante resistentes Œ isquemia, sendo raramente afetados no choque hipovol€mico puro; mas
quando o colapso vascular ‚ causado por sepsis ou trauma, altera†ˆes importantes podem ocorrer. Insufici€ncia
pulmonar progressiva, tamb‚m conhecida como SARA ou “pulm…o de choque” surge ap„s trauma severo, sepsis,
grande cirurgia, insufici€ncia renal aguda ou insufici€ncia card•aca. Embora apare†a como consequ€ncia da evolu†…o de
choque severo seguido de recupera†…o, pode ocorrer mesmo antes do estabelecimento do estado de choque.
Caracteriza-se por apresentar aumento do l•quido extravascular pulmonar em consequ€ncia do incremento da
permeabilidade endotelial, com edema intersticial, extravasamento de l•quidos e prote•nas plasmƒticas para os alv‚olos
e redu†…o de surfactante devido Œ hipofun†…o dos pneum„citos tipo II, culminando com colabamento progressivo dos
alv‚olos. Pode haver desenvolvimento de fibrose septal pulmonar. Apesar da estabiliza†…o hemodin‡mica o
Principais mediadores inflamatórios envolvidos no choque.
 Libera†…o de citocinas, tais como a bradicinina, histamina,
serotonina, calidina, interleucina, endotelina;
 Libera†…o de derivados do ƒcido araquid•nico:
prostaglandinas, prostaciclinas, leucotrienos, tromboxane,
lipoxinas;
 Produ†…o local de „xido n•trico, anion super„xido, radicais
livres de oxig€nio;
 Fator ativador de Plaquetas
 Fator de Necrose tumoral
 Interleucinas
Arlindo Ugulino Netto – MEDICINA DE URG•NCIA – MEDICINA P8 – 2011.1
46
agravamento da dificuldade respiratória com hipercapnia e hipóxia, pode evoluir para completa falência pulmonar e
parada cardíaca. A sua causa não está bem definida, sendo apontados como fatores principais a hiperhidratação,
microembolia e/ou sepsis. Na fase final da evolução do choque podem ocorrer atelectasias, congestão alveolar, edema e
hemorragia parenquimal. Ao contrário da insuficiência progressiva estas alterações contribuem, mas não são
responsáveis pela evolução fatal.
Alterações Renais.
Os rins sofrem intensa isquemia durante o choque por serem amplamente habitados por alfa-receptores. A
vasoconstricção que se estabelece na fase adrenérgica é proporcional ao grau de hipotensão e diminui a filtração
glomerular agravando a acidose. A capacidade renal para utilização do lactato é pouco afetada pelo decréscimo gradual
no fluxo renal, entretanto, a hipotensão aguda prejudica sua irrigação e diminui a metabolização do lactato. Em pressões
abaixo de 50 mmHg há redistribuição do fluxo sanguíneo neste órgão. Enquanto a medula é perfundida adequadamente,
a cortical não o é.
A vasoconstrição renal pode permanecer mesmo após o retorno da pressão arterial sistêmica a níveis
fisiológicos. Clinicamente pode ser observada oligúria ou anúria, isostenúria, glicosúria e presença de células renais na
urina. Os rins podem ser severamente afetados pelo déficit de perfusão levando à ocorrência de insuficiência renal
aguda com oligúria/anúria e distúrbios eletrolíticos. O substrato morfológico básico é necrose tubular aguda.
Alterações vasculares.
Quando a pressão arterial cair abaixo de 70 mmHg, o fluxo coronariano diminui paralelamente ao débito
cardíaco. A depressão da função cardíaca é devida à redução na tensão de oxigênio nas coronárias, acidose mista,
perfusão reduzida e a substâncias liberadas pelos tecidos hipoperfundidos. São exemplos os peptídeos tóxicos liberados
em altas concentrações pelo pâncreas isquêmico (fator depressor do miocárdio) e fatores cardiodepressores liberados
no intestino em hipóxia. A hipotensão aliada a uma taquicardia acima de 260 batimentos/minuto diminui a perfusão
coronariana porque neste evento o tempo de diástole é menor propiciando, assim, menor afluxo de sangue nestes
vasos. Morfologicamente aparecem hemorragias e necrose subendocárdicas, lesões zonais devido a uma aparente
hipercontração do cardiomiócito, com encurtamento e deformação do sarcômero. Estas lesões não são exclusivas do
choque.
Alterações das adrenais.
Depleção focal de lipídeos nas células corticais devido à hiperprodução de esteróides para atender a demanda
em situações de estresse severo.
Alterações do trato gastrointestinal.
A isquemia intestinal pode determinar lesões do epitélio e vilosidades com extensas áreas de necrose, ulceração
com hemorragia de mucosa em placa. No cão as lesões intestinais de enteropatia hemorrágica são mais precoces e
mais graves que as alterações hepáticas, ocorrendo o inverso no homem. Alterações isquêmicas em outros órgãos
podem ocorrer como encefalopatia, infiltração gordurosa e necrose hemorrágica central no fígado.
Alterações celulares.
Nos choque hipovolêmico (depleção de volume) e cardiogênico (insuficiência da bomba) o mecanismo básico e
fundamental da sua gênese está associado a uma diminuição do débito cardíaco e hipotensão, o que determina
importante déficit de perfusão, com oferta insuficiente de oxigênio e nutrientes às células, além de eliminação
inadequada de metabólitos.
A hipóxia celular bloqueia a fosforilação oxidativa mitocondrial determinando depleção de ATP e deslocamento
do metabolismo aeróbio para anaeróbio, resultando em maior produção de lactato e muitas vezes acidose láctica. O
déficit de ATP reduz a atividade das bombas de membrana dependentes de energia culminando com aumento da
concentração intracelular de sódio e cálcio e conseqüente edema celular. O edemaciamento celular pode levar a
destruição da matriz intracelular com ruptura de vesículas lisossomais. O acúmulo de cálcio e a consequente alteração
no seu ciclo intracelular parece ser importante para a falência celular. A isquemia tissular leva a produção e acumulo de
hipoxantina e a conversão da xantina desidrogenase em xantina oxidase, uma enzima responsável pela produção de
radicais livres de oxigênio histolesivos.
ETIOPATOGENIA
CHOQUE HIPOVOLÊMICO
É a condição clínica, de emergência médica, cujo principal fator causal do choque é a perda de volume
circulante, com queda súbita do débito cardíaco e da perfusão tissular de oxigênio. Vários fatores etiológicos podem
cursam com o choque hipovolêmico e, de maneira geral, dividem-se: (1) causas hemorrágicas e (2) causas não-
hemorrágicas.
Arlindo Ugulino Netto – MEDICINA DE URG•NCIA – MEDICINA P8 – 2011.1
47
A hemorragia aguda, n…o somente associada ao evento traumƒtico, mas tamb‚m Œs diversas patologias
hemorrƒgicas (a pr„pria infec†…o viral da Dengue), ‚ uma importante causa de perda de volemia circulante com
consequente choque. As causas n…o-hemorrƒgicas s…o representadas pela desidrata†…o (v•mitos incoerc•veis, diarr‚ia),
queimaduras graves, sequestro de l•quido no espa†o intersticial (derrame pleural, ascite, aumento da permeabilidade
vascular decorrente da SRIS, etc).
CHOQUE CARDIOGÊNICO
Nesta ocasi…o, como qualquer tipo de choque, o evento fisiopatol„gico mais importante continua sendo a
hipoperfus…o de nutrientes e oxig€nio para os tecidos. Resulta da queda aguda da fun†…o card•aca e,
consequentemente, do d‚bito card•aco. Os principais fatores etiol„gicos s…o:
 Infarto agudo do miocƒrdio extenso (parede anterior, por exemplo).
 Miocardiopatias agudas graves (miocardiopatia viral, que estƒ associada ao quadro gripal).
 Insufici€ncia card•aca grave (Classe funcional IV).
 Valvulopatias (rotura de cordoalhas, comunica†…o interventricular)
 Arritmias (reduz d‚bito card•aco por afetar o tempo de enchimento diast„lico).
CHOQUE OBSTRUTIVO
Resulta da queda aguda do d‚bito card•aco por obstru†…o da circula†…o ou por impedimento do enchimento
card•aco (aus€ncia de pr‚-carga). Ocorre no tamponamento card•aco (tal como ocorre no derrame pericƒrdico),
pneumot„rax hipertensivo, tromboembolismo pulmonar.
CHOQUE DISTRIBUTIVO
Š o t•pico choque da anafilaxia, da infec†…o generalizada (choque s‚ptico) e da les…o neurol„gica (choque
neurog€nico). Nesta ocasi…o, inicialmente, o d‚bito card•aco, bem como a volemia est…o preservados.
O principal agente fisiopatol„gico envolvido em sua g€nese ‚ a libera†…o sist€mica de mediadores inflamat„rios,
quer sejam endotoxinas (choque s‚ptico), ant•genos (choque anafilƒtico) ou que afetem a vasomotricidade
(neurog€nico). O individuo n…o apresenta perda de sangue, nem sequer uma fal€ncia da musculatura do cora†…o,
por‚m, foi traumatizado em sua medula espinhal na regi…o torƒcica, por exemplo, promovendo uma vasoplegia do t•nus
vascular arterial pela perda do est•mulo tr„fico simpƒtico.
FASES CL‡NICAS DO CHOQUE
As fases cl•nicas do choque consistem em tr€s etapas:
 Pr‚-choque
 Choque descompensado
 Choque refratƒrio
PRÉ-CHOQUE
A fase do pr‚-choque, tamb‚m denominada de fase compensada ou “quente” do choque, ‚ a que se caracteriza
pela ativa†…o de mecanismos compensat„rios, com objetivo principal de manuten†…o da press…o arterial sist€mica, bem
como da press…o de perfus…o cerebral, renal e card•aca. Para isto, os „rg…os, hierarquicamente, intitulados como
“menos nobres” passam a apresentar uma diminui†…o da perfus…o tecidual, em detrimento do “desvio circulat„rio
compensat„rio” para os „rg…os mais nobres: sistema nervoso central, rins e cora†…o.
Na avalia†…o cl•nica, os pacientes apresentam taquicardia inexplicada, diminuição da pressão arterial
sistêmica, palidez cutânea pela vasoconstric†…o perif‚rica.
CHOQUE DESCOMPENSADO
O choque descompensado, tamb‚m conhecido por “choque frio”, ‚ a fase em que o organismo n…o consegue
mais manter n•veis press„ricos adequados para uma boa perfus…o cerebral, renal e miocƒrdica, bem como d‚bito
card•aco fisiol„gico. Nesta etapa, o individuo passa a apresentar sinais e sintomas de disfun†…o org‡nica: taquicardia,
taquipneia, sudorese, inquieta†…o, acidose metab„lica, olig‰ria, pele fria e viscosa.
Alguns par‡metros servem como refer€ncia para predizer o risco do indiv•duo entrar na fase descompensada do
choque e, portanto, a sua descri†…o foi feita baseando-se em experi€ncias cl•nicas pr‚vias:
 No choque hipovolêmico, a redu†…o de 20 a 25% do volume sangu•neo circulante.
 No choque cardiogênico, n•vel do •ndice card•aco inferior a 2,5 L/min/m
2
 No choque distributivo, quando ocorre ativa†…o de in‰meros mediadores na s•ndrome da resposta inflamat„ria
sist€mica (SIRS). Geralmente, o choque s‚ptico, na ocasi…o do pronto-atendimento, jƒ se apresenta nesta etapa
descompensada do choque, por conta da libera†…o maci†a de endotoxinas sist€micas.
Arlindo Ugulino Netto – MEDICINA DE URG•NCIA – MEDICINA P8 – 2011.1
48
CHOQUE REFRATÁRIO
O choque refratário é a etapa em que se tem a persistência de sinais de hipoperfusão periférica e hipotensão,
apesar da reposição volêmica, oxigenação, correção da acidose, utilização de drogas inotrópicas adequadas. O evento
final é a falência de múltiplos órgãos e sistemas, com elevada mortalidade.
Padrões hemodinâmicos associados com os tipos de choque
Fase precoce Fase tardia
Hipovolêmico Cardiogênico Séptico
FC    
PA  - N  - N  - N 
PVC    
DC    
RVS    
VO2    
SUSPEITA CL‡NICA DO CHOQUE
É fundamental que o médico esta apto a reconhecer rapidamente a evolução do paciente para o choque ou para
a insuficiência respiratória na ocasião do atendimento de um paciente grave. Não importa, inicialmente, qual é a causa
do choque, mas sim o seu reconhecimento através de sintomas típicos e de fácil reconhecimento. Os sinais de suspeita
clínica do choque são divididos em precoces e tardios.
Sinais precoces Sinais tardios
 Taquicardia inexplicada
 Pulso fino e fraco, difícil de palpar
 Extremidades frias
 Tempo de recoloração capilar ou reenchimento capilar lento, > 4
segundos (pode ser tardio no choque séptico)
 Diurese diminuída, diminuição da sede
 Palidez, cianose, pele moteada
 Sudorese fria
 Pressão arterial cai tardiamente (hipotensão significa
que o choque está descompensado)
 Taquidispneia e/ou respiração acidótica
 Alterações do SNC (irritabilidade, agitação, sonolência,
torpor, coma)
 Isquemia gastrointestinal (hipomotilidade, distensão,
hemorragia)
 Diurese muito diminuída ou anúria
 Edema pulmonar não-hidrostático
TAQUICARDIA
Apesar de ser um sinal de alerta precoce, com uma sensibilidade alta, é pouco específico, mas no geral é
proporcional à gravidade do caso. Por outro lado, determinados tipos de choques, tal como choque cardiogênico por
miocardiopatia grave, cursa com bradicardia (podendo ainda ocorrer nos bloqueios atrioventriculares, pré-parada
cardiorrespiratória). Conforme vimos anteriormente, a taquicardia representa um sistema de compensação do organismo
mediante ao choque, portanto, é um evento que fala a favor de uma resposta compensatória.
PULSOS ARTERIAIS FINOS
O pulso arterial fino é sinônimo de pulso difícil de palpar, por conta de sua pequena amplitude e pela hipotensão.
A evolução é: (1) pulso diminuído; (2) fino; (3) difícil palpação nos periféricos; (4) periféricos impalpáveis; (5) difícil
palpação de pulsos centrais; (6) pulsos centrais impalpáveis.
HIPOTENSÃO
A hipotensão arterial é descrita quando a PA sistólica < 90 mmHg ou PA média < 60 mmHg, sendo um sinal
frequente de choque em evolução. Inicialmente, a pressão arterial pode demonstrar níveis normais por conta da
compensação adrenérgica e passagem de líquido intersticial para o espaço intravascular. A medida que o choque evolui,
ocorre hipotensão sistólica e diastólica pela hipovolemia, queda do débito cardíaco e vasoplegia.
OBS
1
: Diferença de pressão arterial e frequência cardíaca entre o decúbito e ortostatismo. É um teste simples,
prático e objetivo para se avaliar a hipovolemia. A queda de 10 ou 200 mmHg em relação à PA habitual, acompanhada
de aumento de 15 bpm na FC entre o decúbito e o ortostatismo é indicio de hipovolemia. Nos pacientes com neuropatia
periférica (tal como diabetes mellitus) ou em uso de beta-bloqueador, essa queda de pressão ocorre em ortostatismo,
mas não é acompanhada de taquicardia.
TEMPO DE RECOLORAÇÃO
É testado pela flexão intensa, passiva ou ativa, dos dedos da mão, por 5 segundos e a seguir medindo o tempo
de recoloração da palma após a sua extensão. A manobra deve ser feita compreendendo os dedos ou a sola do pé ou
os leites ungueais. Não existe uma técnica padrão. Normalmente, essa recoloração ocorre em 1 a 3 segundos. A
vasoconstricção e/ou anemia dificultam esta observação nas extremidades e a recoloração precisa ser observada na
pele e no tronco.
Arlindo Ugulino Netto – MEDICINA DE URG•NCIA – MEDICINA P8 – 2011.1
49
PALIDEZ E CIANOSE PERIFÉRICA
A pele do paciente chocado ‚ pƒlida, esbranqui†ada, moteada e ‰mida. A cianose pode estar presente e ‚ mais
evidente nos dedos, lƒbio, pontas do nariz e orelhas, geralmente, se acompanha de sudorese fria e hipotermia.
HIPOTERMIA DE EXTREMIDADES
Conforme vimos anteriormente, o choque apresenta uma etapa compensat„ria, quando se tem uma circula†…o
sangu•nea para os „rg…os nobres do organismo. Nesta etapa, os vasos da pele sofrem uma vasoconstric†…o,
apresentando ainda uma colora†…o pƒlida, fria e ‰mida.
OLIGÚRIA
Olig‰ria ‚ caracterizada pela diurese menor que 30-50 mL/hora ou 14 mL/m
2
/hora (ou < 1 mL/kg/hora na crian†a)
decorrente da hipoperfus…o renal e a consequente queda na taxa de filtra†…o glomerular. A persist€ncia da olig‰ria ap„s
adequada reposi†…o de volume pode indicar uma les…o renal secundƒria (confirmada pelos valores de creatinina e
ureia).
CONSCIÊNCIA
Š o sinal dos mais confiƒveis para avaliar a recupera†…o ou o agravamento do quando cl•nico do paciente.
Apresenta grande variabilidade, desde apreens…o inicial, inquieta†…o, vertigens, lipot•mia, apatia, sonol€ncia, torpor e
coma. A manuten†…o de lucidez sugere melhor progn„stico. A evolu†…o dos sinais de consci€ncia ajuda a avaliar a
progress…o do caso em resposta ao tratamento. No exame neurol„gico, a sensibilidade, os reflexos e a motricidade
est…o diminu•dos, por‚m, presentes.
DIAGN†STICO
O diagn„stico de choque
circulat„rio ‚ eminentemente cl•nico,
baseando-se, portanto, numa boa
anamnese e exame f•sico. Para seu
diagn„stico, hƒ a necessidade de
identificarmos a presen†a de
hipotensão arterial (press…o arterial
sist„lica < 90mmHg, press…o arterial
m‚dia < 60mmHg ou queda maior que
40mmHg na PAS), associada a sinais e
sintomas de inadequação da perfusão
tecidual (tabela abaixo).
A hist„ria cl•nica deve ser direcionada Œ procura da etiologia, fornecendo, assim, subs•dios para a terap€utica
mais adequada e eficaz dessa s•ndrome cl•nica. A avalia†…o laboratorial ‚ essencial para a avalia†…o da oferta de
oxig€nio e sua adequa†…o para o metabolismo tecidual.
O diagn„stico etiol„gico ‚ baseado, de in•cio, na l„gica e racioc•nio diante dos dados dispon•veis para
estabelecer a causa mais provƒvel, tais como: epidemiologia, porta de entrada do agente, tropismo para „rg…os e
sistemas, presen†a de alguma doen†a que determina supress…o das defesas corp„reas, hist„rico m„rbido do paciente.
Portanto, a suspeita cl•nica permitirƒ a administra†…o “emp•rica ou Œs cegas” da antibioticoterapia, caso seja necessƒria.
A hist„ria pregressa, as manifesta†ˆes e o contexto cl•nico apontam para a causa e a etiopatogenia provƒveis.
DIAGNÓSTICO ETIOLÓGICO
 Choque cardiogênico: na hist„ria cl•nica, o pr„prio paciente ou os familiares referem hist„rico de cardiopatia
aguda ou cr•nica: infarto agudo do miocƒrdio, insufici€ncia card•aca congestiva, miocardiopatias, valvulopatias.
No exame f•sico, geralmente, existem sinais congestivos como estertores pulmonares, hepatomegalia, galope de
terceira bulha, aumento da ƒrea card•aca, ingurgitamento venosos, esvaziamento lento e edema. Na radiografia,
podemos evidenciar aumento da ƒrea card•aca e no ecocardiograma, a redu†…o da fra†…o de eje†…o.
 Choque hipovolêmico: a hist„ria cl•nica pode suscitar perda hemorrƒgica (trauma, ruptura de f•gado, ba†o,
hemorragia gastrointestinal) ou perda de l•quidos (diarreia, v•mitos, sudorese, etc.). Al‚m disso, a busca de
informa†ˆes de doen†as de base (pancreatite, peritonite) tamb‚m deve ser procedida. No exame f•sico,
evidencia de sinais de perfus…o tissular perif‚rica reduzida (taquicardia, pele fria, ‰mida e pƒlida, com
colabamento de veias perif‚ricas).
 Choque Séptico: A hist„ria cl•nica pode demonstrar antecedentes de imunosupress…o, uso de corticoesteroide,
doen†a de base, procedimento cir‰rgico pr‚vio. No exame f•sico, a presen†a de sinais e sintomas de infec†…o
(febre, taquicardia, pele quente ou presen†a de focos infecciosos) pode sugerir o diagn„stico. A leucocitose,
aliada ao aumento de VHS e PCR ‚ algo frequentemente visualizado no exame laboratorial.
Arlindo Ugulino Netto – MEDICINA DE URG•NCIA – MEDICINA P8 – 2011.1
50
DIAGNÓSTICO HEMODINÂMICO
 Pressão venosa central: reflete, basicamente, o estado de
volemia e a eficƒcia da bomba card•aca. Quando a PVC
estiver baixa, atentar para hipovolemia; PVC alta,
hipervolemia ou fal€ncia das bombas.
 Débito urinário: o d‚bito urinƒrio normal ‚ de 0,5 a 1,0
ml/kg/hora e reflete a perfus…o renal. O volume menor que 30
ml/hora significa defici€ncia de perfus…o (insufici€ncia pr‚-
renal), reposi†…o vol€mica inadequada, resposta
neuroend„crina exagerada ou insufici€ncia renal.
 Pressão capilar pulmonar: reflete as pressˆes de
enchimento do cora†…o esquerdo. A PCP baixa reflete
hipovolemia; PCP alta refere hipervolemia ou disfun†…o
miocƒrdica esquerda.
EXAMES COMPLEMENTARES
A avalia†…o diagn„stica deve ser concomitante com as medidas terap€uticas. Elas n…o devem ser adiadas pela
hist„ria, exame f•sico ou solicita†…o de exames laboratoriais ou de imagem. Portanto, durante a execu†…o do diagn„stico
do choque, a avalia†…o laboratorial e de exames radiol„gicos deve ser requisitadas ao passo em que se faz a
terap€utica na tentativa de retirar o paciente da emerg€ncia m‚dica extrema, que ‚ o estado de choque circulat„rio.
Portanto, o diagn„stico inicialmente ‚ estritamente cl•nico; os exames complementares s…o requisitados após iniciado o
tratamento inicial.
 Hemograma com plaquetas
 Anemia (consumo)
 Leucocitose/leucopenia, neutrofilia com desvio Œ esquerda (infec†…o)
 Plaquetopenia (altera†ˆes da coagula†…o)
 Hemocultura ‚ positiva em 30 a 40% dos casos, auxiliando na terapia com antibi„tico.
 Gasometria arterial e venosa: seriada para avalia†…o de acidose metab„lica e definir ventila†…o mec‡nica.
 Coagulograma: Avaliar dist‰rbios da crase sangu•nea.
 Bioquímica do sangue completa: Avalia†…o das fun†ˆes renais, f•gado, cora†…o.
 Técnica de imagem: radiografia de t„rax e abdome, ultrassonografia, tomografia computadorizada, resson‡ncia
nuclear magn‚tica, angiografia.
MANEJO E TRATAMENTO
A abordagem do paciente com a s•ndrome do Choque, independente de sua causa, deve visar os objetivos
hemodin‡micos, de transporte de O2 e funcional dos principais „rg…os acometidos, como mostra a tabela a seguir:
Hemodinâmico Transporte de O2 Função dos orgãos
PAM= 60 – 90 mmHg Hb> 10g/dL Lactato < 2,0 Mm/L
PCP= 15 – 18 mmHg SaO2> 92% D‚bito urinƒrio > 30 mL/h
PVC= 8 – 12 mmHg
VPPI= 12 – 15 mmHg
SvO2 > 70% N•vel de consci€ncia (l‰cido e orientado)
DC= 2 – 4 L/min/m2 Melhora da fun†…o renal e hepƒtica
O tratamento inicial, na maioria das vezes, independe da causa primƒria, pois o objetivo inicial ‚ o de
reestabelecer o DC e o transporte de oxig€nio para atender as demandas metab„licas.
 Š necessƒrio a†ˆes para: 1) garantir a via a‚rea e ventila†…o/oxigena†…o; 2) recupera†…o hemodin‡mica rƒpida
com reposi†…o volum‚trica para restaurar a perfus…o tecidual; 3) revers…o rƒpida da hipotens…o ap„s
reanima†…o vol€mica com vasopressores.
 Identificar e tratar a causa bƒsica do choque: 1) antibi„ticos para choque s‚ptico; 2) controlar e corrigir
hemorragia no choque hipovol€mico; 3) trombol•ticos no choque cardiog€nico por infarto agudo do miocƒrdio.
Nos pacientes graves, sob suspeita ou ainda em situa†…o de risco de desenvolver choque, ‚ indicado a
monitoriza†…o cl•nica frequente, m‚dica e de enfermagem, associada Œ saturimetria e eletrocardiograma (ECG). De
inicio, ainda na sala de emerg€ncia m‚dica, ‚ de extrema import‡ncia a ado†…o de medidas de suporte que atuem no
sentido de corrigir as defici€ncias hemodin‡micas, de transporte de oxig€nio e funcional dos „rg…os.
Arlindo Ugulino Netto – MEDICINA DE URG•NCIA – MEDICINA P8 – 2011.1
51
Todo o paciente com choque deve ser tratado em centro de tratamento intensivo, mas enquanto n…o ‚
transferido para uma CTI, todos os cuidados e as medidas de emerg€ncia devem ser tomados ainda na enfermaria ou
sala de emerg€ncia pelo m‚dico assistente. Os pacientes muito graves precisam ser estabilizados antes do transporte:
reanima†…o volum‚trica, sustenta†…o inotr„pica, corre†…o da acidose e, se necessƒrio, seda†…o, intuba†…o para
ventila†…o, oxigena†…o adequada. Transportar antes de estabilizar ‚ errado e significa alto risco de parada
cardiorrespirat„ria durante o trajeto para a CTI. Portanto, o tratamento inicial ‚ independente da causa do choque,
objetivando a recupera†…o do d‚bito card•aco normal ou suficiente para atender Œs demandas do momento e maximizar
o transporte de oxig€nio aos tecidos.
A prioridade primeira no choque, uma vez garantidos a via a‚rea e a ventila†…o/oxigena†…o adequadas, ‚ a
recupera†…o hemodin‡mica rƒpida que, quase sempre, come†a por reposi†…o rƒpida de volume. Se existe hipotens…o,
esta deve ser revertida rapidamente. Paralelamente, ‚ importante tratar a causa bƒsica assim que ela for identificada
como, por exemplo, instituir antibi„ticos no choque s‚ptico, ou ainda, interromper hemorragia no choque hipovol€mico.
Como exce†…o, o tratamento inicial deve ser dirigido para as ocasiˆes do choque em que as principais causas s…o
taquiarritmia ou choque anafilƒtico. O aumento do d‚bito card•aco ‚ obtido por a†ˆes sobre a pr‚-carga (reposi†…o de
volume), contratilidade (oxigena†…o, ventila†…o, drogas inotr„picas, corre†…o da acidose) e p„s-carga, al‚m da
frequ€ncia card•aca (nos casos de BAV ou taquiarritmias). As medidas gerais na emerg€ncia s…o:
 Administrar oxig€nio e assegurar via ƒrea e
ventila†…o adequadas
 Estabelecer acesso vascular
 Fornecer volume para expans…o
 Monitorizar oxigena†…o, FC e d‚bito urinƒrio
 Considerar infus…o de drogas vasoativas
VIA AÉREA
Seguindo o que foi descrito no ATLS, a via a‚rea ‚ a que tem prioridade em rela†…o aos demais pontos de
observa†…o em indiv•duos com graves situa†ˆes cl•nicas. Nesta etapa, a via a‚rea deve ser mantida p‚rvia, para uma
manuten†…o do fluxo de ar entre o meio externo e os pulmˆes. Caso se tenha sinais de obstru†…o (secre†…o, sangue,
corpo estranho, compress…o extr•nseca), o correto ‚ posicionar, aspirar, garantir vias a‚reas livres com c‡nula
orofar•ngea ou nasofar•ngea e, caso necessƒrio, intubar para garantir via a‚rea e ventila†…o e oxigena†…o estƒveis.
A intuba†…o ‚ indicada nos pacientes instƒveis, quadro respirat„rio deteriorando ou com repercuss…o sobre o
sistema nervoso central, com obnubila†…o e coma. Do mesmo modo que a via a‚rea deve ser mantida livre de res•duos
que a obstruam, todo paciente chocado deve receber oxig€nio na maior concentra†…o, a 100% se poss•vel, para corrigir
ou evitar a hipoxemia e maximizar o transporte de oxig€nio. N…o se economiza oxig€nio no choque no intuito de manter
a satura†…o entre 95 e 100% e uma PO2 acima de 65-70 mmHg.
ACESSO VENOSO
O acesso venoso de urg€ncia deve ser providenciado rapidamente, pois, Œ medida que o tempo passa, a
venoconstric†…o vai se agravando e dificultando o acesso. A proposta atual do ATLS ‚ a obten†…o de dois acessos
perif‚ricos calibrosos (gelco 12-14) e, caso n…o se consiga, o passo seguinte ‚ o acesso central (de prefer€ncia, a veia
jugular) por via transcut‡nea, utilizando a t‚cnica de Seldinger.
Em crian†as, ao inv‚s de acesso venoso pode-se fazer o acesso intra-„sseo. Eventualmente, o acesso
transcut‡neo central n…o ‚ obtido facilmente e, nestas ocasiˆes, faz-se a dissec†…o de veia perif‚rica (safena em regi…o
maleolar, ou bas•lica no bra†o).
A pun†…o da veia jugular ‚ ideal para abordagem dos pacientes graves, por ser adequada para reposi†…o rƒpida
de solu†ˆes, para coleta de sangue e para monitoriza†…o da press…o venosa central.
REANIMAÇÃO VOLUMÉTRICA
A reposi†…o rƒpida de volume geralmente ‚ feita com soro fisiológico puro ou Ringer-Lactato. O volume
m‚dio necessƒrio ‚ de 50 a 60 mL/kg em cerca de 2 horas. No choque hipovol€mico grave, a reposi†…o ainda deve ser
o mais rƒpida poss•vel.
Na prƒtica, ap„s o diagn„stico cl•nico de choque n…o-cardiog€nico, inicia-se a reanima†…o volum‚trica com a
prescri†…o de 2 litros de soro fisiol„gico ou Ringer-Lactato em um curto per•odo de tempo. Muitos m‚dicos utilizam o
termo “correr rƒpido” como sinon•mia para infus…o de l•quido em curto per•odo de tempo. Caso o diagn„stico ainda seja
mal definido e o paciente se encontre hipotenso, pode-se fazer um teste com infus…o de 500 a 1000 mL de cristal„ides e,
caso o paciente permane†a hipotenso, deve-se iniciar a administra†…o de aminas pressoras enquanto continua a busca
da causa.
Durante a reanima†…o volum‚trica, o paciente deve ser reavaliado clinicamente em intervalos de 15 minutos
(melhora hemodin‡mica, diurese, volume urinƒrio, turg€ncia jugular, veias perif‚ricas, PVC, frequ€ncia card•aca,
evolu†…o da press…o arterial, sinais de congest…o ou persist€ncia dos sinais de choque e volume urinƒrio.
O choque, independentemente de sua causa, possui um modelo fisiopatol„gico bem desenvolvido, que inclui os
seguintes fatores que, quando n…o revertidos, evoluem para uma hip„xia tecidual severa e fal€ncia org‡nica de m‰ltiplos
sistemas (da• a import‡ncia da reanima†…o volum‚trica):
Arlindo Ugulino Netto – MEDICINA DE URG•NCIA – MEDICINA P8 – 2011.1
52
1. Queda abrupta do débito cardíaco (DC= Vs x FC)
2. Má perfusão tissular periférica
3. Insuficiência circulatória
CristalŠides.
A rigor, a administração de cristalóides é sinonímia para administração de Ringer-Lactato ou soro fisiológico.
Geralmente, deixamos correr 30 mL/kg de peso em 2 horas. Na prática, como muitas vezes não sabemos o peso do
individuo, ou até mesmo, ocorre um acumulo de líquidos intenso no espaço intersticial, administra-se soro fisiológico a
0,9% em um volume de 2.000 mL, por infusão rápida (em 30 minutos) pelo acesso venoso.
Durante o intercurso de administração, o médico deve, obrigatoriamente, reavaliar de 15 em 15 minutos as
funções de pressão arterial, FC, PVC, volume urinário, nível de consciência. Devendo, portanto, manter a reposição
volêmica seriada até que se restaure a perfusão periférica e se tenha um bom débito urinário.
A interrupção da reposição é regra, quando se observa:
 Estertores de bases
 Turgência jugular
 Terceira bulha
 Hepatomegalia
 PVC
 Enchimento capilar ungueal
 Diurese horária e/ou abundante
ColŠides.
O uso de coloides, tal como a albumina a 20% (100 mL de albumina a 20%, diluída em 300 mL de soro), é
reservada para situações muito específicas, por ser uma alternativa cara e ainda não mostrar, em evidencias cientificas,
superioridade sobre os cristaloides.
Os coloides são representados por elementos derivados do plasma humano (albumina e PFC) e sintéticos
(gelatinas, dextranas, hidro-etil-amido). São, no geral, substâncias de alto peso molecular, que não se difundem através
das membranas capilares. Funcionam aumentando a pressão oncótica do plasma e, ao mesmo tempo, diminuindo o
fluído do interstício, produzindo uma expansão do volume intravascular. Alguns autores ainda intitulam que o uso de
colóides se relaciona com o risco de induzir anafilaxia e coagulopatias.
A principal indicação de coloides é a situação de hipovolemia com edema intersticial intenso. Nesta ocasião,
além da administração de coloides, concomitantemente, também se faz necessário infundir diuréticos.
 Dextran“ (peso molecular de 40.000) é uma boa opção para reposição de volume intravascular quando se
suspeita de agregação de células sanguíneas. Deve ser evitado quando ainda se tem risco de sangramento.
 O Haemaccel“ (substutivo sanguíneo para reposição de volume à base de polipeptídeos de gelatina bovina)
tem as mesmas indicações que o plasma, porém, seu os seus efeitos colaterais.
OBS
2
: A terapêutica com os coloides aumenta a pressão coloidosmótica, enquanto que os cristaloides diminuem.
Entretanto, a superioridade dos coloides na reposição volêmica do choque hemorrágico continua não tendo provas
convincentes.
Sangue.
A reposição com sangue total ou concentrado de hemácias está indicada no choque hemorr‡gico, mas
também nos casos de choque de outras etiologias em que a hemoglobina est‡ abaixo de 8g/dL (HTc abaixo de 20 ou
25%). Em idosos com aterosclerose e pacientes com disfunção respiratória ou miocárdica graves é prudente manter Hb
> 10g/dL e hematócrito acima de 30%. A reposição deve basear-se na estimativa da perda do volume sanguíneo
proposto pela ATLS.
Perda sangu•nea estimada em hemorragias e traumas – Sistematiza‚ƒo do ATLS
D‹ficit
estimado
Pressƒo arterial Pulso Recolora‚ƒo Respira‚ƒo Vol. urin‡rio Outros
Ate 15% Normal 10 a 20% Normal Normal Normal Ansiedade leve
20 - 25%
Sistólica e
diferencial
diminuem
Acima de 150
bpm Prolongada 35 a 40 > 1ml/kg/h
Hipotensão postural
30 - 35%
Sistólica e
diferencial
diminuem
Acima de 150
bpm, fino
Prolongada 35 a 40 < 1ml/kg/h
Letargia, vômitos,
extremidades frias
40 - 50%
Sistólica e
diferencial
diminuem
Não palpável
Prolongada 35 a 40 << 1ml/kg/h
Obnubilado ou
comatoso
Arlindo Ugulino Netto – MEDICINA DE URG•NCIA – MEDICINA P8 – 2011.1
53
Assim, um paciente de 40 kg de peso, com perda estimada de 20 a 25% da volemia (volemia normal = 80 mL de
sangue/kg de peso) a perda estimada ‚ de 640 (0,20 x 80 x 40= 640) a 800 mL (0,25 x 80 x 40= 800). Quando se repˆe
perda sangu•nea com cristaloide, usa-se um volume tr€s vezes maior. Assim, no caso exemplificado acima, seria usado
um volume de cerca de 2000 mL de Ringer-Lactato (preferencialmente) ou soro fisiol„gico para correr em 20 a 30
minutos, at‚ que esteja dispon•vel sangue tipado ou O negativo. O objetivo deve ser de manter o hemat„crito acima de
30% e cada unidade de sangue aumenta o hemat„crito em cerca de 3%. A albumina nunca deve ser utilizada em
choque hemorrƒgico. Nos casos graves, com pacientes ag•nicos, vƒrios acessos venosos centrais s…o obtidos
simultaneamente para infus…o de Ringer ou sangue (grupo O Rh negativo) em grandes volumes, em poucos minutos.
Existem equipamentos pr„prios para a sala de politraumatizados graves, que aquecem e infundem sangue sobre
press…o e em alta velocidade. Idealmente, geladeiras com estoque de sangue O negativo devem ficar dentro dessas
salas de atendimento de trauma grave para uso imediato. Deve-se repor 1 grama de cƒlcio EV para cada litro de sangue
infundido ou para manter o cƒlcio i•nico acima de 1,15 mmol/L.
A utiliza†…o de concentrado de hemácias deve seguir de acordo com os achados cl•nicos e o hemat„crito. Na
hipovolemia por hemorragia n…o controlada (trauma) o sangue deve suceder os cristaloides. Portanto, sua principal
fun†…o ‚ a de aumentar o transporte de oxig€nio em pacientes com reduzida massa eritrocitƒria.
O plasma fresco ‚ um excelente expansor plasmƒtico, cujo HTo mostre hemoconcentra†…o. Possui uma
quantidade razoƒvel de fatores de coagula†…o, por‚m, possui riscos (HIV, hepatite).
OBS
3
: A seguinte tabela define as necessidades de cristaloides e/ou sangue:
Classe I Classe II Classe III Classe IV
Perda Sanguínea (ml) At‚ 750 750-1500 1500-2000 > 2000
Perda Sanguínea (% VS) At‚ 15% 15-30% 30-40% > 40%
Frequência de pulso < 100 > 100 > 120 >140
PA N N ↓ ↓
Pressão de pulso (mmHg) N ou ↑ ↓ ↓ ↓
FR 14-20 20-30 30-40 >35
Diurese (ml/h) > 30 20-30 5-15 Desprez•vel
Estado mental /SNC Levemente ansioso Moderado ansioso Ansioso, confuso Confuso, letƒrgico
Reposição volêmica Cristaloide Cristaloide Cristaloide sangue Cristaloide e sangue
DROGAS VASOATIVAS/DROGAS INOTRÓPICAS
Na maioria das vezes, a reposi†…o
vol€mica, oxigena†…o e ventila†…o adequadas s…o
feitas antes do suporte inotr„pico ou press„rico
com uso de aminas (suporte farmacol„gico) que
s„ deve ser iniciado se n…o houver resposta
satisfat„ria com a reposi†…o volum‚trica.
No choque hipovol€mico hemorrƒgico,
geralmente n…o ‚ necessƒrio utilizar aminas,
bastando a reanima†…o volum‚trica e a reposi†…o
de sangue. Entretanto, nos casos com grandes
perdas, quando n…o se consegue que a infus…o
rƒpida de volume seja suficiente para estabilizar a
press…o arterial, pode ser necessƒria a infus…o
paralela de noradrenalina, adrenalina ou dopamina
em dose alta para conseguir manter uma press…o
arterial adequada (PAM > 65mmHg) e, no paciente
com hemodin‡mica monitorizada, um •ndice
card•aco (IC) acima de 4 – 4,5L/minuto/m
2
e uma
DO2 acima de 550 mL/minuto ou VO2 acima de
150 mL/minuto/ m
2
.
 Dopamina: Somente ‚ indicada se a press…o arterial m‚dia (PAM) e IC estiverem baixas (PAM < 60 mmHg e IC
< 3,58) ap„s a reanima†…o volum‚trica. Geralmente, ‚ usada diluindo-se uma ampola de 10 mL com 5mg/mL
em 240 mL, o que dƒ uma solu†…o de 250 mL com 200 microgramas/mL ou por gota. Com essa dilui†…o, a
infus…o corre numa velocidade correspondente ao peso do paciente em gotas por minuto (exemplo, 60
Arlindo Ugulino Netto – MEDICINA DE URG•NCIA – MEDICINA P8 – 2011.1
54
gotas/minuto em um paciente de 60 kg) corresponde a infusão de 10 microgramas/kg/minuto. A dopamina é útil
no choque em três níveis:
 Dose alta (10 a 20 microgramas/kg/min): Tem efeito vasopressor, sustentando a pressão arterial nos
casos de choque grave e descompensado. É alfa-agonista.
 Dose intermediária (5 a 10 microgramas/kg/min): A droga tem efeitos inotrópicos semelhantes à
dobutamina. Aumenta o débito cardíaco no choque cardiogênico ou séptico leve a moderado. É beta e alfa-
agonista.
 Dose baixa (2 a 5 microgramas/kg/min): Melhora a perfusão renal e a diurese (efeito dopaminérgico, com
vasodilatação esplâncnica e aumento do fluxo renal em 50%). Na prática, a função renal praticamente não
melhora com a utilização de dopamina na dose declarada acima. Essa dose não deve ser utilizada na sepse.
 Noradrenalina: a noradrenalina (norepinefrina) em infusão contínua deve ser usada nos casos de choque com
hipotensão persistente, mesmo após uma adequada ressuscitação volumétrica, sobretudo quando persiste
hipotensão (PAM < 60 mmHg) mas o débito cardíaco é normal (IC acima de 4 a 4,5 L/minuto/m
2
), não
requerendo o suporte inotrópico. A infusão contínua de noradrenalina deve ser titulada para manter uma PAM
acima de 65 mmHg e uma IRVS abaixo de 800-1100 dinas.s.cm
-5
.m
2
, para evitar vasoconstricção excessiva.
O efeito farmacológico da noradrenalina é a vasoconstricção com aumento da RVS (e PA) sem aumento
significativo do DC, por atuarem nos receptores alfa.
Alguns autores defendem que, nos casos graves de choque, sobretudo no choque séptico com evolução rápida,
a noradrenalina deve ser usada como primeira escolha mesmo que não se tenha a monitorização do débito
cardíaco, mas não há consenso sobre a superioridade da noradrenalina/adrenalina sobre a dopamina em dose
alta. A infusão entre 0,05 e 1 mcg/kg/min para manter uma PAM acima de 65 mmHg deve ser realizada. No
choque anafilático, a adrenalina é a droga de escolha.
 Dobutamina: é indicada quando a disfunção miocárdica é a causa primária do choque cardiogênico ou em
estados de baixo débito cardíaco, como miocardite, miocardiopatia e infarto do miocárdio. Caso a PA esteja
adequado, pode ser combinada com vasodilatador para reduzir a pós-carga. A dose de 10 a 15 mcg/kg/minuto é
usada nos casos em que apesar da reposição volêmica, persistem os sinais de hipoperfusão periférica.
MEDIDAS ESPECÍFICAS
 Combate ao fator etiológico
 Combate às hemorragias
 Controle da infecção (antibioticoterapia ou erradicar foco infeccioso)
 Combate à desidratação
 Hiperemese
 Diarréia
 Combate às afecções cardiológicas
 Combate aos distúrbios do tônus vascular, com drogas vasoconstrictoras (noradrenalina, dopamina, etc)
CHOQUE HIPOVOL•MICO
O choque hipovolêmico é definido como uma situação de extrema emergência médica onde se tem uma perda
de grande quantidade de sangue ou fluidos com brusca redução do volume circulante efetivo.
CAUSAS
O choque hipovolêmico não somente ocorre por causas hemorrágicas (politraumatizado, violência urbana,
acidentes de trânsito), mas também por etiologia não-hemorrágica, em destaque:
 Perda de líquidos e eletrólitos por vômito;
 Desidratação;
 Sequestro de líquidos e edema.
FISIOPATOLOGIA
O choque hipovolêmico ocorre quando há perda de sangue acima de 40% de todo o volume circulante,
caracterizando um quadro de alterações hemodinâmicas, destacando-se:
 Redução das pressões de enchimento (PVC, PCP)
 Redução do volume sistólico
 Redução do débito cardíaco
 Redução da oferta de oxigênio aos tecidos (DO2)
 Acidose láctica
 A deficiência de perfusão promoverá uma hipóxia celular e, consequentemente, alterações funcionais nas
células até a sua total apoptose.
Arlindo Ugulino Netto – MEDICINA DE URG•NCIA – MEDICINA P8 – 2011.1
55
MECANISMOS REFLEXOS COMPENSATÓRIOS
A hipotensão é a chave que desencadeia todos os mecanismos reflexos diante do quadro emergencial do
choque hipovolêmico. No fim das contas, a compensação, que é um fenômeno que exige uma integração de vários
compartimentos orgânicos, leva a elevação da pressão arterial, preservação da volemia e aumento do desempenho
cardíaco. O mecanismo compensatório, também denominado de resposta neuroendócrina, determina uma série de
alterações orgânicas com a finalidade de manter uma pressão de perfusão aceitável para as trocas teciduais.
 Diminuição do efeito parassimpático: Como sabemos, nos vasos, o estímulo parassimpático induz a uma
vasodilatação, que é interrompida durante o choque. No músculo cardíaco, a estimulação da atividade inotrópica
e cronotrópica é função do sistema nervoso autônomo simpático, inibindo a sua depressão pelo parassimpático.
 Exacerbação do efeito simpático: No coração, aumenta a atividade inotrópica e cronotrópica positiva e, nos
vasos sanguíneos, uma vasoconstricção.
 Liberação de ACTH e ADH pela hipófise: A vasopressina (ADH) atua em vasos periféricos promovendo uma
vasoconstricção e, nos rins, uma retenção de água. Já o ACTH atua nos receptores adrenérgicos promovendo
um aumento da sensibilidade às catecolaminas.
 Liberação de Noradrenalina e cortisol pelas suprarrenais: Nos vasos, ocorre ativação dos receptores alfa,
promovendo aumento da resistência vascular. No coração, a ativação dos receptores beta-1 promove um
aumento do inotropismo e volume sistólico.
 Ativação do sistema renina-angiotensina-aldosterona: Nos vasos, os receptores AT-2 ativados determinam
um aumento da resistência vascular. Nos rins, especialmente nos túbulos renais, ocorre retenção de sódio e
água com aumento do volume circulante efetivo.
QUADRO CLÍNICO
O quadro clínico é clássico, em que o paciente já
se encontra com letargia, hipotensão severa, taquicardia
e anúria.
Geralmente, os sinais e sintomas ocorrem
quando a perda é superior a 40% da volemia circulante.
É importante reconhecer o paciente hipovolêmico e
corrigi-lo antes que os estágios evoluam a síndrome da
falência de múltiplos órgãos.
CARACTERÍSTICAS HEMODINÂMICAS
 Pressões de enchimento 
 DC 
 RVS 
 Oferta de oxigênio 
 Consumo de oxigênio 
 Taxa de extração de oxigênio
 Índice cardíaco 
Arlindo Ugulino Netto – MEDICINA DE URG•NCIA – MEDICINA P8 – 2011.1
56
TRATAMENTO
 Tratar a causa básica, que deve ser concomitante às medidas gerais de ressuscitação
 Iniciar ABC da ressucitação
 Reposição volêmica: Inicialmente, a reposição deve ser feita com cristaoides, 2.000 mL, por 30 minutos.
 Reposição sanguínea: Quando a causa é hemorrágica ou, quando a hemoglobina estiver abaixo de 8 g/dL.
 Uso de aminas: Após ressuscitação volumétrica, uso de drogas inotrópicas e vasopressoras para uma melhor
estabilidade hemodinâmica.
CHOQUE CARDIOG•NICO
Todos os choques cursam com o evento fisiopatológico comum, que é a hipoperfusão tecidual, com consequente
sofrimento celular. Porém, diferentemente do choque hipovolêmico, o choque cardiogênico é o que possui uma etiologia
cardíaca envolvida na gênese do choque.
Portanto, definimos este tipo de choque como sendo o que ocorre quando o coração é incapaz de manter débito
cardíaco suficiente para manter as necessidades metabólicas do organismo. No geral, é a forma mais grave de falência,
com altos índices de mortalidade, acima de 80% em alguns serviços.
CAUSAS
 Substâncias ou fatores que causem depressão da função miocárdica
 Defeitos cardíacos estruturais
 Seqüelas de grandes cirurgias ou trauma
 Nos paciente politraumatizados, pode ocorrer por: IAM, ICC, arritmias, eletrocussão, acidose, etc.
 Pacientes com infarto agudo do miocárdio, ocorrendo em 5 a 8% dos pacientes com supradesnivelamento do
segmento ST no ECG e, em 2 a 5 % dos pacientes sem esta alteração eletrocardiográfica.
QUADRO CLÍNICO
 Hipotensão arterial
 Queda rápida e acentuada do índice cardíaco
 Oligúria
 Sinais de estimulação simpática
 Estase jugular/edema agudo de pulmão
 Edema de membros inferiores
 Alterações do nível de consciência
 Dor anginosa e arritmias
CARACTERÍSTICAS HEMODINÂMICAS
 Pressões de enchimento 
 DC 
 RVS 
 Oferta de oxigênio 
 Consumo de oxigênio normal
 Taxa de extração de oxigênio
 Índice cardíaco 
Arlindo Ugulino Netto – MEDICINA DE URG•NCIA – MEDICINA P8 – 2011.1
57
TRATAMENTO
O tratamento diante do quadro de choque cardiogênico possui dois principais objetivos: 1) melhorar o débito
cardíaco e 2) minimizar o trabalho cardíaco. Portanto, para melhorar o DC, devemos corrigir arritmias, aperfeiçoar a
pré-carga, melhorar a contratilidade, reduzir a pós-carga. No intuito de minimizar o trabalho cardíaco, devemos manter a
temperatura normal, sedação, intubar e ventilação mecânica, correção da anemia.
CHOQUE DISTRIBUTIVO
É a forma de choque causada por uma
insuficiência funcional vascular (vasoplegia). Ocorre,
portanto, uma diminuição do tônus vascular com
redistribuição de fluxo nas vísceras. Pode ser: 1)
Séptico, 2) anafilático e 3) neurogênico.
O choque séptico, por exemplo, intitula uma
junção entre a síndrome da resposta inflamatória
sistêmica e uma infecção. Geralmente, a principal causa
é a infecção por bactérias gram-negativas (70% das
vezes) e, em 30%, por gram-positivas, restando poucos
percentuais para a infecção fúngica. Os principais focos
são: trato geniturinário, gastrointestinal e respiratório.
CARACTERÍSTICAS HEMODINÂMICAS
 Pressões de enchimento 
 DC 
 RVS normal ou 
 Oferta de oxigênio: normal ou 
 Consumo de oxigênio 
 Taxa de extração de oxigênio 
TRATAMENTO
 Choque séptico: reposição volumétrica, antibioticoterapia de amplo espectro precoce e uso de drogas
vasoativas.
 Choque neurogênico: uso de drogas vasoativas e tratamento neurocirúrgico da região acometida, se indicado.
 Choque anafilático: entubação, uso de anti-histamínicos, epinefrina e, se necessário, reposição volêmica; em
caso de broncoespasmo, utilizar drogas broncodilatadoras.
Arlindo Ugulino Netto – MEDICINA DE URG•NCIA – MEDICINA P8 – 2011.1
58
MED RESUMOS 2011
NETTO, Arlindo Ugulino.
MEDICINA DE URGÊNCIA E TERAPIA INTENSIVA
SEPSE
(Professor Ciro Leite Mendes)
Seguindo uma linha mais básica, sepse (do grego, septikós = que causa putrefação) pode ser definida como
uma infecção geral grave decorrente de uma resposta do organismo a germes patogênicos que caracteriza uma
urgência médica. A sepse é considerada uma das doenças mais desafiadoras da medicina. Esforços consideráveis têm
sido feitos para um melhor entendimento da inflamação sistêmica que caracteriza essa síndrome.
Embora seja um assunto vasto e que levanta várias discussões, seu manejo sofreu profundas mudanças e
padronizações na última década, havendo hoje inúmeras orientações com base em evidências advindas de estudos no
cenário clínico.
ASPECTOS EPIDEMIOL†GICOS
A sepse é a causa não-coronariana mais comum de admissão em unidades de terapia intensiva (UTI). O número
de casos de sepse grave relatada em casos por 100.000 habitantes varia de 38 casos na Finlândia, 51 casos na
Inglaterra, 77 casos na Oceania, 81 casos nos EUA a 95 casos na França.
Um estudo estimou a incidência de sepse nos Estados Unidos em 751.000 casos por ano, sendo que a idade
relaciona-se diretamente com a incidência e a mortalidade: a incidência de morte aumentou mais de cem vezes com a
idade. O aumento dos casos de sepse tem ocorrido de forma igualitária para ambos os sexos, mas ainda mantendo uma
proporção menor em mulheres. Entretanto, de uma forma geral, a mortalidade tem decrescido consideravelmente nas
últimas décadas (embora ainda mate mais que muitas doenças em foco na mídia, como a AIDS e o câncer de pulmão).
Um estudo prospectivo, observacional, multicêntrico, em 206 UTI da França, que incluiu 3738 pacientes, mostrou
incidência de sepse grave e choque séptico de 14.6% e mortalidade de 35% em 30 dias. Outro estudo europeu
multicêntrico mostrou que nos pacientes com sepse grave e choque séptico, a mortalidade foi de 32,2 e 54,1%,
respectivamente.
No Brasil, estudos epidemiológicos sobre sepse são escassos. O estudo BASES (Brazilian Sepsis Epidemiogical
Study), desenvolvido em cinco UTI dos estados de São Paulo e Santa Catarina, mostrou uma incidência de sepse,
sepse grave e choque séptico de 46,9%, 27,3% e 23%, respectivamente. A mortalidade nestes pacientes foi 33,9%,
46,9% e 52,2%, respectivamente.
OBS
1
: Não há dúvidas epidemiológicas que os casos de sepse aumentaram demasiadamente nos últimos anos (estima-
se ainda que este registro só aumente e, inclusive, de forma desproporcional ao crescimento da própria população).
Contudo, alguns fatores curiosos contribuíram para estes dados:
Arlindo Ugulino Netto – MEDICINA DE URG•NCIA – MEDICINA P8 – 2011.1
59
 Primeiramente, porque os consensos mundiais e padroniza†ˆes contribu•ram para a melhor defini†…o dos termos
que envolvem a sepse, auxiliando a conceitua†…o da doen†a e o in•cio de estudos mais homog€neos quanto ao
tema – antigamente, a sepse era uma entidade que respondia por vƒrios nomes (choque s‚ptico, septicemia,
choque citot„xico, s•ndrome s‚ptica, etc.) e que n…o tinha os seus espectros cl•nicos bem definidos. A partir de
1991, foi criada uma nomenclatura padronizada que passou a ser utilizada universalmente, auxiliando no
estabelecimento de diagn„sticos mais consistentes; consequentemente, contribuindo no maior n‰mero de
diagn„sticos.
 Al‚m disso, com o envelhecimento generalizado da popula†…o mundial, houve um aumento no n‰mero de casos
de sepse nesta parcela emergente da popula†…o, uma vez que o idoso ‚ um indiv•duo mais predisposto a
infec†ˆes. Destacamos tamb‚m o papel que os procedimentos invasivos utilizados hoje nos centros de terapia
intensiva desempenham no aumento dos n‰meros de sepse.
 Em associa†…o a estes dois fatores, podemos citar ainda o desenvolvimento de resist€ncia microbiana aos
medicamentos, que s…o utilizados de forma inconsciente.
OBS
2
: Podemos citar, portanto, os seguintes fatores que contribu•ram com o aumento das s•ndromes s‚pticas:
 Aumento da sensibilidade diagn„stica;
 Aumento da longevidade;
 Maior incid€ncia de doen†as neoplƒsicas,
metab„licas e autoimunes;
 Maior utiliza†…o de fƒrmacos imunossupressores;
 Maior demanda de procedimentos invasivos;
 Aumento da resist€ncia microbiana aos
antibi„ticos.
DEFINI‚ƒES
Em 1991, o American College of Chest Physicians/Society of Critical Care Medicine (ACCP/SCCM) estabeleceu
o consenso que definiu e que padronizou os diversos conceitos da mesma doen†a, o que inclui:
 S•ndrome da resposta inflamat„ria sist€mica (SIRS);
 Sepse;
 Sepse/SIRS grave;
 Choque s‚ptico/SIRS;
 S•ndrome da Disfun†…o de M‰ltiplos •rg…os.
SÍNDROME DA RESPOSTA INFLAMATÓRIA SISTÊMICA (SRIS OU SIRS)
A SIRS o termo que se utiliza atualmente para descrever uma rea†…o inflamat„ria sist€mica, ou seja, que afeta o
organismo como um todo, e se desenvolve frente a diferentes tipos de agentes agressores. Ela pode ser definida pela
presen†a de dois ou mais dos seguintes sinais:
 Temperatura >38
o
C ou <36
o
C
 Frequ€ncia card•aca > 90bpm
 Taquipn‚ia (frequ€ncia respirat„ria > 20irpm) ou hiperventila†…o (PaCO2 < 32mmHg);
 Leuc„citos > 12000 ou <4000 ou >10% de formas imaturas (bastˆes).
Contudo, analisando bem estas variƒveis, nota-se que elas n…o fazem um diagn„stico espec•fico de um tipo de
quadro inflamat„rio – um indiv•duo recentemente submetido a algum esfor†o f•sico pode, muito provavelmente,
demonstrar estes sinais, mas n…o apresentar o diagn„stico de SIRS.
Portanto, associado a estes fatores, ‚ necessƒrio um motivo real ou cab•vel para o paciente apresentar o quadro
de SIRS: presença de algum fator que predisponha o paciente ao desenvolvimento de uma síndrome inflamatória
sistêmica. Portanto, diante de pacientes que apresentem algum quadro m„rbido pr‚vio (interna†…o em UTI, hist„rico de
grande cirurgia recente, infec†…o grave, grandes queimaduras, etc.) e curse com estes sinais, devemos sempre valorizar
tal caso.
SEPSE
A sepse ‚ o termo que define a resposta inflamat„ria sist€mica na presença de infecção confirmada ou
suspeita. Portanto, temos:
Desta forma, um paciente com pancreatite aguda ou com grandes queimaduras que apresente os sinais de SRIS
(mas sem infec†…o aparente), muito provavelmente, apresenta apenas um quadro clƒssico de SRIS. Contudo, estaremos
diante de um quadro de sepse quando o paciente apresentar os mesmos sinais associados a um quadro sugestivo de
infec†…o.
OBS
3
: Como a pr„pria etimologia da palavra jƒ sugere, o termo septicemia significa a presen†a de agentes
microbiol„gicos na corrente sangu•nea; e, portanto, n…o ‚ sin•nimo de sepse: cerca de 50% dos pacientes que
apresentam sepse (isto ‚, pacientes que apresentem infec†…o acompanhada de sinais de SRIS) n…o apresentam
nenhum tipo de germe circulando no sangue – e, desta forma, n…o cursam com septicemia.
Arlindo Ugulino Netto – MEDICINA DE URG•NCIA – MEDICINA P8 – 2011.1
60
OBS
4
: Outro dado importante é que nem sempre a septicemia pode levar a sepse: estudos mostraram que boa parte das
pessoas passa a apresentar uma pequena septicemia logo depois que escovam os dentes devido a microlesões da
mucosa oral durante a escovação. Contudo, esta bacteremia é efêmera e passageira, sem causar, obrigatoriamente, um
quadro de sepse.
Portanto, embora não se possa dizer, obrigatoriamente, que a SRIS é uma fase inicial da sepse (uma vez que
ela é uma condição comum a vários outros quadros que podem nem se relacionar a infecções), podemos afirmar com
propriedade que a SRIS está por trás da fisiopatologia da sepse (até porque a própria definição deste quadro depende
de sinais de SRIS). Contudo, embora a SRIS apresente a mesma base fisiopatológica para qualquer que seja a situação
desencadeante, a inflamação sistêmica provocada pela sepse é, obrigatoriamente, promovida por um germe (bactérias,
parasitas, vírus, fungos), como vimos anteriormente.
SEPSE/SIRS GRAVE
Subindo ainda mais em uma escala de gravidade, o termo sepse/SIRS grave define o quadro de sepse quando
este está associado a alguma disfunção orgânica, hipoperfusão ou hipotensão.
Note, entretanto, que a hipoperfusão e as anormalidades de perfusão podem incluir outras condições, e não
estão limitadas apenas à acidose láctica, oligúria ou à alteração aguda no estado mental. Pode estar associada,
portanto, a lesões cardiovasculares, quadros respiratórios, etc. Estas alterações refletem a própria fisiopatologia da
doença, assim como veremos mais adiante.
CHOQUE SÉPTICO/SIRS
O choque séptico pode ser definido como a hipotensão induzida pela sepse/SIRS, apesar da realização da
reposição volêmica (trata-se, portanto, de um diagnóstico retrospectivo). Nestes casos, o paciente apresentará,
geralmente, PAS < 90mmHg ou queda acima de 40mmHg em relação aos níveis basais.
DISFUNÇÃO DE MÚLTIPLOS ÓRGÃOS E SISTEMAS (DMOS)
A DMOS é caracterizada pelo choque séptico associado à presença de disfunção orgânica em paciente com
doença aguda, de forma que a homeostase não pode ser mantida sem que haja intervenção.
Além disso, só em observar o quadro do paciente, podemos enquadrá-lo como um caso de DMOS a depender
de suas necessidades (hemodiálise, reposição de fatores de coagulação, necessidade de ventilação mecânica, etc.). Na
realidade, quando estudamos as disfunções orgânicas, nos referimos a, pelo menos, seis sistêmas orgânicos principais:
 Sistema nervoso central: rebaixamento do nível de consciência, agitação, confusão mental ou coma.
 Aparelho respiratório: dispnéia e necessidade de ventilação mecânica.
 Sistema cardiovascular: hipotensão com necessidade eminente de drogas vasoativas.
 Sistema hepato-esplâncnico: elevação de bilirrubinas, diminuição do nível de fatores de coagulação, elevação
de transaminases, etc.
 Sistema renal: oligúria, elevação de creatinina.
 Sangue: distúrbios da coagulação (plaquetopenia, aumento do tempo de ativação de protrombina,
sangramentos espontâneos).
A presença de duas ou mais destas condições, com necessidade de intevenção médica para a manutenção da
vida e da homeostasia do doente, o inclui no grupo de disfunção de múltiplos órgaos.
Observando o esquema ao lado, ficam claras as principais
relações da SRIS. Desta forma, um paciente pode ter bacteremia
mas não ter SRIS ou sepse; assim como ele pode ser vítima de
trauma, queimaduras, pancreatite e não ter SRIS. Contudo, se ele
tem sepse, necessariamente, ele tem SRIS.
Arlindo Ugulino Netto – MEDICINA DE URG•NCIA – MEDICINA P8 – 2011.1
61
FISIOPATOLOGIA
A sepse resulta de uma complexa interação entre o microorganismo infectante e a resposta imune, pró-
inflamatória e pró-coagulante do hospedeiro. Em outras palavras, existe por trás da sepse um processo inflamatório
sistêmico e generalizado em resposta a um agente agressor.
A resposta do hospedeiro e as características do organismo infectante são as principais variáveis fisiopatológicas
da sepse. Dessa maneira, ocorre progressão da sepse quando o hospedeiro não consegue conter a infecção primária
por resistência à opsonização, à fagocitose, a antibióticos e presença de superantígenos.
Arlindo Ugulino Netto – MEDICINA DE URG•NCIA – MEDICINA P8 – 2011.1
62
Em resumo, a sepse ‚ decorrente de uma resposta inflamat„ria exagerada n…o balanceada adequadamente pelo
organismo e, portanto, diz-se que “somos v•timas do nosso pr„prio rem‚dio”, uma vez que a inflama†…o (quando bem
intermediada) funciona como um fator protetor do nosso organismo.
Como se sabe, mediante a algum est•mulo nocivo espec•fico, o organismo monta uma reposta mediada por
diversos fatores composta por c‚lulas de defesa e subst‡ncias que, entre outros eventos, promovem vasodilatação
para facilitar a chegada das c‚lulas imunol„gicas. Al‚m da vasodilata†…o, ocorre aumento da permeabilidade capilar
para que estas c‚lulas deixem a circula†…o e ganhem o interst•cio (para facilitar o livre fluxo destas c‚lulas entre os
compartimentos org‡nicos). Concomitantemente, ocorre mobiliza†…o de certas subst‡ncias reparadoras de tecido e
componentes de coagula†…o sangu•nea (plaquetas, c‚lulas endoteliais e fatores de coagula†…o).
O endot‚lio, revestimento interno dos vasos, em condi†ˆes normais, ‚ responsƒvel por manter um fluxo
sangu•neo adequado. Contudo, quando o endot‚lio ‚ ativado ou agredido durante o processo inflamat„rio, ele deixa de
atuar como uma superf•cie in„cua (pr„-fibrinol•tica) e passa a agir como um agente trombog€nico (anti-fibrinol•tica),
contribuindo na promo†…o da coagula†…o sangu•nea (promovendo, em ‰ltima inst‡ncia, hipoperfusão tecidual ).
Quando este evento ocorre de forma localizada e autolimitada, os preju•zos s…o m•nimos, caracterizando um
processo benigno que tem a finalidade de cura. Contudo, determinadas situa†ˆes podem disseminar estas altera†ˆes
inflamat„rias, avan†ando por todo organismo – caracterizando um fen•meno mal‚fico, que caracteriza a SRIS,
agredindo o organismo mais do que o agente agressor inicial (quando este agente agressor ‚ um germe, caracteriza a
sepse).
Portanto, o que caracteriza a SRIS ‚ o aumento exagerado da inflama†…o generalizada em resposta a um
agente nocivo, associado a uma ativa†…o do sistema de coagula†…o (com quebra da fibrin„lise) e a uma disfun†…o
endotelial (que passa a atuar como uma superf•cie pr„-tromb„tica e antifibrinol•tica). Desta forma ocorre oclus…o
disseminada de vasos (em especial, os capilares, que s…o bem mais numerosos e importantes, do ponto de vista
tecidual) e queda na oferta de oxig€nio (hip„xia). Quando este agente nocivo ‚ um germe, temos um quadro de sepse.
Logicamente, o organismo tamb‚m lan†a m…o de mecanismos anti-inflamat„rios que lutam contra a SRIS. O
balan†o entre essas duas respostas determinam a evolu†…o do paciente.
Neste momento, faremos uma abordagem mais detalhada da fisiopatologia que foi resumida at‚ aqui.
RESPOSTA IMUNE E INFLAMATÓRIA
A resposta imune inata ‚ responsƒvel pelo processo inflamat„rio inicial na sepse. Ela ‚ mediada pelos
receptores de reconhecimento padr…o, como os receptores Toll-like (TLR) e o CD14 , que reconhecem os pat„genos ou
seus produtos, identificados como PAMPs (padrˆes moleculares associados a pat„genos – pathogen-associated
molecular patterns).
Os TLR-2 reconhecem, ent…o, os peptideoglicanos das bact‚rias Gram-positivas, enquanto os
lipopolissacar•deos (LPS) das Gram-negativas (principais causadoras da sepse) s…o reconhecidos pelos TLR-4.
Uma vez ativados, os TLRs desencadeiam uma cascata de eventos intracelulares que culmina com a
transloca†…o nuclear do NF-kB, um fator de transcri†…o que promove a express…o g€nica de mol‚culas pr„-inflamat„rias,
como fator de necrose tumoral alfa (TNF-α) e interleucina-1 beta (IL-1β) e tamb‚m citocinas anti-inflamat„rias como
interleucina 10 (IL-10).
O TNF-α e IL-1β ativam a resposta imune adaptativa que ‚ responsƒvel pela amplifica†…o da imunidade inata.
Esta caracteriza-se pela ativa†…o das c‚lulas B que liberam imunoglobulinas facilitadoras da apresenta†…o de ant•genos
Arlindo Ugulino Netto – MEDICINA DE URG•NCIA – MEDICINA P8 – 2011.1
63
para as c‚lulas fagocitƒrias. Contrabalan†ando esse mecanismo, as c‚lulas T helper tipo 2 (Th2) secretam interleucinas
anti-inflamat„rias (IL-4, IL-10).
Embora os neutr„filos ativados destruam microorganismos, eles tamb‚m causam aumento da permeabilidade
vascular, ocasionando edema tecidual e hipovolemia. Al‚m disso, as c‚lulas endoteliais ativadas liberam „xido n•trico,
um potente vasodilatador que tem papel fundamental na patog€nese do choque s‚ptico por promover vasodilatação e
hipotensão.
A ativa†…o dos mon„citos e macr„fagos e a intensa a†…o dos mediadores iniciais acarretam a s•ntese de outras
citocinas, como IL-6, IL-8, IL-10 e HMGB1 (high mobility group protein box 1). A secre†…o de IL-6 leva Œ reprograma†…o
da express…o g€nica hepƒtica, a chamada “resposta de fase aguda”, caracterizada pela produ†…o de prote•nas de fase
aguda como a prote•na C reativa e a supress…o das prote•nas negativas de fase aguda, como a albumina.
CASCATA DA COAGULAÇÃO
Al‚m da inflama†…o, os germes tamb‚m ativam a cascata da coagula†…o, com aumento dos fatores pr„-
coagulantes e redu†…o dos anticoagulantes.
A coagula†…o ‚ iniciada atrav‚s da express…o do fator tecidual (FT) na superf•cie das c‚lulas endoteliais e
mon„citos, um evento que pode ser desencadeado por produtos bacterianos como endotoxinas.
O LPS estimula as c‚lulas endoteliais a produzir o FT, o qual na superf•cie celular ativa o fator VII, resultando no
complexo fator VIIa e FT que converte o fator X em Xa. Em conjunto com o fator Va, o fator Xa converte a protrombina
em trombina, o que por sua vez resulta na clivagem do fibrinog€nio em fibrina. Embora a deposi†…o de fibrina tenha
papel importante na homeostasia e na localiza†…o de micro-organismos, a coagula†…o intravascular impede a chegada
de oxigênio aos tecidos e pode induzir nova lesão inflamatória. Por sua vez, o receptor da trombina ativa o NFκB,
acarretando a transcri†…o de genes de mediadores inflamat„rios e s•ntese de „xido n•trico.
Na sepse, o LPS e o TNF-α diminuem a s•ntese de trombomodulina e o receptor endotelial da prote•na C,
impedindo a ativa†…o da prote•na C e aumentando a s•ntese do inibidor do ativador do plasminog€nio 1 (PAI-1), em
‰ltima inst‡ncia interrompendo a fibrin„lise.
METABOLISMO CELULAR E MECANISMOS DE DISFUNÇÃO ORGÂNICA
Na sepse ocorrem altera†ˆes do metabolismo celular que afetam o metabolismo lip•dico, dos carboidratos e
prote•nas. A oferta inadequada de oxig€nio aos tecidos em decorr€ncia da queda do fluxo sangu•neo nos capilares e da
redu†…o do d‚bito card•aco contribui para o aumento do metabolismo anaer„bico e a hiperlactatemia. Entretanto, mesmo
na presen†a de uma oferta adequada de oxig€nio, podem ocorrer extra†…o e utiliza†…o ineficaz de oxig€nio a n•vel
mitocondrial (hibernação celular). Uma das principais consequ€ncias da disfun†…o mitocondrial ‚ a redu†…o na
produ†…o de ATP.
Os mecanismos precisos que levam Œ disfun†…o de „rg…os na sepse n…o est…o completamente elucidados.
Independentemente das altera†ˆes na oferta de oxig€nio e substratos, as c‚lulas podem reagir Œ agress…o s‚ptica
modificando seu comportamento, fun†…o e atividade.
Entre os mecanismos sist€micos destacam-se as altera†ˆes na fun†…o vascular e do metabolismo da glicose. A
fun†…o vascular ‚ afetada pela combina†…o de in‰meros fatores, como hipovolemia e vasoplegia. Entre os fatores
implicados nesse processo est…o: produ†…o excessiva de „xido n•trico, ativa†…o dos canais de potƒssio e altera†ˆes nos
n•veis de horm•nios, como o cortisol e a vasopressina.
O sistema cardiovascular ‚ um dos mais afetados pela resposta que ocorre na sepse grave e no choque
s‚ptico. Š sabido, desde a d‚cada de 80, que na sepse ocorre depress…o da fun†…o miocƒrdica. Essa disfun†…o
miocƒrdica ‚ consequ€ncia de m‰ltiplas altera†ˆes celulares.
Os pulmões s…o envolvidos precocemente no processo inflamat„rio que ocorre na sepse. A les…o pulmonar
aguda caracteriza-se por ativa†…o dos neutr„filos, edema intersticial, perda do surfactante pulmonar e exsudato alveolar
rico em fibrina. Estas altera†ˆes podem ser agravadas por uma t‚cnica ventilat„ria inadequada, Œs custas de altas
pressˆes nas vias a‚reas e pela toxicidade do oxig€nio.
O cérebro ‚ sens•vel Œ presen†a dos microorganismos e Œ inflama†…o atrav‚s de diferentes mecanismos. Os
pacientes com sepse podem apresentar agita†…o, confus…o mental ou coma. Em estudos de aut„psia, vƒrios tipos de
les…o cerebral s…o encontrados, como isquemia, hemorragia ou microabcessos.
O sistema hepato-esplâncnico pode ser afetado diretamente e, assim como o c‚rebro e pulmˆes, pode afetar
outros sistemas Œ dist‡ncia. Os achados cl•nicos de disfun†…o hepƒtica ocorrem tardiamente na sepse e, quando
presentes s…o indicativos de mau progn„stico.
O rim ‚ particularmente sens•vel Œ les…o induzida por citocinas. A ativa†…o da cascata da coagula†…o, com a
subsequente deposi†…o de fibrina, tamb‚m pode estar implicada na disfun†…o renal induzida pela sepse.
IMUNUSSUPRESSÃO NO CURSO DA SEPSE
Tardiamente no curso da sepse, ocorre uma fase de imunossupress…o, que pode ser sequela da anergia,
linfopenia, hipotermia e infec†ˆes nosocomiais. Os linf„citos de pacientes neste estƒgio da sepse expressam uma
quantidade menor de citocinas pr„-inflamat„rias do que os linf„citos de indiv•duos saudƒveis.
Al‚m disso, ocorre aumento da apoptose dos linf„citos circulantes e das c‚lulas dendr•ticas espl€nicas em
pacientes que morrem por sepse.
Arlindo Ugulino Netto – MEDICINA DE URG•NCIA – MEDICINA P8 – 2011.1
64
CONSEQU•NCIAS MICROSC†PICAS DA SEPSE
Analisando a fisiopatologia da doen†a, devemos tomar conta que a sepse é uma doença da microcirculação,
uma vez que os principais eventos fisiopatol„gicos da mesma ocorrem em n•vel capilar. Isso porque (como vimos
anteriormente) ocorre uma desnudação e disfunção endotelial importantes na sepse grave (sendo este talvez o
grande problema fisiopatol„gico da sepse). As consequ€ncias deste evento s…o:
 Tend€ncia pr„-tromb„tica e antifibrinol•tica;
 Ades…o plaquetƒria e leucocitƒria;
 Inibi†…o da vasodilata†…o e, em um segundo momento, libera†…o de „xido n•trico e vasodilata†…o generalizada;
 Comprometimento do recrutamento vascular frente Œ hip„xia.
Al‚m destes eventos endoteliais, ocorre diminuição da deformabilidade das hemácias (geralmente decorrente
de acidose, hipotermia, mudan†as na geometria das hemƒcias, etc.), o que dificulta a passagem destas c‚lulas na luz
dos microcapilares (uma vez que a forma bic•ncava das hemƒcias, al‚m de aumentar a superf•cie da c‚lula, auxilia na
sua condu†…o ao longo do fluxo sangu•neo) e, consequentemente, ocorre: hem„lise; forma†…o de “rolhas” e “lama”
intravascular; shunts arteriovenosos (caracterizados pela forma†…o de micro-neovasos que ligam, diretamente, os
capilares Œs v€nulas). Associado a isso, disfun†ˆes mitocondriais (vistas anteriormente como hibernação celular)
dificultam a utiliza†…o de oxig€nio. Estes fatores fazem com que a satura†…o venosa de O2 na sepse esteja alta.
Ocorre ainda na sepse, como um evento microsc„pio (mas que repercute macroscopicamente), a formação de
edema em diversos „rg…os (pulmˆes, rins, pele, m‰sculos, cora†…o e c‚rebro) – o que favorece, em parte, a disfun†…o
de m‰ltiplos „rg…os. As principais causas da forma†…o de edema s…o: escape de prote•nas; separa†…o das tights
junctions entre as c‚lulas endoteliais; disfun†…o endotelial; libera†…o de agentes vasoativos; regula†…o prejudicada do
volume das c‚lulas endoteliais; presen†a de neutr„filos circulantes.
As consequ€ncias mais importantes de todo este mecanismos s…o: heterogeneidade no fluxo sanguíneo
microvascular e a hipóxia regional decorrentes da SRIS. Portanto, a SRIS, assim como a sepse, impˆe, em n•vel dos
tecidos, dificuldades na extra†…o de O2 (DO2) ou mƒ distribui†…o do fluxo sangu•neo, promovendo hip„xia tissular e,
consequentemente, disfun†…o m‰ltipla de „rg…os.
OBS5
: Outro componente muito importante na disfun†…o org‡nica e na perpetua†…o da resposta inflamat„ria sist€mica ‚ o papel da
hipoperfus…o da mucosa intestinal. Como se sabe, a mucosa intestinal ‚ representada por uma fina camada de c‚lulas (irrigada por
pequenas arter•olas) que separa todo o conte‰do intestinal (fezes e produtos bacterianos) da corrente sangu•nea. O acometimento
desta arter•ola (e, consequentemente, da mucosa intestinal) predispˆe Œ transloca†…o bacteriana. Portanto, a cascata de eventos
fisiopatológicos desencadeados pela hipoperfusão tissular em nível intestinal pode ser resumida da seguinte forma: Perfus…o
gastrointestinal reduzida  Isquemia da mucosa  Comprometimento da integridade da mucosa  Defeito na fun†…o da barreira
intestinal  Transloca†…o bacteriana  Agravamento da SRIS e da sepse  fal€ncia microcirculat„ria  Redu†…o ainda maior da
perfus…o gastrointestinal.
OBS6
: Por esta raz…o (apresentada na OBS5
) ‚ que se diz que o grande motor da disfun†…o org‡nica na SRIS ‚ a les…o da mucosa
intestinal. Este fato nos mostra a import‡ncia de nutrir bem o paciente e estimular a dieta enteral para preservar a mucosa intestinal.
De maneira macro-hemodin‡mica, al‚m das altera†ˆes de coagula†…o e demais fen•menos que ocorrem na
microcircula†…o (shunts arteriovenosos, coagula†…o disseminada, etc.), o choque s‚ptico pode ser caracterizado pela
libera†…o exagerada de „xido n•trico, que promove uma vasodilatação importante e, com isso, uma diminui†…o da
resist€ncia vascular em n•vel arteriolar. Al‚m disso, a hipovolemia causada pelo extravasamento de sangue (decorrente
do aumento de permeabilidade capilar) contribui para a diminui†…o da press…o arterial do paciente, Por esta raz…o, no
advento do choque s‚ptico, devemos lan†ar m…o de drogas vasopressoras para manter a resist€ncia (e, com isso, a
press…o de perfus…o) e utilizar reanima†…o volum‚trica (para manter o volume circulante), al‚m do uso de antibi„ticos.
CRIT‰RIOS CLASSIFICAT†RIOS
Como vimos anteriormente, o espectro da resposta inflamat„ria e da sepse ‚ definido de acordo com os crit‚rios
propostos pelo consenso American College of Chest Physicians/Society of Critical Care Medicine (ACCP/SCCM) de
1991. Tal consenso permitiu, como vimos anteriormente, uniformizar as defini†ˆes de sepse e a classifica†…o de todos
as formas ou fases da doen†a.
Em resumo, temos:
 A síndrome da resposta inflamatória sistêmica (SRIS ou SIRS) ‚ definida pela presen†a de pelo menos duas
das seguintes evid€ncias cl•nicas: temperatura acima de 38˜C ou abaixo de 36˜C, taquicardia com frequ€ncia
card•aca acima de 90 batimentos por minuto, taquipn‚ia com frequ€ncia respirat„ria acima de 20 movimentos
respirat„rios por minuto ou hiperventila†…o com PaCO2 abaixo de 32 mmHg, leucocitose acima de 12.000/mm3,
leucopenia abaixo de 4.000/mm
3
ou mais de 10% de formas jovens de neutr„filos.
 A concomit‡ncia de dois crit‚rios de SIRS com um foco infeccioso presumido ou evidente confirma o diagn„stico
de sepse.
 A associa†…o de sepse com disfun†…o org‡nica caracteriza sepse grave.
Arlindo Ugulino Netto – MEDICINA DE URG•NCIA – MEDICINA P8 – 2011.1
65
 A presença de hipotensão induzida pela sepse ou persistência de alterações da perfusão tecidual após a
ressuscitação hemodinâmica adequada é típica de choque séptico.
O uso dos critérios do consenso ACCP/SCCM de 1991 como elemento diagnóstico de sepse, sepse grave e
choque séptico, é criticado por serem pouco específicos, pois durante a internação em UTI, até 93% dos pacientes
podem ter pelo menos dois critérios de SIRS. Entretanto, os critérios de SIRS permitem que, com mínimos recursos, seja
identificado o paciente com manifestação sistêmica em decorrência da doença crítica e a estratificação da gravidade.
TRATAMENTO
O tratamento da sepse grave e do choque séptico sofreu
profundas e significativas modificações na última década, graças às
evidências advindas de importantes estudos no cenário clínico. Além
disso, o desenvolvimento de uma campanha mundial, chamada
Surviving Sepsis Campaign, com o objetivo de reduzir a mortalidade
em 25% em cinco anos, estabeleceu uma rotina padrão para o
atendimento desses pacientes.
O aspecto temporal e a ordem das intervenções terapêuticas
também passaram a ter um papel vital, com a instituição de
condutas para o manejo dos pacientes com sepse grave e choque
séptico, nas primeiras 6 horas e primeiras 24 horas do diagnóstico.
As medidas para o manejo da sepse grave incluem
ressuscitação inicial, identificação do agente infeccioso,
antibioticoterapia, controle do sítio de infecção, reposição volêmica,
vasopressores, terapia inotrópica, corticoterapia, proteína C ativada
e transfusão sanguínea.41
As medidas terapêuticas de suporte na sepse grave são:
ventilação mecânica, sedação, analgesia e bloqueio neuromuscular,
controle glicêmico, profilaxia de trombose venosa profunda (TVP),
profilaxia da úlcera de estresse e terapia de substituição renal.
Arlindo Ugulino Netto – MEDICINA DE URG•NCIA – MEDICINA P8 – 2011.1
66
RESSUSCITAÇÃO INICIAL
A ressuscita†…o inicial ‚ fundamental para reverter o processo de hipoperfus…o tecidual induzido pela sepse
(hipotens…o persistente ap„s desafio inicial de volume ou concentra†…o s‚rica de lactato ≥ 4 mmol/L). Portanto, uma vez
reconhecida esta situa†…o, devemos começar a ressuscitação imediatamente (ainda no pronto-socorro) – n…o
devemos atrasar a ressuscita†…o Œ espera de admiss…o em UTI.
Para isso, devemos obter um acesso vascular central e iniciar a infus…o de fluidos. O fluido a ser infundido pode
ser cristaloide ou coloide, visando atingir nas primeiras 6 horas os seguintes objetivos terap€uticos:
 Press…o venosa central (PVC): 8-12mmHg.
 Press…o arterial m‚dia: ≥65mmHg.
 D‚bito urinƒrio: ≥0,5 ml/kg.h;
 Satura†…o venosa de oxig€nio (SvO2) central (na veia cava superior) ≥70% ou SvO2 mista (na art‚ria pulmonar,
obtida apenas se o paciente apresentar cateter de Swan-Ganz) ≥65%.
 Se a SvO2 n…o for atingida, deve-se:
 Considerar nova infus…o de fluidos;
 Transfus…o de concentrado de hemƒcias para um hemat„crito ≥30%; e/ou
 Infus…o de Dobutamina (droga inotr„pica) at‚ 20 μg/kg/min.
Uma PVC na faixa de 12-15 mmHg ‚ recomendada nos pacientes que estejam em ventila†…o mec‡nica ou
redu†…o da complac€ncia ventricular pr‚via. Os mecanismos do benef•cio da terapia precoce dirigida por metas ainda
n…o s…o conhecidos, sendo a revers…o da hip„xia tecidual, a diminui†…o da inflama†…o e das altera†ˆes da coagula†…o
as poss•veis causas.
IDENTIFICAÇÃO DO AGENTE INFECCIOSO
Obter culturas antes do in•cio da administra†…o de antibi„ticos, por‚m n…o os atrasando. Devem ser coletadas
duas ou mais culturas sangu•neas em acesso vascular perif‚rico distinto, podendo uma coleta ser feita em acesso obtido
hƒ menos de 48 horas. Culturas de outros s•tios podem ser coletadas conforme indica†…o cl•nica.
TERAPIA ANTIBIÓTICA
Devemos come†ar a antibioticoterapia
intravenosa empírica o mais precocemente poss•vel e
sempre na primeira hora de reconhecimento da sepse
grave e choque s‚ptico. Estudos mostraram que a
administra†…o de antibi„tico efetivo na primeira hora da
hipotens…o pacientes com choque s‚ptico associa-se com
aumento da sobrevida.
O espectro de a†…o do antibi„tico deve ser
estendido: um ou mais agentes ativos contra bact‚rias ou
fungos com boa penetra†…o na fonte presumida. Al‚m
disso, a escolha da antibioticoterapia emp•rica depende de
vƒrios aspectos relacionados ao paciente, como a hist„ria
de intoler‡ncia a drogas, doen†a subjacente e padr…o de
susceptibilidade dos germes na comunidade ou hospital.
A terapia antibi„tica deverƒ ser reavaliada
diariamente, visando otimizar a atividade (a depender do
resultado da cultura), prevenir o desenvolvimento de
resist€ncia e reduzir toxicidade e custos.
Portanto, com rela†…o a antibioticoterapia, temos:
 Devemos come†ar antibi„ticos intravenosos t…o cedo quanto poss•vel e sempre na primeira hora de
reconhecimento da sepse grave e choque s‚ptico - os desfechos na sepse grave e no choque s‚ptico s…o piores
nos pacientes onde o esquema antibi„tico inicial n…o ‚ efetivo.
 Utilizar antibi„tico de espectro estendido: um ou mais agentes ativos contra bact‚rias ou fungos com boa
penetra†…o na fonte presumida;
 Reavaliar o regime antibi„tico diariamente
 Considerar associa†…o nos casos de Pseudomonas;
 Considerar associa†…o em neutrop€nicos;
 Associa†…o no mƒximo em 3-5 dias e “deescalonar” de acordo com antibiograma;
 Dura†…o da terapia de 7 a 10 dias na maioria dos casos (exceto em respostas lentas ou foco n…o drenado ou
defici€ncia imunol„gica);
 Parar antibi„tico se causa n…o infecciosa.
Arlindo Ugulino Netto – MEDICINA DE URG•NCIA – MEDICINA P8 – 2011.1
67
CONTROLE DO SÍTIO DE INFECÇÃO
Sempre que poss•vel, a remo†…o do foco infeccioso deve ser realizada precocemente. Essa conduta inclui
drenagem de abscessos e desbridamento de tecido necr„tico infectado, entre outras. Acessos vasculares
potencialmente infectados devem ser prontamente substitu•dos.
Portanto, sempre depois de realizadas as prioridades (ressuscita†…o inicial e a antibioticoterapia), podemos
detectar o s•tio da infec†…o (ainda nas primeiras seis horas de apresenta†…o). Para isso, devemos avaliar formalmente
em procura de um foco de infec†…o suscet•vel a medidas de controle de fonte (Ex: drenagem de abscesso, debridamento
tissular, apendicite) – Exce†…o: necrose pancreƒtica infectada (neste caso, estudos comprovam que o adiamento da
cirurgia, por pelo menos 2 semanas, melhora a sobrevida do paciente).
Devemos, ent…o, escolher o controle de fonte mais eficaz e com o m•nimo de dist‰rbio fisiol„gico. Š importante,
tamb‚m, remover acessos intravasculares potencialmente infectados.
REPOSIÇÃO VOLÊMICA
A reposi†…o vol€mica realizada durante a ressuscita†…o inicial pode ser feita com cristaloides (soro fisiol„gico e
Ringer Lactato) ou com coloides (n…o hƒ evid€ncias que mostrem superioridade de um tipo de fluido, seja coloide natural
ou sint‚tico, sobre os cristaloides).
Desta forma, temos:
 Fazer uso em bolus de 1000 ml de cristaloide ou 200 a 300 ml de coloide em 30 minutos;
 Objetivo: manter PVC ≥ 8 mmHg ou ≥ 12 mmHg (se o paciente estiver sob ventila†…o mec‡nica).
USO DE VASOPRESSORES
A press…o arterial m‚dia (PAM) deve ser mantida em ≥65 mmHg. Os vasopressores devem ser empregados
quando houver um grau de hipotens…o que coloque a vida em risco. Desta forma, temos:
 Norepinefria ou Dopamina s…o os vasopressores iniciais de escolha (administradas em um cateter central t…o
cedo esteja dispon•vel).
 N…o devemos utilizar Dopamina em “dose renal” (2 – 5“g/kg/min): o uso de dopamina para prote†…o renal n…o ‚
mais recomendado (seu uso vinha sendo relacionado com aumento da mortalidade), e todo o paciente em uso
de vasopressor deveria ter uma linha arterial inserida.
 Quando a hipotens…o persistir apesar do uso desses medicamentos, deve-se recorrer a fƒrmacos mais potentes
como adrenalina, fenilefrina ou vasopressina.
TERAPIA INOTRÓPICA
Como a disfun†…o miocƒrdica pode estar presente na sepse grave e no choque s‚ptico, a Dobutamina estƒ
indicada nos casos de elevadas pressˆes de enchimento e baixo d‚bito card•aco. Por outro lado, o uso de Dobutamina
para manter o d‚bito card•aco em n•veis supranormais n…o ‚ recomendado nesses pacientes.
Arlindo Ugulino Netto – MEDICINA DE URG•NCIA – MEDICINA P8 – 2011.1
68
OUTRAS MEDIDIAS
 Corticoterapia: o emprego de corticosteroides estƒ justificado somente nos pacientes que jƒ foram
ressuscitados com flu•dos e apresentaram pobre resposta ao uso de vasopressor, permanecendo em choque. A
dose recomendada de hidrocortisona é até 300 mg/dia, divididos em quatro doses. Pacientes com sepse, sem
choque, n…o devem receber corticoides (a n…o ser que eles sejam necessƒrios para tratar outra doen†a que o
paciente, por ventura, jƒ apresentava, como a asma ou doen†as autoimunes).
 Proteína C ativada: considerar PCRh em paciente com disfun†ˆes org‡nicas induzidas pela sepse com
avalia†…o alto risco de morte (APACHE II ≥ 25 ou fal€ncia de m‰ltiplos „rg…os). Paciente adulto com sepse grave
e baixo risco de morte n…o deve receber PCRh.
 Controle glicêmico: devemos fazer uso de insulina IV para controlar hipoglicemia em pacientes com sepse
grave ap„s estabiliza†…o na UTI. O objetivo ‚ manter a glicemia < 150mg/dl por meio de um protocolo validado
para ajuste de dose de insulina.
 Transfusão de sangue: n…o havendo evid€ncias de hipoperfus…o tecidual, nem situa†ˆes de alta demanda de
oxig€nio, como isquemia miocƒrdica, hipoxemia grave, hemorragia aguda, cardiopatia cian„tica ou acidose
lƒctica, a transfus…o de concentrado de hemƒcias deve ser feita quando a taxa de hemoglobina for inferior a
7g/dl.
 Ventilação mecânica: recomenda-se o emprego de volume corrente de 6 ml/kg de peso predito nos pacientes
com sepse e que apresentem les…o pulmonar aguda ou s•ndrome da ang‰stia respirat„ria aguda. Outra medida
de extrema import‡ncia ‚ a manuten†…o da press…o de plat• abaixo de 30 cmH2O.
 Profilaxia de trombose venosa profunda: os pacientes com sepse grave devem receber profilaxia para
trombose venosa profunda, tanto com heparina n…o fracionada em baixas doses como com heparina de baixo
peso molecular. Havendo contraindica†ˆes para o uso de heparina, os pacientes devem utilizar dispositivos de
compress…o pneumƒtica dos membros.
 Terapia de substituição renal: quando necessƒria, a terapia de substitui†…o renal pode ser feita tanto de modo
intermitente como cont•nuo, pois s…o equivalentes. A terapia cont•nua pode facilitar o manejo do balan†o de
l•quidos nos pacientes com sepse grave e instabilidade hemodin‡mica.
CONSIDERA‚ƒES FINAIS
A sepse ‚ uma s•ndrome frequente, estando associada a fatores que alteram os mecanismos de defesa do
indiv•duo. Sua fisiopatologia ‚ complexa envolve a imunidade, mecanismos inflamat„rios e a cascata da coagula†…o,
culminando com estado de intensa altera†…o da homeostasia em seus estƒgios mais avan†ados.
O reconhecimento da sepse com base nos crit‚rios da Confer€ncia de Consenso ACCP/SCCM possibilitou uma
melhor compreens…o do seu espectro e a estratifica†…o da gravidade de cada estƒgio.
Por fim, seu tratamento ‚ dirigido Œ restaura†…o da perfus…o tecidual, com medidas que visam restabelecer e
manter o estado hemodin‡mico, a oxigena†…o e a fun†…o org‡nica.
Arlindo Ugulino Netto – MEDICINA DE URG•NCIA – MEDICINA P8 – 2011.1
69
MED RESUMOS 2011
CORREIA, Luiz Gustavo; NETTO, Arlindo Ugulino.
MEDICINA DE URGÊNCIA E TERAPIA INTENSIVA
MANEJO DE VIAS AÉREAS
(Professor Fƒbio de Almeida)
Atualmente, o manejo de vias aéreas é considerado uma medida importante para todas as especialidades
médicas e, ao mesmo tempo, uma medida de urgência e emergência que pode, literalmente, salvar vidas. Durante a
avaliação sistemática proposta pelo ATLS, as vias aéreas ganham destaque em termos de prioridade de atendimento. O
acrônimo ABCDE, utiliza o termo airways, que é a letra A, para sinalizar que a primeira avaliação do protocolo é das vias
aéreas.
São objetivos do capítulo, a descrição pormenorizada dos seguintes aspectos relativos às vias aéreas:
 Definir via aérea
 Aplicações práticas
 Dispositivos de desobstrução
 Oferta de oxigênio
 Via aérea definitiva
 Via aérea cirúrgica
 Monitorização (oximetria de pulso)
CONSIDERA‚ƒES INICIAIS
Diante do traumatismo, a hipóxia é o evento fisiopatológico que leva ao óbito mais precocemente, sendo
decorrente, principalmente, de queda da base da língua e obstrução das vias aéreas. Por conta disto e de outras
dezenas, as vias aéreas são consideradas como prioridade máxima na vigência da aplicação do protocolo estabelecido
pela ATLS. Alguns sinais e sintomas clínicos podem predizer, precocemente, que existem alterações significativas nas
vias aéreas, tais como ansiedade, taquipnéia e torpor.
O alforisma do ATLS deve ser respeitado: “Vias a…reas p…rvias e protegidas, oferta de oxig•nio e suporte
ventilat†rio.” As vias aéreas devem se apresentar pérvias e/ou perméaveis e, ao mesmo tempo, protegidas (impedir
queda de base da língua, corpo estranho, sangue, saliva, secreções, avulsão dentária, cortes intra-orais, coágulos, etc).
A cânula de Guedel e a nasofaríngea são exemplos de meios de se obter, do ponto de vista emergencial, vias aéreas
pérvias e protegidas, por permitirem a aspiração e, ao mesmo tempo, fornecimento de oxigênio. A oferta de oxigênio, de
acordo com o protocolo, deve ser feita para todas as vítimas de traumatismos, até mesmo as que possuem status
neurológico (ECG > 15) e pulmonar (SaO2 > 98%).
A queda da base da língua: situação mais frequentemente apresentada em pacientes com rebaixamento do nível
de consciência, tal como ocorre diante dos traumatismo crânio-encéfalicos graves, acidentes vasculares cerebrais
(AVC), intoxicação por drogas que possuem afinidade para o sistema nervoso central, etc.
O presente capítulo trata do manejo de vias aéreas no suporte avançado de vida. Algumas manobras que foram
estudadas no suporte básico de vida podem ser realizadas no ambiente intra-hospitalar, porém, com a ressalva que será
realizada de modo temporário, enquanto se faz a aspiração de secreções, introdução de cânulas, etc.
 A manobra de Jaw Thrust (imagem abaixo) mantém o pescoço alinhado, e se faz uma tração da mandíbula
servindo com manobra provisória de proteção de VAS no atendimento pré-hospitalar. A sua realização depende,
quase que exclusivamente, do nível de consciência do indivíduo. Não realizamos esta manobra em indivíduos
com nível de consciência inalterado.
 A manobra de Chin Lift consiste na abertura da hipofaringe, através da elevação (hiperextensão) do mento.
Lembramos que o mecanismo de hiperextensão promovido por tal manobra pode aumentar ainda mais a lesão
medular, principalmente, o primeiro e último segmento cervical, sendo totalmente proscrita diante do trauma.
DIFICULDADES
Falhas em identificar obstrução das vias aéreas superiores (VAS), incapacidade de mantê-las pérvias,
deslocamento ou falha em reconhecer posicionamento incorreto dos dispositivos, falha em reconhecer necessidades de
ventilação, aspiração. Diante das várias falhas possíveis e, frequentemente observadas, os médicos devem sempre
avaliar o paciente e, em poucos minutos, reavaliá-los, com a finalidade de exaurir as falhas e intercorrências negativas
que podem suscitar uma negligência e/ou falta de aptidão técnica pela equipe médica.
Arlindo Ugulino Netto – MEDICINA DE URG•NCIA – MEDICINA P8 – 2011.1
70
APLICAÇÕES PRÁTICAS
O manejo das vias a‚reas ‚ responsƒvel nos seguintes casos:
 Politraumatizado em geral
 Trauma facial: fraturas/luxa†ˆes do malar, mand•bula; comprometimento da naso/orofaringe; hemorragias,
avulsˆes dentƒrias.
 Trauma de laringe: roquid…o, enfisema subcut‡neo, crepta†…o; respira†…o ruidosa: obstru†…o parcial. Nos
traumas de laringe, a abordagem Œ membrana cricotire„idea-mediana ‚ dificil e, portanto, a conduta ‚ a
traqueostomia.
 Problemas ventilatórios: trauma de t„rax, fraturas de costelas, TCE, TRM, idosos, DPOC. As m‰ltiplas fraturas
de costelas podem levar ao t„rax instƒvel, que se caracteriza pelo afundamento do t„rax durante a inspira†…o e,
a sua dilata†…o durante a expira†…o, como se fosse uma respira†…o paradoxal. Nos traumatismos
raquimedulares (TRM) que se localizam na medula cervical, a inerva†…o diafragmƒtica que ‚ fornecida pelo
nervo fr€nico (C2 – C5) ‚ prejudicada, causando uma insufici€ncia inspirat„ria e, por mecanismo consequente,
expirat„ria.
DISPOSITIVOS DE DESOBSTRU‚„O
S…o c‡nulas com a mesma disposi†…o da curvatura da l•ngua, contendo uma cavidade em seu interior que
permite o fornecimento de oxig€nio, bem como a aspira†…o de secre†ˆes, etc. A c‡nula orofar•ngea comunica o meio
externo e a faringe atrav‚s da cavidade oral; a c‡nula nasofar•ngea, ‚ a que comunica o meio exterior ultrapassando a
cavidade nasal, at‚ o limite da faringe.
CÂNULA OROFARÍNGEA
A aplica†…o da c‡nula orofar•ngea, tamb‚m
denominada de Guedel, ‚ um m‚todo rƒpido e
prƒtico de se manter a via a‚rea aberta, podendo
ser utilizado temporariamente em conjunto com
ventila†…o com mƒscara, enquanto se aguarda um
m‚todo definitivo, como por exemplo a intuba†…o
endotraqueal. Portanto, indicamos a cânula
orofaríngea para desobstru†…o de vias a‚reas
superiores de pacientes inconscientes, que
apresentam-se em respira†…o ruidosa, ou ainda, sob
o risco de queda de base da l•ngua.
A c‡nula de Guedel tem forma semicircular, geralmente ‚ de material plƒstico e descartƒvel e, quando
apropriadamente colocada, desloca a l•ngua da parede posterior da faringe, mantendo a via respirat„ria aberta (figura A).
Pode tamb‚m ser utilizada no paciente com tubo traqueal, evitando que o reflexo de morder cause dano ao tubo. No
paciente adulto recomenda-se os seguintes tamanhos: adulto grande: 100mm (Guedel n› 5); adulto m‚dio: 90mm
(Guedel n› 4); adulto pequeno: 80mm (Guedel n› 3). O melhor m‚todo de se avaliar o tamanho da c‡nula ‚ a medida do
l„bulo da orelha at‚ a comissura labial, que deve ser do mesmo tamanho da c‡nula a ser inserida. A melhor maneira de
inserir a c‡nula ‚ com sua parte c•ncava voltada para cima e, quando metade jƒ estiver introduzida, faz-se uma rota†…o
de 180› e termina-se a introdu†…o. A depress…o da l•ngua com uma espƒtula facilita o procedimento.
Se a coloca†…o e/ou o tamanho da c‡nula forem incorretos, pode ocorrer deslocamento da l•ngua at‚ a faringe e
obstru†…o da via respirat„ria (figura B). Para evitar ferimentos no paciente, o reanimador deve se assegurar que os
lƒbios e a l•ngua n…o se encontrem entre a c‡nula e os dentes.
Arlindo Ugulino Netto – MEDICINA DE URG•NCIA – MEDICINA P8 – 2011.1
71
CÂNULA NASOFARÍNGEA
Tem forma tubular em semic•rculo, ‚ feita de material plƒstico e
geralmente ‚ descartƒvel. Seu uso ‚ indicado quando a c‡nula orofar•ngea n…o
pode ser inserida (trauma grave ao redor da boca, trismo, etc), ou ainda nos
pacientes que se apresentam com um grau de consci€ncia m•nimo, por‚m ainda
n…o inconscientes. O tratamento da c‡nula ‚ considerado pelo seu di‡metro
interno, em mil•metros. S…o sugeridos os seguintes tamanhos: adulto grande:
8mm; adulto m‚dio: 7mm; adulto pequeno: 6mm.
A t‚cnica de inser†…o consiste em lubrificar a c‡nula e passƒ-la
suavemente pela narina; se houver resist€ncia Œ passagem, tenta-se pela outra
narina. O uso de vasoconstritores de mucosa nasal pode prevenir sangramento
durante a inser†…o. A complica†…o mais grave ‚ o posicionamento da por†…o
distal no es•fago, causando distens…o gƒstrica e ventila†…o pulmonar inefetiva.
Š importante manter a cabe†a estendida, com eleva†…o do mento, tanto na passagem da c‡nula nasofar•ngea
como da orofar•ngea. A eleva†…o do t„rax durante a ventila†…o ‚ a melhor prova de que a sele†…o e a inser†…o da
c‡nula foram efetivas.
OFERTA DE OXIG•NIO
CATETER NASAL
Š um sistema de baixo fluxo de O2 que n…o fornece quantidade
suficiente de oxig€nio porque hƒ grande mistura com ar ambiente. A
concentra†…o de oxig€nio fornecida com fluxo de 1 a 6L/min, em paciente com
volume corrente normal, varia de 25 a 45%.
Optamos por cateter nasal, diante de pacientes estƒveis, at‚ porque, ‚
um m‚todo confortƒvel, de fƒcil uso e ainda n…o gera reinala†…o.
MASCARA FACIAL SIMPLES
Este sistema propicia concentra†ˆes de O2 de 40 a 60% quando conectada a uma fonte de O2 de 8 a 10L/min.
Estƒ indicada nos pacientes com respira†…o espont‡nea e hipoxemia. Ocorre mistura de oxig€nio da fonte com o do
meio ambiente (a 21%), e ainda permite reinala†…o de CO2 na bolsa reservat„rio.
MÁSCARA FACIAL COM RESERVATÓRIO DE OXIGÊNIO
O oxig€nio ‚ fornecido na concentra†…o entre 35 – 60 %, permitindo o fluxo entre 6 – 10 litros. Hƒ reinala†…o de
CO2 na bolsa reservat„rio. A bolsa tem de estar cheia em 2/3 de seu di‡metro, proporcionado pouca mistura do O2 a
100% com a 21% do ar ambiente.
BOLSA VÁLVULA-MÁSCARA (AMBU)
Recomenda-se que durante a ressuscita†…o de pacientes em apn‚ia seja usada
uma unidade que contenha bolsa acess„ria, que atue como reservat„rio para o ac‰mulo
de oxig€nio a 100%. Esta bolsa acess„ria se mant‚m com volume suficiente quando o
fluxo de oxig€nio ‚ de 12L/min. Durante a ventila†…o, o oxig€nio ministrado mistura-se
com ar, resultando numa concentra†…o pouco inferior a 100%. Pode ser utilizada com
c‡nulas oro ou nasofar•ngea ou com sonda traqueal, sendo neste ‰ltimo caso a forma
mais efetiva de ventila†…o. Š importante que seja de limpeza e esteriliza†…o fƒceis, e que
esteja dispon•vel em vƒrios tamanhos para uso em adultos e crian†as.
A t‚cnica de utiliza†…o consiste no seguinte: o reanimador, depois de aspirar a
boca e a faringe do paciente, estende a cabe†a e insere a c‡nula de Guedel, mantendo a
via respirat„ria aberta e protegida. A mƒscara ‚ colocada no rosto do paciente, cobrindo a
boca e o nariz; com os dedos, polegar e indicador, da m…o esquerda, o reanimador trata
de manter uma adapta†…o adequada entre o rosto e a mƒscara e com os tr€s dedos
restantes manter a tra†…o sobre a mand•bula. A bolsa ‚ comprimida com a outra m…o,
observando-se a expans…o do t„rax durante cada ventila†…o.
Arlindo Ugulino Netto – MEDICINA DE URG•NCIA – MEDICINA P8 – 2011.1
72
Tecnicamente, é difícil prover volumes ventilatórios adequados, sobretudo se o reanimador tem mãos pequenas,
o que dificulta a adaptação hermética e a compressão adequada da bolsa. Uma técnica mais efetiva requer dois
reanimadores: um, utilizando ambas as mãos, mantendo a cabeça estendida e a máscara firmemente ao redor da boca
e nariz do paciente, enquanto o outro usa suas duas mãos para comprimir a bolsa. Deve-se ofertar 10 a 15mL/kg num
período de 2s.
VIA A‰REA DEFINITIVA OU INVASIVA
O termo via aérea definitiva é conceituado como sendo a introdução de uma cânula endotraqueal, com balão
insuflado, devidamente fixado, conectada a um sistema de ventilação mecânica, enriquecida por oxigênio. Atualmente,
três modalidades podem permitir a via aérea definitiva: tubo orotraqueal, tubo nasotraqueal e via aérea cirúrgica.
INDICAÇÕES
 Apnéia
 Impossibilidade de manter via aérea pérvia
 Proteção das VAS
 TCE graves (ECG < 8, estado de coma)
 Lesões com potencial risco (queimaduras por
inalação, traumas de face, hematomas,
convulsões persistentes)
 Oximetria de pulso (atenção para valores abaixo
de 98%)
OBS
1
: Diante de pacientes inconscientes, que foram vítimas de traumatismos graves, sob o regime de estabilização
cervical com colar, a intubação pode ser difícil. Caso ocorram várias tentativas com insucesso, o protocolo permite que o
colar cervical seja retirado, pois, o que mata precomente é a hipóxia.
INTUBAÇÃO ENDOTRAQUEAL
É o método ideal para o controle da via respiratória durante a ressuscitação. Ao isolar a via respiratória, obtemos
várias vantagens, tais como: prevenção da aspiração de conteúdo gástrico e de corpos estranhos; permição do uso de
ventilação com pressões altas, sem perigo de distensão gástrica, facilitando a ventilação e a oxigenação alveolar;
garantia de acesso para a administração de medicamentos (epinefrina, atropina e lidocaína), que serão absorvidas
através do epitélio pulmonar;
Acessórios.
 Laringoscópio: existem dois tipos de lâmina (curva e reta), dependendo
a escolha da experiência prévia do ressuscitador;
 Tubo endotraqueal: é um tubo de material plástico no qual se acopla
um intermediário que permite conecção com os diferentes tipos de
acessórios de ventilação. Os de maior tamanho, para uso em adultos,
apresentam em sua porção distal um balonete inflável (cuff), que obstrui
a traquéia, impedindo aspiração de conteúdo gástrico. Tal balonete deve
sempre ser testado antes da introdução do tubo. Os tubos têm vários
tamanhos e sua numeração indica o diâmetro interno. Nos tubos infantis,
não se tem balonente inflável, por conta do risco de necrose cicatricial da traquéia. Como regra geral, utilizamos tubos de 7,5
a 8,0mm para mulheres e de 8,0 a 9,0mm para homens. Devem ser evitados tubos de borracha (rígidos), preferindo-se tubos
de material inerte (poliestireno);
 Guia de intubação: fio metálico com ponta romba protegida que propicia a orientação do tubo flexível no momento da
intubação;
 Seringa de 5 a 10mL para insuflar o balonete distal;
 Material para aspiração.
Intubação orotraqueal.
Monta-se e testa-se o laringoscópio, escolhe-se o tamanho do tubo e testa-se balonete. Antes da inserção, o
tubo deve ser lubrificado (entretanto, se tal procedimento for retardar a entubação, não deve ser realizado). A seguir,
posiciona-se a cabeça de tal maneira que a boca, faringe e a traquéia estejam alinhadas. Tal posição é conseguida com
a extensão da cabeça, devendo-se no entanto evitar a hiperextensão. A boca é aberta com os dedos da mão direita. O
laringoscópio é seguro com a mão esquerda e a lâmina inserida no lado direito da boca, deslocando a língua para a
esquerda. Move-se então a lâmina em direção à linha média e avança-se para a base da língua. Simultaneamente o
lábio inferior é retirado do contato com a lâmina com o indicador direito. Deve-se evitar pressão sobre os lábios e os
dentes.
Quando se utiliza a lâmina curva, a ponta da lâmina é introduzida em direção a valécula (espaço entre a base da
língua e a superfície faríngea da epiglote). Quando a lâmina reta é utilizada, a ponta deve ser localizada sob a epiglote.
A abertura da glote é conseguida exercendo-se tração do laringoscópio para cima e para frente com uma angulação de
30 a 45º.
Não se deve fazer movimento de báscula com o laringoscópio, utilizando os dentes superiores como ponto de
apoio. O tubo é então introduzido através do canto direito da boca e, sob visão direta, através das pregas vocais. A
pessoa que realiza o procedimento deve visualizar a ponta do tubo ao nível das pregas vocais e introduzí-lo 1 a 2,5cm
Arlindo Ugulino Netto – MEDICINA DE URG•NCIA – MEDICINA P8 – 2011.1
73
adiante na traqu‚ia. Para a maioria dos adultos isto corresponderƒ a marca†…o de profundidade da c‡nula ao n•vel dos
dentes entre 19 e 23cm (geralmente, 22cm, obedecendo Œ regra “TTT”: twenty-two-theeth”).
O bal…o ‚ ent…o inflado com quantidade de ar suficiente para ocluir
a via a‚rea (geralmente 10 a 20mL). A posi†…o do tubo deve ser
confirmada simultaneamente com as primeiras respira†ˆes manuais,
atrav‚s da ausculta do epigƒstrio dos campos pulmonares, observando a
movimenta†…o da parede torƒcica. Quando houver d‰vida, deve-se
interromper a ventila†…o, retirar o tubo e efetuar nova tentativa ap„s o
paciente ter sido ventilado com outra t‚cnica.
A introdu†…o do tubo dentro de um dos br•nquios principais ‚ a
complica†…o mais frequente. O t„rax deve ser auscultado, checando a
presen†a de ru•dos respirat„rios bilateralmente. Assim que poss•vel,
realizar radiografia de t„rax para confirmar se a localiza†…o estƒ
adequada.
Confirmando-se a localiza†…o adequada do tubo, promove-se ventila†…o com 10 a 15mL/kg numa freqœ€ncia de
10 a 12 respira†ˆes por minuto (uma respira†…o cada 5 a 6s). Cada respira†…o deve ser realizada num per•odo de 2s
com oxig€nio a 100%.
Recomenda†ˆes sobre a intuba†…o traqueal - Ap„s a intuba†…o traqueal deve se seguir imediatamente a
ventila†…o com a unidade bolsa-vƒlvula e oxig€nio a 100%; a intuba†…o deverƒ ser feita pela pessoa da equipe de
ressuscita†…o com maior experi€ncia, e dentro de um per•odo de tempo de no mƒximo 30s. Se a intuba†…o n…o for
poss•vel dentro desse per•odo, serƒ necessƒrio proceder Œ ventila†…o com a unidade bolsa-vƒlvula-mƒscara antes de se
tentar novamente; em crian†as, em raz…o do alto risco de distens…o gƒstrica, a intuba†…o deverƒ ser feita
imediatamente; em gravidez no seu 3› trimestre, tamb‚m em raz…o do alto risco de aspira†…o do conte‰do gƒstrico
durante uma parada card•aca, ‚ necessƒrio intubar imediatamente; durante a intuba†…o, uma segunda pessoa deve
aplicar press…o sobre a cric„ide, para evitar regurgita†…o de conte‰do gƒstrico.
Em resumo:
1. Verificar oxigena†…o/ventila†…o e checar aspirador;
2. Checar cuff do tubo;
3. Checar laringosc„pio (pilha sem carga e l‡mpada queimada s…o as intercorr€ncias frequentes);
4. Retificar cabe†a e pesco†o;
5. Laringosc„pio na m…o esquerda, introduzindo-o pelo lado direito da boca, deslocando a l•ngua para esquerda;
6. Identificar epiglote e pregas vocais no laringosc„pio;
7. Inserir tubo, sem pressionar dentes ou partes moles;
8. Insuflar o cuff;
9. Ventilar com bal…o e conferir a posi†…o do tubo: expans…o do t„rax, ausculta do abdome (epigƒstrio) e t„rax;
10. Fixar o tubo insuflando o bal…o
11. Caso de insucesso: tempo de apn‚ia ou > 30 seg, ventilar novamente;
12. Caso de intuba†…o esofƒgica: n…o reintroduzir o mesmo tubo;
13. Posi†…o exata: 22 na altura do incisivo (regra “TTT”); meios: Rx t„rax, capn„grafo;
14. Conectar ox•metro de pulso;
15. Conectar ao ventilador.
OBS
2
: Se, durante o procedimento, o paciente reagir, devemos passar para a sequ€ncia de intuba†…o rƒpida.
Intubação nasotraqueal.
Š um procedimento que n…o se utiliza laringosc„pio, ocorrendo Œs cegas.
Nesta ocasi…o, o paciente ainda apresenta movimento respirat„rio. Portanto,
atrav‚s de tubos finos (6,5 – 7,0 mm), lubrificado com xiloca•na spray ou gel‚ia. A
intuba†…o nasotraqueal n…o pode ser feita em pacientes com suspeitas de fraturas
de base de cr‡nio (otorragia, rinorragia, sinal de battle, sinal do Guaxinim).
1. Verificar oxigena†…o/ventila†…o, chegar aspirador
2. Checar cuff do tubo
3. Borrifar a mucosa com spray anest‚sico
4. Lubrificar tubo com gel
5. Retificar cabe†a e pesco†o
6. Inserir delicadamente o tubo no sentido cima-trƒs-baixo at‚ a nasofaringe; facilita a curvatura do tubo
7. Observar o emba†amento do tubo= faringe; progredir o tubo at‚ a traqu‚ia
8. Manobra de Sellick: suave compress…o da laringe durante a passagem do tubo, retificando a traqu‚ia e ainda comprime o
es•fago, impedindo refluxo esofƒgico.
9. Insuflar o cuff
10. Ventilar com bal…o e conferir a posi†…o do tubo: expans…o do t„rax, ausculta do t„rax e abdome.
11. Fixar o tubo
12. Caso de insucesso: tempo de apn‚ia ou t‚cnica > 30 seg; ventilar novamente
13. Conectar ox•metro de pulso
14. Conectar ao ventilador
Arlindo Ugulino Netto – MEDICINA DE URG•NCIA – MEDICINA P8 – 2011.1
74
Complicações.
 N…o conseguir a t‚cnica e a intridu†…o adequada, aumenta hip„xia, sob risco de „bito
 Intuba†…o esofƒgica
 Intuba†…o seletiva, com maior frequ€ncia do br•nquio fonte direito; atelectasia de pulm…o esquerdo
 Indu†…o de v•mito, sob o risco de broncoaspira†…o
 Les…o de VAS: hemorragia, aspira†…o
 Fratura/arrancamento de elementos dentƒrios
 Ruptura do cuff: perda da veda†…o (reintubar)
 Risco potencializado de lesˆes cervicais
Intubação de sequência rápida.
A intuba†…o de sequ€ncia rƒpida ‚ a que se utiliza diante de pacientes que apresentam-se com n•vel agitado de
consci€ncia, por‚m, com d‚ficit respirat„rio grave. Pode ser indicada, at‚ mesmo, durante uma poss•vel intuba†…o
orotraqueal, de uma v•tima que passou a apresentar confus…o mental, com mordedura, etc.
1. Estar preparado com instrumental para acesso cir‰rgico da via a‚rea (bisturi, tesoura de metzenbaum, pin†a de
dissec†…o)
2. Pre-oxigenar com O2 a 100%
3. Manobra de Sellick
4. Acesso venoso
5. Sedar (etomidato – 30 mg ou midazolam – 2 a 5 mg; succinil-colina 100 mg IV)
6. Obtido o relaxamento, intube por via orotraqueal
7. Insuflar o cuff
8. Confirmar a posi†…o do tubo
9. Conectar o ox•metro de pulso
10. Conectar ao ventilador
VIA AÉREA CIRÚRGICA
A traqueostomia n…o ‚ um procedimento de rotina para pacientes v•timas de traumatismos que necessitam de
suporte ventilat„rio. Diante disto, a via a‚rea cir‰rgica pode ser alcan†ada, na sala de emerg€ncia, atrav‚s da
cricotireoidostomia, seja feita por pun†…o ou cir‰rgica. Trata-se de um ato m‚dico, que deve ser evitada em crian†as com
idade inferior a 12 anos.
O ponto anatômico a ser observado e utilizado como refer€ncia para a cricotireoidostomia ‚ a membrana ou
ligamento cricotire„ideo mediano; podemos simplesmente puncionƒ-lo, atrav‚s do gelco 14 (cricotireoidostomia por
pun†…o), ou ainda, introduzir uma c‡nula atrav‚s de uma abertura incisional (cricotireoidostomia cir‰rgica).
Indicações.
 Tempo
 Falta de material ou profissional habilitado
 Insucesso da intuba†…o
 Agita†…o
 Grandes traumas de face
 Mallampati desfavorƒvel
Cricotireoidostomia por punção.
Esta t‚cnica permite rƒpida penetra†…o na via a‚rea para ventila†…o
temporƒria, quando da impossibilidade das t‚cnicas previamente citadas. Consiste na
coloca†…o de c‡nula plƒstica calibrosa n‰meros 12 a 14 para adultos e 16 a 18 para
crian†as, atrav‚s da membrana cricotireo•dea. A c‡nula ‚ conectada a oxig€nio com
volume de 15L/min com conec†…o em Y ou tubo de borracha, contendo um orif•cio
lateral entre a fonte de oxig€nio e a c‡nula que estƒ na membrana cricotireo•dea.
O paciente em posi†…o supina, se faz uma pequena incis…o com l‡mina 11 na
linha m‚dia, inserindo a agulha direcionada em 45› no sentido caudal, aspirando Œ
medida que vai avan†ando pelos planos anat•micos. Quando o conte‰do da agulha for
de ar, remove-se a agulha e seringa, conectando ao tubo plƒstico e fixando o cateter
no pesco†o do paciente. As principais complica†ˆes s…o as perfura†ˆes, enfisema
subcut‡neo, les…o tire„idea, etc.
A insufla†…o intermitente pode ser conseguida fazendo-se o oxig€nio entrar na via a‚rea por 1s e interrompendo
sua entrada por 4s, atrav‚s da oclus…o ou n…o do orif•cio lateral da fonte de oxig€nio ou de um bra†o do Y. Tanto nesta
t‚cnica como com o cateter transtraqueal, o paciente pode ser oxigenado adequadamente por 30 a 45min. Como
Arlindo Ugulino Netto – MEDICINA DE URG•NCIA – MEDICINA P8 – 2011.1
75
conseqœ€ncia da exala†…o inadequada, o di„xido de carbono acumula e limita o uso desta t‚cnica, especialmente em
pacientes com trauma de cr‡nio. Pode tamb‚m ocorrer barotrauma.
Cricotireoidostomia cirúrgica.
Atrav‚s de uma incis…o na pele, especificamente na membrana cricotire„idea, se introduz uma sonda traqueal
ou c‡nula de traqueostomia de pequeno calibre (#5 a #7).
Complicações.
 Aspira†…o de sangue
 Cria†…o de falso trajeto
 Edema subgl„tico
 Estenose de laringe
 Hemorragias/hematomas
 Les…o de es•fago
 Les…o de traqu‚ia
TORACOCENTESE
A toracocentese ‚ a pun†…o torƒcica atrav‚s de agulha. A principal indica†…o ‚ diante dos casos de pneumot„rax
hipertensivo, que se apresenta clinicamente com grau avan†ado de dispn‚ia, turg€ncia jugular (pode se mostrar
ausente, quando o paciente apresenta associado a hipovolemia), satura†…o de oxig€nio baixo, timpanismo Œ percuss…o,
murm‰rio vesicular abolido do lado acometido, desvio da traqu‚ia. Š uma medida paliativa diante do pneumot„rax
hipertensivo.
O paciente deve se posicionar em ortostatismo, o m‚dico deve introduzir Jelco 14 com tampa tipo luer-lock, no
segundo espaco intercostal, linha m‚dio-clavicular, no rebordo costal superior da terceira costela. Ap„s a introdu†…o do
Jelco, com o esvaziamento, devemos conectar a tampa para fechƒ-lo, monitorizando, periodicamente. Portanto, ap„s a
descompress…o, o m‚dico deverƒ fechar o Jelco com uma tampa e, caso o paciente apresente outro epis„dio, a tampa
deverƒ ser removida. O tratamento definitivo ‚ com a drenagem torƒcica em selo d’ƒgua ou toracotomia.
Complicações.
 Hematoma local
 Pneumot„rax
 Les…o pulmonar
DRENAGEM TOR…CICA
A drenagem torƒcica ‚ realizada em regime de anestesia local, com
uma incis…o transversa na pele (2 a 3 cm), no quinto espa†o intercostal, linha
axilar m‚dia. O pr„ximo passo ‚ a divuls…o muscular com pin†a hemostƒtica,
junto Œ borda superior da costela, com explora†…o digital.
O dreno torƒcico ‚ introduzido para cima, em dire†…o Œ parede posterior
e conectado ao sistema fechado em selo d’ƒgua (o borbulhamento indica a
eficƒcia da t‚cnica). Em seguida, o tubo ‚ fixado Œ pele, com curativo. Alguns
exames de controle, tais como radiografia, oximetria de pulso, gasometria
arterial podem ser feitos.
Complicações.
 Les…o de „rg…os intratorƒcicos ou intraabdominais
 Empiema pleural
 Les…o de nervo, art‚ria e veia intercostal
 Pneumot„rax e/ou Hemot„rax
 Posicionamento incorreto do tubo
MONITORIZA‚„O
A oximetria de pulso ‚ uma medida auxiliar que deve ser preconizada jƒ no exame primƒrio. Atrav‚s do ox•metro,
podemos evidenciar a frequ€ncia card•aca e a satura†…o de oxig€nio no sangue. As presilhas do ox•metro podem ser
fixadas na ponta dos dedos ou l„bulos das orelhas. As altera†…o dos par‡metros podem estar associados aos seguintes
casos:
 Hip„xia (baixa perfus…o perif‚rica)
 Hipotens…o
 Hipotermia
 Compress…o arterial
 Anemia acentuada
 Carboxihemoglobina
 Luz ambiente intensa pode alterar a medi†…o
Arlindo Ugulino Netto – MEDICINA DE URG•NCIA – MEDICINA P8 – 2011.1
76
MED RESUMOS 2011
NETTO, Arlindo Ugulino; LISBOA, Jo…o Bruno.
MEDICINA DE URGÊNCIA E TERAPIA INTENSIVA
INTRODUÇÃO À VENTILAÇÃO MECÂNICA
(Professor Ciro Leite Mendes)
A ventila†…o mec‡nica (VM) ou, como seria mais adequado chamarmos, o suporte ventilat„rio, consiste em um
m‚todo de suporte para o tratamento de pacientes com insufici€ncia respirat„ria aguda ou cr•nica agudizada.
Atualmente, a VM corresponde a um assunto de grande import‡ncia para os profissionais da terapia intensiva e
para quem atende emerg€ncias, uma vez que a maioria dos pacientes que d…o entrada nestes servi†os necessita, em
alguma fase de sua interna†…o, ser ventilada artificialmente.
Para entender as bases da VM, ‚ necessƒrio um conhecimento m•nimo referente Œ f•sica dos gases e da
fisiol„gica respirat„ria, principalmente no que diz respeito Œ maneira pela qual a caixa torƒcica e o pulm…o funcionam ou
interagem entre si.
FISIOLOGIA RESPIRAT†RIA B…SICA
A inspira†…o ‚ um processo ativo e, portanto, exige um gasto de energia relativo para que a contra†…o de
determinados m‰sculos realizem a expans…o pulmonar. Os m‰sculos inspirat„rios incluem diafragma, intercostais
externos, internos, escalenos e o esternocleidomast„ideo.
O diafragma ‚ o principal m‰sculo da inspira†…o, sendo ele inervado pelo nervo fr€nico (C3 a C5). Š constitu•do
por uma por†…o central tendinosa e uma por†…o perif‚rica muscular que se liga as costelas inferiores e Œ coluna. Em
condi†ˆes basais, ele apresenta uma convexidade voltada para o t„rax. No momento em que chega o est•mulo
respirat„rio, o diafragma se retifica, perdendo sua convexidade e aumentado, relativamente, a cavidade torƒcica em seu
di‡metro cr‡nio-caudal. Quando a musculatura intercostal ‚ ativada, por sua vez, as costelas se retificam e, com isso,
aumenta-se o di‡metro ‡ntero-posterior do t„rax.
Com a expans…o da cavidade torƒcica (e, consequentemente, da pleura parietal), os pulmˆes s…o obrigados a
expandir junto, pois entre as pleuras, existe uma press…o negativa (vƒcuo) que sofre redu†…o com esta expans…o. No
momento em que esta press…o interpleural se torna mais negativa, a pleura parietal “puxa” a pleura visceral e, com isso,
o pulm…o se expande, junto Œ cavidade torƒcica, mesmo sem existir ligamento algum entre essas estruturas.
No momento em que o pulm…o se expande, a press…o intrapulmonar tamb‚m reduz, gerando um gradiente de
press…o quando em compara†…o com a atmosfera. No momento em que a press…o intrapulmonar torna-se inferior Œ
press…o atmosf‚rica, esta diferen†a de press…o permite a forma†…o de um fluxo a‚reo que, se as vias a‚reas
permanecerem abertas (p‚rvias), faz com que o ar entre no pulm…o e permita a troca gasosa, em n•vel alveolar, com o
sangue que chega aos pulmˆes.
Arlindo Ugulino Netto – MEDICINA DE URG•NCIA – MEDICINA P8 – 2011.1
77
A expira†…o, por sua vez, ‚ um processo passivo – basta apenas que os m‰sculos inspirat„rios relaxem.
Contudo, dependendo da demanda metab„lica do organismo, como ocorre na expira†…o for†ada dos exerc•cios f•sicos,
entra em a†…o a musculatura expirat„ria. Os m‰sculos expirat„rios s…o: m‰sculos da parede abdominal, intercostais
internos.
Portanto, o processo de ventila†…o, principalmente no
que diz respeito Œ inspira†…o, ocorre gra†as a forma†…o de uma
press…o negativa intrapulmonar, fazendo com que haja um
gradiente de press…o com o meio, permitindo o deslocamento
da coluna a‚rea.
Partindo-se deste pressuposto, nota-se que a ventila†…o
que ‚ feita durante o processo de ressuscita†…o cardiopulmonar
(a chamada “respira†…o boca-a-boca”) consiste em uma
ventila†…o por press…o positiva: ao inv‚s de criar uma press…o
negativa dentro da caixa torƒcica e, assim criar fluxo a‚reo, na
ventila†…o de reanima†…o cria-se uma press…o positiva
responsƒvel por lan†ar a coluna de ar desde as vias a‚reas
superiores at‚ as inferiores.
A VM ou ventila†…o artificial funciona da mesma maneira. O ventilador mec‡nico garante uma respira†…o ou
ventila†…o por press…o positiva, fazendo o papel que o reanimador faria atrav‚s de uma “respira†…o boca-a-boca”.
Contudo, a VM consiste na utiliza†…o de um tubo, que deve ser inserido ao longo das vias a‚reas superiores (atrav‚s da
boca – intubação orotraqueal – ou do nariz – intubação nasotraqueal , sendo esta muito pouco utilizada atualmente)
ou diretamente na via a‚rea inferior atrav‚s de uma cricotireoidostomia (feita na urg€ncia) ou de uma traqueostomia
(feita de carƒter eletivo). Independente da forma de inser†…o do tubo, cria-se um contato entre o meio externo e a
traqueia do paciente e, com o aux•lio de um ventilador artificial, se estabelece uma ventilação por pressão positiva .
HIST†RICO
Na Universidade de Pƒdua, uma das mais importantes da Itƒlia, surgiram os trabalhos de Andreas Vesalius
(Bruxelas, 1514 — Zƒkinthos, 1564), que publicou a obra De Humani Corporis Fabrica, em 1543, estabelecendo as
imprescind•veis rela†ˆes anƒtomofisiol„gicas do corpo humano. Em sua obra, ele relatou:
“...mas a vida pode ser restaurada ao animal, desde que uma
abertura seja tentada no tronco da traqu…ia, na qual um tubo de
bambu deve ser inserido. Voc• deverƒ entˆo soprar dentro dela, de
tal forma que os pulm‰es se levantem e possam se encher de ar...”
Neste texto, Vesalius descrevia o que at‚ ent…o era “in‚dito”: realiza†…o da primeira ventila†…o artificial em que
se tem relato, a t‚cnica de traqueostomia e a reanima†…o cardiopulmonar. At‚ ent…o, as t‚cnicas de reanima†…o
cardiopulmonar eram, no m•nimo, rudimentares: queimar o indiv•duo com ferro em brasa, jogƒ-lo ladeira abaixo em um
barril, amarrƒ-lo a um cavalo a galope, fulmega†…o (introduzir fuma†a por via digestiva baixa), etc.
Entretanto, por volta do s‚culo XVIII - XIX, quando surgiram a maioria dos conceitos que se tem da medicina
atual, a ideia sugerida por Versalius caiu no esquecimento. Desta ‚poca, existem relatos de indiv•duos que tentavam a
ventila†…o atrav‚s do uso de foles, acoplados diretamente na boca da v•tima em parada. Entretanto, a press…o gerada
por estes instrumentos era muito elevada, provocando barotraumas.
Depois de constatada que tal t‚cnica era
ineficaz e perigosa, foram criadas ideias que
tentavam imitar a respira†…o fisiol„gica. Foi criada,
por exemplo, a t‚cnica do “pulm…o de a†o”, em
que se colocava o corpo do indiv•duo dentro de
um compartimento totalmente vedado, apenas
com uma vƒlvula acoplada a aparelhos que
geravam diferen†as de press…o dentro da c‡mara.
Criava-se, ent…o, uma press…o negativa dentro do
cilindro, o que fazia com que o sujeito respirasse,
a partir da expans…o de seu t„rax.
A ideia, considerada pertinente, foi
aproveitada por empresas (como a DraggŸr)
durante a d‚cada de 50 (s‚culo XX), e que passou
a ser utilizado como padr…o de ventila†…o
mec‡nica da ‚poca (quando n…o se admitia
ventilar um indiv•duo que n…o fosse por press…o
negativa).
Arlindo Ugulino Netto – MEDICINA DE URG•NCIA – MEDICINA P8 – 2011.1
78
Depois das grandes guerras de meados do s‚culo XX, a medicina sofreu um grande avan†o (no que diz
respeito, inclusive, a reanima†…o de pacientes). At‚ este momento, a principal causa de morte no ‡mbito respirat„rio se
caracterizava por insufici€ncias respirat„rias decorrentes de patologias que alteravam, principalmente, o sistema
neuromuscular – como a poliomielite, para ser mais espec•fico. Na ocasi…o, eram assistidas por estes aparelhos. Uma
das principais cr•ticas Œ utiliza†…o destes aparelhos era a incapacidade que se tinha para realizar uma higiene adequada
dos pacientes submetidos a esta terapia, aumentando-se os •ndices de infec†…o e escaras, al‚m da dificuldade em
aspirar secre†ˆes.
No p„s-Segunda Guerra Mundial, ocorreu uma grande epidemia de poliomielite nos pa•ses do hemisf‚rio norte,
principalmente nos Estados Unidos e Pa•ses N„rdicos. A procura por hospitais que apresentavam o pulm…o de a†o
como recurso era muito grande – mas a disponibilidade destes aparelhos era cada vez menor.
Frente a esta defici€ncia, o professor
Lassen, professor de uma universidade de
medicina em Copenhagen, passou a
traqueostomizar todos os pacientes e utilizar
os aparelhos que compunham os carrinhos
de anestesia (somente os anestesistas
faziam uso da ventila†…o por press…o positiva
durante as cirurgias, visto que esse
procedimento levaria algumas horas,
apenas). No momento em que esta conduta
foi tomada, observou-se uma redu†…o de
quase 50% da mortalidade dos pacientes,
quando se comparava aos pacientes que
faziam uso da ventila†…o por press…o
negativa. Uma das razˆes que fez com que
esse procedimento fosse mais efetivo que o
pulm…o de a†o foi a capacidade de realizar
uma melhor higiene e aspira†…o de
secre†ˆes, evitando infec†ˆes.
A partir da d‚cada de 50, a ventila†…o mec‡nica por press…o positiva passou a ser, efetivamente, utilizada de
maneira rotineira, depois do surgimento das Unidades de Terapia Intensiva. Hoje em dia, praticamente, n…o se utiliza
mais os pulmˆes de a†o nem outro m‚todo de ventila†…o por press…o negativa.
CLASSIFICA‚„O DO SUPORTE VENTILAT†RIO
Atualmente, classifica-se o suporte ventilat„rio em dois grandes grupos:
 Ventila†…o mec‡nica invasiva
 Ventila†…o n…o invasiva (VNI).
Nas duas situa†ˆes, a ventila†…o artificial ‚ conseguida com a aplica†…o de press…o positiva nas vias a‚reas. A
diferen†a entre elas fica na forma de libera†…o de press…o: enquanto na ventila†…o invasiva utiliza-se uma pr„tese
introduzida na via a‚rea, isto ‚, um tubo oro ou nasotraqueal (menos comum) ou uma c‡nula de traqueostomia, na
ventila†…o n…o invasiva, utiliza-se uma mƒscara como interface entre o paciente e o ventilador artificial.
Arlindo Ugulino Netto – MEDICINA DE URG•NCIA – MEDICINA P8 – 2011.1
79
FUNDAMENTOS SOBRE O VENTILADOR PULMONAR ARTIFICIAL MICROPROCESSADO
Sabe-se que o oxig€nio e o ar comprimido armazenados em reservat„rios hospitalares se apresentam em altas
pressˆes. Se este oxig€nio fosse simplesmente ofertado para a via a‚rea do paciente, muito provavelmente,
causar•amos barotraumas importantes.
Š necessƒrio, portanto, um equipamento que aproveite esta press…o gerada nos reservat„rios e regule o fluxo
dos gases (oxig€nio e ar comprimido) de tal forma que ele seja entregue ao paciente de uma maneira fisiol„gica, com
pressˆes e fluxo adequados. Š a• onde entra a import‡ncia do ventilador mecânico (ou artificial).
O ventilador mec‡nico (termo que deveria ser substitu•do por ventilador pulmonar artificial ou VPA) nada mais ‚
que um dispositivo que se interpˆe entre a fonte de oxig€nio/ar comprimido e o pulm…o; ele regula quando, quanto e
como o ar deve ser ofertado aos pulmˆes, al‚m de cuidar tamb‚m da sa•da deste ar (ver OBS
1
e OBS
2
).
OBS1
: A expira†…o, seja no modo natural ou artificial, consiste em um processo puramente passivo. Como vimos anteriormente, ela ‚
iniciada com a desativa†…o do est•mulo previamente gerado pelo centro respirat„rio, os m‰sculos inspirat„rios relaxam e, associados
a outros fatores (como a a†…o da elastina e do colƒgeno pulmonar, al‚m da pr„pria tens…o superficial alveolar), fazem com queocorra
o aumento da press…o intrapulmonar, gerando um gradiente de press…o que tende a expulsar o ar, promovendo fluxo no sentido
contrƒrio.
OBS2
: Sabendo-se que a expira†…o ‚ um processo passivo at‚ mesmo durante a respira†…o artificial, o ventilador pulmonar mec‡nico
participa da expira†…o apenas deixando de injetar ar na via a‚rea do paciente, abrindo a válvula expiratória ou de exalação, fazendo
com que o ar deixe os pulmˆes gra†as ao recolhimento elƒstico dos pulmˆes e da caixa torƒcica.
Portanto, o ventilador pulmonar artificial (VPA) atual consiste em um dispositivo dotado de componentes
modernos, semelhantemente a um computador. A figura abaixo mostra de forma simplificada o funcionamento de um
respirador microprocessado. Dentre os seus principais componentes, temos:
 Uma vƒlvula ligada Œ fonte de oxig€nio/ar comprimido. Esta vƒlvula apresenta um mecanismo de controle que
regula a velocidade de fluxo com que o ar entra no pulm…o do paciente.
 Ramo inspirat„rio: consiste em
um tubo que direciona todo o
oxig€nio/arcomprimido oriundo do
ventilador para a via a‚rea do
paciente.
 Uma vƒlvula de exala†…o ou
vƒlvula expirat„ria que, quando
ativada durante a fase de
expira†…o, permite a sa•da do ar
de forma passiva e realiza a
leitura de dados referentes ao
seu pr„prio funcionamento.
 Transdutores de press…o e de
fluxo, ligados a uma s‚rie de
aparelhos informƒticos, como
processadores, pain‚is de
controle e monitor, fornecem ao
operador as informa†ˆes
necessƒrias para manejo correto
da via a‚rea do paciente.
A forma com que o VPA interage com o paciente e com o seu operador ‚ bastante simples. No painel de
controle, o operador determina o modo que ele considera ser o mais efetivo para o paciente. Este modo ‚ ent…o
interpretado por uma central de processamento (CPU, que funciona como um processador de um microcomputador
qualquer) na forma de um algoritmo comum. Ap„s a programa†…o do modo e dos par‡metros ventilat„rios no painel de
controle, o fluxo inspirat„rio ‚ liberado atrav‚s da vƒlvula inspirat„ria para o paciente pelo ramo inspirat„rio do circuito do
ventilador.
Al‚m disso, a CPU recebe informa†ˆes constantes referentes Œs caracter•sticas de fluxo e press…o nas vias
a‚reas (atrav‚s de transdutores e sensores de press…o e fluxo conectados ao sistema de ventila†…o, que enviam tais
dados para o CPU, onde s…o integrados e associados Œs informa†ˆes pr‚-determinadas pelo operador). A CPU ainda
tem a fun†…o de controlar a vƒlvula de exala†…o e a vƒlvula de fluxo, a merc€ do comando do operador.
O operador pode determinar, por exemplo, o tempo de inspira†…o do paciente. Se ele determinar no painel de
controle uma “inspira†…o de 1 segundo”, a CPU processa esta informa†…o e envia a informa†…o para a vƒlvula de fluxo
(ligada Œ fonte de oxig€nio/ar comprimido), a qual serƒ regulada para que o fluxo gerado seja o suficiente apenas para
uma respira†…o que vai durar 1 segundo. O fluxo ‚, ent…o, checado por sensores para avaliar a efetividade deste
comando. No momento em que o operador modificar o modo respirat„rio, a CPU processa este comando e todas as
informa†ˆes que recebe dos sensores localizados no sistema de ventila†…o, dando ao operador as informa†ˆes
necessƒrias para melhor regulagem das vƒlvulas de fluxo e de exala†…o.
Arlindo Ugulino Netto – MEDICINA DE URG•NCIA – MEDICINA P8 – 2011.1
80
Arlindo Ugulino Netto – MEDICINA DE URG•NCIA – MEDICINA P8 – 2011.1
81
INDICA‚ƒES B…SICAS DE VENTILA‚„O MECˆNICA
Basicamente, devemos indicar a VM nas seguintes
situações:
 Insuficiência Respiratória Aguda (PaO2/FiO2 < 200)
 Situação de risco à vida
 Instalação súbita
 Situações de perda do drive (ou força) respiratório(a)
induzidas (previstas):
 Intra-operatório: anestesia.
 Pós-operatório: suporte na UTI a procedimentos de
grande porte e recuperação anestésica.
OBJETIVOS DA VENTILA‚„O MECˆNICA
 Garantir a ventilação alveolar
 Possibilitar a troca gasosa adequada
 Aliviar a dispneia
 Promover repouso e recondicionamento dos músculos
respiratórios
CICLO VENTILAT†RIO
Para melhor entendimento dos modos da ventilação mecânica e interpretação os gráficos obtidos através deles, é necessário
conhecer as bases do ciclo ventilatório. O ciclo ventilatório durante a ventilação mecânica com pressão positiva pode ser dividido em:
1. Fase inspiratória: Corresponde à fase do ciclo em que o ventilador
realiza a insuflação pulmonar, conforme as propriedades elásticas e
resistivas do sistema respiratório. Válvula inspiratória aberta;
2. Mudança de fase (ciclagem): Transição entre a fase inspiratória e a fase
expiratória;
3. Fase expiratória: Momento seguinte ao fechamento da válvula
inspiratória e abertura da válvula expiratória, permitindo que a pressão do
sistema respiratório equilibre-se com a pressão expiratória final
determinada no ventilador; e
4. Mudança da fase expiratória para a fase inspiratória (disparo): Fase em
que termina a expiração e ocorre o disparo (abertura da válvula
inspiratória) do ventilador, iniciando nova fase inspiratória.
Este ciclo ventilatório é, portanto, determinado pelos fatores citados logo abaixo e, através da análise e da manipulação
deles, nós deveremos ajustar os modos da ventilação mecânica:
 Fluxo (Ṽ=volume/tempo): deslocamento de um volume de uma mistura gasosa
 Pressƒo: resultante da interação entre fluxo e resistência ao seu deslocamento (circuito, tubo, vias aéreas).
 Volume: quantidade de determinada mistura gasosa (L ou ml).
 Tempo: tempo inspiratório (TI) e expiratório (TE).
PARˆMETROS A SEREM REGULADOS
Como estudaremos a partir deste momento, existem alguns parâmetros que caracterizam o funcionamento do ventilador
mecânico. São eles que devem ser devidamente ajustados para cada paciente.
 FiO2: é a fração de O2 (em porcentagem) na mistura gasosa oferecida ao paciente pelo ventilador mecânico. O valor mínimo
aceito pelo ventilador é de 21%. De antemão, colocar a 100%, sendo readequada assim que se confirmar a SaO2%
adequada (>93%).
 Volume corrente: o volume a ser injetado nos pulmões a cada inspiração (em média 8-9 ml/kg de PBW/ciclo)
 Modo: relaciona-se com a maneira que se iniciará a fase inspiratória do ciclo respiratório. O disparo é termo que se dá à
forma pela qual o modo do ventilador mecânico inicia esta inspiração. Optar pelo modo Assistido-Controlado ou SIMV.
 Ciclagem: corresponde ao fator que determina o final da fase inspiratória e começo da fase expiratória. Este fator, também
pré-determinado pelo operador, encerra a inspiração e inicia a expiração. Optar pela ciclagem por volume, inicialmente.
 Rela‚ƒo inspira‚ƒo:expira‚ƒo (TI:T2): depende da frequência respiratória, do fluxo inspiratório e o volume corrente.
 PEEP (do ingl•s, positive end expiratory pressure): pressão positiva ao final da expiração. Geralmente, é de 5,0 cm H2O.
 Frequ•ncia RespiratŠria (f prog): manter, geralmente, 14-16 rpm.
 Fluxo: velocidade com que a mistura gasosa é injetada nos pulmões (em média 1 litro/kg)
 Regulagem de alarmes: inicialmente, optar pelo alarme de pico de pressão e Volume Minuto.
Arlindo Ugulino Netto – MEDICINA DE URG•NCIA – MEDICINA P8 – 2011.1
82
MODOS DA VENTILA‚„O MECˆNICA
Š importante, durante o estudo de Introdu†…o Œ Ventila†…o Mec‡nica, conhecer os modos de VM que regulam
esta prƒtica. O modo, na verdade, diz respeito Œ maneira pela qual a fase inspiratória do ciclo respirat„rio serƒ iniciada.
Š importante salientar que o modo deve ser escolhido de acordo com a situa†…o cl•nica em que estƒ o paciente.
Existem, basicamente, tr€s tipos de modo e seus respectivos tipos de disparo:
 Modo controlado: o disparo da inspira†…o ‚ absolutamente controlado pelo computador, trabalhado referente a um tempo
pr‚-determinado.
o Disparo da inspira†…o a tempo: o disparo da inspira†…o ‚ marcado por intervalo de tempos regulados previamente
determinados pelo operador. Pode-se determinar neste modo, por exemplo, que o paciente tenha um n‰mero exato
de incursˆes respirat„rias por minuto. Se, por exemplo, o moderador determina uma frequ€ncia respirat„ria de 15
irpm, o computador passa a disparar e abrir a vƒlvula inspirat„ria a cada 4 segundos (somando, ao final, 15 disparos
ao longo de um minuto).
 Modo assistido-controlado (misto): os tipos de disparo deste modo trabalham de forma a atender as necessidades
imediatas do paciente: o computador apenas auxilia, disparando a inspira†…o, caso o paciente n…o seja capaz de inspirar
sozinho naquela ocasi…o. O modo misto trabalha em cima de tr€s tipos de disparo:
o Disparo da inspira†…o Œ press…o
o Disparo da inspira†…o Œ fluxo
o Disparo da inspira†…o por est•mulo neural
 Modo assistido: o ventilador continua a oferecer oxig€nio/ar comprimido em valores pr‚-determinados; entretanto, a
respira†…o depende totalmente do esfor†o inspirat„rio do paciente – se ele n…o tentar inspirar, o VM n…o promove a
respira†…o. Praticamente, n…o mais utilizado hoje em dia.
MODO CONTROLADO
Neste caso, o ventilador realiza todo o processo de ventila†…o, independente da vontade e est•mulo do paciente.
A frequ€ncia respirat„ria programada (f prog) serƒ a frequ€ncia total. Com isso, conclui-se que este modo trabalho,
exclusivamente, baseando-se no disparo a tempo.
O modo controlado diz respeito, portanto, Œquela inspira†…o que ‚ iniciada a depender, exclusivamente, de um
comando predeterminado pelo operador e controlado pelo ventilador pulmonar artificial, de modo que o paciente n…o tem
poder sobre este controle. Antigamente, todos os ventiladores artificiais s„ apresentavam este modo como fun†…o
exclusiva.
Entretanto, atualmente, este modo s„ pode ser utilizado em uma circunst‡ncia: quando o paciente n…o
apresentar nenhum tipo de est•mulo respirat„rio. Caracteriza esta circunst‡ncia um paciente completamente paralisado
e/ou anestesiado.
Portanto, trabalhando neste modo, o computador n…o s„ tem o controle absoluto sobre o tempo exato de quando
vai acontecer a respira†…o como tamb‚m tem o poder de determinar quanto tempo vai durar a inspira†…o e a expira†…o.
Baseando-se nisso, a utiliza†…o deste modo deve ser restrita para esses casos especiais, pois, nem sempre, o paciente
necessita de uma frequ€ncia respirat„ria fixa (uma vez que fisiologicamente, a cada minuto, sofremos mudan†as na
nossa FR a depender da demanda fisiol„gica moment‡nea). Desta forma, este modo pouco se assemelha Œs condi†ˆes
fisiol„gicas – muito embora seu uso seja indispensƒvel para pacientes com completa depress…o respirat„ria.
Com isso, se o paciente ‚ submetido ao modo puramente controlado (por tempo), ele pode estar respirando
mais do que precisa, de modo que vai chegar a um determinado ponto em que o paciente vai necessitar “jogar ar para
fora”, e o ventilador tentando “jogar ar para dentro”. Nestas situa†ˆes, al‚m do desconforto gerado ao paciente, hƒ o
risco de barotrauma.
MODO ASSISTIDO-CONTROLADO
O modo assistido-controlado ‚ a fun†…o do VM utilizada para permitir uma intera†…o inicial entre paciente e
ventilador, de modo que o paciente pode disparar a fase inspirat„ria a depender de sua vontade/necessidade. Os
par‡metros deste ciclo disparado ser…o os mesmos dos ciclos controlados. Desta forma, neste modo, temos:
 Frequ€ncia Total = Frequ€ncia programada + Frequ€ncia assistida
 Neste modo, o pr„prio paciente determina sua pr„pria frequ€ncia respirat„ria e seu volume minuto, uma vez que
a sua autonomia respirat„ria ‚ mantida.
Portanto, o modo assistido-controlado ‚ o modo em que o ventilador pulmonar artificial apenas exerce um
“aux•lio” Œ vontade de respirar do pr„prio paciente: ele trabalha monitorizando a fun†…o respirat„ria do paciente,
permitindo que ele determine, a depender de sua vontade, o disparo da inspira†…o. Contudo, quando o paciente n…o se
mostra capaz de inspirar, o computador processa esta incapacidade (a depender dos valores de par‡metros como o
fluxo, a press…o ou o est•mulo neural da respira†…o) e passa a ventilar pelo paciente, fornecendo a ele o oxig€nio/ar
comprimido necessƒrio para aquele ciclo respirat„rio.
Este modo trabalha baseando-se em tr€s tipos de disparo:
Arlindo Ugulino Netto – MEDICINA DE URG•NCIA – MEDICINA P8 – 2011.1
83
 Disparo a pressão: como se sabe, no momento em que inspiramos, gera-se uma pressão negativa no interior
das vias respiratórias para que o fluxo aéreo flua naturalmente para dentro dos pulmões. Desta forma, pode-se
programar o ventilador para detectar um valor de pressão que possa caracterizar um esforço respiratório
vigoroso (como -2cmH2O, por exemplo) e, consequentemente, a vontade própria do paciente em respirar,
fazendo com que o ventilador auxilie no curso desta respiração. Portanto, a depender dos valores que os
sensores de pressão do VPA detectam na via respiratória do paciente, o aparelho dispara a inspiração,
auxiliando o doente a respirar no momento em que os valores pressóricos de sua via respiratória caem abaixo
de valores pré-determinados pelo operador.
 Disparo a fluxo: quando iniciamos uma inspiração, geramos um fluxo direcionado para a via aérea. Utilizando
esta forma de disparo, o ventilador pulmonar artificial trabalha, agora, utilizando os seus sensores de fluxo e, no
momento em que o paciente, por conta própria, esboça a criação de um determinado fluxo, o processador
analisa (tomando como base o valor de fluxo pré-determinado pelo operador) e oferece oxigênio/ar comprimido
ao sistema de tubos, fazendo isso sempre que for necessário, sem excluir a autonomia respiratória do paciente.
O fluxo ideal é de cerca de 2 L de ar/min.
 Disparo neural: consiste na utilização de um eletrodo (alojado na transição esôfago-gástrica) sensível a
estímulos elétricos que chegam ao diafragma. Desta forma, quando diafragma recebe o estímulo neural, o
eletrodo capta este potencial e ativa o ventilador para disparar a inspiração. É, na prática, um tipo de disparo
pouco utilizado.
Uma vez que este modo depende da vontade do paciente em respirar, ele só poderá ser utilizado quando o
paciente ainda apresentar algum tipo de estímulo respiratório. Caracteriza esta circunstância aquele paciente que está
em sedação leve ou que está em recuperação anestésica e bloqueadores musculares que, ao passo em que seus
efeitos vão desaparecendo, o paciente começa a respirar por conta própria. Como o período de transição entre a
incapacidade respiratória e o retorno da consciência é impreciso e perigoso (o paciente pode morrer asfixiado, se não for
bem assistido), o modo assistido-controlado, através de seus disparos, mostra-se eficaz para o manejo deste paciente.
Exemplo gráfico do disparo a tempo e disparo a fluxo
Neste primeiro momento, nota-se um gráfico de fluxo x tempo,
mas ajustado ao disparo a tempo do modo controlado pelo
ventilador. Neste caso, o operador pré-determinou a frequência
respiratório que ele acha prudente para aquele paciente. Isso
pode ocorrer também em casos de modo assistido-controlado
em que o paciente não conseguiu realizar o estímulo para
disparo (ver OBS5
)
Neste momento, entretanto, nota-se uma curva de fluxo x tempo
ajustado ao disparo a fluxo do modo assistido-controlado. A
diferença está no pequeno entalhe localizado parte inicial da
curva ascendente de fluxo, representando o fluxo inicial que o
paciente, por conta própria, inspirou e que, logo em seguida,
disparou a inspiração por conta do aparelho, injetando ar no
pulmão do paciente.
Exemplo gráfico do disparo a tempo e disparo a pressão
Neste primeiro momento, nota-se um gráfico de pressão x
tempo, mas ajustado ao disparo a tempo do modo controlado
pelo ventilador. Neste caso, o operador pré-determinou a
frequência respiratória que ele acha prudente para aquele
paciente. Isso pode ocorrer também em casos de modo
assistido-controlado em que o paciente não conseguiu realizar o
estímulo para disparo (ver OBS5
)
Neste momento, entretanto, nota-se uma curva de pressão x
tempo ajustado ao disparo a pressão do modo assistido-
controlado. A diferença está no pequeno entalhe localizado parte
inicial da curva de pressão, representando uma pressão negativa
gerada pelo próprio paciente durante um esforço inspiratório, e
que desencadeou o disparo do ventilador, injetando ar no pulmão
do paciente.
Arlindo Ugulino Netto – MEDICINA DE URG•NCIA – MEDICINA P8 – 2011.1
84
OBS3
: Feitas todas estas considera†ˆes at‚ ent…o, entende-se melhor o conceito de disparo – Disparo nada mais ‚ que o termo que
se atribui Œ forma pela qual o modo de funcionamento do ventilador estƒ programada para iniciar a inspira†…o. Se for disparo a tempo,
o tempo determinarƒ o in•cio da inspira†…o; se for disparo a fluxo, o fluxo a‚reo determinarƒ o in•cio da inspira†…o; etc. Portanto, em
resumo, temos: quando o disparo ‚ a fluxo, o VPA se utiliza deste par‡metro para iniciar a inspira†…o; quando o disparo for apress…o,
o VPA faz uso de valores press„ricos para determinar a necessidade de iniciar a inspira†…o.
OBS4
: N…o existem crit‚rios espec•ficos que determinem a escolha entre o disparo, a n…o ser a aceita†…o cl•nica do paciente, sendo
prudente a sua observa†…o cl•nica e o teste com os dois tipos de disparo, principalmente. Muito embora, a maioria dos ventiladores
modernos analisa estes dois par‡metros de forma associada.
OBS5
: Como vimos at‚ ent…o, o modo assistido-controlado funciona a depender de uma solicita†…o aut•noma do paciente,
dependendo do seu desejo imediato de respirar. Entretanto, caso o paciente n…o consiga mais gerar estes est•mulos, o ventilador,
simplesmente, passa a funcionar no modo controlado e ventilar, automaticamente, o paciente. Portanto, quando optamos pelo modo
assistido-controlado, o ventilador dispara a tempo sempre que o paciente n…o realizar nenhum est•mulo respirat„rio; no momento em
que ele esbo†ar a vontade de respirar, o ventilador volta a disparar a fluxo ou a press…o. Isso n…o ocorre no modo assistido puro.
MODO ASSISTIDO
Embora, praticamente, n…o seja mais utilizado, o modo assistido ‚ considerado a fun†…o de desmame para
alguns ventiladores mais antigos, sem SIMV (Syncronized Intermitent Mandatory Ventilation) e PS. A frequ€ncia
respirat„ria programada ‚ zero.
O paciente realiza press…o negativa no circuito, disparando no aparelho um ciclo, com os parâmetros pré-
estabelecidos, ou seja, independe da vontade e conforto do paciente em rela†…o a eles (VC, PP, fluxo, etc). A janela de
tempo, nesse caso, serƒ infinita.
INTERPRETAÇÃO GRÁFICA DOS MODOS DO VENTILADOR PULMONAR ARTIFICIAL
Em resumo, temos:
 Modo controlado com disparo a tempo: neste modo (puro), o ventilador realiza todo o processo de ventila†…o,
independentemente da vontade ou est•mulo do paciente (muito embora, o modo controlado puro n…o ‚ mais
utilizado – uma vez que os ventiladores mais modernos jƒ trazem o modo assisto-controlado). Š, teoricamente,
indicado para os casos em que o paciente se apresenta com est•mulo respirat„rio marginal ou abolido
(anestesia, coma profundo, paralisias severas, etc.). A frequ€ncia programada pelo computador serƒ a
frequ€ncia respirat„ria total do paciente.
Modo controlado puro
Exemplo grƒfico de ventilador programado com disparo a tempo, em uma frequ€ncia de 15 irpm. Ao se determinar uma
frequ€ncia respirat„ria, o computador divide 1 minuto pelo valor determinado e, do resultado, ele determina janelas de
tempo que correspondem Œ dura†…o de cada ciclo respirat„rio (no caso do exemplo, janelas de 4 segundos). Com isso, a
cada janela de tempo, tem-se o in•cio de uma inspira†…o.
OBS: A Janela de Tempo corresponde ao per•odo entre os ciclos controlados:
Janela de Tempo = 60 / Frequência programada (f prog)
 Modo assistido-controlado com disparo a pressão: consiste no modo utilizado para permitir uma intera†…o
inicial entre paciente e ventilador, onde o paciente pode disparar a fase inspirat„ria, a partir de dados referentes
Œ press…o na sua via a‚rea. Š indicada para pacientes nas fases iniciais da Ventila†…o Mec‡nica ou que est…o se
recuperando de situa†ˆes de anestesia e/ou coma induzido, por exemplo.
Modo assistido-controlado
Exemplo grƒfico de ventilador programado com disparo a press…o, programado a detectar o esfor†o inspirat„rio realizado
pelo paciente e representado por um pequeno entalhe na curva de pressão x tempo. Se o paciente n…o realizar esfor†o
inspirat„rio, o modo volta a funcionar de forma controlada, e passa a disparar a tempo (a uma frequ€ncia previamente
determinada). No momento em que ele expressa novo esfor†o inspirat„rio, o aparelho dispara no modo assistido-controlado
e zera a janela de tempo, iniciando uma nova contagem regressiva para um eventual disparo a tempo.
Neste modo, portanto, o paciente pode respirar mais do que a frequ€ncia temporal pr‚-determinada pelo operador, mas
nunca, pode respirar menos do que este valor.
Arlindo Ugulino Netto – MEDICINA DE URG•NCIA – MEDICINA P8 – 2011.1
85
 Modo assistido: consiste em um modo que não é mais utilizado, a não ser como um modo de desmame para
alguns ventiladores mais antigos. A janela de tempo, nesse caso, será infinita. Tem-se a indicação de utilizar
este modo nos casos em que se pretende iniciar o desmame ventilatório . Tem como vantagens: melhor
sincronismo com o respirador e possibilidade de respiração espontânea . Sua utilização passou a ser
substituída pelo modo assitido-controlado.
Modo assistido puro
Exemplo gráfico de ventilador programado com disparo a pressão, o ventilador está programado para detectar o esforço
inspiratório realizado pelo paciente e representado por um pequeno entalhe na curva de pressão x tempo. Observe que no
primeiro ciclo (janela 1) o realiza um esforço inspiratório, fazendo com que o aparelho assistida o paciente. No segundo ciclo
em um primeiro momento o paciente faz um esforço inspiratório sendo auxiliado novamente pelo ventilador, só que neste
mesmo ciclo o paciente faz um segundo esforço que não é suficiente para disparar o ventilador; observe que o aparelho, por
não ter o um sistema de proteção, não irá entrar no modo controlado e promover suporte ao paciente (como ocorre no modo
assistido-controlado). No último ciclo observe que o paciente faz um esforço inspiratório tendo assim o auxílio do ventilador,
mas depois ele não fez nenhum esforço inspiratório e, com isso, o ventilador (que não tem o sistema de proteção) não entra
no modo controlado, deixando o paciente em apnéia.
Neste modo, portanto, o paciente é obrigado a fazer respirar (esforço inspiratório) para que o ventilador possa auxiliá-lo.
Exemplo gráfico de Ventilação em modo controlado puro.
Exemplo gráfico de ventilação em modo assitido-controlado.
Exemplo gráfico de ventilação em modo assistido.
Arlindo Ugulino Netto – MEDICINA DE URG•NCIA – MEDICINA P8 – 2011.1
86
CICLAGEM
Enquanto que o modo estƒ relacionado com o que determina o in•cio da fase inspirat„ria, a ciclagem ‚
justamente o que se relaciona com o que determina o final da fase inspiratória e começo da fase expiratória. A
ciclagem ‚, portanto, a transi†…o entre a inspira†…o e a expira†…o.
Desta forma, temos:
 Ciclagem a volume: o aparelho cessa a inspira†…o quando o volume corrente jƒ inspirado atinge um valor pr‚-
estabelecido, dando, ent…o, in•cio Œ expira†…o. Para isso, o operador determina a quantidade de volume corrente
que deve ser injetado na via a‚rea do paciente (800ml, por exemplo); feito isso, o ventilador inicia a inspira†…o,
que s„ serƒ encerrada quando os 800ml de ar tiverem sido injetados (independentemente se o paciente tem
necessidade de inspirar tal volume).
 Ciclagem a pressão: o aparelho cessa a inspira†…o quando a press…o na via a‚rea do paciente atingir um valor
pr‚-estabelecido (25cmH2O, por exemplo). Ultrapassado este valor, o computador entende que jƒ teria entrado
ar suficiente no pulm…o do paciente e, com isso, encerra a inspira†…o e dƒ in•cio Œ expira†…o.
 Ciclagem a fluxo: o aparelho cessa a inspira†…o quando o fluxo inspirat„rio detectado na via a‚rea atingir um
valor pr‚-estabelecido (25% do valor de fluxo inicial, durante a parte ascendente da curva inspirat„ria), dando
in•cio Œ expira†…o. Sabe-se que, fisiologicamente, o fluxo durante uma inspira†…o normal descreve, inicialmente,
uma curva grƒfica ascendente bastante •ngreme (fluxo x
tempo), mas que, na medida em que ar passa a ocupar o
pulm…o, a curva inspirat„ria come†a a cair. Estudiosos
descobriram que, quando a curva de fluxo decrescente cai
a valores de 25% com rela†…o ao seu fluxo inicial mƒximo
(valor mƒximo que a curva inspirat„ria ascendente
alcan†ou), a musculatura respirat„ria ‚ desativada e,
neste momento, a inspira†…o ‚ cessada e se inicia a
expira†…o. Desta forma, quando ventilador trabalha com
ciclagem a fluxo, ele ‚ capaz de identificar quando o
paciente atinge o valor de 25% do fluxo inspirat„rio e
realiza, neste momento, a abertura da vƒlvula expirat„ria
para dar in•cio da expira†…o.
 Ciclagem a tempo: o aparelho cessa a inspira†…o quando o tempo inspirat„rio alcan†ar um valor pr‚-
estabelecido (1 segundo geralmente), dando in•cio Œ expira†…o. Š comum no modo controlado, e bastante
utilizado para crian†as.
Existem diferen†as entre esses tipos de ciclagem. Se a complac€ncia pulmonar ‚ normal (sendo complac€ncia a
rela†…o entre Volume/Press…o), tanto faz utilizar o volume ou a press…o como preditor da ciclagem. Se, por exemplo,
para um paciente como 60kg, ofertamos 360 ml/min (6mL de volume corrente/kg peso/min) e obtemos uma press…o de
15cmH2O, significa dizer que a complac€ncia ‚ normal.
Entretanto, se este paciente desenvolve um broncoespasmo, a sua complac€ncia diminui. Neste caso, para
injetar os mesmos 360ml/min, serƒ necessƒrio exercer pressˆes muito altas, uma vez que o ventilador encontra uma
maior resist€ncia, jƒ que os br•nquios se encontram colabados. Essa press…o, ao inv‚s de 15, pode subir para valores
com de 40cmH2O, hipoteticamente – o que ‚ perigoso, sob pena de estourar os alv‚olos do paciente e causar
barotrauma (les…o pulmonar induzida por ventila†…o).
Ent…o, a ciclagem a volume ou ciclagem a press…o ser…o op†ˆes a serem tomadas de acordo com a
necessidade cl•nica que o paciente apresentar. Portanto, se o paciente tem uma complac€ncia muito baixa, ‚
interessante determinar a ciclagem por press…o, para que esta seja fixa (pr‚-determinada) e n…o seja excessiva nas vias
a‚reas.
PRESS„O DE SUPORTE
Este ‚ um modo de ventila†…o mec‡nica espont‡nea, ou seja, disparado e ciclado pelo paciente, em que o
ventilador assiste Œ ventila†…o atrav‚s da manuten†…o de uma press…o positiva pr‚-determinada pelo operador durante a
inspira†…o at‚ que o fluxo inspirat„rio do paciente reduza-se a um n•vel cr•tico (normalmente 25% do pico de fluxo
inspirat„rio atingido). Š, portanto, uma press…o de suporte utilizada para o modo de ciclagem a fluxo.
Isto permite que o paciente controle a frequ€ncia respirat„ria e o tempo inspirat„rio e, dessa forma, o volume de
ar inspirado. Assim, o volume corrente depende do esfor†o inspirat„rio, da press…o de suporte pr‚-estabelecida e da
mec‡nica do sistema respirat„rio. Como desvantagem, este modo funciona apenas quando o paciente apresenta drive
respirat„rio.
Arlindo Ugulino Netto – MEDICINA DE URG•NCIA – MEDICINA P8 – 2011.1
87
RELA‚„O INSPIRA‚„O:EXPIRA‚„O
A relação inspiração:expiração (TI/TE) é um dos parâmetros mais importantes da ventilação mecânica. Ela
estabelece a relação entre o tempo inspiratório (TI: compreende o período entre a abertura da válvula inspiratória a
abertura subsequente da válvula expiratória, no mesmo ciclo respiratório) e o tempo expiratório (TE: compreende a
abertura da válvula expiratória e a abertura subsequente da válvula inspiratória, no mesmo ciclo cardíaco).
A relação TI/TE é determinada, basicamente, pela frequência respiratória e pelo fluxo inspiratório (quanto maior
o fluxo, menor o tempo inspiratório ou TI; o contrário é verdadeiro).
Se, por exemplo, o paciente apresenta uma frequência de 15 irpm, sendo TI=1 segundo e TE=3 segundos, para
aumentar a frequência para 30 irpm no intuito de manter a mesma relação TI/TE, devemos diminuir, na mesma
proporção, tanto o TI quanto o TE (0,5:1,5); se, da mesma forma, aumentarmos a frequência para 20 irpm, como outro
exemplo, também devemos diminuir TI e TE na mesma proporção. Desta forma, temos:
20 / 15 = 1,3
1 / 1,3 e 3 / 1,3 = 0,76 e 2,3
Portanto, a relação TI/TE para uma frequência de 20 irpm, neste caso, é de 0,76/2,3
COMPLICA‚ƒES DA VM
A ventilação mecânica está associada a vários tipos de complicações que podem agravar a doença do paciente,
prolongar o tempo de permanência no respirador ou causar sequelas permanentes. O uso de pressão positiva
intratorácica pode prejudicar a ventilação alveolar e a perfusão arterial pulmonar. No recém-nascido pré-termo, devido à
imaturidade do sistema respiratório os efeitos indesejáveis são mais frequentes e de maior gravidade.
As complicações podem ser de vários tipos: barotrauma, volutrauma, comprometimento da função de outros
órgãos e sistemas, problemas relacionados à intubação traqueal e infecção.
 Barotrauma: termo utilizado para descrever as alterações patológicas que ocorrem quando o fator agressor
primário é a hiperdistensão alveolar. Inclui várias entidades: pneumotórax, enfisema pulmonar intersticial,
pneumomediastino, pneumopericárdio e pneumoperitônio.
 Volutrauma: volumes elevados podem promover edema pulmonar, alterações importantes na permeabilidade,
aumento da filtração e lesão alveolar difusa, enfisema subcutâneo, etc.
 Biotrauma (infecções): a via artificial permite o acesso de patógenos à traquéia e vias respiratórias inferiores,
com maior risco de pneumonia. Além disso, as bactérias gram-negativas que colonizam o trato gastrointestinal
podem alcançar o trato respiratório através de refluxo e aspiração do conteúdo gástrico.
 Alterações em órgãos e sistemas
 Complicações durante a intubação traqueal e após a extubação
CONSIDERA‚ƒES FINAIS
 A Ventilação Mecânica evoluiu muito na segunda metade do século XX
 Atualmente, existem modos avançados visando minimizar os prejuízos da Ventilação por pressão positiva
intermitente (VPPI)
 O modo controlado (CV) é modo para pacientes sedados ou sem drive respiratório
 Os modos Assistido-Controlados são modos usados para permitir início de interação entre o paciente e o
respirador, possibilitando mais conforto e o início eventual de desmame.
Arlindo Ugulino Netto – MEDICINA DE URG•NCIA – MEDICINA P8 – 2011.1
88
MED RESUMOS 2011
NETTO, Arlindo Ugulino.
MEDICINA DE URGÊNCIA E TERAPIA INTENSIVA
INTERPRETAÇÃO DOS DISTÚRBIOS DO EQUILÍBRIO ÁCIDO-BÁSICO
(Professor Ciro Leite Mendes)
São várias as condições patológicas capazes de alterar o equilíbrio ácido-básico. Na célula, o principal
mecanismo fisiopatológico que modifica este equilíbrio é a isquemia tecidual. Uma queda acentuada da perfusão
tecidual impede a chegada de O2 e nutrientes para as células, assim como a retirada de CO2 e toxinas provenientes do
metabolismo. O acúmulo de CO2, ácido lático (formado pelo metabolismo anaeróbio) e outras substâncias ácidas pouco
conhecidas leva à progressiva diminuição do pH intracelular, juntamente à perda das reservas de energia celular (ATP).
A consequência inicial é a disfunção celular. A consequência final, caso o processo isquêmico seja grave e prolongado,
é a autólise e morte celular.
O fenômeno isquêmico pode ser localizado em um determinado órgão, levando a um distúrbio ácido-básico
tecidual local, ou haver repercussão do pH plasmático, ou ser um processo generalizado, como acontece no estado de
choque prolongado e na sepse, levando à disfunção orgânica múltipla e à queda do pH plasmático, principalmente pelo
acúmulo de ácido lático no sangue.
Partindo do pressuposto que o distúrbio ácido-básico é uma condição extremamente comum nas unidades de
terapia intensiva e nas salas de emergência, justificamos a importância de abordar tal assunto durante a graduação em
medicina, principalmente quando analisamos as perspectivas a respeito deste assunto.
PERSPECTIVAS E IMPORTˆNCIA DO EQUIL‡BRIO …CIDO-B…SICO
Em um hospital universitário, 70% dos médicos afirmaram que sabiam interpretar distúrbios ácido-base. Depois
da realização de testes, houve apenas 40% de acertos. Em um hospital escola, 1/3 das interpretações levavam a erros
no tratamento. Frente a isso, estatísticas mostram que 9 entre 10 pacientes graves têm distúrbios ácido-base.
Portanto, somando-se estas estatísticas, podemos concluir que o cenário não é nada favorável e que, a maioria
desses pacientes graves tem seu distúrbio diagnosticado ou tratado de maneira inadequada.
A manutenção do equilíbrio ácido-básico é fundamental para a homeostasia, uma vez que a maioria das reações
químicas no organismo vivo, essenciais para o funcionamento normal das células, ocorrem em faixas estreitas de pH.
Qualquer alteração nesta estreita faixa de pH faz com que a maioria destas reações deixem de acontecer (por
desnaturação enzimática), fazendo com que as células dos mais variados tecidos entrem em colapso.
Além disso, os distúrbios ácido-básico são frequentemente encontrados nos pacientes gravemente enfermos
decorrente da doença que os acomete.
CONSIDERA‚ƒES GERAIS
Os distúrbios ácido-básicos que levam à redução do pH plasmático (acidemia) são chamados de acidoses. Os
distúrbios ácido-básicos que levam ao aumento do pH plasmático (alcalemia) são chamados de alcalose.
Os distúrbios ácido-básicos podem ainda ser de dois tipos: metabólicos e respiratórios. Os distúrbios ácido-
básicos metabólicos são definidos pela alteração primária dos níveis de bicarbonato, enquanto que os distúrbios ácido-
básicos respiratórios são definidos pela alteração primária dos níveis de CO2. A interpretação da gasometria arterial
também será tema a ser abordado neste capítulo.
NO‚ƒES QU‡MICAS B…SICAS
Do ponto de vista químico, várias são as formas de definir uma substância ácida e uma substância básica. Do
ponto de vista bioquímico, a melhor forma de defini-las se baseia na Classificação de Brönsted-Lowry, que afirma que:
 Um ácido é uma substância que, em solução, é capaz de
doar prótons (H+). Um ácido forte pode doar muitos íons
hidrogênio para a solução, porque uma grande parte das
suas moléculas se encontra no estado dissociado (estado
iônico);
 Uma base é uma substância que, em solução, é capaz de
receber prótons. Uma base forte pode captar muitos íons
hidrogênio de uma solução.
O próton, considerando-se esta classificação, é
representado pelo íon H
+
(uma vez que, o hidrogênio, quando perde
seu elétron, passa a ser representado apenas por um próton).
Arlindo Ugulino Netto – MEDICINA DE URG•NCIA – MEDICINA P8 – 2011.1
89
Portanto, segundo esta classifica†…o, toda subst‡ncia capaz de doar um •on H
+
‚ classificada como um ƒcido;
toda subst‡ncia capaz de receber este •on H
+
‚ classificada como base. A depender da capacidade em doar estes •ons
ou de receb€-los, classificados estas subst‡ncias como fortes ou fracas.
medida que um ƒcido se torna mais forte, a sua base conjugada torna-se mais fraca ou ƒ medida que as bases
tornam-se mais fortes, os seus ƒcidos conjugados tornam-se mais fracos. De forma geral, quando ocorre uma rea†…o
ƒcido-base de Br¡nsted-Lowry, a posi†…o de equil•brio situa-se na dire†…o dos ƒcidos e bases mais fracos.
DEFINIÇÃO DE pH
“pH” ‚ o s•mbolo para a grandeza f•sico-qu•mica potencial hidrogeni•nico. Essa grandeza indica a acidez,
neutralidade ou alcalinidade de uma solu†…o aquosa. Em outras palavras, o pH refere-se a uma medida que indica se
uma solu†…o l•quida ‚ ƒcida (pH < 7, a 25 ˜C), neutra (pH = 7, a 25 ˜C), ou bƒsica/alcalina (pH > 7, a 25˜C). Uma
solu†…o neutra s„ tem o valor de pH = 7 a 25 ˜C, o que implica varia†ˆes do valor medido conforme a temperatura.
Matematicamente, o "pH" equivale ao sim‚trico do logaritmo (cologaritmo) de base 10 da atividade dos •ons a
que se refere.
 Para •ons H
+
: pH = -log10[aH
+
], sendo que aH
+
representa a atividade
 Em solu†ˆes dilu•das (abaixo de 0,1 mol dm
−3
), os valores da atividade se aproximam dos valores da
concentra†…o, permitindo que a equa†…o anterior seja assim escrita: pH = -log10[H
+
]
Tomaremos como base do nosso estudo a mol‚cula da ƒgua, considerada uma subst‡ncia neutra. Levando-se
em considera†…o que a mol‚cula de ƒgua se dissolve muito mal, temos:
H2O H
+
+ OH
-
A dissocia†…o da ƒgua forma 1 mol‚cula dissociada (formando
um pr„ton H
+
) para cada 10.000.000 mol‚culas n…o dissociadas.
Desta forma, a concentra†…o de H
+
na ƒgua ‚ de:
1/10.000.000 ou 0,0000001 ou 1/10
7
ou 1x10
-7
ou 1nEq/l
Portanto, a concentra†…o de hidrog€nio em uma solu†…o
que s„ cont‚m ƒgua ‚ de 0,0000001 ou 1x10
-7
.
Entretanto, ‚ dif•cil para a nossa mente imaginar um
n‰mero t…o pequeno como ‚ a rela†…o de dissocia†…o dos
pr„tons de ƒgua. Por isso, o pH foi criado. O pH nada mais ‚ que
uma fun†…o logar•timica inversa (negativa) da concentra†…o de
hidrog€nio. Sua utiliza†…o serve para facilitar a compreens…o e
compara†…o destes n‰meros muito pequenos, utilizando-se o
logaritmo negativo da concentra†…o de H
+
.
Desta forma, jogando-se o valor de dissocia†…o da ƒgua
na fun†…o logar•tmica do pH, teremos: pHH2o =-log1010
-7
= 7.
Portanto, sendo a ƒgua uma subst‡ncia neutra, o pH=7
(que representa uma concentra†…o de •ons hidrog€nio de 1x10
-7
dissolvidos em ƒgua), para a qu•mica, representa um ponto
neutro na escala de pH. Todavia, para a bioqu•mica, este valor
pode ser aumentado a um intervalo (7,35 – 7,45), como veremos
mais adiante.
SISTEMAS TAMPÃO E EQUILÍBRIO ÁCIDO-BÁSICO
A concentração de hidrogênio no plasma ‚ determinada pela rela†…o entre o di„xido de carbono (CO2) e o
bicarbonato (HCO3
-
), nesta ordem. Esta rela†…o ‚ expressa pela equação de Henderson, sendo ela:
[H
+
]sangue = 24 x pCO2 / HCO3
-
 pH = 7,4 representa uma concentra†…o de H
+
de 40 nanomol/L
 pH = 7,1 representa uma concentra†…o de H
+
de 80 nanomol/L
Portanto, utilizando-se esta f„rmula, toda vez que tivermos um aumento da press…o parcial de CO2 (pCO2 ou
PaCO2), observamos um aumento das concentra†ˆes de H
+
; toda vez que tivermos um aumento do HCO3
-
, observamos
uma diminui†…o dos •ons H
+
. Portanto, a concentra†…o de hidrog€nio ‚ diretamente proporcional Œ pCO2 e indiretamente
proporcional Œs concentra†ˆes de bicarbonato.
Arlindo Ugulino Netto – MEDICINA DE URG•NCIA – MEDICINA P8 – 2011.1
90
Entretanto, quando se quer determinar o pH do plasma, devemos inverter a relação previamente vista
(partindo-se do pressuposto que o pH é uma relação inversa da concentração de hidrogênio), fazendo uso da fórmula
de Henderson-Hasselbach. Com isso, temos:
pHsangue= 6,10 x log___HCO3____
0,03 x pCO2
Embora esta fórmula pareça complicada, ela nos permite tirar importantes conclusões acerca do pH sanguíneo,
representando o principal conceito do equilíbrio ácido-básico do plasma: o pH plasmático depende da relação
bicarbonato/CO2, de modo que, toda vez em que ocorrer aumento da pCO2, observamos uma queda no pH (acidemia,
com consequente aumento da concentração de hidrogênio) e toda vez em que ocorrer aumento do bicarbonato,
observamos aumento no pH (alcalemia, com consequente redução da concentração de hidrogênio); o inverso é
verdadeiro. Isso pode ser explicado pelo fato de que tais substâncias se interconvertem continuamente, de acordo com a
reação química abaixo:
HCO3
-
+ H
+
H2CO3 CO2 + H2O
ou, simplesmente:
HCO3
-
+ H
+
CO2 + H2O
Este é, portanto, o sistema bicarbonato-CO2, o principal sistema tampão do organismo, tendo ele o objetivo de
evitar variações bruscas do pH sanguíneo, funcionando através deste mecanismo de interconversão. Perceba, com isso,
que o bicarbonato é a base do sistema, pois consome íons H
+
(e quanto maior for a sua concentração no sangue, menor
a presença de H
+
, aumentando o pH), enquanto que o CO2 funciona como ácido, já que libera o H
+
, após se transformar
em ácido carbônico, por ação da anidrase carbônica das hemácias circulantes.
TIPOS DE ÁCIDO
Basicamente, os ácidos produzidos no organismo podem ser classificados em carbônicos e não-carbônicos.
Desta forma, temos:
Tipo de ácido Carbônico Não-carbônico
Origem Carboidratos, gorduras Proteínas
Taxa de produção Alta (15000 mmol/dia) Baixa (50 a 100 mmol/dia)
Rota de eliminação Pulmões Rins
Exemplos H2CO3 HCl, NH4, H2PO4
MANUTEN‚„O DO EQUIL‡BRIO …CIDO-B…SICO
Para a manutenção do equilíbrio ácido-básico, a quantidade de ácidos (e bases) que entra no organismo deve
ser a mesma que é eliminada.
Isso é importante pois, de forma basal, apresentamos em nosso organismo uma carga definida de ácidos e
bases. Entretanto, constantemente, reações metabólicas e outros mecanismos (alimentação, patologias, isquemias, etc.)
continuam produzindo mais substâncias ácidas e básicas que tendem a quebrar o equilíbrio. Isto é evitado através da
eliminação desses novos ácidos e bases, garantindo a manutenção do equilíbrio.
Portanto, o organismo está, continuamente,
lutando para manter o equilíbrio ácido-básico, eliminando
o excesso de ácidos e bases. Esta eliminação pode ser
dar pelos pulmões ou pelos rins. Em resumo, temos:
 Fatores sanguíneos reagem com os ácidos e as
bases produzidas em excesso a partir do
metabolismo celular;
 Os pulmões respondem às mudanças do
equilíbrio sanguíneo alterando as taxas de
excreção de ácido (CO2) para o meio externo,
aumentando ou diminuindo a frequência
respiratória.
 Os rins respondem às mudanças de equilíbrio
sanguíneo alterando a excreção de ácidos e
bases pela urina.
Arlindo Ugulino Netto – MEDICINA DE URG•NCIA – MEDICINA P8 – 2011.1
91
NOMENCLATURA
Para dar continuidade a este capítulo, faz necessário definir o emprego de alguns sufixos referentes a este
assunto:
 -EMIA: concentração no sangue.
 Acidemia: pH sanguíneo baixo.
 Alcalemia: pH sanguíneo elevado.
 -OSE: processo patológico.
 Acidose: processo patológico em que existe adição de ácidos no sangue.
 Alcalose: processo biológico caracterizado pelo aumento de bases no sangue.
DEFINI‚„O DOS DISTŽRBIOS …CIDO-B…SICOS
Como vimos até agora, o organismo tenta manter o pH plasmático em uma faixa de normalidade muito estreita,
que gira em torno de 7,35 a 7,45.
Os distúrbios ácido-básicos são caracterizados por alterações deste valor de pH. Os distúrbios que levam à
redução do pH plasmático (acidemia) causam a chamada acidose. Os distúrbios ácido-básicos que levam ao aumento
do pH plasmático (alcalemia) causam a chamada alcalose.
Quando o distúrbio faz com que os valores de pH alcancem determinados extremos (aproximadamente 6,85 a
7,95), o dano celular passa a ser irreversível, caracterizando a morte celular, uma vez que as reações químicas em nível
celular estarão, em boa parte, desativadas.
FISIOLOGIA DO SISTEMA TAMP„O
Como vimos anteriormente, o principal sistema tampão do compartimento extra-celular e do plasma é o sistema
bicarbonato-dióxido de carbono. Nele, o HCO3
-
funciona como base, e o CO2 como ácido. Esta é a reação química
que rege o tamponamento extracelular:
(rins) HCO3
-
+ H
+
H2CO3 H2O + CO2 (pulmões)
O excesso de H
+
é tamponado pelo HCO3
-
, formando H2CO3 (ácido carbônico) que, então, é prontamente
dissociado a CO2 + H2O pela enzima anidrase carbônica presente nas hemácias circulantes. Este mecanismo não
impede, mas ameniza as variações do pH plasmático nos distúrbios ácido-básicos.
O pH plasmático depende diretamente da relação base/ácido do sistema tampão, isto é, da relação HCO3/CO2.
Por isso, o excesso de H
+
, ao consumir HCO3 na reação do tamponamento, reduz a relação HCO3/CO2, fazendo cair o
pH do plasma (por isso que podemos usar o CO2 como uma relação direta com o H
+
: quanto mais CO2 no sangue, maior
a concentração de H
+
e menor é o pH). É o que acontece, por exemplo, na acidose metabólica. Por outro lado, a perda
de H
+
é reposta pela CO2, que segue a reação de formação de HCO3 e, portanto, aumenta a relação HCO3/CO2, fazendo
o pH plasmático elevar-se. É o que ocorre na alcalose metabólica.
Embora seja um sistema bastante funcional (ver OBS
1
), a eficácia do sistema tampão extracelular é limitada.
Após 2-3 horas, as células e os ossos passam a contribuir, causando alterações nestas estruturas.
OBS
1
: Para se ter uma ideia do funcionamento do sistema bicarbonato-dióxido de carbono para o equilíbrio ácido-básico
do sangue, atente ao seguinte experimento: estudiosos, fazendo uso de um recipiente contendo água (pH = 7),
gotejaram ácido clorídrico dentro deste recipiente durante 90 minutos; depois deste prazo, mediu-se o pH da água, que
se mostrava pH = 1, 94. O mesmo experimento foi, então, feito com o sangue: gotejaram ácido clorídrico, durante 90
minutos, em um recipiente com sangue na mesmo volume e temperatura da água utilizada no outro experimento. Depois
desse tempo, o pH do sangue, que era de 7,44, caiu para apenas 7,14.
OBS
2
: Além do tampão bicarbonato-CO2, existem diversas outras
substâncias que contribuem para o tamponamento no sangue e interstício. A
hemoglobina das hemácias e algumas proteínas plasmáticas são os
principais exemplos. Juntamente com o bicarbonato, constituem o total de
bases (buffer base) presente no fluido extracelular.
Arlindo Ugulino Netto – MEDICINA DE URG•NCIA – MEDICINA P8 – 2011.1
92
Para exemplificar o funcionamento deste sistema, tomemos como base um dist‰rbio patol„gico qualquer, que
esteja produzindo uma grande concentra†…o de H
+
. Frente a esta produ†…o excessiva de pr„tons, o bicarbonato
circulante (HCO3
-
) passa a se ligar a estes •ons e formar ƒcido carb•nico (H2CO3). Este ƒcido carb•nico sofrerƒ
dissocia†…o em H2O (eliminada pelos rins) e CO2 (eliminada pelos pulmˆes).
REGULA‚„O RESPIRAT†RIA DO PH
Como vimos no que diz respeito Œ rea†…o do
sistema tamp…o bicarbonato-di„xido de carbono, a partir
do momento em que hƒ uma grande produ†…o de H
+
, este
excesso se liga ao HCO3 e forma o ƒcido carb•nico, o
qual sofre dissocia†…o (pela anidrase carb•nica) para
formar H2O e CO2.
A expira†…o pulmonar de CO2 ‚ equilibrada pela
pr„pria produ†…o de CO2 do organismo. Este gƒs ‚
produzido continuamente pelas c‚lulas e difunde-se
livremente para o sangue, para ser eliminado pelos
pulmˆes.
Portanto, o CO2 produzido a partir da rea†…o do sistema tamp…o ‚ eliminado atrav‚s da membrana alv‚olo-
capilar, enquanto que a ƒgua ‚ eliminada pelos rins, impedindo a forma†…o de novo ƒcido carb•nico.
Š desta forma que o excesso de ƒcido ‚ regulado pelos pulmˆes – atrav‚s da expira†…o de CO2. Para isso, o
centro respirat„rio deve ser informado via quimioreceptores sobre a varia†…o do pH do sangue. Com isso, quando o pH
do sangue cai (acidemia), o centro respiratório estimula a taquipnéia (eliminando mais CO2); quando o pH do sangue
aumenta (alcalemia), o centro respiratório estimula a bradipnéia (retendo CO2).
A quantidade fisiol„gica dissolvida de CO2 ‚ de 1,2 mol/l (pCO2 = 40 mmHg). E, gra†as a este mecanismo, um
aumento na concentra†…o de H
+
desencadeia um aumento da ventila†…o alveolar, o que diminui o Pco2 e as
concentra†ˆes de H
+
. Por‚m, essa capacidade do pulm…o de realizar um mecanismo respirat„rio de controle do pH tem
efici€ncia de 50 a 75%. Portanto, o equil•brio ƒcido-bƒsico n…o depende t…o somente do pulm…o, mas tanto do pulm…o
quanto dos rins.
OBS
3
: Quando um indiv•duo estƒ sob ventila†…o mec‡nica, obviamente, este mecanismo estarƒ prejudicado (pois a sua
musculatura pulmonar jƒ n…o pode obedecer ao centro respirat„rio mediante as varia†ˆes do pH). Nestas condi†ˆes, o
operador do ventilador artificial pulmonar serƒ o responsƒvel por regular esta fun†…o. Sabendo que existe uma rela†…o
linear entre volume minuto e concentra†…o de CO2 (se, por exemplo, aumentamos o volume minuto em 10%, a pCO2
cairƒ 10%), ‚ poss•vel calcular matematicamente esta rela†…o.
REGULA‚„O RENAL DO PH
Os rins tamb‚m s…o capazes de regular as concentra†ˆes
de ƒcidos e bases no sangue, aumentando ou diminuindo a
excre†…o dos mesmos.
Em n•vel renal, o excesso de CO2 entra na c‚lula tubular e
reage com a ƒgua, formando o ƒcido carb•nico que, por sua vez, se
dissocia em HCO3 e H
+
. Este pr„ton ‚ trocado por um •on Na
+
, que
se junta com o HCO3
-
e forma bicarbonato de s„dio, um produto
neutro, que n…o entra mais na rea†…o para formar CO2 novamente
(lembrando que, para o nosso estudo, CO2 = H
+
). Š atrav‚s deste
mecanismo que os rins eliminam o excesso de ƒcido do organismo –
neutralizando o CO2.
CLASSIFICA‚„O DOS DISTŽRBIOS …CIDO-B…SICOS E MECANISMOS COMPENSAT†RIOS
Como jƒ vimos anteriormente, hƒ duas formas de classificar o desequil•brio na rela†…o ƒcido-bƒsico, a depender
dos valores de pH:
 Quando o pH estƒ diminu•do (↓pH), e esta condi†…o foi decorrente de alguma doen†a, temos uma acidose.
 Acidose metabólica: diminui†…o do pH por algum dist‰rbio no organismo (↓HCO3
-
).
 Acidose respiratória: diminui†…o do pH por algum dist‰rbio pulmonar (↑pCO2).
 Quando o pH estƒ aumentado (↑pH), e esta condi†…o foi decorrente de alguma doen†a, temos uma alcalose.
 Alcalose metabólica: aumento do pH por algum dist‰rbio no organismo (↑HCO3
-
).
 Alcalose respiratória: aumento do pH por algum dist‰rbio pulmonar (↓pCO2).
Arlindo Ugulino Netto – MEDICINA DE URG•NCIA – MEDICINA P8 – 2011.1
93
Estes que acabaram de ser citados, podem configurar um dist‰rbio primƒrio – isto ‚, a causa que caracterizou o
in•cio do desequil•brio. Entretanto, todo dist‰rbio primƒrio gera uma resposta secundƒria compensat„ria. Š importante
salientar que se o dist•rbio prim‡rio for metabŠlico, a resposta secundaria ‹ respiratŠria; e vice-versa. Esta
resposta secundaria tem como objetivo atenuar o efeito do dist‰rbio primƒrio sobre o pH.
Dist•rbio prim‡rio Altera‚ƒo inicial Efeito no pH Resposta Secund‡ria
Acidose metabŠlica ↓ HCO3
-
↓ ↓ pCO2
Alcalose metabŠlica ↑ HCO3
-
↑ ↑ pCO2
Acidose respiratŠria ↑ pCO2 ↓ ↑ HCO3
-
Alcalose respiratŠria ↓ pCO2 ↑ ↓ HCO3
-
Portanto, diante da varia†…o do pH decorrente de um dist‰rbio pulmonar ou renal, o organismo lan†a m…o de
uma resposta secundƒria que realiza o evento contrƒrio, no intuito de atenuar (e n…o corrigir – ver OBS
4
) o dist‰rbio,
mantendo os valores de pH em uma faixa considerada “segura”. Desta forma, se o indiv•duo apresenta acidose em
decorr€ncia de uma doen†a pulmonar (acidose respirat„ria), o rim passa a diminuir a excre†…o de HCO3
-
, aumentando
as suas concentra†ˆes sangu•neas (tendendo a uma alcalose metab„lica compensat„ria).
Hƒ, todavia, um detalhe importante: os dist‰rbios metab„licos s…o mais facilmente corrigidos porque o centro
respirat„rio atua muito mais rapidamente neste equil•brio ƒcido-bƒsico (‚, praticamente, uma resposta instant‡nea, com
altera†ˆes imediatas na frequ€ncia respirat„ria), eliminando ou conservando CO2 com maior facilidade, gerando
respostas respirat„rias ƒvidas para os dist‰rbios metab„licos. Ao contrƒrio disso, para que os dist‰rbios respirat„rios
sejam compensados por respostas metab„licas, ‚ necessƒrio muito mais tempo (pelo menos 2 a 5 dias, a depender da
fun†…o renal atual do indiv•duo).
OBS
4
: Quando referimos que o objetivo da resposta secundƒria ‚ atenuar, e n…o corrigir, significa dizer que ‚
humanamente imposs•vel ao organismo criar artif•cios que debelem e estabilizem o equil•brio ƒcido-bƒsico. Isso porque o
organismo s„ pode fazer uso de suas atuais reservas de HCO3
-
e H
+
para buscar atenuar o dist‰rbio, sendo imposs•vel a
ele criar estes produtos al‚m de suas reservas. Existe, portanto, um limite de compensa‚ƒo, a partir do qual, o
organismo n…o ‚ mais capaz de lan†ar m…o de meios para atenuar o problema. Se o organismo ultrapassa este limite (e
inicia uma suposta corre†…o do dist‰rbio), n…o teremos mais resposta secundƒria compensat„ria, mas sim, um outro
dist‰rbio associado. Š necessƒria, ent…o, a interven†…o m‚dica para corre†…o efetiva do problema.
ACIDOSE OU ACIDEMIA RESPIRAT’RIA: ↑pCO2, ↓pH, ↑HCO3
-
O aumento da pCO2 no sangue desencadeia um aumento na produ†…o de ƒcido carb•nico, o qual vai ser
dissociado em H
+
e HCO3
-
(este tamb‚m aumenta como compensa†…o secundƒria do organismo). O aumento de H
+
sangu•neo causa uma diminui†…o do pH do sangue em um primeiro momento. Portanto, o aumento da pCO2 fala a favor
de acidose; quando associada a uma resposta secundƒria de aumento de HCO3
-
, justificamos uma acidose respirat„ria.
A acidose respirat„ria pode ser aguda (at‚ por volta das primeiras 48 horas) ou cr•nica (depois das primeiras 48
horas de instala†…o), a depender da resposta renal secundƒria.
As seguintes condi†ˆes podem causar acidose respirat„ria:
 Queda do volume minuto (VM=VC+FR) ou
hipoventila†…o. A queda do VM significa,
diretamente, no aumento da PaCO2, o que diminui
o pH.
 Fal€ncia da musculatura respirat„ria.
 Quadros obstrutivos graves.
 Rebaixamento do n•vel de consci€ncia (coma) e
depress…o respirat„ria.
ALCALOSE OU ALCALEMIA RESPIRAT’RIA: ↓pCO2, ↑pH, ↓HCO3
-
A diminui†…o da pCO2 no sangue desencadeia um maior consumo de H
+
(e, consequentemente, maior consumo
de HCO3
-
) para a forma†…o de ƒcido carb•nico, o qual serƒ dissociado no intuito de formar H2O e CO2. O consumo de H
+
aumenta o pH do sangue, provocando a alcalose. Portanto, a diminui†…o da pCO2 fala a favor de alcalose; quando
associada a uma resposta secundƒria de diminui†…o de HCO3
-
, justificamos uma alcalose respirat„ria.
A alcalose respirat„ria pode ser aguda (at‚ por volta das primeiras 48 horas) ou cr•nica (depois das primeiras 48
horas de instala†…o), a depender da resposta renal secundƒria.
As seguintes condi†ˆes podem causar alcalose respirat„ria:
 Aumento do volume minuto. O aumento do VM
significa, diretamente, na diminui†…o da pCO2, o
que aumenta o pH.
 Hiperventila†…o de ansiedade e dor.
 Quadros neurol„gicos.
 Uso de medicamentos salicilatos pode estimular o
centro respirat„rio.
 Psiconeurose (histeria)
 Grandes altitudes: a diminui†…o ambiental da
concentra†…o de O2 provoca um aumento da
frequ€ncia respirat„ria, o que diminui o pCO2 e,
consequentemente, aumenta o pH.
Arlindo Ugulino Netto – MEDICINA DE URG•NCIA – MEDICINA P8 – 2011.1
94
ACIDOSE OU ACIDEMIA METAB’LICA: ↓HCO3
-
, ↓pH, ↓pCO2
A diminui†…o do bicarbonato (HCO3
-
) causa um maior consumo de CO2 para a maior produ†…o de ƒcido
carb•nico e, deste modo, uma maior produ†…o de H
+
, o que diminui o pH. Esta condi†…o causa uma hiperpneia no intuito
de diminuir a pCO2 e tentar compensar este excesso de ƒcido metab„lico.
Portanto, a diminui†…o de HCO3
-
, associada a uma resposta secundƒria que diminua a pCO2, justifica a acidose
metab„lica.
As seguintes condi†ˆes podem causar acidose metab„lica;
 Aumento da produ†…o de ƒcidos metab„licos:
acidose lƒtica, cetoacidose diab‚tica.
 Adi†…o de ƒcidos metab„licos ao corpo por
ingest…o, ou infus…o
 Excre†…o prejudicada de ƒcidos: insufici€ncia
renal.
 Perda de bicarbonato: diarreia (como ocorre na
c„lera), f•stulas enterocut‡neas, tubulopatias.
 Choques s‚pticos e hipovol€micos (devido Œ
acidose causada pela anaerobiose difusa).
 Perda de bases dos l•quidos corporais:
 Acidose tubular renal: defeito na excre†…o
renal de H
+
ou na reabsor†…o de HCO3
-
, ou
de ambos
 Diarr‚ia: perda de grande quantidade de
bicarbonato nas fezes
 V•mitos do conte‰do intestinal
 Diabete mellito: aumento da produ†…o de
ƒcidos metab„licos (ƒcido acetoac‚tico)
 Ingest…o de ƒcido (AAS, ƒlcool met•lico)
 Insufici€ncia renal:  filtra†…o glomerular  
excre†…o de fosfatos e NH4
+
  reabsor†…o
de bicarbonato.
ALCALOSE OU ALCALEMIA METAB’LICA: ↑HCO3
-
, ↑pCO2, ↑pH
O aumento do bicarbonato causa um maior consumo de H
+
para maior produ†…o de CO2 (o que aumenta o
pCO2). O consumo de H
+
aumenta o pH sangu•neo.
Portanto, o aumento de HCO3
-
, associado a uma resposta secundƒria que aumente a pCO2, justifica a alcalose
metab„lica.
Assim como a alcalose respirat„ria, a alcalose metab„lica ‚ uma condi†…o rara, geralmente causada por
medicamentos, e n…o por condi†ˆes org‡nicas. As principais situa†ˆes que cursam com este quadro s…o:
 Perda de ƒcidos fixos: v•mitos de conte‰do
gƒstrico (como ocorre por estenose pil„rica).
 Ingest…o de ƒlcalis (soda cƒustica).
 Alcalose de contra†…o que ocorre na desidrata†…o.
 Excesso de aldosterona: reabsor†…o de s„dio +
secre†…o de H
+
+ reabsor†…o de HCO3
-
+  [K
+
]
 Administra†…o de diur‚ticos (exceto os inibidores
da anidrase carb•nica): FG   Fluxo tubular 
reabsor†…o de s„dio e excre†…o de potƒssio +
secre†…o de H
+
+ reabsor†…o de HCO3
-
.
ALTERA‚ƒES ESPERADAS NOS DISTŽRBIOS …CIDO-B…SICOS
Como vimos anteriormente, diante de altera†ˆes do pH decorrente de um dist‰rbio pulmonar ou renal, o
organismo lan†a m…o de uma resposta secundƒria que realiza o evento contrƒrio, no intuito de atenuar o desequil•brio.
Por meio de f„rmulas matemƒticas, podemos determinar a eficƒcia da resposta secundƒria:
Tabela de Compensa‚ƒo †cido-B‡sico
Dist•rbio prim‡rio Altera‚„es esperadas
Acidose metab„lica pCO2 = 1,5 x HCO3 + (8 £ 2)
Alcalose metab„lica pCO2 = 0,7 x HCO3 + (21 £ 2)
Acidose respirat„ria aguda pH = 7,4 – [0,008 x (pCO2 – 40)]
Acidose respirat„ria cr•nica pH = 7,4 – [0,003 x (pCO2 – 40)]
Alcalose respirat„ria aguda pH = 7,4 + [0,008 x (40 – pCO2)]
Alcalose respirat„ria cr•nica pH = 7,4 + [0,017 x (40 – pCO2)]
Veremos mais adiante os valores gasom‚tricos normais para todas essas variƒveis. Entretanto, jƒ
exemplificando o efeito ben‚fico da compensa†…o respirat„ria sobre o pH, observemos o seguinte quadro (os valores de
pH foram calculados a partir da equa†…o de Henderson-Hasselbach):
Status ‡cido-b‡sico HCO3
-
pCO2 pH Coment‡rios
Normal 24 40 7,40 A
Acidose metab„lica 9 22 7,23 B
Ac. Met. + Ac. Resp. 9 40 6,98 C
Ac. Met. + Alc. Resp. 9 15 7,40 D
Arlindo Ugulino Netto – MEDICINA DE URG•NCIA – MEDICINA P8 – 2011.1
95
A. Para que o pH gire em torno de 7,40 segundo a equação de Henderson-Hasselbach, é necessário que os
valores de HCO3
-
seja de 24mEq/L e de pCO2 seja de 40mmHg. Este valor de pH está dentro de uma faixa
normal, assim como de HCO3
-
e de pCO2.
B. Na acidose metabólica, o distúrbio primário é caracterizado pela perda de HCO3
-
, o que ativa a resposta
secundária caracterizada pela diminuição da pCO2 (com aumento da frequência respiratória). No exemplo, o
HCO3
-
é de 9 (reduzido) e o pCO2 é de 22 (reduzido); mesmo assim, tal resposta não eliminou completamente a
acidose, mas ainda deixa a faixa de pH em valores seguros. Isso ocorre porque as alterações dos níveis de
HCO3
-
e pCO2 foram proporcionais.
C. Neste exemplo, com o mesmo HCO3
-
de 9, a pCO2, ao invés de diminuir, aumentou para 40. Isso significa que o
pulmão não está eliminando do CO2 que ele deveria estar. Por esta razão, neste caso, tem-se dois distúrbios:
acidose metabólica e acidose respiratória associados (um distúrbio misto).
D. Neste exemplo, com o mesmo HCO3
-
de 9, mas ao contrário dos demais exemplos, o pulmão eliminou de forma
exagerada o pCO2 (até mesmo mais do que deveria), de modo que seus valores caíram para 15mmHg. Note,
inclusive, que o pH normalizou, o que caracteriza um distúrbio (uma vez que, como vimos na OBS
4
, o papel do
organismo é atenuar, e não corrigir o distúrbio). Por esta razão, neste caso, tem-se uma acidose metabólica
associada a uma alcalose respiratória (distúrbio associado).
Diante desses exemplos, ratificando o que foi dito na OBS
4
, nós não devemos esperar que o organismo corrija,
por si só, o desequilíbrio ácido-básico. Não é necessário, portanto, que o organismo bole uma resposta para normalizar
o pH, mas sim, uma resposta matematicamente compatível com as fórmulas referentes às alterações esperadas
(disponíveis na Tabela de Compensação Ácido-Básico).
Portanto, com base nas equações da Tabela de Compensação Ácido-Básico, e tomando o exemplo da acidose
metabólica relatada a pouco, se os valores de pCO2 não tiverem matematicamente inclusos no intervalo calculado e
esperado para os valores de HCO3
-
, significa dizer que o organismo apresenta outro distúrbio, além dessa acidose
metabólica. Veremos, então, o porquê que, no exemplo B, a resposta foi adequada:
Sabendo que o distúrbio se trata de uma acidose metabólica, temos a seguinte fórmula matemática:
pCO2 = 1,5 x HCO3 + (8 ± 2)
Desta forma, para valores de HCO3
-
de 9mEq/l, temos:
pCO2 = 1,5 x 9 + (8 ± 2)
pCO2 = 13,5 + 8 (± 2)
pCO2 = 21,5 ± 2
Com isso, consideramos normal a resposta secundária a esta acidose metabólica quando os valores de pCO2
estiverem entre 19,5 e 23,5, como é o caso do exemplo B, mesmo que o pH não esteja em uma faixa normal (pois o
organismo já teria alcançado seu objetivo de atenuar o desequilíbrio). No exemplo C, os valores de pCO2 estão acima
deste intervalo (caracterizando uma acidose respiratória associada); no exemplo D, os valores de pCO2 estão abaixo
deste intervalo (caracterizando uma alcalose respiratória associada).
Portanto, a conclusão importante que tiramos é: o pH não é o nosso guia principal para determinar a
compensação da resposta, mas sim, a relação matemática adequada entre os valores de pCO2 e de HCO3
-
, a
depender da Tabela de Compensação Ácido-Básico. Por esta razão, para interpretar uma gasometria arterial, é
fundamental identificar o tipo de distúrbio primário (e se há uma resposta secundária) para, então, poder utilizar as
fórmulas disponíveis na Tabela de Compensação Ácido-Básico.
RESPOSTA COMPENSATÓRIA NOS DISTÚRBIOS METABÓLICOS
Como vimos anteriormente, esta reposta tem início quase imediato
(em minutos). A variação o pH plasmático é captada por sensores de pH
presentes no arco aórtico (quimioceptores), modulando impulsos aferentes
pelo nervo vago, que chegam ao centro respiratório bulbar.
A redução do pH nas acidoses metabólicas agudas estimula o
centro respiratório, levando à hiperventilação (respiração de Kussmaul).
A hiperventilação elimina mais CO2, reduzindo a pCO2. O aumento do pH
na alcalose metabólica inibe o centro respiratório, promovendo
hipoventilação. O resultado é a retenção de CO2, aumentando a pCO2.
Apesar de bastante eficaz, este tipo de resposta compensatória
não é perfeito, não evitando que o pH varie de forma perigosa nos
distúrbios metabólicos graves.
RESPOSTA COMPENSATÓRIA NOS DISTÚRBIOS RESPIRATÓRIOS
Esta resposta é mais lenta, demorando 2-5 dias para se iniciar, pois depende da função renal. A título de
informação, o pH das células tubulares acompanha o pH plasmático.
Arlindo Ugulino Netto – MEDICINA DE URG•NCIA – MEDICINA P8 – 2011.1
96
Na acidose respirat„ria cr•nica, o pH das c‚lulas encontra-se baixo, estimulando a excre†…o de H
+
e a reten†…o
de HCO3
-
. O exemplo clƒssico de acidose respirat„ria cr•nica ‚ o paciente com DPOC em fase avan†ada – retentor
cr•nico de CO2. A gasometria destes pacientes apresenta um pH no limite inferior da normalidade, mas uma pCO2 muito
alta acompanhada de um HCO3
-
bastante elevado (Ex: pH = 7,34; pCO2=80mmHg; HCO3=38mEq/L).
Na alcalose respirat„ria cr•nica, o pH das c‚lulas esta alto, reduzindo a excre†…o renal de H
+
e promovendo a
perda de HOC3
-
.
BUFFER BASE E BASE EXCESS
O Buffer Base (BB) ‚ o total de bases presente no fluido extracelular do paciente. Pode ser representado como
BBecf (ecf ‚ a abreviatura de extracelular fluid – aqui, o termo “fluido extracelular” inclui o interst•cio, o plasma e as
hemƒcias). O bicarbonato ‚ a principal, mas n…o ‚ a ‰nica base deste compartimento. O BB pode ser, ent…o,
interpretado como o “total de bases” e serve para cƒlculo do base excess.
O Base Excess (BE) ‚ a diferen†a entre o BB do paciente e o BB normal (48mEq/L). Pode ser representado
como BEecf. Sua utilidade pode ser explicada da seguinte forma:
 Se o BE for positivo e maior que 2,0mEq/L, significa dizer que existe um aumento do total de bases, isto ‚, o
organismo estƒ retendo bases, devido a um dist‰rbio metab„lico primƒrio (alcalose metab„lica) ou
compensat„rio (reten†…o renal de HCO3
-
para compensar o aumento da pCO2 de uma acidose respirat„ria
cr•nica).
 Se o BE for negativo, mais negativo do que -2,0mEq/L, significa que houve uma redu†…o do total de bases, ou
seja, o organismo perdeu bases, devido a um dist‰rbio metab„lico primƒrio (acidose metab„lica) ou
compensat„rio (excre†…o renal de HCO3
-
para compensar a diminui†…o da pCO2 de uma alcalose respirat„ria
cr•nica).
Portanto, os valores normais de BE s…o -2,0 a +2,0 mEq/L (alguns autores consideram -3,0 a +3,0mEq/L). O BE
‚ calculado a partir de uma f„rmula matemƒtica determinada pela maioria dos aparelhos de gasometria na atualidade. O
BE n…o se altera nos dist‰rbios respirat„rios agudos, pois n…o hƒ tempo hƒbil para a resposta compensat„ria renal.
Em resumo, o base excess ‚ uma varia†…o total de bases, sendo positivo quando estas se acumulam (alcalose
metab„lica e resposta compensat„ria da acidose respirat„ria), e negativo quando hƒ d‚ficit de base (acidose metab„lica
e resposta compensat„ria da alcalose respirat„ria cr•nica). Em outras palavras, tomando agora um conceito mais
t‚cnico: o BE corresponde Œ quantidade de base, expressa em mEq/L que se deve acidionar ao plasma para alcan†ar
um pH de 7,40, quando a pCO2 for de 40mmHg e a temperatura de 37
o
C. Sabendo que seu valor normal ‚ entre -2,0 e
+2,0, temos:
 BE +  Alcalose metab„lica
 BE -  Acidose metab„lica
GASOMETRIA ARTERIAL E MONITORIZA‚„O DO EQUIL‡BRIO …CIDO-B…SICO
Por defini†…o, a gasometria consiste na leitura do pH e das pressˆes parciais de O2 e CO2 a partir de uma
amostra de sangue. A leitura ‚ obtida pela compara†…o desses par‡metros na amostra com os padrˆes internos do
gas•metro. Os principais par‡metros cl•nicos a serem avaliados no teste s…o: oxigena†…o e equil•brio ƒcido-bƒsico (pH,
base excess, HCO3
-
e pCO2).
A amostra ser de sangue arterial ou venoso se a gasometria for arterial ou venosa, respectivamente. Para
avalia†…o da performance pulmonar, deve ser sempre obtido sangue arterial, pois esta amostra informarƒ a respeito da
hematose e permitirƒ o cƒlculo do conte‰do de oxig€nio que estƒ sendo oferecido aos tecidos. No entanto, se o objetivo
for avaliar apenas a parte metab„lica, isso pode ser feito atrav‚s de uma gasometria venosa.
A mensura†…o das tensˆes gasosas ‚ o teste respirat„rio por excel€ncia, jƒ que a manuten†…o da homeostase
gasom‚trica e ƒcido-bƒsica ‚ a principal fun†…o pulmonar. Portanto, a gasometria arterial tem como principais objetivos:
 Identificar os principais dist‰rbios ƒcido-bƒsico e suas respectivas compensa†ˆes.
 Explicar fisiopatologia e comportamento da curva de dissocia†…o da hemoglobina no paciente em quest…o.
 Interpreta†…o de gasometria.
GASOMETRIA NORMAL
Variáveis Gasometria arterial normal Gasometria venosa normal
pH 7,35 – 7,45 7,33 – 7,43
pCO2 35 – 45 mmHg 38 – 50 mmHg
HCO3
-
22 – 26 mEq/L 23 – 27 mEq/L
Base excess £ 2 mEq/L £ 2 mEq/L
pO2 80 – 100 mmHg 30 – 50 mmHg
Arlindo Ugulino Netto – MEDICINA DE URG•NCIA – MEDICINA P8 – 2011.1
97
REGRAS PARA INTERPRETAÇÃO DA GASOMETRIA (REGRA DE PAUL MARINO)
A interpreta†…o da gasometria pode ser feita de maneira simples, se o m‚todo seguir alguns passos bƒsicos. Em
resumo, o diagn„stico do dist‰rbio ƒcido-bƒsico pela gasometria necessita, basicamente, de tr€s par‡metros: pH, pCO2 e
HCO3
-
. Os outros elementos dados pelo m‚todo (HCO3
-
standard e o BEecf, principalmente) auxiliam no diagn„stico, mas
n…o s…o t…o essenciais.
Passo 1. Identificar o dist‰rbio ƒcido-bƒsico primƒrio.
1.1. Um dist‰rbio ƒcido-bƒsico estƒ presente se a pCO2 ou o pH ou ambos estiverem fora da faixa normal
(portanto, pH normal ou pCO2 normal n…o excluem a presen†a de desequil•brio ƒcido-bƒsico; se os dois
tiverem normais, exclui-se a hip„tese de desequil•brio).
1.2. Se o pH e a pCO2 s…o ambos anormais, compare a dire†…o das mudan†as. Se ambos se alteram na
mesma dire†…o (aumento ou decr‚scimo) a desordem primaria ‚ metab„lica. Se forem em dire†ˆes
opostas, a desordem primaria ‚ respirat„ria. Em resumo, temos:
 ↑pH e ↑pCO2  Alcalose metab„lica.
 ↓pH e ↓pCO2  Acidose metab„lica.
 ↑pH e ↓pCO2  Alcalose respirat„ria
 ↓pH e ↑pCO2  Acidose respirat„ria
1.3. Se o pH for normal e a pCO2 anormal ou vice-versa, hƒ uma desordem metab„lica e respirat„ria associada
(uma ‚ acidose e a outra ‚ alcalose), pois n…o se espera que o organismo corrija, por si s„, o dist‰rbio. Se
o pH ‚ normal, a dire†…o na mudan†a da pCO2 identifica a desordem primƒria respirat„ria. Se a pCO2 ‚
normal, a dire†…o da mudan†a no pH identifica a desordem primƒria metab„lica.
 ↑pH e pCO2 normal  Alcalose metab„lica.
 ↓pH e pCO2 normal  Acidose metab„lica.
 pH normal e ↑pCO2  Acidose respirat„ria
 pH normal e ↓pCO2  Alcalose respirat„ria
Passo 2. Avaliar as respostas compensat„rias (Respostas Secundƒrias).
2.1. Se hƒ uma acidose ou alcalose metab„lica primƒria, use o bicarbonato s‚rico nas equa†ˆes da Tabela de
Compensa†…o ¤cido-Bƒsico para identificar a pCO2 esperada:
 Se as pCO2 medida e esperada s…o equivalentes, a condi†…o estƒ completamente compensada, e o
dist‰rbio ‚ uma acidose/alcalose metab„lica “pura”.
 Se a pCO2 medida ‚ maior do que a esperada, hƒ uma acidose respirat„ria associada ou mista.
 Se a pCO2 medida ‚ menor do que a esperada, hƒ uma alcalose respirat„ria associada ou mista.
2.2. Se hƒ uma acidose ou alcalose respirat„ria primƒria, use a pCO2 nas equa†ˆes da Tabela de Compensa†…o
¤cido-Bƒsico para calcular o pH esperado.
 Se o pH medido e esperado forem exatamente iguais, a condi†…o estƒ completamente compensada, e o
dist‰rbio ‚ uma acidose/alcalose respirat„ria “pura”.
 Se o pH medido for maior que o esperado, hƒ uma alcalose metab„lica associada ou mista.
 Se o pH medido for menor que o esperado, hƒ uma acidose metab„lica associada ou mista.
OBS
5
: Para alguns autores, a presen†a de dois dist‰rbios pode caracterizar um distúrbio misto (casos 7 e 8) ou um
distúrbio associado (casos 9 e 10). De uma forma geral, temos:
 Distúrbio misto: associa†…o de dist‰rbios com as mesmas caracter•sticas de pH (Ac. metab„lica + Ac.
respirat„ria ou Alc. metab„lica + Alc. respirat„ria), trazendo, geralmente, grandes altera†ˆes no pH.
 Distúrbio associado: associa†…o de dist‰rbios com caracter•sticas de pH diferentes (Acidose + Alcalose),
normalizando, geralmente, o valor do pH do sangue (muito embora, o pCO2 e o HCO3
-
estejam muito alterados).
CASOS CLÍNICOS GERAIS
Para facilitar o treinamento de interpreta†…o da gasometria arterial e, consequentemente, obter um aprendizado
mais imediato, retomemos as tabelas de valores de uma gasometria arterial e a tabela de compensa†…o ƒcido-bƒsico.
Variáveis Gasometria arterial normal
pH 7,35 – 7,45
pCO2 35 – 45 mmHg
HCO3
-
22 – 26 mEq/L
Base excess £ 2 mEq/L
pO2 80 – 100 mmHg
Arlindo Ugulino Netto – MEDICINA DE URG•NCIA – MEDICINA P8 – 2011.1
98
Tabela de Compensação Ácido-Básico
Distúrbio primário Alterações esperadas
Acidose metab„lica pCO2 = 1,5 x HCO3 + (8 £ 2)
Alcalose metab„lica pCO2 = 0,7 x HCO3 + (21 £ 2)
Acidose respirat„ria aguda pH = 7,4 – [0,008 x (pCO2 – 40)]
Acidose respirat„ria cr•nica pH = 7,4 – [0,003 x (pCO2 – 40)]
Alcalose respirat„ria aguda pH = 7,4 + [0,008 x (40 – pCO2)]
Alcalose respirat„ria cr•nica pH = 7,4 + [0,017 x (40 – pCO2)]
OBS
5
: O conjunto cl•nico completo do paciente deve ser avaliado nos casos de dist‰rbios respirat„rios para
determinarmos se seu quadro ‚ agudo ou cr•nico. Para os exemplos a seguir, consideremos qualquer dist‰rbio
respirat„rio como agudo.
Caso 1.
pH arterial = 7,54
pCO2 = 23 mmHg
1.1. Existe dist‰rbio ƒcido-bƒsico, pois se observa um pH alto (7,54
- alcalose) e um pCO2 baixo (23mmHg).
1.2. Como o pH e o pCO2 est…o alterados, devemos observar a
dire†…o da mudan†a: se ambas se alteram em dire†ˆes
opostas, o dist‰rbio ‚ respirat„rio. Portanto, o dist‰rbio em
quest…o ‚ uma alcalose respiratória.
1.3. N…o ‚ necessƒrio realizar este passo, pois nem o pH nem o
pCO2 est…o normais.
2.2. Veremos se a varia†…o de pH estƒ adequada para uma alcalose
respirat„ria aguda (ver OBS5
):
pH = 7,4 + [0,008 x (40 – pCO2)]
pH = 7,4 + [0,008 x (40 – 23)]
pH = 7,54
Como o pH ‚ exatamente igual ao esperado, podemos concluir
que o paciente apresenta uma alcalose respirat„ria “pura” (ou
compensada).
R.: Alcalose respiratória pura.
Caso 2.
pH arterial = 7,32
pCO2 = 23 mmHg
HCO3 s‚rico =15 mEq/l
1.1. Existe dist‰rbio ƒcido-bƒsico, pois se observa um pH baixo
(7,32 - acidose) e um pCO2 baixo (23mmHg).
1.2. Como o pH e o pCO2 est…o alterados, devemos observar a
dire†…o da mudan†a: se ambas se alteram na mesma dire†…o,
que ‚ o caso, a desordem primƒria ‚ metab„lica. Portanto, o
dist‰rbio em quest…o ‚ uma acidose metabólica.
1.3. N…o ‚ necessƒrio realizar este passo, pois nem o pH nem o
pCO2 est…o normais.
2.1. Sendo o dist‰rbio uma alcalose metab„lica, devemos utilizar o
bicarbonato s‚rico nas equa†ˆes da tabela de compensa†…o
para se obter a pCO2 esperada. Desta forma, temos:
pCO2 = 1,5 x HCO3 + (8 £ 2)
pCO2 = 1,5 x 15 + (8 £ 2)
pCO2 = 22,5 + 8 £ 2
pCO2 esperada = 30,5 ± 2
O intervalo esperado ‚: 28,5 < pCO2 < 32,5. Contudo, a pCO2
em quest…o estƒ mais baixa (23mmHg) do que o esperado.
Tem-se, portanto, um dist‰rbio ƒcido-bƒsico secundƒrio,
causado por uma tentativa exagerada do organismo em
compensar o dist‰rbio primƒrio (o que significa que o organismo
estƒ eliminando mais CO2 do que o necessƒrio). Tem-se,
portanto, uma acidose metab„lica (dist‰rbio primƒrio) associada
a uma alcalose respirat„ria (dist‰rbio secundƒrio). Se, ao
contrƒrio, o pCO2 estivesse dentro desta faixa esperada,
ter•amos uma acidose metab„lica “pura” ou compensada.
2.2. N…o ‚ necessƒrio este passo.
R.: Acidose metabólica (distúrbio primário) associada a
uma alcalose respiratória (distúrbio secundário).
Arlindo Ugulino Netto – MEDICINA DE URG•NCIA – MEDICINA P8 – 2011.1
99
Caso 3.
pH = 7,22
pO2 = 70 mmHg
pCO2 = 70 mmHg
HCO3 = 23 mEq
1.1.Existe dist‰rbio ƒcido-bƒsico, pois se observa um pH
baixo (7,22 - acidose) e um pCO2 alto (70mmHg).
1.2.Como o pH e o pCO2 est…o alterados, devemos
observar a dire†…o da mudan†a: se ambas se alteram
em dire†ˆes opostas, o dist‰rbio ‚ respirat„rio.
Portanto, o dist‰rbio em quest…o ‚ uma acidose
respiratória.
1.3.N…o ‚ necessƒrio realizar este passo, pois nem o pH
nem o pCO2 est…o normais.
2.2. Veremos se a varia†…o do pH estƒ adequada para
este exuberante aumento de pCO2:
pH = 7,4 – [0,008 x (pCO2 – 40)]
pH = 7,4 - [0,008 x (70 – 40)]
pH = 7,16
Nota-se que o valor esperado para o pH era de 7,16,
isto ‚: esperava-se uma queda o pH bem maior,
quando comparado a este valor de pCO2. Portanto,
tem-se uma alcalose metab„lica secundƒria (pois o pH
medido ‚ maior do que o esperado). Se, ao contrƒrio,
o pH medido fosse de 7,16, tinha-se apenas uma
acidose respirat„ria “pura” (ou compensada).
R.: Acidose respiratória (distúrbio primário) associada
a uma alcalose metabólica (distúrbio secundário).
Caso 4.
pH 7,26
pCO2 = 68 mm Hg
pO2 = 53 mm Hg (90%)
HCO3 = 41 mEq
1.1.Existe dist‰rbio ƒcido-bƒsico, pois se observa um pH
baixo (7,26 - acidose) e um pCO2 alto (68mmHg).
1.2.Como o pH e o pCO2 est…o alterados, devemos
observar a dire†…o da mudan†a: se ambas se alteram
em dire†ˆes opostas, o dist‰rbio ‚ respirat„rio.
Portanto, o dist‰rbio em quest…o ‚ uma acidose
respiratória.
1.3.N…o ‚ necessƒrio realizar este passo, pois nem o pH
nem o pCO2 est…o normais.
2.2. Veremos se a varia†…o do pH estƒ adequada para
este exuberante aumento de pCO2:
pH = 7,4 – [0,008 x (pCO2 – 40)]
pH = 7,4 - [0,008 x (68 – 40)]
pH = 7,17
Nota-se que o valor esperado para o pH era de 7,17,
isto ‚: esperava-se uma queda o pH bem maior,
quando comparado a este valor de pCO2. Portanto,
tem-se uma alcalose metab„lica secundƒria (pois o pH
medido ‚ maior do que o esperado).
R.: Acidose respiratória (distúrbio primário) associada
a uma alcalose metabólica (distúrbio secundário).
Arlindo Ugulino Netto – MEDICINA DE URG•NCIA – MEDICINA P8 – 2011.1
100
Caso 5.
pH = 7,52
pCO2 = 20mmHg
HCO3 = 16mEq/l
 pH alto; pCO2 baixo; HCO3 baixo  Alcalose
respirat„ria.
 pH = 7,4 + [0,008 x (40 – pCO2)]
pH = 7,4 + 0,16  pH esperado = 7,56
R.: Alcalose respiratória associada a uma acidose
metabólica.
Caso 6.
pH = 7,30
pCO2 = 27mmHg
HCO3 = 13mEq/l
 pH baixo; pCO2 baixo; HCO3 baixo  Acidose
metab„lica.
 pCO2 = 1,5 x HCO3
-
+ (8 £ 2)
pCO2 = 19,5 + 8 (£ 2)  pCO2 esperado = 27,5 ± 2
R.: Acidose metabólica pura (compensada).
Caso 7.
pH = 7,05
pCO2 = 55mmHg
HCO3 = 15mEq/l
 pH baixo; pCO2 alto; HCO3 baixo  Ac. respirat„ria.
 pH = 7,4 - [0,008 x (pCO2 - 40)
pH = 7,4 – 0,12  pH esperado = 7,28
R.: Acidose mista (Ac. Respiratória + Ac. Metabólica)
Caso 8.
pH = 7,80
pCO2 = 48mmHg
HCO3 = 50mEq/l
 pH alto; pCO2 alto; HCO3 alto  Alc. metab„lica.
 pCO2 = 0,7 + HCO3
-
+ (21 £ 2)
pCO2 = 35 + 21 (£ 2)  pCO2 esperado = 56 ± 2
R.: Alcalose mista (Alc. Metabólica + Alc. Respiratória)
Caso 9.
pH = 7,42
pCO2 = 19mmHg
HCO3 = 12mEq/l
 pH normal; pCO2 baixo; HCO3 baixo 
Alc.respirat„ria.
 pH = 7,4 + [0,008 x (40 - pCO2)
pH = 7,4 + 0,17  pH esperado = 7,57
R.: Alcalose respiratória associada a uma acidose
metabólica.
Caso 10.
pH = 7,42
pCO2 = 60mmHg
HCO3 = 38mEq/l
 pH normal; pCO2 alto; HCO3 alto  Ac. respirat„ria.
 pH = 7,4 - [0,008 x (pCO2 - 40)
pH = 7,4 + 0,16  pH esperado = 7,24
R.: Acidose respiratória associada a uma alcalose
metabólica.
Arlindo Ugulino Netto – MEDICINA DE URG•NCIA – MEDICINA P8 – 2011.1
101
TRATAMENTO
O tratamento dos dist‰rbios ƒcido-bƒsicos ‚ extremamente importante, principalmente quando partimos do
pressuposto que altera†ˆes do pH plasmƒtico podem refletir no pH intracelular, levando a disfun†…o de vƒrias enzimas
celulares, o que pode implicar em altera†ˆes do metabolismo, na hemodin‡mica e na resposta do paciente a
interven†ˆes que venham a ser utilizadas em diversos tratamentos.
Neste momento, faremos apenas uma breve defini†…o quando ao respectivo dist‰rbio ƒcido-bƒsico e
abordaremos, logo em seguida, no†ˆes gerais de tratamento.
ACIDOSE METABÓLICA
A acidose metab„lica “pura” ‚ definida por um HCO3
-
< 22mEq/L e um pH<7,35. Š um dist‰rbio muito comum na
prƒtica m‚dica e possui uma infinidade de causas.
Para o adequado tratamento e corre†…o da acidose metab„lica, ‚ fundamental e mandat„rio o diagn„stico de
sua etiologia. Antes do tratamento, devemos, portanto, investigar se estamos diante de uma acidose lƒtica, cetoacidose
diab‚tica, insufici€ncia renal grave, etc. Um lactato plasmƒtico de 2,5mMol/L confirma o diagn„stico da acidose lƒtica. A
pesquisa da glicemia e corpos cet•nicos na urina (ceton‰ria) ‚ importante para a confirma†…o da cetoacidose diab‚tica e
alco„lica.
Al‚m do tratamento da causa de base, frequentemente faz-se necessƒria uma reposi†…o ex„gena de bases,
sendo a mais utilizada o bicarbonato de s„dio (NaHCO3). Š de extrema import‡ncia para o m‚dico conhecer as
situa†ˆes em que realmente estƒ indicada esta reposi†…o e as situa†ˆes nas quais ela n…o estƒ indicada (a
hipocalcemia, por exemplo, contra-indica a reposi†…o).
ALCALOSE METABÓLICA
A alcalose metab„lica “pura” ‚ definida por um HCO3>26mmEq/L e um pH>7,45. Š um dist‰rbio frequente na
prƒtica m‚dica e tem como principais causas os v•mitos e uso de diur‚ticos tiaz•dicos ou de al†a.
O tratamento da alcalose metab„lica ‚ importante pois, al‚m de predispor a dist‰rbios mais graves, como a
hipocalemia, a alcalose metab„lica grave pode ter repercussˆes cl•nicas diretas (vasoconstric†…o cerebral, tetania,
parestesias, excitabilidade card•aca, hipoventila†…o pulmonar compensat„ria, aumento da produ†…o de lactato, etc.).
Para o tratamento, na prƒtica, ‚ necessƒrio permitir que o rim do paciente elimine todo o excesso de bicarbonato.
Um rim normal pode o fazer em 3-5 dias. Em algumas situa†ˆes, ‚ necessƒrio um manejo espec•fico:
 Nas alcaloses que cursam com deple†…o de volume e cloreto, ‚ necessƒrio garantir ao paciente: (1) manter uma
euvolemia; (2) manter a normocloria; (3) corrigir a deple†…o de cloreto. Para isso, utiliza-se soro fisiol„gico 0,9%,
associado Œ reposi†…o (oral ou venosa) de KCl.
 No paciente hipervol€mico e nas alcaloses n…o responsivas a cloreto, dependendo da gravidade, pode-se tentar
a Acetazolamida (atentar sempre para a hipocalemia que essa droga pode induzir) ou, em casos mais graves ou
que n…o respondem Œ Acetazolamida, devemos proceder com a infus…o de ƒcidos minerais (HCl ou
monoidrocloreto de arginina).
 Pacientes com hiperaldosteronismo ou hipercortisolismo, utilizar K+ e diur‚ticos poupadores de potƒssio, como a
Espironolactona.
ACIDOSE RESPIRATÓRIA
A acidose respirat„ria “pura” ‚ definida por uma pCO2>45mmHg e um pH<7,35. O H
+
que se acumula ‚, por
defini†…o, derivado do CO2. O mecanismo s„ pode ser a hipoventila†…o pulmonar.
A acidose respirat„ria aguda deve ser prontamente revertida, pois as suas consequ€ncias cl•nicas podem ser
grav•ssimas. O paciente costuma evoluir com a s•ndrome da carbonarcose. O CO2 ‚ um potente vasodilatador cerebral
e, quando seus n•veis plasmƒticos tornam-se agudamente altos, o pH liqu„rico e cerebral caem vertiginosamente,
dilatando os vasos cerebrais.
O tratamento efetivo da acidose respirat„ria aguda deve ser a pronta intuba†…o traqueal e ventila†…o mec‡nica,
trazendo-se a pCO2 para o valor ou pr‚vio e, principalmente, o pH para a faixa normal.
A acidose respirat„ria cr•nica n…o precisa ser tratada, quando no estado compensado. A conduta visa apenas o
tratamento da doen†a de base. Quando descompensam, devem ser intubados se houver fadiga respirat„ria ou pH<7,25.
ALCALOSE RESPIRATÓRIA
A alcalose respirat„ria “pura” ‚ definida por uma pCO2<35mmHg e um pH>7,45. O tratamento da alcalose
respirat„ria aguda deve ser rƒpido, pois este dist‰rbio leva de forma instant‡nea Œ vasoconstric†…o cerebral e Œ
s•ndrome do hipofluxo cerebral.
A princ•pio, o tratamento ‚ voltado Œ causa bƒsica – ansiedade, depress…o, sepse, crise asmƒtica, TEP, etc. O
uso de bolsas coletoras de ar ‚ necessƒrio nos casos graves e refratƒrios. O paciente exala o ar na bolsa e inspira uma
fra†…o do ar exalado, rico em CO2. Se estiver em ventila†…o mec‡nica, podemos aumentar o espa†o morto, aumentando
o circuito do respirador.
Arlindo Ugulino Netto – MEDICINA DE URG•NCIA – MEDICINA P8 – 2011.1
102
MED RESUMOS 2011
NETTO, Arlindo Ugulino.
MEDICINA DE URGÊNCIA E TERAPIA INTENSIVA
EDEMA AGUDO DE PULMÃO
(Professor Jorge Fonseca)
Os pulmˆes s…o um dos „rg…os de maior conte‰do aquoso do nosso organismo. Apesar disso, os alv‚olos s…o
mantidos relativamente secos, condi†…o fundamental para a eficƒcia das trocas gasosas.
O edema agudo de pulm…o (EAP) ‚ uma condi†…o
grave, resultando do fluxo aumentado de l•quidos,
provenientes dos capilares pulmonares para o espa†o
intersticial e alv‚olos, que se acumulam nestas regiˆes ao
ultrapassarem a capacidade de drenagem dos vasos
linfƒticos, comprometendo a adequada troca gasosa alv‚olo-
capilar. O aumento do fluxo de flu•dos pelos capilares deve-
se, geralmente, Œ eleva†…o da press…o hidrostƒtica como
ocorre na disfun†…o card•aca aguda ou ao aumento da
permeabilidade, como na s•ndrome do desconforto
respirat„rio.
Portanto, em outras palavras, o EAP representa uma
s•ndrome cl•nica que caracteriza uma emerg€ncia m‚dica,
determinada pelo ac‰mulo anormal de fluidos no
compartimento extravascular pulmonar, resultando em:
 Hipoxemia: decorrente ao aumento da espessura da membrana alv‚olo-capilar, dificultando as trocas gasosas
e, consequentemente, causando baixa oxigena†…o do sangue.
 Aumento do trabalho respirat„rio: a medida em que o interst•cio alveolar ‚ inundado, os pulmˆes tornam-se
mais endurecidos, de modo que a complac€ncia pulmonar diminui e o esfor†o respirat„rio aumenta.
 Diminiu†…o da complac€ncia pulmonar (C=V/P): pela maior resist€ncia Œ expans…o pulmonar.
 Altera†…o da rela†…o ventila†…o-perfus…o: presen†a de ƒreas pulmonares perfundidas, mas pouco ventiladas
(pois, a presen†a de l•quidos dentro dos pulmˆes simula uma condi†…o de shunt pulmonar).
IMPORTˆNCIA EPIDEMIOL†GICA
O EAP representa uma das principais causas de insufici€ncia respirat„ria aguda que motivam a procura da
Emerg€ncia ou Unidade de Terapia Intensiva, sendo, nos Estados Unidos, a primeira causa de procura.
A base fisiopatol„gica do EAP, como veremos mais adiante, estƒ relacionada a um desequil•brio das for†as de
Starling. Fisiologicamente, como se sabe, o ventr•culo esquerdo recebe, de uma forma geral, todo o d‚bito card•aco
oriundo do ventr•culo direito, que antes passa pela circula†…o pulmonar. Na vig€ncia de uma disfun†…o card•aca
esquerda (insufici€ncia ventricular), se instala um aumento de press…o retr„grado a partir do ventr•culo esquerdo para a
circula†…o veno-capilar pulmonar, causando ac‰mulo de l•quidos no interst•cio pulmonar, promovendo, inicialmente, uma
congest…o pulmonar e, em seguida, o edema propriamente dito. Em consequ€ncia disso, a troca gasosa se encontra
prejudicada, promovendo hipoxemia.
Por esta raz…o, diz-se que o EAP ‚ a fase final de um quadro de insuficiência cardíaca, sendo a mais severa
manifestação e a principal causa de morte neste grupo de pacientes (a maioria deles morre, portanto, decorrente de
um edema agudo pulmonar causado por uma fal€ncia miocƒrdica, “afogados em seu pr„prio sangue”).
ETIOLOGIA
Qualquer condi†…o que leve ao aumento da press…o no ƒtrio esquerdo, onde desembocam as veias pulmonares,
pode causar aumento da press…o na circula†…o pulmonar, predispondo ao extravasamento de sangue neste „rg…o. Al‚m
disso, podemos citar disfun†ˆes ventriculares e sobrecarga vol€mica do ventr•culo esquerdo. Desta forma, as principais
condi†ˆes s…o:
 Condições que levam ao aumento da pressão no átrio esquerdo
 Estenose mitral (comum em doen†a reumƒtica cr•nica)
 Mixoma atrial
 Insufici€ncia mitral aguda: disfun†…o isqu€mica, rotura de valva, degenera†…o mixomatosa
 Insufici€ncia mitral cr•nica: doen†a reumƒtica.
OBS1
: Š comum o quadro de mulheres com EAP que se apresentam com o hist„rico de dispn‚ia aos grandes esfor†os durante toda
sua vida mas que, ao engravidar, cursaram com dispn‚ia franca causada pelo edema agudo. Este caso pode ser explicado pela
presen†a pr‚via de estenose mitral em mulheres que, decorrente da hipervolemia fisiol„gica que ocorre na gravidez, descompensam.
Arlindo Ugulino Netto – MEDICINA DE URG•NCIA – MEDICINA P8 – 2011.1
103
 Disfun‚ƒo ventricular sistŠlica: se o ventrículo não é capaz de ejetar seu débito pré-determinado, o aumento
de pressão reflete no átrio e, posteriormente, na circulação pulmonar.
 Cardiopatia isquêmica
 Cardiopatia hipertensiva
 Cardiopatia inflamatória
 Valvopatias crônicas
 Disfun‚ƒo ventricular diastŠlica: caracteriza-se pelo paciente que se apresenta com quadro clínico franco de
EAP, mas cuja radiografia de tórax mostra área cardíaca de dimensões preservadas.
 Cardiopatia hipertrófica
 Cardiopatia restritiva
 Cardiopatia isquêmica
 Cardiopatia hipertensiva
 Sobrecarga vol•mica do ventr•culo esquerdo:
 Insuficiência aórtica
 Rotura do septo interventricular
 Hipervolemia secundária a doença renal
 Obstru‚ƒo da via de sa•da do ventr•culo esquerdo:
 Estenose aórtica
 Emergência hipertensiva
FISIOPATOLOGIA
Em duas condições fisiopatológicas ocorre a inundação dos alvéolos:
 O desequilíbrio das forças que regem as trocas de fluido entre o meio intravascular e o interstício (Lei de Frank-
Starling)
 Alterações da membrana alvéolo-capilar
DESEQUIL‰BRIO DAS FORŽAS DE STARLING
A Lei de Frank-Starling que rege as trocas de fluido entre o
meio intravascular e o interstício é representada pela seguinte
fórmula:
Q = K [(Phc – Phi) – (Pop – Poi)]
 Q  movimento do fluxo
 K  constante de permeabilidade
 Phc  Pressão hidrostática capilar
 Phi  Pressão hidrostática intersticial
 Pop  Pressão oncótica plasmática
 Poi  Pressão oncótica intersticial
Na prática, em nível capilar, sabe-se que existe um balanço entre forças e pressões que fazem com que sangue
saiam ou entrem no vaso. Desta forma, podemos destacar dois mecanismos:
 Pressão hidrostática capilar e a pressão oncótica intersticial: favorecem a saída de líquido dos vasos para o meio
extracelular.
 Pressão oncótica plasmática e a pressão hidrostática intersticial: favorecem a entrada de líquido dos vasos para
o meio intravascular.
Arlindo Ugulino Netto – MEDICINA DE URG•NCIA – MEDICINA P8 – 2011.1
104
Este balan†o funciona sob um regime que garante que o sangue saia do vaso para nutrir as c‚lulas e,
posteriormente retorne ao vaso, evitando a forma†…o de edemas generalizados. Entretanto, alguma parte deste l•quido
que sai do vaso pode ficar acumulado no l•quido extra-celular.
Da• a import‡ncia dos vasos linfƒticos, que reabsorvem o excesso de l•quido do espa†o intersticial. Sua
capacidade de drenagem ‚ de, aproximadamente, 20ml/h, podendo chegar a cifras de 200ml/hora. Quando esta
capacidade ‚ excedida, forma-se o edema.
A fisiopatologia para a forma†…o do edema
pulmonar depende, portanto, do equil•brio entre as
forças de Starling, que se encontram resumidas na
tabela ao lado. Observando-as, nota-se que existe um
pequeno excedente de for†a para fora do capilar
(0,3mmHg), mas que, em condi†ˆes fisiol„gicas, ‚
facilmente reabsorvido pelos vasos linfƒticos.
Portanto, qualquer fator que aumente a press…o
capilar pulmonar ou a press…o negativa do l•quido
intersticial faz com que haja um grande extravasamento
de l•quidos para fora dos vasos, superando a sua
reabsor†…o, promovendo o EAP.
A sequ€ncia de eventos fisiopatol„gicos que caracterizam o ac‰mulo de l•quidos ‚ a seguinte:
1. Aumento do fluxo de l•quidos e aumento da press…o hidrostƒtica capilar
2. Aumento no extravasamento do l•quido e/ou col„ides para o interst•cio
3. Incapacidade de drenagem linfƒtica + ac‰mulo de l•quido no interst•cio (fase intersticial). Neste momento,
clinicamente, o paciente se apresenta apenas taquidispn‚ico, e que melhoram com a utiliza†…o de diur‚ticos.
4. Aumentos adicionais volume e distens…o de septos (neste momento, ocorre compress…o das vias respirat„rias
terminais).
5. Inundação dos alvéolos.
6. Altera†ˆes na rela†…o ventila†…o-perfus…o. Inicia-se um quadro cl•nico cr•tico, com grave ang‰stia respirat„ria
por hip„xia cerebral.
7. ¤reas bem perfundidas, por‚m hipoventiladas: isso ocorre porque, embora o fluxo sangu•neo alveolar esteja
normal, o alv‚olo estƒ inundado por l•quidos, prejudicando o seu enchimento a‚reo.
8. Hipoxemia
9. Acidose metab„lica
Todo este evento fisiopatol„gico acontece de maneira rƒpida e progressiva, de modo que o paciente ‚
inicialmente atendido na emerg€ncia, mas rapidamente encaminhado para a UTI.
ALTERAÇÕES DA PERMEABILIDADE ALVÉOLO-CAPILAR
O outro mecanismo importante para a fisiopatologia s…o altera†ˆes da permeabilide em n•vel da membrana
alv‚olo-capilar, cuja base estƒ relacionada com a sua etiologia – que ‚ bastante variada, como veremos logo adiante.
CLASSIFICA‚„O DO EAP SEGUNDO A SUA ETIOLOGIA
Como vimos anteriormente, dois mecanismos bƒsicos est…o envolvidos com a fisiopatologia do EAP: (1) o
desequil•brio das for†as de Starling; e (2) as altera†ˆes da membrana alv‚olo-capilar. Podemos classificar a EAP a partir
de suas etiologias, tomando como base o principal evento fisiopatol„gico envolvido.
CAUSAS DE DESEQUILÍBRIO DAS FORÇAS DE STARLING
 Aumento da pressão hidrostática capilar:
o Cardiog€nico:
 ICC
 IAM
 Estenose mitral
 Cardiovers…o el‚trica
o N…o-cardiog€nico
 Doen†a venoclusiva
 Fibrose pulmonar com fluxo elevado
 Estenose cong€nita ou adquirida de veias
pulmonares
 Hiperidrata†…o
 Redução da pressão oncótica plasmática:
 Hipoalbuminemias relacionadas a:
 Nefropatias
 Enteropatias
 Hepatopatias
 Dist‰rbios nutricionais
Forças de Starling mmHg
Forças medidas que tendem a deslocar o líquido para fora
Press…o capilar m‚dia
Press…o negativa do l•quido intersticial livre
Press…o coloidosm„tica do l•quido intersticial
FOR¥A TOTAL PARA FORA DO CAPILAR
17,3
3,0
8,0
28,3
Força média que tende a deslocar líquido para dentro
Press…o coloidosm„tica plasmƒtica
FOR¥A TOTAL PARA DENTRO
28,0
28,0
Resultante das forças
Para fora
Para dentro
FOR¥A EFETIVA PARA FORA
28,3
28,0
0,3
Arlindo Ugulino Netto – MEDICINA DE URG•NCIA – MEDICINA P8 – 2011.1
105
 Aumento da negatividade da pressão intersticial
 Rápida correção de pneumotórax
 Doenças parenquimatosas pulmonares
 Eclâmpsia
 Pós-anestesia
 Intoxicação
CAUSAS DE ALTERAÇÕES DA MEMBRANA ALVÉOLO-CAPILAR
As causas de alterações da permeabilidade alvéolo-capilar são diversas. As mais importantes delas são as
causas infecciosas, sendo a síndrome da resposta inflamatória sistêmica (SRIS) e a sepse os mais importantes.
As principais condições que promovem alterações no funcionamento da membrana alvéolo-capilar estão listadas
logo abaixo.
 Edema pulmonar infeccioso (pneumonia, sepse)
 Pancreatite hemorrágica aguda
 Inalação de agentes tóxicos
 Toxinas circulantes
 Substâncias vasoativas
 Síndrome de extravasamento capilar difuso (vazamento capilar)
 Coagulação intravascular disseminada (CIVD)
 Reações imunológicas
 Pneumonia por radiação
 Uremia
 Afogamento
 Inalação de fumaças
 Síndrome de angústia respiratória aguda
A investigação clínica destes pacientes
exclui possíveis causas cardíacas ou
hipertensivas relacionadas com o EAP e, por
isso, também caracterizam o EAP não-
cardiogênico.
OUTROS EVENTOS NÃO-CARDIOGÊNICOS
Alterações da drenagem linfática.
Embora não esteja frisado no tópico
referente à Fisiopatologia do EAP, as
alterações da drenagem linfática, que fazem
com que este sistema passe a não reabsorver
o excesso de líquido no interstício, podem
promover acúmulo de líquido neste espaço,
promovendo EAP.
As principais causas são:
 Após transplante pulmonar
 Carcinomatose linfática
 Linfangite fibrosante (silicose
pulmonar)
Etiologia desconhecida.
Os edemas pulmonares de etiologia
desconhecida podem estar relacionados com
os seguintes eventos:
 Edema pulmonar neurogênico: pós-
TCE; pós-AVC.
 Edema pulmonar de grandes altitudes
 Embolia pulmonar
 Pós-anestesia e pós-cardioversão.
Arlindo Ugulino Netto – MEDICINA DE URG•NCIA – MEDICINA P8 – 2011.1
106
CLASSIFICA‚„O FISIOPATOL†GICA DO EAP
Analisando as mais variadas etiologias do EAP, percebe-se que podemos, de uma forma geral, classificƒ-lo em
duas vertentes: (1) o EAP cardiogênico, sendo este o mais comum e, basicamente, relacionado com o aumento da
press…o hidrostƒtica capilar; e (2) o EAP não-cardiogênico, caracterizado, principalmente, por processos inflamat„rios
da membrana alv‚olo-capilar, fazendo com que haja inunda†…o capilar.
 EAP cardiogênico (EAPC): do ponto de vista fisiopatol„gico, o EAP cardiog€nico ‚ decorrente do aumento da
pressão hidrostática capilar, sendo resultante de um aumento na press…o atrial esquerda secundƒrio a alguma
altera†…o card•aca.
 EAP não-cardiogênico: hƒ um aumento da permeabilidade capilar, gerando um incremento do fluxo de
prote•nas. Como vimos, pode ser decorrente de sepse, pancreatite aguda, diminui†…o da press…o onc„tica
plasmƒtica, insufici€ncia da drenagem linfƒtica (p„s-transplante pulmonar, linfangite carinomatosa), etc.
EST…GIOS DO EDEMA AGUDO DE PULM„O
Embora a fisiopatologia do EAP aconte†a de forma rƒpida, ela segue uma sequ€ncia de estƒgios que cursa com
altera†ˆes cl•nicas e radiol„gicas espec•ficas, que podem ser divididas em 3 estƒgios:
Estágio 1. Distensão e recrutamento de pequenos vasos pulmonares.
 Aumentam trocas gasosas e difus…o de CO2
 Ocorre apenas dispn‚ia aos esfor†os
 O exame f•sico revela discretos estertores inspirat„rios por abertura das
vias a‚reas
 Radiografia: redistribui†…o da circula†…o (cefaliza†…o do fluxo)
Estágio 2. Edema intersticial.
 Ocorre compress…o das vias a‚reas menores
 Pode haver broncoespasmo (asma cardíaca)
 Ortopn‚ia pode, ocasionalmente, ocorrer.
 Altera†ˆes da rela†…o ventila†…o-perfus…o, o que leva Œ hipoxemia
proporcional Œ press…o capilar
 Taquipn‚ia por estimula†…o dos receptores J e de estiramento do
interst•cio
 Radiografia: borramento peri-hilar bilateral e espessamento dos septos
interlobulares (linhas “B” de Kerley).
Estágio 3. Inundação alveolar.
 Š a fase mais comum da admiss…o em emerg€ncias
 Hipoxemia severa e hipocapnia
 Em casos severos, pode haver hipercapnia
 Presen†a de secre†…o r„sea espumosa (provocada por hemƒcias que,
eventualmente, entraram no alv‚olo) ou esbranqui†ada
 Estertores creptantes em “mar‚ montante”, que come†a em bases,
depois em ter†o m‚dio e, por fim, em ƒpices
 Radiografia: edema alveolar em “asa de borboleta”
Arlindo Ugulino Netto – MEDICINA DE URG•NCIA – MEDICINA P8 – 2011.1
107
QUADRO CL‡NICO DO EAP CARDIOG•NICO
O diagnóstico do EAP é, eminentemente,
clínico. Todos os sintomas que caracterizam o
quadro clínico do EAP se apresentam em conjunto
e em caráter de emergência médica.
A própria consulta inicial no pronto-
atendimento pode demonstrar o quadro do EAP,
pois, é frequente que o paciente não consiga
conversar com o médico pela taquipnéia
expressiva.
ANAMNESE
 Queixa principal: dispnéia de início
súbito.
 História da doença atual:
 Histórico de dificuldade de respirar
com início súbito e que nunca
referiu igual
 Sintomatologia dramática
 Ansiedade e agitação que
melhora quando está sentado
com os membros pendentes
 Dispnéia
 Precordialgia
 Expectoração rósea espumosa
 Ausência de história pregressa de
doença pulmonar
 Antecedentes patológicos:
 Cardiopatia hipertensiva
 Cardiopatia isquêmica
 Valvulopatias
 Miocardiopatias
EXAME FÍSICO
 O paciente se apresenta ansioso, agitado,
sentado com membros inferiores
pendentes e utilizando intensamente a
musculatura acessória
 Dispnéia laboriosa, ortopnéia, tosse, escarro de cor rósea e espumoso
 Asas do nariz dilatadas, retração intercostal e supraclavicular
 Pele e mucosas frias, acinzentadas, às vezes, pálidas e cianóticas, com sudorese fria sistêmica
 Quanto à pressão arterial:
 Elevada na maioria dos casos, principalmente na crise hipertensiva. O EAP é uma emergência
hipertensiva, assim como acidente vascular cerebral, infarto agudo do miocárdio, etc.
 Entretanto, pode estar baixa, com sinais periféricos de choque, como ocorre na estenose mitral
importante, miocardiopatias em fase terminal. Nas síndromes coronarianas agudas, pode haver tanto
hipertensão como hipotensão arterial.
 Ausculta respiratória:
 Aumento na frequência respiratória
 Roncos e sibilos, decorrentes do broncoespasmo secundário.
 Estertores crepitantes e subcreptantes audíveis em extensão do tórax, que evoluem da base para o
ápice.
 Ausculta cardíaca:
 Aumento da frequência cardíaca
 Prejudicada pela respiração, que é muito ruidosa
 É difícil detectar, mas pode haver ritmo de galope, com hiperfonese de P2, arritmias ou sopros.
Arlindo Ugulino Netto – MEDICINA DE URG•NCIA – MEDICINA P8 – 2011.1
108
EXAMES COMPLEMENTARES
Embora o diagn„stico do EAP seja eminentemente cl•nico, podemos lan†ar m…o de alguns exames
complementares para confirma†…o diagn„stica.
Radiografia de tórax.
 Área cardíaca:
o Cardiomegalia: miocardiopatia dilatada; ƒtrio esquerdo aumentado (falando a favor de estenose mitral)
o Normal: EAP n…o-cardiog€nico, IAM, IC diast„lica; congest…o pulmonar.
 Campos pulmonares:
o Edema intersticial:
 Aumento da press…o venocapilar pulmonar
 Aumento do calibre dos vasos
 Redistribui†…o da trama vascular pulmonar
(cefaliza†…o do fluxo)
 Transuda†…o de l•quidos para o interst•cio
peri-hilar e bases pulmonares
 Perda do contorno dos vasos h•lares
 Espessamento das linhas septais
intersticiais, na forma de linhas radiopacas
horizontais e perif‚ricas (linhas B de Kerley)
 Espessamento das linhas septais
intersticiais, na forma de linhas radiopacas
verticais e centrais peri-hilares (linhas A de
Kerley)
 Espessamento das fissuras interlobares
 Derrame pleural
o Edema alveolar:
 Extravasamento de l•quido dentro do alv‚olo (o que significa PCP > 25mmHg)
 Radiodensidade que se estende da regi…o peri-hilar at‚ a regi…o pleural (imagem em “asa de
borboleta”)
Eletrocardiograma.
Š um exame ‰til para estabelecer
diagn„sticos diferenciais, muito embora seja um
exame inespec•fico para o EAP, pois, existem
vƒrios padrˆes que podem ser vistos na ECG, mas
se mostra importante para levantar suspeitas. Š
importante, por exemplo, por, pelo menos, tr€s
motivos: (1) analisar altera†…o da repolariza†…o
ventricular (s•ndromes coronarianas agudas ou
cr•nicas); (2) anƒlise de arritmias (bradi ou
taquiarritmias); (3) detecta aumento ou sobrecarga
das c‡maras card•acas.
Podemos encontrar os seguintes padrˆes
no ECG:
 Normal
 Taquicardia sinusal
 Bradicardia sinusal
 Altera†ˆes inespec•ficas da repolariza†…o
ventricular
 Sobrecarga atrial esquerda (em caso de
estenose mitral)
 Sobrecarga ventricular esquerda (HAS)
 Supra ou infradesnivelamento de ST
 Ondas Q de IAM
 Bloqueios card•acos
 Arritmias
Arlindo Ugulino Netto – MEDICINA DE URG•NCIA – MEDICINA P8 – 2011.1
109
Gasometria arterial.
As alterações do pH e gases sanguíneos guardam relação com a gravidade do quadro, daí a importância da
gasometria. Além disso, através dela, a depender do grau de saturação do paciente, podemos determinar se o quadro
exige uma ventilação invasiva ou não-invasiva.
Inicialmente, podemos observar hipoxemia e hipocapnia por aumento da frequência respiratória (alcalose
respiratória). Posteriormente, tem-se uma acentuação da hipoxemia e renteção de CO2, caracterizando a hipercapnia
(acidose respiratória).
Ecocardiograma.
É importante na pesquisa das seguintes condições:
 Valvulopatias
 Choque cardiogênico
 Isquemia miocárdica aguda (angina instável, IAM)
 Avaliação da função contrátil: hipocontratilidade
regional; hipocontratilidade global.
 Avaliação do aparelho valvar: estenose mitral,
insuficiência mitral, estenose aórtica, insuficiência
aórtica.
 Avaliação das complicações mecânicas: comunicação
interventricular (CIV), rotura do músculo papilar com
insuficiência mitral aguda, aneurisma do VE.
DIAGN†STICO DIFERENCIAL
 Edema agudo do pulmão não-cardiogênico
 Doenças pulmonares: pneumonia, embolia
 Doenças sistêmicas: sepse, pancreatite, politrauma
 Crises asmáticas
 Embolia pulmonar
 Exacerbação do DPOC
OBS
2
: O cateter Swan-Ganz é importante na monitorização da pressão capilar pulmonar para diferenciação entre EAP
por disfunção sistólica de VE e alteração da permeabilidade alvéolo-capilar. Entretanto, sua utilização para tal finalidade
é incomum, uma vez que o ecocardiograma fornece informações tão precisas quanto, e sem ser um exame invasivo.
TRATAMENTO
A estratégia terapêutica do EAP compreende a adoção de medidas não-específicas, seguidas da identificação e
possível tratamento de fatores precipitantes, culminando com a eventual avaliação da cardiopatia de base.
MEDIDAS GERAIS
 Manter o paciente sentado, no intuito de reduzir o retorno venoso e, com isso, a pré-carga, além de favorecer a
ação da musculatura respiratória
 Oxigenioterapia: inicialmente, o paciente deve receber oxigênio suplementar por máscara facial (fluxo de 5 a
10L/min), no intuito de manter a saturação periférica maior que 95%. Deve-se evitar o cateter em EAP, uma vez
que o FiO2 fornecido por ele é muito baixo. Se esta saturação não for possível, devemos proceder com
ventilação mecânica não-invasiva ou invasiva.
VENTILAÇÃO MECÂNICA NÃO-INVASIVA (VNI)
A aplicação pressão positiva nas vias aéreas através de máscara facial fechada foi o grande avanço na terapia
do EAPC. O benefício da pressão positiva está relacionado à redução da pré e pós carga, melhorando o desempenho
contrátil do ventrículo esquerdo. Em relação ao pulmão, a pressão positiva em vias aéreas aumenta a complacência
pulmonar devido ao recrutamento das unidades alveolares previamente colabadas.
As duas formas de aplicação de pressão positiva em vias aéreas, de forma não invasiva, são:
 Pressão positiva contínua (CPAP): é uma forma de ventilação que consiste na aplicação de uma pressão
positiva única durante todo o ciclo respiratório. Desta forma, mesmo que o paciente não inspire, existe uma
inalação basal de O2. Seu uso no EAPC deve ser iniciado com pressão entre 5 e 10 cmH2O, podendo alcançar
até no máximo 12,5 cmH2O.
 Ventilação em binível pressórico (BiPAP): é uma forma de ventilação que consiste na alternância de uma
pressão positiva menor durante a expiração e uma pressão positiva maior durante a inspiração (sendo, com isso,
mais fisiológica do que a CPAP), oferecendo um auxílio inspiratório, reduzindo assim o trabalho respiratório do
Arlindo Ugulino Netto – MEDICINA DE URG•NCIA – MEDICINA P8 – 2011.1
110
paciente de forma direta. A pressão inspiratória inicial deve estar entre 8 a 10cmH2O alcançando no máximo
12,5cmH2O.
As duas formas de ventilação não invasiva (CPAP e BiPAP), de acordo com vários estudos realizados,
principalmente com pressão positiva contínua, aceleram a melhora clínica e gasométricas e diminuem a necessidade de
intubação orotraqueal e posterior ventilação mecânica, quando comparada com a oxigenioterapia covencional.
OBS
3
: A pressão positiva utilizada na inspiração na ventilação mecânica, invasiva ou não, se faz necessária pois ela
evita o colabamento alveolar, aumentando a complacência pulmonar.
SUPORTE VENTILATÓRIO INVASIVO
Para paciente em EAPC, a intubação orotraqueal com ventilação por pressão positiva intermitente nas vias
aéreas (VPPI) deve ser indicada nos seguintes casos:
 Rebaixamento do nível de consciência
 Sinais clínicos de fadiga da musculatura acessória
 Hipoxemia refratária e/ou saturação de O2 insatisfatória
 Acidose respiratória
Esta conduta deve ser tomada inicialmente em pacientes com IAM com indicação de angioplastia primária,
naqueles com taquiarritmias com necessidade de cardioversão elétrica e em pacientes com choque cardiogênico.
É necessário lembrar que sempre antes do procedimento, o paciente deve ser hiperventilado com máscara e
AMBU para diminuir possíveis complicações como arritmias ou piora da hipoxemia.
TRATAMENTO MEDICAMENTOSO
As drogas de primeira linha para o tratamento da EAPC são os diuréticos de alça, os nitratos e a morfina
(narcótico). Podemos lançar mão também de vasodilatadores e drogas inotrópicas.
 Diuréticos: a Furosemida (Lasix®), disponível em ampolas (20mg cada) é usada na dose 0,5 a 1mg/kg de
peso, por via intravenosa.
 Furosemida (Lasix®), 20 a 80mg EV (0,5 a 1,0mg/kg)
 Para pacientes com insuficiência renal oligo-anúrica, devemos utilizar dose de 100-200mg/EV.
 Seu uso diminui a pré-carga por dois efeitos: (1) venodilatação imediato; (2) efeito diurético e
natriurétrico, diminuindo a pré-carga.
 Espera-se ocorrer uma melhora no padrão respiratório devido a seu efeito venodilatador, que se inicia
em 5 minutos.
 Após 20-30 minutos, deverá ocorrer a diurese.
 Se não houver melhora após 20 minutos da primeira aplicação, o dobro da dose deverá ser
administrada.
 Efeitos adversos:
 Hipovolemia
 Hipotensão arterial
 Hipopotassemia
 Hipocalcemia
 Alcalose hipoclorêmica
 Nitratos: o nitrato mais frequentemente usado é o Dinitrato de isossorbida, na dose de 5mg sublingual a cada
5 minutos, desde que a pressão arterial sistólica se mantenha acima de 90mmHg.
o Dinitrato de isossorbida (Isordil®) 5 a 10mg SL
 Dose: 5mg SL a cada 5 minutos (PAS > 90mmHg)
 Diminuição da pré e pós-carga, melhorando o desempenho sistólico do ventrículo esquerdo.
o Nitroglicerina (Tridil®)
 É um potente venodilatador, capaz de reduzir a pré-carga de forma muito rápida
 Dose inicial: 10mcg/min e elevar até 100mcg/min
 Para cardiopatia isquêmica: 0,2 a 0,3 mcg/kg/min EV (evitar em PAS<100mmHg ou
PAM<70mmHg).
 Efeitos adversos:
 Leva a tolerância
 Hipotensão arterial
Arlindo Ugulino Netto – MEDICINA DE URG•NCIA – MEDICINA P8 – 2011.1
111
 Narcótico: a Morfina ‚ uma droga de grande aux•lio na terap€utica do edema pulmonar, pois promove
venodilata†…o, reduz o retorno venoso e a ansiedade do paciente.
 Morfina (Dimorf¦), ampolas 10mg/ml
 Fun†…o: diminui a pr‚-carga; diminui os reflexos pulmonares; diminui a ansiedade; diminui o est•mulo
adren‚rgico, levando Œ redu†…o da vasoconstric†…o generalizada observada na EAP.
 Dose: 1 a 3mg EV a cada 5 minutos
 Monitorar frequ€ncia card•aca, o n•vel de consci€ncia e a PA
 Aten†…o com pneumopatas cr•nicos, com acidose metab„lica ou respirat„ria – seda†…o exagerada do
centro respirat„rio pode levar a uma piora da acidose (hipoventila†…o) e causar apn‚ia.
 Efeitos adversos:
 Depress…o respirat„ria
 Nƒuseas, v•mitos
 Hipotens…o arterial
 C„licas biliares
 Vasodilatador: se ap„s o uso inicial destas drogas o paciente continuar desconfortƒvel, vasodilatadores
venosos e arteriais em infus…o cont•nua podem ser administradas.
 Nitroprussiato de s„dio (Nipride¦) 50mg/ml
 Doses: 0,1 a 0,2 mcg/kg/min EV
Aumentar 0,2 mcg/kg/min a cada 3 a 5 minutos
 Fun†ˆes:
 Vasodilatador misto: circula†…o arterial e venosa
 Diminui a pr‚ e p„s-carga
 Aumenta d‚bito card•aco
 Reduz a press…o do capilar pulmonar e aumento do DC
 Efeitos adversos: toxicidade pelo tiocianeto.
 Drogas inotrópicas: a Dobutamina pode ser utilizada em pacientes com disfun†…o ventricular esquerda com
quadro cl•nico refratƒrio e no paciente hipotenso bem perfundido. Em paciente em EAP associado a choque
cardiog€nico, deve-se realizar a intuba†…o orotraqueal precoce e priorizar o uso de drogas vasopressoras como
a Noradrenalina (na dose de 0,5 a 30mcg/kg/min, IV) ou Dopamina (5 a 15mcg/kg/min, IV) at‚ estabiliza†…o da
press…o arterial. Atingida a estabilidade hemodin‡mica, devemos iniciar o uso de diur‚ticos e cogitar a
associa†…o de vasodilatadores.
o Dobutamina (Dobutex¦) 1 frasco = 250mg
 Fun†…o: simpatomim‚tico (receptores dopa, alfa e beta adren‚rgicos); efeito inotr„pico positivo.
 Doses:
 5 a 10mcg/kg/min – efeito beta adren‚rgico
- Aumento da contra†…o do cora†…o (inotropismo)
- Aumento da frequ€ncia card•aca (cronotropismo)
- Aumento do d‚bito card•aco
 Doses superiores a 15mcg/kg/min t€m efeitos adren‚rgicos com vasoconstri†…o sist€mica e
renal e, portanto, devem ser evitadas.
LINHAS GERAIS DE TRATAMENTO
1. Manter o paciente sentado, com os membros inferiores pendentes.
 Diminui o retorno venoso ao cora†…o
 Melhora a expansibilidade do diafragma
 Melhora as condi†ˆes respirat„rias
2. Administrar oxig€nio ‰mido cont•nuo, no intuito de melhorar a oxigena†…o e evitar a piora da hipoxemia
 Mƒscara de Venturi: fluxo de 5 a 10L/min
 Mƒscara de nebuliza†…o
 Mƒscara de CPAP: indicada se n…o houver melhora com outros dispositivos mais simples. Atualmente, recomenda-
se ventila†…o mec‡nica n…o invasiva com CPAP, pois melhora a oxigena†…o e diminui o trabalho respirat„rio.
 Cateter nasal n…o ‚ indicado
3. Manter oximetria de pulso, pois o paciente pode evoluir com piora das condi†ˆes respirat„rias e diminui†…o da satura†…o.
4. Manter material de intuba†…o pr„ximo e ventilador mec‡nico para pronto uso, pois o paciente pode evoluir com fadiga
respirat„ria e/ou uso de morfina, entrar em apn‚ia e parada respirat„ria.
5. Puncionar acesso venoso calibroso devido Œ necessidade de administrar drogas EV
Arlindo Ugulino Netto – MEDICINA DE URG•NCIA – MEDICINA P8 – 2011.1
112
6. Manter monitoriza†…o card•aca pois o paciente pode estar taquicƒrdico. Sua indica†…o ‚ mais importante para pacientes com
antecedentes card•acos (isquemia miocƒrdica e altera†ˆes no ECG).
7. Controlar PA frequente
 Usar medica†…o vasodilatador para crise hipertensiva
 Hipotens…o: risco de choque cardiog€nico
8. Administrar Morfina dilu•da EV (solu†…o decimal), podendo ser repetida, at‚ a melhora, a cada 5 a 10 minutos.
 Diminui o retorno venoso
 Melhora a ansiedade/dispn‚ia
 Pode haver risco de depress…o respirat„ria
9. Administrar o Furosemida (diur‚tico) EV
 Aumenta a capacit‡ncia venosa
 Diminui a pr‚-carga
 Aumenta a diurese
10. Administrar vasodilatadores (Nitroglicerina SL ou EV ou Nitroprussiato de s„dio), se PAS>100mmHg.
 Reduz a resist€ncia vascular sist€mica (p„s-carga)
 Venodilata†…o: diminui o retorno venoso e reduz a pr‚-carga
11. Administrar drogas vasoativas
 Dobutamina (preferencial) – melhora a contratilidade
 Dopamina e Noradrenalina – se houver hipotens…o severa
Tratamento não-medicamentoso
Medidas Observação Efeitos
Medidas gerais Manter o paciente sentado, com os
membros pendentes
- Diminui†…o da pr‚-carga por diminui†…o
do retorno venoso
- Facilita o trabalho respirat„rio por
favorecer a musculatura respirat„ria
Oxigenioterapia Fluxo de 5 – 10 L/min para manter
satura†…o >95%
- Diminui†…o da press…o arterial
- Aumento do d‚bito card•aco
Ventila†…o n…o-invasiva (VNI) Oxig€nio ‰mido por mƒscara facial
(CPAP) se a oxigenioterapia com
mƒscara n…o for efetiva
- Diminui†…o da pr‚ e p„s-carga
- Melhora das trocas gasosas
- Aumento da press…o alveolar
- Recrutamento de alv‚olos n…o-ventilados
- Diminui†…o do trabalho respirat„rio
Ventila†…o mec‡nica invasvia - Casos graves e em casos nos quais
o uso de VNI n…o obteve oxigena†…o
satisfat„ria
- Diminui†…o da pr‚ e p„s-carga
- Melhora das trocas gasosas
- Aumento da press…o alveolar
- Recrutamento de alv‚olos n…o-ventilados
- Diminui†…o do trabalho respirat„rio
Tratamento medicamentoso
Medidas Dose Efeitos Observações
Morfina (Dimorf®)
Ampolas de 2mg e
10mg
2mg EV a cada 5min at‚ reduzir a
ansiedade
↓pr‚-carga
↓ansiedade
↓est•mulos adren‚rgicos
- Pode causar narcose por
reten†…o de CO2
- Ant•doto: Naloxone 0,4mg EV
a cada 3min
- Manter vigil‡ncia respirat„ria
Furosemida
(Lasix®)
- In•cio: 40 a 80mg EV
- Doses mais elevadas na presen†a
de IR
↓pr‚-carga
Efeito vasodilatador imediato
Efeito diur‚tico
Usar com cuidado para evitar
deple†…o hidrosalina
Nitroglicerina
(Tridil®)
- In•cio: 0,2mcg a 0,3mcg/kg/min
- Aumentar a cada 3 a 5 minutos
- Final do efeito com a suspens…o
↓pr‚-carga
De grande valor nas
cardiopatias isqu€micas
- Evitar em PAS < 100mmHg
- Evitar se PAM < 70mmHg
- Aten†…o com a toler‡ncia
Nitroprussiato
(Nipride®)
- In•cio: 0,1 a 0,2mcg/kg/min
- Aumentar 0,2mcg/kg/min a cada 3 a
5 min
- Final do efeito com a suspens…o
↓pr‚-carga
De grande valor no EAP
associado a HAS
- Evitar em PAS < 100mmHg
- Evitar se PAM < 70mmHg
- Evitar em cardiopatias
isqu€micas
Dobutamina
(Dobutrex®)
- In•cio: 2,5mcg/kg/min EV
- Efeito hemodin‡mico pode persistir
mesmo ap„s a suspens…o
↑contratilidade miocƒrdica
(efeito inotr„pico positivo)
Efeito vasodilatador menos
intenso
- Manter dose < 15mcg/kg/min
- Evitar taquicardia
Arlindo Ugulino Netto – MEDICINA DE URG•NCIA – MEDICINA P8 – 2011.1
113
Ações Específicas para Edema Agudo de Pulmão
Ações de primeira linha Ações de segunda linha Considerar em casos de IAM
- Oxigênio 5-10L/min em máscara
facial
- Dinitrato de isossorbida 5mg SL a
cada 5min se PAS>90mmHg
- Furosemida 20-80 mg EV
- Morfina 1-3mg EV a cada 5 minutos
- Nitroglicerina EV
- Nitroprussiato EV
- Dopamina
- Dobutamina
- CPAP
- Intubação com ventilação com PEEP
- Angioplastia
- Trombolítico
- Balão intra-aórtico
- Cirurgia de revascularização
miocárdica
Arlindo Ugulino Netto – MEDICINA DE URG•NCIA – MEDICINA P8 – 2011.1
114
CONSIDERA‚ƒES FINAIS
Representando uma das mais sérias urgências clínicas a desafiar o médico socorrista, o EAP necessita de
diagnóstico e tratamento imediatos; a presença constante ao lado do paciente até a completa reversão do quadro é
mandatória.
Pelas sérias implicações prognósticas, todo o esforço deve ser envidado não só no controle clínico da
descompensação aguda, mas, também, na identificação de possíveis causas reversíveis, tais como isquemia
miocárdica, taquiarritmias,defeitos valvares agudos, etc. Na eventualidade de disfunção ventricular crônica, o correto
diagnóstico do fator descompensador (interrupção da medicação, erros dietéticos, infecções sistêmicas, anemia,
disfunções tireoideanas, etc.) deverá ser sempre lembrado.
Nunca será excessivo salientar a necessidade de evitarmos a evolução para a disfunção ventricular através da
detecção precoce e do controle clínico de seus principais causadores, tais como a hipertensão arterial sistêmica, a
isquemia miocárdica e o diabetes mellitus.
Arlindo Ugulino Netto – MEDICINA DE URG•NCIA – MEDICINA P8 – 2011.1
115
MED RESUMOS 2011
NETTO, Arlindo Ugulino; ELOY, Yuri Leite.
MEDICINA DE URGÊNCIA E TERAPIA INTENSIVA
IMAGENS NO TRAUMA
(Professor Fábio Almeida)
A realiza†…o de exames por imagens
n…o obedece severamente a uma etapa
descrita pelo ATLS, pois, sua realiza†…o pode
ser feita ap„s o exame primƒrio ou secundƒrio
ao politraumatizado, a depender do tipo de
exame. Como exemplo, uma radiografia de
cervical, t„rax e pelve, em servi†os com
estrutura adequada, s…o considerados medidas
auxiliares do exame primƒrio, realizadas ainda
na sala de emerg€ncia; enquanto que,
urografias excretoras, arteriografias,
broncoscopias, radiografias de membros, etc.,
referem-se a exame complementares que s…o
realizados ap„s a avalia†…o secundƒria.
Entretanto, independente do momento em que se encaixa a realiza†…o de exames por imagem, de uma forma
geral, procedimentos diagn„sticos ou exames complementares s„ poder…o ser realizados depois que o paciente jƒ
estiver estabilizado (com acesso venoso e infus…o de volume adequado, via a‚rea p‚rvia, hemorragias contidas e
fraturas imobilizadas) e, contanto, que isso n…o venha a implicar em perda de tempo.
CONSIDERA‚ƒES GERAIS E PRINCIPAIS EXAMES DE IMAGENS NO TRAUMA
Seguindo-se os princ•pios do ATLS, no momento em que um paciente ou politraumatizado chega de forma cr•tica
na sala de Emerg€ncia, devemos proceder de forma efetiva, buscando assistir ao paciente ainda nos “10 minutos de
platina”, sempre que poss•vel.
Portanto, devemos promover, para com o paciente grave: acesso a via a‚rea, aspirar secre†ˆes, instalar Guedel
e/ou intubar, se for o caso; estabilizar a coluna cervical; observar o padr…o respirat„rio e procurar por ind•cios de
pneumot„rax – se houver, promover a descompress…o; garantir uma acesso venoso perif‚rico, infundir volume, colher
amostra de sangue, estancar hemorragias; proceder com exame neurol„gico (Glasgow e padr…o de rea†…o pupilar);
estabilizar fraturas que, eventualmente, possam causar lesˆes mais importantes; garantir uma coberta para evitar
hipotermia. Se forem detectadas lesˆes cr•ticas, devemos proceder com o seu tratamento.
Depois de toda esta avalia†…o inicial e da estabiliza†…o do paciente (exclu•das, tamb‚m, lesˆes graves),
podemos partir para uma segunda etapa do algoritmo do ATLS, que consiste no uso de medidas auxiliares.
Obrigatoriamente, podemos lan†ar m…o dos seguintes exames:
 Radiografias: tr€s radiografias s…o preconizadas pelo ATLS: coluna cervical, t„rax (em AP) e pelve.
Teoricamente, estas radiografias devem ser realizadas, mesmo na vig€ncia de um exame f•sico normal.
 Tomografia: realizada neste momento apenas se houver uma suspeita de les…o neurol„gica grave e cujo
tratamento seja poss•vel ao servi†o e imediato – muito embora sua realiza†…o fuja um pouco Œ regra, por se
tratar de um exame mais demorado.
 Focused Assesment Sonography for Trauma (FAST): consiste na realiza†…o de ultrassonografia na sala
Emerg€ncia. Configura um exame rƒpido e n…o invasivo, utilizado para detec†…o de trauma abdominal.
A realiza†…o de outros exames complementares necessƒrios s„ deve ser considerada ap„s o exame
secundƒrio. Estes exames, diferentemente dos obrigat„rios realizados previamente na ocasi…o das medidas auxiliares,
s…o aqueles que custam mais tempo de realiza†…o e, portanto, s„ devem ser realizados com o paciente estabilizado. Os
exames s…o solicitados sob crit‚rios m‚dicos, como radiografia de membros e extremidades, estudos radiol„gicos
contrastados, arteriografias, urografias, endoscopias, ultrassonografias espec•ficas, etc.
Teoricamente, o estudo radiol„gico realizado no paciente politraumatizado deve ser feito atrav‚s de uma
sequ€ncia preconizada e pr‚-estabelecida, para que os m•nimos detalhes sejam avaliados e que nada seja desprezado
ou esquecido. Desta forma, as regiˆes a serem estudadas, pragmaticamente, s…o:
 Vias a‚reas e coluna cervical
 T„rax
 Abdome e pelve
 Cr‡nio
Arlindo Ugulino Netto – MEDICINA DE URG•NCIA – MEDICINA P8 – 2011.1
116
A. VIAS A‰REAS E COLUNA CERVICAL
O passo A da avalia†…o radiol„gica do paciente politraumatizado consiste na radiografia em perfil da coluna
cervical. Contudo, tal radiografia n…o ‚ uma conduta obrigat„ria para todos os pacientes traumatizados, mas somente
naqueles com indica†ˆes claras relacionadas a depender da cinemƒtica do trauma. Muito embora, a princ•pio, pacientes
que apresentem as seguintes caracter•sticas devem ser considerados como potenciais candidatos Œ realiza†…o desta
radiografia:
 Qualquer v•tima de trauma fechado;
 N•vel de consci€ncia rebaixado ou intoxica†ˆes;
 Cinemƒtica do trauma com grande transfer€ncia de energia ou desconhecida;
 Dor e crepta†…o na regi…o cervical;
 Presen†a de d‚ficit neurol„gico
Com rela†…o Œ necessidade do colar cervical, mesmo que um traumatismo raquimedular tenha sido descartado
por exame radiogrƒfico ou o exame tenha sido inconclusivo, o colar cervical n…o deve ser retirado, at‚ que seja realizada
uma segunda avalia†…o mais detalhada. Geralmente, cerca de 12 a 24 horas ap„s o trauma, depois de realizada uma
segunda radiografia e estando ela normal, associada a um exame neurol„gico com aus€ncia de parestesias e paresias,
o colar cervical poderƒ ser retirado.
A técnica para realiza†…o da radiografia em perfil da coluna cervical deve ser precisa. A imagem deve
apresentar as 7 v‚rtebras cervicais e ainda a 1
a
v‚rtebra torƒcica. Entretanto, esse padr…o raramente ‚ obtido nos
atendimentos de urg€ncia e emerg€ncia. Podemos lan†ar m…o de algumas manobras para conseguir uma t‚cnica
adequada, como a tra†…o dos membros superiores ou a incid€ncia do nadador.
Os principais par‡metros observados neste exame s…o:
I. Técnica: presen†a de 8 v‚rtebras na imagem: C1 – C7 + T1.
II. Alinhamento
 Face anterior dos corpos vertebrais
 Margem anterior e posterior do canal medular
 Extremidades dos processos espinhosos
III. Ossos
 Corpos vertebrais – contornos e altura
 Ped•culos
 Processos transversos e espinhosos
IV. Cartilagens: anƒlise dos discos intervertebrais
V. Partes Moles: avaliar o espa†o pr‚-vertebral e o espa†o entre os processos espinhosos.
De acordo os par‡metros analisados na radiografia de coluna cervical, os achados que devem ser procurados e
valorizados s…o:
 Perda do alinhamento (desnivelamento das linhas imaginƒrias que seguem as margens anterior e posterior dos
corpos vertebrais)
 Estreitamento do canal de medular
 Fraturas por achatamento dos corpos vertebrais: ocorre comumente em mergulhos em ƒguas rasas
 Aumento do espa†o entre as partes moles e da dist‡ncia entre os processos espinhosos
Arlindo Ugulino Netto – MEDICINA DE URG•NCIA – MEDICINA P8 – 2011.1
117
Na radiografia ao lado podemos perceber uma perda da
congru€ncia da v‚rtebra C5 com as demais, que pode ser
descrita como um desnivelamento da linha que tangencia o
extremo anterior dos corpos vertebrais. Tal achado, ‚ indicativo
de les…o de coluna cervical, com provƒvel les…o da medula. Para
identificar a les…o medular, deve-se proceder com a correla†…o
cl•nica-radiol„gica, realizando um exame f•sico e neurol„gico,
avaliando as modalidades sensitivas e for†a muscular.
B. AVALIA‚„O RADIOGR…FICA DO T†RAX
A radiografia de tórax na v•tima de trauma deve sempre ser realizada em incid€ncia ‡ntero-posterior (AP).
Embora algumas patologias possam ser devidamente reconhecidas atrav‚s do uso da radiografia de t„rax, o diagn„stico
de tr€s entidades deve ser, acima de tudo, clínico, no momento em que a v•tima ‚ admitida pelo servi†o hospitalar. Isso
porque as patologias citadas abaixo apresentam uma cl•nica exuberante e, geralmente, clƒssicas; mas cursam com
potencial risco de morte, exigindo um diagn„stico cl•nico imediato e uma abordagem terap€utica subsequente. As
entidades as quais nos referimos s…o:
 Pneumot„rax hipertensivo: geralmente esses pacientes apresentam-se com ang‰stia respirat„ria, cian„ticos, em
taquipn‚ia, sudorese intensa, t„rax instƒvel, murm‰rios vesiculares abolidos, turg€ncia jugular na aus€ncia de
choque, desvio da traqu‚ia.
 Pneumot„rax aberto: feridas torƒcicas aspirativas que podem ser controladas atrav‚s do uso de do “curativo dos
3 pontos” no atendimento pr‚-hospitalar ou por meio de uma cirurgia torƒcica efetiva, jƒ no atendimento
hospitalar.
 Tamponamento card•aco: deve ser identificado pela tr•ade clƒssica de Beck – abafamento de bulhas card•acas,
ingurgitamento jugular e hipotens…o arterial. Nesses casos deve-se proceder com uma pericardiocentese.
Outras lesˆes devem ser investigadas durante a proped€utica cl•nica e radiol„gica do t„rax, tais como:
 Contus…o pulmonar
 Pneumot„rax: pequenos em pacientes com grande reserva pulmonar, em que, os sinais cl•nicos est…o ausentes.
 Hemot„rax
 Les…o de ƒrvore traqueobr•nquica: que clinicamente se caracteriza por grandes enfisemas
 Contus…o card•aca
 Ruptura traumƒtica de aorta: os pacientes que n…o morrem imediatamente por esta condi†…o podem apresentar
um alargamento do mediastino Œ radiografia do t„rax.
 H‚rnia diafragmƒtica: ocorre quando hƒ grandes compressˆes, como nos atropelamentos, quando o ve•culo
passa sobre o abdome da v•tima.
 Pneumoperit•neo: pode ocorrer por trauma aberto ou fechado, por‚m, tamb‚m pode ocorrer sob circunst‡ncias
cl•nicas, como na ‰lcera p‚ptica perfurada. Apesar de ser uma patologia da regi…o abdominal, ‚ uma condi†…o
que pode ser identificada pela radiografia de t„rax, mostrando-se como a presen†a de ar (hipertranspar€ncia) na
regi…o subdiafragmƒtica, abaixo das c‰pulas diafragmƒticas.
Quanto Œ técnica de avaliação da radiografia de tórax, ou para qualquer outro exame complementar,
devemos, inicialmente, confirmar o nome do paciente no prontuƒrio m‚dico com a identifica†…o presente no exame
radiol„gico. Sempre que poss•vel, devemos valorizar e relacionar o exame com a cinemƒtica do trauma.
A proped€utica radiol„gica do t„rax consiste no seguinte algoritmo:
A. Vias Aéreas
 Avaliar centraliza†…o da traqu‚ia
 Br•nquios – alinhamento e infiltra†ˆes
B. Respiração
 Espa†o pleural e par€nquima pulmonar – hemot„rax, pneumot„rax, contus…o pulmonar
 Trama vascular
 Seios costofr€nicos
Arlindo Ugulino Netto – MEDICINA DE URG•NCIA – MEDICINA P8 – 2011.1
118
C. Circula‚ƒo
 Avaliar a silhueta card•aca
 Pneumomediastino: sugere ruptura de es•fago ou traqu‚ia
 Alargamento de mediastino: sugere ruptura de aorta
D. Diafragma
 C‰pula diafragmƒtica direita e esquerda
 Eleva†ˆes, pneumoperit•nio e v•sceras ocas
E. Esqueleto - arcabou‚o Šsseo do tŠrax
 Clav•culas
 Costelas: quando hƒ fratura de duas ou mais costelas em dois ou mais focos diferentes, promove o
t„rax instƒvel (flail chest), com respira†…o paradoxal.
 Escƒpulas: sua les…o com comprometimento das 3 primeiras costelas geralmente estƒ associada a
les…o de grandes vasos, como ruptura traumƒtica de aorta.
 Esterno: as lesˆes de esterno geralmente decorrem de traumas com grande energia cin‚tica e, por
isso, podem estar associadas ao comprometimento card•aco.
F. Partes Moles
 Pesquisa por enfisema subcut‡neo
G. Artefatos – drenos e cateteres
 Tubo Orotraqueal
 Dreno torƒcico
 Cateter venoso
 Sonda nasogƒstrica
 Eletrodos
Radiografia em inspira†…o for†ada. Notar o posicionamento do dreno
(seta azul clara) e a pequena zona e pouco definida de pneumotorax do
lado direito no v‚rtice do pulm…o (seta vermelha). Desta forma, temos:
A – traqu‚ia relativamente centralizada
B – Presen†a de discreto pneumot„rax Œ direita
C – Silhueta card•aca normal, sem alargamento do mediastino
D – Diafragma em posi†…o anat•mica, sem altera†ˆes de trauma
E – Arcabou†o „sseo: clav•culas, costelas, escƒpulas e esterno com
aus€ncia de fraturas.
F – Partes moles
G – Nota-se a presen†a de dreno torƒcico.
A – Desvio da traqu‚ia Œ esquerda
B – Grande pneumot„rax do lado direito e provƒvel contus…o pulmonar do lado
esquerdo
C – Desvio do mediastino para esquerda.
D – Rebaixamento de c‰pula diafragmƒtica direita.
E – Arcabou†o •sseo normal
F – Sem altera†ˆes
G – Ausente
Arlindo Ugulino Netto – MEDICINA DE URG•NCIA – MEDICINA P8 – 2011.1
119
A – Traqu‚ia imposs•vel de ser avaliada
B – Trama vascular normal do lado direito e pneumot„rax Œ esquerda
C – Silhueta card•aca normal, apesar do pneumot„rax
D – Rebaixamento de c‰pula diafragmƒtica esquerda
E – Arcabou†o •sseo normal
F – Aus€ncia de Enfisema subcut‡neo
G – Ausente
A – Traqu‚ia sem desvio
B – Grande opacidade do lado direito, podendo ser secundƒria a contus…o
pulmonar ou, ainda, empiema pulmonar
C – Silhueta card•aca incapaz de ser avaliada
D – C‰pula diafragmƒtica incapaz de ser avaliada
E – Arcabou†o „sseo normal, sendo incapaz de avaliar as costelas inferiores
F – Aus€ncia de enfisema subcut‡neo
G – Eletrodos
A – Traqu‚ia sem desvio
B – Grande opacidade lateral esquerda, com velamento do seio costofr€nico,
podendo indicar presen†a de l•quido.
C – Silhueta card•aca normal
D – C‰pula diafragmƒtica com velamento do lado esquerdo
E – Arcabou†o •sseo normal, n…o avaliado costelas inferiores do lado esquerdo
F – Aus€ncia de Enfisema subcut‡neo
G – Ausente
A – Traqu‚ia sem desvio
B – Campos pulmonares normais, com preserva†…o de trama vascular
C – Silhueta card•aca de limites normais
D – C‰pula diafragmƒtica esquerda elevada e com hipertranspar€ncia, indicando
pneumoperit•nio.
E – Arcabou†o „sseo aparentemente normal.
F – Aus€ncia de enfisema subcut‡neo
G – Ausente
Arlindo Ugulino Netto – MEDICINA DE URG•NCIA – MEDICINA P8 – 2011.1
120
A – Traqu‚ia sem desvio
B – Opacidade lateral direita, secundƒria a hemot„rax.
C – Silhueta card•aca de dif•cil visualiza†…o, por isso, n…o avaliada
D – C‰pula diafragmƒtica esquerda elevada, indicando grande pneumoperit•nio.
E – Arcabou†o •sseo indicando presen†a de fraturas de costelas do lado direito.
F – Aus€ncia de Enfisema subcut‡neo
G – Ausente
A – Traqu‚ia sem desvio
B – Pneumot„rax do lado direito
C – Desvio da Silhueta card•aca
D – C‰pula diafragmƒtica normal
E – Arcabou†o •sseo n…o avaliado – radiografia muito penetrada
F – Aus€ncia de Enfisema subcut‡neo
G – Ausente
C – Alargamento do mediastino
G – Presen†a de cateter venoso central
C – Pneumopericƒrdio
F – Presen†a de enfisema subcut‡neo decorrente de ruptura de es•fago e/ou
traqu‚ia.
OBS
1
: Lesões torácicas associadas. Durante a avalia†…o radiol„gica do t„rax, alguns achados podem sugerir
condi†ˆes graves correlacionadas. Desta forma, temos:
 Esterno: contus…o card•aca
 Escƒpulas (omoplatas) e tr€s primeiras costelas: les…o em grades vasos.
 Duas ou mais costelas fraturadas em dois ou mais focos: flail chest
 Pneumomediastino: les…o de es•fago ou de traqu‚ia.
Arlindo Ugulino Netto – MEDICINA DE URG•NCIA – MEDICINA P8 – 2011.1
121
C. AVALIA‚„O RADIOGR…FICA DO CHOQUE E HEMORRAGIAS
Na suspeita de choque, deve-se imediatamente identificar poss•veis sinais de sangramentos, especialmente nas
extremidades. Quando o paciente n…o possui sangramentos externos, e n…o apresenta resposta a reposi†…o vol€mica,
deve-se pensar em sangramentos internos, sendo necessƒrio avaliar, ent…o, a cavidade abdominal e a pelve (regiˆes
que, quando acometidas por trauma, s…o as principais sedes dos dist‰rbios que cursam com hipovolemia e choque).
Para isso, podemos lan†ar m…o de alguns m‚todos diagn„sticos para identifica†…o do local de sangramento,
sendo os mais utilizados na emerg€ncia:
 Lavagem Peritoneal Diagnóstica (LPD): embora n…o seja um m‚todo por imagem, ‚ um exame proped€utico
que serve para sugerir sangramentos peritoneais na emerg€ncia. Realiza-se uma laparocentese, injeta-se certa
quantidade de l•quido (soro fisiol„gico); depois disso, observa-se, na aspira†…o, a presen†a de sangue. Consiste
em um m‚todo que estƒ em desuso, por ser invasivo e por ter uma alta incid€ncia de resultados falso-positivos.
 FAST (Focused Assesment Sonography for Trauma): ‚ um exame rƒpido e n…o invasivo, desempenhando
um papel de grande import‡ncia nos traumas fechados (contusos), e que vem substituindo a LPD. Š um exame
realizado na emerg€ncia pelo pr„prio m‚dico que atendeu a v•tima. Deve ser realizado em 4 janelas e repetido a
cada 30 minutos:
 Janela epigƒstrica (pericƒrdica): investiga-se presen†a de
hemopericƒrdio e tamponamento card•aco.
 Hipoc•ndrio direito (hepato-renal): lesˆes de f•gado
 Hipoc•ndrio esquerdo (espleno-renal): sangramentos
provenientes do ba†o.
 Pelve: cole†ˆes intrabdominais.
 Radiografia da pelve em AP: A radiografia de bacia desempenha um papel de grande import‡ncia para
identifica†…o de sangramentos, decorrentes de traumatismos p‚lvicos, especialmente as lesˆes em livro aberto.
Por isso, a radiografia de pelve em AP, constitui umas das medidas do exame primƒrio desses pacientes.
1. Avalia†…o da s•nfise p‰bica: largura da s•nfise p‰bica maior 1 cm decorrente de disjun†…o p‚lvica sugere
importante perda de sangue.
2. Ramos P‰bicos superiores e inferiores;
3. Acetƒbulo e cabe†a do F€mur;
4. Simetria do •leo e articula†…o sacroil•aca;
5. Simetria dos forames sacrais;
6. Fraturas dos processos Transversos de L5;
1 – Disjun†…o p‚lvica maior que 1 cm
2 – Fratura de Ramo P‰bico
3 – Acetƒbulo, cabe†a e colo femural sem altera†ˆes
4 – Afastamento da articula†…o sacroil•aca esquerda
5 – Forames Sacrais normais
6 – Ap„fise transversa de L5
1 – Aus€ncia de disjun†…o p‚lvica
2 – Aus€ncia de fratura de Ramo P‰bico
3 – Fratura do colo femural
4 – Articula†…o sacroil•aca esquerda •ntegra
5 – Forames Sacrais normais
6 – Ap„fise transversa de L5 normal
OBS
2
: Todos os exames solicitados at‚ o momento devem ser realizados na sala de reanima†…o, ou seja, sala de
emergência ou sala vermelha, podendo ser realizados pelo pr„prio m‚dico que atende a v•tima; n…o sendo necessƒria,
teoricamente, a presen†a de um radiologista.
Arlindo Ugulino Netto – MEDICINA DE URG•NCIA – MEDICINA P8 – 2011.1
122
D. TOMOGRAFIA DE CRˆNIO PARA AVALIA‚„O NEUROL†GICA
A tomografia computadorizada (TC) para avalia†…o neurol„gica ‚ um exame que s„ deve ser considerado ap„s a
realiza†…o da conduta inicial do ATLS – ABCDE. Em nenhuma hip„tese a TC pode retardar a reanima†…o ou
transfer€ncia de um paciente, e ‚ prudente que ela s„ seja realizada em locais onde hƒ capacidade de resolu†…o de um
eventual quadro neurol„gico, ou seja, em hospitais com servi†os de neurocirurgia.
Uma importante peculiaridade ‚ a certifica†…o de que o exame foi realizado sem contraste, pois o contraste pode
simular sangramentos. Com isso, conclu•mos que a TC para o trauma deve ser sem contraste, pois pode ser confundido
com as seguintes condi†ˆes (“os 4 C’s da densidade aumentada”):
 Coƒgulo
 Celularidade (tumor)
 Calcifica†ˆes fisiol„gicas (gl‡ndula pineal e plexo cor„ide)
 Contraste
Durante a proped€utica radiol„gica do cr‡nio, assim como para todos os outros exames, n…o podemos deixar de
valorizar a cinemƒtica do trauma. A TC de cr‡nio, especificamente, deve ser avaliada da seguinte forma:
I. Couro cabeludo: pesquisar por hematomas subgaleais
II. Crânio: avaliar a presen†a de fraturas, afundamentos, trajetos de PAF, pneumoenc‚falo
III. Giros e sulcos: avalia-se o par€nquima cerebral, assimetrias e edema cerebral (brain swelling).
IV. Hemisférios cerebrais e cerebelares: hematomas intracerebrais (ƒreas densas), contusˆes cerebrais (ƒreas
pontilhadas), les…o axonal difusa (densidade normal ou baixa, mas que pode cursar com brain swelling – edema
cerebral).
V. Ventrículos: simetria, densidade, hemorragias intraventriculares, desvios e compressˆes
VI. Desvios da linha média: desvios acima de 5mm indicam hipertens…o intracraniana por les…o em massa.
VII. Maxilo-facial: face, seios paranasais, base do cr‡nio.
Hematoma Extradural.
 Densidade Aumentada em forma biconvexa
 Geralmente sangramentos arteriais (art‚ria men•ngea m‚dia)
 Localizado fora da dura-mƒter, comprimindo sulcos e giros
 Pode desviar a linha m‚dia e os ventr•culos
 Mais frequentes nas regiˆes temporais e parieto-temporal
 Menos frequentes que os subdurais
 Clinicamente, presen†a do “intervalo l‰cido”
Hematoma Subdural.
 Mais frequentes e mais graves
 Decorrem de sangramentos venosos
 Densidade aumentada comprimindo giros e sulcos em todo o
hemisf‚rio
 Aparecem no interior do cr‡nio abaixo da dura-mƒter
 Podem causar desvios da linha m‚dia e ventr•culos
 Geralmente associadas a hematomas e contusˆes cerebrais
OBS
3
: A radiografia de cr‡nio, um exame muito solicitado em servi†os de emerg€ncia, ‚, comprovadamente, um m‚todo
dispensƒvel para pacientes com suspeita da TCE.
Arlindo Ugulino Netto – MEDICINA DE URG•NCIA – MEDICINA P8 – 2011.1
123
MISCELˆNEA
Grande nível hidroaéreo na topografia do tórax, sendo sugestivo de hérnia diafragmática
traumática.
Presença de Pneumoperitônio
FAST mostrando a janela hepatorrenal demonstrando coleção de sangue em paciente
com histórico de trauma fechado.
Fratura de colo cirúrgico de úmero direito.
Fratura de dos ramos isquiopúbicos superior direito e inferior esquerdo. Provavelmente,
está associada a grande perda de sangue.
Radiografia da coxa mostrando fratura cominutiva do fêmur, no terço médio e distal.
Arlindo Ugulino Netto – MEDICINA DE URG•NCIA – MEDICINA P8 – 2011.1
124
Tomografia computadorizada não-contrastada mostrando hematoma subgaleal, fratura de
crânio, grande hematoma intracerebral, hemorragia intraventricular, desvio da linha média.
Fratura da clavícula direita
Pneumoperitônio
Pneumopericárdio.
A arteriografia (assim como outros exames
específicos: radiografia de membros e extremidades,
estudos radiológicos contrastados, urografias,
endoscopias, ultrassonografias específicas, etc.) só
deve ser realizada após o exame secundário (e, no
seu caso, se houver a presença do cirurgião
vascular).
Em A, arteriografia mostrando a presença de fístula
arteriovenosa, com extravasamento de contraste. Em
B, aspecto imediato após a embolização seletiva da
artéria rota.
Arlindo Ugulino Netto – MEDICINA DE URG•NCIA – MEDICINA P8 – 2011.1
125
MED RESUMOS 2011
CORREIA, Luiz Gustavo; NETTO, Arlindo Ugulino.
MEDICINA DE URGÊNCIA E TERAPIA INTENSIVA
TRAUMATISMO CRANIO-ENCEFÁLICO
(Professor Fábio Almeida)
O traumatismo crânio-encefálico (TCE) é considerado um evento traumático grave, cujas vítimas são críticas,
com probabilidade de morte eminente. Diante disto, os preceitos estabelecidos pelo ATLS devem ser, a rigor,
obedecidos: identificação do TCE pela avaliação primária somente após o ABCDE. Tradicionalmente, consideramos
vítimas críticas aquelas que apresentam pelo menos um dos seguintes quadros: (1) TCE; (2) alterações respiratórias
(insuficiência, principalmente); (3) perda de volume sanguíneo circulante (choque hipovolêmico), o que, geralmente,
suscita que houve lesão em outras cavidades (até porque, a lesão intracraniana cursa com graus mínimos de
sangramento e instabilidade hemodinâmica).
Entretanto, na presença de um TCE, além de alterações neurológicas focais e globais, podem estar associados
tais distúrbios respiratórios e choque hipovolêmico. Por esta razão, diante do paciente com TCE, devemos sempre
obedecer ao protocolo, independentemente, da visualização da lesão craniana, priorizando a avaliação do acrômio
ABCDE:
A: Sequência de vias aéreas e imobilização da coluna cervical
B: Sistema respiratório
C: Controle do choque
D: Avaliação neurológica simplificada
E: controle e exposição da vítima
Estando o paciente estável, devemos partir para o exame secundário, que consiste na identificação, bem como,
do tratamento de lesões específicas. Portanto, para os pacientes que sofreram TCE leve, que se apresentam consciente,
sem alterações respiratórias, com sinais de perfusão teciduais adequados (que impossibilita o choque), já devemos
requisitar o exame secundário. Pela filosofia do ATLS, a demora e a falha do exame primário possibilita o óbito do
paciente; enquanto que, a demora do exame secundário pode causar morbidades e sequelas, mas não leva ao óbito.
EPIDEMIOLOGIA
 50% dos óbitos por trauma
 60% é causada por acidentes veículo-motor
(principalmente, motociclistas)
 Causa de óbitos por atropelamentos
 TCE em militares: > 40% de óbitos
 USA: 500.000 TCE/ano
 10% morrem antes de chegar ao hospital
 TCE leves: 80%
 TCE moderados: 10%
 TCE graves: 10%
 100.000 pacientes sequelados
ANATOMIA APLICADA CRˆNIO-ENCEF…LICA
A anatomia do crânio e encéfalo é bastante complexa. Para o entendimento de alguns tipos de lesões
neurológicas que ocorrem na vigência do TCE, se faz necessário a compreensão sistemática e simplificada da anatomia
do crânio, envoltórios meníngeos, encéfalo e líquor. Do plano estratigráfico, de fora para dentro, podemos visualizar as
seguintes camadas:
 Couro cabeludo
 Crânio
 Meninges (Líquor)
 Encéfalo
 Ventrículos (Líquor)
MENINGES
O encéfalo, como um todo, é revestido por três membranas fibrosas que, de fora para dentro, são: dura-máter,
aracnóide e pia-máter. Do ponto de vista funcional, além da proteção propriamente dita, as meninges também são
importantes por formarem cavidades ou espaços (extra-dural, subdural e subaracnóideo), bem como, por participarem
efetivamente da reabsorção do líquor. De todos os componentes da esfera anatômica, as meninges são as que devem
ser melhores compreendidas para o TCE.
 Espaço extra-dural: é o espaço entre a dura-máter e os ossos do crânio.
 Espaço subdural: é um espaço meramente virtual, entre a dura-máter e aracnóide-máter, no vivo, é preenchida
por uma pequena porção de líquido.
 Espaço subaracnóideo: localiza-se entre a aracnóide e a pia-máter, é um espaço de ampla importância clínica,
por represar o líquor.
Arlindo Ugulino Netto – MEDICINA DE URG•NCIA – MEDICINA P8 – 2011.1
126
A dura-máter , correspondente anatômico da
paquimeninge, é a membrana mais externa que reveste o
encéfalo, composto por dois folhetos, interno e externo. Acima
desta meninge existe um plexo arterial e, abaixo dela, um plexo
venoso. A dura-máter é nutrida pelos vasos meníngeos, dentre os
quais, se destaca a artéria meníngea média (que é ramo da artéria
maxilar, sub-ramo da facial), que trajetam entre o folheto externo
da dura-máter o os ossos do crânio. Portanto, fica fácil de
compreender que, a ruptura da artéria meníngea média cursa com
o evento traumático reconhecido pelo hematoma extra-dural, que
se caracteriza pelo acúmulo de sangue entre o folheto externo da
dura-máter e o osso craniano correspondente. Geralmente, a
causa do hematoma extra-dural é a ruptura arterial, que acomete a
região temporal.
A aracnóide e pia-máter , em seu conjunto, são
denominadas de leptomeninge. Além de protegerem o encéfalo
contra traumatismos diários, também são importantes por
formarem o espaço subaracnóideo, que se localiza entre as duas
membranas previamente referidas, contendo o líquor. O espaço
subdural é o que se localiza entre a dura-máter (folheto interno) e a
aracnóide. O acúmulo de sangue no espaço subdural é
denominado de hematoma subdural. O evento fisiopatológico
envolvido é a ruptura traumática das veias em pontes (veias
córtico-meníngeas), que atravessam o espaço subdural, ligando a
superfície superior dos hemisférios cerebrais ao seio sagital
superior. A localização mais frequente é a na região parietal e
frontal.
LÍQUOR
O líquor é um líquido aquoso, rico em glicose, proteínas, imunoglobulinas, componentes leucocitários, que
possui, dentre as demais funções, a capacidade de proteção do encéfalo, bem como a dissipação radial de um eventual
trauma local. Circula pelo espaço subaracnóide, bem como pelas cavidades cisterno-ventriculares, até serem
reabsorvidos pelas granulações subaracnóideas presentes na região do seio sagital superior, principalmente. A sua taxa
de produção é de 20mL/hora.
FISIOLOGIA APLICADA CRˆNIO-ENCEF…LICA
O conteúdo craniano, hermeticamente fechado, é composto pela tríade: massa encefálica, sangue (arterial e
venoso) e líquor. Portanto, o aumento de algum dos componentes previamente descritos ou outros (como tumores)
promove um acrescimento da pressão intracraniana (PIC), que tem valor normal de 10 mmHg, levando em conta o fato
que a cavidade craniana é fechada, com impossibilidade de distensão. O cérebro possui um mecanismo de auto-
regulação, que tenta diminuir a possibilidade de uma
hipertensão intracraniana, que foi primeiramente
descrito por Monro-Kellie: “O conte€do craniano,
apesar de constante, pode sofrer varia‹‰es que
tentam compensar um provƒvel aumento da PIC”.
De acordo com a doutrina de Monro -Kellie,
o aumento de um dos três componentes do crânio,
resulta em um mecanismo de auto-compensação. Na
imagem, vemos que a presença de uma massa (que é
representada por aumento do tecido nervoso),
determina uma diminuição da produção do líquor, bem
como do volume sanguíneo intracraniano. No caso
dos TCE, ao percebermos que o hematoma subdural
aumenta o conteúdo de sangue dentro do crânio, pela
doutrina, o tecido nervoso não pode sofrer atrofia,
mas o líquor, bem como a circulação arterial e venosa
passam a sofrer um decréscimo, com a finalidade de
diminuir a pressão da cavidade craniana.
Arlindo Ugulino Netto – MEDICINA DE URG•NCIA – MEDICINA P8 – 2011.1
127
Os mecanismos de compensa†…o s…o representados pela fuga venosa e diminui†…o do l•quor (aumento de sua
reabsor†…o). A primeira compensa†…o ‚ a diminuição da produção do líquor, bem como o aumento de sua reabsor†…o
ou sa•da do cr‡nio. Caso, tal fen•meno n…o seja suficiente para demandar uma diminui†…o da PIC, o organismo lan†a
m…o de um sistema efetivo que diminui o volume sanguíneo circulante dentro da cavidade intracraniana, de inicio,
venoso e, em seguida, arterial. Neste ponto, ocorre uma redu†…o da press…o de perfus…o cerebral, com consequente
isquemia e morte dos neur•nios. Depois disso, se inicia a compress…o e hernia†…o do par€nquima cerebral.
FISIOPATOLOGIA
Diante do TCE, podem ocorrer dois tipos de lesˆes, que dependem do mecanismo de trauma, bem como do manejo
terap€utico do paciente: 1) les…o primƒria e 2) les…o secundƒria. A les…o primƒria ‚ a que ocorre no instante em que ocorreu o trauma,
representada pelas contusˆes, fraturas, hemorragias, hematomas, concuss…o, les…o axonal difusa (com brain swelling). Jƒ as lesˆes
cerebrais secundƒrias, s…o as que ocorrem em detrimento de processos complicadores, que se iniciam no momento do trauma, mas
que somente s…o evidenciados, clinicamente, ap„s determinado per•odo (hipertens…o intracraniana, les…o cerebral hip„xica, edema
cerebral).
 Primária: ocorrem por les…o craniana direta, sendo inerente a: fraturas, concuss…o, hematomas, hemorragias
(intraparenquimatosas).
 Secundária: (1) Causas intracranianas: convuls…o, edema cerebral, hematomas, piora da hipertens…o intracraniana; (2)
Causas sistêmicas: hip„xia, aumento ou diminui†…o da CO2, anemia, hipotens…o, aumento ou diminui†…o da glicemia.
HEMATOMA SUBDURAL
Mais frequente em rela†…o ao hematoma extradural, o hematoma subdural ocorre
em at‚ 30% dos TCE, e ocorre pelo acometimento das veias c„rtico-men•ngeas, que s…o as
veias em ponte que atravessam o espa†o subdural. Por este motivo, a localiza†…o mais
frequente deste hematoma s…o as regiˆes parietais e frontais. Entretanto, o HSD tende a
cobrir todo o hemisf‚rio cerebral, porque o sangue espalha-se livremente pelo espa†o
subdural. Š uma condi†…o que causa muito dano cerebral e, por esta raz…o, s…o mais graves
e trazem mais morbidade do que o hematoma extradural.
O diagn„stico ‚ obtido pela TC de cr‡nio, que demonstra o aspecto de cunha ou em
meia-lua do hematoma subdural (por vezes, laminares) e, um deslocamento da massa
encefƒlica ipsilateral ao hematoma para o lado oposto, com s‰bita diminui†…o do espa†o
ventricular. Na fase aguda, a les…o ‚ hiperdensa; na subaguda ‚ isodensa e, na cr•nica,
hipodensa.
OBS
1
: O hematoma subdural ‚ uma condi†…o mais frequente nos idosos, por conta da atrofia cerebral que ocorre, de
modo fisiol„gico, nesta faixa etƒria.
HEMATOMA EXTRADURAL
Os hematomas epidurais/extradurais localizam-se entre a tƒbua „ssea e a l‡mina
externa da dura-mƒter, sendo responsƒveis por 5-15% dos casos de morte por TCE,
ocorrendo em 0,5% dos casos de TCE e em 9% dos comatosos. O mecanismo ocorre
atrav‚s da ruptura da art‚ria men•ngea m‚dia, ou algum dos seus ramos, cursando com o
ac‰mulo de sangue no espa†o compreendido entre o folheto externo da dura-mƒter e a
estrutura „ssea. As principais localiza†ˆes s…o temporal ou t€mporo-parietal. Clinicamente hƒ
o “intervalo l‰cido”, caracterizado pelo paciente que se apresenta, inicialmente, “bem”, mas
que, ap„s um per•odo, apresenta convulsˆes ou rebaixamento do n•vel de consci€ncia (esta
evolu†…o pode ocorrer em minutos ou em dias). Apresentam bom progn„stico quando
reconhecidos e tratados rapidamente. Aqueles localizados na fossa posterior t€m maior
mortalidade.
O diagn„stico ‚ facilmente obtido pela TC de cr‡nio, que demonstra a configura†…o em “lente biconvexa” do
hematoma, sem ultrapassar os limites da sutura, at‚ porque o folheto externo se insinua nas suturas, e isto impede que
o sangue se espalhe e atravesse.
OBS
2
: Apesar de o hematoma extradural, por defini†…o, ser causado por uma ruptura vascular arterial, em 10% dos
casos, pode ser ocasionado pela lacera†…o dos seios venosos que, geralmente, est…o adjacentes.
Arlindo Ugulino Netto – MEDICINA DE URG•NCIA – MEDICINA P8 – 2011.1
128
Arlindo Ugulino Netto – MEDICINA DE URG•NCIA – MEDICINA P8 – 2011.1
129
OBS
3
: Š vƒlido salientar que o volume de sangue perdido nos casos de hematomas intracranianos ‚ de,
aproximadamente, 30 – 50ml de sangue. Portanto, para v•timas de TCE que se apresentam em choque hipovol€mico,
n…o devemos associar esta instabilidade hemodin‡mica ao sangramento intracraniano; certamente, deve haver outra
forma de hemorragia mais importante a ser investigada.
LES˜ES CEREBRAIS DIFUSAS
S…o representadas pela concuss…o (les…o leve) e a les…o axonal difusa – LAD (les…o grave). A concuss…o ‚ um
evento fisiopatol„gico primƒrio que pode cursar com assintomatologia ou sintomas leves. Na maioria das vezes, n…o
ocorre altera†…o neurol„gica significativa, com ECG > 14. Em raros casos, podem ocorrer perda de consci€ncia,
amn‚sia anter„grada, perguntas e afirma†ˆes repetitivas, confus…o, desorienta†…o, cefal‚ia e v•mitos. Os sinais e
sintomas podem durar desde horas, at‚ dias e, em alguns casos, pode ocorrer a s•ndrome p„s-concuss…o, que dura
algumas semanas.
FRATURAS DE CR•NIO
As fraturas de cr‡nio podem se apresentar, sob o ponto de vista morfol„gico, em vƒrios tipos. A fratura linear
corresponde a mais de 80% dos casos e, a sua presen†a ‚ algo que deve aumentar a suspeita de hematoma
intracraniano e de lesˆes cranianas traumƒticas (LCT).
 Linear (representam 80% dos casos)
 Afundamento
 Exposta/fechada
 Fratura de base de cr‡nio
HIPERTENSŒO INTRACRANIANA
Conforme foi dito anteriormente, o cr‡nio ‚ uma estrutura r•gida, que n…o pode acomodar sangramento ou
edema, sob a pena de ocorrer morte neuronal. Portanto, o principal objetivo do manejo terap€utico da hipertens…o
intracraniana (HIC) ‚ o de impedir que ocorra uma compress…o cerebral, bem como o de manter uma press…o de
perfus…o cerebral adequada.
A press…o de perfus…o cerebral (PPC) ‚ a diferen†a entre a press…o arterial m‚dia (85 – 95 mmHg) e a press…o
intracraniana (10 – 20 mmHg), com valor que varia entre 70 e 80 mmHg. Quando a PIC aumenta, ocorre uma perda do
gradiente de press…o, alterando tamb‚m a PPC.
 PAM (press…o arterial m‚dia) = PD (press…o diast„lica) + 1/3 PP (press…o de perfus…o)
 PP = PS (press…o sist„lica) – PD
 PPC = PAM – PIC
Sinais de alerta.
Alguns autores intitularam que existem sinais de alerta de poss•vel aumento da PIC ou ainda hernia†…o
eminente.
 Diminui‚ƒo de 2 pontos ou mais na Escala de Coma de Glasgow (ECG)
 Pupilas nƒo reativas ou com reflexo foto-motor lento
 Aparecimento da hemiplegia, hemiparesia ou posturas patolŠgicas (decortifica†…o, decerebra†…o)
 Fen™meno de Cushing: bradicardia, hipertens…o arterial, altera†…o do padr…o ventilat„rio (Cheyne-Stokes, por
exemplo)
Manifesta‚„es cl•nicas.
O quadro cl•nico da HIC (hipertens…o intracraniana) ‚ dado de acordo com as caracter•sticas concomitantes da
atividade da complac€ncia cerebral. O in•cio do quadro cl•nico da HIC poderƒ ser de uma assintomatologia. A explica†…o
desta aus€ncia de sintomas no in•cio do quadro cl•nico da HIC ‚ dada pelo fato de que existe um sistema efetivo de
auto-regula†…o do volume intracraniano (princ•pio de Monro-Kellie).
Com o t‚rmino da complac€ncia, os sintomas gerais mais comuns come†am a se manifestar: cefal‚ia, v•mitos
matinais (frutos de compress…o local de estruturas neuro-vasculares e dura-mƒter). Neste instante, ao se examinar o
fundo de olho jƒ se ‚ poss•vel perceber o edema de papila „ptica (que resulta da compress…o da veia central da retina
pelo LCR, surgindo as ondas de plat• no tra†ado eletroencefalogrƒfico). A partir deste ponto, se n…o ocorrer uma
interven†…o m‚dica, os sintomas exuberantes passar…o a se manifestar: altera†ˆes do n•vel de consci€ncia (sonol€ncia
e desorienta†…o), altera†ˆes da PA (press…o arterial), FC (frequ€ncia card•aca), ritmo respirat„rio. A evolu†…o final ‚ o
quadro de coma, midr•ase e morte.
O quadro cl‡ssico (tr•ade) da hipertens…o intracraniana ‚ a cefal‹ia, v™mitos e edema de papila. N…o se
deve confundir com a tr•ade de Cushing, que ‚ a que ocorre em pacientes com hipertens…o intracraniana p„s-
traumƒtica ou p„s-hemorragia (AVE), gerando: dispn‚ia, bradicardia e hipertens…o arterial. A tr•ade de Cushing ‚ uma
tentativa de o organismo restaurar a PIC, de modo que, a press…o arterial ‚ elevada para manter o fluxo sangu•neo
cerebral, a freqœ€ncia card•aca diminui pela fal€ncia de est•mulo neurol„gico.
Arlindo Ugulino Netto – MEDICINA DE URG•NCIA – MEDICINA P8 – 2011.1
130
PRINC‡PIOS DO ATENDIMENTO
O protocolo estabelecido pelo ATLS contém alguns princípios do atendimento da vítima com TCE. O
atendimento deve ser seguro, o mais precoce possível, seguindo os seguintes princípios:
 Prevenir lesões secundárias;
 Fornecer oxigenação adequada; O sistema nervoso central depende da oximetria adequada. Diante do
traumatismo crânio-encefálico, o aporte de oxigênio passa a ser comprometido, bem como nas situações em que
se tem um grau de insuficiência respiratória. Apesar deste princípio ser declarado pelo ATLS, o próprio suporte
básico de vida e o atendimento pré-hospitalar (PHTLS), também declaram que o fornecimento de oxigênio já
deve acontecer durante o transporte da vítima ao hospital-referência.
 Manter a PA, para aumentar o fluxo sanguíneo cerebral;
 ABCDE (protocolo inicial do ATLS);
 TC do crânio: No caso do TCE, a tomografia de crânio (TC) é indispensável e imprescindível para avaliação do
paciente. Nas localidades remotas, tais como em cidades de interior, muitas das vezes a ausência da TC de
crânio pode indicar uma falência no diagnóstico e tratamento do TCE. De acordo com o protocolo da ATLS, a TC
de crânio é um exame complementar que pode ser suscitado logo após o exame primário. A TC pode ser
deixada para o exame secundário quando a vítima estiver estável.
 Avaliação pela equipe de Neurocirurgia. Os hospitais de referência, também denominados de hospital nível 3,
obrigatoriamente, apresentam equipe de Neurocirurgia em regime de plantão.
AVALIA‚„O DA V‡TIMA COM TCE
EXAME PRIMÁRIO
O exame primário é composto pelo acrômio ABCDE, que foi descrito pelo ATLS. Durante a abordagem, o
primeiro atendimento visa avaliar as vias aéreas, bem como imobilizar a coluna cervical (A). Nas vítimas de TCE, muito
comumente, podem ocorrer um rebaixamento do nível de consciência, o que pode obstruir as vias aéreas superiores,
com queda da base da língua. Logo em seguida, o protocolo exige a avaliação da respiração (B), combater o choque e
identificar pulso (C), avaliação neurológica simplificada (D), e exposição da vítima (E).
 A: Cheque as vias aéreas e imobilize a coluna cervical. Neste instante, já devemos realizar a aspiração e instituir
cânula de Guedel, até chegar ao ponto em que podemos utilizar a via aérea definitiva.
 B: Avaliar a respiração e oximetria de pulso. Pacientes com ECG < 8 já devem ser submetidos à intubação
orotraqueal.
 C: Tratar agressivamente o choque com Ringer-lactato
 D: Exame neurológico simplificado (Glasgow e pupilas)
EXAME SECUNDÁRIO
O exame secundário somente deve ser iniciado nos pacientes com estabilidade hemodinâmica, com
manutenção dos sinais vitais e nível de consciência recuperado ou normal. Antes de se iniciar o exame secundário, é
importante a avaliação do acrômio AMPLA (A: alergias, M: medicamentos, P - pregnancy: gravidez, L - last-food: última
refeição e A: cenas do acidente, mecanismo de trauma). Logo após, iniciamos o exame secundário, que deve ser mais
detalhado, avaliando todo o corpo.
 Cabeça, pescoço, narinas e orelhas: Nesta etapa, o médico deve
examinar, cuidadosamente, o indivíduo como um todo, iniciando-se na parte
superior. Na cabeça, devemos avaliar deformidades, equimoses, sinais de
fraturas, etc. Nas narinas e orelhas, principalmente, a presença de
otolíquorreía/otorragia e rinorréia/rinorragia. A equimose periorbitária bilateral
(sinal do guaxinim), bem como a equimose retroauricular (sinal de Battle)
são indicativos de lesão de base de crânio.
 Exame pupilar: O exame das pupilas deverá constar da avaliação dos
reflexos fotomotor direto (contração da pupila homolateral ao estímulo
luminoso) e consensual (contração da pupila oposta ao estímulo luminoso),
isocoria pupilar (se ambas as pupilas se apresentam com o mesmo
diâmetro), dentre outros.
 Reavaliar Escala de coma de Glasgow: ocular, melhor resposta motora, verbal
 Reavaliação: atentar para sinais de deterioração, principalmente, rebaixamento do nível de consciência e
decréscimo de uma escala anterior de Glasgow.
 TC de Crânio tem o seu valor em dois momentos do protocolo estabelecido pelo ATLS. A TC de crânio pode ser
feita na abordagem complementar ao exame primário, quando o paciente for de gravidade ou ainda, nos
pacientes com nível de consciência regular, sem gravidade, durante o exame secundário.
Arlindo Ugulino Netto – MEDICINA DE URG•NCIA – MEDICINA P8 – 2011.1
131
Arlindo Ugulino Netto – MEDICINA DE URG•NCIA – MEDICINA P8 – 2011.1
132
Arlindo Ugulino Netto – MEDICINA DE URG•NCIA – MEDICINA P8 – 2011.1
133
OBS
4
: Uma das dúvidas frequentes durante o atendimento de vítimas de TCE é a indicação da tomografia (TC) de
crânio. A TC é, sem duvidas, o exame de escolha para os pacientes com TCE. Deve ser efetuado sem a presença de
contraste, com o auxílio e suporte da equipe de Neurocirurgia do atendimento. De nada adianta a presença do aparelho
de tomografia, sem a o auxílio dos profissionais adequados para o manejo da TCE, que são os neurocirurgiões. O
protocolo mais atualizado mostra que a TC de crânio deve ser indicada para todos os pacientes com ECG inferior a 13,
ou nos indivíduos que apresentaram período de inconsciência ou deterioração neurológica nos sintomas focais, mesmo
que agora se apresentem bem.
OBS
5
: A radiografia simples de crânio não possui nenhuma indicação diante do paciente com TCE. As fraturas,
afundamentos de crânio são visualizados na TC de crânio, bem como as suas conseqüências para o parênquima
nervoso.
MANEJO DO PACIENTE COM TCE
DIRETRIZES TERAPÊUTICAS
Independente da causa ou mecanismo, algumas medidas devem ser feitas diante de todas as vítimas de
traumatismo crânio-encefálico. Via de regra, quatro prioridades devem caracterizar o manejo e suporte terapêutico:
 Tratar e prevenir hipóxia: Desde o atendimento pré-hospitalar (PHTLS), indicamos a administração de oxigênio
para manter a saturação de oxigênio (SaO2) acima de 95%.
 Manter a PaCO2 normal: para manutenção da PaCO2 normal, lançamos mãos das seguintes condutas: suporte
ventilatório, evitar hiperventilação exagerada, capnografia (se disponível, manter entre 30 e 35 mmHg).
 Frequência ventilatória
o Adultos: 10 vpm
o Crianças: 20 vpm
o Crianças menores: 25 vpm
 Controlar hemorragias: O controle da hemorragia é algo que deve ser prioritariamente estabelecido diante de
vítimas de TCE. Portanto, diante de pacientes que apresentem TCE e, co-associado, sangramento abdominal,
de extremidades, devemos impedir que haja mais perda de volume, pois, de maneira direta, também afeta a
oxigenação cerebral. Em casos de hematomas extradurais, este, assim que reconhecido pela TC, deve ser
submetido à cirurgia imediata.
TRATAMENTO DA HIC
No caso dos pacientes que apresentam a tríade clínica clássica de síndrome da HIC (cefaléia, papiledema,
vômitos), ou a tríade de Cushing, devemos adicionar ao esquema proposto pelas diretrizes, a terapia da HIC.
 Elevar a cabeceira
 Manutenção da pressão arterial
 Sedação: pode ser feito com benzodiazepínicos, com muita cautela, para não sedar demasiadamente o
individuo. Caso o paciente apresente convulsões, devemos indicar a Fenitoína, via EV, 1g. O Fenobarbital
também pode ser utilizado, sob a ressalva de poder cursar com hipotensão e hipovolemia.
 Curarização: Caso o paciente possua indicação para intubação de sequência rápida.
 Osmoterapia: administração de manitol (1g/kg in bolus)
 Hiperventilação leve e controlada, no intuito de manter a PaCO2 acima entre 25 e 35mmHg (abaixo deste valor,
pode ocorrer vasoconstricção cerebral).
 Não hiperhidratar (devemos manter uma volemia constante, até o ponto de não promover aumento do edema
cerebral), evitar o uso de diuréticos (Lasix®), evitar o uso de corticóides. Se for necessário, devemos utilizar
diuréticos osmóticos como o manitol (e de forma muito controlada).
CRIT‰RIOS DE ALTA
Ainda existe certa dificuldade para estabelecer os critérios de alta de paciente com TCE. Atualmente, o protocolo
estabelece que o paciente deve ser avaliado, de modo rotineiro, sob os aspectos que serão abaixo relatados. No Brasil,
além do julgamento técnico-científico, o médico também deve julgar socialmente o paciente. Até porque, independente
das alterações clínicas, os pacientes com baixo nível socioeconômico, que residem em ambiente longe do hospital,
devem passar por uma estadia intra-hospitalar prolongada.
No geral, somente devemos dar alta ao paciente vítima de TCE, quando o mesmo se mostra sem nenhuma
alteração clínica evidente por um período vigiado pelo médico/enfermeira de, no mínimo, 24 horas (sob observação
confiável). Os parâmetros a serem avaliados são (e que devem estar ausentes):
 Sonolência
 Náuseas ou vômitos
 Convulsões/espasmos
 Cefaléia
 Sangramentos narinas/orelhas
 Paresias/plegias
 Confusão mental
 Anisocoria
 Alterações no pulso e respiração
 Baixo nível socioeconômico e cultural
Arlindo Ugulino Netto – MEDICINA DE URG•NCIA – MEDICINA P8 – 2011.1
134
Arlindo Ugulino Netto – MEDICINA DE URG•NCIA – MEDICINA P8 – 2011.1
135
Arlindo Ugulino Netto – MEDICINA DE URG•NCIA – MEDICINA P8 – 2011.1
136
CONSIDERA‚ƒES FINAIS
 Todos os pacientes comatosos ou com qualquer alteração importante do sensório devem ter suas vias aéreas
protegidas (aspiração, instalação de Guedel, oferta de oxigênio) até o ponto de proceder com via aérea definitiva
(ECG < 8).
 Evitar hipóxia e manter normovolemia
 Tratar, agressivamente, o choque com Riger lactato.
 Realizar e reavaliar constantemente o exame neurológico básico: Escala de Coma de Glasgow e avaliação
pupilar.
 Presença imprescindível do neurocirurgião.
 Sempre reavaliar o paciente e relatar em prontuário, incluindo dados clínicos, exames solicitados e condutas
tomadas a cada avaliação.
Arlindo Ugulino Netto – MEDICINA DE URG•NCIA – MEDICINA P8 – 2011.1
137
MED RESUMOS 2011
NETTO, Arlindo Ugulino.
MEDICINA DE URGÊNCIA E TERAPIA INTENSIVA
ACIDENTE VASCULAR CEREBRAL ISQUšMICO
(Professor Jorge Fonseca)
A defini†…o de Doen†as Cerebrovasculares (DCV) pelo National lnstitute of Neurological Disorders and Stroke
(NINDS) engloba todas as desordens em que existe uma ƒrea do c‚rebro transit„ria ou permanentemente afetada por
isquemia ou sangramento, e/ou onde um ou mais vasos do c‚rebro s…o primariamente afetados por processo patol„gico.
Atualmente, 30 – 40% dos leitos em UTIs s…o ocupados por pacientes v•timas de Acidentes Vasculares
Cerebrais (AVC), o prot„tipo das doen†as cerebrovasculares. O AVC ‚ uma emerg•ncia m‹dica e o sucesso do
tratamento durante a fase aguda se baseia na identifica†…o precoce tanto pelo profissional de sa‰de como pelo p‰blico
leigo, o qual deve estar atento aos sinais e sintomas de alerta, assim como a maioria da popula†…o jƒ tem conhecimento
acerca da sintomatologia do infarto agudo do miocƒrdio.
Este cap•tulo se reveste, pois, de fundamental import‡ncia para a forma†…o de futuros m‚dicos, tendo em vista
que o AVC ‚ uma das emerg€ncias mais frequentes na cl•nica m‚dica; e o progn„stico do paciente depende,
basicamente, de um diagn„stico precoce e de um tratamento efetivo.
CONSIDERA‚ƒES GERAIS
Desde a d‚cada de 90, a terapia de elei†…o para o AVC
isqu€mico (AVCi, principal foco de estudo deste cap•tulo),
consiste na terap€utica trombol•tica. Entretanto, a maioria dos
pacientes com AVC n…o recebem tratamento adequado, pois
eles n…o chegam aos hospitais capacitados em tempo hƒbil.
Al‚m disso, a disponibilidade de Centros Hospitalares
especializados em atendimento ao paciente v•tima de AVC ‚
muito precƒria.
Todos estes fatores contribuem para os elevados
•ndices de morbidade e mortalidade que giram em torno deste
tema. Isso porque, ainda em analogia com o infarto agudo do
miocƒrdio, a janela terap€utica para o AVCi ‚ muito pequena
(janelas terap€uticas de 12 horas para o IAM, contra 3 horas
para o AVCi), mesmo se tratando de uma mesma etiologia: a
isquemia. Tal fato ‚ explicado pelo fato de o neur•nio suportar
situa†ˆes de hip„xia por menos tempo, quando comparado Œ
c‚lula muscular card•aca.
Estes dados s…o t…o alarmantes que as pol•ticas de sa‰de americanas e europ‚ias, por exemplo, investem em
campanhas educativas para que a popula†…o em geral, mesmo os leigos, saibam reconhecer sinais precoces de
isquemia cerebral para que, no prazo de 1 hora, a v•tima seja bem assistida jƒ em ambiente hospitalar.
Desta forma, podemos resumir, em 4 pontos, os fatores que contribuem para o sucesso do tratamento do AVC:
 Rƒpida identifica†…o dos sinais de alerta
 Imediato encaminhamento para o servi†o de emerg€ncia
 Prioriza†…o do transporte pr‚ e intra-hospitalar para suspeita de AVC
 Diagn„stico e tratamento baseados em protocolo pr‚-definido.
De fato, como vimos anteriormente, em 1996, o FDA aprovou o uso de trombol•tico (ativador de plasminog•nio
tecidual recombinante – rtPA) dentro das 3 horas de in•cio dos sintomas (de prefer€ncia, dentro dos primeiros 90
minutos ap„s o evento), como o ‰nico tratamento para a fase aguda do AVC isqu€mico. Em 2004, a publica†…o da
metanƒlise de 6 ensaios cl•nicos com o uso do rtPA no AVCi agudo demonstrou que, quanto mais precoce o tratamento,
melhor a evolu†…o. O grupo tratado at‚ 90 minutos teve uma chance de evolu†…o favorƒvel 2,8 vezes maiores que o
grupo n…o tratado, mas houve benef•cio do tratamento at‚ 270 minutos (4 horas e meia).
A partir deste estudo, ensaios cl•nicos foram iniciados para avaliar o tratamento entre 3 a 6 horas (IST 3 e ECAS
III); a partir deles, centros de tratamento de AVC estenderam sua janela terap€utica para al‚m de 3 horas em pacientes
bem selecionados (atualmente, costuma-se ampliar a janela terap•utica do AVC para 4 horas e meia).
Apesar da eficƒcia demonstrada da terap€utica trombol•tica (ou reperfusão química), estima-se que menos de
5% dos AVCi s…o tratados com rtPA. Entre os fatores que contribuem para esta baixa elegibilidade para o tratamento
estƒ a falta de organiza†…o e capacita†…o dos servi†os de emerg€ncia para rapidamente atender esses pacientes.
Atualmente, a realidade terap€utica do AVC se baseia no uso da reperfusão mecânica por angioplastia, mas com o
objetivo apenas de evitar complica†ˆes e sequelas mais graves.
Arlindo Ugulino Netto – MEDICINA DE URG•NCIA – MEDICINA P8 – 2011.1
138
ASPECTOS ANAT•MICOS DA IRRIGA‚„O DO SISTEMA NERVOSO CENTRAL
A rede intricada de vasos arteriais que suprem o SNC ‚ de grande import‡ncia fisiol„gica, pois, o metabolismo
cerebral ‚, predominantemente, aer„bico com necessidade de n•veis elevados de oximetria e glicose.
A irriga†…o do SNC ‚ provida por dois grandes sistemas: v‚rtebro-basilar e carot•deo interno. O sistema
v‚rtebro-basilar, que corresponde a 20% do fluxo sangu•neo cerebral, ‚ responsƒvel pela irriga†…o do tronco encefƒlico,
mesenc‚falo, lobo occipital, lobo temporal (parte inferior), maior parte do tƒlamo. O sistema carot•deo interno,
responsƒvel por 80% do fluxo sangu•neo cerebral, irriga n‰cleos da base, cƒpsula interna, lobos frontal, parietal e parte
lateral do lobo temporal.
SISTEMA CAROTÍDEO INTERNO (CIRCULAÇÃO ANTERIOR)
O sistema carot•deo interno ‚
formado pelos ramos colaterais e terminais
da A. Carótida interna (ACI). A ACI
origina-se da art‚ria car„tida comum, ao
n•vel da margem superior da cartilagem
tire„idea. A partir da•, a ACI passarƒ ao
longo do pesco†o, penetrando no cr‡nio
pelo canal carot•deo do osso temporal,
perfurando a duramƒter e a aracn„ide.
Ap„s distribuir alguns ramos importantes ao
longo de seu trajeto (A. oftƒlmica, A.
comunicante posterior e A. cori„idea
anterior), a ACI bifurca-se em A. Cerebral
Anterior e A. Cerebral M‚dia.
A A. Cerebral Média constitui, pois,
um dos maiores ramos da ACI. Os ramos
corticais provenientes da ACM suprem a
superf•cie cortical s‰pero-lateral. Dela,
partem tamb‚m as importantes Aa.
lentículo-estriadas, que irrigam estruturas
internas do enc‚falo (como os n‰cleos da
base).
A A. Cerebral Anterior, por sua
vez, dirige-se para diante e
medialmente em dire†…o Œ fissura
longitudinal cerebral. Seus ramos irrigam,
principalmente, a face medial do enc‚falo.
SISTEMA VÉRTEBRO-BASILAR (CIRCULAÇÃO POSTERIOR)
Como se sabe, a A. Vertebral (AV) ‚
ramo da primeira por†…o da A. subclƒvia. Ela
ascende nos forames transversƒrios das
v‚rtebras C6-C1, perfurando a membrana
atlanto-occipital e, ap„s passar pela duramƒter
e aracn„ide, penetra na cavidade craniana
pelo forame magno. Anteriormente ao bulbo,
segue seu trajeto pr„ximo do clivus e termina
ao n•vel do sulco bulbo-pontino formando um
‰nico tronco – a A. Basilar. Ocorre que, da
AV, acontece a forma†…o das art‚rias
espinhais anteriores, posteriores e das
cerebelares. Al‚m delas, a A. Vertebral se
bifurca para formar a importante A. Cerebral
Posterior (ACP).
OBS
1
: De todos os vasos do sistema arterial
do c‚rebro, o vaso mais acometido por AVC ‚
a Artéria Cerebral Média e seus ramos.
Arlindo Ugulino Netto – MEDICINA DE URG•NCIA – MEDICINA P8 – 2011.1
139
POLÍGONO DE WILLIS
O pol•gono de Willis (circuito arterial do
c‚rebro) consiste em uma rede de anastomose
arterial situado na base do c‚rebro, sendo formado
por por†ˆes proximais das art‚rias cerebrais
anteriores, cerebrais m‚dias e cerebrais posteriores.
Entre estas art‚rias, existem ramos comunicantes
que fecham o circuito: as art‚rias comunicantes
anteriores ligam as duas art‚rias cerebrais anteriores;
as art‚rias comunicantes posteriores, ramos da ACI,
comunicam esta art‚ria Œ art‚ria cerebral posterior.
O pol•gono de Willis permite a manuten†…o
de um fluxo sangu•neo cerebral em casos de
obstru†…o de uma ou mais das quatro art‚rias que
irrigam o c‚rebro.
FISIOLOGIA DO FLUXO SANGU‡NEO CEREBRAL
A fisiologia da circula†…o intracraniana trabalha em fun†…o do fluxo sanguíneo cerebral (FSC), que determina a
quantidade de sangue em ml que irriga 100g de massa encefƒlica a cada minuto. Desta forma, a depender da histologia
cerebral, temos os seguintes valores de refer€ncia:
 Subst‡ncia cinzenta: 100ml/100g/min
 Subst‡ncia branca: 50-70ml/100g/min
Para a manuten†…o deste fluxo, cerca de 10 – 20% do d‚bito card•aco (800ml/min) ‚ destinado ao c‚rebro, o
qual consome cerca de 20% de todo O2 do corpo. Portanto, conclui-se que o tecido cerebral apresenta um alto potencial
metab„lico, e trabalha no limiar de hip„xia. Somado a isso, tem-se o fato de que o neur•nio n…o apresenta capacidade
de armazenamento de glicose e, por esta raz…o, qualquer redu†…o do fluxo sangu•neo altera o metabolismo da c‚lula
nervosa de forma drƒstica.
O sistema arterial cerebral consiste, portanto, em um sistema de alto fluxo e de baixa resistência e, portanto,
qualquer altera†…o do fluxo cerebral pode levar a altera†ˆes metab„licas importantes. Quando o FSC cai para valores
abaixo de 50ml/100g/min, ocorre um aumento da capta†…o de oxig€nio por parte do neur•nio; em caso de FSC abaixo
de 18-20ml/100g/min, jƒ ocorre preju•zo funcional, de modo que a membrana da c‚lula nervosa passa a apresentar
dist‰rbios em bombas i•nicas; para ƒreas com FSC abaixo de 10-12ml/100g/min, considera-se uma les…o irrevers•vel.
Arlindo Ugulino Netto – MEDICINA DE URG•NCIA – MEDICINA P8 – 2011.1
140
ETIOLOGIA DAS DOEN‚AS CEREBROVASCULARES
O AVC, prot„tipo das DCV, ocorre por mecanismos que
incluem intera†…o entre: vaso, elementos figurados do sangue e
variƒveis hemodin‡micas, que levar…o Œ oclus…o (AVC isqu€mico e
Ataque Isqu€mico Transit„io) ou ao rompimento do leito vascular
(AVC hemorrƒgico). De fato, a maioria dos casos de isquemia
cerebral focal ‚ causada por um bloqueio de uma art‚ria cerebral (e,
por esta raz…o, este cap•tulo tem, por objetivo, caracterizar melhor o
AVCi).
Desta forma, em termos gerais, o AVC pode ser conceituado
como um d‚ficit neurol„gico s‰bito, motivado por isquemia ou
hemorragia no sistema nervoso central. A obstru†…o ao fluxo
sangu•neo com interrup†…o do fornecimento de oxig€nio e glicose ao
tecido cerebral afeta os processos metab„licos naquela ƒrea,
causando a morte celular e, consequentemente, as repercussˆes
cl•nicas do AVC.
Do ponto de vista de incid€ncia, temos:
 AVCi emb„lico – 32%
 AVCi aterotromb„tico de pequenos vasos (lacunar) – 20%
 AVCi aterotromb„tico de grandes vasos – 31%
 Hemorragia intraparenquimatosa – 10%
 Hemorragia subaracn„idea – 5 a 7%
ACIDENTE VASCULAR HEMORRÁGICO (AVCh)
O AVCh ‚ responsƒvel por cerca de 15-20% dos AVCs e abrange, por defini†…o, qualquer ac‰mulo de sangue
dentro da caixa craniana. Ocorre pela ruptura de um vaso sangu•neo intracraniano. O sangue em contato com o
par€nquima nervoso tem a†…o irritativa. Al‚m disso, a inflama†…o e o efeito de massa ou press…o exercida pelo coƒgulo
de sangue no tecido nervoso prejudica e degenera o c‚rebro e a fun†…o cerebral.
Quanto ao tipo de AVCh, podemos destacar:
 AVCh intraparenquimatoso (10%): suas principais causas s…o: hipertens…o arterial sist€mica (70 a 90% dos
casos); aneurismas cerebrais; malforma†ˆes vasculares; tumor cerebral; angiopatia amil„ide; dist‰rbios de
coagula†…o; abuso de drogas; arterites; infarto hemorrƒgico.
 AVCh por hemorragia subaracnóidea (5%): suas principais causas s…o: aneurismas cerebrais (80% dos
casos); malforma†ˆes arteriovenosas (4 a 5%); dissec†…o das art‚rias cerebrais; dist‰rbios da coagula†…o;
vasculites do SNC; etiologia desconhecida (14 a 22%).
 Outras causas: hemorragias subdural (HSD) e subaracn„ideas (HSA).
ATAQUE ISQUÊMICO TRANSITÓRIO (AIT)
O conceito atual de AIT se caracteriza por um d‚ficit neurol„gico focal, encefƒlico ou retiniano, s‰bito e
revers•vel, secundƒrio a uma doen†a vascular isqu€mica, com dura†…o menor que 1 hora e sem evid€ncia de les…o
isqu€mica nos exames de imagem, causando sintomas que regridem em menos de 24 horas. Na realidade, a dura†…o
do fen•meno isqu€mico varia, na maioria das vezes, de 2 a 20 minutos, a depender do sistema arterial acometido:
 Sistema carot•deo interno – 14 minutos
 Sistema v‚rtebro-basilar – 8 minutos
Portanto, AIT e AVC isqu€mico s…o espectros de uma mesma doen†a vascular isqu€mica encefƒlica e a sua
defini†…o dependerƒ dos m‚todos de imagem utilizados. Desta forma, a persist€ncia dos sinais cl•nicos ou a presen†a de
altera†ˆes nos exames de imagem ‚ que definem o AVC isqu€mico.
Quanto ao quadro cl•nico do AIT, destacamos sintomas passageiros, tais como d‚ficit motor, sensoriais, visuais
e comunicativos (dist‰rbios verbais passageiros). Daqueles pacientes cujo os sintomas persistem por mais de 1 hora,
apenas 14% regridem em 24 horas.
Al‚m destes dados, ‚ importante salientar que 5% de v•timas de ATI sofrer…o um AVC nos pr„ximos 30 dias se
n…o forem tratados e 10 a 20% sofrer…o um evento reincidente. Tais eventos reincidentes s…o sensivelmente reduzidos
com o uso de medicamentos, endarterectomia ou stens.
ACIDENTE VASCULAR CEREBRAL ISQUÊMICO (AVCi)
O Acidente Vascular Cerebral Isqu€mico (AVCi) caracteriza-se, tipicamente, como o epis„dio de disfun†…o
neurol„gica (focal ou global) decorrente de isquemia cerebral com sintomas t•picos durando mais do que 24 horas (ou
levando Œ morte), sem outra causa aparente que n…o vascular, e com presen†a de les…o em exames de imagem
(tomografia computadorizada ou resson‡ncia magn‚tica do cr‡nio). Representa a maioria dos casos de doen†a
cerebrovascular, com incid€ncia de 80-85% dentro os tipos de AVCs.
Arlindo Ugulino Netto – MEDICINA DE URG•NCIA – MEDICINA P8 – 2011.1
141
OBS1
: O AVC isqu€mico completo e o ataque isqu€mico transit„rio (AIT) t€m, portanto, a mesma fisiopatologia e s…o distingu•veis
pela dura†…o da isquemia, suficiente para causar necrose do tecido cerebral, no caso do AVCi, e breve o suficiente para permitir a
recupera†…o completa no caso do AIT, de forma que seus sintomas n…o podem durar mais do que 24h.
As causas e tipos de AVCi est…o dispostos da seguinte maneira:
 Trombótico (31% dos casos): ‚ causado por lesˆes ateromatosas pr‚-existentes. Acomete, principalmente,
art‚rias de m‚dio e grande calibre. A aterosclerose das art‚rias causa um estreitamento da luz do vaso com
agrega†…o plaquetƒria e obstru†…o ao fluxo sangu•neo. Tal evento ocorre comumente na bifurca†…o das art‚rias
car„tidas. S…o pronunciados, em 50 a 60% dos pacientes, por sintomas transit„rios, na forma de AIT ou por AVC
m•nimo.
 Embólico (32% dos casos): pode ser causado por embolia inerente a material tromb„tico de origem vascular
ou card•aca. O que ocorre ‚ a obstru†…o de um vaso por fragmentos emb„licos originados de uma ƒrea fora do
c‚rebro (coƒgulos, fragmentos de vƒlvulas card•acas, tumores, l•quido amni„tico). O material emb„lico, ent…o, se
aloja onde as art‚rias ramificam e costuma causar eventos neurol„gicos de forma repentina, com sintomas
exuberantes.
 Lacunar (20% dos casos): causados pela hipertrofia e, finalmente, comprometimento luminal dos pequenos
vasos penetrantes, geralmente sob regime cr•nico de hipertens…o arterial sist€mica. Acomete, principalmente,
art‚rias de pequeno calibre ou arter•olas (art‚rias perfurantes), determinando lesˆes de pequeno tamanho (mas
cuja repercuss…o cl•nica pode ser exuberante).
Dependendo da extens…o do campo de irriga†…o arterial do vaso comprometido, o AVCi pode ser classificado
como global ou focal. O AVCi global caracteriza-se por uma isquemia difusa, inerente a uma parada card•aca, choque
prolongado e hipotens…o grave. O AVCi focal, por sua vez, ‚ caracterizado por uma oclus…o arterial inerente a uma
trombose, embolia ou por uma doen†a vascular. O tipo focal ‚ o mais comum.
Como vimos anteriormente, o FSC normal ‚ de, aproximadamente, 50-70ml/100g/min. Em determinadas ƒreas
do SNC, o fluxo sangu•neo ‚ maior, a exemplificar, as ƒreas do neoc„rtex que apresentam fluxo de 70 –
100ml/100g/minuto. Estudos neurofisiol„gicos evidenciaram que o fluxo sangu•neo lim•trofe para a fal€ncia de atividade
el‚trica neuronal (sil€ncio el‚trico) ‚ de 16 a 18ml/100g/min, sem que haja ocorr€ncia de fal€ncia do metabolismo
energ‚tico (potƒssio intracelular normal, sem dano neuronal). Considera-se que um fluxo menor que 10-12ml/100g/min ‚
determinante para o infarto cerebral.
Na vig€ncia da instala†…o do AVCi, observam-se as seguintes ƒreas de altera†ˆes na regi…o da les…o nervosa:
oliguemia; ƒrea (ou zona) de penumbra; e ƒrea de infarto (figura ao abaixo).
 A oliguemia, que ‚ caracterizada pela diminui†…o do fluxo sangu•neo local, ‚ a ƒrea de tecido nervoso que n…o estƒ
perfazendo o metabolismo ideal celular pela diminui†…o do aporte sangu•neo. Fisiologicamente, apresenta um fluxo
sangu•neo que varia de 20 a 70ml/100g/minuto.
 A zona mais central ‚ a área de infarto ou, caso
esteja mais avan†ado, a ƒrea de necrose, onde
existem perdas neuronais mais evidentes.
Fisiologicamente, o tecido nervoso entra em infarto
quando o fluxo atinge valores menores que
12ml/100g/minuto.
 A ƒrea intermediƒria entre a ƒrea de infarto do tecido
nervoso e a oliguemia ‚ conhecida como a área de
penumbra. A penumbra isqu€mica representa a
regi…o em que n…o hƒ dano neuronal significativo,
onde o fluxo sangu•neo cerebral encontra-se entre o
limiar de fal€ncia el‚trica e energ‚tica e colapso da
bomba i•nica. Fisiologicamente, apresenta um fluxo
sangu•neo que varia de 12 a 20 ml/100g/minuto. O
termo "penumbra" ‚ puramente descritivo e faz uma
analogia com o halo parcialmente sombreado que
surge ao redor do centro de um eclipse solar
completo. Na prƒtica, penumbra isqu€mica ‚ o anel
tecidual que se forma ao redor do centro de um tecido
densamente isqu€mico, que tende a evoluir
centrifugamente e se tornar isqu€mica (ver OBS2
).
OBS
2
: A import‡ncia do entendimento da exist€ncia de 3 ƒreas durante um evento de AVC ‚ dada pelo fato de que o
tratamento apresenta, como principal objetivo, conceder subsídios terapêuticos para que as áreas de penumbra e
oliguemia retornem à normalidade que antecedia o evento vascular. Isso porque apenas a isquemia nestas ƒreas ‚
revers•vel (diferentemente da ƒrea de necrose, cujo tecido jƒ n…o tem mais salva†…o). Caso contrƒrio, isto ‚, se o
tratamento n…o for institu•do prontamente, a ƒrea de penumbra ‚ totalmente invadida pela ƒrea de necrose ap„s um
per•odo de tempo, que dura, em m‚dia, 3 – 4 horas a partir da isquemia inicial (ictus). Da• o famoso aforismo “time is
brain” ou “tempo ‚ c‚rebro”.
Arlindo Ugulino Netto – MEDICINA DE URG•NCIA – MEDICINA P8 – 2011.1
142
EPIDEMIOLOGIA
 O AVC consiste na 3§ causa mais frequente de morte em pa•ses desenvolvidos (perdendo apenas para as
doen†as coronƒrias e o c‡ncer; al‚m do trauma);
 Consiste na principal causa de morbidade e incapacidade prolongada;
 Estƒ relacionado com alto custo econ•mico e individual;
 A maioria que sobrevive a fase aguda, apresenta d‚ficit neurol„gico e necessita de reabilita†…o:
 70% n…o retornam ao trabalho;
 30% necessitam de aux•lio para deambular.
 Estimativas:
 A cada 5 segundos, 1 pessoa sofre um AVC no mundo;
 A cada 1 minuto, uma pessoa apresenta um AVC nos EUA;
 A cada 3,3 minutos, algu‚m morre v•tima de AVC;
 1/3 dos sobreviventes de um AVC terƒ outro epis„dio dentro de 5 anos;
 Das pessoas acometidas, cerca de 20 a 30% sofrem perda gradual da cogni†…o e atingem a dem€ncia
em 1 ano;
 50% das mortes decorrentes de AVC ocorre antes de chegar ao hospital (principalmente nos casos de
acometimento da ACM).
FISIOPATOLOGIA
A fisiopatologia do AVCi muito se assemelha Œ da doen†a coronariana, pois estƒ baseada na doença
aterosclerótica inerente ao envelhecimento. De fato, a aterosclerose ‚ a causa mais comum dos eventos
cerebrovasculares.
Em resumo, a placa ateroscler„tica leva Œ forma†…o de um trombo/embolo que se desprende e leva Œ oclus…o
vascular e, consequentemente, ao infarto cerebral. A oclus…o ou hipoperfus…o do vaso cerebral provoca a morte
neuronal no centro da zona infartada. Como vimos anteriormente, a ƒrea que circunda a necrose (penumbra isqu€mica)
cont€m tecido cerebral ainda viƒvel (cuja hipoxemia pode ser revertida se tratada prontamente).
FATORES DE RISCO
Os fatores de risco t€m uma rela†…o direta com a incid€ncia de AVC`s. Os fatores de risco podem ser
modificƒveis (quando est…o ligados aos hƒbitos individuais) ou n…o-modificƒveis (os que n…o tem rela†…o com o hƒbito
individual, nem sequer com caracter•sticas do meio em que o indiv•duo vive). As mortes por AVC podem ser reduzidas
ou retardadas se for trabalhada a preven†…o e o controle dos fatores de risco modificƒveis.
 Não-modificáveis  Modificáveis
 Idade avan†ada
 Ra†a
 Sexo
 Hist„ria familiar de AVC ou doen†a
cardiovascular
 HAS
 Doen†as card•acas
 Diabetes melito
 Dislipidemias
 Tabagismo
 Obesidade
 Sedentarismo
QUADRO CL‡NICO DO AVCI
Os sintomas e sinais, al‚m da gravidade do quadro, dependem de, pelo menos, tr€s fatores: (1) do territ„rio
cerebral envolvido; (2) da extens…o da les…o e da presen†a de circula†…o colateral; (3) da possibilidade de
estabelecimento rƒpido do fluxo sangu•neo.
De um modo geral, alguns dos sintomas mais frequentes s…o:
 Diminui†…o da for†a e sensibilidade contralateral ao evento isqu€mico
 Afasia, apraxia e disartria
 Hemianopsia parcial ou total
 Altera†…o da consci€ncia
 Diplopia, vertigem, nistagmo, ataxia
OBS
3
: As pol•ticas de sa‰de americanas e europ‚ias lan†am campanhas, utilizando a pr„pria m•dia como ve•culo,
ensinando leigos a reconhecer, prontamente, os principais sinais gerais de um AVC (stroke, do ingl€s). A campanha
mais difundida ‚ conhecida como Stroke Heroes, e se baseia no seguinte acr•mio (act FAST):
 F – face: paralisia ou plegia facial.
 A – arm: diminui†…o da for†a no membro.
 S – speech: dist‰rbio da linguagem
 T – time: solicite servi†o de emerg€ncia m‚dica o mais rƒpido poss•vel.
Arlindo Ugulino Netto – MEDICINA DE URG•NCIA – MEDICINA P8 – 2011.1
143
AVC DA ARTÉRIA CARÓTIDA INTERNA
A artéria carótida interna irriga, através de seus ramos, a maior parte dos hemisférios cerebrais e o diencéfalo,
entretanto, a sua oclusão é insidiosa e causa poucas manifestações clínicas (pois o polígono de Willis supre o território
cerebral acometido, até certo ponto). Caracteriza-se por:
 Amaurose fugaz ipsilateral
 Afasia profunda (principalmente no acometimento
do hemisfério direito)
 Hemianopsia
 Hemiplegia e hemiparesia contralateral
 Nível alterado de responsividade
AVC DA ARTÉRIA CEREBRAL ANTERIOR
A ACA é ramo da ACI e irriga a parte medial dos lobos frontal e parietal, onde está presente, por exemplo, o
córtex motor primário e o córtex somestésico primário pertinente aos membros inferiores, além de outros centros
corticais não menos importantes. Entretanto, trata-se de um AVC raro (5% dos casos), pois o território de irrigação é
suprido pelo polígono de Willis.
Caracteriza-se por:
 Confusão mental
 Fraqueza e dormência ipsilateral
 Déficit de mobilidade com maior sensação nos
membros inferiores do que nos membros
superiores
 Paralisia da perna e pé contralateral
 Perda da coordenação
 Déficit de função sensitiva
 Incontinência urinária
AVC DA ARTÉRIA CEREBRAL MÉDIA
A ACM irriga toda a superfície súpero-lateral dos lobos temporal e parietal, além de uma porção do lobo frontal.
Neste território de irrigação, estão inclusas as áreas motoras e sensitivas primárias pertinentes à face, à musculatura da
garganta e membros superiores (mão e braço). Além disso, no hemisfério dominante (esquerdo, em 90% da população),
existe a área motora da linguagem (área de Broca) e a área sensitiva de linguagem (área de Wernicke). A maioria dos
AVCs acomete parte ou todo o território da ACM (70%).
Caracteriza-se por:
 Alteração da comunicação (linguagem)
 Afasia (por acometimento do hemisfério
dominante)
 Dificuldade de leitura (dislexia)
 Disfagia
 Perda sensorial contralateral com predomínio
bráquio-facial
 Déficit motor contralateral com predomínio
bráquio-facial
 Hemianopsia
AVC DA ARTÉRIA CEREBRAL POSTERIOR
A ACP irriga face inferior do lobo temporal, lobo occipital medial (inclusive área visual), tálamo e hipotálamo.
Corresponde a 15% dos AVCs. Caracteriza-se por:
 Hemianopsia contralateral
 Dificuldade para leitura
 Afasia (dificuldade para nomear os objetos)
 Agnosia visual (desconhecimento de objetos)
 Vertigem e ataxia
 Hemiplegia
 Hemianestesia
AVC DO SISTEMA VÉRTEBRO-BASILAR
Tal sistema irriga tronco cerebral e cerebelo. Caracteriza-se por:
 Síndrome bulbar lateral (caracterizada por
vertigem, náuseas, vômitos, nistagmo, ataxia)
 Coma
 Diplopia
 Hemiplegia
 Paralisia pseudo-bulbar
 Tetraplegia e anestesia completa
Arlindo Ugulino Netto – MEDICINA DE URG•NCIA – MEDICINA P8 – 2011.1
144
Artéria acometida Território isquêmico Quadro clínico
Artéria cerebral média
Artéria cerebral anterior
Artéria cerebral posterior
DIAGN†STICO CL‡NICO
O diagnóstico clínico do AVC deve ser considerado em todo paciente com início súbito de déficit neurológico ou
rebaixamento do nível de consciência, até que se prove o contrário. Neste momento, se faz necessário apenas
estabelecer o diagnóstico diferencial ou outros quadros que mimetizam o AVC.
O quadro clínico sugestivo de AVCi, de uma
forma geral, caracteriza-se por:
 Déficit focal neurológico
 Dificuldade para falar
 Formigamento ou déficit motor pronunciado
 Perda visual parcial ou total
 Visão dupla (diplopia)
 Vertigem e desequilíbrio
Para a população leiga, como vimos a
propósito da OBS
3
, foram listados alguns sinais de
alerta que sugerem o AVC, tais como: (1) dormência
súbita ou fraqueza muscular em face, braço ou
perna, especialmente em apenas um lado do corpo;
(2) dor de cabeça severa e súbita; (3) dificuldade
súbita em caminhar, tontura, balanço corporal e
incoordenação motora; (4) confusão súbita de
linguagem ou entendimento; (5) distúrbios visuais
com um ou com os dois olhos.
Arlindo Ugulino Netto – MEDICINA DE URG•NCIA – MEDICINA P8 – 2011.1
145
ESCALAS CLÍNICAS
A partir destas caracteriza†ˆes cl•nicas, foram criadas escalas pr‚-hospitalares espec•ficas para o
reconhecimento do AVC, o que aumenta a sensibilidade do diagn„stico. Devem ser utilizadas por param‚dicos em
pacientes com fatores de risco. As principais s…o:
 Escala pr‚-hospitalar de Cincinnati
 Escala pr‚-hospitalar de Los Angeles
Escala pré-hospitalar de Cincinnati.
A Cincinnati Prehospital Stroke Scale –
CPSS baseia-se na avalia†…o de tr€s achados
f•sicos:
 Queda/fraqueza facial
 D‚ficit motor – queda do bra†o
 Afasia – fala anormal (incapacidade de
repetir a frase: “O Brasil … o paŒs do
Futebol”).
Se algum destes sinais for anormal, a
probabilidade de um AVC ‚ de 72%. Se os tr€s
achados estiverem presentes, a possibilidade ‚
maior que 85%. Esta escala ‚ mais utilizada na
prƒtica.
Escala pré-hospitalar de Los Angeles.
A Los Angeles Prehospital Stroke Screen – LAPSS ‚
um pouco mais complexa do que a CPSS, mas apresenta um
valor preditivo positivo bem maior do que esta escala.
O paciente com achados positivos nos 8 crit‚rios
listados pela escala apresenta 97% de probabilidade de ter
um AVC.
EXAME NEUROLÓGICO
O exame neurol„gico tem, por responsabilidade, avaliar o n•vel de consci€ncia e de responsividade do paciente.
Como ‚ de se esperar, quanto maior for a ƒrea infartada, maiores ser…o as altera†ˆes ao exame neurol„gico – quanto
maior o rebaixamento do n•vel de consci€ncia, maior o risco de complica†…o dos pacientes.
A Escala de coma de Glasgow e escala de d‚ficit neurol„gico do National lnstitute of Health Stroke Scale
(NIHSS) s…o par‡metros que podem ser utilizados. A escala de coma de Glasgow, bastante utilizada para o trauma,
tem uso limitado em paciente entubados, com trauma ocular e com d‚ficitos neurol„gicos pr‚vios. Entretanto, mesmo
sendo de uso limitado para o AVC, ainda serve como um bom par‡metro para avaliar a evolu†…o do paciente (o aumento
ou a diminui†…o de uma determinada pontua†…o de Glasgow dada previamente ao paciente, sugere que houve melhora
ou piora do quadro, e sempre deve ser avaliada).
A National Institute of Health Stroke Scale (NIHSS, sigla que, comumente, ‚ pronunciada em ingl€s) ‚ uma
escala padr…o, validada, segura, quantitativa da severidade e magnitude do d‚ficit neurol„gico ap„s o AVC. Foi
desenvolvida por pesquisadores americanos (University of Cincinnati Stroke Center) com dois objetivos principais: (1)
avaliar a intensidade do d‚ficit neurol„gico; (2) avaliar a severidade do AVC. Ela ‚ composta por 11 itens, que somam 42
pontos padronizados para compara†…o de resultados entre outros centros. A escala deve ser aplicada por neurologista e
deve levar, aproximadamente, 7 minutos para ser realizada.
Arlindo Ugulino Netto – MEDICINA DE URG•NCIA – MEDICINA P8 – 2011.1
146
Quanto a pontuação da NIH, devemos interpretar:
 Pontuação de 0 a 1 indica exame normal;
 Pontuação de 0 a 4 indica um AVC leve;
 Pontuação de 5 a 15 indica um AVC moderado;
 Pontuação de 15 a 20 indica um AVC severamente moderado;
 Pontuação acima de 20 indica um AVC severo;
 NIH > 22 indica pior prognóstico com risco aumentado de complicações hemorrágicas.
A partir desta escala, por exemplo, além de predizer o prognóstico do paciente, podemos sugerir alguns dados
referentes ao tratamento: para pacientes com NIHSS menor que 4 ou maior que 22, contra-indica-se o tratamento com
trombolítico, mesmo que ele chegue ao pronto-socorro com menos de 3 horas, pois o risco de transformação em AVC
hemorrágico é muito grande para pacientes com NIH > 22 ou por se tratar de um evento isquêmico relativamente leve
para NIH < 4.
Cerca de 60 a 70% dos AVCi e NIHSS menor que 10 terá um prognóstico favorável após 1 ano, quando
comparados com apenas 4 a 16% ao daqueles com NIHSS > 20 pontos.
Dos 42 possíveis pontos na NIHSS, 7 pontos são diretamente relacionados com a linguagem (orientação,
comandos 2, afasia 3) e somente 2 pontos relativos a negligência. Sendo o hemisfério esquerdo dominante para a
linguagem em 99% dos indivíduos destros (90-95% da população) e 60% dos indivíduos sinistros, a NIHSS pode medir a
severidade de extensão das lesões no hemisfério direito diferentemente do esquerdo. Assim, considera-se que a escala
tende a subestimar a extensão da lesão no hemisfério cerebral direito (cerca de 6 pontos a menos) em relação ao
hemisfério esquerdo. Diante disso, a pontuação mínima basal para lesão extensa do hemisfério esquerdo é 20 e do
direito é 15. Associa-se com a pontuação na admissão:
Arlindo Ugulino Netto – MEDICINA DE URG•NCIA – MEDICINA P8 – 2011.1
147
 Lesão à tomografia computadorizada de crânio 3 meses pós-AVC.
 Severidade clínica pós-AVC.
 Risco de sangramento relativo à terapia trombolítica.
 Probabilidade de demonstrar oclusão arterial em arteriografia cerebral convencional.
DIAGN†STICO COMPLEMENTAR
Alguns procedimentos complementares podem ser considerados para melhor firmar ou confirmar o diagnóstico
de AVC. Dentre eles, temos:
 Neuroimagem: tomografia computadorizada (TC) e ressonância nuclear magnética (RM), importantes para
diferenciar AVCi do AVCh, cujos tratamentos são extremamente diferentes
 Eletrocardiograma
 Ultrassonografia
 Testes laboratoriais
NEUROIMAGEM
A neuroimagem apresenta salutar importância para a decisão do tipo de terapia a ser implementada. Dentre os
exames de imagem, destacamos a tomografia computadorizada (TC) e a ressonância nuclear magnética (RM). Na
comunidade Européia, há tendência de abandono da TC e substituição para RM (entretanto, além de esta ser uma
realidade remota para o Brasil, a TC se mostra como um excelente exame para afastar a possibilidade de AVCh).
Nos dias atuais, os principais objetivos da neuroimagem são:
 Identificar o AVC agudo e afastar outras causas (como o AVC hemorrágico)
 Distinguir o tecido cerebral necrótico do isquêmico (isto é: definir a extensão da área de infarto e da penumbra)
 Prever o risco de Hemorragia após trombólise
 Prever agudamente o prognóstico a longo prazo
 Estabelecer o momento em que o fluxo sanguíneo cerebral torna-se crítico e monitorizar sua recanalização
Tomografia computadorizada (TC) de crânio sem contraste.
A TC de crânio tem o objetivo principal de distinguir, de forma imediata, o AVC isquêmico do hemorrágico (isto é,
excluir a possibilidade de AVCh, afastando a possibilidade de eventuais hemorragias), antes da realização da terapia
trombolítica, pois consiste em um exame muito sensível no diagnóstico de hemorragias focais agudas. Além disso,
podemos citar como fatores que fazem da TC o exame de escolha para a fase aguda do AVC: boa disponibilidade do
exame, rapidez para realização e baixo custo.
Os sinais precoces de isquemia dentro das primeiras 3 a 6 horas do início do evento isquêmico são:
 Hipodensidade no leito isquêmico;
 Apagamento dos sulcos corticais e cisternas;
 Indefinição da transição córtico-subcortical;
 Hiperdensidade no interior de uma artéria cerebral (ACM, principalmente).
Os três primeiros sinais resultam do acúmulo de água (edema citotóxico) no tecido injuriado, sendo que a
hipodensidade parece ser o sinal de maior gravidade. A presença de hiperdensidade no interior de um vaso se relaciona
com trombo fresco e mais comumente ocorre na artéria cerebral media (sinal da artéria cerebral média hiperdensa).
Quanto mais proximal o trombo, pior a evolução. Os sinais podem surgir isoladamente ou em qualquer combinação.
Arlindo Ugulino Netto – MEDICINA DE URG•NCIA – MEDICINA P8 – 2011.1
148
O leito isqu€mico se manifesta como hipodensidade na TC devido ao ac‰mulo progressivo de ƒgua secundƒrio
ao edema citot„xico. Geralmente a hipodensidade surge nas primeiras 3 horas ap„s o evento, fica marcada ap„s 24-
48hs e ‚ irrevers•vel. Por outro lado, a hemorragia se manifesta como uma les…o hiperdensa na TC, geralmente com
uma densidade de 50-60HU, que aumenta nas primeiras horas devido Œ retra†…o do coƒgulo.
A TC ‚, portanto, um m‚todo difundido, com custo baixo, e boa acurƒcia. Em algumas situa†ˆes o m‚todo
permanece como principal exame de investiga†…o como no diagn„stico de hemorragia, traumatismo e calcifica†ˆes.
Al‚m disto, ‚ extremamente ‰til para detectar complica†ˆes potencialmente letais como hernia†…o cerebral e hidrocefalia
aguda. Em compara†…o com a RM, entretanto, a TC tem menor sensibilidade para detectar lesˆes isqu€micas,
principalmente para detectar lesˆes na fossa posterior e, em menor grau, nos lobos temporais. Neste contexto, a RM
pode ser necessƒria ap„s uma TC inconclusiva. Entretanto, a TC ainda tem prioridade nos protocolos de atendimento ao
AVC.
Ressonância nuclear magnética (RM).
A RM apresenta alta sensibilidade e especificidade para diagn„stico de AVCi e AVCh, especialmente, de fossa
posterior. Na maioria dos centros de AVC, a RM ‚ considerada um m‚todo fundamental para aumentar a elegibilidade
de pacientes para terapia trombol•tica, principalmente ap„s as primeiras 3 horas de in•cio do evento. O princ•pio bƒsico ‚
aumentar a janela terap€utica atrav‚s da detec†…o de viabilidade tecidual. Neste contexto, a sequ€ncia da RM em
difus…o auxilia a detec†…o do core isqu€mico e a sequ€ncia de perfus…o por RM mapeia a ƒrea penumbra (que ‚,
justamente, a ƒrea a ser salva pela terapia trombol•tica).
De uma forma geral, alguns comentƒrios podem ser feitos acerca das principais aquisi†ˆes da RM que
podem ser utilizadas na admiss…o de um paciente com suspeita de AVC:
 Difusão: essa sequ€ncia leva em considera†…o a difus…o da mol‚cula de ƒgua. A sequ€ncia de difus…o ‚ a
melhor para definir a área de necrose tecidual (a qual se mostra com hipersinal).
 Perfusão: a RNM por perfus…o determina a ƒrea de penumbra (podemos, inclusive, facilitar o aprendizado
comparando o “P” de perfus…o com o “P” de penumbra). A mƒquina de RM capta mobiliza†…o das part•culas de
ƒgua dentro do c‚rebro. No edema citot„xico, as mol‚culas de ƒgua est…o dentro do neur•nio, c‚lulas gliais. No
AVC agudo existirƒ o edema citot„xico, com isso, as mol‚culas de ƒgua estar…o se movimentando menos, com
diminui†…o do mapa de perfus…o.
 T2* (T2-Estrela ou gradiente-eco): a sequ€ncia T2* ou gradiente eco ‚ a mais ‰til para definir se hƒ
hemorragias, provavelmente, de grande import‡ncia para determinar o potencial de transforma†…o
hemorrorƒgica de uma les…o inicialmente isqu€mica. As hemorragias cr•nicas s…o melhores visualizadas pela
sequ€ncia T2*. A sequ€ncia T2* ‚ muito utilizada para se investigar presen†a de focos de sangue. De um modo
geral, quando o paciente ‚ submetido ao exame de RNM, a primeira sequ€ncia a ser feita ‚ a T2* e, caso exista
sangramento, aborta-se o restante do exame para dar seguimento ao tratamento espec•fico para a hemorragia.
Em A, observamos a TC aparentemente
normal de um paciente com suspeita de AVC
realizada pouco tempo depois do ictus.
Observe, em B, uma RM em perfus…o
realizada 15 minutos ap„s a TC. Nela, jƒ ‚
poss•vel observar uma ƒrea de hipersinal,
sugerindo sofrimento da transi†…o
pontomesencefƒlica.
Em A, observamos uma TC aparentemente
normal realizada em um paciente minutos ap„s
ele apresentar quadro de hemiparesia a direita e
afasia. Em B, observa-se uma RM em perfus…o
realizada pouco tempo depois do primeiro
exame. Nela, observe a extensa ƒrea de
sofrimento sylviano esquerdo na forma de um
hipersinal na regi…o arterial da ACM.
Arlindo Ugulino Netto – MEDICINA DE URG•NCIA – MEDICINA P8 – 2011.1
149
Portanto, as sequ€ncias da RM ponderadas em T2 s…o mais sens•veis do que a TC para o diagn„stico da
hemorragia intracerebral. S…o ‰teis, por exemplo, na identifica†…o da quantidade da ƒrea infartada e do tecido
cerebral em risco (oliguemia e penumbra), e que deve ser salvo terapeuticamente. Entretanto, ainda ‚
considerado um exame caro e de pouca disponibilidade.
OBS
4
: Š oportuno, neste momento, definir um termo comum na
cl•nica neurol„gica referente ao AVC, conhecido como
mismatch. At‚ aqui, vimos que a perfus…o por RM busca definir
a propor†…o de tecido cerebral que estƒ isqu€mico, por‚m ainda
viƒvel (penumbra isqu€mica). Desta forma, pacientes com
volume pequeno de les…o na difus…o (ƒrea isqu€mica pequena),
mas com grande d‚ficit perfusional na perfus…o (penumbra
extensa) seriam os candidatos ideais para terapia trombol•tica
(princ•pio do mismatch difusão-perfusão), uma vez que, como
vimos (OBS
2
), a ƒrea de necrose ‚ irrevers•vel, diferentemente
da ƒrea de penumbra. Desta forma, se a RM mostrar uma ƒrea
de penumbra igual Œ ƒrea de necrose, n…o hƒ mismatch difus…o-
perfus…o e, por este par‡metro, contra-indica-se a terapia
trombol•tica (uma vez que a ƒrea de penumbra corresponde a
pr„pria ƒrea de necrose e, desta forma, n…o pode ser revertida
ou salva pela terapia trombol•tica).
OBS
5
: Uma alternativa para detectar este fen•meno, sem a utiliza†…o da sequ€ncia em perfus…o, ‚ o mismatch clínico-
difusão (quando a RM em difus…o – ou a pr„pria TC – mostra uma pequena ƒrea de necrose, mas o paciente apresenta
uma cl•nica exuberante; o que prova que este paciente apresenta uma grande ƒrea de penumbra, que ainda ‚
revers•vel). Neste contexto, pacientes com pequenos volumes de tecido lesado na difus…o, mas com grandes d‚ficits
cl•nicos (pontua†…o na escala de AVC do NIH > 8), seriam candidatos ideais para terapias de tromb„lise, pois nos faz
pensar que a ƒrea de penumbra do paciente ‚ exuberante e tratƒvel (revers•vel), o que traz boas chances de regress…o
do quadro.
Eletrocardiograma.
O ECG ‚ importante pela alta incid€ncia de doen†as card•acas nos pacientes com AVC. Ele ‚ importante n…o
por firmar o diagn„stico, mas por sugerir uma provƒvel etiologia.
Por meio do ECG, podemos avaliar a presen†a de cardiopatias embolig€nicas:
 Fibrila†…o atrial
 Infarto agudo do miocƒrdio
Ultrassonografia.
 Doppler de artérias extra e intracranianas: importante pois: pode mostrar oclusˆes e estenoses arteriais;
avalia†…o de art‚rias colaterais; avalia†…o de recanaliza†…o.
 Ecocardiografia transtorácica e esofágica: para avalia†…o de trombos intracard•acos.
Testes laboratoriais.
Incluem hematologia, estudo da coagula†…o, fun†…o hepƒtica, renal, etc. Desta forma, temos:
 Hemograma
 Glicemia
 Ur‚ia
 Creatinina
 Eletr„litos
 Gasometria arterial
 Coagulograma
 Colesterol total e fra†ˆes
 Fibrinog€nio
 TGO, TGP e Bilirrubinog€nio
 Prote•na C, S, resist€ncia Œ ativa†…o da prote•na C
TRATAMENTO DO AVCI
O atendimento na fase aguda do AVC (at‚ 4 horas e meia ap„s o evento isqu€mico) tem os seguintes objetivos:
(1) rƒpida identifica†…o dos sinais e sintomas que indicam um AVC; (2) manuten†…o das fun†ˆes vitais – ABC; (3)
transporte rƒpido da v•tima a uma institui†…o apropriada; (4) notifica†…o pr‚-chegada a institui†…o que vai receber a
v•tima.
Os principais objetivos do tratamento do AVCi s…o:
 Limitar a progress…o da oclus…o trombo-emb„lica;
 Recuperar a ƒrea de penumbra;
 Tratar poss•veis complica†ˆes cl•nicas e neurol„gicas, evitando a recorr€ncia do AVC;
 Diminuir a morbimortalidade da patologia.
Arlindo Ugulino Netto – MEDICINA DE URG•NCIA – MEDICINA P8 – 2011.1
150
MEDIDAS GERAIS NA FASE AGUDA DO AVC
No que diz respeito ao atendimento do paciente em fase aguda de AVC (270 minutos ap„s o ictus), devemos
proceder com uma s‚rie de medidas que podem ser adjuvantes ao tratamento espec•fico (tromb„lise). Desta forma,
temos:
 Exame do paciente para avaliar complica†ˆes potencialmente fatais (ABC)
 Manuten†…o da via ƒrea (com Guedel, intuba†…o, etc)
 Manter fun†…o respirat„ria (avaliar satura†…o).
 Manter fun†…o circulat„ria (avaliar volemia e press…o arterial).
 Os seguintes par‡metros devem ser cuidadosamente avaliados:
 Medidas cl•nicas
 Monitoriza†…o cardiosc„pica
 Fun†…o pulmonar
 Metabolismo da glicose
 Temperatura
 Press…o arterial
Medidas clínicas.
Š necessƒrio vigil‡ncia cl•nica para detectar:
 Altera†ˆes da fun†…o respirat„ria
 Avaliar oximetria de pulso (deve-se manter PaO2 > 95%)
 Observar frequ€ncia respirat„ria – evitar taquipn‚ia e dispn‚ia.
 Altera†ˆes da fun†…o circulat„ria
 Avaliar pulsos central e perif‚rico
 D‚bito urinƒrio horƒrio
 Press…o arterial sist€mica
 Altera†ˆes da fun†…o neurol„gica:
 Checar estado de consci€ncia
 Pupilas
Monitorização cardioscópica.
Manter monitoriza†…o cont•nua com monitor, principalmente durante as primeiras 48 horas do AVC, uma vez que
boa parte dos AVCs apresenta uma patologia de base pr‚via, tais como: cardiopatia pr‚via conhecida; hist„rias de
arritmias; press…o arterial instƒvel; sinais de insufici€ncia card•aca; ECG basal alterado.
Função pulmonar.
A oximetria de pulso deve ser prioridade ainda dentro dos cuidados gerais, uma vez que AVCs de tronco
encefƒlico ou de ACM podem cursar com insufici€ncia respirat„ria por hipoventila†…o.
Š importante, pois, tratar a hipoxemia precocemente, uma vez que a manuten†…o de uma oxigena†…o adequada
(PaO2>95%) ‚ importante para preservar a zona de penumbra. Pode ser necessƒria a administra†…o de oxig€nio (com
mƒscara de Venturi, VMNI, VMI) em caso de hipoxemia.
Metabolismo de glicose.
Š importante sempre manter uma monitoriza†…o rigorosa da glicemia (atrav‚s da glicemia capilar),
principalmente nos pacientes diab‚ticos, pois estudos mostram que a glicemia estƒ diretamente relacionada com o n•vel
de les…o neurol„gica pois, pacientes em hiperglicemia (e tamb‚m em hipoglicemia severa) apresentam maiores danos
celulares na zona de penumbra.
Š prudente manter n•veis de glicose entre 70 – 120mg/dl (glicemia abaixo deste valor contra-indicam a terapia
com trombol•tico). O controle imediato da hiperglicemia ‚ fortemente recomendada na fase aguda do AVC com insulina.
O tratamento da hipoglicemia, por sua vez, se faz com glicose hipert•nica e soro glicosado a 10%.
Temperatura.
A febre influencia negativamente o progn„stico do AVC, aumentando o tamanho do infarto por intensificar o
metabolismo celular, mesmo que as c‚lulas estejam em hip„xia.
Portanto, se houver, ‚ sempre necessƒrio procurar por um foco de infec†…o e iniciar tratamento espec•fico com
antibi„tico. O controle rƒpido da hipertermia pode ser feito com drogas (antipir‚ticos) ou meios f•sicos (compressas,
banhos).
Pressão arterial.
O controle da PA ‚ extremamente importante durante o tratamento do AVC, pois 50 a 70% dos pacientes na fase
aguda do evento apresentam n•veis press„ricos elevados. Hƒ, entretanto, uma tend€ncia natural de redu†…o espont‡nea
aos n•veis anteriores em 1 a 2 dias. O aumento da press…o arterial que ocorre no AVC pode estar relacionado com o
estresse da doen†a, dor, bexigoma, resposta fisiol„gica Œ hip„xia ou Œ hipertens…o intracraniana (HIC), etc. A elimina†…o
destes fatores pode ser o suficiente para o controle da PA.
Š necessƒrio, entretanto, ter cuidado com a redu†…o abrupta da PA: pacientes com estenose significativa de
vasos cranianos podem facilmente cursar com hipoperfus…o de territ„rios distais Œ estenose, podendo isso caracterizar o
Arlindo Ugulino Netto – MEDICINA DE URG•NCIA – MEDICINA P8 – 2011.1
151
mecanismo do AVCi em 40% dos casos (mecanismo conhecido como infarto hemodinâmico). Portanto, n…o adianta
tentar manter bons n•veis de PA se, por esta redu†…o, o paciente passou a apresentar sequelas ou maiores d‚ficits
neurol„gicos – ‚ necessƒrio saber a medida certa para a redu†…o da PA.
Al‚m da monitoriza†…o cont•nua, ‚ necessƒrio atentar Œs seguintes condutas:
 Evitar redu†…o da press…o arterial (no atendimento pr‚-hospitailar), exceto em casos de valores extremamente
elevados:
 > 200/100 – AVCi
 > 180/105 – AVCh
 Evitar e tratar hipotens…o arterial (com fluidos e vasopressores)
 PA recomentada:
 At‚ 180/100-105mmHg para doentes com HAS
 At‚ 160-180/90-100mmHg para doentes sem HAS
Controle da PA em pacientes sem possibilidade de Trombólise (> 270 minutos de AVC)
Valor pressórico Considerações e Tratamento
PAD > 140mmHg
 Droga: Nitroprussiato de s„dio
 Dose: 0,5 micrograma/kg/min IV, com monitoriza†…o cont•nua da PA
 Objetivo: Reduzir a PAD em torno de 10 a 20%.
PAS > 220mmHg ou
PAD =121 – 140mmHg
 Tratar com betabloqueador endovenoso
 Droga:
 Labetalol
Dose: 10 a 20mg EV em 1 a 2 minutos
Repetir a dose a cada 10 minutos, at‚ dose mƒxima de 300mg
ou
 Enalapril 0,625mg IV dose de ataque; 1,25 – 5mg de 6/6horas
 Objetivo: Reduzir a PA em torno de 10 a 15%
PAS < 220mmHg ou
PAD < 120mmHg ou
PAM < 130 mmHg
 N…o tratar (retardar a terapia anti-hipertensiva), a menos que haja comprometimento de „rg…os
alvo (emerg€ncia hipertensiva): dissec†…o da aorta, IAM, edema agudo de pulm…o,
encefalopatia hipertensiva.
 Droga: Labetalol
 Dose: 10 a 20mg EV em 1 a 2 minutos
 Repetir a dose a cada 10 minutos (at‚ dose mƒxima de 300mg)
Controle da PA em pacientes com possibilidade de Trombólise (< 270 minutos de AVC)
Valor pressórico Considerações e Tratamento
PAS > 185mmHg ou
PAD > 100mmHg
 Droga:
 Labetalol
Dose inicial: 10 a 20mg EV em 1 a 2 minutos
Repetir a dose a cada 10 minutos, at‚ dose mƒxima de 300mg
ou
 Esmolol: 500“g/kg IV
 Objetivo: Reduzir a PA a n•veis aceitƒveis para tromb„lise: 180/110mmHg
 Se a PA n…o reduzir para n•veis inferiores a 180/110mmHg, contra-indicar o uso de rtPA
(mesmo que o paciente esteja dentro do prazo de 270 minutos)
Controle da PA em pacientes após a trombólise
Valor pressórico Considerações e Tratamento
PAD > 140mmHg
 Droga: Nitroprussiato de s„dio
 Dose: 0,5 micrograma/kg/min IV, com monitoriza†…o cont•nua da PA
 Objetivo: Reduzir a PAD em torno de 10 a 20%.
PAS > 230mmHg ou
PAD = 121 - 149
 Tratar com betabloqueador endovenoso
 Droga:
 Labetalol
Dose: 10 a 20mg EV em 1 a 2 minutos
Repetir a dose a cada 10 minutos, at‚ dose mƒxima de 300mg
ou
 Enalapril 0,625mg IV dose de ataque; 1,25 – 5mg de 6/6horas
 Objetivo: Reduzir a PA em torno de 10 a 15%
PAS = 180 – 230mmHg ou
PAD = 105 – 120mmHg
 Tratar com betabloqueador endovenoso
 Droga:
 Labetalol
Dose inicial: 10 a 20mg EV em 1 a 2 minutos
Repetir a dose a cada 10 minutos, at‚ dose mƒxima de 300mg
ou
 Esmolol: 500“g/kg IV
 Iniciar dose cont•nua a 2 a 8mg/min
Arlindo Ugulino Netto – MEDICINA DE URG•NCIA – MEDICINA P8 – 2011.1
152
MEDIDAS ESPEC‰FICAS NA FASE AGUDA
Em resumo ao que foi visto at‚ aqui, o indiv•duo v•tima de AVC foi atendido pela equipe de param‚dicos, os
quais, atrav‚s das escalas pr‚-hospitalares, avaliaram uma forte evid€ncia de AVC; ao ser admitido no hospital, ap„s o
protocolo do ABC, foi realizada tomografia que descartou evento hemorrƒgico; foram tratadas as complica†ˆes e, neste
momento, o indiv•duo deverƒ passar pelo tratamento espec•fico do AVC, que consiste na tromb„lise.
A recanaliza†…o precoce da art‚ria cerebral oclu•da preserva o tecido neuronal reversivelmente danificado da
zona de penumbra. Por esta raz…o, a recupera†…o neuronal reduz a incapacidade neurol„gica avaliada clinicamente. A
terapia de reperfusƒo qu•mica (trombŠlise) com rtPA (ativador de plasminog€nio tecidual recombinante) ‚ o mais
adequado para a fase aguda (e, mesmo que seus benef•cios sejam inferiores para pacientes com mais de 3 horas de
evolu†…o, ainda existem efeitos at‚ as 4 horas e meia de administra†…o).
OBS
6
: Escala de tempo para proceder com rtPA (NINDS – Settin et al, 2006):
 Da admiss…o a avalia†…o m‚dica – 10 min
 Da admiss…o a TC de cr‡nio – 25 min
 Da admiss…o a interpreta†…o da TC – 45 min
 Da admissƒo a infusƒo de rtPA – 60 min
 Disponibilidade de neurologista – 15 min
 Disponibilidade do neurocirurgi…o – 2 horas
 Da admiss…o ao leito monitorizado – 3 horas
TrombŠlise com rtPA.
Todos os pacientes que apresentam-se em at‹ 3 horas do in•cio dos sintomas (ou at‚ 270 minutos de
evolu†…o do AVCi) devem ser considerados para a terapia trombol•tica intravenosa com rtPA (Actilyse¦ ou Alteplase¦).
Tal conduta estƒ relacionada com uma melhora da evolu†…o dos pacientes com AVC, principalmente se utilizado dentro
das primeiras 3 horas. Este tratamento oferece cerca de 30% a mais de chances de ter uma boa evolu†…o neurol„gica.
Entretanto, a janela terap€utica para tromb„lise ‚ muito curta, o que exige uma avalia†…o mais rƒpida e eficiente.
Quanto aos crit‚rios de inclus…o e exclus…o para a realiza†…o da tromb„lise IV, podemos resumi-las na seguinte
tabela. Na presen†a de contra-indica†ˆes absolutas, mesmo que o paciente tenha chegado com menos de 3 horas e
apresente um grande mismatch difus…o-perfus…o (ver OBS
4
), n…o podemos realizar a terapia trombol•tica.
Crit‹rios de inclusƒo (todos SIM para rtPA) Crit‹rios de exclusƒo (todos NŒO para rtPA)
 Idade > 18 anos
 Diagn„stico cl•nico de AVCi em qualquer territ„rio
arterial
 Persist€ncia do d‚ficit neurol„gico
 RM/TC de cr‡nio sem contraste sem evid€ncia de
hemorragia
 In•cio dos sintomas com menos de 4h e 30 minutos
(se os sintomas foram notados ao acordar,
considerar como “hora 0” o ‰ltimo horƒrio em que o
paciente foi visto acordado e assintomƒtico)
 Acometimento isqu€mico (na TC) < 1/3 do territ„rio
de irriga†…o da ACM
 Escala radiol„gica do ASPECTS > 7
 NIH > 4
OBS: Cuidado se NIH > 22 e idade > 80 anos (para estes, ‚
necessƒrio avaliar caso a caso).
OBS: A presen†a de mismatch difus…o-perfus…o ‚ sinal de
boa evolu†…o ao tratamento.
Absolutas.
 Anticoagula†…o oral (heparina) nas ‰ltimas 4 horas e
TTPA > limite superior
 Uso recente de anticoagulante oral e eleva†…o do TP
(INR > 1,7)
 Plaquetas < 100.000/mm¨
 Sintomas leves (NIH < 4), exceto afasia
 Suspeita cl•nica de sangramento ativo (TGI)
 Suspeita cl•nica de HSA, mesmo com TC normal
 Hist„ria pr‚via de hemorragia intracraniana, MAV ou
aneurisma cerebral
 PAS > 185 ou PAD > 105
 Melhora significativa do d‚ficit neurol„gico
 Evid€ncia de pericardite ativa, endocardite ou
€mbolo s‚ptico
 Glicemia < 40mg/dl ou > 400mg/dl
 Aborto recente (nas ‰ltimas 3 semanas), gravidez e
puerp‚rio
Relativas (avaliar risco-benef•cio).
 Sangramento urinƒrio nos ‰ltimos 21 dias
 Cirurgia de grande porte ou trauma hƒ menos de 14
dias
 IAM recente
 Pericardite ap„s-IAM
Para pacientes adequados ao tratamento, o rtPA deve ser administrado assim que se complete a avalia†…o
inicial. As vias de administra†…o dos trombol•ticos s…o: endovenosa e combinada (venosa e arterial).
O trombol•tico venoso ‚ o Alteplase
¦
ou o Actilyse¦, na dosagem de 0,9mg/kg (at‚ uma dose mƒxima de 90mg).
O seguimento trombol•tico ocorre em duas etapas: a primeira etapa ‚ a que se faz 10% do total de rtPA no modo infus…o
rƒpida, em bolus, durante cerca de 1-2 minutos; o restante (ou seja, 90%) ‚ infundido via endovenosa em 1hora.
Arlindo Ugulino Netto – MEDICINA DE URG•NCIA – MEDICINA P8 – 2011.1
153
O protocolo de reperfusão química do Hospital S•rio Libanes indica a seguinte sequ€ncia para a realiza†…o de
tromb„lise IV, utilizando rtPA:
 Rever crit‚rios de inclus…o e exclus…o
 Paciente deve estar com monitoriza†…o cardiovascular e oximetria (a monitoriza†…o card•aca deve ser mantida
por 48 horas, especialmente naqueles pacientes com miocardiopatia, suspeita de arritmias, PA instƒvel e infarto
cerebral envolvendo o c„rtex insular)
 Preencher consentimento informando sobre riscos e benef•cios dos procedimentos
 Proceder com rtPA IV (avaliar peso do paciente)
 Dose: 0,9mg/kg de peso (at‚ dose mƒxima de 90mg)
 Dose de ataque em 1 minuto: 10% da dose total
 Administrar o restante da dose IV (bomba de infus…o) em 60 minutos
 Durante a administra†…o do trombol•tico, avaliar e otimizar a press…o arterial
 PAS 180 – 230 ou PAD 105 – 120mmHg
- Labetalol (10 a 20mg EV)
- Nitroprussiato de s„dio (0,5“g/kg/min IV)
- Manter PAS entre 160-180 mmHg
 PAS > 230 ou PAD 121 – 140mmHg
- Labetalol (10 a 20mg EV)
- Nitroprussiato de s„dio (0,5“g/kg/min IV)
- Manter PAS entre 160-180 mmHg
 PAD > 140mmHg
- Nitroprussiato de s„dio (0,5“g/kg/min IV)
 Em caso de suspeita de sangramento intracraniano: suspender rtPA e solicitar neurocirurgi…o; realizar TC de
cr‡nio de urg€ncia, TTPA, fibrinog€nio, hemograma.
 Anotar o in•cio e t‚rmino do tratamento
 Observar o n•vel de consci€ncia e par‡metros cl•nicos
 Monitoriza†…o cont•nua com Doppler transcraniano para avaliar oclus…o arterial e recanaliza†…o segundo
crit‚rios TIBI
N…o deve ser dada medica†…o antiplaquetƒria ou anticoagulante complementar por 24 horas depois da
tromb„lise IV devido ao risco de sangramento. Somente ap„s as 24 horas iniciais depois do tratamento, podemos fazer
uso de antiagregantes plaquetƒrios, tais como AAS e Clopidogrel. Do ponto de vista farmacodin‡mico, a meia vida do
rtPA ‚ de 4-5 minutos e, mesmo assim, o paciente apresentarƒ dificuldades de coagula†…o por 12-24horas.
Ácido acetilsalicílico (ASS).
Grandes estudos (IST, CAST) mostraram que a administra†…o de AAS (100 – 300mg) nas primeiras 48 horas do
AVC reduz a mortalidade e a taxa de recorr€ncia. As recomenda†ˆes s…o:
 100 – 300mg um dia ap„s o in•cio do AVCi (exceto em pacientes em uso de anticoagulantes); diferentemente do
IAM, por exemplo,o que jƒ deve ser iniciado logo nas primeiras horas do evento;
 Se for previs•vel o uso do trombol•tico, n…o administrar de imediato;
 Iniciar ap„s as primeiras 24-48 horas depois do uso do trombol•tico.
 Utilizar AAS como profilaxia secundƒria para pacientes admitidos com mais de 4,5h.
Heparina.
 N…o se recomenda o uso de heparina (anticoagula†…o plena) na fase aguda do AVCi
 Hƒ evid€ncias de que a heparina em dose plena pode aumentar o risco de transforma†…o hemorrƒgica
sintomƒtica
 Existem evid€ncias de que possa ser ‰til em alguns subgrupos:
 Aterosclerose nos grandes vasos cranianos e sintomas flutuantes
 AVC de origem cardioemb„lica com alto risco de re-embolismo
 Recomenda-se administra†…o em dose profilƒtica em pacientes acamados para reduzir o risco de trombose
venosa profunda (TVP) e tromboembolismo pulmonar (TEP).
TRATAMENTO DAS COMPLICAÇÕES
 Edema e hipertensão intracraniana:
 O edema cerebral ocorre durante as primeiras 24 – 48 horas ap„s o AVCi, e estƒ relacionado com a
fal€ncia da bomba Na
+
/K
+
-ATPase inerente Œ isquemia cerebral.
 Em infartos extensos da ACM, o edema leva a um aumento da press…o intracraniana (PIC) com risco de
hernia†…o, les…o neuronal e comprometimento das fun†ˆes vitais.
 A morte que ocorre na primeira semana geralmente ‚ causada por edema e hipertens…o intracraniana
Arlindo Ugulino Netto – MEDICINA DE URG•NCIA – MEDICINA P8 – 2011.1
154
 Apenas 10% desenvolve edema clinicamente importante
 Pico do edema entre 3› e 5› dia
 Terap€utica cl•nica:
 Eleva†…o da cabeceira a 30›
 Hiperventila†…o controlada: PCO2 30-35mmHg por 24h
 Hipotermia
 Oxigena†…o adequada
 Controle da febre
 Monitoriza†…o da PIC e manter press…o de perfus…o cerebral > 70mmHg.
 Terap€utica medicamentosa:
 Diur‚tico osm„tico: Manitol – 0,5 – 1,0g/kg (25-50g) a cada 4 a 6 horas
 Barbit‰ricos: Tiopental – bolus de 250 a 500mg (tem curta a†…o e reduz rapidamente a PIC)
 Crise convulsiva:
 A frequ€ncia na fase aguda ‚ baixa;
 90% delas aparece no 1› dia do AVC;
 Tratamento medicamentoso:
 Diazepam (10mg/dose IV)
 Fenito•na (DA 20mg/kg IV; DM 50mg 8/8h IV)
 Fenobarbital (200mg/dose IV)
 Evitar tratamento profilƒtico
 Transformação em AVCh:
 Transforma†…o hemorrƒgica ‚ frequente ap„s o AVCi, sendo, geralmente, assintomƒtica;
 Quando sintomƒtica, ‚ uma complica†…o grave, com alta mortalidade e piora funcional (por isso, ‚
considerada a complica†…o mais temida);
 Em AVCi extenso, a transforma†…o em hemorrƒgico tem letalidade de 50%;
 Os anticoagulantes e trombol•ticos aumentam as chances de transforma†…o hemorrƒgica sintomƒtica.
FLUXOGRAMA DE ATENDIMENTO DO AVC – HOSPITAL SIRIO LIBANES
Arlindo Ugulino Netto – MEDICINA DE URG•NCIA – MEDICINA P8 – 2011.1
155
 Anotar o NIH ap„s a tromb„lise e reavaliar a cada 6 horas no primeiro dia; Realizar TC 24 horas ap„s a
tromb„lise ou se houver piora neurol„gica a qualquer momento.
 Suspender a tromb„lise se:
 Evid€ncia de sangramento
 Rebaixamento do n•vel de consci€ncia
 Crise convulsiva
 PAS > 185mmHg e/ou PAD>105, ou eleva†…o s‰bita da PA
 V•mitos
 Eleva†ˆes do escore do NIH
 Em caso de PAS > 185mmHg ou PAD>115mmHg, utilizar Nitroprussiato de S„dio (1 ampola = 50mg; diluir em
250ml de SG 5%; usar de 0,5 – 5“g/kg/min).
Arlindo Ugulino Netto – MEDICINA DE URG•NCIA – MEDICINA P8 – 2011.1
156
 Suspeita de sangramento:
 Piora do déficit neurológico com aumento de 4 pontos na escala do NIH
 Sinais de choque refratário a volume
 Proceder com:
 Cuidados após o uso de trombolítico:
CONSIDERA‚ƒES FINAIS
O AVC, seja ele isquêmico ou hemorrágico, é uma patologia grave que quase sempre deixa sequelas ou,
eventualmente, leva ao óbito. A melhor terapêutica é, sem dúvidas, a profilaxia; se esta não for possível, o
reconhecimento e o tratamento precoce salvam muitas vidas.
Arlindo Ugulino Netto – MEDICINA DE URG•NCIA – MEDICINA P8 – 2011.1
157
MED RESUMOS 2011
NETTO, Arlindo Ugulino; ELOY, Yuri Leite.
MEDICINA DE URGÊNCIA E TERAPIA INTENSIVA
SEDAÇÃO E ANALGESIA NO PACIENTE GRAVE
(Professor Ciro Leite Mendes)
A analgesia e a seda†…o s…o dois procedimentos comumente utilizados em pacientes gravemente enfermos,
especialmente naqueles internados em terapia intensiva. O •nus para o Governo, em decorr€ncia da compra dessas
drogas, ‚ extremamente elevado. Em 1995, estudos demonstraram que foram gastos o equivalente a US$80,8 bilhˆes
foram gastos com a Terapia Intensiva – cerca de 10% deste valor foram destinados Œs drogas e, destes US$9 bilhˆes,
cerca de 10 a 15% (US$0,8 a 1,2 bilhˆes) em drogas sedativas.
Levando-se em considera†…o que uma conduta err•nea durante a seda†…o de um paciente, de modo que o
mesmo permane†a um maior tempo internado ou seja submetido a uma seda†…o bastante profunda, faz com que ele
permane†a por mais tempo em ventila†…o mec‡nica, o que pode predispor a outras complica†ˆes (tais como infec†ˆes
de vias a‚reas, ‰lceras de press…o, etc.), al‚m de elevar consideravelmente os custos para o estado.
FATORES ESTRESSANTES EM UTI
Š importante salientar que, de um modo geral, o paciente em regime de terapia intensiva representa um grupo
de enfermos que se queixam de muita dor, podendo este sintoma ter vƒrias causas tais como: infec†ˆes, pun†ˆes,
drenos, cateteres, manuten†…o em uma mesma posi†…o durante horas, dias ou semanas.
Donovan et al (1987) relataram que 79% de uma amostra aleat„ria de 454 pacientes experimentaram dor
durante a hospitaliza†…o e 58% dos pacientes com dor descreviam-na como “excruciante”. Abbott et al (1992) avaliaram
dor em 2.415 pacientes aleat„rios hospitalizados e relataram que 67% tinham tido dor nas ‰ltimas 24 horas e 21%
descreveram a dor com moderada a grave. Em um estudo de 24 pacientes ap„s a transfer€ncia da UTI, 71% dos
pacientes afirmaram sentir dor na UTI e 63% dos pacientes classificaram sua dor como de moderada a grave
intensidade.
A dor ‚ descrita como moderada, grave ou excruciante em 50% dos casos. Geralmente, a dor estƒ relacionada a
suc†…o de tubo orotraqueal (TOT), remo†…o de drenos torƒcicos, cateteres etc.
De fato, estima-se que cerca de 82% dos pacientes que est…o internados em UTI sentem dor. Como a dor ‚ um
fator estressante para o paciente internado em UTI, por causa dela, hƒ libera†…o de horm•nios contra-reguladores e
depress…o da imunidade, o que pode causar descompensa†…o cl•nica. Portanto, o combate a dor n…o ‚ s„ importante
para o conforto do paciente – obviamente, este ‚ o objetivo principal; mas al‚m disso, o al•vio da dor ameniza as
altera†ˆes fisiol„gicas que predispˆem o indiv•duo ao desenvolvimento de infec†ˆes e de respostas inflamat„rias.
Portanto, o combate a dor tamb‚m representa uma prem€ncia fisiopatol„gica e, por vezes, necessƒrio do ponto de vista
terap€utico.
OBS
1
: O que comumente ocorre ‚ que alguns m‚dicos podem prescrever uma droga sedativa para os pacientes, como
‚ o caso dos Benzodiazep•nicos (drogas unicamente sedativas), com o intuito de provocar al•vio da dor; por‚m, n…o ‚ o
que ocorre. Nesses casos, a droga faz apenas com que o paciente durma (devido ao sedativo), mas continue sentindo
dor – o que, evidentemente, ‚ uma condi†…o muito desconfortƒvel. Hƒ, todavia, drogas que podem cursar com efeitos
sedativo-analg‚sicos, como ‚ o caso dos derivados opiƒceos (Morfina, Fentanil, Alfentanil, etc.). Portanto, devemos
ressaltar que, antes da seda†…o, devemos promover a analgesia.
OBS
2
: Outro fator tamb‚m importante e relacionado Œ dor, ‚ que a utiliza†…o de drogas com potencial bloqueador
muscular (drogas paralisantes ou curarizantes) n…o trata a dor. Essas drogas n…o possuem efeito analg‚sico e, com
isso, pacientes submetidos ao seu uso permanecer…o no leito, totalmente im„veis, por‚m l‰cidos e, eventualmente,
sentindo dor (o que pode ser considerado, inclusive, um tipo de tortura). Muitas vezes, essas drogas levam Œ depress…o
respirat„ria. Por isso, antes de utilizar drogas paralisantes, deve-se certificar que o paciente encontra-se devidamente
sedado e assistido do ponto de ventilat„rio.
TIPOS DE SEDATIVOS E FARMACOLOGIA
Considera-se que a droga que teria um efeito sedativo ideal seria aquela que apresentasse as seguintes
caracter•sticas:
 Rƒpido in•cio e fim de a†…o;
 Sem risco de acumula†…o;
 Titula†…o fƒcil para o n•vel de seda†…o desejada;
 Toler‡ncia hemodin‡mica;
 Sem efeitos respirat„rios;
 Sem taquifilaxia ou s•ndrome de abstin€ncia;
 Custo-efetividade (eficiente, mas de baixo custo).
Arlindo Ugulino Netto – MEDICINA DE URG•NCIA – MEDICINA P8 – 2011.1
158
Para pacientes com dist‰rbios neurol„gicos, o sedativo ideal teria que atender algumas peculiaridades
importantes tais como:
 Redu†…o no CVO2
 Sem efeito epileptog€nico
 Sem fen•meno de retirada
 Sem depress…o miocƒrdica
 Sem diminui†…o no esvaziamento ou motilidade
gƒstricas
 Sem supress…o adrenal
 Sem metab„litos nefrot„xicos
 Sem efeitos musculares perif‚ricos
 (rabdomi„lise, adinamia)
 Clearance independente da fun†…o renal ou hepƒtica.
 Sem metab„litos ativos
 Sem efeito vasodilatador significante
OPIÁCEOS
Os opiƒceos s…o as drogas mais utilizadas em UTI, tendo como objetivo principal ocasionar efeitos sedativos e
analg‚sicos associados. Apesar disso, s…o drogas que n…o produzem amn‚sia (nem anter„grada, nem retr„grada) nem
ansi„lise (diminui†…o da ansiedade). Eventualmente, diminuem tosse e dispn‚ia.
S…o consideradas as drogas de escolha para tratamento da dor em UTI, devido Œs seguintes caracter•sticas:
 Analg‚sicos potentes:
 Seda†…o moderada; nenhuma ansi„lise ou amn‚sia;
 Redu†…o da tosse e dispn‚ia: principalmente morfina.
 Efeitos adversos: seda†…o excessiva, depress…o respirat„ria e circulat„ria, nƒusea, v•mitos e anorexia, •leo
paral•tico, constipa†…o, convers…o hepƒtica para metab„litos ativos que, por vezes, s…o at‚ mais potente do que
a droga m…e.
Morfina.
Hƒ muito tempo, a Morfina ‚ considerada a droga de escolha para seda†…o e analgesia dos pacientes internados
em UTI, especialmente devido Œ sua boa rela†…o custo-benef•cio (por ser a droga mais barata). Por isso, a Morfina ‚ o
opiƒceo mais utilizado. Al‚m disso, podemos destacar suas principais caracter•sticas, que seguem:
 Efeito de pico atrasado (30min) em rela†…o ao Fentanil (por ser 40x mais lipossol‰vel que a morfina, o Fentanil tem maior
facilidade de entrar no neur•nio e, por isso, apresenta um tempo de a†…o em torno de 4 minutos e um efeito mais forte).
Dessa forma, a quantidade de Fentanil que se administra deve ser menor do que a Morfina, para que seja atingido um
determinado efeito no paciente.
 Simpat„lise e efeitos diretos no n„ sinusal: a morfina tem a capacidade de diminuir a a†…o do SN simpƒtico, e ainda,
promove efeitos diretos no n„ sinusal, provocando bradicardia.
 Propens…o a depress…o respirat„ria, como toda droga opiƒcea;
 Nƒusea, •leo e espasmo do esf•ncter de Oddi: devido a esta ‰ltima caracter•stica (isto ‚, levar ao espasmo do esf•ncter de
Oddi, que consiste na abertura da ves•cula biliar), a Morfina estƒ contra-indicada para a seda†…o de pacientes com
patologias das vias biliares.
 Libera†…o de histamina: promove, desta forma, hipotens…o e prurido.
 Meia vida de elimina†…o de 4 horas: como foi visto, a Morfina ‚ uma droga que tem um efeito de pico atrasado e uma meia
vida de elimina†…o relativamente longa – caracter•sticas que fazem desta droga, o opiƒceo ideal quando se quer obter uma
analgesia intermitente (a cada 4 a 6 horas).
 Metab„lito ativo: morfina-6-glicuron•deo.
Fentanil.
O Fentanil difere da morfina principalmente por ter uma alta lipossolubilidade e, por conta disso, tem um pico
mais rƒpido de a†…o. Seu tempo de a†…o tamb‚m ‚ considerado curto, pois gira em torno de 30 a 60 minutos. Outras
caracter•sticas importantes dessa droga s…o:
 75-100 x mais potente do que a morfina (talvez por ser mais lipossol‰vel);;
 Sem metab„litos ativos;
 Meia vida de elimina†…o mais curta.
 Sem libera†…o significativa de histamina: e, por conta disso, n…o provoca hipotens…o e prurido.
 Opiƒceo de escolha no pacientes hemodinamicamente instƒveis por n…o provocarem hipotens…o.
 Analgesia cont•nua: n…o ‚ a droga ideal para realiza†…o de uma analgesia intermitente, devido ao seu curto tempo de a†…o.
Ao contrƒrio disso, ‚ a droga Ideal para utiliza†…o na forma de bomba de infus…o (cont•nua).
OBS1
: Quanto a escolha entre Morfina e Fantanil, podemos resumir:
 A Morfina causa hipotens…o (diferentemente do Fentanil) e,
portanto, n…o ‚ a droga de escolha para o paciente com
instabilidade hemodin‡mica (para eles, utiliza-se Fentanil);
 A Morfina ‚ droga ideal para seda†…o intermitente; o
Fentanil ‚ a droga ideal para seda†…o cont•nua;
 O Fentanil ‚ a droga ideal para seda†…o rƒpida e imediata (a
Morfina tem um pico de a†…o mais atrasado);
 Morfina tem mais efeitos colaterais (libera†…o de histamina);
 N…o se deve utilizar Morfina em pacientes com
coledocolit•ase ou crise de colecistite.
Arlindo Ugulino Netto – MEDICINA DE URG•NCIA – MEDICINA P8 – 2011.1
159
Meperidina.
É uma droga que está totalmente contra-indicada para utilização em pacientes na UTI. Os principais motivos
para sua retirada foram:
 Baixa potência em relação aos opiáceos: 1/8 da potência da morfina;
 Pouco ou nenhum efeito no reflexo da tosse;
 Efeitos adversos: causa inotropismo negativo (hipotensão), além de ser vagolítico (taquicardia),
 Meia vida de eliminação: 3-4 horas, MAS
 Normeperidina: consiste em um metabólito formado a partir da Meperidina, que pode promover um aumento do
tempo de ação da droga de forma indeterminada (15 a 30 horas)
 Perigoso na falência renal.
OBS
2
: Em resumo, temos (Clinical practice guidelines for the sustained use of sedatives and analgesics in the critically ill
adult, 2002):
 Fentanil é o sedativo preferencial pelo rápido início de analgesia em pacientes agudamente angustiados. (Grau
de recomendação C);
 Fentanil é preferível para pacientes com instabilidade hemodinâmica ou insuficiência renal. (Grau de
recomendação C);
 Morfina e hidromorfona são preferíveis para terapia intermitente por causa do seu efeito mais prolongado. (Grau
de recomendação C).
 A sedação de pacientes críticos agitados só deve ser iniciada após assegurar analgesia adequada e tratamento
de causas fisiológicas reversíveis. (Grau de recomendação C).
BENZODIAZEPÍNICOS
Os benzodiazepínicos constituem outra classe de drogas que tem um grande efeito sedativo e ansiolítico; apesar
disso, não possuem nenhuma ação analgésica. Além disso, tem a vantagem de promover uma amnésia anterógrada.
Assim as principais características dessas drogas são:
 Excelentes sedativos e ansiolíticos;
 Amnésia anterógrada;
 Efeitos respiratórios: usualmente mínimos em ambiente de UTI. Fora de uma unidade de terapia intensiva essa
droga deve ser utilizada com cautela devido ao risco de depressão respiratória, especialmente devido à ausência
de equipamentos para ressuscitar o paciente.
 Hipotensão: Pode ocorrer com hipovolemia ou disfunção cardíaca e ainda quando associada ao uso
concomitante de opiáceos;
 Importante solubilidade lipídica;
 Metabolizado no fígado;
 Metabólitos excretados pelo rim.
Lorazepam.
É uma drogada largamente utilizada em países como EUA, especialmente por ser ideal para realização de
infusões prolongadas. Apesar disso, não existe essa droga endovenosa no Brasil, somente via oral. Suas características
principais são:
 Meia vida de 14 horas;
 Apropriado para pacientes com falência hepática;
 Dissolvido em propilenoglicol;
 Não é disponível para uso IV no Brasil (apenas por via oral, na fórmula do Lorax®)
Midazolam.
É a droga Benzodiazepínica mais comumente usada em UTI brasileiras, sendo disponível para via endovenosa.
Quando comparada com o Lorazepam, tem uma efetividade menor, porém, é mais barata e disponível para utilização em
UTI no Brasil. Entre suas características principais temos:
 Muito lipofílico: tendo por isso um rápido efeito de pico (5-10 min), duração curta (20-60 min); devido a essas
características é utilizada principalmente para procedimentos curtos.
 Metabólito ativo: 1-hydroximidazolam, que pode prolongar a ação da droga, tendo cerca de 1/10 da potência do
midazolan;
 Pode se acumular nos pacientes que apresentam insuficiência hepática e renal;
 Taquifilaxia freqüente e síndrome de abstinência: há sempre a necessidade de se aumentar gradativamente a
dosagem da droga para obter o mesmo efeito.
 Alto custo
Arlindo Ugulino Netto – MEDICINA DE URG•NCIA – MEDICINA P8 – 2011.1
160
Diazepam.
O Diazepam ‚ uma droga de baixo custo financeiro; entretanto, possui algumas caracter•sticas indesejadas
quando estas ocorrem em pacientes internados em UTI.
 Dois metab„litos ativos: Oxazepam, Desmetildiazepam;
 Meia vida de elimina†…o: 24-36 horas, prolongada na fal€ncia hepƒtica;
 Ruim para infusˆes cont•nuas: devido Œ meia vida longa, precipita†…o no soro e irritante em veias de baixo fluxo,
impossibilitando seu uso em veias perif‚ricas.
 Baixo custo (considerada sua ‰nica vantagem).
OBS
3
: Apesar dos diversos estudos, n…o foi poss•vel concluir qual a melhor droga para pacientes em cuidados de
terapia intensiva. Ou seja, ‚ indiferente o uso de Midazolam, Lorazepam, Diazepam, devido ao tempo e dura†…o de a†…o
dessas drogas serem semelhantes.
OBS
4
: Outra op†…o para se obter os mesmos efeitos dos benzodiazep•nicos ‚ a utiliza†…o de drogas anest‚sicas, como
‚ o caso do Propofol. Para sua utiliza†…o, ela deve ser dilu•da em solu†…o lip•dica. Apesar disso, ainda ‚ uma droga de
alto custo. Com rela†…o Œ efetividade desta droga, seus principais efeitos (amn‚sia, sedativos e ansiol•ticos) s…o
semelhantes aos benzodiazep•nicos. Quanto ao Propofol, temos:

Propofol e Midazolam alcan†aram seda†…o ideal quando administrados atrav‚s de protocolos espec•ficos de
dosagem;

Propofol teve um tempo de despertar mais rƒpido;

Tempo para seda†…o foi significativamente diferente;

VO2 diminuiu similarmente em ambos os grupos.
Dexmedetomidina.
Š uma droga derivada da clonidina, uma agonista alfa-2-
central (receptor pr‚-sinƒptico que, quando ativado, promove efeito
simpatol•tico), e ainda, tem a†…o em n•vel perif‚rico na medula que
produz analgesia. Com isso, podemos dizer que ‚ uma droga
analg‚sica e sedativa que se aproxima do ideal (pois, segundo
especialistas, ela promove uma seda†…o muito pr„xima ao “sono
fisiol„gico”), a n…o ser pelo pre†o.
Alguns estudos recentes mostraram maior benef•cio do uso
desta droga em rela†…o ao Midazolam, especialmente por n…o ter
como principal efeito colateral o Delirium. Al‚m disso, a
Dexmedetomidina estƒ relacionada com a redu†…o do tempo para
promover a extuba†…o, bem como o tempo de interna†…o em terapia
intensiva. Pelo seu efeito simpatol•tico, a Dexmedetomidina pode
apresentar efeitos hipotensores.
Apesar dos efeitos ben‚ficos da Dexmedetomidina sobre os
Benzodiazep•nicos (redu†…o do tempo de ventila†…o mec‡nica,
interna†…o e da incid€ncia do Delirium), ela ‚ uma droga de alto
custo, que o Sistema ©nico de Sa‰de (SUS) n…o disponibiliza para
os servi†os m‚dicos, apenas em casos espec•ficos.
OBS
5
: Em resumo, temos:
 Midazolam ou diazepam devem ser usados para rƒpida seda†…o de pacientes agudamente agitados. (Grau de
recomenda†…o C)
 Propofol ‚ o sedativo preferido quando o acordar rƒpido (ex: avalia†…o neurol„gica) ‚ importante. (Grau de
recomenda†…o B)
 Midazolam ‚ recomendado somente para uso em curto prazo, jƒ que produz tempo de despertar e de extuba†…o
imprevis•veis com infusˆes mais longas que 48-72 horas. (Grau de recomenda†…o A)
 Lorazepam ‚ recomendado para seda†…o em muitos pacientes, intermitente ou continuamente. (Grau de
recomenda†…o B)
DŽVIDAS FREQUENTES
 Existe um agente analg‚sico preferencial para uso no paciente s‚ptico cr•tico? N…o; Grau de recomenda†…o C
 Hƒ um agente sedativo preferencial para uso no paciente cr•tico necessitando ventila†…o mec‡nica? N…o; Grau
de recomenda†…o C
 Protocolos devem ser usados para a administra†…o de seda†…o em pacientes s‚pticos? Sim; Grau B
 Uma escala subjetiva de seda†…o deve ser usada no acesso e ajuste da seda†…o em pacientes s‚pticos? Sim;
Grau B.
Arlindo Ugulino Netto – MEDICINA DE URG•NCIA – MEDICINA P8 – 2011.1
161
PROBLEMAS COM OS AGENTES ATUAIS
Todas as drogas apresentam vantagens e desvantagens com relação a outra: quando uma é muito boa,
apresenta-se de alto custo no mercado; quando ela é muito barata, pode apresentar vários efeitos indesejados.
Entretanto, podemos utilizar drogas mais baratas e tirar delas apenas seus efeitos desejáveis a depender da forma de
como a droga é utilizada (e é sobre isso que discutiremos nos próximos tópicos).
OBS
6
: Características de um sedativo ideal em uma Unidade de Cuidados Neurocríticos:
 Boa qualidade de sedação;
 Início e fim de ação rápidos para permitir
avaliação neurológica;
 Não cumulativo;
 Barato;
 Manter autoregulação cerebral e a resposta
cerebrovascular a PaCO2;
 Reduzir a taxa de metabolismo cerebral para
garantir um
 EEG isoelétrico;
 Reduzir o volume sangüíneo cerebral e PIC;
 Reduzir atividade convulsiva;
 Resultar em rápidas mudanças no SNC em
resposta a mudanças de dose.
SEDA‚„O / ANALGESIA
Como foi visto até o momento, a maioria das drogas utilizadas para sedação e analgesia em pacientes de UTI,
possui algum efeito adverso. Dessa forma, cabe ao médico saber escolher a melhor droga, levando em consideração as
condições clínicas do paciente e, a partir daí, ajustar dose, tempo de administração, etc. Para isso, existem protocolos
subjetivos que podem ser utilizados para o ajuste da droga em cada paciente.
O médico pode avaliar a efetividade da droga quantificando, subjetivamente, o nível de sedação e analgesia. No
que diz respeito a analgesia, pode-se questionar ao paciente, por exemplo, se o mesmo ainda está sentindo dor, ou
solicitar a ele para graduar a sua dor em uma escala de 0 a 10. No que diz respeito à sedação, também se deve utilizar
escalas para quantificar o quão um paciente está sedado.
Kollef MH et al, Chest (1998) apresentaram um
estudo em que foram comparados pacientes internados
em Terapia Intensiva que foram submetidos a sedação
contínua com pacientes que não utilizaram nenhum tipo de
sedação ou que utilizaram sedação intermitente. Deste
estudo, ele observou que a sedação contínua estava
relacionada ao aumento do tempo de permanência na
ventilação mecânica, internação hospitalar e reintubação
mais frequente. A conclusão tirada foi que o uso de
sedação endovenosa contínua está associado com
prolongação da VM. Por esta razão, devemos sempre
privilegiar a sedação intermitente.
VANTAGENS / DESVANTAGENS
A sedação, como se sabe, é um procedimento de extrema importância para os pacientes que se encontram em
terapia intensiva, primeiramente por proporcionar o conforto, além de reduzir o efeito fisiopatológico da dor (liberação de
hormônios contra-reguladores que podem descompensar clinicamente o paciente), excluir memórias de experiências
desagradáveis e constrangedoras durante os procedimentos em UTI, diminuir a ansiedade, etc.
Apesar disso, uma superdosagem nos procedimentos que podem levar a analgesia e sedação, pode expor o
paciente a complicações graves, tais como:
Arlindo Ugulino Netto – MEDICINA DE URG•NCIA – MEDICINA P8 – 2011.1
162
 Depressão respiratória;
 Hipotensão;
 Bradicardia;
 Estase venosa;
 Tempo de ventilação aumentado
 Tempo de UTI aumentado;
 Maiores custos para o serviço hospitalar;
 Impossibilidade de avaliação neurológica.
Tais efeitos podem ser explicados a partir da farmacodinâmica destas drogas, principalmente no que diz respeito
ao volume de distribuição das mesmas. Quando se injeta uma droga por via endovenosa em um paciente, consideram-
se três possibilidades quanto a sua distribuição: (1) circulação na corrente sanguínea até ser metabolizada; (2) ação em
seu determinado receptor (no SNC, por exemplo); e (3) uma parte se liga a tecidos periféricos (volume de distribuição),
como é o caso da gordura (especialmente pelo fato de as drogas sedativas serem muito lipofílicas). Por esta razão, o
uso contínuo de drogas sedativas faz com que a ação no SNC e o seu estoque no tecido adiposo aconteçam de maneira
ininterrupta.
Com isso, uma superdosagem pode ser causada pela presença de uma quantidade suficiente do metabólito
ativo da droga armazenada no tecido adiposo. Com a interrupção da sedação/analgesia farmacológica após seu uso
prolongado e contínuo, haverá uma queda da concentração plasmática da droga e, com isso, o estoque do tecido
adiposo é transferido por difusão para corrente sanguínea, o que prolonga o estado de sedação do paciente, mesmo
com a retirada das drogas. Obviamente, tal mecanismo é acompanhado de todos os efeitos indesejáveis da
superdosagem.
ESCOLHA DO SEDATIVO IDEAL NO PACIENTE CR‡TICO
Diante do que foi discutido até então, para se obter uma sedação e analgesia adequada baseando-se nas
condições clínicas do paciente, devemos levar em consideração dois princípios:
 Individualizar o tratamento, correlacionando a utilização de uma droga (dose, tipo de infusão etc), para cada
paciente
 Seguir os protocolos de intervenção.
ESTUDOS CIENTÍFICOS
1. The use of Continuos IV Sedation is associated with prolongation of Mechanical Ventilation.
Foi realizado um estudo de coorte prospectivo observacional, avaliando um grupo de pacientes que, deste total
de, 93 (38,4%) pacientes sob VPPI receberam sedação IV contínua e 149 (61.6%) pacientes receberam sedação IV em
bolus (n=64) ou nenhuma sedação (n=85).
Observou-se que a duração da VPPI foi significativamente
maior para os pacientes recebendo sedação IV contínua, comparada
àqueles pacientes sem sedação IV contínua (185±190 h vs 55,6
±75,6h; p<0.001). A duração do tempo de internação em UTI (13,5 ±
33.7 dias vs 4,8 ± 4.1 dias; p<0.001) e hospitalização (21,0 ± 25,1 dias
vs 12,8 ± 14,1 dias; p<0.001) foram estatisticamente maiores no grupo
sedação IV contínua.
Concluiu-se, pois, que o uso de drogas sedativas de maneira
contínua aumentava o tempo de internação em UTI, de ventilação
mecânica e o uso de re-intubações. Para os pacientes que não fizeram
uso de sedação contínua, boa parte deles já estava livre da ventilação
mecânica com 5 dias de internação, enquanto que a maioria dos
pacientes em sedação contínua permaneciam em ventilação mecânica.
Arlindo Ugulino Netto – MEDICINA DE URG•NCIA – MEDICINA P8 – 2011.1
163
2. Effect of a Nursing-Implemented Sedation Protocol on the duration of Mechanical Ventilation.
Os mesmos autores do trabalho rec‚m apresentado mostraram que a necessidade de realização de um
protocolo para utilização de sedativo-analgésicos nos pacientes de UTI era pertinente jƒ que, at‚ este momento, a
decis…o de aumentar a dose ou retirar a seda†…o era feita pelo pr„prio m‚dico, a partir da simples observa†…o cl•nica do
paciente e sem a utiliza†…o de nenhum crit‚rio objetivo.
Para essa normatiza†…o, tais autores realizaram um estudo em que se comparou um grupo de pacientes que foi
sedado seguindo um protocolo pr‚-estabelecido por eles com outro grupo cuja seda†…o ficava por responsabilidade do
olhar cl•nico do m‚dico.
 Objetivo: Comparar uma prƒtica de seda†…o dirigida por protocolo implementada por enfermeiros em pacientes
sob VPPI com administra†…o de sedativos tradicional n…o protocolada;
 Desenho: Estudo cl•nico controlado aleat„rio;
 Contexto: UTI cl•nica (19 leitos) em Hospital Terciƒrio;
 Pacientes: Pacientes necessitando VPPI (n = 321);
 Intervenções: Pacientes foram randomizados para receber seda†…o dirigida por protocolo (n = 162) ou seda†…o
n…o dirigida por protocolo (n = 159).
Escala de Sedação de Ramsay.
 Nível de Sedação:
1. Agitado e ansioso;
2. Cooperativo, orientado e tranqœilo;
3. Responde somente ao comando;
4. Resposta rƒpida a est•mulo doloroso (“tapinha”) na glabela ou est•mulos auditivos altos;
5. Lenta resposta a est•mulo doloroso na glabela ou est•mulos auditivos altos;
6. Nenhuma resposta a est•mulos.
Escala de Agitação/Sedação de Richmond (RASS).
Esta escala prev€ o comportamento do paciente levando em considera†…o o seu estado de agita†…o (0 a +4) e
seda†…o (0 a -5). Š considerado um n•vel ideal de seda†…o aquele paciente que estƒ entre -2 e -3 na escala de
Richmond (ou seja, seda†…o leve ou moderada).
Escore Termo Descrição
+4 Combativo Evidentemente combativo; violento; perigo imediato para os profissionais.
+3 Muito Agitado Puxa ou remove tubo(s) ou cateter(es); agressivo
+2 Agitado Movimentos despropositados freqœentes; ”briga” com o ventilador.
+1 Inquieto Ansioso; movimentos n…o agressivos.
0 Alerta e Calmo (ideal para extubar)
-1 Sonolento
N…o completamente alerta, mas tem despertar sustentado (abertura ocular/contato
ocular ≥10 segundos) ao comando vocal.
-2 Sedação Leve Acordar breve com contato ocular ao comando vocal (<10 segundos).
-3 Sedação Moderada Movimento ou abertura ocular ao comando vocal (mas sem contato ocular).
-4 Sedação Profunda
Nenhuma resposta ao comando vocal, mas movimento ou abertura ocular Œ
estimula†…o f•sica.
-5 Não Acorda Nenhuma resposta aos est•mulos vocais ou f•sicos (pr„prio para TCE grave e SARA)
Diante do que foi descrito, uma forma rƒpida e fƒcil de determinar a pontua†…o correta de um paciente de acordo
com a Escala da Richmond ‚ feita da seguinte maneira:
 Paciente estƒ alerta, inquieto ou agitado: Escore 0 a +4
 Se n…o estƒ alerta, chame o paciente pelo nome e solicite que abra os olhos e olhe para o examinador:
 O paciente acorda com abertura sustentada e contato ocular: Escore -1
 Acorda com abertura e contato oculares n…o sustentados: Escore -2
 Tem qualquer movimento em resposta Œ voz, mas n…o tem contato ocular: Escore -3
 Quando n…o houver resposta Œ estimula†…o verbal, estimule fisicamente (balan†ando o ombro ou friccionando o
esterno).
 Tem qualquer movimento Œ estimula†…o f•sica: Escore -4
 Nenhuma resposta: Escore -5
Arlindo Ugulino Netto – MEDICINA DE URG•NCIA – MEDICINA P8 – 2011.1
164
Protocolo utilizado pelo estudo.
Com base neste protocolo, quando for necessário manter um nível de sedação RASS -2 a -3 para evitar
agitação, e necessário, primeiramente, afastar causas reversíveis de agitação (obstrução do tubo endotraqueal, hipo ou
hiperglicemia, crise hipertensiva, etc.); em segundo lugar, é necessário afastar causas dolorosas. Desta forma, temos:
 Se o problema da agitação fosse a dor, optava-se pelo uso de analgésicos (Fentanil). Logo em seguida,
observa-se se haveria necessidade para mais uso de Fentanil a cada 2 horas para manter a analgesia (uma vez
que o Fentail tem um rápido tempo de ação). Se não houvesse esta possibilidade, lançava-se mão da Morfina a
cada 2 horas; se, caso contrário, o Fentanil fosse necessário em intervalos cada vez menores, opta-se pela
infusão contínua de Fentanil. Desta forma, os pesquisadores priorizavam a seguinte sequência de tratamento:
(1) tratamento com analgesia simples; (2) analgesia intermitente; (3) analgesia contínua, se o uso de droga
intermitente não promovesse analgesia adequada.
 Se o problema da agitação não fosse dor ou qualquer outra causa reversível, optava-se, obviamente, pela
sedação do paciente (para evitar conflitos com o ventilador e com a equipe médica, evitar edema cerebral,
deterioração da consciência, etc.). Se não houvesse tanta necessidade de sedação imediata, poderia utilizar
infusão de Midazolam a cada 2 horas; se houvesse necessidade clínica de sedação imedata, utilizava-se
sedação intermitente com Diazepam ou Midazolam a cada 5 minutos. Se a necessidade aumentasse, poderia
se optar pela infusão de Midazolam 1 a 20mg por hora.
Independente do problema da agitação, depois de tentadas todas as possibilidades para cada caso,
questionavam-se sobre o objetivo final: se realmente o alvo de sedação teria sido atingido. Se a resposta fosse negativa,
opta-se pela readministração em bolus e aumento da infusão de Fentanil e/ou readministração em bolus ou aumento da
infusão de Midazolam. Se a resposta fosse positiva, era prudente diminuir a infusão de Fentanil e/ou de Midazolam até
descontinuação. Independente da reposta a esta nova tentativa, reavalia-se o regime de sedação utiliazando a escala de
Ramsay a cada 4 horas, para avaliar se há necessidade de novo reajuste ou de diminuição das dosagens.
Em resumo, este protocolo prioriza o controle da dor, seja através da retirada de causas reversíveis ou, somente
se necessário, utilização de analgésicos. Se a analgesia for necessária, faz-se uso dela, primeiramente, de forma
intermitente e, depois, de forma contínua. Se a dor não for a causa da agitação, parte-se então para a sedação do
doente, também de maneira intermitente inicial e, só então, se necessário, de maneira contínua. O protocolo era revisto
continuamente, a cada 4 horas, para avaliar a necessidade de reajustes de doses ou, eventualmente, desmamar a
droga.
Arlindo Ugulino Netto – MEDICINA DE URG•NCIA – MEDICINA P8 – 2011.1
165
Resultados do estudo.
Os resultados obtidos foram: no grupo em que foi utilizada a seda†…o e analgesia segundo o protocolo
aprestando, observou-se que a ventila†…o mec‡nica durou aproximadamente 35 horas (1dia e meio), enquanto que os
pacientes para os quais n…o foi seguido o protocolo, permaneceram at‚ 6 dias sob necessidade de ventila†…o mec‡nica.
Al‚m disso, observou-se que administra†…o de infus…o cont•nua foi bem menor no grupo que fazia uso do
protocolo (o que era de se esperar, uma vez que o protocolo priorizada o uso de analgesia intermitente, o que diminui a
utiliza†…o da infus…o cont•nua). Outro dado importante, foi a maior quantidade de Fentanil utilizada nos pacientes que
seguiram o protocolo; fato este que pode ser interpretado pelo fato de a dor ter sido a principal causa de agita†…o do
pacientes em estudo, explicando a maior necessidade da utiliza†…o desta droga.
3. Daily Interruption of Sedative Infusions in Critically III patients undergoing Mechanical Ventilation.
Partindo-se do pressuposto que existe ac‰mulo de drogas no tecido adiposo, estes pesquisadores avaliaram a
possibilidade de interromper, diariamente, a seda†…o (se poss•vel, ‚ l„gico), para estimular a sa•da gradual da droga do
compartimento de redistribui†…o para que ela fosse utilizada ou metabolizada e, enfim, deixar o paciente com n•veis
basais e pouco t„xicos da droga.
Foi ent…o realizado um estudo controlado, randomizado, com 128 pacientes adultos sob VPPI e infus…o cont•nua
de sedativos em UTI cl•nica. Dois grupos foram criados: (1) Grupo interven†…o: a infus…o de sedativos era interrompida
diariamente at‚ que o paciente acordasse; (2) Grupo controle: as infusˆes eram interrompidas somente sob ordem
m‚dica, a crit‚rio cl•nico.
No grupo interven†…o, o investigador interrompia a seda†…o at‚ que os pacientes acordassem e pudessem
seguir ordens ou at‚ ficarem desconfortƒveis ou agitados a ponto de novamente necessitarem de seda†…o. A seda†…o
s„ era interrompida quando o paciente n…o estivesse sob a†…o de droga paral•tica. Se o paciente continuasse
necessitando da seda†…o, a dose da infus…o era iniciada com metade da anterior Œ interrup†…o e reajustadas de acordo
com a necessidade.
O paciente era considerado “acordado” se pudesse realizar pelo menos tr€s das seguintes a†ˆes quando
solicitado, avaliadas objetivamente:
 Abrir os olhos;
 Seguir o examinador com o olhar;
 Apertar a m…o do examinador;
 Mostrar a l•ngua.
Os resultados observados para o grupo interven†…o (pacientes que tinham interrup†…o diƒria de seda†…o) foram:
 Tempo de VM mais reduzido com rela†…o ao grupo controle;
 Tempo de interna†…o em UTI reduzido;
 Dose total de Midazolam utilizada bem menor.
Arlindo Ugulino Netto – MEDICINA DE URG•NCIA – MEDICINA P8 – 2011.1
166
CONCLUSƒES
 Sedação intermitente tem melhores resultados que a contínua e, portanto, deve ser prioridade.
 Privilegiar a analgesia sempre, ou seja, uma vez que, a principal causa de agitação, inquietação, paciente
ansioso no leito é a dor. Com isso, dispensando a necessidade de sedação, procedimento que não melhora a
dor, e ainda, possui complicações.
 Usar protocolo guiado pela equipe de enfermagem obtém melhores resultados que seguir opiniões médicas
baseadas em observações clínicas.
 Interromper sedação diariamente se possível (um exemplo de não realização dessa prática é paciente com
SARA grave e TCE).
Arlindo Ugulino Netto – MEDICINA DE URG•NCIA – MEDICINA P8 – 2011.1
167
MED RESUMOS 2011
NETTO, Arlindo Ugulino.
MEDICINA DE URGÊNCIA E TERAPIA INTENSIVA
NOVAS DIRETRIZES PARA REVERSÃO DA PARADA CARDIO-RESPIRATÓRIA
(Professor Fábio Almeida)
O Advanced Cardiological Life Suport (ACLS) consiste em uma série de
intervenções e protocolos utilizados para o atendimento de emergências cardio-
respiratórias. Esses protocolos são definidos a cada 5 anos em reuniões de diretrizes
organizadas pelo Internacional Liaison Committee on Resuscitation (ILCOR) com o
patrocínio de diversos orgãos como a American Heart Association (AHA). A última
mudança nos protocolos do ACLS ocorreu em 2010, passando a vigorar no ano de 2011.
Os protocolos se baseiam em uma série de algoritmos de atendimentos das mais
diversas situações de emergência cardiovascular como: fibrilação ventricular/taquicardia
ventricular sem pulso; AESP; Assistolia; Síndromes coronarianas; AVC; BLS; etc. As
habilidades essenciais para o atendimento em emergências cardiovasculares são
praticadas nos cursos de ACLS®.
EPIDEMIOLOGIA
A parada cardio-respiratória (PCR) caracteriza um fenômeno cardíaco grave e bastante prevalente em todo
mundo. Atualmente, é considerada como sendo a primeira causa de mortes nos EUA (950.000 óbitos/ano) e na
população em geral, representando um importante problema de saúde pública. No Brasil, anos anteriores, estatísticas
dão conta que 273.000 pessoas morrem por causas cardiovasculares, o que equivale a uma morte a cada 2 minutos.
Um dado intrigante é o fato que cerca de 50% das vítimas de PCR morrem antes de chegarem ao pronto-
socorro. É baseando-se nestes dados que evidenciamos a importância do treinamento acerca do Suporte Básico de Vida
(BLS) e do próprio ACLS para buscar uma redução da morbimortalidade associada a este fenômeno cardiovascular:
partindo-se do pressuposto que praticamente metade das vítimas de PCR morre em casa, fica mais clara a importância
de disseminar as condutas do BLS para leigos; para a outra parte das vítimas que alcançam o atendimento hospitalar,
evidenciamos a importância do treinamento de médicos consoante as condutas do ACLS.
Entretanto, independente do treinamento de leigos e médicos sobre as condutas relacionadas ao manejo do
indivíduo vítima de PCR, é válido ressaltar que a única maneira de intervir diretamente nos altos índices de mortalidade
desta doença é atuando sobre os fatores de risco, que seguem:
 Obesidade
 Tabagismo
 Hipertensão
 Dislipidemias
 Sedentarismo
 Estresse
CONCEITOS
Alguns conceitos básicos devem ser revistos para melhor acompanhamento do assunto aqui abordado. Dentre
eles, temos o próprio conceito de PCR e de morte. Vale salientar, entretanto, que a definição de morte frente a uma
vítima de PCR só pode ser instituída pelo médico.
 Parada cardio-respiratória (PCR): configura a ausência de atividade mecânica cardíaca, confirmada pela
ausência de pulso detectável, ausência de responsividade (vítima inconsciente) e apnéia agônica.
 Morte súbita: morte inesperada de origem cardíaca, que ocorre em um período máximo de uma hora depois de
decorridos os primeiros sintomas (muito embora, pode haver casos em que não houve, sequer, sintomas).
Estudos mostram uma maior prevalência durante o período da manhã, em segundas-feiras e no inverno. Cerca
de 84% das mortes súbitas acontecem em domicílio e 16% em via pública.
 Morte biológica: deve ser definida como: (1) falha na RCP; (2) ausência de atividade elétrica do miocárdio; (3)
dano irreversível ao sistema nervoso central (SNC), que ocorre, teoricamente, após 5 minutos em falta de
oxigenação.
ETIOLOGIA DA PCR
A PCR é, portanto, uma situação dramática, responsável por morbimortalidade elevada, mesmo em situações de
atendimento ideal.
A etiologia da parada PCR varia com a idade. Partindo-se do pressuposto que, a depender da causa, a PCR
pode ser muito ou pouco responsiva às manobras de ressuscitação cardiopulmonar (RCP), devemos conhecer as
principais etiologias deste fenômeno:
Arlindo Ugulino Netto – MEDICINA DE URG•NCIA – MEDICINA P8 – 2011.1
168
 Causas cardíacas:
 Coronariopatias
 Arritmias
 IAM
 Valvulopatias
 Miocardiopatias
 Cardiopatias cong€nitas
 Tumor intracard•aco
 Tamponamento card•aco
 Causas não-cardíacas:
 Embolia pulmonar
 Pneumot„rax hipertensivo
 Engasgo
 Drogas
 AVC
 Hip„xia
 Hipoglicemia
 Alcoolismo
 Alergias agudas
 Choque el‚trico
Nota-se, desta anƒlise, que, al‚m das causas propriamente card•acas, a PCR pode estar relacionadas com
condi†ˆes que caracterizam o trauma, tais como: pneumot„rax hipertensivo, tamponamento card•aco, engasgos
(obstru†…o da via a‚rea superior por corpo estranho – OVACE), etc.
Portanto, podemos afirmar que, em algumas situa†ˆes, o trauma pode provocar parada card•aca. Entretanto,
mesmo diante desta afirma†…o, devemos salientar que n…o hƒ espa†o para a realiza†…o de RCP para v•timas de trauma
em geral. Em adultos, por exemplo, a principal etiologia da PCR estƒ relacionada com hemorragias graves (causa mais
comum) e lesˆes cerebrais/medulares extensas – situa†ˆes cujo tratamento consiste na remo†…o imediata para o servi†o
hospitalar de emerg€ncia, e n…o a realiza†…o de RCP (n…o tem fundamento massagear o cora†…o ou tratƒ-lo com
choque terap€utico, se n…o hƒ volume sangu•neo suficiente para garantir uma boa perfus…o). Admite-se que, em
situa†ˆes de trauma, a ‰nica ocasi…o prudente para a realiza†…o das manobras de ressuscita†…o acontece quando a
v•tima jƒ se encontra em ambiente cir‰rgico, com reposi†…o adequada de volume.
Diferentemente disso, as causas cardiog€nicas (por exemplo: arritmias graves, IAM, AVC, problemas
respirat„rios, choque, etc.) respondem bem ao tratamento que envolve RCP, drogas e desfibrila†…o.
OBS
1
: Vale salientar, que no momento da emerg€ncia, o papel da equipe reanimadora n…o ‚ diagnosticar a causa do
PCR – inclusive, a ‰ltima coisa com a qual devemos nos preocupar durante a RCP ‚ o diagn„stico da causa da PCR. Š
dever da equipe identificar ou diagnosticar a PCR e tratƒ-la prontamente. Apenas diante de insucessos consecutivos das
manobras de reanima†…o, devemos nos questionar acerca da poss•vel causa que impede a revers…o do quadro.
CADEIA DE SOBREVIDA
Como jƒ vimos em ocasiˆes passadas, a cadeia de sobrevida consiste em uma corrente interligada de fatos que
sucedem o trauma. Š uma sequ€ncia l„gica de eventos desencadeada por uma pessoa (que pode ser leiga) para tentar
salvar uma eventual v•tima de um trauma. Se todas as etapas desta cadeia forem realizadas com rapidez e efici€ncia, o
tempo gasto entre o momento do trauma e o tratamento da v•tima serƒ bem menor e a sobrevida do mesmo serƒ
prolongada.
No que diz respeito ao ACLS, devemos incluir como primeiro elo da cadeia o treinamento de profissionais sobre
as condutas a se fazer diante de uma v•tima de PCR. Desta forma, a cadeia de sobrevida para o ACLS consiste em:
 Educa†…o/treinamento do ACLS para
profissionais e BLS para leigos;
 Contato rƒpido com o servi†o de
atendimento m„vel: SAMU 192 (solicitar
unidade de suporte avan†ado) ou Corpo
de Bombeiros (desde a unidade m„vel
desta corpora†…o disponha de equipe
m‚dica e desfibriladores automƒticos, e
que a cidade n…o apresente SAMU);
 Iniciar ressuscita†…o cardiopulmonar (RCP) precoce (lan†ando m…o do suporte bƒsico de vida);
 Acesso rƒpido ao servi†o m‚dico de emerg€ncia e ao suporte avan†ado de vida;
 Desfibrila†…o precoce (pode ser feita tanto pelo desfibrilador automƒtico externo – DEA – como pelo desfibrilador
mec‡nico da equipe de suporte avan†ado de vida que faz o atendimento);
 Proceder com Suporte Avan†ado em Cardiologia (objetivo principal deste cap•tulo referente ao ACLS);
 Preven†…o da les…o e de eventuais sequelas;
 Reabilita†…o.
O 5› passo da cadeia de sobrevida aqui relatada ‚, de fato, o Suporte Avan†ado em Cardiologia, que serƒ
melhor detalhado neste cap•tulo. Tal passo pode ser realizado tanto pela equipe de UTI m„vel com suporte avan†ado de
vida que chega ao local (estando eles equipados com desfibriladores, materiais para acesso venoso, drogas, etc.) ou
pela equipe do servi†o de emerg€ncia hospitalar (que tamb‚m poderƒ proceder com artif•cios que incluem
desfibriladores operador-dependentes, acessos venosos, drogas, tubos orotraqueais, etc.).
Arlindo Ugulino Netto – MEDICINA DE URG•NCIA – MEDICINA P8 – 2011.1
169
OBS
2
: Dentre as diferen†as gerais entre o ACLS e o BLS, al‚m dos procedimentos que podem ser utilizados no primeiro
e que n…o s…o poss•veis neste ‰ltimo, podemos citar o tipo de desfibrilador. No BLS, por se tratar de um suporte bƒsico
que pode ser realizado por leigos, inclusive, podemos lan†ar m…o do desfibrilador automƒtico externo (DEA), que
consiste em um aparelho operador-independente, uma vez que ele mesmo realiza a leitura do ritmo card•aco da v•tima e
indica ou n…o o choque. O desfibrilador utilizado no suporte avan†ado ‚ um aparelho operador-dependente, pois, al‚m
de necessitar da manipula†…o do profissional, n…o avalia o ritmo card•aco por si s„ – este deve ser avaliado por meio de
tra†ados eletrocardiogrƒficos pelo pr„prio operador, sendo esta interpreta†…o um passo fundamental durante o processo
de reanima†…o, como veremos.
CONSIDERA‚ƒES GERAIS ACERCA DO SUPORTE B…SICO DE VIDA
O Suporte Bƒsico de Vida (SBV) ou Basic Life Suport (BLS) tem, por objetivo, fornecer a qualquer indiv•duo
(leigo ou profissional) a capacidade de: (1) reconhecer a PCR, ataque card•aco, AVC e obstru†…o de via ƒrea por corpo
estranho (OVACE); (2) libera†…o de OVACE; (3) saber proceder com RCP e com DEA.
As novas diretrizes do BLS baseiam-se na simplificação (Keep it Simple – KIS). A necessidade de simplificar as
condutas do BLS para os leigos fez com que fossem abolidos alguns procedimentos e termos que poderiam ser mais
complicados para esta parcela da popula†…o.
Portanto, como mostra o diagrama ao lado,
existem tr€s n•veis de profici€ncia do socorrista e, para
cada n•vel, existe um protocolo adequado: (1) para
profissionais em sa‰de, preconiza-se o suporte avan†ado
de vida, que inclui uso de choque terap€utico, drogas, etc.;
(2) para socorristas treinados (t‚cnicos de enfermagem,
condutores de servi†os de emerg€ncia m„veis, policiais,
etc.) podemos proceder com o treinamento de t‚cnicas
menos avan†adas, por‚m de realiza†…o mais simplificada,
como abrir vias a‚reas, insufla†…o com AMBU e
compressˆes torƒcicas em ciclos regulares de RCP 30:2;
(3) para leigos em geral, preconiza-se o curso bƒsico, que
visa ensinar o reconhecimento de uma v•tima em parada e
a realiza†…o de compressˆes torƒcicas (hands only).
Portanto, no intuito de simplificar as condutas para com a v•tima de PCR, o BLS passou a adotar uma sequ€ncia
diferente do antigo e conhecido protocolo do ABC: (A) estabilizar coluna cervical e abrir vias a‚reas; (B) avaliar
respira†…o; (C) checar pulso. Atualmente, preconiza-se o protocolo CAB que, a depender do n•vel de profici€ncia do
socorrista, temos:
 CAB para leigos:
 Identifica†…o: para o leigo, dispensa-se a necessidade
de verifica†…o do pulso ou da respira†…o – o simples
fato da v•tima se mostrar inconsciente jƒ deve ser
“interpretado” como uma poss•vel PCR.
 Pedir ajuda: solicitar o socorro ao servi†o de
atendimento m„vel e do DEA.
 Iniciar RCP: deve-se iniciar, primeiramente, pelas
compressˆes torƒcicas ininterruptas. Na presen†a de
um segundo socorrista, pode-se priorizar tamb‚m vias
a‚reas (com ciclos de 30:2); caso contrƒrio, permanece
apenas nas compressˆes.
 CAB para socorristas treinados em SBV: estes
devem identificar o pulso carot•deo e, caso esteja ausente,
iniciar as manobras de RCP. Obviamente, caso o socorrista
esteja em dupla, pode-se associar as compressˆes torƒcicas
com as insufla†ˆes (30:2); mas devemos frisar que o objetivo
primƒrio do novo protocolo s…o as compressˆes torƒcicas.
Desta forma, o protocolo CAB para socorristas treinados
obedece Œs seguintes condutas:
Arlindo Ugulino Netto – MEDICINA DE URG•NCIA – MEDICINA P8 – 2011.1
170
 Checar n•vel de consci€ncia: “Senhor(a), posso lhe ajudar?”
 Passo C: checar pulso carot•deo.
 Pedir ajuda: solicitar SAMU, pedindo o DEA
 Iniciar RCP imediatamente: iniciar com compressˆes torƒcicas vigorosas e rƒpidas (ver OBS
3
). Orienta-se que
sejam realizadas ininterruptamente.
 Caso esteja em dupla, devemos ainda abrir via a‚rea e lan†ar m…o da ventila†…o (respira†ˆes “boca-a-boca” ou,
preferencialmente, com o uso da pocket mask). A ventila†…o, quando poss•vel, deve obedecer ao ritmo de 10 a
12 insufla†ˆes por minuto.
OBS
3
: Segundo este novo protocolo do BLS, nota-se a import‡ncia das compressˆes torƒcicas para salvar vidas.
Entretanto, al‚m da t‚cnica de compress…o e rebaixamento do gradil costal, ‚ vƒlido ressaltar que a eficƒcia da
compress…o estƒ diretamente relacionada com o •ndice de revers…o da parada. Portanto, toda a t‚cnica de compress…o
deve ser apurada, baseando-se em compressˆes vigorosas, rƒpidas e constantes, obedecendo a um ritmo que, segundo
os autores do pr„prio BLS, se baseia na cad€ncia do hit Saturday Night Fever – Bee Gees. Portanto, a qualidade do
RCP se baseia nos seguintes crit‚rios:
 Compress…o vigorosa (rebaixamento do gradil costal em pelo menos 5cm) e com rapidez (mais de 100 vezes por
minuto), realizada sobre uma superf•cie plana e r•gida (se necessƒrio, subir em algum apoio para adotar a
postura correta).
 Permitir o retorno total do gradil costal ao t‚rmino de cada compress…o
 Minimizar as interrup†ˆes nas compressˆes
 Recomenda-se que o socorrista deva ser substitu•do a cada 2 minutos para evitar a exaust…o
 Evitar ventila†…o excessiva: 8 – 10 vezes por minuto, seguindo o ciclo de 30 compressˆes para 2 insufla†ˆes
(30:2). Diferentemente disto, na presen†a de via a‚rea definitiva (VAD), isto ‚, quando o paciente estƒ intubado
(o que ‚ poss•vel, teoricamente, apenas no Suporte Avan†ado de Vida), as compressˆes devem ser
ininterruptas, independente da ventila†…o.
 Manter uma capnografia quantitativa (PET) de CO2 entre 30-40mmHg
CONSIDERA‚ƒES GERAIS SOBRE O ACLS
O Suporte Avan†ado de Vida em Cardiologia (ACLS), portanto, diz respeito ao conjunto de protocolos e medidas
que devem ser obedecidas para a realiza†…o de uma resposta em carƒter de emerg€ncia cardiocirculat„ria que deve
envolver os seguintes profissionais: m‚dico, enfermeiro e, no m•nimo, dois t‚cnicos em enfermagem (nesta equipe, deve
haver um l•der que, geralmente, ‚ constitu•do pelo m‚dico, sendo ele o responsƒvel por comandar a compress…o
torƒcica, via a‚rea e quanto Œs indica†ˆes de terapia medicamentosa).
N…o ‚ novidade que o ACLS trabalhe em virtude do aforismo “Tempo … C…rebro”: quando uma PCR ‚
testemunhada e a v•tima apresenta fibrila†…o ventricular (FV), a taxa de sobrevida diminui 7 a 10% a cada minuto
perdido se nenhuma manobra de RCP for prontamente iniciada. Isso significa que, em 10 minutos de parada sem
realiza†…o de RCP, hƒ, praticamente, 100% de chances de insucesso em reverter o quadro.
Entretanto, o ACLS se diferencia de todas as demais correntes de Suporte a Vida pelo uso da desfibrilação –
n…o s…o as compressˆes torƒcicas as responsƒveis por dar o ritmo card•aco previamente perdido. A utilidade das
compressˆes se baseia na simples manuten†…o de um m•nimo fluxo cerebral enquanto se espera pelo choque
terap€utico – este sim, ‚ o responsƒvel por converter a arritmia e, desta forma, restabelecer a fun†…o card•aca.
Considera-se como desfibrila†…o precoce aquela em que o sistema de emerg€ncia pode chegar ao local do
evento em at‚ 8 minutos em 90% das vezes. Entretanto, a desfibrila†…o s„ pode ser procedida na presen†a de ritmos
pass•veis de choque (como ‚ o caso da fibrila†…o e da taquicardia ventricular sem pulso). Caso contrƒrio, n…o hƒ
indica†…o para o choque.
OBS4
: Quanto mais rƒpido o for o atendimento Œ v•tima de PCR, maiores s…o as chances de sobrevida. Estudos mostraram que a
realiza†…o de RCP + DEA em menos de 4 minutos, seguida do apoio avan†ado de vida em at‚ 8 minutos, fornece chances sobrevida
em 43% dos casos; destes, ª (5 – 25%) recebem alta hospitalar sem nenhuma sequela. Portanto, quanto mais rƒpido a v•tima
receber uma correta compress…o, bem como o choque el‚trico (seja por DEA ou por desfibrilador mec‡nico) e drogas, maior serƒ a
sua chance de sobreviv€ncia.
TEMPO RESPOSTA E CONSIDERAÇÕES IMPORTANTES
O tempo resposta ideal para o atendimento da PCR baseia-se no seguinte:
1. Atendimento na cena pelo socorrista: 30 segundos
2. Pedido de socorro: 1 minuto
3. Despacho do Servi†o de Emerg€ncia M‚dica: 30 segundos
4. Equipe na ambul‡ncia: 30 segundos
5. Deslocamento: 5 minutos
6. Atendimento na v•tima: 2 minutos
7. DEA na v•tima: 1 minuto
TOTAL: 10 minutos.
Arlindo Ugulino Netto – MEDICINA DE URG•NCIA – MEDICINA P8 – 2011.1
171
A anƒlise da resposta ideal ao paciente v•tima de PCR mostra que, mesmo seguindo um conjunto de condutas
perfeitas e sincr•nicas, o tempo de atendimento ‚ relativamente longo (partindo-se da anƒlise do aforismo “tempo ‚
c‚rebro” e que, em 10min, hƒ 100% de diminui†…o de sobrevida). Portanto, tal anƒlise refor†a ainda mais a necessidade
de treinamento de leigos para a realiza†…o de um atendimento inicial adequado e efetivo.
FASES DO ATENDIMENTO À PARADA CARDIO-RESPIRATÓRIA
Como veremos a prop„sito do protocolo preconizado pelo ATLS, a parada card•aca apresenta tr€s fases e, para
cada uma, devemos proceder de uma maneira espec•fica.
 Fase precoce: com at‚ 5 minutos de PCR (o que inclui paradas presenciadas), aplica-se o choque el‚trico
imediato (se o ritmo for compat•vel). Se, entretanto, a parada foi presenciada, mais ainda n…o havia desfibrilador
dispon•vel, devemos proceder com RCP at‚ a chegada do aparelho.
 Fase intermediária (fase circulatória): com 5 – 10 minutos de PCR (e paradas n…o presenciadas), procedemos
com 2 minutos de RCP (mesmo que o desfibrilador esteja presente) e, em seguida, utiliza-se o choque.
 Fase tardia (fase metabólica): depois de 10 minutos, al‚m de fazer RCP, choque terap€utico e drogas,
devemos proceder com a indu†…o de hipotermia terap€utica (utilizar gelo nas axilas e infus…o de soro fisiol„gico
a 4›C), no intuito de manter a temperatura corporal entre 32 – 34›C.
DESFIBRILAÇÃO
A desfibrila†…o, como vimos anteriormente, ‚ a grande diferen†a da eficƒcia do
ACLS com rela†…o aos demais protocolos. Somente ela ‚ capaz de reverter uma
eventual arritmia card•aca e somente o m‚dico pode realizƒ-la.
As pƒs do aparelho devem ser colocadas corretamente sobre o t„rax da
v•tima: uma pƒ deve ser posicionada Œ direita do paciente, na linha para-esternal, na
regi…o subclavicular direita; a outra, deve ser posicionada na linha axilar anterior
esquerda, aproximadamente na regi…o do 5› espa†o intercostal, pr„ximo ao mamilo.
Deve-se aplicar gel sobre a superf•cie metƒlica das pƒs e elas devem ser comprimidas
manualmente sobre o t„rax da v•tima.
Vale salientar que o desfibrilador do ACLS ‚ operador-dependente e a
indica†…o da desfibrila†…o estƒ relacionada, basicamente, na anƒlise das seguintes
variƒveis: ritmo card•aco ao eletrocardiograma (ECG) e a presen†a ou aus€ncia de
pulso. Desta forma, temos:
 Ritmos passíveis de choque (85%):
o Fibrila†…o ventricular (FV) sem pulso: ‚ a contra†…o incoordenada do miocƒrdio em consequ€ncia da
atividade ca„tica de diferentes grupos de fibras miocƒrdicas, resultando na inefici€ncia total do cora†…o em
manter um rendimento de volume sangœ•neo adequado. No ECG, ocorre a aus€ncia de complexos
ventriculares individualizados que s…o substitu•dos por ondas irregulares e em ziguezague, com amplitude e
dura†…o variƒveis.
o Taquicardia ventricular (TV) sem pulso: ‚ a sucess…o rƒpida de batimentos ect„picos ventriculares que
podem levar Œ acentuada deteriora†…o hemodin‡mica, chegando mesmo a aus€ncia de pulso arterial
palpƒvel, quando, ent…o, ‚ considerada uma modalidade de parada card•aca, devendo ser tratada com o
mesmo vigor da FV. O ECG caracteriza-se pela repeti†…o de complexos QRS alargados n…o precedidos de
ondas P e, se estas estiverem presentes, n…o guardam rela†…o com os complexos ventriculares. Podem
ocorrer capturas isoladas de alguns complexos QRS. Em geral os ciclos ventriculares t€m sucess…o a
intervalos irregulares
 Ritmos que não respondem ao choque:
o Ritmo card•aco com pulso: o tra†ado de ritmos card•acos (mesmo que sejam os apresentados
anteriormente) na presen†a de pulso contra-indica o choque terap€utico.
o Assistolia: ‚ a cessa†…o de qualquer atividade el‚trica ou mec‡nica dos ventr•culos. No eletrocardiograma
(ECG) caracteriza-se pela aus€ncia de qualquer atividade el‚trica ventricular observada em, pelo menos,
duas deriva†ˆes.
o Atividade el‚trica sem pulso (AESP): ‚ caracterizada pela aus€ncia de pulso detectƒvel na presen†a de
algum tipo de atividade el‚trica, com exclus…o de TV ou FV. A atividade el‚trica sem pulso incorpora a
dissocia†…o eletromec‡nica (DEM) e um grupo heterog€neo de ritmos que inclui: pseudo DEM, ritmo
idioventricular, ritmo de escape ventricular, ritmo idioventricular p„s desfibrila†…o e ritmos bradiassist„licos.
Ao ECG, caracteriza-se pela presen†a de complexos QRS largos e bizarros que n…o produzem resposta de
contra†…o miocƒrdica eficiente e detectƒvel. Entretanto, a AESP tamb‚m pode ser caracterizada por um
tra†ado aparentemente normal (mas sem pulso). Esta situa†…o ‚ comum em pacientes jovens e com
hipovolemia (pois seu cora†…o, por ser jovem, apresenta atividade el‚trica, mas n…o possui volume para
bombear).
Arlindo Ugulino Netto – MEDICINA DE URG•NCIA – MEDICINA P8 – 2011.1
172
Arritmias que revertem com choque Arritmias que não revertem com choque
Estando o choque indicado, devemos instituir uma carga de 120 – 200J no desfibrilador bifƒsico; jƒ no
desfibrilador monofƒsico, a carga ‚ de 300 – 360J. Independente da resposta do indiv•duo ao choque, sempre devemos
retornar com as manobras de RCP (5 ciclos por mais 2 minutos). Logo em seguida, devemos reavaliar o pulso e os
tra†ados no monitor e, caso haja indica†…o, realizar um novo choque; caso contrƒrio (isto ‚, volte ao ritmo sinusal),
devemos proceder com a reavalia†…o completa do paciente.
Antigamente, preconizavam-se tr€s choques imediatamente consecutivos. Atualmente, apenas um choque ‚
indicado a cada ciclo (depois de realizado um choque, deve-se realizar um novo ciclo de RCP por 2 minutos, checagem
de ritmo/pulso e, s„ ent…o, se ainda houver indica†…o, novo choque). Podemos repetir, de acordo com a forma
apresentada, dois a três choques intermitentes (isto ‚, interpostos por ciclos de RCP).
TERAPIA MEDICAMENTOSA
A terapia medicamentosa tamb‚m ‚ o outro diferencial do protocolo do ACLS. Devemos lan†ar m…o de drogas
caso a primeira tentativa de revers…o da PCR com choque (e ap„s a RCP realizada subsequente ao choque) n…o tenha
sido efetiva (na realidade, como mostra a OBS
5
, n…o hƒ tanta rigidez no protocolo quanto a op†…o entre o uso do choque
ou o uso de drogas; ‚ certo que elas s„ devem ser tentadas ap„s a primeira tentativa de revers…o com choque; se esta
n…o for efetiva, podemos optar novamente por choque, podemos utilizar a primeira droga ou realizar os dois).
Os princ•pios gerais a serem seguidos quanto Œ terapia medicamentosa para a PCR s…o:
 Assegurar acesso venoso logo na admiss…o da v•tima;
 Iniciar drogas ap„s o primeiro ou segundo choques;
 N…o interromper as manobras de RCP nem a desfibrila†…o para a administra†…o das mesmas;
 Sempre proceder com Flush de 20ml de soro fisiol„gico ou ƒgua destilada (em bolus) ap„s inje†…o de qualquer
droga (para melhorar a circula†…o da mesma) e elevar o membro onde foi injetado;
 Vias de administra†…o:
 Acesso venoso central: n…o recomendada durante RCP;
 Acesso venoso perif‚rico: poder ser uma boa op†…o, pois n…o requer interrup†…o da RCP; sempre tentar
diluir a droga em 20ml de soro fisiol„gico e depois elevar o membro por 10 a 20 segundos.
 Via intra-„ssea: com o aux•lio da Bomb Injection Gun (BIG) ‚ poss•vel garantir um acesso venoso
adequado ao n•vel do plat• tibial, servindo como segunda op†…o para o acesso venoso perif‚rico. A via
intra-„ssea garante um plexo venoso que n…o colapsa, que garante uma disponibilidade da droga na
circula†…o semelhante Œs veias centrais, garantindo uma boa reposi†…o de volume, drogas e coleta de
sangue.
 Via endotraqueal: para drogas que respondem Œ regra VANEL: Vasopressina, Atropina, Naloxone,
Epinefrina e Lidoca•na. Devemos utilizƒ-las em doses 2 a 2,5 maiores do que a sua dosagem venosa
(sempre dilu•das em 10ml de ƒgua destilada ou SF).
Arlindo Ugulino Netto – MEDICINA DE URG•NCIA – MEDICINA P8 – 2011.1
173
As principais drogas que podem ser utilizadas ap„s uma primeira tentativa de revers…o frustrada com choque
seguida de RCP s…o:
 Primeira linha:
o Adrenalina/Epinefrina: 1 mg a cada 3 - 5 minutos (cada ampola cont‚m 1 ml=1mg), dilu•da em uma propor†…o de
1:10.000.
o Vasopressina: 40 U (que equivalem a 2ml), em dose ‰nica em bolus, dilu•da em 20 mL (Flush). As ampolas com
0,5ml cont€m 10U.
 Segunda linha: s„ devem ser utilizadas ap„s o uso de uma das drogas de primeira linha.
o Amiodarona (Atlansil¦): antiarritmico. 300mg em bolus (se necessƒrio, repetir pr„xima dose com 150mg, ap„s 10 –
15 minutos). Cada ampola com 3ml cont€m 150mg.
o Lidoca•na: antiarr•tmo. 1 a 1,5mg/kg em bolus, podendo repetir a cada 3 – 5 minutos, com mƒximo de dosagem de 3
mg/kg de peso.
o Atropina: parassimpatol•tico. N…o ‚ utilizada nas paradas convencionais, mas sim, quando ocorre assistolia ou
bradicardia, sob a dosagem de 0,5mg a cada 3 – 5 minutos (no mƒximo de 3mg). Tem pouco efeito na atividade
el‚trica sem pulso e na assistolia.
o Sulfato de magn‚sio (MgSO4): especialmente utilizado em casos de taquicardia ventricular, na dosagem de 1 a 2g
em bolus (2 a 4ml de solu†…o a 50%, dilu•dos em 10ml de SF). Š indicada em intoxica†ˆes digitƒlicas ou fibrila†…o
em padr…o torsades de pointes (QRS alargado).
o Gluconato de cƒlcio: a 10% (ampolas de 10ml) para hipercalemia, hipocalcemia, hipermagnesemia; 100 – 200mg/kg
de peso. Cada 1ml=0,9mg de Ca2+
(0,47mEq).
o NaHCO3: para acidose pr‚via ou hipercalemia, 1-2mEq/kg de peso. Seu uso ‚ controverso.
VIA A…REA DEFINITIVA OU AVANŽADA
A via a‚rea definitiva deve ser indicada diante de uma resposta insatisfat„ria depois de utilizados os tr€s
choques preconizados ou a segunda utiliza†…o de drogas cardioversoras (frisamos, novamente, que a via a‚rea n…o ‚
prioridade diante de uma PCR, diferentemente do Suporte Avan†ado no Trauma - ATLS).
Para uma via a‚rea definitiva no ACLS, podemos lan†ar m…o dos seguintes meios:
 Tubo traqueal
 Combitube
 Kingtube
 Mƒscara lar•ngea
 Via a‚rea cir‰rgica (uso raro em ACLS)
Ap„s as tentativas de reanima†…o, podemos, portanto, instalar um tubo na via a‚rea do paciente (intuba†…o).
Neste caso, a rela†…o entre as compressˆes torƒcicas e a insufla†…o deve ser assincr•nica, de modo que n…o mais s…o
necessƒrias 30 compressˆes para 2 insufla†ˆes – as compressˆes devem ser ininterruptas. De modo distinto, na
vig€ncia da implanta†…o do AMBU ou pocket mask com assist€ncia ventilat„ria, as insufla†ˆes devem ser sincr•nicas,
obedecendo ao ritmo 30:2.
Uma vez intubado, devemos medir a capnografia quantitativa de CO2, que deve estar entre 30-40mmHg,
garantindo a instala†…o do tubo na traqu‚ia (e n…o no es•fago). Em caso de uma via a‚rea de dif•cil acesso, podemos
nos dedicar a boa ventila†…o mec‡nica com sistema Bolsa-Vƒlvula-Mƒscara (AMBU).
RESUMO DO ALGORITMO DO ACLS
O fundamento da realiza†…o dos protocolos do ACLS e, da mesma forma, um bom treinamento em suporte
avan†ado de vida, depende da qualidade das bases do Suporte Bƒsico (BLS) – n…o adianta ao socorrista, independente
do seu n•vel de profici€ncia, tentar aprender as condutas do ACLS se nem o bƒsico ele domina. Isso ‚ importante pois
mesmo no ACLS ‚ necessƒria a pronta identifica†…o da aus€ncia de pulso, a necessidade de uma alta qualidade nas
manobras de RCP e nas medidas de provid€ncia do desfibrilador em curto espa†o de tempo. Tais medidas, todas
presentes no BLS, s…o fatores de sucesso na RCP e, eventualmente, na revers…o de uma PCR.
Para proceder com o protocolo do ATLS, como vimos at‚ aqui, devemos lan†ar m…o das seguintes condutas: (1)
desfibrila†…o manual; (2) manejo avan†ado de via a‚rea (muito embora a intuba†…o n…o seja uma prioridade maior do
que a realiza†…o das compressˆes torƒcicas e nunca deve atrapalhƒ-las); (3) acesso venoso; (4) monitoriza†…o card•aca;
(5) terap€utica farmacol„gica; (6) investiga†…o de causas secundƒrias; (7) cuidados p„s-PCR.
De um modo geral, podemos obedecer ao seguinte protocolo:
1. Avaliar n•vel de consci€ncia
2. A – Vias a‚reas: devemos lan†ar m…o da c‡nula de Guedel caso o paciente esteja inconsciente e com risco de
queda da base da l•ngua.
3. B – Padr…o respirat„rio e satura†…o arterial (ox•metro). Apesar do passo “B” vir antes do passo “C” na
perspectiva de prioridades, ‚ vƒlido lembrar que a intuba†…o n…o ‚ prioridade no ACLS – o objetivo principal ‚ a
compress…o torƒcica ou o choque.
4. C – Checar pulso e co-relacionar com o tra‚ado eletrocardiogr‡fico. Antes de iniciar qualquer compress…o
torƒcica, devemos avaliar o pulso da v•tima e relacionƒ-lo ao tra†ado eletrocardiogrƒfico. Neste instante, os
t‚cnicos de enfermagem jƒ devem proceder do acesso venoso e, a depender da fase de atendimento da parada
card•aca, proceder com choque ou RCP.
Arlindo Ugulino Netto – MEDICINA DE URG•NCIA – MEDICINA P8 – 2011.1
174
a) Caso o achado eletrocardiogrƒfico demonstre um padr…o que responda ao choque (taquicardia ventricular
e/ou fibrila†…o ventricular) e o m‚dico detecte a ausência de pulso, o pr„ximo passo ‚ a avalia†…o do
tempo de parada.
 Se a PCR foi presenciada ou n…o haja d‰vidas que ela tenha ocorrido a menos de 5 minutos, devemos
jƒ instituir a aplica†…o do choque el‚trico de imediato.
 Se a PCR n…o foi presenciada e teve mais de 5 minutos, devemos realizar 2 minutos de manobras de
RCP e, em seguida, utilizar o desfibrilador. Ap„s isso, reavalia-se o pulso e o ritmo no ECG.
Levando-se em conta que a maioria das paradas intra-hospitalares ‚ presenciada, devemos proceder com a
descarga elétrica com desfibrilador, utilizando 200 J (bifƒsico) ou 360J (monofƒsico, preferencialmente).
Em seguida, iniciar manobras de RCP (30 compressˆes torƒcicas para 2 insufla†ˆes pulmonares), por dois
minutos, independente se o paciente retornou ou n…o a consci€ncia. Logo ap„s isso, checamos o ritmo
card•aco na tela do monitor, bem como o pulso arterial.
Caso ainda n…o se tenha nenhum efeito, podemos repetir este ciclo (choque – RCP – reavalia†…o) por mais
duas a tr€s vezes (desde, ‚ claro, que o ritmo visto na reavalia†…o ainda seja compat•vel com a realiza†…o
do choque) ou jƒ lan†ar m…o de drogas. Se a op†…o for a realiza†…o de um novo choque, devemos proceder
com o mesmo ciclo: choque – RCP – reavalia†…o.
Se as tentativas com choque foram em v…o (sendo prudente apenas 2 ou 3 tentativas), a pr„xima etapa
consiste na administração de drogas, como a Adrenalina/Epinefrina ou Vasopressina. Ap„s a
administra†…o de drogas, proceder com mais 2 minutos de RCP. Se necessƒrio, devemos adicionar uma
segunda droga (Amiodarona, principalmente) ou proceder com outro choque (ver OBS
5
). Sempre ap„s
choque ou droga, proceder com novo ciclo: RCP por 2 minutos – checar pulso/ritmo.
Se, por ventura, mesmo ap„s a institui†…o da segunda droga o paciente ainda persista com a mesma
altera†…o inicial, devemos proceder com via a‚rea avan†ada, atrav‚s da intuba†…o ou mƒscara lar•ngea.
Neste caso, devemos ainda associar a avalia†…o com a capnografia que certifique que o tubo esteja na
traqu‚ia.
Se a parada for revertida em qualquer um destes processos, devemos sempre proceder com uma nova
reavalia†…o por completo do paciente e iniciar cuidados p„s-RCP. Entretanto, diante do insucesso
tratamento, devemos investigar uma poss•vel causa e buscar instituir um tratamento (encaminhar para bloco
cir‰rgico em caso de hemorragias internas, por exemplo).
Arlindo Ugulino Netto – MEDICINA DE URG•NCIA – MEDICINA P8 – 2011.1
175
b) Caso o achado eletrocardiogrƒfico demonstre um padr…o que não responda ao choque (assistolia ou
AESP), n…o podemos indicar o choque com o desfibrilador. Ao inv‚s disso, devemos iniciar com o uso de
drogas (Epinefrina, Amiodarona, Lidoca•na), seguidas de compressões torácicas (RCP).
OBS
5
: Note que o protocolo n…o ‚ t…o exigente quando ao padr…o de utiliza†…o de choque e de drogas. Š importante,
apenas, iniciar com choque o mais rƒpido poss•vel (se o padr…o do EEG permitir, obviamente) e, se este n…o foi efetivo,
optar por um novo choque ou jƒ instituir uma primeira droga. Se a conduta tomada novamente n…o foi efetiva, podemos
optar por um novo choque ou a adi†…o de uma outra droga. Inclusive, alguns autores defendem que o segundo e terceiro
choque podem ser realizados ao passo em que as drogas s…o administradas (o que n…o ‚ recomendado). Š importante
considerar, pelo menos, o choque como a primeira op†…o.
OBS
6
: Podemos simplificar o algoritmo do ATLS, resumindo aos seguintes passos:
 Ap„s a admiss…o do paciente, checar os pulsos e o tra†ado do EEG;
 Proceder com a regra SCREAM:
 S – Shock: se os tra†ados no EEG forem compat•veis, devemos proceder com choque terap€utico 360J
uma vez (se necessƒrio, utilizar outro choque ap„s 2 minutos).
 C – CPR: proceder com 2 minutos de RCP (5 ciclos de 30:2) ap„s cada choque terap€utico.
 R – Rhythim: checar o pulso e o tra†ado eletrocardiogrƒfico sempre ap„s cada 2 minutos de RCP; se
indicado, lan†ar m…o de um novo choque (repetir o ciclo at‚ aqui por 2 a 3 vezes). Na persist€ncia do
insucesso, devemos lan†ar m…o do uso de drogas.
 E – Epinefrina ou Vasopressina, como primeira escolha + 2 minutos de RCP;
 AM – Antiarhythimic medications: Amiodarona ou Lidoca•na ou Sulfato de Magn‚sio, se depois do passo E
n…o houver revers…o do quadro.
OBS
7
: O protocolo do ACLS tamb‚m n…o define o prazo mƒximo para a realiza†…o dos procedimentos de reanima†…o.
Entretanto, considera-se o prazo m•ninmo de 30 – 40 minutos como sendo um intervalo prudente.
CONSIDERAÇÕES FINAIS SOBRE O RCP
 Dar prioridade Œs compressˆes torƒcicas, e nunca interromp€-las para proceder com a ventila†…o.
 Quanto Œ ventila†…o, temos:
 Ritmo da ventila†…o deve ser 8 a 10 insufla†ˆes por minuto
 Uma vez intubado, n…o ‚ mais necessƒrio manter o ciclo 30:2, mas sim, manter compressˆes cont•nuas
 Evitar hiperinsufla†…o
 Sempre depois de um choque ou do uso de drogas, realizar RCP por 2 minutos e, ao t‚rmino deste prazo,
checar pulso e ritmo para determinar a nova conduta
 Pensar em poss•veis causas etiol„gicas caso o quadro continue irrevers•vel
 Parar RCP se o paciente voltar a apresentar pulso ou, caso contrƒrio, ap„s 30-40 minutos de tentativas
frustradas de reanima†…o.
CRITÉRIOS DE RETORNO À CIRCULAÇÃO ESPONTÂNEA
 Pulso cheio e press…o arterial estabilizada
 Oximetria de pulso: satura†…o entre 94 e 99%
 PET CO2 > 40 mmHg
 N…o confundir pulso versus estado neurovegetativo
 N…o confundir tra†ado versus pulso
CUIDADOS PÓS-RCP
 Aperfei†oe a ventila†…o e oxigena†…o, pois o indiv•duo pode ter retornado ao pulso, mas ainda sem respirar.
 Manter SaO2 maior que 94%
 Tratar a hipotens…o arterial (< 90 mmHg): dopamina IV infus…o 5 a 10 mcg/kg/min
 Instalar ECG nas 12 deriva†ˆes
 Avaliar quadro neurol„gico
 Considerar hipotermia induzida (soro fisiol„gico a 4
o
C)
 Considerar 12 causas reversíveis de PCR:
 Hipovolemia
 Hip„xia
 Hipo/hipercalemia
 Hipotermia
 Hipoglicemia
 Tens…o do t„rax por pneumot„rax
 Tamponamento card•aco
 Toxina (digitƒlico/overdose por coca•na)
 Trombose pulmonar
 Trombose coronariana
 Encaminhar para o diagn„stico e tratamento definitivo
 Cuidados intensivos avan†ados
Arlindo Ugulino Netto – MEDICINA DE URG•NCIA – MEDICINA P8 – 2011.1
176
Arlindo Ugulino Netto – MEDICINA DE URG•NCIA – MEDICINA P8 – 2011.1
177

Medicina de urgência completa

  • 1.
    Arlindo Ugulino Netto– MEDICINA DE URG•NCIA – MEDICINA P8 – 2011.1 1 MED RESUMOS 2011 ARLINDO UGULINO NETTO LUIZ GUSTAVO C. BARROS € YURI LEITE ELOY MEDICINA – P8 – 2011.1 MEDICINA DE URG‚NCIA REFER€NCIAS 1. Material baseado nas aulas ministradas pelos Professores Jorge Fonseca, Ciro Leite Mendes e F•bio Almeida na FAMENE durante o per‚odo letivo de 2011.1. 2. CASTRO, A. L. C. Manual de medicina de desastres. Secret•ria Nacional de defesa civil. Bras‚lia: Ministƒrio da Sa„de, 2002. 3. CAZARIM, J. L. B. Trauma Prƒ-hospitar e Hospitalar (Adulto e Crian„a). Rio de Janeiro: Editora MEDSI, 1997. COIMBRA, R. M. Emerg…ncias Traum•ticas e n†o traum•ticas. S†o Paulo: Atheneu, 2001. 4. CECIL, Tratado de Medicina Interna/ editado por Lee Goodman (tradu‡†o de Ana Kemper et al), Rio de Janeiro. Elsevier, 2005. 5. Advance Life Support Working Group of European. Resuscitation Council. Resuscitation, 1998; 37: 81-90. American Heart Association in collaboration with ILCOR. Internacional Guidelines 2000. Resuscitation 2000, 46: 103-252. 6. BOTRANGER, K. L. Tratado de tƒcnica radiological b…sica anat†mica, 3ˆ ed. Rio de Janeiro: Guanaara Koogan, 1997. 7. GRENSPAN, A. Radiologia ortopƒdica, 2ˆ ed. Rio de Janeiro: Guanabara Koogan, 1996. 8. Monier, J. P. Manual de diagn‡stico radiol‡gico, 5ˆ ed. Rio de Janeiro: Med‚s, 1999. 9. GOLDMAN, L. & BENNETT, J. C. – Cecil tratado de medicina interna. 21ed. Rio de Janeiro, Guanabara Koogan, 2001. 2v. 10. Manual do ATLS - 2010
  • 2.
    Arlindo Ugulino Netto– MEDICINA DE URG•NCIA – MEDICINA P8 – 2011.1 2 MED RESUMOS 2011 NETTO, Arlindo Ugulino. MEDICINA DE URGÊNCIA E TERAPIA INTENSIVA AVALIAÇÃO INICIAL AO POLITRAUMATIZADO (Professor Fábio Almeida) Segundo o Advanced Trauma Life Suport (ATLS ® ), o tratamento do paciente traumatizado grave requer uma avaliação rápida das lesões e estabelecimento imediato de um tratamento que salve a sua vida. Devido ao tempo, que é essencial, é recomendável estabelecer uma abordagem sistemática, de fácil revisão e aplicação. A este procedimento, denominamos de atendimento inicial, e inclui:  Preparação  Triagem  Revisão primária (ABCDE)  Reanimação  Medidas auxiliares para revisão primária e reanimação  Revisão secundária (revisão da cabeça aos pés e história) A revisão primária e secundária devem ser realizadas de forma repetida e frequente, permitindo uma melhor detecção de qualquer deterioração do estado do paciente e iniciar qualquer tratamento que seja necessário no momento de detectar mudanças desfavoráveis. Este capítulo, assim como faz o ATLS, se apresenta na forma de uma sequência progressiva longitudinal das circunstâncias. Em uma situação clínica real, muitos destes parâmetros ocorrem de forma paralela ou simultânea. A progressão linear ou longitudinal oferece ao médico a oportunidade de repassar mentalmente o desenvolvimento e progressão da reanimação no trauma. CONSIDERA‚ƒES INICIAIS O ATLS, como o próprio termo já sugere, diz respeito ao Suporte Avançado de Vida no Trauma e, portanto, é um programa de treinamento destinado apenas para médicos e paramédicos para o manejo de trauma físico agudo, desenvolvido pelo Colégio Americano de Cirurgiões. Desta forma, o ATLS configura uma etapa exclusiva para a formação médica, preparando este profissional de saúde a lidar, na sala de emergência (e, portanto, em ambiente hospitalar), com uma vítima de trauma, que se torna um paciente em suas mãos. A premissa do programa ATLS é identificar e tratar a maior ameaça à vida antes de mais nada. Ele defende que a falta de um diagnóstico definitivo e de uma história detalhada não deve tornar mais lenta a aplicação do tratamento indicado para a lesão que traz risco à vida, com as intervenções mais críticas em relação ao tempo sendo realizadas mais precocemente. Entretanto, há evidências mistas que demonstram que o ATLS melhora o desfecho dos pacientes. O curso do ATLS, independente da especialidade médica, treina o profissional por meio de aulas teórico- práticas para garantir a ele a possibilidade de, na admissão de uma eventual vítima de trauma, diagnosticar fatores de potencial risco de morte para o doente, estabilizá-lo e encaminhá-lo para um local onde será feito um tratamento definitivo (que pode ser configurado pelo próprio hospital de admissão ou em outros centros hospitalares, esteja localizado na mesma cidade ou de outras regiões). O ATLS preconiza, portanto, um protocolo, na forma de uma maneira sistematizada e padronizada de atender a vítima de trauma. Embora existam outros modos de atendimento, as estatísticas demonstram que o protocolo do ATLS possibilita uma estabilidade mais ágil da vida e garante ao paciente uma maior chance de sobrevida. OBJETIVOS Portanto, podemos traçar os principais objetivos do ATLS, tais como:  Realizar uma avaliação sistemática ao politraumatizado  Identificar e, imediatamente, tratar afecções que possam interferir na sobrevida do paciente  Definir prioridades  Avaliar a capacidade da equipe e do hospital em resolver o problema do paciente (ver OBS 1 )  Realizar um atendimento que não cause mais danos ao paciente, mas que o salve ou, pelo menos, o estabilize. OBS 1 : A diferença entre um acidente com múltiplas vítimas de uma catástrofe, está na capacidade de resposta do sistema de emergência que recebe as vítimas de ambas as situações. Caso a equipe de atendimento ao trauma não esteja preparada e/ou o hospital não tenha o pleito necessário para tratar várias vítimas de um acidente, o ocorrido passa a configurar um exemplo de catástrofe, ou tragédia. Caso contrário, uma vez que o sistema de atendimento ao trauma for capaz de receber estas vítimas, configuramos um caso de acidente com múltiplas vítimas.
  • 3.
    Arlindo Ugulino Netto– MEDICINA DE URG•NCIA – MEDICINA P8 – 2011.1 3 TRAUMA Vimos, portanto, que o protocolo do ATLS sugere uma maior efici€ncia e agilidade durante o atendimento do politraumatizado. A agilidade no tratamento inicial de uma v•tima de trauma ‚ necessƒria uma vez que os estudos mostram que os 60 minutos do p„s-trauma s…o essenciais para uma melhor sobrevida do mesmo. Tanto que, este per•odo de uma hora ‚ conhecido como Golden Hour (Hora de Ouro) pois, para algumas v•timas, tudo que puder ser feito por ele deve ser feito ao longo deste intervalo de tempo. Dentro desse per•odo de ouro, existe ainda os chamados 10 minutos de Platina, que corresponde aos 10 primeiros minutos do p„s-trauma, durante os quais, preferencialmente, todos os eventos de estabiliza†…o e transporte da v•tima devem ocorrer. O transporte da v•tima deve ser realizado para um hospital que suporte este tipo de atendimento, onde deve existir uma equipe preparada e devidamente treinada pelos par‡metros do ATLS. Quanto ao trauma, devemos levantar algumas considera†ˆes conceituais e epidemiol„gicas:  Toda causa externa que impˆe lesˆes ao indiv•duo deve ser considerada trauma: acidentes com ve•culos, facadas, tiros, intoxica†ˆes, envenenamento, choque el‚trico, viol€ncia relacionada com qualquer sexo ou faixa etƒria, acidentes com m‰ltiplas v•timas, acidentes com animais pe†onhentos, etc.  O trauma consiste na primeira causa de „bitos na popula†…o jovem, e a segunda causa de „bitos na popula†…o acima dos 50 anos.  Segundo a OMS, o trauma corresponde a 10% das mortes no mundo. Em 2020, a OMS estima que as mortes no tr‡nsito serƒ a terceira principal causa de morte. TRAUMA TEAM WORK O trauma team work, ou equipe de trauma, consiste em uma equipe treinada, formada por m‚dicos, enfermeiros e t‚cnicos de enfermagem, em que cada um possui uma posi†…o e fun†…o pr‚-definidas dentro da sistemƒtica que envolve o atendimento ao politraumatizado. O esquema de atendimento pr‚-definido e sugerido pelo trauma team work ‚ compat•vel e pertinente com o que preconiza o ATLS, garantindo uma identifica†…o precoce do problema segundo uma ordem de prioridade (vias a‚reas, respira†…o, circula†…o) e, eventualmente, o tratamento eficaz do dist‰rbio. PREPARA‚„O A prepara†…o para a aten†…o do paciente politraumatizado se realiza em cenƒrios cl•nicos diferentes. Primeiramente, temos a fase pré-hospitalar, em que todas as a†ˆes devem ser coordenadas com os m‚dicos que se encontram no hospital que recebe o paciente. Em segundo lugar, durante a fase hospitalar, devem ser realizados preparativos para facilitar a reanima†…o rƒpida do paciente traumatizado.  Fase pré-hospitalar: uma coordena†…o adequada com o grupo de aten†…o pr‚-hospitalar pode fazer com que o tratamento do paciente no s•tio do acidente seja mais rƒpido. O sistema pr‚-hospitalar deve estar organizado de forma que o hospital sempre seja notificado durante o translado do paciente antes que este seja retirado do local do acidente. Esta etapa permite que, no hospital, a equipe de trauma (Trauma Team Work) esteja devidamente preparada, de tal maneira que todo o pessoal e os recursos hospitalares presentes no departamento de urg€ncia estejam dispon•veis, caso sejam necessƒrios no momento da admiss…o do paciente. Durante esta fase pr‚-hospitalar, algumas medidas que priorizem a manuten†…o das vias a‚reas, controle de hemorragias externas e choque, imobiliza†…o do paciente e translado imediato devem ser enfatizadas.  Fase hospitalar: ‚ fundamental planificar com antecipa†…o os requerimentos bƒsicos antes da chegada do paciente ao hospital. De uma forma ideal, deve existir uma ƒrea espec•fica para aten†…o aos pacientes politraumatizados, uma equipe adequada para manejo de via ƒreas (com laringosc„pios e tubos, por exemplo) e outra equipe portando solu†ˆes intravenosas de cristal„ides (como o Ringer Lactato, por exemplo, muito utilizado nos casos de trauma). Š indispensƒvel assegurar a presen†a imediata de pessoal de laborat„rios e de radiografias. Em outras palavras, ‚ durante a fase de prepara†…o do atendimento ao politraumatizado quando devemos analisar os seguintes questionamentos:  Onde serão atendidos? – Condi†ˆes hospitalares locais, recursos locais e equipamentos de prote†…o.  Quem irá atender? – Presen†a de uma equipe de trauma treinada.  Quantos pacientes serão atendidos? – Acidente com m‰ltiplas v•timas x Catƒstrofes (ver OBS 1 ).  Quem será atendido primeiro? – Triagem. TRIAGEM A triagem consiste no m‚todo de sele†…o e classifica†…o de pacientes baseadas em suas necessidades terap€uticas e nos recursos dispon•veis para sua aten†…o. O tratamento ocorre com base nas prioridades do ABC (A: via a‚rea com controle da coluna cervical; B: respira†…o; e C: circula†…o, com controle de hemorragias), como serƒ esbo†ado ao longo deste cap•tulo. A triagem tamb‚m deve ser aplicada no local do acidente no intuito de selecionar adequadamente o hospital para o qual os acidentados ser…o transladados. Š responsabilidade do pessoal do pr‚-hospitalar e do seu diretor m‚dico
  • 4.
    Arlindo Ugulino Netto– MEDICINA DE URG•NCIA – MEDICINA P8 – 2011.1 4 que os pacientes, a depender do grau de suas lesões, serão transladados para hospitais especializados. É inadequado, por exemplo, que a equipe pré-hospitalar leve um paciente politraumatizado para um hospital que não seja especializado em trauma. Geralmente, existem dois tipos de situações de triagem:  Múltiplos lesionados: quando o número de pacientes e a gravidade de suas lesões não sobrepassam a capacidade do hospital em proporcionar a atenção médica necessária, se atende primeiro os pacientes com problemas que podem trazer perigo imediato a vida e os que apresentam lesões múltiplas (pacientes mais graves).  Acidentes massivos e desastres: quando o número de pacientes e a gravidade de suas lesões sobrepassam a capacidade de recursos hospitalares e humanos, deve-se tratar primeiro os pacientes que apresentam maior possibilidade de sobreviver (pacientes menos graves), que exigem menor gasto de tempo, equipe, material e pessoal. OBS 2 : No atendimento ambulatorial de uma sala de emergência, alguns hospitais de referência já adotam uma classificação de cor pertinente ao grau de gravidade e de necessidade de tratamento que os pacientes admitidos se enquadram. Tal classificação se baseia, em parte, com o método START (Simple Triage and Rapid Treatment). Desta forma, temos:  Pulseira vermelha: vítimas graves e críticas, que apresentam perigo de morte (ou seja, situação eminente de morte). Ex: pacientes em choque; pneumotórax hipertensivo; grandes queimados; traumatismo cranioencefálico; politraumatizados; etc.  Pulseira amarela: são vítimas urgentes, mas que não apresentam perigo de morte. Ex: fratura do fêmur sem associação com outro evento; tiro na mão; etc.  Pulseira verde: pacientes admitidos para consulta médica ou outro atendimento sem que seja necessário um atendimento urgente. Pode configurar ainda pacientes com suspeita de evento inflamatório agudo doloroso. Ex: dor abdominal leve; enxaquecas; abdome agudo (apendicite, colecistite, aneurisma de aorta, etc.). Diante destas situações, podemos concluir que, embora não tenham tanta prioridade de atendimento, pacientes classificados com a cor verde devem ser tratados adequadamente, pois podem, facilmente, evoluir para uma classificação amarela ou, até mesmo, vermelha.  Pulseira azul: corresponde a última prioridade de atendimento e, geralmente, está relacionada com pacientes admitidos para a realização de procedimentos como retirada de pontos, requisição de atestado médico, troca de sondas, etc. Estes só serão atendidos se sobrar tempo. OBS 3 : Após a realização da preparação e da triagem, o atendimento ao politraumatizado deve atender ao seguinte algoritmo preconizado pelo ATLS:
  • 5.
    Arlindo Ugulino Netto– MEDICINA DE URG•NCIA – MEDICINA P8 – 2011.1 5 AVALIA‚„O INICIAL (REVIS„O PRIM…RIA) A etapa de avalia†…o inicial, tamb‚m chamada de revis…o primƒria, leva em considera†…o as caracter•sticas das lesˆes sofridas, os sinais vitais e os mecanismos da les…o dos pacientes para estabelecer as prioridades de tratamento. No paciente traumatizado grave, as prioridades l„gicas de tratamento devem se estabelecer com base na evolu†…o completa do paciente. O manejo do paciente deve consistir em uma revis…o primƒria rƒpida, reanima†…o e restaura†…o das fun†ˆes vitais, seguida de uma revis…o secundƒria mais detalhada e completa (procurando por lesˆes n…o matam, mas podem deixar sequelas ou deformidades), para chegar, finalmente, ao tratamento definitivo. A revis…o primƒria busca, portanto, identificar o que “mata primeiro” (que ‚ a obstru†…o de vias a‚reas) e o que “mais mata” (hipovolemia por choque hemorrƒgico). Desta forma, antes de mais nada, o primeiro passo a ser tomado ‚ tentar conversar com o paciente por pelo menos 10 segundos. Feito isso, devemos identificar sinais cr•ticos (como obstru†…o das vias ƒreas superiores, dispn‚ia, choque e coma). Depois destes primeiros passos da avalia†…o inicial, devemos iniciar o processo que constitui o chamado ABCDE da aten‚ƒo no trauma, que consiste em: A. Vias a‚reas (Airway) e estabiliza†…o da coluna cervical. Consiste na permeabiliza†…o das vias a‚reas (verificar, na cavidade oral, a presen†a de corpos estranhos, pr„tese dentƒria, sangue a ser aspirado, etc.) e, ao mesmo tempo, prote†…o da coluna cervical, deixando-a em posi†…o neutra. B. Respira†…o e ventila†…o (Breathing). Realizar, neste passo, uma breve inspe†…o da expansibilidade do t„rax, al‚m de proceder com a percuss…o (para identificar um eventual pneumot„rax hipertensivo) e palpa†…o das costelas, de maneira a contribuir com um diagn„stico precoce de causas amea†adoras Œ vida. C. Circula†…o e controle das hemorragias (Circulation). Neste terceiro passo, avalia-se a pulsa†…o carot•dea, a presen†a hemorragias vis•veis (contendo-as, se for o caso) e, se poss•vel, estabelecer um acesso venoso com agulha de grosso calibre para reposi†…o vol€mica. Ao mesmo tempo, faz-se a coleta de amostra de sangue do indiv•duo para rotina laboratorial e tipagem. Nesta etapa, faz-se o cateterismo vesical para avaliar a reposi†…o vol€mica. D. Avalia†…o neurol„gica (Desability). Consiste na avalia†…o do n•vel de consci€ncia (Escala de Coma de Glasgow), simetria pupilar e presen†a de d‚ficits focais. E. Exposi†…o e controle ambiental (Exposition). Nesta fase, devemos expor o paciente e realizar uma minuciosa inspe†…o, a procura de fraturas, contusˆes, lacera†ˆes ainda n…o exploradas. Devemos prevenir, tamb‚m, a hipotermia. Caso necessƒrio, uma vez estabilizado o quadro, o paciente deve ser encaminhado para a realiza†…o de exames complementares. Portanto, durante a revis…o primƒria, devemos identificar as situa‚„es que amea‚am a vida do paciente e, simultaneamente, devemos iniciar o seu tratamento. As prioridades na evolu†…o e nos procedimentos de manejo s…o expostos neste cap•tulo de forma sequencial, ordenados segundo a sua import‡ncia, com o prop„sito de maior claridade de descri†…o. A. VIAS A…REAS  A capacidade de o paciente falar corresponde ao primeiro crit‚rio a ser avaliado.  Atentar para lesˆes que podem comprometer as vias a‚reas superiores (VAS).  Promover a imobiliza†…o do pesco†o (com colar cervical ou com head blocks) para pacientes com les…o cervical (ou com suspeita de les…o cervical). A princ•pio, todo politraumatizado tem les…o cervical, especialmente quando apresentam escala de Coma de Glasgow (GCS) < 8, at‚ que se prove o contrƒrio.  Controle imediato da coluna cervical por meio da manobra de jaw thrust.  Se necessƒrio, realizar sequ€ncia de intuba†…o rƒpida para garantir via ƒrea definitiva. As vias a‚ras e o controle da coluna cervical deve ser o primeiro par‡metro a ser avaliado, uma vez que caracteriza lesˆes que matariam o paciente em primeira inst‡ncia. Desta forma, se o paciente ‚ capaz de falar, muito provavalmente, ele n…o apresenta obstru†…o de VAS (por esta raz…o, tentar conversar com o paciente pode ser uma etapa importante na avalia†…o inicial). Š necessƒrio atentar para lesˆes que, eventualmente, possam comprometer as VAS, tais como traumatismos cranio-encefƒlicos (TCE), queimaduras de face, fratura de ossos da face, etc. Caso o paciente apresente sangramento ou secre†…o em cavidade oral, podemos optar pela aspira†…o. Se porventura o paciente apresenta queda da base da l•ngua – o que ‚ comum em pacientes com rebaixamento de n•vel de consci€ncia – devemos proceder com medidas que garantam a permeabilidade da via a‚rea do paciente (como a instala†…o da c‡nula orofar•ngea de Guedel). Algumas manobras podem ser realizadas para evitar que aconte†a queda da base da l•ngua e obstru†…o das VAS por este evento. Dentre elas, podemos utilizar as tr€s variantes do jaw thrust. A manobra de chin lift (que consiste na extens…o mƒxima da cabe†a por tra†…o no queixo) deve ser evitada para n…o agravar eventuais lesˆes cervicais.
  • 6.
    Arlindo Ugulino Netto– MEDICINA DE URG•NCIA – MEDICINA P8 – 2011.1 6 É sempre bom frisar que o fato de a coluna cervical ser o segmento mais instável da coluna vertebral, principalmente em pacientes politraumatizados, faz com que ela deva ser considerada logo no primeiro passo da avaliação inicial da vítima de trauma. A princípio, todo politraumatizado deve ser considerado vítima de lesão cervical (principalmente aqueles pacientes com GCS < 8) e, por isso, devem portar colar cervical até o momento da realização de exames radiológicos. Se o paciente não conversa espontaneamente, não respira ou apresenta GCS menor do que 8, este deve ser submetido a ventilação mecânica com AMBU e cânula orofaríngea de Guedel ou, de um modo definitivo, intubação orotraqueal com conexão a sistema de ventilação com O2. B. RESPIRAÇÃO  Monitorar a respiração da vítima e a saturação de O2 através da oximetria de pulso.  Oferecer O2 e ventilar (atenção: a traqueostomia raramente é utilizada no ATLS, diferentemente da cricotireoidostomia).  Examinar pescoço e tórax.  Realizar inspeção, percussão, palpação e ausculta do tórax.  Esvaziar o espaço pleural: retirar, se necessário, o ar (com curativo de três pontos, para feridas abertas) ou o sangue (com drenagem ou toracocentese). Durante o passo B do ATLS, devemos monitorar, obrigatoriamente, a saturação de O2 através do oxímetro de pulso, que já deve estar instalado no paciente desde o atendimento pré-hospitalar. Para o paciente politraumatizado, devemos manter uma saturação mínima de 98%. Caso o paciente sature abaixo deste valor, devemos investigar alguma causa de base para uma hipóxia. Devemos oferecer oxigênio a 100%, 10 a 12 litros/minuto, a toda vítima de trauma, sobretudo àqueles pacientes moderados a graves. O exame da região cervical e torácica deve ser procedido. A semiotécnica do tórax consiste na realização da inspeção, percussão, palpação e ausculta.  Inspeção: expansibilidade, mobilidade, presença de assimetrias, movimentos paradoxais (no momento da inspiração, o tórax se contrai e no momento da expiração, o tórax expande; tal situação acontece, geralmente, em casos de fraturas múltiplas de costelas).  Percussão: o timpanismo pode indicar pneumotórax hipertensivo, cujo diagnóstico deve ser, obrigatoriamente, clínico (uma vez que o exame radiográfico não pode ser solicitado ainda nesta altura da avaliação).  Palpação: presença de abaulamentos ou deformidades, que podem indicar fratura de costelas; presença de creptação, que pode indicar enfisema subcutâneo.  Ausculta: deve ser procedida de forma simétrica, em ambos os hemitórax, seguindo o ápice pulmonar esquerdo depois o direito, terço médio esquerdo depois o direito, e base esquerda depois o direito. Se o pneumotórax hipertensivo for identificado (paciente com desconforto respiratório, saturação de O2 baixa, timpanismo à percussão, turgência jugular, murmúrios vesiculares reduzidos), por exemplo, é necessário promover a descompressão (pois sempre que algum distúrbio for identificado, devemos tratá-lo). Para isso, podemos optar por introduzir uma agulha de jelco n o 14 na altura do 2º espaço intercostal apenas no intuito de tirar o paciente do quadro emergencial de angústia respiratória. Na vigência de um pneumotórax aberto, com feridas expostas (geralmente causadas por costelas fraturadas), devemos optar pela confecção de um curativo de três pontos, que consiste em um pedaço quadrangular de plástico aplicado sobre o local da lesão. Este plástico deve ser fixado por fitas adesivas em três de seus vértices e cantos, de modo que uma extremidade não fixada funcione como uma válvula que se abra durante a expiração e que se feche na inspiração. Esta medida, contudo, serve apenas para estabilizar o paciente que, eventualmente, terá seu tórax drenado cirurgicamente durante a fase de tratamento definitivo. C. CIRCULAÇÃO  Checar pulsos centrais, avaliar a presença de sangramento ativo e de perfusão tecidual.  Observar parâmetros como: consciência, agitação, sudorese, pulso, sede, diurese, saturação de O2, etc.  Coibir hemorragias externas através de compressão direta (princípio do stop the bleeding).  Para pacientes vítimas de trauma e com sinais de hipovolemia, não adianta realizar RCP.  Estabelecer acesso venoso periférico (de preferência) e repor volume.  Estar sempre atento para focos internos de sangramento.  Considerar cinemática do trauma.  Extremos de idade, atletas, grávidas.  Lembrar fases do choque hipovolêmico. Durante o passo C do ATLS, devemos identificar, em primeira instância, a presença de um eventual sangramento externo em atividade. Caso haja algum, se faz necessário estancar imediatamente este sangramento (Stop the bleeding!), seja por meio de compressão ou torniquete.
  • 7.
    Arlindo Ugulino Netto– MEDICINA DE URG•NCIA – MEDICINA P8 – 2011.1 7 Para identificar um eventual estado de choque, podemos analisar os seguintes parâmetros:  Estado de consciência: ao diminuir o volume circulante, a perfusão cerebral se altera de modo importante, causando alterações no nível de consciência. No entanto, o paciente pode estar consciente e ter perdido uma grande quantidade de sangue.  Coloração da pele: depois de um traumatismo, um paciente com pele rosada, especialmente na face e nas extremidades, raramente está gravemente hipovolêmico. Pelo contrário, a presença de uma coloração cinzenta a pálida das extremidades é considerada um dado evidente de hipovolemia.  Pulsação: os pulsos mais acessíveis para exploração são os centrais (femoral e carotídeo); estes devem ser avaliados bilateralmente, buscando sua amplitude, frequência e ritmo. Um pulso rápido e fino é sinal de início de hipovolemia, embora também possa indicar outras causas. Uma frequência normal de pulso, entretanto, não assegura normovolemia. A ausência de pulsos centrais, quando esta não é atribuída a fatores locais, indica a necessidade de instituir medidas imediatas de reanimação para restabelecer o volume sanguíneo perdido.  Sudorese e má perfusão periférica: a presença de suor excessivo e o mau enchimento capilar (avaliado pela compressão da polpa digital e identificado pelo enchimento capilar acima de 2 segundos) são indicativos de hipovolemia. Para pacientes que se mostram com síndrome de hipovolemia, mesmos sem indícios de hemorragias externas, devemos iniciar reposição volêmica imediata. Esta reposição pode ser feita com dois acessos venosos periféricos calibrosos (com jelco n o 14) e infusão rápida de Ringer Lactato (RL) aquecido a 39ºC, preferencialmente (pois o RL tem maior afinidade pelo sistema neurológico). Simultaneamente, a coleta de sangue para teste de tipagem deve ser procedida. É necessário ressaltar que, na análise do ATLS, não existe parada cardíaca no trauma. Na verdade, o que o ATLS preconiza é que não há indicação de ressuscitação cardiopulmonar (RCP) no trauma. Isso porque a principal causa de morte no trauma se traduz pelo choque hipovolêmico e, portanto, compressões cardíacas ou desfibrilações de nada valem se o coração não possui volume para bombear. Para estes pacientes, se faz necessário administrar volume, e não tentar RCP (com exceções a esta regra, temos o trauma por choque elétrico, por exemplo, em que a eventual parada cardiorrespiratória não se deu por falta de volume sanguíneo). O ATLS recomenda que, inicialmente, o acesso venoso deve ser estabelecido em veias periféricas. Nesta fase, portanto, nenhuma veia central deve ser puncionada. Caso o acesso venoso em fossa cubital seja dificultoso, preconiza- se o acesso da veia safena magna, localizada anteriormente ao maléolo medial da tíbia, de um modo bastante superficial. Na última revisão do ALTS, foi apresentada a realização de uma punção intraóssea no próprio maléolo medial com auxílio de uma BIG (Bomb Injection Gun) para reposição rápida de líquidos. D. AVALIAÇÃO NEUROLÓGICA  Estar atento às alterações pupilares, estado mental e sinais de lateralização.  Realizar escala de coma de Glasgow (GCS).  Atenção para o uso de álcool/drogas, tubo orotraqueal e lactentes.  Observar sinais de anisocoria (assimetria pupilar) e lateralização, que sugerem lesão focal.  Elevar a cabeceira, se houver indícios de hipertensão intracraniana (HIC); otimizar a melhora da oferta de O2 e a pressão arterial média (PAM).  Assegurar ABC.  Consulta ao neurocirurgião. Ao final da revisão do ABC, devemos realizar uma rápida avaliação neurológica. Esta avaliação pretende estabelecer o nível de consciência da vítima, assim como o padrão de reação pupilar (simetria e reflexo fotomotor), sinais de lateralização e nível de uma eventual lesão medular. Para avaliação neurológica do paciente politraumatizado, devemos analisar a Escala de Coma de Glasgow e as reações pupilares. A Escala de Coma de Glasgow, um método simples e rápido para avaliar o nível de consciência do paciente politraumatizado, leva em consideração três parâmetros (ver OBS 4 ): abertura ocular, resposta verbal e resposta motora. É necessário, obviamente, considerar o uso de drogas e de álcool: alguns avaliadores subestimam lesões importantes do sistema nervoso por atribuirem os sinais neurológicos aos efeitos de tais substâncias. O comprometimento do estado de consciência do paciente pode revelar a diminuição da oxigenação e/ou perfusão cerebral, o que pode causar, diretamente, um tramatismo cerebral irreversível. As alterações da consciência indicam a necessidade de reavaliar o estado de oxigenação, ventilacão e perfusão. De fato, hipoglicemia, álcool, narcóticos e outras drogas também podem alterar o estado de consciência do paciente; no entanto, quando estas hipóteses são descartadas como causa do distúrbio, sempre devemos considerar uma lesão importante do sistema nervoso central, até que se prove o contrário. Para melhorar ou estabilizar o nível de consciência do paciente, devemos sempre manter os parâmetros hemodinâmicos em níveis ótimos, incluindo oxigenação e pressão arterial. Solicitar uma avaliação mais detalhada do sistema nervoso com o auxílio de um neurocirurgião é extremamente necessário no caso de trauma. Contudo, a utilização de exames de imagem (como a tomografia computadorizada) é essencial para a evolução destes pacientes.
  • 8.
    Arlindo Ugulino Netto– MEDICINA DE URG•NCIA – MEDICINA P8 – 2011.1 8 OBS 4 : A Escala de Coma de Glasgow (GCS) ‚ um dos principais preditores de progn„stico a longo prazo, sobretudo em casos de traumatismo craniano. Trata-se de uma classifica†…o bastante objetiva, principalmente no momento da admiss…o do paciente: se este recebeu um determinado escore e, com cerca de 30 minutos depois, seu escore mudou, significa, de certeza, que alguma coisa mudou para melhor ou para pior. Desta forma, temos:  GCS 14 – 15: trauma leve.  GCS 9 – 13: trauma moderado.  GCS < 8: trauma grave.  Paciente intubado: deve receber a pontua†…o 1 para melhor resposta verbal e uma notifica†…o com a letra “T” ao lado da soma de sua escala.
  • 9.
    Arlindo Ugulino Netto– MEDICINA DE URG•NCIA – MEDICINA P8 – 2011.1 9 E. EXPOSIÇÃO  Despir o paciente completamente.  Não negligenciar nenhuma parte da anatomia, inclusive região dorsal, genitália e períneo.  Realizar a manobra de rolamento em monobloco, evitando maior deslocamento da coluna vertebral.  Proceder com controle da temperatura ambiente e evitar hipotermia do paciente.  Após a avaliação, manter o paciente aquecido com cobertores ou ringer lactato (RL) aquecido.  Remover objetos. Na última etapa do ABCDE do ATLS, devemos realizar a exposição completa do paciente, da cabeça aos pés, na frente e no dorso. Para isso, devemos aproveitar o momento da passagem do paciente politraumatizado da prancha rígida do serviço de atendimento móvel para a maca da sala de emergência, e realizar um rolamento em monobloco do paciente para avaliar o dorso como um todo (uma vez que o paciente permanece a maior parte do tempo em decúbito dorsal, este é, teoricamente, o único momento para realizar a inspeção do dorso). Durante essa inspeção, se faz necessário procurar por lesões que passaram desapercebidas durante o restante da avaliação inicial, como tiros em dorso, hematomas, deformidades sugestivas de fraturas, etc. É importante, também nesta etapa, manter a vítima aquecida, seja com cobertores ou com mantas isolantes térmicas, seja com o uso de RL aquecido (a 39ºC). OBS 5 : Ciladas durante a avaliação inicial. Devemos ter atenção para o seguinte check list das principais ciladas ou pontos que passam desapercebidos ou não são tão considerados durante a avaliação inicial:  História do paciente: ignorar o mecanismo de trauma.  Vias aéreas: incapacidade de reconhecer uma obstrução e dificuldade para indicar uma via aérea cirúrgica.  Respiração: dificuldade na intubação traqueal e dificuldade em identificar e tratar pneumotórax hipertensivo (cujo diagnóstico é eminentemente clínico).  Circulação: não identificar hemorragias externas, não identificar sangramentos internos, negligenciar a bomba.  Estado neurológico: dificuldade em manter VAS, retardo na identificação de sinais de lateralização e negligência de eventos neurológicos diante de sinais de embriaguês.  Exposição: levar o paciente a uma hipotermia e não remover objetos. MEDIDAS AUXILIARES Depois da avaliação inicial e da estabilização do paciente, podemos partir para uma segunda etapa do algoritmo do ATLS, que consiste no uso de medidas auxiliares. Obrigatoriamente, devemos lançar mão dos seguintes exames:  Radiografias: da região cervical, tórax (em AP) e pelve. Estas radiografias devem ser obrigatoriamente realizadas, mesmo na vigência de um exame físico completamente normal.  Tomografia: realizada neste momento apenas se houver uma suspeita de lesão neurológica grave e cujo tratamento deva ser imediato.  Focused Assesment Sonography for Trauma (FAST): consiste na realização de ultrassonografia na sala emergência. Configura um exame rápido e não invasivo, utilizado para detecção de trauma abdominal. É realizado em quatro pontos específicos: (1) janela epigástrica (para procurar por hemopericárdio); (2) hipocôndrio direito (para procurar lesões hepáticas); (3) hipocôndrio esquerdo (para procurar lesões esplênicas); e (4) pelve (procurar por coleção sanguínea abdominal). Nele observa-se a presença de líquido, para detecção de trauma abdominal. Por meio dele, podemos avaliar de maneira efetiva a presença de líquido livre na cavidade peritoneal e a lesão de órgãos parenquimatosos. Se positivo for o achado, há indicação de cirurgia. Contudo, é um procedimento examinador-dependente.  Oximetria de pulso: para avaliar a saturação de O2.  Sonda nasogástrica: tem a finalidade de evitar ou reduzir a distensão gástrica e diminuir o risco de broncoaspiração. Portanto, só deve ser indicada caso o paciente se apresente inconsciente.  Sonda vesical: a diurese horária é um importante parâmetro indicador de grande sensibilidade para o estado de volemia do paciente, refletindo a perfusão renal. A monitorização da diurese horária pode ser melhor realizada com a colocação de uma sonda vesical tipo Foley. A colocação da sonda vesical deve ser contraindicada em pacientes com suspeita de ruptura uretral (suspeitamos quando há: presença de sangue no meato uretral externo, equimose perineal, sangue no escroto, próstata não palpável durante o exame de toque, fratura pélvica).  Monitoramento cardíaco: a colocação de eletrodos para avaliação eletrocardiográfica é essencial para pacientes politraumatizados, principalmente para avaliar a presença de disritmias, incluindo taquicardias inexplicáveis, extrasístoles ventriculares e alterações no segmento ST. A presença de atividade elétrica sem pulso pode ser indicativa de tamponamento cardíaco, pneumotórax hipertensivo e hipovolemia grave.
  • 10.
    Arlindo Ugulino Netto– MEDICINA DE URG•NCIA – MEDICINA P8 – 2011.1 10 HIST†RIA E ANTECEDENTES Caso o paciente seja identificado como muito grave após a etapa do ABCDE (como pacientes portadores de TCE e choque), devemos encaminhá-lo o mais estável possível para a UTI ou bloco cirúrgico. Contudo, se o paciente não apresenta perigo de vida e/ou foi estabilizado durante o ABCDE, podemos aplicar um breve interrogatório acerca de seus antecedentes, seguindo-se a sequência ditada pela regra mnemônica AMPLA:  Alergias (A)  Medicamentos e passado médico (M)  Prenhez (P) ou gravidez  Última refeição ou líquidos (L)  Cena do acidente, mecanismos do trauma (A) Além destes parâmetros, devemos sempre ressaltar os sinais vitais do paciente (como frequência cardíaca e respiratória, os quais não devem ser prioridade durante a avaliação inicial) e os dados fornecidos pelo pessoal do atendimento pré-hospitalar. AVALIA‚„O SECUND…RIA O objetivo da avaliação secundária é identificar e tratar lesões que não matam obrigatoriamente, mas que podem levar a perda de funções e causar sequelas importantes. Aqui, os parâmetros são mais anatômicos que fisiológicos (diferentemente da prioridade que é feita durante a avaliação inicial). Esta avaliação deve visar o tratamento definitivo, que acontece logo em seguida. A sequência sugerida para a avaliação secundária é a que segue:  Cabeça, olhos e orelhas;  Bucomaxilofacial;  Pescoço;  Tórax;  Abdome;  Pelve e períneo;  Extremidades e segmentos variados dos membros (ombros, joelhos, coxas, braços, etc.).  Exame neurológico mais específico;  Dorso. A realização de outros exames complementares necessários também pode ser considerada nesta fase. Estes exames, diferentemente dos obrigatórios realizados previamente na ocasião das medidas auxiliares, são aqueles que custam mais tempo de realização e, portanto, só devem ser realizados com o paciente estabilizado. Os exames são solicitados sob critérios médicos, como tomografia computadorizada, radiografia de membros e extremidades, estudos radiológicos contrastados, arteriografias, urografias, endoscopias, ultrassonografias específicas, etc. OBS 6 : Ciladas durante a avaliação secundária. As principais ciladas que ocorrem durante a avaliação secundária se resumem na negligência de lesões de menor monta. Segue-se, portanto, o seguinte check list:  Extremidades: fraturas nas mãos e nos pés; pequenos ferimentos.  Abdome: lesões de vísceras ocas e lesões em retroperitônio (ureter); lesões de diafragma (penetrantes).  Dorso: esquecer de fazer a inspeção durante o rolamento em monobloco.  Durante o transporte (seja intra-hospitalar ou inter-hospitalar): não deixar de fazer uma nova reavaliação e manter a atenção cuidados sobre drenos, tubos e catéteres. DESTINOS Os seguintes destinos hospitalares podem ser possíveis para pacientes politraumatizados:  Unidade de terapia intensiva: pacientes com condições clínicas desfavoráveis para qualquer intervenção cirúrgica.  Bloco cirúrgico: pacientes que necessitam de cuidados cirúrgicos imediatos.  Observação clínica: pacientes estáveis hemodinamicamente, portadores de trauma leve.  Centro de imagem: pacientes que necessitam realizar tomografia, radiografia, ultrassonografia.  Alta hospitalar: para pacientes que, depois de uma análise completa, não necessitam de maiores cuidados. Contudo, a alta hospitalar pode tanto destinar o paciente de volta a sua casa ou encaminhá-lo para um outro centro hospitalar (transferência inter-hospitalar).
  • 11.
    Arlindo Ugulino Netto– MEDICINA DE URG•NCIA – MEDICINA P8 – 2011.1 11 CONSIDERA‚ƒES FINAIS O paciente acidentado deve ser avaliado de forma rápida e completa. O médico deve estabelecer prioridades para o manejo integral do paciente para não omitir nenhum passo no processo. Desta forma, devemos considerar o seguinte:  Uma história adequada inclui o relato completo do incidente traumático: o mecanismo do trauma determinará o tipo e a extensão das lesões.  Na avaliação primária, se identificam e tratam parâmetros fisiológicos (ABCDE).  Na avaliação secundária, se identificam e tratam parâmetros anatômicos (que, no máximo, deixam sequelas)  Sejamos rápidos: ao identificar distúrbios com potencial risco a vida, devemos tratá-los.  Nunca causar mais dano ao paciente.  Devemos nos certificar das possibilidades de tratamento cabíveis (recursos) ao centro hospitalar.
  • 12.
    Arlindo Ugulino Netto– MEDICINA DE URG•NCIA – MEDICINA P8 – 2011.1 12 MED RESUMOS 2011 NETTO, Arlindo Ugulino; CORREIA, Luiz Gustavo. MEDICINA DE URGÊNCIA E TERAPIA INTENSIVA MONITORIZAÇÃO HEMODINÂMICA INVASIVA (Professor Jorge Fonseca) A monitora†…o hemodin‡mica pode ser conceituada como um conjunto de par‡metros analisados no paciente que ajudam a definir o estado da fisiologia cardiovascular do mesmo. Estas informa†ˆes garantem ao m‚dico intensivista dados que podem alterar, de forma importante, o progn„stico do paciente. Tal monitoriza†…o pode ser n…o-invasiva (como a aferi†…o do pulso arterial perif‚rico, por exemplo) ou invasiva (por meio da utiliza†…o do cateter da artéria pulmonar). A medida da press…o de oclus…o da art‚ria pulmonar e a do d‚bito card•aco formam as bases da monitorização hemodinâmica invasiva (MHI). Estes procedimentos eram executados somente no laborat„rio de hemodin‡mica, at‚ 1970, quando Swan e Ganz publicaram a utiliza†…o de um cateter flex•vel, fluxo dirigido, com um bal…o em sua extremidade, para a medida da press…o de enchimento do ventr•culo esquerdo. O cateterismo card•aco podia agora ser executado Œ beira do leito, sem fluoroscopia, com menor incid€ncia de arritmias, sem a experi€ncia e habilidade normalmente adquiridas no laborat„rio de hemodin‡mica e finalmente com informa†ˆes fundamentais para o entendimento e o tratamento das altera†ˆes hemodin‡micas. A utiliza†…o cl•nica do cateter de Swan-Ganz (cateter da art‚ria pulmonar, dirigida pelo fluxo) iniciou-se, portanto, nos primeiros anos da d‚cada de 1970 e difundiu-se rapidamente devido a sua praticidade e eficƒcia, na medida das pressˆes hemodin‡micas e na determina†…o do d‚bito card•aco pelo uso do computador, guiando a administra†…o de l•quidos intravenosos, inotr„picos e agentes redutores da p„s-carga. O cateter ‚ radiopaco e a fluoroscopia e/ou a radiografia simples pode ser usada para guiar ou verificar a sua posi†…o. FISIOLOGIA E ANATOMIA APLICADA A MHI O corpo humano ‚, fundamentalmente, formado por c‚lulas; sendo esta a unidade morfofuncional do organismo humano, n…o devemos estudar a fisiologia dos sistemas ou dos „rg…os – mas sim, a fisiologia celular. Sabe-se, portanto, que o corpo ‚ formado, em m‚dia, por 100 trilhˆes de c‚lulas que devem trocar material com o meio externo. Por esta raz…o, a oferta de O2 para as c‚lulas ‚ uma fun†…o essencial dos seres aer„bicos. No momento em que esta oferta se torna ineficaz, instala-se uma situa†…o conhecida como disóxia tecidual, que acarreta a morte celular por falta de respira†…o mitocondrial. Nas unidades de terapia intensiva (UTI), por exemplo, observa-se o lactato como um importante marcador de mƒ perfus…o tissular (quando os n•veis de lactato sobem, classicamente, diz-se que o progn„stico do paciente ‚ cada vez pior). A MHI se faz importante quando se parte do pressuposto que a maior parte dos casos de dis„xia se instala sem que haja par‡metros cl•nicos relevantes: o paciente pode estar em choque compensado, por exemplo, com press…o arterial e frequ€ncia card•aca mantidas, mesmo que, em n•vel celular, a oferta de oxig€nio jƒ esteja comprometida. Por esta raz…o, a monitoriza†…o dos par‡metros de perfus…o e oxigena†…o celular tem sido o objetivo primordial para o tratamento dos pacientes cr•ticos, evitando, assim, a dis„xia tecidual antes mesmo que ela se instale. Contudo, antes de entendermos a teoria do funcionamento do cateter da art‚ria pulmonar, devemos revisar alguns conceitos bƒsicos da anatomia e fisiologia card•aca. CORAÇÃO E CIRCULAÇÃO SANGUÍNEA Como se sabe, o cora†…o constitui, na realidade, duas bombas distintas: o cora†…o direito (que envia sangue pobre em O2 para os pulmˆes) e o cora†…o esquerdo (que bombeia sangue rico em O2 para os „rg…os perif‚ricos). Por outro lado, cada um desses cora†ˆes ‚ uma bomba pulsƒtil com duas c‡maras, composta por ƒtrio e ventr•culo. O ƒtrio funciona, principalmente, como bomba de escorva para os ventr•culos. O ventr•culo, por sua vez, fornece a for†a principal que impulsiona o sangue para a circula†…o pulmonar (pelo ventr•culo direito) ou para circula†…o pulmonar (pelo ventr•culo direito). Desta forma, temos: Lado direito do coração Lado esquerdo do coração  Recebe o sangue da circula†…o sist€mica pobre em oxig€nio (SvO2 = 75%)  Sistema de alta complac€ncia e baixas pressˆes  Recebe o sangue da circula†…o pulmonar rico em oxig€nio (SaO2 = 98%; ver OBS 1 )  Sistema de altas pressˆes
  • 13.
    Arlindo Ugulino Netto– MEDICINA DE URG•NCIA – MEDICINA P8 – 2011.1 13 OBS1 : Note que o sangue arterial é saturado em, aproximadamente, 98% de oxigênio (a saturação arterial de oxigênio não chega a 100% devido à presença do shunt fisiológico). Contudo, o sangue venoso apresenta-se com 75% de saturação de oxigênio, o que nos faz concluir que, mesmo sendo alta a saturação de O2 arterial, os tecidos não utilizam mais do que 25% do oxigênio disponível a eles. Teorias defendem que a sobrevivência das espécies aeróbicas depende deste mecanismo, uma vez que sempre haverá reservas importantes de O2 no sangue venoso. CICLO CARDÍACO O ciclo cardíaco consiste de um período de relaxamento em que o coração se enche de sangue seguido por um período de contração, quando o coração se esvazia. É, portanto, o período que decorre entre o início de um batimento cardíaco até o início do batimento seguinte (contração atrial  contração ventricular  relaxamento ventricular).  Sístole: Período de contração da musculatura, durante o qual o coração ejeta o sangue. Dura cerca de 0,15 segundos.  Diástole: Período de relaxamento da musculatura, durante o qual o coração se enche de sangue. Dura cerca de 0,30 segundos. O ciclo cardíaco inicia-se com a geração espontânea de um potencial de ação no nodo SA. Este estímulo propaga-se para os átrios (através das junções abertas) e para o nodo AV (através das vias internodais). Os átrios se contraem, enquanto no nodo AV ocorre um breve atraso na transmissão do estímulo para os ventrículos. Após a contração atrial, o estímulo propaga-se do nodo AV para os ventrículos através do feixe AV e das fibras de Purkinje, ocorrendo então a contração ventricular. Após a sístole, o coração relaxa e inicia-se o enchimento dos ventrículos. Desta forma, de um modo mais específico, temos: Fases da sístole ventricular Fases da diástole ventricular  Contração isovolumétrica:  Os ventrículos começam a se contrair, mas, devido ao fato de as válvulas cardíacas estarem fechadas, faz com que eles não alterem o seu volume.  Ocorre aumento da pressão ventricular.  Corresponde ao complexo QRS do ECG.  Fase de ejeção rápida:  Com o aumento da pressão intraventricular, as válvulas aórtica e pulmonar se abrem e o sangue é ejetado durante a contração ventricular.  Cerca de 85% do volume é ejetado.  Corresponde ao segmento ST do ECG.  Fase de ejeção lenta:  Os átrios se apresentam em início de diástole.  Corresponde a onda T do ECG (repolarização ventricular).  Relaxamento isovolumétrico:  Todas as válvulas cardíacas estão fechadas  Pressões de átrios são maiores que as pressões ventriculares  Corresponde ao fim da onda T no ECG.  Fase de enchimento ventricular rápido:  Ocorre diminuição da pressão intraventricular com o fechamento das válvulas semilunares.  Com válvula átrio-ventricular aberta, o sangue acumulado no átrio flui rapidamente para o ventrículo.  Cerca de 2/3 do volume atrial é ejetado e o volume sanguíneo dentro do ventrículo aumenta rapidamente.  É representada pelo início da linha isoelétrica após a onda T no ECG.  Fase de contração (sístole) atrial:  Os átrios se contraem para encher os ventrículos antes da contração ventricular.  O 1/3 restante do volume atrial é ejetado.  Corresponde a onda P do ECG. Observando as fases do ciclo cardíaco, nota-se que o sangue flui de forma contínua das grandes veias (cava superior, inferior e seio venoso cardíaco) para os átrios. Deste volume atrial, cerca de 75% do sangue flui diretamente dos átrios para os ventrículos pela simples ação da gravidade e da inércia, antes mesmo de acontecer contração atrial. Então, com a contração atrial, acontece um enchimento adicional dos ventrículos de 25%. Portanto, os átrios funcionam, simplesmente, como bombas de escorva, que aumentam a eficiência do bombeamento ventricular (débito cardíaco) em até 25%. Partindo deste pressuposto, patologias que acometam o átrio podem reduzir o débito cardíaco em 25%, o que significa um volume considerável de sangue.
  • 14.
    Arlindo Ugulino Netto– MEDICINA DE URG•NCIA – MEDICINA P8 – 2011.1 14 CARACTER‡STICAS DO CATETER O cateter de art‚ria pulmonar (CAP) ou, simplesmente, cateter de Swan-Ganz, ‚ um dispositivo de grande valor para a terapia intensiva, considerado, por especialistas, como o “canivete su•†o” desta especialidade por conta de suas amplas atribui†ˆes. Possuindo cerca de 110 cm, o cateter de AP possui um pequeno bal…o inflƒvel em sua ponta que, quando inflado, permite que o fluxo sangu•neo transporte o cateter pelo lado direito do cora†…o e para a art‚ria pulmonar, sem a necessidade de realiza†…o de fluoroscopia, na beira do leito. HISTÓRICO O cateter de AP com bal…o flutuante foi criado pelo Dr. Jeremy Swan, cardiologista do Cedars-Sinai Hospital, ap„s um passeio pelas praias de Santa M•nica. “No outono de 1967, tive a oportunidade de levar meus filhos (ainda crian•as) para a praia de Santa M‚nica. Era um sƒbado de calor, e os barcos „ vela na ƒgua estavam parados. Contudo, cerca de 500 metros da costa, observei uma grande vela triangular bem desenvolvida e movendo-se na ƒgua com velocidade razoƒvel. Tive, ent…o, a id†ia de colocar uma vela ou um pƒra-quedas na ponta de um cateter altamente flex‡vel e assim aumentar a freqˆ‰ncia de passagem do equipamento para dentro da art†ria pulmonar.” (Dr. Jeremy Swan – 1970) A cria†…o e o desenvolvimento final do cateter de AP ocorreram em 1970, quando em publica†…o pelo New England, Jeremy Swan divulgou a cateriza†…o do cora†…o de um homem com o uso de um bal…o direcionado por fluxo sangu•neo. De maneira semelhante a uma vela, o cateter de AP ‚ equipado com um bal…o inflƒvel em sua ponta e, em decorr€ncia de inje†…o de 1,5 mL de ar, o bal…o passa a agir como uma vela. Ou seja, o fluxo sangu•neo, por si s„, consegue transportar o cateter pelo cora†…o direito. CARACTERÍSTICAS BÁSICAS O cateter existe nos tamanhos neonatal (3 French), pediƒtrico (5 French) e adulto (7 French). Os cateteres adultos existem em dois comprimentos: 85 e 110 cm. Em resumo, suas principais caracter•sticas s…o:  Possui uma extens…o de 110 cm.  Tem um di‡metro externo de 2,3 mm.  O corpo do cateter cont‚m quatro (4) vias, al‚m do bal…o em sua extremidade distal:  Via proximal (azul): permite a inje†…o de l•quidos para as medidas hemodin‡micas e ‚ utilizado tamb‚m para a medida da press…o venosa, central (PVC) e coleta de exames de sangue.  Via distal (amarela): permite a medida das pressˆes nas c‡maras card•acas direitas, press…o arterial pulmonar e press…o capilar pulmonar, durante a inser†…o, al‚m da colheita de amostra do sangue venoso, misto, na art‚ria pulmonar.  Via do bal…o (vermelha): auxilia na migra†…o do cateter pela flutua†…o dirigida pelo fluxo, permitindo o encunhamento do cateter e a medida da press…o capilar pulmonar, quando inflado em um ramo da art‚ria pulmonar. Tem o volume de 1,5 ml.  Termistor: consiste em dois finos fios isolados que mede a temperatura sangu•nea na art‚ria pulmonar, continuamente, sendo que, atrav‚s da termodilui†…o, realiza as medidas hemodin‡micas com o uso de um computador.  Com dois canais internos, um que segue ao longo de todo o comprimento do cateter e se abre na sua ponta (l‰men da AP) e, outro, que termina a 30 cm da sua ponta, abrindo-se no ƒtrio direito (l‰men do AD).  A ponta do cateter ‚ equipada com um pequeno bal…o inflƒvel, com capacidade de 1,5 mL.  O cateter tamb‚m possui um pequeno termistor (transdutor que tem a capacidade de captar mudan†as de temperatura), localizado a 4 cm da ponta do cateter. Existe a possibilidade da inje†…o de um l•quido frio pelo canal interno do cateter e, o fluxo deste l•quido frio, atrav‚s do m‚todo de termodilui†…o (ver OBS 9 ), pelo termistor, pode mensurar o d‚bito card•aco. Hƒ ainda o termistor de resposta rƒpida, que permite a medi†…o da fra†…o de eje†…o do ventr•culo direito.
  • 15.
    Arlindo Ugulino Netto– MEDICINA DE URG•NCIA – MEDICINA P8 – 2011.1 15 Portanto, em resumo, o cateter de artéria pulmonar (de Swan-Ganz) é um cateter que deve ser instalado no coração direito através de punção da veia jugular ou da subclávia. Ele apresenta múltiplos lumens, mede cerca de 60 a 110cm e possui um balão em sua ponta. Tal balão, uma vez inflado, ajuda o fluxo sanguíneo a mover o cateter em direção à artéria pulmonar (o fluxo sanguíneo direciona o cateter, como um barco a vela é direcionado pelo vento). O cateter mais comum apresenta 4 lumens: (1) lúmen do balão para insuflação; (2) lúmen distal na artéria pulmonar; (3) lúmen proximal no átrio direito; (4) termistor na ponta para medir a temperatura sanguínea e outros parâmetros predeterminados. Embora o cateter seja instalado nas câmaras direitas do coração, além de aferir todos os valores pressóricos destas câmaras, ele permite mensurar, indiretamente, parâmetros cardiovasculares relacionados com o coração esquerdo, sem que seja necessário levar o paciente para uma sala de hemodinâmica e fazer uso de fluoroscopia. IMPORTˆNCIA DA MHI Segundo o Professor Jorge Fonseca, a observação clínica nos pacientes críticos é, geralmente, insuficiente e subjetiva, além de ter baixa correlação com os parâmetros hemodinâmicos. Por esta razão, o intensivista é incapaz de predizer corretamente variáveis como débito cardíaco, pressão capilar pulmonar, resistência vascular sistêmica, etc. em mais de 50% das vezes, por maior que seja sua experiência. O advento da monitorização hemodinâmica invasiva com cateter de artéria pulmonar trouxe informações fundamentais para o entendimento e o tratamento das alterações hemodinâmicas. Infelizmente, no Brasil, por razões de elevado custo do equipamento e falta de treinamento adequado, a monitorização hemodinâmica está restrita a poucos centros e em geral é de domínio do intensivista ou do cardiologista. OBJETIVOS DA MHI O cateter de Swan-Ganz é um instrumento de monitorização diagnóstica e não uma modalidade terapêutica. Contudo, o tratamento do paciente crítico depende de uma adequada monitorização e de uma completa avaliação hemodinâmica. O cateter de artéria pulmonar permite um rápido acesso ao débito cardíaco, aos parâmetros hemodinâmicos e de oxigenação tissular, contribuindo no diagnóstico e auxiliando o tratamento de pacientes críticos. Desta forma, os principais objetivos que podemos citar acerca da MHI são:  Avaliação dos principais parâmetros do sistema cardiovascular: pressões, fluxo, resistências, etc.  Avaliar a estabilidade dos valores de base e tendências evolutivas, determinando a presença e grau de eventuais disfunções cardiovasculares.  Implementar e guiar intervenções terapêuticas, promovendo critérios para avaliar a eficácia do SCV. PROCEDIMENTO E INSER‚„O DO CATETER A instalação do cateter exige técnica, perícia e, acima de tudo, treinamento e prática. Em resumo, temos:  Optar pela veia subclávia ou veia jugular;  Realizar assepsia e anti-sepsia na área;  Colocação do campo cirúrgico;  Anestesia do sítio de punção;  Retirada da agulha, permanecendo a bainha;  Introdução do fio-guia metálico;  Através do fio-guia, deve-se colocar o dilatador acoplado ao introdutor;  Realizar punção venosa profunda (VSCE);  Com o fio-guia posicionado, retira-se a agulha da bainha e realiza uma pequena incisão na pele;  Com o introdutor instalado, retira-se o fio-guia metálico e o dilatador;  Instala-se, então, as conexões do cateter ao discofix;  Conexão do termistor ao transdutor;  Zerar o sistema de calibração das pressões com o monitor;  Realizar a fixação do cateter na pele, proteção com camisa protetora estéril e colocação da seringa de medir o débito cardíaco;  Preencher com líquido os lumens do cateter;  Testar a integridade do balonete;  Instalar a camisa protetora;  Introduzir cateter pelo introdutor e insuflar o balonete após 15cm;  Observar as curvas da pressão pelo monitor;  Realizar radiografia do tórax para avaliar o posicionamento do cateter;  Se adequadamente posicionado, deve-se descartar eventuais complicações;  Realizar curativo asséptico.
  • 16.
    Arlindo Ugulino Netto– MEDICINA DE URG•NCIA – MEDICINA P8 – 2011.1 16 INDICA‚ƒES PARA MHI Sem as informa†ˆes fornecidas pelos cƒlculos hemodin‡micos atrav‚s do uso do cateter de Swan-Ganz, a capacidade de avaliar eficazmente o d‚bito card•aco e as pressˆes de enchimento ventricular esquerdo, no paciente cr•tico, ‚ pobre, apesar das informa†ˆes obtidas pela anamnese e por um exame f•sico cuidadoso. Contudo, atualmente, n…o hƒ ainda um consenso dentre as indica†ˆes de uso do cateter de Swan-Ganz, visto que hƒ uma enorme quantidade de trabalhos publicados a esse respeito, por‚m com metodologia duvidosa, permitindo controv‚rsias a respeito das suas verdadeiras indica†ˆes. Apesar disso, devemos sugerir o uso da MHI diante de um paciente cr•tico sempre considerando as seguintes indica†ˆes: Cardíacas Não-cardíacas  Evolu†…o e seguimento nos estados de choque;  Definir e avaliar hemodinamicamente o tamponamento e/ou pericardite constritiva;  Definir uso de inotr„picos, vasodilatadores ou infus…o de volume no choque cardiog€nico.  Definir terap€utica com fluido (atrav‚s da mensura†…o indireta da press…o diast„lica final de ventr•culo esquerdo – PD2VE);  Definir uso de inotr„pico / fluido nos estados de choque;  Caracterizar estado hemodin‡mico no choque;  Otimizar a oferta de oxig€nio (DO2) nos estados de choque. Exemplificando tais situa†ˆes, podemos, por exemplo, saber se devemos lan†ar m…o do uso de inotr„picos ou da infus…o de volume em pacientes em choque. Como veremos mais adiante, a MHI fornece, dentre outros par‡metros, a pressão venosa central (PVC) e a pressão de oclusão da artéria pulmonar (POAP). Se o paciente apresentar baixos valores de PVC e POAP mesmo depois da infus…o de volume, por exemplo, constatamos que o cora†…o do paciente n…o estƒ realizando sua fun†…o de bomba, sendo necessƒrio, neste caso, o uso associado de inotr„picos. OBS 2 : Al‚m das indica†ˆes bƒsicas apresentadas na tabela anterior, alguns autores destacam as seguintes indica†ˆes:  Necessidade de avalia†…o das variƒveis hemodin‡micas atrav‚s das medidas seriadas e da monitoriza†…o da press…o atrial direita, press…o arterial pulmonar e/ou press…o capilar pulmonar, nos casos abaixo relacionados.  Insufici€ncia card•aca aguda (ex.: infarto agudo do miocƒrdio, complicado com hipotens…o progressiva ou choque cardiog€nico).  Complica†ˆes mec‡nicas do infarto agudo do miocƒrdio (Diferencia†…o da ruptura do septo interventricular da regurgita†…o mitral por ruptura de m‰sculo papilar ou tamponamento card•aco). Hƒ t‚cnicas menos invasivas, tal como a ecocardiografia, para rƒpido aux•lio diagn„stico.  Infarto do ventr•culo direito. O cateter de Swan-Ganz ajuda a guiar a expans…o vol€mica e o suporte farmacol„gico dos pacientes hipotensos com infarto do ventr•culo direito.  Insufici€ncia card•aca congestiva refratƒria. Os sinais cl•nicos e radiol„gicos correlacionam-se pobremente com a gravidade da insufici€ncia card•aca. O cateter de Swan-Ganz pode ser ‰til n…o apenas para otimizar o balan†o h•drico, mas, tamb‚m, para definir os pacientes nos quais a terapia n…o pode ser tolerada ou ‚ ineficiente, que s…o os casos em que pode estar indicado o uso do bal…o intra- a„rtico. Modalidades diagn„sticas menos invasivas como a ecocardiografia tamb‚m podem guiar a terap€utica nestes casos.  Hipertens…o pulmonar. O cateter de Swan-Ganz ‚ indicado para diagn„stico e para guiar a terapia vasodilatadora nestes pacientes.  Choque circulat„rio ou instabilidade hemodin‡mica, que n…o respondeu a expans…o vol€mica nem ao uso de drogas vasoativas. A avalia†…o cl•nica do estado hemodin‡mico n…o ‚ confiƒvel nestes pacientes.  Situa†ˆes circulat„rias complexas (ex.: reposi†…o vol€mica, no grande queimado).  Emerg€ncias m‚dicas, tais como: S•ndrome da Ang‰stia Respirat„ria Aguda (SARA); Sepse por bact‚rias gram-negativas; intoxica†…o por drogas; insufici€ncia renal aguda; pancreatite necroemorrƒgica.  Pacientes de alto risco intra e p„s-operat„rio.  Pacientes obst‚tricas de alto risco: cardiopatas; doen†a hipertensiva espec•fica da gesta†…o (pr‚- ecl‡mpsia); descolamento prematuro de placenta.  Determina†…o do d‚bito card•aco pelo m‚todo de termodilui†…o.  Colheita de sangue venoso misto e infus…o de solu†ˆes. OBS 3 : De um modo geral, a MHI deve ser indicada somente quando hƒ necessidade de decis…o cl•nica ou de diagn„stico e houver comprometimento por parte dos profissionais intensivistas em atuar a partir dos dados obtidos com o procedimento.
  • 17.
    Arlindo Ugulino Netto– MEDICINA DE URG•NCIA – MEDICINA P8 – 2011.1 17 CONTRA-INDICA‚ƒES PARA MHI As contra-indicações estão relacionadas ao:  Uso de heparina para a manutenção da permeabilidade do cateter em pacientes com conhecida hipersensibilidade à heparina.  Pacientes com sepse recorrente ou estados de hipercoagulabilidade, em que a presença do cateter serve como ponto para a manutenção da sepse ou formação de trombos.  Pacientes com alterações do ritmo cardíaco, sendo obrigatória a monitorização eletrocardiográfica, principalmente nos casos de: bloqueio completo do ramo esquerdo e Síndrome de Wolff-Parkinson-White (feixe acessório, anômalo) COMPLICA‚ƒES DA MHI As principais complicações da MHI são inerentes ao procedimento de instalação do cateter da AP. Desta forma, os riscos de complicações diminuem com a melhor experiência e treinamento do profissional. Podemos citar as seguintes complicações: Complicações vasculares Complicações relacionadas ao cateter  Punção arterial  Pneumotórax  Lesão do plexo braquial  Embolia gasosa  Hemorragia  Infecção  Taquiarritmias  Bloqueio de ramo direito (BRD), bloqueio atrioventricular total (BAVT)  Perfuração cardíaca  Trombose e tromboembolismo  Infarto pulmonar  Sepse  Endocardite  Insuficiência de válvula pulmonar OBS 4 : No que diz respeito ao tratamento de algumas das principais complicações do cateter de artéria pulmonar, temos:  Pneumotórax: é mais comum em caso de punção da subclávia. Deve ser tratado com instalação de dreno de tórax.  Infecção: é a complicação mais comum, devendo ser tratada com o uso de antibióticos.  Tromboflebite: em caso de vermelhidão local, deve-se retirar o cateter de artéria pulmonar.  Disritmias ventriculares: causada pelo acometimento do ventrículo direito pela ponta do cateter; deve ser trada com remoção do cateter e, se necessário, desfibrilação.  Perfuração da artéria pulmonar: pode ser causada por inserções por tempo prolongado; deve ser tratada cirurgicamente ou conservadoramente. PARˆMETROS CEDIDOS PELA MHI Como se sabe, a obtenção de determinados parâmetros hemodinâmicos fisiológicos é, algumas vezes, de crucial importância no manuseio do paciente crítico. Graças à monitorização hemodinâmica invasiva, podemos avaliar os seguintes parâmetros do estado circulatório do paciente:  Parâmetros hemodinâmicos:  Pressão venosa central (PVC), que é sinônimo de pressão do átrio direito (PAD), determinada pelo retorno venoso do paciente.  Pressão arterial pulmonar (PAP), auxiliando no diagnóstico de edema pulmonar;  Pressão de oclusão da artéria pulmonar (POAP) ou pressão capilar pulmonar (PCP), por meio da qual podemos mensurar os valores pressóricos do coração esquerdo (PCP = PAE);  Débito cardíaco (DC);  Resistência vascular sistêmica (RVS) e resistência vascular pulmonar.  Parâmetros de oxigenação:  Oferta de oxigênio (DO2)  Consumo de oxigênio (VO2)  Saturação arterial de oxigênio (SaO2)  Saturação venosa mista de oxigênio (SvO2)  Taxa de extração de oxigênio (TEO2 ou O2ER)
  • 18.
    Arlindo Ugulino Netto– MEDICINA DE URG•NCIA – MEDICINA P8 – 2011.1 18 BASES FISIOL†GICAS DA MONITORIZA‚„O INVASIVA DA ART‰RIA PULMONAR Para entendermos as bases físicas que explicam as mensurações pressóricas disponíveis ao cateter de artéria pulmonar, devemos fazer, com o sistema cardiovascular, uma analogia com um sistema complexo de tubos (como as câmaras e vasos) interligados e que apresentam comportas (como válvulas) ao longo de sua luz. Tais comportas, uma vez fechadas, delimitam compartimentos ou segmentos isolados do restante do sistema onde os níveis pressóricos são os mesmos, independente de onde seja feita a medição. Observe, então, as seguintes situações que explicam a capacidade do cateter da artéria pulmonar em fornecer dados pressóricos referentes ao coração direito ao mesmo tempo em que mensura a pressão do compartimento esquerdo do coração. Sístole ventricular Na sístole ventricular, temos:  Válvulas tricúspide e válvula mitral fechadas;  Válvulas pulmonar e aórtica abertas;  Pressão sistólica do ventrículo direito (PSVD) é igual à pressão sistólica da artéria pulmonar (PSAP). Com a sístole ventricular, ocorre fechamento das válvulas átrio-ventriculares, enquanto que as semilunares se encontram abertas. Desta combinação, nota-se que ocorre a formação de um pertuito único entre o ventrículo direito e a artéria pulmonar, de modo que a pressão no ventrículo direito durante a sístole (PSVD) seja a mesma da pressão da artéria pulmonar durante esta fase do ciclo cardíaco (PSAP). Portanto, a pressão sistólica da artéria pulmonar sempre será a mesma da pressão sistólica do ventrículo direito (salvo em algumas patologias, como, por exemplo, estenose e/ou insuficiência da válvula pulmonar).
  • 19.
    Arlindo Ugulino Netto– MEDICINA DE URG•NCIA – MEDICINA P8 – 2011.1 19 Diástole ventricular Durante a diƒstole ventricular, temos:  Vƒlvulas tric‰spide e vƒlvula mitral abertas;  Vƒlvulas pulmonar e a„rtica fechadas;  Pressão do átrio direito (PAD, que ‚ definida como pressão venosa central) ‚ igual Œ pressão diastólica do ventrículo direito (PDVD);  Pressão diastólica do ventrículo direito (PDVD) ‚ menor que a pressão diastólica da artéria pulmonar (PDAP);  A pressão diastólica da artéria pulmonar ‚ igual Œ pressão do átrio esquerdo (PAE) e Œ pressão diastólica do ventrículo esquerdo (PDVE). Com a diƒstole ventricular, abrem-se as vƒlvulas ƒtrio- ventriculares e fecham-se as vƒlvulas semilunares. Desta combina†…o, forma-se um novo pertuito que, a partir da art‚ria pulmonar, se comunica com o cora†…o esquerdo. Tal pertuito garante que, ao longo do seu trajeto, todas as pressˆes sejam as mesmas: press…o diast„lica da art‚ria pulmonar = press…o do ƒtrio esquerdo = press…o do ventr•culo esquerdo (se n…o houver lesˆes esten„ticas nesta vƒlvula, obviamente). Al‚m disso, nota-se que, como a vƒlvula tric‰spide estƒ aberta, a press…o do ƒtrio direito ‚ a mesma que a press…o diast„lica do ventr•culo direito. Portanto, quando se quer mensurar a press…o venosa central (PVC), calcula-se a PAD que, durante a diƒstole, ‚ a mesma que a PDVD. Diástole ventricular Durante a diƒstole ventricular com insufla†…o do bal…o, temos:  Vƒlvulas tric‰spide e vƒlvula mitral abertas;  Vƒlvulas pulmonar e a„rtica fechadas;  Pressão de oclusão da artéria pulmonar (POAP ou press…o capilar pulmonar) ‚ igual Œ pressão do átrio esquerdo e Œ pressão diastólica final do ventrículo esquerdo (PDfVE). Com a oclus…o completa da art‚ria pulmonar pelo bal…o do cateter, este passa a mensurar os valores press„ricos do cora†…o esquerdo – incluindo a press…o diast„lica final do ventr•culo esquerdo. Portanto, toda vez que o cateter de AP fornecer a POAP, temos a possibilidade de calcular a PAE e a PDfVE.
  • 20.
    Arlindo Ugulino Netto– MEDICINA DE URG•NCIA – MEDICINA P8 – 2011.1 20 ZONAS FISIOLÓGICAS DE PRESSÃO NO PULMÃO (ZONAS DE WEST) Como podemos observar até agora, percebe-se que o cateter de artéria pulmonar garante e importante mensuração da pressão nas câmaras cardíacas esquerdas sempre que houver um pertuito único entre a artéria pulmonar e o ventrículo esquerdo. Obviamente, a distribuição do fluxo sanguíneo nos pulmões, que depende da inter- relação entre a pressão capilar e a pressão alveolar, pode interferir neste paradigma. Como se sabe, os pulmões normais apresentam um gradiente de perfusão entre os ápices e bases dependendo dos efeitos da gravidade. Na posição ortostática, a pressão hidrostática na base é de cerca de 25 a 30 cmH2O, enquanto que no ápice é praticamente zero. Existe, então, um gradiente de concentração entre a base e o ápice. Assim, são definidas três zonas de perfusão nos pulmões:  Zona 1: Nos terços superiores, a maior pressão do alvéolo determina um colapso das veias e artérias, oferecendo portanto, uma maior resistência ao fluxo sanguíneo. Logo, nessa zona, a pressão alveolar excede a pressão arterial e o fluxo de sangue é muito reduzido. Isso acontece devido o fato do ar ser menos denso que o sangue, concentrando-se então, no ápice dos pulmões, fazendo dessa região a zona mais hiperventilada do órgão.  Zona 2: No terço médio do pulmão, a pressão do alvéolo é superada pelo pico de pressão da arteríola durante a sístole ventricular.  Zona 3: Nos terços inferiores, a pressão alveolar é superada pela pressão vascular, permitindo uma melhor perfusão dessa região durante todo o ciclo cardíaco (a base recebe 4x mais sangue que o ápice). A resistência ao fluxo sanguíneo é mínima, fazendo com que os capilares permaneçam distendidos. Isso ocorre devido a ação da gravidade, que pelo sangue ser mais denso que o ar, concentra-se mais facilmente na região da base. Isso faz com que essa região seja a mais hiperfundida do pulmão. Portanto, tomando conhecimento das Zonas de West e deduzindo que elas podem interferir, diretamente, na MHI, nota-se que a posição do cateter no tórax e a sua relação com o átrio esquerdo é importante para a adequada reflexão da PAE quando medimos a PCP. Este acesso à PAE ao medirmos a PCP depende da presença de fluido (sangue) preenchendo os segmentos vasculares entre a ponta do cateter e o átrio esquerdo. Desta maneira, devemos instituir qual seria a melhor zona para instalação da ponta do cateter tomando como base a pressão arterial (Pa), a pressão alveolar (PA) e a pressão venosa (Pv):  Zona I:  PA > Pa > Pv: a pressão alveolar excede a pressão arterial e venosa pulmonares.  A microvasculatura pulmonar apresenta totalmente colapsada, impedindo a formação de um pertuito único entre a artéria pulmonar e as câmaras esquerdas do coração.  Zona II:  Pa > PA > Pv: a pressão alveolar é maior que a pressão venosa, mas é menor do que a pressão arterial.  A microvasculatura pulmonar apresenta-se parcialmente colapsada, mascarando os valores reais da pressão das câmaras esquerdas quando medidas a partir do cateter de AP.  Zona III:  Pa > Pv > PA: a pressão arterial e venosa são maiores do que a pressão alveolar.  A microvasculatura pulmonar apresenta-se pérvia e permanece preenchida por fluidos, sem sofrer compressão alveolar.
  • 21.
    Arlindo Ugulino Netto– MEDICINA DE URG•NCIA – MEDICINA P8 – 2011.1 21 Portanto, para que a pressão capilar pulmonar reflita a pressão do átrio esquerdo (PAE) devemos optar pela instalação do cateter ao nível da zona 3 de West, seja ela na base do pulmão (quando em ortostase) ou nos segmentos posteriores do pulmão (quando o paciente se apresenta em decúbito). OBS 5 : Alguns autores defendem que a instalação do cateter na Zona 2 de West seria mais prudente, devido ao maior risco de colabamento alveolar que ocorre na Zona 3 pelo fato de haver maior pressão hidrostática com relação a alveolar. Contudo, na zona 2, a PA é menor que a Pa, porém é maior que a Pv. Nesta situação, a pressão observada é mais indicativa de pressão de via aérea do que da pressão atrial esquerda. Apenas na zona 3, há uma ininterrupta coluna de sangue entre a ponta do cateter e o átrio esquerdo, permitindo a aferição confiável de sua pressão. INTERPRETA‚„O DAS CURVAS DE PRESSƒES CEDIDAS PELO CATETER DE SWAN-GANZ À medida que o cateter progride do átrio direito à artéria pulmonar, até sua posição de encunhamento, as curvas de pressão, características das cavidades cardíacas e dos vasos vão se inscrevendo na tela do monitor. O reconhecimento da morfologia normal das curvas de pressão intracavitárias e intravasculares é fundamental para o sucesso do cateterismo da artéria pulmonar. As variantes ou os fatores mais comuns que podem modificar essa morfologia, também devem ser reconhecidos pois todo o procedimento é feito às cegas e as curvas de pressão são a única indicação precisa da posição do cateter. Na hipótese de dúvida a respeito da morfologia da curva ou dos valores obtidos, o monitor e o transdutor devem ser recalibrados e zerados. As curvas a serem descritas são:  Curva do átrio direito (representando a PVC);  Curva de ventrículo direito;  Curva de artéria pulmonar;  Curva de artéria pulmonar ocluída (curva de capilar pulmonar).
  • 22.
    Arlindo Ugulino Netto– MEDICINA DE URG•NCIA – MEDICINA P8 – 2011.1 22 CURVA DO †TRIO DIREITO (PVC) Após a entrada no AD, a onda de pressão ao lado é observada. A curva é caracterizada por oscilações contínuas na linha de base, relacionadas as ondas "a" e "v". A pressão do átrio direito (PAD) deve ser medida no monitor como pressão média. Suas principais características são:  PAD = PVC = PDVD (na di‡stole)  0 – 6 mmHg Na ausência de doença tricúspide, a PAD é igual a pressão diastólica final do VD (PDfVD ou PD2VD) porque ambas as cavidades se comunicam livremente quando a válvula tricúspide está aberta (este detalhe é importante pois a permanência do cateter no ventrículo direito causa muita arritmia); a onda "a" reflete então a PDfVD quando a válvula tricúspide estiver fechada durante a sístole ventricular, a PAD é associada ao enchimento atrial e a onda "v" normalmente chega a valores próximos a onda "a". CURVA DE VENTR‰CULO DIREITO Após entrar no AD o balão é dirigido pelo fluxo de sangue ao VD. A curva de pressão do VD é facilmente reconhecida por um ramo ascendente e um ramo descendente rápidos; ausência de incisura dicrótica no ramo descendente que no final inscreve uma curva diastólica (pd1 e pd2) e um valor de pressão sistólica aproximadamente duas a três vezes o valor da PAD. O VD é atingido, em média, a 30 cm do ponto de entrada da veia jugular interna. Suas principais características são:  Curva monomŠrfica  PSVD = 25 – 30 mmHg (sistŠlica alta)  PDVD = 0 – 6 mmHg (diastŠlica baixa) A curva de AD e de VD já são ótimos parâmetros para tratamento de choque. Se, por exemplo, o paciente se apresenta com valores muito baixos de PAD e PDVD (podendo até ser negativos), podemos concluir que pouco sangue está chegando ao coração do paciente, sendo necessária a administração de volume, e não de drogas vasopressoras ou inotrópicas. Caso esta medida terapêutica não seja suficiente, devemos lançar mão de drogas inotrópicas. CURVA DE ART…RIA PULMONAR Após o CAP atravessar a válvula pulmonar, a curva passa a descrever uma nítida incisura dicrótica em seu ramo descendente, representando o fechamento da válvula pulmonar. A pressão diastólica já não se aproxima do zero como na pressão diastólica do VD e a pressão sistólica da artéria pulmonar é normalmente igual à do VD. A pressão diastólica da artéria pulmonar está relacionada a pressão de enchimento do VE. Suas principais característcas são:  Presen‚a de incisura dicrŠtica  Aumento da pressƒo diastŠlica  PSAP = PSVD = 25 – 30 mmHg  PDAP = 8 – 12 mmHg  PAP m‹dia = 10 – 20 mmHg Note que a PDAP é maior que a PDVD devido ao fechamento da válvula pulmonar durante a diástole (a responsável pela formação da incisura dicrótica), diferentemente da PSAP (= PSVD).
  • 23.
    Arlindo Ugulino Netto– MEDICINA DE URG•NCIA – MEDICINA P8 – 2011.1 23 CURVA DE PRESSŒO DE ART…RIA PULMONAR OCLU‰DA (PRESSŒO CAPILAR PULMONAR) Jƒ na circula†…o pulmonar, o bal…o insuflado serƒ dirigido a uma regi…o pulmonar perif‚rica e quando encunhado em um segmento da art‚ria pulmonar menor que seu di‡metro (de prefer€ncia, na zona 3 de West), n…o haverƒ fluxo sangu•neo distal Œ extremidade do cateter e uma coluna estƒtica de sangue, que por estar em comunica†…o com a luz pulmonar do CAP, formarƒ uma extens…o do sistema de monitoriza†…o. O sangue na regi…o n…o oclu•da continuarƒ a fluir normalmente para as veias pulmonares e o ƒtrio esquerdo. A luz do CAP (e portanto os tubos e o transdutor) medirƒ a press…o no primeiro ponto de encontro entre os vasos das regiˆes oclu•das e n…o oclu•das ou seja, veias pulmonares. A press…o medida serƒ, portanto, a transmitida retrogradamente pelas veias pulmonares. No final da diƒstole, com a vƒlvula mitral aberta, o ƒtrio esquerdo e o VE formam uma c‡mara comum: a press…o atrial esquerda reflete, portanto, a press…o de enchimento do VE. A PAE ‚ transmitida as veias pulmonares durante a diƒstole, jƒ que n…o hƒ vƒlvulas nestes vasos. Desta forma, cria-se uma coluna estƒtica de sangue entre a luz do CAP, veias pulmonares, ƒtrio esquerdo e ventr•culo esquerdo. O encunhamento do bal…o muda a onda de press…o da art‚ria pulmonar em uma outra, com baixa amplitude e morfologicamente igual Œ curva de AD ou AE. Esta ‚ a press…o de oclus…o da art‚ria pulmonar (PoAP), press…o pulmonar encunhada, press…o capilar encunhada (PCW) ou press…o em cunha da art‚ria pulmonar (PAPW). Durante a s•stole ventricular, com a vƒlvula mitral fechada, o cateter registra a onda "v" atrial esquerda que representa o enchimento atrial. Desta forma, temos:  Padrƒo apŠs a insufla‚ƒo do balonete;  PAPO (PCP) = 6 – 12 mmHg O bal…o n…o deve permanecer insuflado mais do que alguns segundos, principalmente em pacientes idosos ou com hipertens…o pulmonar, nos quais o perigo de rotura da art‚ria pulmonar ‚ maior. Ap„s a defla†…o, o bal…o retorna a posi†…o ideal no tronco da art‚ria pulmonar e a curva de press…o pulmonar reaparece imediatamente na tela do monitor. OBS 6 : Os crit‚rios para encunhamento s…o os seguintes:  A morfologia da curva de press…o com o bal…o insuflado ‚ similar Œ curva atrial;  Ap„s desinsuflar o bal…o, uma curva t•pica de press…o da art‚ria pulmonar deve aparecer no monitor.  A press…o m‚dia de oclus…o da art‚ria pulmonar ‚ menor do que a press…o m‚dia da art‚ria pulmonar.  O tra†ado da curva de press…o e do ECG deverƒ mostrar duas ondas ("a" e "v") para cada complexo do ECG. Nem sempre serƒ poss•vel distinguir estas duas ondas mas uma linha de base oscilante serƒ vis•vel. OBS 7 : Note a seguinte rela†…o: a press…o capilar pulmonar (PCP) estƒ para o ƒtrio esquerdo assim como a press…o venosa central (PVC) estƒ para o ƒtrio direito. Partindo deste pressuposto, podemos designar tais par‡metros como press„es de enchimento, de modo que: quando a PVC estƒ baixa, sugere-se que o paciente estƒ hipovol€mico; quando a PVC estƒ alta, sugere-se que ele estƒ com hipervolemia. De forma anƒloga, se a PCP estƒ baixa, significa dizer que pouco sangue estƒ chegando ao ƒtrio esquerdo (o contrƒrio tamb‚m ‚ verdadeiro). ESTUDO DAS VARI…VEIS CEDIDAS PELO CATETER DE ART‰RIA PULMONAR Ao longo deste cap•tulo, vimos o qu…o ricas s…o as informa†ˆes cedidas pelo cateter de AP no que diz respeito a adequada monitoriza†…o cardiovascular do paciente cr•tico. Neste momento, faremos algumas interpreta†ˆes e alusˆes quanto Œs principais variƒveis que podem ser obtidas e estudadas a partir do uso do cateter de Swan-Ganz, tais como:  Par‡metros hemodin‡micos normais  Par‡metros de oxigena†…o  Pressˆes de enchimento das c‡maras card•acas (PVC e PCP)  Avalia†…o do d‚bito card•aco  Avalia†…o das resist€ncias vasculares VARI†VEIS HEMODIN•MICAS CEDIDAS PELO CATETER DE ART…RIA PULMONAR Algumas das seguintes variƒveis hemodin‡micas facilmente obtidas atrav‚s da MHI oferecem o subs•dio necessƒrio ao m‚dico para saber identificar e tratar, no paciente cr•tico, o risco de este desenvolver dis„xia tecidual – a principal causa de morte ou de sequelas neste tipo de paciente. Podemos citar os seguintes par‡metros (os valores de refer€ncia podem variar de acordo com a literatura pesquisada):  Pressƒo arterial  Sist„lica (PAS): 100 – 140 mmHg  Diast„lica (PAD): 60 – 90 mmHg
  • 24.
    Arlindo Ugulino Netto– MEDICINA DE URG•NCIA – MEDICINA P8 – 2011.1 24  Pressão arterial média  PAS + (2xPAD) = 70 – 105 mmHg 3  Pressão do átrio direito (PAD) = Pressão venosa central (PVC)  0 – 6 mmHg  Pressão do ventrículo direito (PVD)  Sist„lica (PSVD): 25 – 30 mmHg  Diast„lica (PDVD): 0 – 6 mmHg  Pressão da artéria pulmonar (PAP)  Sist„lica (PSAP): 25 – 30 mmHg  Diast„lica (PDAP): 8 – 12 mmHg  M‚dia (PMAP): PSAP + (2xPDAP) = 9 – 18 mmHg 3  Pressão da artéria pulmonar ocluída (PAPO) ou pressão capilar pulmonar (PCP)  6 – 12 mmHg  Pressão do átrio esquerdo (PAE):  4 – 12 mmHg  Débito cardíaco (DC)  DC = Frequ€ncia card•aca x Volume sist„lico = 4,0 – 7,0 L/min  Índice cardíaco (IC)  IC = Frequ€ncia card•aca x Volume sist„lico = 2,8 – 3,6 L/min/m 2 Superf•cie corp„rea Quando a t‚cnica de instala†…o do cateter ‚ bem realizada, todos estes dados s…o consideravelmente fi‚is ao verdadeiro estado hemodin‡mico do paciente. Sem a MHI, o levantamento cl•nico destas variƒveis – fundamentais para o curso e manejo para com o paciente cr•tico – seria muito dificultoso. AVALIAÇÃO DAS PRESSÕES DE ENCHIMENTO DAS CÂMARAS CARDÍACAS Como vimos a prop„sito da OBS 7 , as pressˆes de enchimento do ventr•culo direito e do ventr•culo esquerdo s…o, respectivamente, representadas pela pressão de átrio direito (PAD ou, em outras palavras, PVC) e pela pressão capilar pulmonar (PCP).  Pressão de átrio direito (PAD) ou pressão venosa central (PVC): a press…o venosa central corresponde, por conven†…o, Œ medi†…o press„rica feita ao n•vel do ƒtrio direito (isso porque n…o existem vƒlvulas entre as grandes veias cavas e o ƒtrio direito e, com isso, todo o gradiente de press…o venosa ‚ concentrado no ƒtrio direito) e, portanto, reflete a pressão de enchimento do ventrículo direito. Suas principais caracter•sticas s…o:  PVC = PAD = PDfVD (caso n…o haja estenose tric‰spide) = 0 – 6 mmHg  A PAD sofre influ€ncia das seguintes situa†ˆes: t•nus venoso perif‚rico; volemia; fun†…o card•aca; resist€ncia vascular pulmonar.  Pressão capilar pulmonar (PCP) ou pressão de artéria pulmonar ocluída (PAPO): ao insuflar o bal…o do cateter de art‚ria pulmonar jƒ instalado em tal art‚ria (e, preferencialmente, na zona 3 de West), forma-se um pertuito ‰nico entre a art‚ria pulmonar e as c‡maras esquerdas. Portanto, quando n…o houver obstƒculo anat•mico, a PCP reflete, de maneira indireta, a press…o diast„lica final do ventr•culo esquerdo (PDfVE), representando, com isso, a pressão de enchimento do ventrículo esquerdo. Desta forma, temos:  PCP = PDfVE (caso n…o haja estenose mitral) = 6 – 12 mmHg.  A PCP tamb‚m sofre influ€ncia das seguintes situa†ˆes: t•nus venoso perif‚rico; volemia; fun†…o card•aca; resist€ncia vascular pulmonar. OBS 8 : Como se sabe, a pré-carga cardíaca diz respeito, em outras palavras, a quantidade de sangue que entra no ventr•culo. Alguns fatores podem influenciar diretamente na pr‚-carga e, com isso, alterar valores das pressˆes de enchimento. Dentre os principais fatores, temos:
  • 25.
    Arlindo Ugulino Netto– MEDICINA DE URG•NCIA – MEDICINA P8 – 2011.1 25  Fatores que diminuem a pr‚-carga  Hipovolemia  Posi†ˆes que reduzam o retorno venoso (ortostase, por exemplo)  Vasodilata†…o  Redu†…o do retorno venoso causada por ventila†…o mec‡nica: alto PIP, altos n•veis de PEEP.  Pneumot„rax hipertensivo (o sangue n…o retorna ao cora†…o quando hƒ compress…o das veias cavas)  Fatores que aumentam a pr‚-carga  Aumento do volume intravascular  Tamponamento card•aco  Cardiopatias restritivas  Disfun†…o ventricular esquerda  Disfun†…o ventricular direita AVALIAŽŒO DO D…BITO CARD‰ACO Da fisiologia, lembremos que o d‹bito card•aco (DC) ‚ definido pelo produto da frequ€ncia card•aca pelo valor do volume sist„lico. Para obter o chamado •ndice card•aco (IC), outro par‡metro cedido pelo cateter de Swan-Ganz, devemos indexar o valor unitƒrio do DC (5 L/min) pela superf•cie corporal. Desta forma, temos: DC = Frequ•ncia card•aca x Volume sistŠlico = 4 – 8 L/min IC = DC / Superf•cie corporal = 2,8 – 3,6 L/min/m 2 Partindo deste pressuposto, o d‚bito card•aco pode ser influenciado por, pelo menos, tr€s variƒveis: pr‚-carga (OBS 8 ), contratilidade e p„s-carga (OBS 11 ). Com isso, podemos intervir no d‚bito card•aco otimizando os seguintes fatores: reposi†…o vol€mica, drogas inotr„picas, drogas vasodilatadoras ou vasoconstrictoras, etc. Pr‹-carga Contratilidade PŠs-carga  Š mensurada atrav‚s da press…o venosa central (PVC) e da press…o da art‚ria pulmonar (PAPO)  Representa a press…o diast„lica final dos ventr•culos direito e esquerdo (PDfVD e PDfVE)  A PDfV corresponde ao volume diast„lico final dos ventr•culos  Š definida como a capacidade do miocƒrdio em gerar tens…o contrƒtil  De dif•cil aferi†…o – fra†…o de eje†…o OBS: Lei de Frank-Starling: a for†a de contra†…o card•aca ‚ diretamente relacionada com o grau de estiramento da fibra miocƒrdica ao final da diƒstole.  Š definida pelos fatores que contribuem na imped‡ncia ao fluxo sangu•neo que sai do cora†…o, comandando a velocidade de encurtamento da fibra miocƒrdica  Tem uma rela†…o inversa com a performance card•aca Como se sabe, a Press…o Arterial ‚ obtida, matematicamente, pelo produto da multiplica†…o entre o d‚bito card•aco e a resist€ncia vascular total. Portanto, a press…o arterial ‚ diretamente proporcional ao DC e Œ resist€ncia vascular. Da• a import‡ncia de mensurar o DC durante a MHI. A t‚cnica de determina†…o do DC depende do princ•pio da termodilui†…o (ver OBS 9 ) que se baseia, em resumo, na inje†…o de soro gelado no ƒtrio direito pela via proximal do cateter. O termistor localizado na ponta do cateter detecta a mudan†a da temperatura do sangue e mensura o DC atrav‚s de uma curva t‚rmica constru•da com base em cƒlculos matemƒticos. Desta forma, temos que o DC ‚ inversamente proporcional ao tamanho da curva (temperatura x tempo):  Curva larga – baixo DC: significa que ‚ necessƒrio mais tempo para a temperatura do sangue retornar a linha de base.  Curva pequena – DC alto: significa que menos tempo foi necessƒrio para a temperatura do sangue retornar a linha de base. OBS 9 : O princ•pio da termodilui‚ƒo, utilizado no cƒlculo do d‚bito card•aco, ‚ uma extens…o da dilui†…o de indicador (no caso, um indicador t‚rmico), na qual uma quantidade conhecida de indicador (ex.: frio) ‚ injetada em um local especificado “corrente acima” (ex.: ƒtrio direito) e o resultante efeito dilucional do indicador, ao misturar-se com sangue, numa localiza†…o “corrente abaixo” (ex.: termistor na art‚ria pulmonar), ‚ medido, gerando uma curva de diferencial de temperatura, e a ƒrea abaixo desta curva ‚ integrada. Dessa maneira, o d‚bito card•aco ‚ calculado, empregando-se a f„rmula de Stewart-Hamilton de dilui†…o do indicador.
  • 26.
    Arlindo Ugulino Netto– MEDICINA DE URG•NCIA – MEDICINA P8 – 2011.1 26 OBS 10 : Determinantes do débito cardíaco. Diminuição do débito cardíaco Aumento do débito cardíaco  Enchimento ventricular inadequado  Disritmias  Hipovolemia  Tamponamento card•aco  Estenose mitral ou tric‰spide  Pericardite constrictiva  Cardiomiopatia restrictiva  Esvaziamento ventricular inadequado  Insufici€ncia mitral ou tric‰spide  Infarto do miocƒrdio  Aumento da p„s-carga (hipertens…o)  Desordens metab„licas (acidose, hip„xia)  Uso de drogas inotr„picas negativas (beta-bloqueadores, bloqueadores dos canais de cƒlcio)  Fatores que aumentam a frequ€ncia card•aca, contratilidade e diminuem a p„s-carga  Sepse  Anemia  Gravidez  Crise de hipertireoidismo AVALIAÇÃO DAS RESISTÊNCIAS VASCULARES Atrav‚s de cƒlculos predeterminados, o computador, acoplado ao sistema de MHI, pode fornecer dados referentes a resist€ncia vascular.  Resistência vascular sistêmica (RVS): reflete a p„s-carga do ventr•culo esquerdo (ver OBS 11 )  RVS = (PAM – PAD) x 80 = 770 – 1500 dinas/segundo/cm 5 DC  Resistência vascular pulmonar (RVP): reflete a p„s-carga do ventr•culo direito (ver OBS 11 )  RVP = (PAPM – PCP) x 80 = 80 – 120 dinas/segundo/cm 5 DC Se, por exemplo, um paciente apresenta-se em choque de origem cl•nica desconhecida e, ao analisar a MHI, observamos uma press…o arterial muito baixa (obviamente, caracterizando um choque) associada a uma resist€ncia vascular estiver alta, podemos sugerir que o componente arterial do paciente se encontra vasopl‚gica (dilatada), caracterizando um t•pico choque hipovol€mico. Neste caso, devemos iniciar lan†ando m…o da infus…o de volume e manter a monitoriza†…o invasiva e cl•nica. OBS 11 : Como se sabe, a pós-carga cardíaca diz respeito, em outras palavras, a resist€ncia contra a qual os ventr•culos devem bombear para ejetar o seu volume.  Fatores que diminuem a p„s-carga  Drogas vasodilatadoras: nitroprussiato, nitroglicerina, bloqueadores dos canais de cƒlcio, beta-bloqueadores.  Choque: s‚ptico, anafilƒtico, neurog€nico.  Hipertermia (febre)  Fatores que aumentam a p„s-carga do ventr•culo esquerdo (aumentam a RVS):  Vasoconstric†…o: como ocorre na hipotermia, hipertens…o, drogas vasopressoras.  Choque hipovol€mico ou cardiog€nico.  Efeitos obstrutivos: estenose a„rtica e/ou pulmonar.  Fatores que aumentam a p„s-carga do ventr•culo direito (aumentam a RVP):  Hipertens…o pulmonar  Hip„xia  Embolia pulmonar  Cor pulmonale. AVALIAÇÃO DAS VARIÁVEIS DE OXIGENAÇÃO Embora seja tema do pr„ximo cap•tulo, a anƒlise das variƒveis de oxigena†…o tamb‚m ‚ um importante par‡metro cedido pela MHI. Por meio dela, podemos deduzir tr€s vertentes: (1) a quantidade de oxig€nio que estƒ sendo ofertada para as c‚lulas; (2) a quantidade de oxig€nio que estƒ sendo utilizada pelos tecidos; e (3) o que estƒ sobrando desta utiliza†…o e estƒ retornando ao cora†…o. Da•, temos:  Oferta de oxigênio (DO2)  DO2 = Conte‰do arterial de oxig€nio (CaO2) x D‚bito card•aco (DC) = 600 ml/min  Consumo de oxigênio (VO2)  VO2 = (Conte‰do arterial de oxig€nio - Conte‰do venoso de oxig€nio) x DC = 150 ml/min
  • 27.
    Arlindo Ugulino Netto– MEDICINA DE URG•NCIA – MEDICINA P8 – 2011.1 27  Taxa de extração de oxigênio (TEO2)  TEO2 = VO2 / DO2 x 100= 20 – 30% Estas variƒveis s…o importantes no advento de um choque s‚ptico, por exemplo, em que certos tipos de bact‚rias liberam citocinas que inibem a respira†…o mitocondrial e, por esta raz…o, independente da oferta de oxig€nio para o paciente, o consumo e a extra†…o do mesmo estarƒ prejudicado. Conclui-se, deste pressuposto, que n…o adianta tratar choque s‚ptico apenas com a utiliza†…o de oxig€nio, uma vez que este n…o serƒ utilizado. INTERPRETA‚„O DAS VARI…VEIS CEDIDAS PELO CATETER Ao longo deste cap•tulo, vimos como e quais s…o as variƒveis que o cateter de art‚ria pulmonar monitoriza. Neste momento, faremos alus…o Œ import‡ncia da interpreta†…o de cada variƒvel do ponto de vista cl•nico, diagn„stico e progn„stico do paciente cr•tico. O seguinte quadro e a OBS 12 podem resumir a import‡ncia de tal interpreta†…o.
  • 28.
    Arlindo Ugulino Netto– MEDICINA DE URG•NCIA – MEDICINA P8 – 2011.1 28 OBS12 : Tipos de choque circulatório. A saber, os principais tipos de choque que podemos citar s…o:  Choque hipovolêmico: ocorre perda de sangue ou por perda de l•quidos corporais (desidrata†…o). Pode haver, contudo, choques hipovol€micos em que o indiv•duo mant‚m a sua press…o arterial constante devido Œ libera†…o em massa de catecolaminas (choque hipovol€mico grau I).  Choque obstrutivo extra-cardíaco: cole†…o de sangue que se acumula no pericƒrdio dificultando o processo de expans…o card•aca dentro deste saco.  Choque cardiogênico: resultante de uma grave redu†…o da fun†…o card•aca.  Choque distributivo: caracteriza-se n…o por redu†…o do volume circulante, mas por uma hipovolemia relativa inerente a vasodilata†…o sist€mica. S…o tipos de choque distributivo: o Choque neurog€nico: resultado de les…o raquimedular com acometimento do componente simpƒtico do sistema nervoso aut•nomo. o Choque s‚ptico: condi†…o causada por uma s•ndrome da resposta inflamat„ria sist€mica (SRIS) associada Œ infec†…o. o Choque anafilƒtico: rea†…o sist€mica inerente Œ libera†…o de subst‡ncias alerg€nicas. INTERPRETAÇÃO DA PRESSÃO DO ÁTRIO DIREITO (PRESSÃO VENOSA CENTRAL)  Reflete o estado de enchimento e a fun†…o diast„lica do cora†…o direito;  Indiretamente, mensura a pr‚-carga do ventr•culo direito;  O valor normal ‚ de 0 – 6 mmHg;  Deve ser avaliada juntamente com o d‚bito card•aco e o •ndice sist„lico (VS/IS):  PVC > 6 mmHg: significa dizer que muito sangue estƒ chegado ao cora†…o (hipervolemia) ou, mais frequentemente, reflete fal€ncia de VD (se VS/IS for baixo);  PVC < 0 mmHg: quase sempre reflete hipovolemia (se VS/IS foi baixo). PVC alta PVC baixa  Insufici€ncia ventricular direita (infarto agudo de VD)  Miocardiopatia  Insufici€ncia ventricular direita secundƒria a aumento de RVP (estenose pulmonar, hipertens…o pulmonar, sepse, doen†a pulmonar obstrutiva cr•nica)  Insufici€ncia ventricular direita secundƒria a insufici€ncia ventricular esquerda (estenose mitral, insufici€ncia mitral)  Hipervolemia  Hipovolemia INTERPRETAÇÃO DA PRESSÃO CAPILAR PULMONAR (PCP)  Reflete o estado de enchimento do ventr•culo esquerdo e press…o diast„lica final do VE (PDfVE ou PD2VE).  Indiretamente, mensura a pr‚-carga do ventr•culo esquerdo;  O valor normal varia de 8 – 12 mmHg.  Deve ser avaliada juntamente com o d‚bito card•aco e o •ndice sist„lico (VS/IS):  PCP > 18 mmHg usualmente reflete disfun†…o ventricular (se VS/IS for baixo);  PCP < 8 mmHg usualmente reflete hipovolemia (se VS/IS for baixo) PCP alta PCP baixa  Hipervolemia  Tamponamento card•aco  Disfun†…o do ventr•culo esquerdo (insufici€ncia card•aca congestiva, infarto agudo do miocƒrdio, insufici€ncia mitral)  Hipovolemia  PCP < 18 mmHg – pulm…o encontra-se “seco”  PCP = 20 a 30 mmHg – existe edema pulmonar  PCP > 30 mmHg – existe edema pulmonar incompat•vel com a vida INTERPRETAÇÃO DO VOLUME SISTÓLICO (VS)  Volume sist„lico ‚ definido pela quantidade de sangue bombeada a cada batimento card•aco  VS normal ‚ de 50 – 100 ml/batimento  Š influenciado por:  Pr‚-carga: determinada pelo enchimento ventricular durante a diƒstole.  Contratilidade: ‚ a for†a de eje†…o ventricular. Refere a press…o gerada pelos ventr•culos e pelo sangue a ser ejetado por eles. Š dificilmente mensurada por par‡metros cl•nicos.  P„s-carga: determinada pela resist€ncia a eje†…o de sangue a partir dos ventr•culos.
  • 29.
    Arlindo Ugulino Netto– MEDICINA DE URG•NCIA – MEDICINA P8 – 2011.1 29 INTERPRETAÇÃO DO ÍNDICE VOLUME SISTÓLICO  •ndice sist„lico ‚ o volume sist„lico indexado a ƒrea de superf•cie corp„rea  O IS normal ‚ de 2,5 – 4,5 ml/batimentos/m 2 Índice/Volume sistólicos Baixo Índice/Volume sistólicos Alto  Volume sangu•neo inadequado (hipovolemia)  Contratilidade ventricular prejudicada (isquemia, necrose miocƒrdica)  Aumento da RVS (HAS, uso de catecolaminas  Disfun†…o valvar card•aca (insufici€ncia mitral)  Diminui†…o da RVS:  Sepse  SRIS  Choque anafilƒtico INTERPRETAÇÃO DO DÉBITO/ÍNDICE CARDÍACO  O DC ‚ a quantidade de sangue bombeado pelo cora†…o em um minuto.  DC normal ‚ de 4 – 8 ml/min;  IC normal ‚ de 2,5 – 4 l/min/m 2  Š o principal determinante da oferta de oxig€nio aos tecidos;  Valores anormais devem ser avaliados com VS/IS e SvO2  Devemos atentar que um DC normal pode estar associado com um VS baixo na presen†a de taquicardia. Índice cardíaco baixo Índice cardíaco alto  Choque cardiog€nico  Insufici€ncia ventricular esquerda  Hipotermia  Hipovolemia  Sepse  SRIS  Hipertermia INTERPRETAÇÃO DA SATURAÇÃO VENOSA MISTA DE OXIGÊNIO (SvO2)  Reflete o balan†o entre a oferta e o consumo de oxig€nio  Valores normais: 60 – 75%  Quanto mais anormal for a SvO2, maior o risco de hip„xia tissular:  < 60% - na medida em que o valor diminui abaixo disto, a amea†a a oxigena†…o tissular aumenta.  > 80% - pode tamb‚m representar amea†a Œ oxigena†…o tissular OBS 12 : Diagnóstico diferencial de estados de choque. PVC PCP DC RVS TSVE Choque distributivo ↓ ↓ ↑ ↓ ↓ Choque cardiogênico ↑ ↑ ↓ ↑ ↓ Choque hipovolêmico ↓ ↓ ↓ ↑ ↓ Choque obstrutivo ↑ ↑ ↓ ↑ ↓ CONSIDERA‚ƒES FINAIS  O cateter de Swan-Ganz, embora seja um recurso diagn„stico fundamental para pacientes cr•ticos, ele n…o representa uma ferramenta terap€utica.  A MHI ‚ uma ferramenta que monitoriza a circula†…o e oferece informa†ˆes dif•ceis de se obter clinicamente.  Estas informa†ˆes, por si s„, n…o impˆe benef•cio. Contudo, quando utilizadas em subgrupos espec•ficos com protocolo adequado, observa-se benef•cios.  Hƒ dados consistentes para garantir seguran†a do m‚todo.
  • 30.
    Arlindo Ugulino Netto– MEDICINA DE URG•NCIA – MEDICINA P8 – 2011.1 30 MED RESUMOS 2011 NETTO, Arlindo Ugulino. MEDICINA DE URGÊNCIA E TERAPIA INTENSIVA OFERTA E CONSUMO DE OXIGÊNIO (Professor Ciro Leite Mendes) O que caracteriza a maioria dos pacientes gravemente enfermos, assistidos n…o s„ em unidades de terapia intensiva (UTI), como tamb‚m nos ambientes de pronto-socorro e centros cir‰rgicos de emerg€ncia, ‚, justamente, a presen†a de um dist‰rbio na rela†…o entre o que ‚ ofertado de oxig€nio para as suas c‚lulas e o que, efetivamente, elas est…o fazendo uso. Geralmente, na maior parte dos tipos de choque, ocorre uma diminui†…o da oferta de oxig€nio com rela†…o Œs necessidades do mesmo. Portanto, saber lidar com certas variƒveis relacionadas a esta rela†…o pode render ao m‚dico intensivista o diagn„stico de certos tipos de choque ou de maiores complica†ˆes, cabendo a ele uma maior possibilidade de reverter o quadro pelo qual passa o enfermo. CONSIDERA‚ƒES GERAIS Como se sabe, o oxig€nio ‚ essencial para a respira†…o e metabolismo celular, sendo assim, fundamental para a vida de um ser aer„bico. Dentre outras fun†ˆes, o oxig€nio ‚ responsƒvel por fazer com que uma mol‚cula de glicose renda 38 ATPs. Da• a import‡ncia de estabelecer e mensurar a rela†…o entre a oferta e o consumo de oxig€nio – uma vez que, sem oxig€nio, ‚ imposs•vel a sobreviv€ncia celular. Embora alguns organismos unicelulares possam se dar ao luxo de viver sem oxig€nio, a partir de um determinado ponto da evolu†…o, as c‚lulas passaram a incorporar oxig€nio para obter energia de forma mais eficiente, tanto para manter suas fun†ˆes bƒsicas como para manter a pr„pria estrutura celular. Logicamente, sendo os seres humanos o topo da cadeia evolutiva, esta caracter•stica, herdada ao longo da evolu†…o, tamb‚m ‚ essencial para a sobreviv€ncia da nossa esp‚cie. Portanto, constantemente, o ser humano necessita retirar oxig€nio da atmosfera e distribu•-lo ao longo do corpo. Estas fun†ˆes s…o comandadas, basicamente, pelos sistemas respirat„rio e cardiovascular, que s…o intimamente interligados. Esta fun†…o deve ser constante e harmoniosa – o oxig€nio deve ser coletado da atmosfera para dentro dos pulmˆes, deve ser transportado para a corrente sangu•nea e enviado para todas as c‚lulas do corpo. Os produtos de seu metabolismo devem, obrigatoriamente, serem eliminados. Contudo, quando hƒ algum dist‰rbio na rela†…o oferta e consumo de oxig€nio e as c‚lulas passam a n…o receber oxig€nio de uma maneira adequada – isto ‚: a quantidade de oxig€nio que elas utilizam estƒ abaixo das necessidades funcionais para o seu metabolismo – elas passam a gerar energia de uma maneira muito pouco eficaz: sem oxig€nio, a mol‚cula de piruvato (formada a partir da glic„lise, que ocorre no citoplasma) n…o ‚ capaz de entrar na mitoc•ndria para dar continuidade Œs outras etapas da respira†…o celular e passa a se acumular no citoplasma celular. Desta forma, como rege a lei da conserva†…o das massas, o piruvato, ao ser acumulado, passa a inibir a sua s•ntese – inibindo, assim, a pr„pria glic„lise. Para este ac‰mulo de piruvato dentro da c‚lula, o organismo celular lan†a m…o da convers…o de piruvato em lactato, uma mol‚cula capaz de sair do citoplasma celular e alcan†ar a corrente sangu•nea (por esta raz…o, quando o paciente se apresenta em estado de hip„xia, um dos primeiros eventos que ocorrem ‚ o ac‰mulo de lactato no sangue na forma de ácido lático). A quantidade de energia que ‚ gerada por meio da glic„lise anaer„bica ‚ muito pequena e ineficaz – para se ter a id‚ia, uma mol‚cula de glicose gera apenas 2 ATPs quando ela participa do ciclo anaer„bico ao inv‚s de render 38 mol‚culas de ATP. Tal quantidade pode ser considerada incompat•vel com a vida, pois existem c‚lulas com demanda metab„lica t…o alta que n…o resistem a mais de 5 minutos sob este regime anaer„bico, como ‚ caso da c‚lula neuronal.
  • 31.
    Arlindo Ugulino Netto– MEDICINA DE URG•NCIA – MEDICINA P8 – 2011.1 31 Observando o gráfico ao lado, fica mais clara a importância do oxigênio para a vida humana. Nele, podemos analisar a relação entre a probabilidade de morte e o déficit de oxigênio. Tal relação, até um determinado ponto, é pouco significativa. Contudo, a partir deste ponto, a relação passa a ser diretamente proporcional, de modo que, a probabilidade de morte é cada vez maior quanto maior for o débito de oxigênio. Portanto, como vimos anteriormente: sabendo que a maioria dos pacientes em estado grave apresenta um distúrbio na relação entre a oferta e consumo de oxigênio, é dever do médico intensivista saber diagnosticar e tratar tal situação, restaurando o equilíbrio da relação oferta/consumo de O2. Há várias formas de restaurar o equilíbrio desta relação, a depender do fator causador do distúrbio: a manobra de Heimlich pode desobstruir uma via respiratória impérvia; a antibioticoterapia pode auxiliar no tratamento de uma eventual pneumonia que prejudique as trocas gasosas; etc. Contudo, este capítulo tem por objetivo abordar os distúrbios cardiovasculares que influenciam na relação oferta/consumo de O2, sendo o choque circulatório e suas variantes o principal representante. Por definição fisiopatológica, choque significa o desequilíbrio da relação entre a oferta e o consumo de oxigênio determinado por alterações no sistema cardiovascular. Tais alterações podem se apresentar de várias formas, como alterações da contratilidade do músculo cardíaco (em consequência de um infarto, por exemplo), um mau enchimento capilar por diminuição da volemia circulante efetiva (como consequência de um choque hemorrágico), embolia pulmonar, etc. Os principais tipos de choque que podemos citar são:  Choque hipovolêmico: ocorre perda de sangue ou por perda de líquidos corporais (desidratação). Pode haver, contudo, choques hipovolêmicos em que o indivíduo mantém a sua pressão arterial constante devido à liberação em massa de catecolaminas (choque hipovolêmico grau I).  Choque obstrutivo extra-cardíaco: coleção de sangue que se acumula no pericárdio dificultando o processo de expansão cardíaca dentro deste saco.  Choque cardiogênico: resultante de uma grave redução da função cardíaca.  Choque distributivo: caracteriza-se não por redução do volume circulante, mas por uma hipovolemia relativa inerente a vasodilatação sistêmica. São tipos de choque distributivo: o Choque neurogênico: resultado de lesão raquimedular com acometimento do componente simpático do sistema nervoso autônomo. o Choque séptico: condição causada por uma síndrome da resposta inflamatória sistêmica (SRIS) associada à infecção. o Choque anafilático: reação sistêmica inerente à liberação de substâncias alergênicas. Obviamente, a relação entre oferta e consumo de O2 é obtida através da razão entre os valores referentes a estas variáveis. Portanto, passaremos a estudar agora os determinantes desta relação, fazendo alusão aos fatores que podem influenciar os mesmos e forma de mensurá-los. DETERMINANTES DA OFERTA DE O2 AOS TECIDOS A oferta de oxigênio aos tecidos é determinada, basicamente, pelo débito cardíaco e pelo conteúdo arterial de oxigênio, obedecendo à seguinte relação: Sendo:  DO2: oferta de oxigênio (do inglês, delivery,que quer dizer entrega ou remessa);  DC: débito cardíaco (quantidade de sangue bombeada pelo coração a cada minuto), determinado pelo volume sistólico e pela frequência cardíaca;  CaO2: conteúdo arterial de oxigênio, representando a quantidade de O2 no sangue. Note que a oferta de oxigênio é diretamente proporcional ao débito cardíaco e à quantidade de oxigênio presente no sangue. Destes dois componentes, podemos considerar o débito cardíaco como o mais importante, uma vez que pode ser manipulado pelo organismo quando necessário. Isso acontece, por exemplo, quando uma vítima de ferimento pérfuro-cortante perde muito sangue (e, consequentemente, tem seu débito cardíaco reduzido) e, em resposta a barorreceptores, lança mão da liberação de uma
  • 32.
    Arlindo Ugulino Netto– MEDICINA DE URG•NCIA – MEDICINA P8 – 2011.1 32 grande quantidade de catecolaminas que diminuem o t•nus vagal. Como consequ€ncia, ocorre aumento da frequ€ncia card•aca, vasoconstric†…o arterial e aumento do t•nus vascular venoso, ativa†…o do sistema renina-angiotensina- aldosterona (para manter as concentra†ˆes de s„dio e ƒgua), etc. Todos estes eventos ocorrem no intuito de restaurar a volemia e o d‚bito card•aco. Ent…o, note que o organismo ‚ capaz de gerar respostas para manipular o d‚bito card•aco sempre que necessƒrio. Contudo, ele n…o ‚ capaz de fazer o mesmo – pelo menos, n…o t…o rapidamente – para manipular o conte‰do arterial de oxig€nio. Portanto, ‚ neste componente que o m‚dico deve intervir terapeuticamente, no intuito de melhorar a oferta de O2. DÉBITO CARDÍACO O d‚bito card•aco, como vimos, ‚ definido como a quantidade de sangue ejetada pelos ventr•culos a cada minuto. Desta forma, temos: Sendo:  DC: d‚bito card•aco.  VS: volume sist„lico ventricular, que pode ser definido como a quantidade de sangue que o cora†…o ejeta a cada batimento. Matematicamente, consiste na diferen†a entre o Volume Diast„lico Final (VDF) e o Volume Sist„lico Final (VSF). O VS pode variar entre os ventr•culos a depender de vƒrias situa†ˆes, inclusive fisiol„gicas. Durante a inspira†…o, por exemplo, a press…o intratorƒcica diminui, fazendo com que mais sangue entre no ƒtrio e no ventr•culo direito, enquanto que menos sangue ‚ destinado ao ventr•culo esquerdo. Portanto, na inspira†…o, enquanto que o VS do ventr•culo direito tende a aumentar, o VS do ventr•culo esquerdo tende a diminuir (o contrƒrio, durante a expira†…o, ‚ verdadeiro). Contudo, ao final de um minuto, o VS para ambos os ventr•culos, apesar destas varia†ˆes moment‡neas, vai ser id€ntico.  FC: frequ€ncia card•aca, que corresponde ao n‰mero de vezes que o cora†…o bate por minuto (N: 60 – 100 bpm). Em princ•pio, quanto menor for a frequ€ncia card•aca, menor ‚ o d‚bito card•aco (o contrƒrio tamb‚m ‚ verdadeiro). Portanto, quanto maior for a frequ€ncia card•aca, maior o d‚bito card•aco e, em consequ€ncia disso, maior serƒ a oferta de oxig€nio. Por conta disso, uma das primeiras respostas que o organismo lan†a m…o mediante a presen†a de hip„xia ou falta de volemia ‚ o aumento da frequ€ncia card•aca. O volume sistólico ‚, portanto, essencial para a regula†…o do d‚bito card•aco. Como vimos anteriormente, ele pode ser definido como o volume de sangue que o cora†…o ejeta a cada batimento. Matematicamente, ‚ definido pela diferen†a entre o Volume Diast„lico Final (VDF) e o Volume Sist„lico Final (VSF) – ver OBS 1 . O volume ejetado no cora†…o humano varia em torno de 70 ml (mililitros). O valor do volume sist„lico resulta de uma intera†…o complexa entre a for†a com que a fibra se contrai (contratilidade cardíaca), o volume de sangue que chega previamente Œ contra†…o (pré-carga) e a resist€ncia que o sistema circulat„rio impˆe Œ eje†…o do sangue (pós-carga). Este mecanismo participa de um sistema mais amplo, que estabelece o controle do d‚bito card•aco (o volume de sangue que o cora†…o ejeta a cada minuto). OBS 1 : Ap„s esta explica†…o, um levantamento pode ser feito: por mais eficiente que seja a contra†…o ventricular, nunca o m‰sculo card•aco ‚ capaz de ejetar todo o sangue. Desta forma, a fra†…o de eje†…o fica em torno de 60 a 70% do total de sangue que enche os ventr•culos ao final da diƒstole. Por esta raz…o, sempre haverƒ um volume sist„lico final (VSF) a ser calculado. Portanto, das rela†ˆes matemƒticas que vimos at‚ ent…o, tudo que aumentar o VDF vai aumentar o VS; por outro lado, tudo que aumentar o VSF, diminui o VS. E, portanto, s…o as variaveis que vimos a pouco as responsƒveis por influenciar nos valores do VS: pr‚-carga, p„s-carga e contratilidade. Desta forma, temos:
  • 33.
    Arlindo Ugulino Netto– MEDICINA DE URG•NCIA – MEDICINA P8 – 2011.1 33 Pré-carga. A pr‚-carga pode ser definida como o estiramento inicial dos mi„citos card•acos antes da contra†…o (isto ‚, “antes da carga el‚trica”). Estƒ relacionada, dessa forma, com o grau de estiramento do sarc•mero. Como o tamanho do sarc•mero n…o pode ser determinado no cora†…o intacto, utilizam-se outros •ndices, tais como volume ou press…o diast„licos finais do ventr•culo. Uma propriedade importante do sarc•mero miocƒrdio referente Œ pr‚-carga (e tamb‚m a p„s-carga) ‚ determinada pela lei de Frank-Starling. Como se sabe, a maior parte do sangue que chega ao ventr•culo deve ser ejetado do mesmo. Da•, segundo esta lei, o aparelho contrƒtil microsc„pico do m‰sculo miocƒrdico funciona como uma mola que, uma vez contra•da at‚ um determinado ponto, ele volta impondo uma determinada for†a; quanto mais se aumenta a distens…o do sarc•mero (at‚ o limite de 2“m), maior ‚ a for†a com a qual ele se contrai. Portanto, segundo a lei de Frank-Starling, em condi†ˆes normais, o cora†…o bombearƒ todo sangue que a ele chegar, sem que haja ac‰mulo de sangue nos vasos (acumulando-se, apenas, o volume sist„lico final fisiol„gico). Portanto, podemos apontar a pr‚-carga como o responsƒvel pela distens…o do sarc•mero. Em outras palavras, ‚ a quantidade de sangue presente no ventr•culo ao final da diƒstole a responsƒvel pelo estiramento do sarc•mero. Por conta deste mecanismo fisiol„gico, quanto mais sangue chegar ao cora†…o, maior serƒ a capacidade de eje†…o card•aca para manter a premissa do d‚bito card•aco (“tudo que chega ao cora†…o, deve sair”). Esta propriedade ‚ importante devido Œs varia†ˆes constantes que ocorrem com o retorno venoso (como vimos anteriormente, o pr„prio ciclo respirat„rio influencia diretamente no retorno venoso), e o ventr•culo deve estar preparado para estas altera†ˆes. Se, eventualmente, o volume diast„lico final do VD estiver reduzido, significa dizer que a pr‚-carga card•aca tamb‚m estƒ reduzida (redu†…o esta avaliada atrav‚s da monitoriza†…o hemodin‡mica invasiva, obviamente). Nesta situa†…o, ‚ necessƒria uma iniciativa m‚dico-terap€utica para aumentar a pr‚-carga – para isso, infunde-se volume no paciente. Contudo, como mostram os grƒficos abaixo, nem todos os pacientes respondem bem a infus…o de l•quidos para o aumento da pr‚-carga e, consequentemente, da oferta de oxig€nio. A rela†…o entre a press…o diast„lica final do VE (pr‚-carga) e o d‚bito card•aco (volume sist„lico, no grƒfico) ‚ estabelecida por meio do grƒfico ao lado (curva de Frank-Starling). Note que a curva apresenta um grande segmento linear que caracteriza uma rela†…o diretamente proporcional entre o aumento de volume e o aumento de press…o dentro do VE. Contudo, existe um ponto de distens…o mƒxima do sarc•mero que determina a horizontaliza†…o da curva, que ocorre quando os valores do volume de sangue se aproximam de 100ml, de modo que, mesmo com o aumento da press…o no VE, n…o ocorre aumento significativo do volume sist„lico. Clinicamente, a interpreta†…o desta curva traz detalhes prƒticos importantes: pacientes que ainda se apresentam na fase em que hƒ uma rela†…o diretamente proporcional entre o d‚bito card•aco e a PDfVE (1) s…o classificados como pacientes fluido-responsivos, de modo que, nestes pacientes, vale a pena intervir oferecendo fluido endovenoso no intuito de aumentar o volume sist„lico, aumentando o d‚bito card•aco e, consequentemente, a oferta de oxig€nio. Contudo, quando os pacientes se encontram em um estado em que a rela†…o jƒ n…o ‚ mais direta (2), os classificamos como pacientes não-fluido- responsivos, de modo que, mesmo oferecendo l•quido endovenoso para eles, pequeno serƒ o impacto no d‚bito card•aco e na oferta de oxig€nio, uma vez que a distens…o do seu sarc•mero jƒ se encontra em um limiar mƒximo. Se por ventura for infundido mais l•quido, o sarc•mero n…o responderƒ com a mesma contratilidade de pacientes fluido-responsivos. Se insistirmos em infundir l•quidos nestes pacientes n…o-fluido-responsivos, poderƒ ocorrer extravasamento do l•quido intravascular para o terceiro espa†o ou para o interst•cio pulmonar, causando congest…o e edema pulmonar, piorando ainda mais a oferta de oxig€nio. Apesar de a interpreta†…o prƒtica da curva de Frank-Starling influenciar, de modo direto, a nossa conduta terap€utica em pacientes com d‚ficit de pr‚-carga, ‚ muito dif•cil, clinicamente, saber diferenciar um paciente fluido- responsivo de um n…o-fluido-responsivo. Geralmente, a diferencia†…o s„ ‚ feita ap„s a tentativa de infundir o l•quido endovenoso.
  • 34.
    Arlindo Ugulino Netto– MEDICINA DE URG•NCIA – MEDICINA P8 – 2011.1 34 Pós-carga. A p„s-carga pode ser imaginada como a resist€ncia que o cora†…o tem que vencer para ejetar o sangue durante a s•stole (isto ‚, “ap„s a carga el‚trica que determina a contra†…o ventricular”). Em termos mais simples, a p„s‐carga estƒ fortemente relacionada Œ pressão arterial. Mais precisamente, a p„s-carga ‚ relacionada ao estresse de parede ou tens…o. A p„s-carga ‚ determinada, por tanto, pela resist€ncia vascular sist€mica (no caso do ventr•culo esquerdo) e pela resist€ncia vascular pulmonar (no caso do ventr•culo direito). No que diz respeito Œ p„s-carga do VE: existe uma rela†…o diretamente proporcional entre a constric†…o arteriolar (em n•vel dos esf•ncteres pr‚-capilares, mais precisamente), resist€ncia vascular sist€mica, press…o na raiz da aorta e p„s-carga card•aca. Desta forma, quanto maior for a resist€ncia vascular sist€mica, maior a dificuldade que o VE apresenta em ejetar o sangue e, com isso, maior a p„s- carga. Portanto, a p„s-carga ‚ maior quando a press…o a„rtica e a resist€ncia vascular sist€mica est…o aumentadas. Quando a p„s-carga aumenta, ocorre ainda incremento do volume sist„lico final e, consequentemente, uma diminui†…o no volume sist„lico (isso porque: quanto maior a dificuldade do VE em ejetar sangue para fora do cora†…o, mais sangue passa a ser acumular no mesmo ao final da s•stole). Um aumento na p„s-carga desvia a curva de Frank-Starling para baixo e para a direita (de A para B, como mostra o grƒfico ao lado). A base para isso estƒ na rela†…o for†a-contratilidade para os mi„citos card•acos. Note no grƒfico A ao lado, que o cora†…o exerce uma determinada press…o para ejetar um determinado volume sist„lico. Contudo, com o aumento da p„s-carga (B), maior serƒ a press…o diast„lica final no ventr•culo esquerdo para a mesma quantidade de volume sist„lico (o que faz a curva desviar para a direita e para baixo). Portanto, ao analisarmos os determinantes do d‚bito card•aco de um modo geral, podemos concluir que o aumento da pr‚-carga, at‚ um certo ponto, melhora a oferta de oxig€nio, enquanto que o aumento da p„s-carga diminui esta oferta. Neste momento, o estudante pode raciocinar que prudente seria lan†ar m…o de drogas que diminuem a p„s- carga ao mƒximo, facilitando a eje†…o de sangue a partir dos ventr•culos, aumentando o d‚bito card•aco e, assim, a oferta de oxig€nio. Contudo, tal racioc•nio ‚ pertinente at‚ um certo ponto: para que haja fluxo em um tubo, ‚ necessƒrio que haja diferen†a de press…o entre as duas extremidades (pressão de perfusão). O mesmo ocorre com o sistema vascular: se reduzirmos a p„s-carga a valores pr„ximos a 0 mmHg, por exemplo, n…o haverƒ fluxo ao longo do tubo e, com isso, n…o haverƒ oferta nenhuma de oxig€nio. Na prƒtica, a press…o de perfus…o no sistema cardiovascular ‚ determinada pela diferen†a de press…o que existe na raiz da art‚ria aorta e no ventr•culo direito, garantindo o fluxo de sangue ao longo do sistema vascular. Por isso que n…o se pode reduzir tanto a p„s-carga, sendo necessƒrio manter uma press…o de perfus…o m•nima de 55 mmHg para que haja fluxo sangu•neo. Š prudente, portanto, reduzir a p„s-carga quando esta estƒ demasiadamente elevada, como em pacientes hipertensos, que alcan†am picos de 220x110 mmHg, o que leva a preju•zos importantes no volume sist„lico e na oferta de oxig€nio do paciente. Š por esta raz…o que muitos pacientes apresentam edema agudo de pulm…o quando passam por crises hipertensivas: o ventr•culo n…o consegue vencer a resist€ncia imposta pela p„s-carga e passa a acumular cada vez mais sangue ao final da s•stole. Desta forma, mais sangue ‚ acumulado ao final da diƒstole, sendo o excesso transmitido para o ƒtrio esquerdo e, consequentemente, para os capilares pulmonares, causando, ao final deste mecanismo, o edema pulmonar. Estes pacientes devem ter sua p„s-carga reduzida (com Nitroprussiato, por exemplo), melhorando o d‚bito card•aco e, consequentemente, a oferta de oxig€nio. Contratilidade cardíaca. Assim como a pr‚-carga e a p„s-carga, a contratilidade tamb‚m influencia no d‚bito card•aco. Podemos definir a contratilidade como a capacidade do miocƒrdio em gerar tens…o contrƒtil (tamb‚m respondendo Œ lei de Frank-Starling). Š de dif•cil aferi†…o cl•nica, embora possa ser mensurada a partir da fra†…o de eje†…o.
  • 35.
    Arlindo Ugulino Netto– MEDICINA DE URG•NCIA – MEDICINA P8 – 2011.1 35 Tudo que aumenta a for†a de contra†…o miocƒrdica interfere no aumento do volume sist„lico (pois o VSF ‚, cada vez mais, diminu•do) e, consequentemente, o d‚bito card•aco tamb‚m aumenta. Esta contratilidade pode sofrer influ€ncia de fatores que a reduzem (insufici€ncia card•aca consequente de um infarto agudo do miocƒrdio, medicamentos β-bloqueadores como o Propanolol) ou a intensificam (como a noradrenalina, a adrenalina e a dobutamina). Por esta raz…o, uma das respostas do organismo frente Œ queda do d‚bito card•aco ‚ a libera†…o de catecolaminas que aumentam a contratilidade card•aca (inotropismo positivo) e a frequ€ncia card•aca (cronotropismo positivo). CONTEÚDO ARTERIAL DE OXIGÊNIO Como vimos anteriormente, a oferta de oxig€nio aos tecidos ‚ determinada, basicamente, pelo d‚bito card•aco e pelo conte‰do arterial de oxig€nio. O conte‰do arterial de oxig€nio (CaO2), por sua vez, ‚ determinado pela fra†…o de oxigênio dissolvido do plasma e a fra†…o de oxigênio ligada à hemoglobina, obedecendo a seguinte rela†…o: Sendo:  CaO2: conte‰do arterial de oxig€nio.  PaO2: press…o parcial de oxig€nio dissolvido no plasma. Esta PaO2 representa a fra†…o de O2 que circula livre, dilu•da no sangue. Contudo, apenas uma pequena parcela de O2 circula livre no plasma pois, como todos os gases, o O2 possui um coeficiente de dissolubilidade muito baixo, devido Œ sua energia cin‚tica alta, dificultando a sua dissolu†…o plasmƒtica (por isso, ‚ multiplicado por uma constante pequena: 0,0031).  Hb: quantidade de hemoglobina em g/dl. Š uma mol‚cula que representa um ponto forte na escala evolutiva, permitindo aos organismos multicelulares o transporte de oxig€nio para as vƒrias c‚lulas ao longo de uma dist‡ncia relativamente longa (diferentemente dos seres unicelulares, que transportam oxig€nio por difus…o, os organismos multicelulares transportam oxig€nio por convec†…o). A liga†…o do oxig€nio Œ hemoglobina diminui a energia cin‚tica deste gƒs, permitindo, assim, o seu transporte ao longo do sangue. Ela possui quatro s•tios de liga†…o para o O2 e uma conforma†…o estrutural que permite uma propriedade essencial para o transporte de O2: cada mol‚cula de oxig€nio que se liga a hemoglobina faz com que outro s•tio de liga†…o seja liberado. Desta forma, quanto maior for o n‰mero de mol‚culas de O2 ligadas Œ hemoglobina, maior serƒ a facilidade de a hemoglobina se ligar a mais O2.. A porcentagem de s•tios de liga†…o de O2 ocupados determina a satura†…o da hemoglobina (se dois s•tios da Hb est…o ligados ao O2, por exemplo, diz-se que hƒ uma satura†…o de 50%).  SatO2: ‚ a satura†…o de oxig€nio da hemoglobina. Aproximadamente 98,5% do O2 ‚ carreado pela hemoglobina; logo, a SatO2 ‚ extremamente importante para a oferta perif‚rica de O2. O aspecto sigmoide da curva de dissocia†…o da oxiemoglobina (OBS2 ) determina que varia†…o da PaO2 acima de 60 mmHg levar…o a mudan†as apenas discretas na SaO2 (SaO2=90%); em contraste, pequenas mudan†as da PaO2 abaixo de 60 mmHg determina†…o grandes varia†ˆes na SaO2. OBS 2 : Oxigenação e curva de dissociação da oxi- hemoglobina. A curva de dissocia†…o da hemoglobina depende, principalmente, da satura†…o e da press…o parcial de oxig€nio. O grƒfico ao lado demonstra que, a medida em que a PaO2 aumenta, a satura†…o tamb‚m sobe harmonicamente at‚ determinado ponto (60mmHg). A partir deste valor press„rico, a satura†…o sobe muito pouco mesmo variando valores maiores de PaO2. Isto significa que, em uma queda da PaO2 de 60 a 40mmHg, a queda de satura†…o ‚ bem mais brusca do que ocorre nas quedas de PaO2 de 120 a 100mmHg, por exemplo, quando cai cerca de apenas 1% de satura†…o. Alguns fatores podem desviar a curva de dissocia†…o para a direita ou para a esquerda, trazendo algumas repercussˆes cuja interpreta†…o ‚ importante. Tais fatores influenciam na dissocia†…o da Hb ao alterarem a press…o parcial de O2 (P50) e a satura†…o da hemoglobina. Os principais deles s…o: temperatura corporal e o pH do sangue.  Fatores que desviam a curva para direita: a curva de dissocia†…o ‚ desviada para direita por fatores que aumentam a press…o parcial de oxig€nio e diminuem a satura†…o de oxig€nio. Isso significa que tais fatores diminuem a afinidade da hemoglobina por O2 e, consequentemente, aumentam a libera†…o de oxig€nio pela hemoglobina (fazendo com que haja muito O2 dissolvido no sangue), mas diminuem a satura†…o da Hb (pouco O2 ligado Œ Hb). Os fatores s…o: febre (hipertermia), acidose, cortic„ides, fosfatos org‡nicos, aumento de Hb, aumento de 2,3 DPG. Portanto, o desvio da curva para direita melhora a PaO2, mas diminui a satura†…o.
  • 36.
    Arlindo Ugulino Netto– MEDICINA DE URG•NCIA – MEDICINA P8 – 2011.1 36  Fatores que desviam a curva para esquerda: a curva de dissociação é desviada para esquerda por fatores que diminuem a pressão parcial de oxigênio no sangue (causam hipoxemia celular), pois aumentam a afinidade da hemoglobina por O2, aumentando, consequentemente, a saturação do oxigênio (o O2 encontra mais dificuldade em se dissociar da Hb). Neste caso, a PaO2 do sangue encontra-se baixa, pois o oxigênio é pouco liberado, mantendo a saturação de Hb. São exemplos destes fatores: hipotermia, alcalose, hipocapnia, diminuição dos níveis Hb, diminuição dos fosfatos, presença de Hb anormais. Portanto, o desvio da curva para esquerda melhora a saturação de Hb, mas diminui a P50. Por esta razão, a hipotermia e a alcalose são consideradas situações mais graves, visto que podem causar hipóxia celular (uma vez que, embora a hemoglobina esteja supersaturada de O2, pouco oxigênio consegue se liberar para suprir a demanda metabólica celular). Portanto, em resumo, o conteúdo arterial de oxigênio é determinado pelas duas formas principais de transporte sanguíneo de oxigênio: a fração de O2 que se encontra dissolvida no plasma e outra fração ligada à hemoglobina. Contudo, muito pouco oxigênio circula dissolvido no plasma: como podemos ver na relação matemática apresentada anteriormente, a fração livre no plasma é produto da multiplicação entre a pressão parcial de O2 e uma constante cujo valor é insignificante (0,0031). Apenas quando existem fatores que desviam a curva de dissociação da hemoglobina para a direita (como a hipertermia, a acidose metabólica, etc.), ocorre uma diminuição da afinidade da hemoglobina por O2 e uma maior presença de O2 dissolvido no plasma. Em contrapartida, a maior parte do oxigênio é transportada em associação com a hemoglobina. Esta fração, por sua vez, é bem mais significativa, sendo influenciada, basicamente, por dois fatores: a quantidade de hemoglobina no sangue (medida em g/dl) e a saturação de oxigênio da hemoglobina (medida em porcentagem, isto é: uma relação, que pode ser simplificada pela quantidade de sítios de ligação da hemoglobina que estão ocupados). A constante 1,34, que multiplica estes dois fatores, representa a quantidade de oxigênio que cada grama de hemoglobina, saturada em 100%, é capaz de transportar. Desta forma, dissecando matematicamente o conteúdo arterial de oxigênio, temos: Da relação matemática que vimos anteriormente, temos: CaO2 = O2 ligado Š hemoglobina + O2 dissolvido no plasma CaO2 =(SatO2 x 1,34 x Hb) + (PaO2 x 0,0031) Sabendo que:  Hemoglobina (Hb) = 15 g/dl (o que equivale a 150 g/l)  Saturação Arterial de Oxigênio (SatO2 ou SaO2) = 98% (0,98)  Pressão parcial de O2 arterial (PaO2) = 100 mmHg Temos: CaO2 = (0,98 x 1,34 x 15) + (0,003 x 100) CaO2 = 19,7 + 0,3 CaO2 = 20,0 ml/dl = 20,0 vol% ou 200 ml/l (para igualar Š unidade de d‹bito cardŒaco) OBS: Note que o valor da CaO2 (em ml/dl) foi multiplicado por 10 (resultando ml/l). Esta conversão se faz importante quando queremos mensurar a oferta de oxigênio (DO2) e, para isso, necessitamos utilizar o valor do débito cardíaco (DC), que é disponibilizado em l/min. Convertendo o valor da CaO2 de ml/dl para ml/l, podemos eliminar as unidades (litro) durante este cálculo matemático. Contudo, se quisermos facilitar ainda mais a conta, podemos converter a unidade da hemoglobina: se cada dl sangue tem 15g de hemoglobina, 1 litro de sangue terá 150g. Fazendo isso, o valor da CaO2 já será disponibilizado em ml/l, compatível com o cálculo do DO2. CÁLCULO DA OFERTA ARTERIAL DE OXIGÊNIO Para por em prática o que aprendemos até então, imaginemos um recipiente contendo um volume correspondente a 1 litro de sangue de um indivíduo normal (isto é, sem anemia, talassemia ou qualquer outro distúrbio sanguíneo). Normalmente, 1 litro de sangue apresenta cerca de 150g de hemoglobina (o que equivale a 15g/dl). Sabendo que 1g de Hb 100% saturada carrega cerca de 1,34 ml de O2 na forma de oxihemoglobina, temos um valor aproximado de 200 ml de O2 carreado ao longo do sangue junto à hemoglobina. Contudo, como sabemos, além da fração de oxigênio ligada à hemoglobina, também existe a fração que é carreada dissolvida no plasma, o que adiciona a este valor cerca de 3 ml de O2 (valor aproximado a partir da multiplicação de 100 mmHg, a pressão parcial de O2, pela constante 0,0031). Desta forma, temos:
  • 37.
    Arlindo Ugulino Netto– MEDICINA DE URG•NCIA – MEDICINA P8 – 2011.1 37 Portanto, no fim das contas, cada litro de sangue vai carrear 203 ml de oxig€nio (sendo 200 ml ligados Œ hemoglobina e 3 ml dissolvidos no plasma). Portanto, partindo do pressuposto que o d‚bito card•aco basal de uma pessoa normal ‚ de, aproximadamente, 5 litros/minuto, devemos multiplicar o conte‰do arterial de oxig€nio para cada um dos litros que compˆe o d‚bito card•aco: Portanto, a oferta de oxig€nio em um paciente normal, com 150g de Hb/litro e press…o parcial de O2 de 100 mmHg, ‚ de, aproximadamente, 1015 ml de O2 por minuto. DETERMINANTES DO CONSUMO DE OXIG•NIO Assim como previamente aprendemos a calcular a oferta de oxig€nio, devemos saber mensurar o quanto de O2 restou ap„s o metabolismo celular e, desta diferen†a, calcular o consumo de oxig€nio. Podemos obter facilmente o seu valor atrav‚s do cƒlculo do Remanescente Venoso, utilizando a seguinte rela†…o: Para tal cƒlculo, devemos coletar o sangue de um componente venoso e calcular o conteúdo venoso de oxigênio. Esta etapa ‚ obtida da mesma forma que calculamos o conte‰do arterial de oxig€nio – contudo, ao inv‚s de usar dados referentes ao sangue arterial (como a satura†…o e press…o parcial de O2), devemos obter os mesmos dados sendo do pr„prio sangue venoso (de prefer€ncia, da art‚ria pulmonar). Desta forma, temos:
  • 38.
    Arlindo Ugulino Netto– MEDICINA DE URG•NCIA – MEDICINA P8 – 2011.1 38 Sendo:  CvO2: Conteúdo Venoso de Oxigênio.  SvO2: sangue venoso misto, coletado da artéria pulmonar pelo cateter de Swan-Ganz (se fosse coletado em outra veia, o conteúdo venoso poderia variar: o conteúdo venoso do músculo é muito alto, enquanto que do cérebro e do coração é muito baixo). O sangue venoso misto representa, por convenção, a mistura de todos os territórios venosos do organismo e, consequentemente, representa o conteúdo de oxigênio que restou depois do metabolismo de todos os tecidos orgânicos.  PvO2: pressão parcial do oxigênio no sangue venoso misto. Desta forma, temos: CvO2 = O2 ligado Š hemoglobina + O2 dissolvido no sangue venoso CvO2 = (SvO2 x 1,34 x Hb) + (PvO2 x 0,0031) Utilizando os mesmos dados que foram utilizados para calcular o conte€do arterial de O2, temos o seguinte valor para o Conte€do Venoso de Oxig•nio: CvO2 = 150 ml/l Desta forma, sabendo que cada ml de sangue venoso misto apresenta 150 ml de oxigênio, devemos mensurar o Remanescente Venoso para o mesmo valor de débito cardíaco utilizado para calcular a oferta de O2 (5 litros por minuto). O resultado seria aproximadamente 750 ml de O2 por minuto. CÁLCULO DO CONSUMO DE OXIGÊNIO Conhecendo o quanto de oxigênio foi ofertado pelo sangue arterial (DO2) e o quanto de oxigênio restou do metabolismo (remanescente venoso), podemos mensurar o quanto de O2 foi consumido (VO2). Portanto, temos: Desta forma, seguindo o exemplo até então apresentado, temos: VO2 = DC x (CaO2 - CvO2) VO2 = 5 l/min x (203 – 150) VO2 = 5 x 53 VO2 = 265 ml de O2/min Portanto, ao passo em que o sangue arterial oferece cerca de 1015ml de O2/minuto, o organismo consome apenas 265 ml de O2 ao longo de 1 minuto. Observando estes valores, nota-se que é muito oxigênio ofertado e para pouco consumo. Contudo, esta gritante diferença nada mais é que uma estratégia evolutiva do organismo no intuito de manter reservas de oxigênio no sangue.
  • 39.
    Arlindo Ugulino Netto– MEDICINA DE URG•NCIA – MEDICINA P8 – 2011.1 39 Caso contrƒrio, isto ‚, se o consumo fosse igual Œ oferta, no momento em que o indiv•duo perdesse um pouco do seu d‚bito card•aco, a oferta cairia com rela†…o ao consumo, fazendo com que as c‚lulas entrassem em sofrimento imediato, sendo seguido de morte celular. Portanto, a natureza lan†a m…o deste mecanismo de oferta maior do que consumo para dar tempo ao organismo de se recuperar de certas situa†ˆes de risco. TAXA DE EXTRA‚„O DE OXIG•NIO A rela†…o entre o consumo (VO2) e a oferta (DO2) de oxig€nio pode ser estabelecida atrav‚s do cƒlculo da taxa de extra†…o de oxig€nio (TEO2 ou O2ER, do ingl€s extraction rate). Por defini†…o, a taxa de extra†…o de O2 ‚ a capta†…o fracional de oxig€nio do leito capilar. Š obtida dividindo-se o consumo pela oferta de O2: Sendo:  O2ER: taxa de extra†…o de oxig€nio.  Valor de refer€ncia: 25 – 30% (o que significa dizer que, normalmente, 25 – 30% de oxig€nio que ‚ ofertado aos tecidos ‚, efetivamente, consumido).  O2ER de 18%  pode significar duas situa†ˆes: (1) uma oferta muito grande de O2 frente a um consumo relativamente baixo ou normal; (2) um consumo demasiadamente baixo de O2 frente a uma oferta normal ou elevada. Ex: anestesia, hipotermia, gravidez, fase hiperdin‡mica do choque.  O2ER 40%  pode significar duas situa†ˆes: (1) um aumento demasiado do consumo O2 frente a uma oferta relativamente baixa ou normal (como ocorre nos casos de convuls…o, febre, exerc•cios f•sicos, fase hipodin‡mica do choque, etc.); (2) diminui†…o exagerada da oferta de O2 frente a um consumo normal ou elevado.  VO2: consumo de O2.  DO2: oferta de O2. Observe, ent…o, o seguinte exemplo, de modo que o consumo de O2 seja de 130ml de O2/min e a oferta, por sua vez, ‚ de 540ml de O2/min. O2ER = VO2/DO2 x 100 O2ER = 130/540 x 100 O2ER = 24%  Desta forma, conclui-se que 24% do oxigênio que está sendo ofertado pelo sangue aos tecidos está sendo efetivamente consumido. Relação entre oferta e consumo (débito/DO2 normal). Observando o grƒfico ao lado, consideremos um paciente que apresente 5 l/min de d‚bito card•aco, uma oferta de oxig€nio que gira em torno de 1000 ml/min e consumo de 300 ml/min. Calculando sua taxa de extra†…o, temos um valor aproximado de 26%. Tais dados sugerem um paciente h•gido, de sangue normal. Contudo, consideremos tamb‚m que este paciente se torna v•tima de um ferimento por arma de fogo e passa a perder muito sangue.
  • 40.
    Arlindo Ugulino Netto– MEDICINA DE URG•NCIA – MEDICINA P8 – 2011.1 40 Relação entre oferta e consumo (débito/DO2 em declínio). Depois de lan†adas todas as respostas compensat„rias poss•veis, ocorre diminui†…o da volemia, do retorno venoso e da pr‚-carga. Consequentemente, como mostra o grƒfico, ocorre queda do d‚bito card•aco (5 para 4 l/min) e da oferta de oxig€nio (de 1000 para 900 ml/min). Contudo, note que o consumo de oxig€nio continua o mesmo (cerca de 305ml/min), pois, proporcionalmente, os tecidos aumentaram a taxa de extra†…o de O2 (de 25% para 37%). Relação entre oferta e consumo (débito/DO2 crítico). Com o progredir do sangramento, o d‚bito card•aco (de 4 para 2,5 l/min) e a oferta de oxig€nio (de 900 para 600 ml/min) continuam caindo. Contudo, os tecidos ainda conseguem extrair ainda mais oxig€nio (de 37 a 50%), mantendo, ainda praticamente constante, o consumo de oxig€nio (305 ml/min). Isso pode ser explicado devido Œ presen†a de uma grande reserva de oxig€nio no remanescente venoso (a oferta de oxig€nio ‚, praticamente, duas vezes maior que o consumo). Contudo, ap„s este ponto (conhecido como ponto de DO2 crítico ou ponto de disóxia, caracterizado por uma taxa de extra†…o entre 50 – 60%), o consumo come†a a cair com rela†…o Œ oferta, sugerindo um desarranjo vascular importante. Relação entre oferta e consumo (débito/DO2 insuficiente). Na medida em que o paciente perde volume (e, com isso, diminui d‚bito card•aco) e a oferta de oxig€nio diminui, chega um determinado ponto (o ponto de DO2 cr•tico), antes mesmo de a oferta de oxig€nio se igualar ao consumo, em que o paciente passa a experimentar uma queda importante no consumo de oxig€nio. Como vimos anteriormente, isso ocorre quando a taxa de extra†…o alcan†a valores entre 50 – 60%, o que jƒ sugere um desarranjo vascular importante. Relação entre oferta e consumo (débito/DO2 criticamente insuficiente). Depois do ponto de dis„xia, as c‚lulas come†am a passar por um regime de anaerobiose. Nesta fase, o consumo continua a cair (de 285 para 255 ml/min), ao passo em que a taxa de consumo continua alta (de 65 para 75%). Nesta fase, o lactato, como marcador de dis„xia tissular, come†a a aumentar seus n•veis sangu•neos.
  • 41.
    Arlindo Ugulino Netto– MEDICINA DE URG•NCIA – MEDICINA P8 – 2011.1 41 Existem, portanto, duas relações diferentes entre DO2 e VO2: (1) uma fase inicial em que o consumo de oxigênio não varia apesar da queda de O2, conhecida como fase de consumo de O2 independente da oferta; e (2) outra fase, caracterizada por uma queda importante do consumo de O2 com relação à oferta, conhecida como fase de consumo de O2 dependente da oferta. O principal objetivo terapêutico do intensivista é converter o paciente que se encontra descompensado e na segunda fase para a primeira, sob pena de o mesmo vir a óbito. Portanto, o intensivista deve evitar e/ou traçar estratégias terapêuticas para evitar esta segunda fase da relação VO2/DO2 agindo em todas as variáveis possíveis:  Se, por exemplo, o paciente se apresenta em choque hemorrágico, o intensivista deve agir na pré-carga, além de fornecer sangue para o paciente e, ao mesmo tempo, aumentar a hemoglobina (na forma de concentrado de hemácias) e, consequentemente, a oferta de oxigênio.  Se o paciente está chocado por se apresentar em choque cardiogênico após infarto agudo do miocárdio, é necessário interferir no inotropismo cardíaco.  Se o paciente se apresenta chocado porque teve tamponamento pericárdico, é necessário realizar uma terapêutica voltada para o tamponamento.  O choque séptico, como veremos em outros capítulos, apresenta vários mecanismos que interferem na relação VO2/DO2, interferindo, por exemplo, na volemia, no débito cardíaco, na pós-carga, disfunção mitocondrial, etc. Note, portanto, que cada paciente apresenta um distúrbio específico que interfere na relação VO2/DO2. Contudo, a principal causa de distúrbio nesta relação está relacionada com as vias aéreas (pneumonias, síndromes da insuficiência respiratória aguda, etc.). Portanto, para estes pacientes, devemos intervir rapidamente oferecendo oxigênio através de máscaras, no intuito de aumentar a PaO2 e a SatO2, além de tratar a causa de base. Com isso, nem sempre é necessário intervir no débito cardíaco (infundindo líquidos, por exemplo), mas apenas no CaO2 (salvo em casos que o paciente apresente hipovolemia).
  • 42.
    Arlindo Ugulino Netto– MEDICINA DE URG•NCIA – MEDICINA P8 – 2011.1 42 MED RESUMOS 2011 CORREIA, Luiz Gustavo; NETTO, Arlindo Ugulino. MEDICINA DE URGÊNCIA E TERAPIA INTENSIVA CHOQUE CIRCULATÓRIO (Professor Jorge Fonseca) O choque circulat„rio ‚ uma situa†…o de emergência médica extrema, caracterizado pela combina†…o de dois fatores: (1) queda do d‚bito card•aco com redu†…o da perfus…o tissular (leia-se “tecidual”) perif‚rica e/ou (2) fal€ncia circulat„ria generalizada. Portanto, a principal consequ€ncia desta entidade cl•nica ‚ o sofrimento celular s‰bito, intenso e generalizado, que leva ao processo de hip„xia, hipoperfus…o (isquemia), que ‚ agravado persistentemente por mediadores, quer sejam humorais, inflamat„rios ou t„xicos. O efeito final ‚ a fal€ncia m‰ltipla de „rg…os e sistemas. Considera-se o choque como uma situa†…o cl•nica de emerg€ncia m‚dica: ‚ fatal quando n…o reconhecida ou revertida com tratamento rƒpido, intensivo e agressivo para restaurar o d‚bito card•aco, a perfus…o e a oxigena†…o tecidual, antes que ocorram lesˆes miocƒrdicas, cerebrais, renais, etc. ou, antes mesmo que se tenha uma evolu†…o desfavorƒvel para s•ndrome da angustia respirat„ria (SARA), coagula†…o intravascular disseminada, sepse. INTRODU‚„O O termo “choc” (parada) foi utilizado pela primeira vez pelo m‚dico franc€s Le Dran em 1743 para indicar colapso agudo ap„s epis„dio traumƒtico grave. At‚ final do s‚culo passado n…o houve evolu†…o no entendimento e terap€utica desta situa†…o cl•nica. Em 1891 foi registrada a introdu†…o de solu†…o salina intravenosa no choque hemorrƒgico e somente ap„s 1942, a partir de modelo experimental desenvolvido por WIGGERS, novos conhecimentos sobre a fisiopatologia e terap€utica do choque foram adquiridos (HAUPTMAN & CHAUDRY, 1993). S•ndrome de insufici€ncia circulat„ria aguda e colapso vascular agudo s…o tamb‚m denomina†ˆes usuais para esta complexa s•ndrome. Apesar dos avan†os, ainda hoje muitos pontos importantes no entendimento da patog€nese do choque continuam a nos desafiar. O choque, conforme dito anteriormente ‚ um grave estado patol„gico que se caracteriza pelo sofrimento celular s‰bito, intenso, persistente e generalizado, em consequ€ncia a uma baixa perfus…o de oxig€nio e nutrientes para um conjunto de c‚lulas previamente normais. Da fisiologia cardiovascular, lembramos que a perfus…o tissular ‚ dita adequada quando o sistema cardiovascular promove tr€s eventos bƒsicos para a homeostasia celular: (1) Aporte permanente oxig€nio e nutrientes Œs c‚lulas; (2) Manuten†…o de um fluxo sangu•neo constante aos capilares; (3) Recolhimento de produtos e res•duos metab„licos. Para que esta perfus…o se mantenha em n•veis adequadamente “fisiol„gicos”, se faz necessƒrio que o sistema circulat„rio forne†a, por parte da bomba card•aca e vasos sangu•neos, um volume sangu•neo satisfat„rio, eje†…o sangu•nea eficaz e t•nus vascular adequado. Em qualquer situa†…o que promova desequil•brio de um desses componentes, o curso final serƒ a defici€ncia circulat„ria aguda, com hipoperfus…o tissular. CLASSIFICA‚„O DO CHOQUE A classifica†…o do choque circulat„rio obedece a uma finalidade estritamente didƒtica, tendo em vista que a maioria dos quadros de choque mostra mais de um componente em sua evolu†…o Basicamente, classificamos o choque em tr€s formas distintas:  Choque hipovolêmico: caracterizado por baixo volume intravascular, relativo a sua capacit‡ncia, ou seja, hipovolemia relativa ou absoluta. O volume contido no compartimento intravascular ‚ inadequado para a perfus…o tecidual. A queda do d‚bito card•aco resulta, basicamente, da perda de volume sangu•neo circulante por hemorragia, desidrata†…o, sequestro de l•quido no terceiro espa†o. Inicialmente, o sistema org‡nico, como um todo, na tentativa de compensar a perda de l•quidos induz uma resposta sist€mica: vasoconstric†…o e contra†…o das veias por est•mulo adren‚rgico, geralmente, quando a perda atinge 15% da volemia circulante.  Choque cardiogênico: resulta da queda aguda da fun†…o miocontrƒtil do cora†…o, tais como ocorre na s•ndrome coronariana aguda, miocardiopatia dilatada, insufici€ncia card•aca classe IV. Desta forma, a fun†…o de bomba do cora†…o passa a ser insuficiente para manter o d‚bito card•aco em n•veis compat•veis com as necessidades metab„licas.  Obstrutivo - resulta de bloqueio mec‡nico ao fluxo sangu•neo na circula†…o pulmonar ou sist€mica  Choque distributivo ‚ o que engloba, basicamente, o choque s‚ptico, anafilƒtico e o neurog€nico. Nesta situa†…o, n…o hƒ diminui†…o da volemia circulante, nem sequer da capacidade miocontrƒtil do cora†…o, portanto, o d‚bito card•aco e a volemia s…o preservados inicialmente. O principal efeito fisiopatol„gico ‚ a vasodilata†…o grave e generalizada, que ocorre por conta da libera†…o de mediadores inflamat„rios ou, ainda, por conta da vasoplegia determinada pela perda do t•nus vascular mantida pelo sistema nervoso aut•nomo simpƒtico. FASES FISIOPATOL†GICAS DO CHOQUE A microcirculação ‚ a maior unidade vascular corporal, representando 90% de todos os vasos. Estruturam-se em arter•olas terminais, metarter•olas, capilares e v€nulas coletoras, al‚m de esf•ncteres pr‚-capilares e anastomoses (shunts) arteriovenosas funcionalmente muito importantes.
  • 43.
    Arlindo Ugulino Netto– MEDICINA DE URG•NCIA – MEDICINA P8 – 2011.1 43 Arteríolas e vênulas sofrem regulação autonômica simpática, enquanto as outras estruturas têm seu tônus fortemente influenciado por mecanismos de autorregulação controlados pela concentração de O2 e metabolismo celular. Os esfíncteres pré-capilares são extremamente sensíveis, sofrendo relaxamento em função do aumento nas concentrações locais de íons hidrogênio e potássio, CO2, adenosina histamina, óxido nítrico, bradicinina e outros fatores, contraindo quando há redução destas substâncias e presença de catecolaminas. Existem, basicamente, dois mecanismos de controle da hemodinâmica:  Manutenção da pressão arterial e do fluxo sanguíneo de distribuição determinados basicamente pelo tônus de artérias e arteriolas (resistência periférica) e pelo débito cardíaco (força de contração e frequência).  Controle do armazenamento e distribuição do volume sanguíneo disponível para o retorno venoso e enchimento atrial, sob domínio da microcirculação e sistema venoso. Sempre que uma agressão interfere com o funcionamento adequado do sistema circulatório, mecanismos homeostáticos são mobilizados com o objetivo de restaurar a fisiologia do sistema. São ativados mecanismos reflexos mediados por via neural, mecanismos humorais e auto-regulatórios. Estes mecanismos compensatórios caracterizam a fase I do choque. FASE I DO CHOQUE – ATIVAŽŒO DE MECANISMOS REGULADORES Com a redução da pressão arterial, os barorreceptores ou presso-receptores localizados nos seios carotídeos e arco aórtico diminuem os estímulos aferentes ao sistema nervoso central. Em resposta, ocorre a redução na atividade vagal eferente com predomínio do tono simpático. Este induz taquicardia e vasoconstricção que é mais acentuada na pele, músculo esquelético, rins e leito vascular esplâncnico que são ricos em alfa-receptores. Deste modo, o sangue é dirigido para a circulação central mantendo órgãos essenciais à sobrevivência imediata, como coração, sistema nervoso central e pulmões. A pressão arteriolar muito baixa estimula os quimioreceptores periféricos sensíveis a anóxia que se instala pela perfusão diminuída nos tecidos. O estímulo desses receptores acentua a vasoconstrição periférica e produz taquipnéia. Este estímulo respiratório melhora o retorno venoso devido à ação bombeadora auxiliar determinada pelo pulmão, durante a inspiração. Pressão sanguínea abaixo de 40 mmHg resulta em isquemia do sistema nervoso central devido ao afluxo inadequado de sangue e sobrevém descarga simpática mais intensa que é somada àquela desencadeada pelos receptores, o que acentua ainda mais o tônus simpático e aumenta a contratilidade do miocárdio. Respondendo ao estimulo simpático, a medula da adrenal libera catecolaminas em quantidades expressivas (epinefrina até 50 vezes àquela em condições fisiológicas) na tentativa de compensar a hipotensão persistente. As catecolaminas promovem contração esplênica, vasoconstrição periférica e têm estímulo crono e inotrópico sobre o miocárdio. A baixa perfusão renal em pressões abaixo de 60 mmHg estimula a liberação de renina pelo aparelho justaglomerular. Esta transforma o angiotensinogênio do plasma em angiotensina que tem potente ação vasoconstritora. A angiotensina estimula também a secreção da aldosterona que promove reabsorção de sódio e água desde os túbulos renais. A pressão baixa nos átrios e em nível dos presso-receptores promove a liberação do hormônio antidiurético (ADH) ou vasopressina e do hormônio adrenocorticotrófico (ACTH) pela hipófise. A vasopressina é um dos mais potentes vasoconstritores liberados no organismo e atua controlando excreção renal de água. Em pressões sangüíneas inferiores a 50 mmHg, sua secreção aumenta 20 a 50 vezes. O ACTH estimula a secreção de corticosteróides (aldosterona e hidrocortisona). A aldosterona auxilia a estabilizar o volume plasmático aumentando a reabsorção de
  • 44.
    Arlindo Ugulino Netto– MEDICINA DE URG•NCIA – MEDICINA P8 – 2011.1 44 sódio pelos rins. Os glicocorticoides potencializam o efeito das catecolaminas e estimulam a gliconeogênese. Quando a magnitude e a duração do insulto ultrapassam a capacidade de regulação homeostática instala-se um quadro de insuficiência circulatória aguda, denominado choque. A persistência da agressão pode permitir a evolução do processo para a fase seguinte, progressiva e descompensada. FASE II DO CHOQUE – DESCOMPENSAŽŒO E PLEGIA VASCULAR Ocorre falência cardíaca por hipofluxo coronariano: a hipotensão diminui o fluxo de sangue para as artérias coronárias, deprimindo a função cardíaca. Esta depressão do miocárdio agrava a pressão precariamente baixa, completando um ciclo que tende a tomar-se irreversível. A insuficiência microcirculatória isquêmica é estabelecida pela constrição desencadeada através dos mecanismos compensatórios do choque. Inicialmente o sangue flui apenas pelas metarteríolas devido ao fechamento dos esfíncteres pré-capilares. Nesta fase há passagem de liquido intersticial para a luz capilar, tentando repor a volemia. Na medida em que se acentua a constrição na arteríola terminal, o fluxo é desviado pelas comunicações artério-venosas para as vênulas distais. Com a persistência da constrição sistêmica os tecidos entram em acidose devido à hipóxia tecidual. Este fenômeno intensifica a produção de fatores vasotrópicos locais que relaxam os esfíncteres pré-capilares. O sangue flui então para o leito capilar que, nesta fase, está bastante ampliado. Isto causa dois efeitos: (1) a quantidade de sangue que mesmo em condições de normovolemia seria insuficiente para irrigar todo o leito capilar distendido é precariamente baixa e resulta em diminuição do retorno venoso, da pressão venosa central e do débito cardíaco; (2) o fluxo capilar sofre estase e não supre as necessidades da célula que se torna anóxica. Esta fase é agravada pela constrição das arteríolas proximais e vênulas distais que estão sob efeito dos fatores vasotrópicos sistêmicos. Em consequência, a pressão hidrostática sistêmica não é transmitida ao sangue estagnado e os catabólitos não retornam pela circulação venosa. A acentuada redução no fluxo periférico propicia o acúmulo de fatores vasotrópicos locais que diminuem o tono vascular periférico agravando ainda mais a hipotensão. Esta expansão do leito vascular caracteriza a fase II do choque. FASE III DO CHOQUE – DISFUNŽŒO E CIVD A acidose resultante da hipóxia celular deprime diretamente o miocárdio e diminui a resposta deste á estimulação simpática das catecolaminas. Este conjunto de eventos recrudesce a isquemia e favorece o aparecimento de lesões endoteliais, liberação de tromboplastina e a agregação de hemácias, tornando o sangue hipercoagulável iniciando a fase de coagulação intravascular disseminada que caracteriza a fase III do choque. FASE IV DO CHOQUE – DISFUNŽŒO DE M‘LTIPLOS ’RGŒOS (DMOS) A perda funcional da barreira epitelial do trato gastrintestinal permite a passagem de flora e toxinas para o meio circulante. Com a generalização e agravamento da hipóxia tissular as funções de órgãos vitais começam a deteriorar, ocorrendo hemorragias por coagulopatia de consumo, ativação generalizada de plasminogênio com fibrinólise sistêmica, microinfartos, vasoplegia, necrose tubular aguda e finalmente falência múltipla de órgãos caracterizando a fase IV ou de choque irreversível.
  • 45.
    Arlindo Ugulino Netto– MEDICINA DE URG•NCIA – MEDICINA P8 – 2011.1 45 REPERCUSSƒES SIST•MICAS DO CHOQUE A hipoperfus…o tecidual prolongada do choque, independente de sua causa, cursa com a libera†…o de antígenos, endotoxina e exotoxinas, que ativam neutrófilos, macrófagos e monócitos e, ao mesmo tempo, tamb‚m promovem lesão endotelial vascular com s‰bito aumento da sua permeabilidade. O choque causado por infec†…o sist€mica, tal como ocorre pela libera†…o de toxinas estafiloc„ccicas ou estreptoc„ccicas, sofrerƒ influ€ncia da libera†…o de super-ant•genos bacterianos que estimulam linf„citos T a produzir citocinas maci†amente. Com o recrutamento de c‚lulas imunol„gicas e do sistema inflamat„rio, ocorre, em sequ€ncia, uma cascata de eventos de libera†…o de mediadores. O efeito desta libera†…o abrupta de componentes inflamat„rios ‚ a amplia†…o da pr„pria resposta inflamat„ria sist€mica e estimula†…o de rea†ˆes de defesa, causando altera†ˆes metab„licas (catabolismo), neuroend„crinas (aumento da produ†…o de renina, adrenalina, noradrenalina, vasopressina, cortisol, glucagon, horm•nio do crescimento), vasomotoras (hemodin‡micas e na microcircula†…o), da coagula†…o (ativa†…o do sistema complemento). Estas rea†ˆes ou cascata de eventos desencadeiam respostas fisiol„gicas e imunol„gicas de defesa, bem como aumentam a les…o endotelial e tecidual, fechando um ciclo vicioso pela libera†…o de mais mediadores inflamat„rios. O fator ativador de plaquetas, as prostaglandinas e o „xido n•trico, assim como algumas toxinas, s…o potentes vasodilatadores, o que acarreta hipotens…o, hipoperfus…o e hipoxemia tecidual e que, em ‰ltima inst‡ncia, levar…o ou agravar…o ainda mais o choque. Síndrome da resposta inflamatória sistêmica (SIRS). Com a libera†…o de mediadores inflamat„rios (constituindo a s•ndrome da resposta inflamat„ria sist€mica, SIRS), que fecham um ciclo-vicioso, vƒrios tecidos org‡nicos s…o afetados. Desde altera†ˆes do sistema hemodin‡mico, at‚ mesmo, em ‰ltima inst‡ncia, disfun†…o neurol„gica aguda, ‚ resultado da libera†…o maci†a de mediadores que ampliam a resposta inflamat„ria. Quando n…o resolvidos, o choque e a SIRS evoluem para choque refratƒrio e para a fal€ncia m‰ltipla de „rg…os, que ‚ a associa†…o em combina†ˆes diversas de disfun†…o renal aguda, coagula†…o intravascular disseminada (CIVD), s•ndrome da ang‰stia respirat„ria do adulto (SARA), disfun†…o miocƒrdica, insufici€ncia hepƒtica aguda, disfun†…o neurol„gica aguda, •leo ou enterocolite e depress…o medular. Sistema Nervoso Central. O c‚rebro ‚ o „rg…o que menos sofre interfer€ncia das varia†ˆes sist€micas da volemia, pois seu fluxo sangu•neo tem regula†…o local. O tono vascular local n…o ‚ regulado pelo sistema nervoso simpƒtico, mas por agentes da circula†…o. Os principais s…o o oxig€nio, di„xido de carbono e pr„tons hidrog€nio cujas concentra†ˆes ao serem alteradas provocam vasodilata†…o nesta circula†…o regional durante o choque. Recentemente tem sido demonstrado, no entanto, que hƒ varia†ˆes significativas no fluxo sangu•neo em diferentes regiˆes do c‚rebro, em resposta a hipovolemia, resultando em redistribui†…o do mesmo. Esta redistribui†…o parece favorecer aquelas ƒreas onde se localizam os neur•nios relacionados ao controle cardiovascular. Al‚m disso, press…o sangu•nea mantida em torno de 35 mmHg por mais de 2 horas produz les…o irrevers•vel no sistema nervoso central. Alterações Pulmonares. Os pulmˆes s…o bastante resistentes Œ isquemia, sendo raramente afetados no choque hipovol€mico puro; mas quando o colapso vascular ‚ causado por sepsis ou trauma, altera†ˆes importantes podem ocorrer. Insufici€ncia pulmonar progressiva, tamb‚m conhecida como SARA ou “pulm…o de choque” surge ap„s trauma severo, sepsis, grande cirurgia, insufici€ncia renal aguda ou insufici€ncia card•aca. Embora apare†a como consequ€ncia da evolu†…o de choque severo seguido de recupera†…o, pode ocorrer mesmo antes do estabelecimento do estado de choque. Caracteriza-se por apresentar aumento do l•quido extravascular pulmonar em consequ€ncia do incremento da permeabilidade endotelial, com edema intersticial, extravasamento de l•quidos e prote•nas plasmƒticas para os alv‚olos e redu†…o de surfactante devido Œ hipofun†…o dos pneum„citos tipo II, culminando com colabamento progressivo dos alv‚olos. Pode haver desenvolvimento de fibrose septal pulmonar. Apesar da estabiliza†…o hemodin‡mica o Principais mediadores inflamatórios envolvidos no choque.  Libera†…o de citocinas, tais como a bradicinina, histamina, serotonina, calidina, interleucina, endotelina;  Libera†…o de derivados do ƒcido araquid•nico: prostaglandinas, prostaciclinas, leucotrienos, tromboxane, lipoxinas;  Produ†…o local de „xido n•trico, anion super„xido, radicais livres de oxig€nio;  Fator ativador de Plaquetas  Fator de Necrose tumoral  Interleucinas
  • 46.
    Arlindo Ugulino Netto– MEDICINA DE URG•NCIA – MEDICINA P8 – 2011.1 46 agravamento da dificuldade respiratória com hipercapnia e hipóxia, pode evoluir para completa falência pulmonar e parada cardíaca. A sua causa não está bem definida, sendo apontados como fatores principais a hiperhidratação, microembolia e/ou sepsis. Na fase final da evolução do choque podem ocorrer atelectasias, congestão alveolar, edema e hemorragia parenquimal. Ao contrário da insuficiência progressiva estas alterações contribuem, mas não são responsáveis pela evolução fatal. Alterações Renais. Os rins sofrem intensa isquemia durante o choque por serem amplamente habitados por alfa-receptores. A vasoconstricção que se estabelece na fase adrenérgica é proporcional ao grau de hipotensão e diminui a filtração glomerular agravando a acidose. A capacidade renal para utilização do lactato é pouco afetada pelo decréscimo gradual no fluxo renal, entretanto, a hipotensão aguda prejudica sua irrigação e diminui a metabolização do lactato. Em pressões abaixo de 50 mmHg há redistribuição do fluxo sanguíneo neste órgão. Enquanto a medula é perfundida adequadamente, a cortical não o é. A vasoconstrição renal pode permanecer mesmo após o retorno da pressão arterial sistêmica a níveis fisiológicos. Clinicamente pode ser observada oligúria ou anúria, isostenúria, glicosúria e presença de células renais na urina. Os rins podem ser severamente afetados pelo déficit de perfusão levando à ocorrência de insuficiência renal aguda com oligúria/anúria e distúrbios eletrolíticos. O substrato morfológico básico é necrose tubular aguda. Alterações vasculares. Quando a pressão arterial cair abaixo de 70 mmHg, o fluxo coronariano diminui paralelamente ao débito cardíaco. A depressão da função cardíaca é devida à redução na tensão de oxigênio nas coronárias, acidose mista, perfusão reduzida e a substâncias liberadas pelos tecidos hipoperfundidos. São exemplos os peptídeos tóxicos liberados em altas concentrações pelo pâncreas isquêmico (fator depressor do miocárdio) e fatores cardiodepressores liberados no intestino em hipóxia. A hipotensão aliada a uma taquicardia acima de 260 batimentos/minuto diminui a perfusão coronariana porque neste evento o tempo de diástole é menor propiciando, assim, menor afluxo de sangue nestes vasos. Morfologicamente aparecem hemorragias e necrose subendocárdicas, lesões zonais devido a uma aparente hipercontração do cardiomiócito, com encurtamento e deformação do sarcômero. Estas lesões não são exclusivas do choque. Alterações das adrenais. Depleção focal de lipídeos nas células corticais devido à hiperprodução de esteróides para atender a demanda em situações de estresse severo. Alterações do trato gastrointestinal. A isquemia intestinal pode determinar lesões do epitélio e vilosidades com extensas áreas de necrose, ulceração com hemorragia de mucosa em placa. No cão as lesões intestinais de enteropatia hemorrágica são mais precoces e mais graves que as alterações hepáticas, ocorrendo o inverso no homem. Alterações isquêmicas em outros órgãos podem ocorrer como encefalopatia, infiltração gordurosa e necrose hemorrágica central no fígado. Alterações celulares. Nos choque hipovolêmico (depleção de volume) e cardiogênico (insuficiência da bomba) o mecanismo básico e fundamental da sua gênese está associado a uma diminuição do débito cardíaco e hipotensão, o que determina importante déficit de perfusão, com oferta insuficiente de oxigênio e nutrientes às células, além de eliminação inadequada de metabólitos. A hipóxia celular bloqueia a fosforilação oxidativa mitocondrial determinando depleção de ATP e deslocamento do metabolismo aeróbio para anaeróbio, resultando em maior produção de lactato e muitas vezes acidose láctica. O déficit de ATP reduz a atividade das bombas de membrana dependentes de energia culminando com aumento da concentração intracelular de sódio e cálcio e conseqüente edema celular. O edemaciamento celular pode levar a destruição da matriz intracelular com ruptura de vesículas lisossomais. O acúmulo de cálcio e a consequente alteração no seu ciclo intracelular parece ser importante para a falência celular. A isquemia tissular leva a produção e acumulo de hipoxantina e a conversão da xantina desidrogenase em xantina oxidase, uma enzima responsável pela produção de radicais livres de oxigênio histolesivos. ETIOPATOGENIA CHOQUE HIPOVOLÊMICO É a condição clínica, de emergência médica, cujo principal fator causal do choque é a perda de volume circulante, com queda súbita do débito cardíaco e da perfusão tissular de oxigênio. Vários fatores etiológicos podem cursam com o choque hipovolêmico e, de maneira geral, dividem-se: (1) causas hemorrágicas e (2) causas não- hemorrágicas.
  • 47.
    Arlindo Ugulino Netto– MEDICINA DE URG•NCIA – MEDICINA P8 – 2011.1 47 A hemorragia aguda, n…o somente associada ao evento traumƒtico, mas tamb‚m Œs diversas patologias hemorrƒgicas (a pr„pria infec†…o viral da Dengue), ‚ uma importante causa de perda de volemia circulante com consequente choque. As causas n…o-hemorrƒgicas s…o representadas pela desidrata†…o (v•mitos incoerc•veis, diarr‚ia), queimaduras graves, sequestro de l•quido no espa†o intersticial (derrame pleural, ascite, aumento da permeabilidade vascular decorrente da SRIS, etc). CHOQUE CARDIOGÊNICO Nesta ocasi…o, como qualquer tipo de choque, o evento fisiopatol„gico mais importante continua sendo a hipoperfus…o de nutrientes e oxig€nio para os tecidos. Resulta da queda aguda da fun†…o card•aca e, consequentemente, do d‚bito card•aco. Os principais fatores etiol„gicos s…o:  Infarto agudo do miocƒrdio extenso (parede anterior, por exemplo).  Miocardiopatias agudas graves (miocardiopatia viral, que estƒ associada ao quadro gripal).  Insufici€ncia card•aca grave (Classe funcional IV).  Valvulopatias (rotura de cordoalhas, comunica†…o interventricular)  Arritmias (reduz d‚bito card•aco por afetar o tempo de enchimento diast„lico). CHOQUE OBSTRUTIVO Resulta da queda aguda do d‚bito card•aco por obstru†…o da circula†…o ou por impedimento do enchimento card•aco (aus€ncia de pr‚-carga). Ocorre no tamponamento card•aco (tal como ocorre no derrame pericƒrdico), pneumot„rax hipertensivo, tromboembolismo pulmonar. CHOQUE DISTRIBUTIVO Š o t•pico choque da anafilaxia, da infec†…o generalizada (choque s‚ptico) e da les…o neurol„gica (choque neurog€nico). Nesta ocasi…o, inicialmente, o d‚bito card•aco, bem como a volemia est…o preservados. O principal agente fisiopatol„gico envolvido em sua g€nese ‚ a libera†…o sist€mica de mediadores inflamat„rios, quer sejam endotoxinas (choque s‚ptico), ant•genos (choque anafilƒtico) ou que afetem a vasomotricidade (neurog€nico). O individuo n…o apresenta perda de sangue, nem sequer uma fal€ncia da musculatura do cora†…o, por‚m, foi traumatizado em sua medula espinhal na regi…o torƒcica, por exemplo, promovendo uma vasoplegia do t•nus vascular arterial pela perda do est•mulo tr„fico simpƒtico. FASES CL‡NICAS DO CHOQUE As fases cl•nicas do choque consistem em tr€s etapas:  Pr‚-choque  Choque descompensado  Choque refratƒrio PRÉ-CHOQUE A fase do pr‚-choque, tamb‚m denominada de fase compensada ou “quente” do choque, ‚ a que se caracteriza pela ativa†…o de mecanismos compensat„rios, com objetivo principal de manuten†…o da press…o arterial sist€mica, bem como da press…o de perfus…o cerebral, renal e card•aca. Para isto, os „rg…os, hierarquicamente, intitulados como “menos nobres” passam a apresentar uma diminui†…o da perfus…o tecidual, em detrimento do “desvio circulat„rio compensat„rio” para os „rg…os mais nobres: sistema nervoso central, rins e cora†…o. Na avalia†…o cl•nica, os pacientes apresentam taquicardia inexplicada, diminuição da pressão arterial sistêmica, palidez cutânea pela vasoconstric†…o perif‚rica. CHOQUE DESCOMPENSADO O choque descompensado, tamb‚m conhecido por “choque frio”, ‚ a fase em que o organismo n…o consegue mais manter n•veis press„ricos adequados para uma boa perfus…o cerebral, renal e miocƒrdica, bem como d‚bito card•aco fisiol„gico. Nesta etapa, o individuo passa a apresentar sinais e sintomas de disfun†…o org‡nica: taquicardia, taquipneia, sudorese, inquieta†…o, acidose metab„lica, olig‰ria, pele fria e viscosa. Alguns par‡metros servem como refer€ncia para predizer o risco do indiv•duo entrar na fase descompensada do choque e, portanto, a sua descri†…o foi feita baseando-se em experi€ncias cl•nicas pr‚vias:  No choque hipovolêmico, a redu†…o de 20 a 25% do volume sangu•neo circulante.  No choque cardiogênico, n•vel do •ndice card•aco inferior a 2,5 L/min/m 2  No choque distributivo, quando ocorre ativa†…o de in‰meros mediadores na s•ndrome da resposta inflamat„ria sist€mica (SIRS). Geralmente, o choque s‚ptico, na ocasi…o do pronto-atendimento, jƒ se apresenta nesta etapa descompensada do choque, por conta da libera†…o maci†a de endotoxinas sist€micas.
  • 48.
    Arlindo Ugulino Netto– MEDICINA DE URG•NCIA – MEDICINA P8 – 2011.1 48 CHOQUE REFRATÁRIO O choque refratário é a etapa em que se tem a persistência de sinais de hipoperfusão periférica e hipotensão, apesar da reposição volêmica, oxigenação, correção da acidose, utilização de drogas inotrópicas adequadas. O evento final é a falência de múltiplos órgãos e sistemas, com elevada mortalidade. Padrões hemodinâmicos associados com os tipos de choque Fase precoce Fase tardia Hipovolêmico Cardiogênico Séptico FC     PA  - N  - N  - N  PVC     DC     RVS     VO2     SUSPEITA CL‡NICA DO CHOQUE É fundamental que o médico esta apto a reconhecer rapidamente a evolução do paciente para o choque ou para a insuficiência respiratória na ocasião do atendimento de um paciente grave. Não importa, inicialmente, qual é a causa do choque, mas sim o seu reconhecimento através de sintomas típicos e de fácil reconhecimento. Os sinais de suspeita clínica do choque são divididos em precoces e tardios. Sinais precoces Sinais tardios  Taquicardia inexplicada  Pulso fino e fraco, difícil de palpar  Extremidades frias  Tempo de recoloração capilar ou reenchimento capilar lento, > 4 segundos (pode ser tardio no choque séptico)  Diurese diminuída, diminuição da sede  Palidez, cianose, pele moteada  Sudorese fria  Pressão arterial cai tardiamente (hipotensão significa que o choque está descompensado)  Taquidispneia e/ou respiração acidótica  Alterações do SNC (irritabilidade, agitação, sonolência, torpor, coma)  Isquemia gastrointestinal (hipomotilidade, distensão, hemorragia)  Diurese muito diminuída ou anúria  Edema pulmonar não-hidrostático TAQUICARDIA Apesar de ser um sinal de alerta precoce, com uma sensibilidade alta, é pouco específico, mas no geral é proporcional à gravidade do caso. Por outro lado, determinados tipos de choques, tal como choque cardiogênico por miocardiopatia grave, cursa com bradicardia (podendo ainda ocorrer nos bloqueios atrioventriculares, pré-parada cardiorrespiratória). Conforme vimos anteriormente, a taquicardia representa um sistema de compensação do organismo mediante ao choque, portanto, é um evento que fala a favor de uma resposta compensatória. PULSOS ARTERIAIS FINOS O pulso arterial fino é sinônimo de pulso difícil de palpar, por conta de sua pequena amplitude e pela hipotensão. A evolução é: (1) pulso diminuído; (2) fino; (3) difícil palpação nos periféricos; (4) periféricos impalpáveis; (5) difícil palpação de pulsos centrais; (6) pulsos centrais impalpáveis. HIPOTENSÃO A hipotensão arterial é descrita quando a PA sistólica < 90 mmHg ou PA média < 60 mmHg, sendo um sinal frequente de choque em evolução. Inicialmente, a pressão arterial pode demonstrar níveis normais por conta da compensação adrenérgica e passagem de líquido intersticial para o espaço intravascular. A medida que o choque evolui, ocorre hipotensão sistólica e diastólica pela hipovolemia, queda do débito cardíaco e vasoplegia. OBS 1 : Diferença de pressão arterial e frequência cardíaca entre o decúbito e ortostatismo. É um teste simples, prático e objetivo para se avaliar a hipovolemia. A queda de 10 ou 200 mmHg em relação à PA habitual, acompanhada de aumento de 15 bpm na FC entre o decúbito e o ortostatismo é indicio de hipovolemia. Nos pacientes com neuropatia periférica (tal como diabetes mellitus) ou em uso de beta-bloqueador, essa queda de pressão ocorre em ortostatismo, mas não é acompanhada de taquicardia. TEMPO DE RECOLORAÇÃO É testado pela flexão intensa, passiva ou ativa, dos dedos da mão, por 5 segundos e a seguir medindo o tempo de recoloração da palma após a sua extensão. A manobra deve ser feita compreendendo os dedos ou a sola do pé ou os leites ungueais. Não existe uma técnica padrão. Normalmente, essa recoloração ocorre em 1 a 3 segundos. A vasoconstricção e/ou anemia dificultam esta observação nas extremidades e a recoloração precisa ser observada na pele e no tronco.
  • 49.
    Arlindo Ugulino Netto– MEDICINA DE URG•NCIA – MEDICINA P8 – 2011.1 49 PALIDEZ E CIANOSE PERIFÉRICA A pele do paciente chocado ‚ pƒlida, esbranqui†ada, moteada e ‰mida. A cianose pode estar presente e ‚ mais evidente nos dedos, lƒbio, pontas do nariz e orelhas, geralmente, se acompanha de sudorese fria e hipotermia. HIPOTERMIA DE EXTREMIDADES Conforme vimos anteriormente, o choque apresenta uma etapa compensat„ria, quando se tem uma circula†…o sangu•nea para os „rg…os nobres do organismo. Nesta etapa, os vasos da pele sofrem uma vasoconstric†…o, apresentando ainda uma colora†…o pƒlida, fria e ‰mida. OLIGÚRIA Olig‰ria ‚ caracterizada pela diurese menor que 30-50 mL/hora ou 14 mL/m 2 /hora (ou < 1 mL/kg/hora na crian†a) decorrente da hipoperfus…o renal e a consequente queda na taxa de filtra†…o glomerular. A persist€ncia da olig‰ria ap„s adequada reposi†…o de volume pode indicar uma les…o renal secundƒria (confirmada pelos valores de creatinina e ureia). CONSCIÊNCIA Š o sinal dos mais confiƒveis para avaliar a recupera†…o ou o agravamento do quando cl•nico do paciente. Apresenta grande variabilidade, desde apreens…o inicial, inquieta†…o, vertigens, lipot•mia, apatia, sonol€ncia, torpor e coma. A manuten†…o de lucidez sugere melhor progn„stico. A evolu†…o dos sinais de consci€ncia ajuda a avaliar a progress…o do caso em resposta ao tratamento. No exame neurol„gico, a sensibilidade, os reflexos e a motricidade est…o diminu•dos, por‚m, presentes. DIAGN†STICO O diagn„stico de choque circulat„rio ‚ eminentemente cl•nico, baseando-se, portanto, numa boa anamnese e exame f•sico. Para seu diagn„stico, hƒ a necessidade de identificarmos a presen†a de hipotensão arterial (press…o arterial sist„lica < 90mmHg, press…o arterial m‚dia < 60mmHg ou queda maior que 40mmHg na PAS), associada a sinais e sintomas de inadequação da perfusão tecidual (tabela abaixo). A hist„ria cl•nica deve ser direcionada Œ procura da etiologia, fornecendo, assim, subs•dios para a terap€utica mais adequada e eficaz dessa s•ndrome cl•nica. A avalia†…o laboratorial ‚ essencial para a avalia†…o da oferta de oxig€nio e sua adequa†…o para o metabolismo tecidual. O diagn„stico etiol„gico ‚ baseado, de in•cio, na l„gica e racioc•nio diante dos dados dispon•veis para estabelecer a causa mais provƒvel, tais como: epidemiologia, porta de entrada do agente, tropismo para „rg…os e sistemas, presen†a de alguma doen†a que determina supress…o das defesas corp„reas, hist„rico m„rbido do paciente. Portanto, a suspeita cl•nica permitirƒ a administra†…o “emp•rica ou Œs cegas” da antibioticoterapia, caso seja necessƒria. A hist„ria pregressa, as manifesta†ˆes e o contexto cl•nico apontam para a causa e a etiopatogenia provƒveis. DIAGNÓSTICO ETIOLÓGICO  Choque cardiogênico: na hist„ria cl•nica, o pr„prio paciente ou os familiares referem hist„rico de cardiopatia aguda ou cr•nica: infarto agudo do miocƒrdio, insufici€ncia card•aca congestiva, miocardiopatias, valvulopatias. No exame f•sico, geralmente, existem sinais congestivos como estertores pulmonares, hepatomegalia, galope de terceira bulha, aumento da ƒrea card•aca, ingurgitamento venosos, esvaziamento lento e edema. Na radiografia, podemos evidenciar aumento da ƒrea card•aca e no ecocardiograma, a redu†…o da fra†…o de eje†…o.  Choque hipovolêmico: a hist„ria cl•nica pode suscitar perda hemorrƒgica (trauma, ruptura de f•gado, ba†o, hemorragia gastrointestinal) ou perda de l•quidos (diarreia, v•mitos, sudorese, etc.). Al‚m disso, a busca de informa†ˆes de doen†as de base (pancreatite, peritonite) tamb‚m deve ser procedida. No exame f•sico, evidencia de sinais de perfus…o tissular perif‚rica reduzida (taquicardia, pele fria, ‰mida e pƒlida, com colabamento de veias perif‚ricas).  Choque Séptico: A hist„ria cl•nica pode demonstrar antecedentes de imunosupress…o, uso de corticoesteroide, doen†a de base, procedimento cir‰rgico pr‚vio. No exame f•sico, a presen†a de sinais e sintomas de infec†…o (febre, taquicardia, pele quente ou presen†a de focos infecciosos) pode sugerir o diagn„stico. A leucocitose, aliada ao aumento de VHS e PCR ‚ algo frequentemente visualizado no exame laboratorial.
  • 50.
    Arlindo Ugulino Netto– MEDICINA DE URG•NCIA – MEDICINA P8 – 2011.1 50 DIAGNÓSTICO HEMODINÂMICO  Pressão venosa central: reflete, basicamente, o estado de volemia e a eficƒcia da bomba card•aca. Quando a PVC estiver baixa, atentar para hipovolemia; PVC alta, hipervolemia ou fal€ncia das bombas.  Débito urinário: o d‚bito urinƒrio normal ‚ de 0,5 a 1,0 ml/kg/hora e reflete a perfus…o renal. O volume menor que 30 ml/hora significa defici€ncia de perfus…o (insufici€ncia pr‚- renal), reposi†…o vol€mica inadequada, resposta neuroend„crina exagerada ou insufici€ncia renal.  Pressão capilar pulmonar: reflete as pressˆes de enchimento do cora†…o esquerdo. A PCP baixa reflete hipovolemia; PCP alta refere hipervolemia ou disfun†…o miocƒrdica esquerda. EXAMES COMPLEMENTARES A avalia†…o diagn„stica deve ser concomitante com as medidas terap€uticas. Elas n…o devem ser adiadas pela hist„ria, exame f•sico ou solicita†…o de exames laboratoriais ou de imagem. Portanto, durante a execu†…o do diagn„stico do choque, a avalia†…o laboratorial e de exames radiol„gicos deve ser requisitadas ao passo em que se faz a terap€utica na tentativa de retirar o paciente da emerg€ncia m‚dica extrema, que ‚ o estado de choque circulat„rio. Portanto, o diagn„stico inicialmente ‚ estritamente cl•nico; os exames complementares s…o requisitados após iniciado o tratamento inicial.  Hemograma com plaquetas  Anemia (consumo)  Leucocitose/leucopenia, neutrofilia com desvio Œ esquerda (infec†…o)  Plaquetopenia (altera†ˆes da coagula†…o)  Hemocultura ‚ positiva em 30 a 40% dos casos, auxiliando na terapia com antibi„tico.  Gasometria arterial e venosa: seriada para avalia†…o de acidose metab„lica e definir ventila†…o mec‡nica.  Coagulograma: Avaliar dist‰rbios da crase sangu•nea.  Bioquímica do sangue completa: Avalia†…o das fun†ˆes renais, f•gado, cora†…o.  Técnica de imagem: radiografia de t„rax e abdome, ultrassonografia, tomografia computadorizada, resson‡ncia nuclear magn‚tica, angiografia. MANEJO E TRATAMENTO A abordagem do paciente com a s•ndrome do Choque, independente de sua causa, deve visar os objetivos hemodin‡micos, de transporte de O2 e funcional dos principais „rg…os acometidos, como mostra a tabela a seguir: Hemodinâmico Transporte de O2 Função dos orgãos PAM= 60 – 90 mmHg Hb> 10g/dL Lactato < 2,0 Mm/L PCP= 15 – 18 mmHg SaO2> 92% D‚bito urinƒrio > 30 mL/h PVC= 8 – 12 mmHg VPPI= 12 – 15 mmHg SvO2 > 70% N•vel de consci€ncia (l‰cido e orientado) DC= 2 – 4 L/min/m2 Melhora da fun†…o renal e hepƒtica O tratamento inicial, na maioria das vezes, independe da causa primƒria, pois o objetivo inicial ‚ o de reestabelecer o DC e o transporte de oxig€nio para atender as demandas metab„licas.  Š necessƒrio a†ˆes para: 1) garantir a via a‚rea e ventila†…o/oxigena†…o; 2) recupera†…o hemodin‡mica rƒpida com reposi†…o volum‚trica para restaurar a perfus…o tecidual; 3) revers…o rƒpida da hipotens…o ap„s reanima†…o vol€mica com vasopressores.  Identificar e tratar a causa bƒsica do choque: 1) antibi„ticos para choque s‚ptico; 2) controlar e corrigir hemorragia no choque hipovol€mico; 3) trombol•ticos no choque cardiog€nico por infarto agudo do miocƒrdio. Nos pacientes graves, sob suspeita ou ainda em situa†…o de risco de desenvolver choque, ‚ indicado a monitoriza†…o cl•nica frequente, m‚dica e de enfermagem, associada Œ saturimetria e eletrocardiograma (ECG). De inicio, ainda na sala de emerg€ncia m‚dica, ‚ de extrema import‡ncia a ado†…o de medidas de suporte que atuem no sentido de corrigir as defici€ncias hemodin‡micas, de transporte de oxig€nio e funcional dos „rg…os.
  • 51.
    Arlindo Ugulino Netto– MEDICINA DE URG•NCIA – MEDICINA P8 – 2011.1 51 Todo o paciente com choque deve ser tratado em centro de tratamento intensivo, mas enquanto n…o ‚ transferido para uma CTI, todos os cuidados e as medidas de emerg€ncia devem ser tomados ainda na enfermaria ou sala de emerg€ncia pelo m‚dico assistente. Os pacientes muito graves precisam ser estabilizados antes do transporte: reanima†…o volum‚trica, sustenta†…o inotr„pica, corre†…o da acidose e, se necessƒrio, seda†…o, intuba†…o para ventila†…o, oxigena†…o adequada. Transportar antes de estabilizar ‚ errado e significa alto risco de parada cardiorrespirat„ria durante o trajeto para a CTI. Portanto, o tratamento inicial ‚ independente da causa do choque, objetivando a recupera†…o do d‚bito card•aco normal ou suficiente para atender Œs demandas do momento e maximizar o transporte de oxig€nio aos tecidos. A prioridade primeira no choque, uma vez garantidos a via a‚rea e a ventila†…o/oxigena†…o adequadas, ‚ a recupera†…o hemodin‡mica rƒpida que, quase sempre, come†a por reposi†…o rƒpida de volume. Se existe hipotens…o, esta deve ser revertida rapidamente. Paralelamente, ‚ importante tratar a causa bƒsica assim que ela for identificada como, por exemplo, instituir antibi„ticos no choque s‚ptico, ou ainda, interromper hemorragia no choque hipovol€mico. Como exce†…o, o tratamento inicial deve ser dirigido para as ocasiˆes do choque em que as principais causas s…o taquiarritmia ou choque anafilƒtico. O aumento do d‚bito card•aco ‚ obtido por a†ˆes sobre a pr‚-carga (reposi†…o de volume), contratilidade (oxigena†…o, ventila†…o, drogas inotr„picas, corre†…o da acidose) e p„s-carga, al‚m da frequ€ncia card•aca (nos casos de BAV ou taquiarritmias). As medidas gerais na emerg€ncia s…o:  Administrar oxig€nio e assegurar via ƒrea e ventila†…o adequadas  Estabelecer acesso vascular  Fornecer volume para expans…o  Monitorizar oxigena†…o, FC e d‚bito urinƒrio  Considerar infus…o de drogas vasoativas VIA AÉREA Seguindo o que foi descrito no ATLS, a via a‚rea ‚ a que tem prioridade em rela†…o aos demais pontos de observa†…o em indiv•duos com graves situa†ˆes cl•nicas. Nesta etapa, a via a‚rea deve ser mantida p‚rvia, para uma manuten†…o do fluxo de ar entre o meio externo e os pulmˆes. Caso se tenha sinais de obstru†…o (secre†…o, sangue, corpo estranho, compress…o extr•nseca), o correto ‚ posicionar, aspirar, garantir vias a‚reas livres com c‡nula orofar•ngea ou nasofar•ngea e, caso necessƒrio, intubar para garantir via a‚rea e ventila†…o e oxigena†…o estƒveis. A intuba†…o ‚ indicada nos pacientes instƒveis, quadro respirat„rio deteriorando ou com repercuss…o sobre o sistema nervoso central, com obnubila†…o e coma. Do mesmo modo que a via a‚rea deve ser mantida livre de res•duos que a obstruam, todo paciente chocado deve receber oxig€nio na maior concentra†…o, a 100% se poss•vel, para corrigir ou evitar a hipoxemia e maximizar o transporte de oxig€nio. N…o se economiza oxig€nio no choque no intuito de manter a satura†…o entre 95 e 100% e uma PO2 acima de 65-70 mmHg. ACESSO VENOSO O acesso venoso de urg€ncia deve ser providenciado rapidamente, pois, Œ medida que o tempo passa, a venoconstric†…o vai se agravando e dificultando o acesso. A proposta atual do ATLS ‚ a obten†…o de dois acessos perif‚ricos calibrosos (gelco 12-14) e, caso n…o se consiga, o passo seguinte ‚ o acesso central (de prefer€ncia, a veia jugular) por via transcut‡nea, utilizando a t‚cnica de Seldinger. Em crian†as, ao inv‚s de acesso venoso pode-se fazer o acesso intra-„sseo. Eventualmente, o acesso transcut‡neo central n…o ‚ obtido facilmente e, nestas ocasiˆes, faz-se a dissec†…o de veia perif‚rica (safena em regi…o maleolar, ou bas•lica no bra†o). A pun†…o da veia jugular ‚ ideal para abordagem dos pacientes graves, por ser adequada para reposi†…o rƒpida de solu†ˆes, para coleta de sangue e para monitoriza†…o da press…o venosa central. REANIMAÇÃO VOLUMÉTRICA A reposi†…o rƒpida de volume geralmente ‚ feita com soro fisiológico puro ou Ringer-Lactato. O volume m‚dio necessƒrio ‚ de 50 a 60 mL/kg em cerca de 2 horas. No choque hipovol€mico grave, a reposi†…o ainda deve ser o mais rƒpida poss•vel. Na prƒtica, ap„s o diagn„stico cl•nico de choque n…o-cardiog€nico, inicia-se a reanima†…o volum‚trica com a prescri†…o de 2 litros de soro fisiol„gico ou Ringer-Lactato em um curto per•odo de tempo. Muitos m‚dicos utilizam o termo “correr rƒpido” como sinon•mia para infus…o de l•quido em curto per•odo de tempo. Caso o diagn„stico ainda seja mal definido e o paciente se encontre hipotenso, pode-se fazer um teste com infus…o de 500 a 1000 mL de cristal„ides e, caso o paciente permane†a hipotenso, deve-se iniciar a administra†…o de aminas pressoras enquanto continua a busca da causa. Durante a reanima†…o volum‚trica, o paciente deve ser reavaliado clinicamente em intervalos de 15 minutos (melhora hemodin‡mica, diurese, volume urinƒrio, turg€ncia jugular, veias perif‚ricas, PVC, frequ€ncia card•aca, evolu†…o da press…o arterial, sinais de congest…o ou persist€ncia dos sinais de choque e volume urinƒrio. O choque, independentemente de sua causa, possui um modelo fisiopatol„gico bem desenvolvido, que inclui os seguintes fatores que, quando n…o revertidos, evoluem para uma hip„xia tecidual severa e fal€ncia org‡nica de m‰ltiplos sistemas (da• a import‡ncia da reanima†…o volum‚trica):
  • 52.
    Arlindo Ugulino Netto– MEDICINA DE URG•NCIA – MEDICINA P8 – 2011.1 52 1. Queda abrupta do débito cardíaco (DC= Vs x FC) 2. Má perfusão tissular periférica 3. Insuficiência circulatória CristalŠides. A rigor, a administração de cristalóides é sinonímia para administração de Ringer-Lactato ou soro fisiológico. Geralmente, deixamos correr 30 mL/kg de peso em 2 horas. Na prática, como muitas vezes não sabemos o peso do individuo, ou até mesmo, ocorre um acumulo de líquidos intenso no espaço intersticial, administra-se soro fisiológico a 0,9% em um volume de 2.000 mL, por infusão rápida (em 30 minutos) pelo acesso venoso. Durante o intercurso de administração, o médico deve, obrigatoriamente, reavaliar de 15 em 15 minutos as funções de pressão arterial, FC, PVC, volume urinário, nível de consciência. Devendo, portanto, manter a reposição volêmica seriada até que se restaure a perfusão periférica e se tenha um bom débito urinário. A interrupção da reposição é regra, quando se observa:  Estertores de bases  Turgência jugular  Terceira bulha  Hepatomegalia  PVC  Enchimento capilar ungueal  Diurese horária e/ou abundante ColŠides. O uso de coloides, tal como a albumina a 20% (100 mL de albumina a 20%, diluída em 300 mL de soro), é reservada para situações muito específicas, por ser uma alternativa cara e ainda não mostrar, em evidencias cientificas, superioridade sobre os cristaloides. Os coloides são representados por elementos derivados do plasma humano (albumina e PFC) e sintéticos (gelatinas, dextranas, hidro-etil-amido). São, no geral, substâncias de alto peso molecular, que não se difundem através das membranas capilares. Funcionam aumentando a pressão oncótica do plasma e, ao mesmo tempo, diminuindo o fluído do interstício, produzindo uma expansão do volume intravascular. Alguns autores ainda intitulam que o uso de colóides se relaciona com o risco de induzir anafilaxia e coagulopatias. A principal indicação de coloides é a situação de hipovolemia com edema intersticial intenso. Nesta ocasião, além da administração de coloides, concomitantemente, também se faz necessário infundir diuréticos.  Dextran“ (peso molecular de 40.000) é uma boa opção para reposição de volume intravascular quando se suspeita de agregação de células sanguíneas. Deve ser evitado quando ainda se tem risco de sangramento.  O Haemaccel“ (substutivo sanguíneo para reposição de volume à base de polipeptídeos de gelatina bovina) tem as mesmas indicações que o plasma, porém, seu os seus efeitos colaterais. OBS 2 : A terapêutica com os coloides aumenta a pressão coloidosmótica, enquanto que os cristaloides diminuem. Entretanto, a superioridade dos coloides na reposição volêmica do choque hemorrágico continua não tendo provas convincentes. Sangue. A reposição com sangue total ou concentrado de hemácias está indicada no choque hemorr‡gico, mas também nos casos de choque de outras etiologias em que a hemoglobina est‡ abaixo de 8g/dL (HTc abaixo de 20 ou 25%). Em idosos com aterosclerose e pacientes com disfunção respiratória ou miocárdica graves é prudente manter Hb > 10g/dL e hematócrito acima de 30%. A reposição deve basear-se na estimativa da perda do volume sanguíneo proposto pela ATLS. Perda sangu•nea estimada em hemorragias e traumas – Sistematiza‚ƒo do ATLS D‹ficit estimado Pressƒo arterial Pulso Recolora‚ƒo Respira‚ƒo Vol. urin‡rio Outros Ate 15% Normal 10 a 20% Normal Normal Normal Ansiedade leve 20 - 25% Sistólica e diferencial diminuem Acima de 150 bpm Prolongada 35 a 40 > 1ml/kg/h Hipotensão postural 30 - 35% Sistólica e diferencial diminuem Acima de 150 bpm, fino Prolongada 35 a 40 < 1ml/kg/h Letargia, vômitos, extremidades frias 40 - 50% Sistólica e diferencial diminuem Não palpável Prolongada 35 a 40 << 1ml/kg/h Obnubilado ou comatoso
  • 53.
    Arlindo Ugulino Netto– MEDICINA DE URG•NCIA – MEDICINA P8 – 2011.1 53 Assim, um paciente de 40 kg de peso, com perda estimada de 20 a 25% da volemia (volemia normal = 80 mL de sangue/kg de peso) a perda estimada ‚ de 640 (0,20 x 80 x 40= 640) a 800 mL (0,25 x 80 x 40= 800). Quando se repˆe perda sangu•nea com cristaloide, usa-se um volume tr€s vezes maior. Assim, no caso exemplificado acima, seria usado um volume de cerca de 2000 mL de Ringer-Lactato (preferencialmente) ou soro fisiol„gico para correr em 20 a 30 minutos, at‚ que esteja dispon•vel sangue tipado ou O negativo. O objetivo deve ser de manter o hemat„crito acima de 30% e cada unidade de sangue aumenta o hemat„crito em cerca de 3%. A albumina nunca deve ser utilizada em choque hemorrƒgico. Nos casos graves, com pacientes ag•nicos, vƒrios acessos venosos centrais s…o obtidos simultaneamente para infus…o de Ringer ou sangue (grupo O Rh negativo) em grandes volumes, em poucos minutos. Existem equipamentos pr„prios para a sala de politraumatizados graves, que aquecem e infundem sangue sobre press…o e em alta velocidade. Idealmente, geladeiras com estoque de sangue O negativo devem ficar dentro dessas salas de atendimento de trauma grave para uso imediato. Deve-se repor 1 grama de cƒlcio EV para cada litro de sangue infundido ou para manter o cƒlcio i•nico acima de 1,15 mmol/L. A utiliza†…o de concentrado de hemácias deve seguir de acordo com os achados cl•nicos e o hemat„crito. Na hipovolemia por hemorragia n…o controlada (trauma) o sangue deve suceder os cristaloides. Portanto, sua principal fun†…o ‚ a de aumentar o transporte de oxig€nio em pacientes com reduzida massa eritrocitƒria. O plasma fresco ‚ um excelente expansor plasmƒtico, cujo HTo mostre hemoconcentra†…o. Possui uma quantidade razoƒvel de fatores de coagula†…o, por‚m, possui riscos (HIV, hepatite). OBS 3 : A seguinte tabela define as necessidades de cristaloides e/ou sangue: Classe I Classe II Classe III Classe IV Perda Sanguínea (ml) At‚ 750 750-1500 1500-2000 > 2000 Perda Sanguínea (% VS) At‚ 15% 15-30% 30-40% > 40% Frequência de pulso < 100 > 100 > 120 >140 PA N N ↓ ↓ Pressão de pulso (mmHg) N ou ↑ ↓ ↓ ↓ FR 14-20 20-30 30-40 >35 Diurese (ml/h) > 30 20-30 5-15 Desprez•vel Estado mental /SNC Levemente ansioso Moderado ansioso Ansioso, confuso Confuso, letƒrgico Reposição volêmica Cristaloide Cristaloide Cristaloide sangue Cristaloide e sangue DROGAS VASOATIVAS/DROGAS INOTRÓPICAS Na maioria das vezes, a reposi†…o vol€mica, oxigena†…o e ventila†…o adequadas s…o feitas antes do suporte inotr„pico ou press„rico com uso de aminas (suporte farmacol„gico) que s„ deve ser iniciado se n…o houver resposta satisfat„ria com a reposi†…o volum‚trica. No choque hipovol€mico hemorrƒgico, geralmente n…o ‚ necessƒrio utilizar aminas, bastando a reanima†…o volum‚trica e a reposi†…o de sangue. Entretanto, nos casos com grandes perdas, quando n…o se consegue que a infus…o rƒpida de volume seja suficiente para estabilizar a press…o arterial, pode ser necessƒria a infus…o paralela de noradrenalina, adrenalina ou dopamina em dose alta para conseguir manter uma press…o arterial adequada (PAM > 65mmHg) e, no paciente com hemodin‡mica monitorizada, um •ndice card•aco (IC) acima de 4 – 4,5L/minuto/m 2 e uma DO2 acima de 550 mL/minuto ou VO2 acima de 150 mL/minuto/ m 2 .  Dopamina: Somente ‚ indicada se a press…o arterial m‚dia (PAM) e IC estiverem baixas (PAM < 60 mmHg e IC < 3,58) ap„s a reanima†…o volum‚trica. Geralmente, ‚ usada diluindo-se uma ampola de 10 mL com 5mg/mL em 240 mL, o que dƒ uma solu†…o de 250 mL com 200 microgramas/mL ou por gota. Com essa dilui†…o, a infus…o corre numa velocidade correspondente ao peso do paciente em gotas por minuto (exemplo, 60
  • 54.
    Arlindo Ugulino Netto– MEDICINA DE URG•NCIA – MEDICINA P8 – 2011.1 54 gotas/minuto em um paciente de 60 kg) corresponde a infusão de 10 microgramas/kg/minuto. A dopamina é útil no choque em três níveis:  Dose alta (10 a 20 microgramas/kg/min): Tem efeito vasopressor, sustentando a pressão arterial nos casos de choque grave e descompensado. É alfa-agonista.  Dose intermediária (5 a 10 microgramas/kg/min): A droga tem efeitos inotrópicos semelhantes à dobutamina. Aumenta o débito cardíaco no choque cardiogênico ou séptico leve a moderado. É beta e alfa- agonista.  Dose baixa (2 a 5 microgramas/kg/min): Melhora a perfusão renal e a diurese (efeito dopaminérgico, com vasodilatação esplâncnica e aumento do fluxo renal em 50%). Na prática, a função renal praticamente não melhora com a utilização de dopamina na dose declarada acima. Essa dose não deve ser utilizada na sepse.  Noradrenalina: a noradrenalina (norepinefrina) em infusão contínua deve ser usada nos casos de choque com hipotensão persistente, mesmo após uma adequada ressuscitação volumétrica, sobretudo quando persiste hipotensão (PAM < 60 mmHg) mas o débito cardíaco é normal (IC acima de 4 a 4,5 L/minuto/m 2 ), não requerendo o suporte inotrópico. A infusão contínua de noradrenalina deve ser titulada para manter uma PAM acima de 65 mmHg e uma IRVS abaixo de 800-1100 dinas.s.cm -5 .m 2 , para evitar vasoconstricção excessiva. O efeito farmacológico da noradrenalina é a vasoconstricção com aumento da RVS (e PA) sem aumento significativo do DC, por atuarem nos receptores alfa. Alguns autores defendem que, nos casos graves de choque, sobretudo no choque séptico com evolução rápida, a noradrenalina deve ser usada como primeira escolha mesmo que não se tenha a monitorização do débito cardíaco, mas não há consenso sobre a superioridade da noradrenalina/adrenalina sobre a dopamina em dose alta. A infusão entre 0,05 e 1 mcg/kg/min para manter uma PAM acima de 65 mmHg deve ser realizada. No choque anafilático, a adrenalina é a droga de escolha.  Dobutamina: é indicada quando a disfunção miocárdica é a causa primária do choque cardiogênico ou em estados de baixo débito cardíaco, como miocardite, miocardiopatia e infarto do miocárdio. Caso a PA esteja adequado, pode ser combinada com vasodilatador para reduzir a pós-carga. A dose de 10 a 15 mcg/kg/minuto é usada nos casos em que apesar da reposição volêmica, persistem os sinais de hipoperfusão periférica. MEDIDAS ESPECÍFICAS  Combate ao fator etiológico  Combate às hemorragias  Controle da infecção (antibioticoterapia ou erradicar foco infeccioso)  Combate à desidratação  Hiperemese  Diarréia  Combate às afecções cardiológicas  Combate aos distúrbios do tônus vascular, com drogas vasoconstrictoras (noradrenalina, dopamina, etc) CHOQUE HIPOVOL•MICO O choque hipovolêmico é definido como uma situação de extrema emergência médica onde se tem uma perda de grande quantidade de sangue ou fluidos com brusca redução do volume circulante efetivo. CAUSAS O choque hipovolêmico não somente ocorre por causas hemorrágicas (politraumatizado, violência urbana, acidentes de trânsito), mas também por etiologia não-hemorrágica, em destaque:  Perda de líquidos e eletrólitos por vômito;  Desidratação;  Sequestro de líquidos e edema. FISIOPATOLOGIA O choque hipovolêmico ocorre quando há perda de sangue acima de 40% de todo o volume circulante, caracterizando um quadro de alterações hemodinâmicas, destacando-se:  Redução das pressões de enchimento (PVC, PCP)  Redução do volume sistólico  Redução do débito cardíaco  Redução da oferta de oxigênio aos tecidos (DO2)  Acidose láctica  A deficiência de perfusão promoverá uma hipóxia celular e, consequentemente, alterações funcionais nas células até a sua total apoptose.
  • 55.
    Arlindo Ugulino Netto– MEDICINA DE URG•NCIA – MEDICINA P8 – 2011.1 55 MECANISMOS REFLEXOS COMPENSATÓRIOS A hipotensão é a chave que desencadeia todos os mecanismos reflexos diante do quadro emergencial do choque hipovolêmico. No fim das contas, a compensação, que é um fenômeno que exige uma integração de vários compartimentos orgânicos, leva a elevação da pressão arterial, preservação da volemia e aumento do desempenho cardíaco. O mecanismo compensatório, também denominado de resposta neuroendócrina, determina uma série de alterações orgânicas com a finalidade de manter uma pressão de perfusão aceitável para as trocas teciduais.  Diminuição do efeito parassimpático: Como sabemos, nos vasos, o estímulo parassimpático induz a uma vasodilatação, que é interrompida durante o choque. No músculo cardíaco, a estimulação da atividade inotrópica e cronotrópica é função do sistema nervoso autônomo simpático, inibindo a sua depressão pelo parassimpático.  Exacerbação do efeito simpático: No coração, aumenta a atividade inotrópica e cronotrópica positiva e, nos vasos sanguíneos, uma vasoconstricção.  Liberação de ACTH e ADH pela hipófise: A vasopressina (ADH) atua em vasos periféricos promovendo uma vasoconstricção e, nos rins, uma retenção de água. Já o ACTH atua nos receptores adrenérgicos promovendo um aumento da sensibilidade às catecolaminas.  Liberação de Noradrenalina e cortisol pelas suprarrenais: Nos vasos, ocorre ativação dos receptores alfa, promovendo aumento da resistência vascular. No coração, a ativação dos receptores beta-1 promove um aumento do inotropismo e volume sistólico.  Ativação do sistema renina-angiotensina-aldosterona: Nos vasos, os receptores AT-2 ativados determinam um aumento da resistência vascular. Nos rins, especialmente nos túbulos renais, ocorre retenção de sódio e água com aumento do volume circulante efetivo. QUADRO CLÍNICO O quadro clínico é clássico, em que o paciente já se encontra com letargia, hipotensão severa, taquicardia e anúria. Geralmente, os sinais e sintomas ocorrem quando a perda é superior a 40% da volemia circulante. É importante reconhecer o paciente hipovolêmico e corrigi-lo antes que os estágios evoluam a síndrome da falência de múltiplos órgãos. CARACTERÍSTICAS HEMODINÂMICAS  Pressões de enchimento   DC   RVS   Oferta de oxigênio   Consumo de oxigênio   Taxa de extração de oxigênio  Índice cardíaco 
  • 56.
    Arlindo Ugulino Netto– MEDICINA DE URG•NCIA – MEDICINA P8 – 2011.1 56 TRATAMENTO  Tratar a causa básica, que deve ser concomitante às medidas gerais de ressuscitação  Iniciar ABC da ressucitação  Reposição volêmica: Inicialmente, a reposição deve ser feita com cristaoides, 2.000 mL, por 30 minutos.  Reposição sanguínea: Quando a causa é hemorrágica ou, quando a hemoglobina estiver abaixo de 8 g/dL.  Uso de aminas: Após ressuscitação volumétrica, uso de drogas inotrópicas e vasopressoras para uma melhor estabilidade hemodinâmica. CHOQUE CARDIOG•NICO Todos os choques cursam com o evento fisiopatológico comum, que é a hipoperfusão tecidual, com consequente sofrimento celular. Porém, diferentemente do choque hipovolêmico, o choque cardiogênico é o que possui uma etiologia cardíaca envolvida na gênese do choque. Portanto, definimos este tipo de choque como sendo o que ocorre quando o coração é incapaz de manter débito cardíaco suficiente para manter as necessidades metabólicas do organismo. No geral, é a forma mais grave de falência, com altos índices de mortalidade, acima de 80% em alguns serviços. CAUSAS  Substâncias ou fatores que causem depressão da função miocárdica  Defeitos cardíacos estruturais  Seqüelas de grandes cirurgias ou trauma  Nos paciente politraumatizados, pode ocorrer por: IAM, ICC, arritmias, eletrocussão, acidose, etc.  Pacientes com infarto agudo do miocárdio, ocorrendo em 5 a 8% dos pacientes com supradesnivelamento do segmento ST no ECG e, em 2 a 5 % dos pacientes sem esta alteração eletrocardiográfica. QUADRO CLÍNICO  Hipotensão arterial  Queda rápida e acentuada do índice cardíaco  Oligúria  Sinais de estimulação simpática  Estase jugular/edema agudo de pulmão  Edema de membros inferiores  Alterações do nível de consciência  Dor anginosa e arritmias CARACTERÍSTICAS HEMODINÂMICAS  Pressões de enchimento   DC   RVS   Oferta de oxigênio   Consumo de oxigênio normal  Taxa de extração de oxigênio  Índice cardíaco 
  • 57.
    Arlindo Ugulino Netto– MEDICINA DE URG•NCIA – MEDICINA P8 – 2011.1 57 TRATAMENTO O tratamento diante do quadro de choque cardiogênico possui dois principais objetivos: 1) melhorar o débito cardíaco e 2) minimizar o trabalho cardíaco. Portanto, para melhorar o DC, devemos corrigir arritmias, aperfeiçoar a pré-carga, melhorar a contratilidade, reduzir a pós-carga. No intuito de minimizar o trabalho cardíaco, devemos manter a temperatura normal, sedação, intubar e ventilação mecânica, correção da anemia. CHOQUE DISTRIBUTIVO É a forma de choque causada por uma insuficiência funcional vascular (vasoplegia). Ocorre, portanto, uma diminuição do tônus vascular com redistribuição de fluxo nas vísceras. Pode ser: 1) Séptico, 2) anafilático e 3) neurogênico. O choque séptico, por exemplo, intitula uma junção entre a síndrome da resposta inflamatória sistêmica e uma infecção. Geralmente, a principal causa é a infecção por bactérias gram-negativas (70% das vezes) e, em 30%, por gram-positivas, restando poucos percentuais para a infecção fúngica. Os principais focos são: trato geniturinário, gastrointestinal e respiratório. CARACTERÍSTICAS HEMODINÂMICAS  Pressões de enchimento   DC   RVS normal ou   Oferta de oxigênio: normal ou   Consumo de oxigênio   Taxa de extração de oxigênio  TRATAMENTO  Choque séptico: reposição volumétrica, antibioticoterapia de amplo espectro precoce e uso de drogas vasoativas.  Choque neurogênico: uso de drogas vasoativas e tratamento neurocirúrgico da região acometida, se indicado.  Choque anafilático: entubação, uso de anti-histamínicos, epinefrina e, se necessário, reposição volêmica; em caso de broncoespasmo, utilizar drogas broncodilatadoras.
  • 58.
    Arlindo Ugulino Netto– MEDICINA DE URG•NCIA – MEDICINA P8 – 2011.1 58 MED RESUMOS 2011 NETTO, Arlindo Ugulino. MEDICINA DE URGÊNCIA E TERAPIA INTENSIVA SEPSE (Professor Ciro Leite Mendes) Seguindo uma linha mais básica, sepse (do grego, septikós = que causa putrefação) pode ser definida como uma infecção geral grave decorrente de uma resposta do organismo a germes patogênicos que caracteriza uma urgência médica. A sepse é considerada uma das doenças mais desafiadoras da medicina. Esforços consideráveis têm sido feitos para um melhor entendimento da inflamação sistêmica que caracteriza essa síndrome. Embora seja um assunto vasto e que levanta várias discussões, seu manejo sofreu profundas mudanças e padronizações na última década, havendo hoje inúmeras orientações com base em evidências advindas de estudos no cenário clínico. ASPECTOS EPIDEMIOL†GICOS A sepse é a causa não-coronariana mais comum de admissão em unidades de terapia intensiva (UTI). O número de casos de sepse grave relatada em casos por 100.000 habitantes varia de 38 casos na Finlândia, 51 casos na Inglaterra, 77 casos na Oceania, 81 casos nos EUA a 95 casos na França. Um estudo estimou a incidência de sepse nos Estados Unidos em 751.000 casos por ano, sendo que a idade relaciona-se diretamente com a incidência e a mortalidade: a incidência de morte aumentou mais de cem vezes com a idade. O aumento dos casos de sepse tem ocorrido de forma igualitária para ambos os sexos, mas ainda mantendo uma proporção menor em mulheres. Entretanto, de uma forma geral, a mortalidade tem decrescido consideravelmente nas últimas décadas (embora ainda mate mais que muitas doenças em foco na mídia, como a AIDS e o câncer de pulmão). Um estudo prospectivo, observacional, multicêntrico, em 206 UTI da França, que incluiu 3738 pacientes, mostrou incidência de sepse grave e choque séptico de 14.6% e mortalidade de 35% em 30 dias. Outro estudo europeu multicêntrico mostrou que nos pacientes com sepse grave e choque séptico, a mortalidade foi de 32,2 e 54,1%, respectivamente. No Brasil, estudos epidemiológicos sobre sepse são escassos. O estudo BASES (Brazilian Sepsis Epidemiogical Study), desenvolvido em cinco UTI dos estados de São Paulo e Santa Catarina, mostrou uma incidência de sepse, sepse grave e choque séptico de 46,9%, 27,3% e 23%, respectivamente. A mortalidade nestes pacientes foi 33,9%, 46,9% e 52,2%, respectivamente. OBS 1 : Não há dúvidas epidemiológicas que os casos de sepse aumentaram demasiadamente nos últimos anos (estima- se ainda que este registro só aumente e, inclusive, de forma desproporcional ao crescimento da própria população). Contudo, alguns fatores curiosos contribuíram para estes dados:
  • 59.
    Arlindo Ugulino Netto– MEDICINA DE URG•NCIA – MEDICINA P8 – 2011.1 59  Primeiramente, porque os consensos mundiais e padroniza†ˆes contribu•ram para a melhor defini†…o dos termos que envolvem a sepse, auxiliando a conceitua†…o da doen†a e o in•cio de estudos mais homog€neos quanto ao tema – antigamente, a sepse era uma entidade que respondia por vƒrios nomes (choque s‚ptico, septicemia, choque citot„xico, s•ndrome s‚ptica, etc.) e que n…o tinha os seus espectros cl•nicos bem definidos. A partir de 1991, foi criada uma nomenclatura padronizada que passou a ser utilizada universalmente, auxiliando no estabelecimento de diagn„sticos mais consistentes; consequentemente, contribuindo no maior n‰mero de diagn„sticos.  Al‚m disso, com o envelhecimento generalizado da popula†…o mundial, houve um aumento no n‰mero de casos de sepse nesta parcela emergente da popula†…o, uma vez que o idoso ‚ um indiv•duo mais predisposto a infec†ˆes. Destacamos tamb‚m o papel que os procedimentos invasivos utilizados hoje nos centros de terapia intensiva desempenham no aumento dos n‰meros de sepse.  Em associa†…o a estes dois fatores, podemos citar ainda o desenvolvimento de resist€ncia microbiana aos medicamentos, que s…o utilizados de forma inconsciente. OBS 2 : Podemos citar, portanto, os seguintes fatores que contribu•ram com o aumento das s•ndromes s‚pticas:  Aumento da sensibilidade diagn„stica;  Aumento da longevidade;  Maior incid€ncia de doen†as neoplƒsicas, metab„licas e autoimunes;  Maior utiliza†…o de fƒrmacos imunossupressores;  Maior demanda de procedimentos invasivos;  Aumento da resist€ncia microbiana aos antibi„ticos. DEFINI‚ƒES Em 1991, o American College of Chest Physicians/Society of Critical Care Medicine (ACCP/SCCM) estabeleceu o consenso que definiu e que padronizou os diversos conceitos da mesma doen†a, o que inclui:  S•ndrome da resposta inflamat„ria sist€mica (SIRS);  Sepse;  Sepse/SIRS grave;  Choque s‚ptico/SIRS;  S•ndrome da Disfun†…o de M‰ltiplos •rg…os. SÍNDROME DA RESPOSTA INFLAMATÓRIA SISTÊMICA (SRIS OU SIRS) A SIRS o termo que se utiliza atualmente para descrever uma rea†…o inflamat„ria sist€mica, ou seja, que afeta o organismo como um todo, e se desenvolve frente a diferentes tipos de agentes agressores. Ela pode ser definida pela presen†a de dois ou mais dos seguintes sinais:  Temperatura >38 o C ou <36 o C  Frequ€ncia card•aca > 90bpm  Taquipn‚ia (frequ€ncia respirat„ria > 20irpm) ou hiperventila†…o (PaCO2 < 32mmHg);  Leuc„citos > 12000 ou <4000 ou >10% de formas imaturas (bastˆes). Contudo, analisando bem estas variƒveis, nota-se que elas n…o fazem um diagn„stico espec•fico de um tipo de quadro inflamat„rio – um indiv•duo recentemente submetido a algum esfor†o f•sico pode, muito provavelmente, demonstrar estes sinais, mas n…o apresentar o diagn„stico de SIRS. Portanto, associado a estes fatores, ‚ necessƒrio um motivo real ou cab•vel para o paciente apresentar o quadro de SIRS: presença de algum fator que predisponha o paciente ao desenvolvimento de uma síndrome inflamatória sistêmica. Portanto, diante de pacientes que apresentem algum quadro m„rbido pr‚vio (interna†…o em UTI, hist„rico de grande cirurgia recente, infec†…o grave, grandes queimaduras, etc.) e curse com estes sinais, devemos sempre valorizar tal caso. SEPSE A sepse ‚ o termo que define a resposta inflamat„ria sist€mica na presença de infecção confirmada ou suspeita. Portanto, temos: Desta forma, um paciente com pancreatite aguda ou com grandes queimaduras que apresente os sinais de SRIS (mas sem infec†…o aparente), muito provavelmente, apresenta apenas um quadro clƒssico de SRIS. Contudo, estaremos diante de um quadro de sepse quando o paciente apresentar os mesmos sinais associados a um quadro sugestivo de infec†…o. OBS 3 : Como a pr„pria etimologia da palavra jƒ sugere, o termo septicemia significa a presen†a de agentes microbiol„gicos na corrente sangu•nea; e, portanto, n…o ‚ sin•nimo de sepse: cerca de 50% dos pacientes que apresentam sepse (isto ‚, pacientes que apresentem infec†…o acompanhada de sinais de SRIS) n…o apresentam nenhum tipo de germe circulando no sangue – e, desta forma, n…o cursam com septicemia.
  • 60.
    Arlindo Ugulino Netto– MEDICINA DE URG•NCIA – MEDICINA P8 – 2011.1 60 OBS 4 : Outro dado importante é que nem sempre a septicemia pode levar a sepse: estudos mostraram que boa parte das pessoas passa a apresentar uma pequena septicemia logo depois que escovam os dentes devido a microlesões da mucosa oral durante a escovação. Contudo, esta bacteremia é efêmera e passageira, sem causar, obrigatoriamente, um quadro de sepse. Portanto, embora não se possa dizer, obrigatoriamente, que a SRIS é uma fase inicial da sepse (uma vez que ela é uma condição comum a vários outros quadros que podem nem se relacionar a infecções), podemos afirmar com propriedade que a SRIS está por trás da fisiopatologia da sepse (até porque a própria definição deste quadro depende de sinais de SRIS). Contudo, embora a SRIS apresente a mesma base fisiopatológica para qualquer que seja a situação desencadeante, a inflamação sistêmica provocada pela sepse é, obrigatoriamente, promovida por um germe (bactérias, parasitas, vírus, fungos), como vimos anteriormente. SEPSE/SIRS GRAVE Subindo ainda mais em uma escala de gravidade, o termo sepse/SIRS grave define o quadro de sepse quando este está associado a alguma disfunção orgânica, hipoperfusão ou hipotensão. Note, entretanto, que a hipoperfusão e as anormalidades de perfusão podem incluir outras condições, e não estão limitadas apenas à acidose láctica, oligúria ou à alteração aguda no estado mental. Pode estar associada, portanto, a lesões cardiovasculares, quadros respiratórios, etc. Estas alterações refletem a própria fisiopatologia da doença, assim como veremos mais adiante. CHOQUE SÉPTICO/SIRS O choque séptico pode ser definido como a hipotensão induzida pela sepse/SIRS, apesar da realização da reposição volêmica (trata-se, portanto, de um diagnóstico retrospectivo). Nestes casos, o paciente apresentará, geralmente, PAS < 90mmHg ou queda acima de 40mmHg em relação aos níveis basais. DISFUNÇÃO DE MÚLTIPLOS ÓRGÃOS E SISTEMAS (DMOS) A DMOS é caracterizada pelo choque séptico associado à presença de disfunção orgânica em paciente com doença aguda, de forma que a homeostase não pode ser mantida sem que haja intervenção. Além disso, só em observar o quadro do paciente, podemos enquadrá-lo como um caso de DMOS a depender de suas necessidades (hemodiálise, reposição de fatores de coagulação, necessidade de ventilação mecânica, etc.). Na realidade, quando estudamos as disfunções orgânicas, nos referimos a, pelo menos, seis sistêmas orgânicos principais:  Sistema nervoso central: rebaixamento do nível de consciência, agitação, confusão mental ou coma.  Aparelho respiratório: dispnéia e necessidade de ventilação mecânica.  Sistema cardiovascular: hipotensão com necessidade eminente de drogas vasoativas.  Sistema hepato-esplâncnico: elevação de bilirrubinas, diminuição do nível de fatores de coagulação, elevação de transaminases, etc.  Sistema renal: oligúria, elevação de creatinina.  Sangue: distúrbios da coagulação (plaquetopenia, aumento do tempo de ativação de protrombina, sangramentos espontâneos). A presença de duas ou mais destas condições, com necessidade de intevenção médica para a manutenção da vida e da homeostasia do doente, o inclui no grupo de disfunção de múltiplos órgaos. Observando o esquema ao lado, ficam claras as principais relações da SRIS. Desta forma, um paciente pode ter bacteremia mas não ter SRIS ou sepse; assim como ele pode ser vítima de trauma, queimaduras, pancreatite e não ter SRIS. Contudo, se ele tem sepse, necessariamente, ele tem SRIS.
  • 61.
    Arlindo Ugulino Netto– MEDICINA DE URG•NCIA – MEDICINA P8 – 2011.1 61 FISIOPATOLOGIA A sepse resulta de uma complexa interação entre o microorganismo infectante e a resposta imune, pró- inflamatória e pró-coagulante do hospedeiro. Em outras palavras, existe por trás da sepse um processo inflamatório sistêmico e generalizado em resposta a um agente agressor. A resposta do hospedeiro e as características do organismo infectante são as principais variáveis fisiopatológicas da sepse. Dessa maneira, ocorre progressão da sepse quando o hospedeiro não consegue conter a infecção primária por resistência à opsonização, à fagocitose, a antibióticos e presença de superantígenos.
  • 62.
    Arlindo Ugulino Netto– MEDICINA DE URG•NCIA – MEDICINA P8 – 2011.1 62 Em resumo, a sepse ‚ decorrente de uma resposta inflamat„ria exagerada n…o balanceada adequadamente pelo organismo e, portanto, diz-se que “somos v•timas do nosso pr„prio rem‚dio”, uma vez que a inflama†…o (quando bem intermediada) funciona como um fator protetor do nosso organismo. Como se sabe, mediante a algum est•mulo nocivo espec•fico, o organismo monta uma reposta mediada por diversos fatores composta por c‚lulas de defesa e subst‡ncias que, entre outros eventos, promovem vasodilatação para facilitar a chegada das c‚lulas imunol„gicas. Al‚m da vasodilata†…o, ocorre aumento da permeabilidade capilar para que estas c‚lulas deixem a circula†…o e ganhem o interst•cio (para facilitar o livre fluxo destas c‚lulas entre os compartimentos org‡nicos). Concomitantemente, ocorre mobiliza†…o de certas subst‡ncias reparadoras de tecido e componentes de coagula†…o sangu•nea (plaquetas, c‚lulas endoteliais e fatores de coagula†…o). O endot‚lio, revestimento interno dos vasos, em condi†ˆes normais, ‚ responsƒvel por manter um fluxo sangu•neo adequado. Contudo, quando o endot‚lio ‚ ativado ou agredido durante o processo inflamat„rio, ele deixa de atuar como uma superf•cie in„cua (pr„-fibrinol•tica) e passa a agir como um agente trombog€nico (anti-fibrinol•tica), contribuindo na promo†…o da coagula†…o sangu•nea (promovendo, em ‰ltima inst‡ncia, hipoperfusão tecidual ). Quando este evento ocorre de forma localizada e autolimitada, os preju•zos s…o m•nimos, caracterizando um processo benigno que tem a finalidade de cura. Contudo, determinadas situa†ˆes podem disseminar estas altera†ˆes inflamat„rias, avan†ando por todo organismo – caracterizando um fen•meno mal‚fico, que caracteriza a SRIS, agredindo o organismo mais do que o agente agressor inicial (quando este agente agressor ‚ um germe, caracteriza a sepse). Portanto, o que caracteriza a SRIS ‚ o aumento exagerado da inflama†…o generalizada em resposta a um agente nocivo, associado a uma ativa†…o do sistema de coagula†…o (com quebra da fibrin„lise) e a uma disfun†…o endotelial (que passa a atuar como uma superf•cie pr„-tromb„tica e antifibrinol•tica). Desta forma ocorre oclus…o disseminada de vasos (em especial, os capilares, que s…o bem mais numerosos e importantes, do ponto de vista tecidual) e queda na oferta de oxig€nio (hip„xia). Quando este agente nocivo ‚ um germe, temos um quadro de sepse. Logicamente, o organismo tamb‚m lan†a m…o de mecanismos anti-inflamat„rios que lutam contra a SRIS. O balan†o entre essas duas respostas determinam a evolu†…o do paciente. Neste momento, faremos uma abordagem mais detalhada da fisiopatologia que foi resumida at‚ aqui. RESPOSTA IMUNE E INFLAMATÓRIA A resposta imune inata ‚ responsƒvel pelo processo inflamat„rio inicial na sepse. Ela ‚ mediada pelos receptores de reconhecimento padr…o, como os receptores Toll-like (TLR) e o CD14 , que reconhecem os pat„genos ou seus produtos, identificados como PAMPs (padrˆes moleculares associados a pat„genos – pathogen-associated molecular patterns). Os TLR-2 reconhecem, ent…o, os peptideoglicanos das bact‚rias Gram-positivas, enquanto os lipopolissacar•deos (LPS) das Gram-negativas (principais causadoras da sepse) s…o reconhecidos pelos TLR-4. Uma vez ativados, os TLRs desencadeiam uma cascata de eventos intracelulares que culmina com a transloca†…o nuclear do NF-kB, um fator de transcri†…o que promove a express…o g€nica de mol‚culas pr„-inflamat„rias, como fator de necrose tumoral alfa (TNF-α) e interleucina-1 beta (IL-1β) e tamb‚m citocinas anti-inflamat„rias como interleucina 10 (IL-10). O TNF-α e IL-1β ativam a resposta imune adaptativa que ‚ responsƒvel pela amplifica†…o da imunidade inata. Esta caracteriza-se pela ativa†…o das c‚lulas B que liberam imunoglobulinas facilitadoras da apresenta†…o de ant•genos
  • 63.
    Arlindo Ugulino Netto– MEDICINA DE URG•NCIA – MEDICINA P8 – 2011.1 63 para as c‚lulas fagocitƒrias. Contrabalan†ando esse mecanismo, as c‚lulas T helper tipo 2 (Th2) secretam interleucinas anti-inflamat„rias (IL-4, IL-10). Embora os neutr„filos ativados destruam microorganismos, eles tamb‚m causam aumento da permeabilidade vascular, ocasionando edema tecidual e hipovolemia. Al‚m disso, as c‚lulas endoteliais ativadas liberam „xido n•trico, um potente vasodilatador que tem papel fundamental na patog€nese do choque s‚ptico por promover vasodilatação e hipotensão. A ativa†…o dos mon„citos e macr„fagos e a intensa a†…o dos mediadores iniciais acarretam a s•ntese de outras citocinas, como IL-6, IL-8, IL-10 e HMGB1 (high mobility group protein box 1). A secre†…o de IL-6 leva Œ reprograma†…o da express…o g€nica hepƒtica, a chamada “resposta de fase aguda”, caracterizada pela produ†…o de prote•nas de fase aguda como a prote•na C reativa e a supress…o das prote•nas negativas de fase aguda, como a albumina. CASCATA DA COAGULAÇÃO Al‚m da inflama†…o, os germes tamb‚m ativam a cascata da coagula†…o, com aumento dos fatores pr„- coagulantes e redu†…o dos anticoagulantes. A coagula†…o ‚ iniciada atrav‚s da express…o do fator tecidual (FT) na superf•cie das c‚lulas endoteliais e mon„citos, um evento que pode ser desencadeado por produtos bacterianos como endotoxinas. O LPS estimula as c‚lulas endoteliais a produzir o FT, o qual na superf•cie celular ativa o fator VII, resultando no complexo fator VIIa e FT que converte o fator X em Xa. Em conjunto com o fator Va, o fator Xa converte a protrombina em trombina, o que por sua vez resulta na clivagem do fibrinog€nio em fibrina. Embora a deposi†…o de fibrina tenha papel importante na homeostasia e na localiza†…o de micro-organismos, a coagula†…o intravascular impede a chegada de oxigênio aos tecidos e pode induzir nova lesão inflamatória. Por sua vez, o receptor da trombina ativa o NFκB, acarretando a transcri†…o de genes de mediadores inflamat„rios e s•ntese de „xido n•trico. Na sepse, o LPS e o TNF-α diminuem a s•ntese de trombomodulina e o receptor endotelial da prote•na C, impedindo a ativa†…o da prote•na C e aumentando a s•ntese do inibidor do ativador do plasminog€nio 1 (PAI-1), em ‰ltima inst‡ncia interrompendo a fibrin„lise. METABOLISMO CELULAR E MECANISMOS DE DISFUNÇÃO ORGÂNICA Na sepse ocorrem altera†ˆes do metabolismo celular que afetam o metabolismo lip•dico, dos carboidratos e prote•nas. A oferta inadequada de oxig€nio aos tecidos em decorr€ncia da queda do fluxo sangu•neo nos capilares e da redu†…o do d‚bito card•aco contribui para o aumento do metabolismo anaer„bico e a hiperlactatemia. Entretanto, mesmo na presen†a de uma oferta adequada de oxig€nio, podem ocorrer extra†…o e utiliza†…o ineficaz de oxig€nio a n•vel mitocondrial (hibernação celular). Uma das principais consequ€ncias da disfun†…o mitocondrial ‚ a redu†…o na produ†…o de ATP. Os mecanismos precisos que levam Œ disfun†…o de „rg…os na sepse n…o est…o completamente elucidados. Independentemente das altera†ˆes na oferta de oxig€nio e substratos, as c‚lulas podem reagir Œ agress…o s‚ptica modificando seu comportamento, fun†…o e atividade. Entre os mecanismos sist€micos destacam-se as altera†ˆes na fun†…o vascular e do metabolismo da glicose. A fun†…o vascular ‚ afetada pela combina†…o de in‰meros fatores, como hipovolemia e vasoplegia. Entre os fatores implicados nesse processo est…o: produ†…o excessiva de „xido n•trico, ativa†…o dos canais de potƒssio e altera†ˆes nos n•veis de horm•nios, como o cortisol e a vasopressina. O sistema cardiovascular ‚ um dos mais afetados pela resposta que ocorre na sepse grave e no choque s‚ptico. Š sabido, desde a d‚cada de 80, que na sepse ocorre depress…o da fun†…o miocƒrdica. Essa disfun†…o miocƒrdica ‚ consequ€ncia de m‰ltiplas altera†ˆes celulares. Os pulmões s…o envolvidos precocemente no processo inflamat„rio que ocorre na sepse. A les…o pulmonar aguda caracteriza-se por ativa†…o dos neutr„filos, edema intersticial, perda do surfactante pulmonar e exsudato alveolar rico em fibrina. Estas altera†ˆes podem ser agravadas por uma t‚cnica ventilat„ria inadequada, Œs custas de altas pressˆes nas vias a‚reas e pela toxicidade do oxig€nio. O cérebro ‚ sens•vel Œ presen†a dos microorganismos e Œ inflama†…o atrav‚s de diferentes mecanismos. Os pacientes com sepse podem apresentar agita†…o, confus…o mental ou coma. Em estudos de aut„psia, vƒrios tipos de les…o cerebral s…o encontrados, como isquemia, hemorragia ou microabcessos. O sistema hepato-esplâncnico pode ser afetado diretamente e, assim como o c‚rebro e pulmˆes, pode afetar outros sistemas Œ dist‡ncia. Os achados cl•nicos de disfun†…o hepƒtica ocorrem tardiamente na sepse e, quando presentes s…o indicativos de mau progn„stico. O rim ‚ particularmente sens•vel Œ les…o induzida por citocinas. A ativa†…o da cascata da coagula†…o, com a subsequente deposi†…o de fibrina, tamb‚m pode estar implicada na disfun†…o renal induzida pela sepse. IMUNUSSUPRESSÃO NO CURSO DA SEPSE Tardiamente no curso da sepse, ocorre uma fase de imunossupress…o, que pode ser sequela da anergia, linfopenia, hipotermia e infec†ˆes nosocomiais. Os linf„citos de pacientes neste estƒgio da sepse expressam uma quantidade menor de citocinas pr„-inflamat„rias do que os linf„citos de indiv•duos saudƒveis. Al‚m disso, ocorre aumento da apoptose dos linf„citos circulantes e das c‚lulas dendr•ticas espl€nicas em pacientes que morrem por sepse.
  • 64.
    Arlindo Ugulino Netto– MEDICINA DE URG•NCIA – MEDICINA P8 – 2011.1 64 CONSEQU•NCIAS MICROSC†PICAS DA SEPSE Analisando a fisiopatologia da doen†a, devemos tomar conta que a sepse é uma doença da microcirculação, uma vez que os principais eventos fisiopatol„gicos da mesma ocorrem em n•vel capilar. Isso porque (como vimos anteriormente) ocorre uma desnudação e disfunção endotelial importantes na sepse grave (sendo este talvez o grande problema fisiopatol„gico da sepse). As consequ€ncias deste evento s…o:  Tend€ncia pr„-tromb„tica e antifibrinol•tica;  Ades…o plaquetƒria e leucocitƒria;  Inibi†…o da vasodilata†…o e, em um segundo momento, libera†…o de „xido n•trico e vasodilata†…o generalizada;  Comprometimento do recrutamento vascular frente Œ hip„xia. Al‚m destes eventos endoteliais, ocorre diminuição da deformabilidade das hemácias (geralmente decorrente de acidose, hipotermia, mudan†as na geometria das hemƒcias, etc.), o que dificulta a passagem destas c‚lulas na luz dos microcapilares (uma vez que a forma bic•ncava das hemƒcias, al‚m de aumentar a superf•cie da c‚lula, auxilia na sua condu†…o ao longo do fluxo sangu•neo) e, consequentemente, ocorre: hem„lise; forma†…o de “rolhas” e “lama” intravascular; shunts arteriovenosos (caracterizados pela forma†…o de micro-neovasos que ligam, diretamente, os capilares Œs v€nulas). Associado a isso, disfun†ˆes mitocondriais (vistas anteriormente como hibernação celular) dificultam a utiliza†…o de oxig€nio. Estes fatores fazem com que a satura†…o venosa de O2 na sepse esteja alta. Ocorre ainda na sepse, como um evento microsc„pio (mas que repercute macroscopicamente), a formação de edema em diversos „rg…os (pulmˆes, rins, pele, m‰sculos, cora†…o e c‚rebro) – o que favorece, em parte, a disfun†…o de m‰ltiplos „rg…os. As principais causas da forma†…o de edema s…o: escape de prote•nas; separa†…o das tights junctions entre as c‚lulas endoteliais; disfun†…o endotelial; libera†…o de agentes vasoativos; regula†…o prejudicada do volume das c‚lulas endoteliais; presen†a de neutr„filos circulantes. As consequ€ncias mais importantes de todo este mecanismos s…o: heterogeneidade no fluxo sanguíneo microvascular e a hipóxia regional decorrentes da SRIS. Portanto, a SRIS, assim como a sepse, impˆe, em n•vel dos tecidos, dificuldades na extra†…o de O2 (DO2) ou mƒ distribui†…o do fluxo sangu•neo, promovendo hip„xia tissular e, consequentemente, disfun†…o m‰ltipla de „rg…os. OBS5 : Outro componente muito importante na disfun†…o org‡nica e na perpetua†…o da resposta inflamat„ria sist€mica ‚ o papel da hipoperfus…o da mucosa intestinal. Como se sabe, a mucosa intestinal ‚ representada por uma fina camada de c‚lulas (irrigada por pequenas arter•olas) que separa todo o conte‰do intestinal (fezes e produtos bacterianos) da corrente sangu•nea. O acometimento desta arter•ola (e, consequentemente, da mucosa intestinal) predispˆe Œ transloca†…o bacteriana. Portanto, a cascata de eventos fisiopatológicos desencadeados pela hipoperfusão tissular em nível intestinal pode ser resumida da seguinte forma: Perfus…o gastrointestinal reduzida  Isquemia da mucosa  Comprometimento da integridade da mucosa  Defeito na fun†…o da barreira intestinal  Transloca†…o bacteriana  Agravamento da SRIS e da sepse  fal€ncia microcirculat„ria  Redu†…o ainda maior da perfus…o gastrointestinal. OBS6 : Por esta raz…o (apresentada na OBS5 ) ‚ que se diz que o grande motor da disfun†…o org‡nica na SRIS ‚ a les…o da mucosa intestinal. Este fato nos mostra a import‡ncia de nutrir bem o paciente e estimular a dieta enteral para preservar a mucosa intestinal. De maneira macro-hemodin‡mica, al‚m das altera†ˆes de coagula†…o e demais fen•menos que ocorrem na microcircula†…o (shunts arteriovenosos, coagula†…o disseminada, etc.), o choque s‚ptico pode ser caracterizado pela libera†…o exagerada de „xido n•trico, que promove uma vasodilatação importante e, com isso, uma diminui†…o da resist€ncia vascular em n•vel arteriolar. Al‚m disso, a hipovolemia causada pelo extravasamento de sangue (decorrente do aumento de permeabilidade capilar) contribui para a diminui†…o da press…o arterial do paciente, Por esta raz…o, no advento do choque s‚ptico, devemos lan†ar m…o de drogas vasopressoras para manter a resist€ncia (e, com isso, a press…o de perfus…o) e utilizar reanima†…o volum‚trica (para manter o volume circulante), al‚m do uso de antibi„ticos. CRIT‰RIOS CLASSIFICAT†RIOS Como vimos anteriormente, o espectro da resposta inflamat„ria e da sepse ‚ definido de acordo com os crit‚rios propostos pelo consenso American College of Chest Physicians/Society of Critical Care Medicine (ACCP/SCCM) de 1991. Tal consenso permitiu, como vimos anteriormente, uniformizar as defini†ˆes de sepse e a classifica†…o de todos as formas ou fases da doen†a. Em resumo, temos:  A síndrome da resposta inflamatória sistêmica (SRIS ou SIRS) ‚ definida pela presen†a de pelo menos duas das seguintes evid€ncias cl•nicas: temperatura acima de 38˜C ou abaixo de 36˜C, taquicardia com frequ€ncia card•aca acima de 90 batimentos por minuto, taquipn‚ia com frequ€ncia respirat„ria acima de 20 movimentos respirat„rios por minuto ou hiperventila†…o com PaCO2 abaixo de 32 mmHg, leucocitose acima de 12.000/mm3, leucopenia abaixo de 4.000/mm 3 ou mais de 10% de formas jovens de neutr„filos.  A concomit‡ncia de dois crit‚rios de SIRS com um foco infeccioso presumido ou evidente confirma o diagn„stico de sepse.  A associa†…o de sepse com disfun†…o org‡nica caracteriza sepse grave.
  • 65.
    Arlindo Ugulino Netto– MEDICINA DE URG•NCIA – MEDICINA P8 – 2011.1 65  A presença de hipotensão induzida pela sepse ou persistência de alterações da perfusão tecidual após a ressuscitação hemodinâmica adequada é típica de choque séptico. O uso dos critérios do consenso ACCP/SCCM de 1991 como elemento diagnóstico de sepse, sepse grave e choque séptico, é criticado por serem pouco específicos, pois durante a internação em UTI, até 93% dos pacientes podem ter pelo menos dois critérios de SIRS. Entretanto, os critérios de SIRS permitem que, com mínimos recursos, seja identificado o paciente com manifestação sistêmica em decorrência da doença crítica e a estratificação da gravidade. TRATAMENTO O tratamento da sepse grave e do choque séptico sofreu profundas e significativas modificações na última década, graças às evidências advindas de importantes estudos no cenário clínico. Além disso, o desenvolvimento de uma campanha mundial, chamada Surviving Sepsis Campaign, com o objetivo de reduzir a mortalidade em 25% em cinco anos, estabeleceu uma rotina padrão para o atendimento desses pacientes. O aspecto temporal e a ordem das intervenções terapêuticas também passaram a ter um papel vital, com a instituição de condutas para o manejo dos pacientes com sepse grave e choque séptico, nas primeiras 6 horas e primeiras 24 horas do diagnóstico. As medidas para o manejo da sepse grave incluem ressuscitação inicial, identificação do agente infeccioso, antibioticoterapia, controle do sítio de infecção, reposição volêmica, vasopressores, terapia inotrópica, corticoterapia, proteína C ativada e transfusão sanguínea.41 As medidas terapêuticas de suporte na sepse grave são: ventilação mecânica, sedação, analgesia e bloqueio neuromuscular, controle glicêmico, profilaxia de trombose venosa profunda (TVP), profilaxia da úlcera de estresse e terapia de substituição renal.
  • 66.
    Arlindo Ugulino Netto– MEDICINA DE URG•NCIA – MEDICINA P8 – 2011.1 66 RESSUSCITAÇÃO INICIAL A ressuscita†…o inicial ‚ fundamental para reverter o processo de hipoperfus…o tecidual induzido pela sepse (hipotens…o persistente ap„s desafio inicial de volume ou concentra†…o s‚rica de lactato ≥ 4 mmol/L). Portanto, uma vez reconhecida esta situa†…o, devemos começar a ressuscitação imediatamente (ainda no pronto-socorro) – n…o devemos atrasar a ressuscita†…o Œ espera de admiss…o em UTI. Para isso, devemos obter um acesso vascular central e iniciar a infus…o de fluidos. O fluido a ser infundido pode ser cristaloide ou coloide, visando atingir nas primeiras 6 horas os seguintes objetivos terap€uticos:  Press…o venosa central (PVC): 8-12mmHg.  Press…o arterial m‚dia: ≥65mmHg.  D‚bito urinƒrio: ≥0,5 ml/kg.h;  Satura†…o venosa de oxig€nio (SvO2) central (na veia cava superior) ≥70% ou SvO2 mista (na art‚ria pulmonar, obtida apenas se o paciente apresentar cateter de Swan-Ganz) ≥65%.  Se a SvO2 n…o for atingida, deve-se:  Considerar nova infus…o de fluidos;  Transfus…o de concentrado de hemƒcias para um hemat„crito ≥30%; e/ou  Infus…o de Dobutamina (droga inotr„pica) at‚ 20 μg/kg/min. Uma PVC na faixa de 12-15 mmHg ‚ recomendada nos pacientes que estejam em ventila†…o mec‡nica ou redu†…o da complac€ncia ventricular pr‚via. Os mecanismos do benef•cio da terapia precoce dirigida por metas ainda n…o s…o conhecidos, sendo a revers…o da hip„xia tecidual, a diminui†…o da inflama†…o e das altera†ˆes da coagula†…o as poss•veis causas. IDENTIFICAÇÃO DO AGENTE INFECCIOSO Obter culturas antes do in•cio da administra†…o de antibi„ticos, por‚m n…o os atrasando. Devem ser coletadas duas ou mais culturas sangu•neas em acesso vascular perif‚rico distinto, podendo uma coleta ser feita em acesso obtido hƒ menos de 48 horas. Culturas de outros s•tios podem ser coletadas conforme indica†…o cl•nica. TERAPIA ANTIBIÓTICA Devemos come†ar a antibioticoterapia intravenosa empírica o mais precocemente poss•vel e sempre na primeira hora de reconhecimento da sepse grave e choque s‚ptico. Estudos mostraram que a administra†…o de antibi„tico efetivo na primeira hora da hipotens…o pacientes com choque s‚ptico associa-se com aumento da sobrevida. O espectro de a†…o do antibi„tico deve ser estendido: um ou mais agentes ativos contra bact‚rias ou fungos com boa penetra†…o na fonte presumida. Al‚m disso, a escolha da antibioticoterapia emp•rica depende de vƒrios aspectos relacionados ao paciente, como a hist„ria de intoler‡ncia a drogas, doen†a subjacente e padr…o de susceptibilidade dos germes na comunidade ou hospital. A terapia antibi„tica deverƒ ser reavaliada diariamente, visando otimizar a atividade (a depender do resultado da cultura), prevenir o desenvolvimento de resist€ncia e reduzir toxicidade e custos. Portanto, com rela†…o a antibioticoterapia, temos:  Devemos come†ar antibi„ticos intravenosos t…o cedo quanto poss•vel e sempre na primeira hora de reconhecimento da sepse grave e choque s‚ptico - os desfechos na sepse grave e no choque s‚ptico s…o piores nos pacientes onde o esquema antibi„tico inicial n…o ‚ efetivo.  Utilizar antibi„tico de espectro estendido: um ou mais agentes ativos contra bact‚rias ou fungos com boa penetra†…o na fonte presumida;  Reavaliar o regime antibi„tico diariamente  Considerar associa†…o nos casos de Pseudomonas;  Considerar associa†…o em neutrop€nicos;  Associa†…o no mƒximo em 3-5 dias e “deescalonar” de acordo com antibiograma;  Dura†…o da terapia de 7 a 10 dias na maioria dos casos (exceto em respostas lentas ou foco n…o drenado ou defici€ncia imunol„gica);  Parar antibi„tico se causa n…o infecciosa.
  • 67.
    Arlindo Ugulino Netto– MEDICINA DE URG•NCIA – MEDICINA P8 – 2011.1 67 CONTROLE DO SÍTIO DE INFECÇÃO Sempre que poss•vel, a remo†…o do foco infeccioso deve ser realizada precocemente. Essa conduta inclui drenagem de abscessos e desbridamento de tecido necr„tico infectado, entre outras. Acessos vasculares potencialmente infectados devem ser prontamente substitu•dos. Portanto, sempre depois de realizadas as prioridades (ressuscita†…o inicial e a antibioticoterapia), podemos detectar o s•tio da infec†…o (ainda nas primeiras seis horas de apresenta†…o). Para isso, devemos avaliar formalmente em procura de um foco de infec†…o suscet•vel a medidas de controle de fonte (Ex: drenagem de abscesso, debridamento tissular, apendicite) – Exce†…o: necrose pancreƒtica infectada (neste caso, estudos comprovam que o adiamento da cirurgia, por pelo menos 2 semanas, melhora a sobrevida do paciente). Devemos, ent…o, escolher o controle de fonte mais eficaz e com o m•nimo de dist‰rbio fisiol„gico. Š importante, tamb‚m, remover acessos intravasculares potencialmente infectados. REPOSIÇÃO VOLÊMICA A reposi†…o vol€mica realizada durante a ressuscita†…o inicial pode ser feita com cristaloides (soro fisiol„gico e Ringer Lactato) ou com coloides (n…o hƒ evid€ncias que mostrem superioridade de um tipo de fluido, seja coloide natural ou sint‚tico, sobre os cristaloides). Desta forma, temos:  Fazer uso em bolus de 1000 ml de cristaloide ou 200 a 300 ml de coloide em 30 minutos;  Objetivo: manter PVC ≥ 8 mmHg ou ≥ 12 mmHg (se o paciente estiver sob ventila†…o mec‡nica). USO DE VASOPRESSORES A press…o arterial m‚dia (PAM) deve ser mantida em ≥65 mmHg. Os vasopressores devem ser empregados quando houver um grau de hipotens…o que coloque a vida em risco. Desta forma, temos:  Norepinefria ou Dopamina s…o os vasopressores iniciais de escolha (administradas em um cateter central t…o cedo esteja dispon•vel).  N…o devemos utilizar Dopamina em “dose renal” (2 – 5“g/kg/min): o uso de dopamina para prote†…o renal n…o ‚ mais recomendado (seu uso vinha sendo relacionado com aumento da mortalidade), e todo o paciente em uso de vasopressor deveria ter uma linha arterial inserida.  Quando a hipotens…o persistir apesar do uso desses medicamentos, deve-se recorrer a fƒrmacos mais potentes como adrenalina, fenilefrina ou vasopressina. TERAPIA INOTRÓPICA Como a disfun†…o miocƒrdica pode estar presente na sepse grave e no choque s‚ptico, a Dobutamina estƒ indicada nos casos de elevadas pressˆes de enchimento e baixo d‚bito card•aco. Por outro lado, o uso de Dobutamina para manter o d‚bito card•aco em n•veis supranormais n…o ‚ recomendado nesses pacientes.
  • 68.
    Arlindo Ugulino Netto– MEDICINA DE URG•NCIA – MEDICINA P8 – 2011.1 68 OUTRAS MEDIDIAS  Corticoterapia: o emprego de corticosteroides estƒ justificado somente nos pacientes que jƒ foram ressuscitados com flu•dos e apresentaram pobre resposta ao uso de vasopressor, permanecendo em choque. A dose recomendada de hidrocortisona é até 300 mg/dia, divididos em quatro doses. Pacientes com sepse, sem choque, n…o devem receber corticoides (a n…o ser que eles sejam necessƒrios para tratar outra doen†a que o paciente, por ventura, jƒ apresentava, como a asma ou doen†as autoimunes).  Proteína C ativada: considerar PCRh em paciente com disfun†ˆes org‡nicas induzidas pela sepse com avalia†…o alto risco de morte (APACHE II ≥ 25 ou fal€ncia de m‰ltiplos „rg…os). Paciente adulto com sepse grave e baixo risco de morte n…o deve receber PCRh.  Controle glicêmico: devemos fazer uso de insulina IV para controlar hipoglicemia em pacientes com sepse grave ap„s estabiliza†…o na UTI. O objetivo ‚ manter a glicemia < 150mg/dl por meio de um protocolo validado para ajuste de dose de insulina.  Transfusão de sangue: n…o havendo evid€ncias de hipoperfus…o tecidual, nem situa†ˆes de alta demanda de oxig€nio, como isquemia miocƒrdica, hipoxemia grave, hemorragia aguda, cardiopatia cian„tica ou acidose lƒctica, a transfus…o de concentrado de hemƒcias deve ser feita quando a taxa de hemoglobina for inferior a 7g/dl.  Ventilação mecânica: recomenda-se o emprego de volume corrente de 6 ml/kg de peso predito nos pacientes com sepse e que apresentem les…o pulmonar aguda ou s•ndrome da ang‰stia respirat„ria aguda. Outra medida de extrema import‡ncia ‚ a manuten†…o da press…o de plat• abaixo de 30 cmH2O.  Profilaxia de trombose venosa profunda: os pacientes com sepse grave devem receber profilaxia para trombose venosa profunda, tanto com heparina n…o fracionada em baixas doses como com heparina de baixo peso molecular. Havendo contraindica†ˆes para o uso de heparina, os pacientes devem utilizar dispositivos de compress…o pneumƒtica dos membros.  Terapia de substituição renal: quando necessƒria, a terapia de substitui†…o renal pode ser feita tanto de modo intermitente como cont•nuo, pois s…o equivalentes. A terapia cont•nua pode facilitar o manejo do balan†o de l•quidos nos pacientes com sepse grave e instabilidade hemodin‡mica. CONSIDERA‚ƒES FINAIS A sepse ‚ uma s•ndrome frequente, estando associada a fatores que alteram os mecanismos de defesa do indiv•duo. Sua fisiopatologia ‚ complexa envolve a imunidade, mecanismos inflamat„rios e a cascata da coagula†…o, culminando com estado de intensa altera†…o da homeostasia em seus estƒgios mais avan†ados. O reconhecimento da sepse com base nos crit‚rios da Confer€ncia de Consenso ACCP/SCCM possibilitou uma melhor compreens…o do seu espectro e a estratifica†…o da gravidade de cada estƒgio. Por fim, seu tratamento ‚ dirigido Œ restaura†…o da perfus…o tecidual, com medidas que visam restabelecer e manter o estado hemodin‡mico, a oxigena†…o e a fun†…o org‡nica.
  • 69.
    Arlindo Ugulino Netto– MEDICINA DE URG•NCIA – MEDICINA P8 – 2011.1 69 MED RESUMOS 2011 CORREIA, Luiz Gustavo; NETTO, Arlindo Ugulino. MEDICINA DE URGÊNCIA E TERAPIA INTENSIVA MANEJO DE VIAS AÉREAS (Professor Fƒbio de Almeida) Atualmente, o manejo de vias aéreas é considerado uma medida importante para todas as especialidades médicas e, ao mesmo tempo, uma medida de urgência e emergência que pode, literalmente, salvar vidas. Durante a avaliação sistemática proposta pelo ATLS, as vias aéreas ganham destaque em termos de prioridade de atendimento. O acrônimo ABCDE, utiliza o termo airways, que é a letra A, para sinalizar que a primeira avaliação do protocolo é das vias aéreas. São objetivos do capítulo, a descrição pormenorizada dos seguintes aspectos relativos às vias aéreas:  Definir via aérea  Aplicações práticas  Dispositivos de desobstrução  Oferta de oxigênio  Via aérea definitiva  Via aérea cirúrgica  Monitorização (oximetria de pulso) CONSIDERA‚ƒES INICIAIS Diante do traumatismo, a hipóxia é o evento fisiopatológico que leva ao óbito mais precocemente, sendo decorrente, principalmente, de queda da base da língua e obstrução das vias aéreas. Por conta disto e de outras dezenas, as vias aéreas são consideradas como prioridade máxima na vigência da aplicação do protocolo estabelecido pela ATLS. Alguns sinais e sintomas clínicos podem predizer, precocemente, que existem alterações significativas nas vias aéreas, tais como ansiedade, taquipnéia e torpor. O alforisma do ATLS deve ser respeitado: “Vias a…reas p…rvias e protegidas, oferta de oxig•nio e suporte ventilat†rio.” As vias aéreas devem se apresentar pérvias e/ou perméaveis e, ao mesmo tempo, protegidas (impedir queda de base da língua, corpo estranho, sangue, saliva, secreções, avulsão dentária, cortes intra-orais, coágulos, etc). A cânula de Guedel e a nasofaríngea são exemplos de meios de se obter, do ponto de vista emergencial, vias aéreas pérvias e protegidas, por permitirem a aspiração e, ao mesmo tempo, fornecimento de oxigênio. A oferta de oxigênio, de acordo com o protocolo, deve ser feita para todas as vítimas de traumatismos, até mesmo as que possuem status neurológico (ECG > 15) e pulmonar (SaO2 > 98%). A queda da base da língua: situação mais frequentemente apresentada em pacientes com rebaixamento do nível de consciência, tal como ocorre diante dos traumatismo crânio-encéfalicos graves, acidentes vasculares cerebrais (AVC), intoxicação por drogas que possuem afinidade para o sistema nervoso central, etc. O presente capítulo trata do manejo de vias aéreas no suporte avançado de vida. Algumas manobras que foram estudadas no suporte básico de vida podem ser realizadas no ambiente intra-hospitalar, porém, com a ressalva que será realizada de modo temporário, enquanto se faz a aspiração de secreções, introdução de cânulas, etc.  A manobra de Jaw Thrust (imagem abaixo) mantém o pescoço alinhado, e se faz uma tração da mandíbula servindo com manobra provisória de proteção de VAS no atendimento pré-hospitalar. A sua realização depende, quase que exclusivamente, do nível de consciência do indivíduo. Não realizamos esta manobra em indivíduos com nível de consciência inalterado.  A manobra de Chin Lift consiste na abertura da hipofaringe, através da elevação (hiperextensão) do mento. Lembramos que o mecanismo de hiperextensão promovido por tal manobra pode aumentar ainda mais a lesão medular, principalmente, o primeiro e último segmento cervical, sendo totalmente proscrita diante do trauma. DIFICULDADES Falhas em identificar obstrução das vias aéreas superiores (VAS), incapacidade de mantê-las pérvias, deslocamento ou falha em reconhecer posicionamento incorreto dos dispositivos, falha em reconhecer necessidades de ventilação, aspiração. Diante das várias falhas possíveis e, frequentemente observadas, os médicos devem sempre avaliar o paciente e, em poucos minutos, reavaliá-los, com a finalidade de exaurir as falhas e intercorrências negativas que podem suscitar uma negligência e/ou falta de aptidão técnica pela equipe médica.
  • 70.
    Arlindo Ugulino Netto– MEDICINA DE URG•NCIA – MEDICINA P8 – 2011.1 70 APLICAÇÕES PRÁTICAS O manejo das vias a‚reas ‚ responsƒvel nos seguintes casos:  Politraumatizado em geral  Trauma facial: fraturas/luxa†ˆes do malar, mand•bula; comprometimento da naso/orofaringe; hemorragias, avulsˆes dentƒrias.  Trauma de laringe: roquid…o, enfisema subcut‡neo, crepta†…o; respira†…o ruidosa: obstru†…o parcial. Nos traumas de laringe, a abordagem Œ membrana cricotire„idea-mediana ‚ dificil e, portanto, a conduta ‚ a traqueostomia.  Problemas ventilatórios: trauma de t„rax, fraturas de costelas, TCE, TRM, idosos, DPOC. As m‰ltiplas fraturas de costelas podem levar ao t„rax instƒvel, que se caracteriza pelo afundamento do t„rax durante a inspira†…o e, a sua dilata†…o durante a expira†…o, como se fosse uma respira†…o paradoxal. Nos traumatismos raquimedulares (TRM) que se localizam na medula cervical, a inerva†…o diafragmƒtica que ‚ fornecida pelo nervo fr€nico (C2 – C5) ‚ prejudicada, causando uma insufici€ncia inspirat„ria e, por mecanismo consequente, expirat„ria. DISPOSITIVOS DE DESOBSTRU‚„O S…o c‡nulas com a mesma disposi†…o da curvatura da l•ngua, contendo uma cavidade em seu interior que permite o fornecimento de oxig€nio, bem como a aspira†…o de secre†ˆes, etc. A c‡nula orofar•ngea comunica o meio externo e a faringe atrav‚s da cavidade oral; a c‡nula nasofar•ngea, ‚ a que comunica o meio exterior ultrapassando a cavidade nasal, at‚ o limite da faringe. CÂNULA OROFARÍNGEA A aplica†…o da c‡nula orofar•ngea, tamb‚m denominada de Guedel, ‚ um m‚todo rƒpido e prƒtico de se manter a via a‚rea aberta, podendo ser utilizado temporariamente em conjunto com ventila†…o com mƒscara, enquanto se aguarda um m‚todo definitivo, como por exemplo a intuba†…o endotraqueal. Portanto, indicamos a cânula orofaríngea para desobstru†…o de vias a‚reas superiores de pacientes inconscientes, que apresentam-se em respira†…o ruidosa, ou ainda, sob o risco de queda de base da l•ngua. A c‡nula de Guedel tem forma semicircular, geralmente ‚ de material plƒstico e descartƒvel e, quando apropriadamente colocada, desloca a l•ngua da parede posterior da faringe, mantendo a via respirat„ria aberta (figura A). Pode tamb‚m ser utilizada no paciente com tubo traqueal, evitando que o reflexo de morder cause dano ao tubo. No paciente adulto recomenda-se os seguintes tamanhos: adulto grande: 100mm (Guedel n› 5); adulto m‚dio: 90mm (Guedel n› 4); adulto pequeno: 80mm (Guedel n› 3). O melhor m‚todo de se avaliar o tamanho da c‡nula ‚ a medida do l„bulo da orelha at‚ a comissura labial, que deve ser do mesmo tamanho da c‡nula a ser inserida. A melhor maneira de inserir a c‡nula ‚ com sua parte c•ncava voltada para cima e, quando metade jƒ estiver introduzida, faz-se uma rota†…o de 180› e termina-se a introdu†…o. A depress…o da l•ngua com uma espƒtula facilita o procedimento. Se a coloca†…o e/ou o tamanho da c‡nula forem incorretos, pode ocorrer deslocamento da l•ngua at‚ a faringe e obstru†…o da via respirat„ria (figura B). Para evitar ferimentos no paciente, o reanimador deve se assegurar que os lƒbios e a l•ngua n…o se encontrem entre a c‡nula e os dentes.
  • 71.
    Arlindo Ugulino Netto– MEDICINA DE URG•NCIA – MEDICINA P8 – 2011.1 71 CÂNULA NASOFARÍNGEA Tem forma tubular em semic•rculo, ‚ feita de material plƒstico e geralmente ‚ descartƒvel. Seu uso ‚ indicado quando a c‡nula orofar•ngea n…o pode ser inserida (trauma grave ao redor da boca, trismo, etc), ou ainda nos pacientes que se apresentam com um grau de consci€ncia m•nimo, por‚m ainda n…o inconscientes. O tratamento da c‡nula ‚ considerado pelo seu di‡metro interno, em mil•metros. S…o sugeridos os seguintes tamanhos: adulto grande: 8mm; adulto m‚dio: 7mm; adulto pequeno: 6mm. A t‚cnica de inser†…o consiste em lubrificar a c‡nula e passƒ-la suavemente pela narina; se houver resist€ncia Œ passagem, tenta-se pela outra narina. O uso de vasoconstritores de mucosa nasal pode prevenir sangramento durante a inser†…o. A complica†…o mais grave ‚ o posicionamento da por†…o distal no es•fago, causando distens…o gƒstrica e ventila†…o pulmonar inefetiva. Š importante manter a cabe†a estendida, com eleva†…o do mento, tanto na passagem da c‡nula nasofar•ngea como da orofar•ngea. A eleva†…o do t„rax durante a ventila†…o ‚ a melhor prova de que a sele†…o e a inser†…o da c‡nula foram efetivas. OFERTA DE OXIG•NIO CATETER NASAL Š um sistema de baixo fluxo de O2 que n…o fornece quantidade suficiente de oxig€nio porque hƒ grande mistura com ar ambiente. A concentra†…o de oxig€nio fornecida com fluxo de 1 a 6L/min, em paciente com volume corrente normal, varia de 25 a 45%. Optamos por cateter nasal, diante de pacientes estƒveis, at‚ porque, ‚ um m‚todo confortƒvel, de fƒcil uso e ainda n…o gera reinala†…o. MASCARA FACIAL SIMPLES Este sistema propicia concentra†ˆes de O2 de 40 a 60% quando conectada a uma fonte de O2 de 8 a 10L/min. Estƒ indicada nos pacientes com respira†…o espont‡nea e hipoxemia. Ocorre mistura de oxig€nio da fonte com o do meio ambiente (a 21%), e ainda permite reinala†…o de CO2 na bolsa reservat„rio. MÁSCARA FACIAL COM RESERVATÓRIO DE OXIGÊNIO O oxig€nio ‚ fornecido na concentra†…o entre 35 – 60 %, permitindo o fluxo entre 6 – 10 litros. Hƒ reinala†…o de CO2 na bolsa reservat„rio. A bolsa tem de estar cheia em 2/3 de seu di‡metro, proporcionado pouca mistura do O2 a 100% com a 21% do ar ambiente. BOLSA VÁLVULA-MÁSCARA (AMBU) Recomenda-se que durante a ressuscita†…o de pacientes em apn‚ia seja usada uma unidade que contenha bolsa acess„ria, que atue como reservat„rio para o ac‰mulo de oxig€nio a 100%. Esta bolsa acess„ria se mant‚m com volume suficiente quando o fluxo de oxig€nio ‚ de 12L/min. Durante a ventila†…o, o oxig€nio ministrado mistura-se com ar, resultando numa concentra†…o pouco inferior a 100%. Pode ser utilizada com c‡nulas oro ou nasofar•ngea ou com sonda traqueal, sendo neste ‰ltimo caso a forma mais efetiva de ventila†…o. Š importante que seja de limpeza e esteriliza†…o fƒceis, e que esteja dispon•vel em vƒrios tamanhos para uso em adultos e crian†as. A t‚cnica de utiliza†…o consiste no seguinte: o reanimador, depois de aspirar a boca e a faringe do paciente, estende a cabe†a e insere a c‡nula de Guedel, mantendo a via respirat„ria aberta e protegida. A mƒscara ‚ colocada no rosto do paciente, cobrindo a boca e o nariz; com os dedos, polegar e indicador, da m…o esquerda, o reanimador trata de manter uma adapta†…o adequada entre o rosto e a mƒscara e com os tr€s dedos restantes manter a tra†…o sobre a mand•bula. A bolsa ‚ comprimida com a outra m…o, observando-se a expans…o do t„rax durante cada ventila†…o.
  • 72.
    Arlindo Ugulino Netto– MEDICINA DE URG•NCIA – MEDICINA P8 – 2011.1 72 Tecnicamente, é difícil prover volumes ventilatórios adequados, sobretudo se o reanimador tem mãos pequenas, o que dificulta a adaptação hermética e a compressão adequada da bolsa. Uma técnica mais efetiva requer dois reanimadores: um, utilizando ambas as mãos, mantendo a cabeça estendida e a máscara firmemente ao redor da boca e nariz do paciente, enquanto o outro usa suas duas mãos para comprimir a bolsa. Deve-se ofertar 10 a 15mL/kg num período de 2s. VIA A‰REA DEFINITIVA OU INVASIVA O termo via aérea definitiva é conceituado como sendo a introdução de uma cânula endotraqueal, com balão insuflado, devidamente fixado, conectada a um sistema de ventilação mecânica, enriquecida por oxigênio. Atualmente, três modalidades podem permitir a via aérea definitiva: tubo orotraqueal, tubo nasotraqueal e via aérea cirúrgica. INDICAÇÕES  Apnéia  Impossibilidade de manter via aérea pérvia  Proteção das VAS  TCE graves (ECG < 8, estado de coma)  Lesões com potencial risco (queimaduras por inalação, traumas de face, hematomas, convulsões persistentes)  Oximetria de pulso (atenção para valores abaixo de 98%) OBS 1 : Diante de pacientes inconscientes, que foram vítimas de traumatismos graves, sob o regime de estabilização cervical com colar, a intubação pode ser difícil. Caso ocorram várias tentativas com insucesso, o protocolo permite que o colar cervical seja retirado, pois, o que mata precomente é a hipóxia. INTUBAÇÃO ENDOTRAQUEAL É o método ideal para o controle da via respiratória durante a ressuscitação. Ao isolar a via respiratória, obtemos várias vantagens, tais como: prevenção da aspiração de conteúdo gástrico e de corpos estranhos; permição do uso de ventilação com pressões altas, sem perigo de distensão gástrica, facilitando a ventilação e a oxigenação alveolar; garantia de acesso para a administração de medicamentos (epinefrina, atropina e lidocaína), que serão absorvidas através do epitélio pulmonar; Acessórios.  Laringoscópio: existem dois tipos de lâmina (curva e reta), dependendo a escolha da experiência prévia do ressuscitador;  Tubo endotraqueal: é um tubo de material plástico no qual se acopla um intermediário que permite conecção com os diferentes tipos de acessórios de ventilação. Os de maior tamanho, para uso em adultos, apresentam em sua porção distal um balonete inflável (cuff), que obstrui a traquéia, impedindo aspiração de conteúdo gástrico. Tal balonete deve sempre ser testado antes da introdução do tubo. Os tubos têm vários tamanhos e sua numeração indica o diâmetro interno. Nos tubos infantis, não se tem balonente inflável, por conta do risco de necrose cicatricial da traquéia. Como regra geral, utilizamos tubos de 7,5 a 8,0mm para mulheres e de 8,0 a 9,0mm para homens. Devem ser evitados tubos de borracha (rígidos), preferindo-se tubos de material inerte (poliestireno);  Guia de intubação: fio metálico com ponta romba protegida que propicia a orientação do tubo flexível no momento da intubação;  Seringa de 5 a 10mL para insuflar o balonete distal;  Material para aspiração. Intubação orotraqueal. Monta-se e testa-se o laringoscópio, escolhe-se o tamanho do tubo e testa-se balonete. Antes da inserção, o tubo deve ser lubrificado (entretanto, se tal procedimento for retardar a entubação, não deve ser realizado). A seguir, posiciona-se a cabeça de tal maneira que a boca, faringe e a traquéia estejam alinhadas. Tal posição é conseguida com a extensão da cabeça, devendo-se no entanto evitar a hiperextensão. A boca é aberta com os dedos da mão direita. O laringoscópio é seguro com a mão esquerda e a lâmina inserida no lado direito da boca, deslocando a língua para a esquerda. Move-se então a lâmina em direção à linha média e avança-se para a base da língua. Simultaneamente o lábio inferior é retirado do contato com a lâmina com o indicador direito. Deve-se evitar pressão sobre os lábios e os dentes. Quando se utiliza a lâmina curva, a ponta da lâmina é introduzida em direção a valécula (espaço entre a base da língua e a superfície faríngea da epiglote). Quando a lâmina reta é utilizada, a ponta deve ser localizada sob a epiglote. A abertura da glote é conseguida exercendo-se tração do laringoscópio para cima e para frente com uma angulação de 30 a 45º. Não se deve fazer movimento de báscula com o laringoscópio, utilizando os dentes superiores como ponto de apoio. O tubo é então introduzido através do canto direito da boca e, sob visão direta, através das pregas vocais. A pessoa que realiza o procedimento deve visualizar a ponta do tubo ao nível das pregas vocais e introduzí-lo 1 a 2,5cm
  • 73.
    Arlindo Ugulino Netto– MEDICINA DE URG•NCIA – MEDICINA P8 – 2011.1 73 adiante na traqu‚ia. Para a maioria dos adultos isto corresponderƒ a marca†…o de profundidade da c‡nula ao n•vel dos dentes entre 19 e 23cm (geralmente, 22cm, obedecendo Œ regra “TTT”: twenty-two-theeth”). O bal…o ‚ ent…o inflado com quantidade de ar suficiente para ocluir a via a‚rea (geralmente 10 a 20mL). A posi†…o do tubo deve ser confirmada simultaneamente com as primeiras respira†ˆes manuais, atrav‚s da ausculta do epigƒstrio dos campos pulmonares, observando a movimenta†…o da parede torƒcica. Quando houver d‰vida, deve-se interromper a ventila†…o, retirar o tubo e efetuar nova tentativa ap„s o paciente ter sido ventilado com outra t‚cnica. A introdu†…o do tubo dentro de um dos br•nquios principais ‚ a complica†…o mais frequente. O t„rax deve ser auscultado, checando a presen†a de ru•dos respirat„rios bilateralmente. Assim que poss•vel, realizar radiografia de t„rax para confirmar se a localiza†…o estƒ adequada. Confirmando-se a localiza†…o adequada do tubo, promove-se ventila†…o com 10 a 15mL/kg numa freqœ€ncia de 10 a 12 respira†ˆes por minuto (uma respira†…o cada 5 a 6s). Cada respira†…o deve ser realizada num per•odo de 2s com oxig€nio a 100%. Recomenda†ˆes sobre a intuba†…o traqueal - Ap„s a intuba†…o traqueal deve se seguir imediatamente a ventila†…o com a unidade bolsa-vƒlvula e oxig€nio a 100%; a intuba†…o deverƒ ser feita pela pessoa da equipe de ressuscita†…o com maior experi€ncia, e dentro de um per•odo de tempo de no mƒximo 30s. Se a intuba†…o n…o for poss•vel dentro desse per•odo, serƒ necessƒrio proceder Œ ventila†…o com a unidade bolsa-vƒlvula-mƒscara antes de se tentar novamente; em crian†as, em raz…o do alto risco de distens…o gƒstrica, a intuba†…o deverƒ ser feita imediatamente; em gravidez no seu 3› trimestre, tamb‚m em raz…o do alto risco de aspira†…o do conte‰do gƒstrico durante uma parada card•aca, ‚ necessƒrio intubar imediatamente; durante a intuba†…o, uma segunda pessoa deve aplicar press…o sobre a cric„ide, para evitar regurgita†…o de conte‰do gƒstrico. Em resumo: 1. Verificar oxigena†…o/ventila†…o e checar aspirador; 2. Checar cuff do tubo; 3. Checar laringosc„pio (pilha sem carga e l‡mpada queimada s…o as intercorr€ncias frequentes); 4. Retificar cabe†a e pesco†o; 5. Laringosc„pio na m…o esquerda, introduzindo-o pelo lado direito da boca, deslocando a l•ngua para esquerda; 6. Identificar epiglote e pregas vocais no laringosc„pio; 7. Inserir tubo, sem pressionar dentes ou partes moles; 8. Insuflar o cuff; 9. Ventilar com bal…o e conferir a posi†…o do tubo: expans…o do t„rax, ausculta do abdome (epigƒstrio) e t„rax; 10. Fixar o tubo insuflando o bal…o 11. Caso de insucesso: tempo de apn‚ia ou > 30 seg, ventilar novamente; 12. Caso de intuba†…o esofƒgica: n…o reintroduzir o mesmo tubo; 13. Posi†…o exata: 22 na altura do incisivo (regra “TTT”); meios: Rx t„rax, capn„grafo; 14. Conectar ox•metro de pulso; 15. Conectar ao ventilador. OBS 2 : Se, durante o procedimento, o paciente reagir, devemos passar para a sequ€ncia de intuba†…o rƒpida. Intubação nasotraqueal. Š um procedimento que n…o se utiliza laringosc„pio, ocorrendo Œs cegas. Nesta ocasi…o, o paciente ainda apresenta movimento respirat„rio. Portanto, atrav‚s de tubos finos (6,5 – 7,0 mm), lubrificado com xiloca•na spray ou gel‚ia. A intuba†…o nasotraqueal n…o pode ser feita em pacientes com suspeitas de fraturas de base de cr‡nio (otorragia, rinorragia, sinal de battle, sinal do Guaxinim). 1. Verificar oxigena†…o/ventila†…o, chegar aspirador 2. Checar cuff do tubo 3. Borrifar a mucosa com spray anest‚sico 4. Lubrificar tubo com gel 5. Retificar cabe†a e pesco†o 6. Inserir delicadamente o tubo no sentido cima-trƒs-baixo at‚ a nasofaringe; facilita a curvatura do tubo 7. Observar o emba†amento do tubo= faringe; progredir o tubo at‚ a traqu‚ia 8. Manobra de Sellick: suave compress…o da laringe durante a passagem do tubo, retificando a traqu‚ia e ainda comprime o es•fago, impedindo refluxo esofƒgico. 9. Insuflar o cuff 10. Ventilar com bal…o e conferir a posi†…o do tubo: expans…o do t„rax, ausculta do t„rax e abdome. 11. Fixar o tubo 12. Caso de insucesso: tempo de apn‚ia ou t‚cnica > 30 seg; ventilar novamente 13. Conectar ox•metro de pulso 14. Conectar ao ventilador
  • 74.
    Arlindo Ugulino Netto– MEDICINA DE URG•NCIA – MEDICINA P8 – 2011.1 74 Complicações.  N…o conseguir a t‚cnica e a intridu†…o adequada, aumenta hip„xia, sob risco de „bito  Intuba†…o esofƒgica  Intuba†…o seletiva, com maior frequ€ncia do br•nquio fonte direito; atelectasia de pulm…o esquerdo  Indu†…o de v•mito, sob o risco de broncoaspira†…o  Les…o de VAS: hemorragia, aspira†…o  Fratura/arrancamento de elementos dentƒrios  Ruptura do cuff: perda da veda†…o (reintubar)  Risco potencializado de lesˆes cervicais Intubação de sequência rápida. A intuba†…o de sequ€ncia rƒpida ‚ a que se utiliza diante de pacientes que apresentam-se com n•vel agitado de consci€ncia, por‚m, com d‚ficit respirat„rio grave. Pode ser indicada, at‚ mesmo, durante uma poss•vel intuba†…o orotraqueal, de uma v•tima que passou a apresentar confus…o mental, com mordedura, etc. 1. Estar preparado com instrumental para acesso cir‰rgico da via a‚rea (bisturi, tesoura de metzenbaum, pin†a de dissec†…o) 2. Pre-oxigenar com O2 a 100% 3. Manobra de Sellick 4. Acesso venoso 5. Sedar (etomidato – 30 mg ou midazolam – 2 a 5 mg; succinil-colina 100 mg IV) 6. Obtido o relaxamento, intube por via orotraqueal 7. Insuflar o cuff 8. Confirmar a posi†…o do tubo 9. Conectar o ox•metro de pulso 10. Conectar ao ventilador VIA AÉREA CIRÚRGICA A traqueostomia n…o ‚ um procedimento de rotina para pacientes v•timas de traumatismos que necessitam de suporte ventilat„rio. Diante disto, a via a‚rea cir‰rgica pode ser alcan†ada, na sala de emerg€ncia, atrav‚s da cricotireoidostomia, seja feita por pun†…o ou cir‰rgica. Trata-se de um ato m‚dico, que deve ser evitada em crian†as com idade inferior a 12 anos. O ponto anatômico a ser observado e utilizado como refer€ncia para a cricotireoidostomia ‚ a membrana ou ligamento cricotire„ideo mediano; podemos simplesmente puncionƒ-lo, atrav‚s do gelco 14 (cricotireoidostomia por pun†…o), ou ainda, introduzir uma c‡nula atrav‚s de uma abertura incisional (cricotireoidostomia cir‰rgica). Indicações.  Tempo  Falta de material ou profissional habilitado  Insucesso da intuba†…o  Agita†…o  Grandes traumas de face  Mallampati desfavorƒvel Cricotireoidostomia por punção. Esta t‚cnica permite rƒpida penetra†…o na via a‚rea para ventila†…o temporƒria, quando da impossibilidade das t‚cnicas previamente citadas. Consiste na coloca†…o de c‡nula plƒstica calibrosa n‰meros 12 a 14 para adultos e 16 a 18 para crian†as, atrav‚s da membrana cricotireo•dea. A c‡nula ‚ conectada a oxig€nio com volume de 15L/min com conec†…o em Y ou tubo de borracha, contendo um orif•cio lateral entre a fonte de oxig€nio e a c‡nula que estƒ na membrana cricotireo•dea. O paciente em posi†…o supina, se faz uma pequena incis…o com l‡mina 11 na linha m‚dia, inserindo a agulha direcionada em 45› no sentido caudal, aspirando Œ medida que vai avan†ando pelos planos anat•micos. Quando o conte‰do da agulha for de ar, remove-se a agulha e seringa, conectando ao tubo plƒstico e fixando o cateter no pesco†o do paciente. As principais complica†ˆes s…o as perfura†ˆes, enfisema subcut‡neo, les…o tire„idea, etc. A insufla†…o intermitente pode ser conseguida fazendo-se o oxig€nio entrar na via a‚rea por 1s e interrompendo sua entrada por 4s, atrav‚s da oclus…o ou n…o do orif•cio lateral da fonte de oxig€nio ou de um bra†o do Y. Tanto nesta t‚cnica como com o cateter transtraqueal, o paciente pode ser oxigenado adequadamente por 30 a 45min. Como
  • 75.
    Arlindo Ugulino Netto– MEDICINA DE URG•NCIA – MEDICINA P8 – 2011.1 75 conseqœ€ncia da exala†…o inadequada, o di„xido de carbono acumula e limita o uso desta t‚cnica, especialmente em pacientes com trauma de cr‡nio. Pode tamb‚m ocorrer barotrauma. Cricotireoidostomia cirúrgica. Atrav‚s de uma incis…o na pele, especificamente na membrana cricotire„idea, se introduz uma sonda traqueal ou c‡nula de traqueostomia de pequeno calibre (#5 a #7). Complicações.  Aspira†…o de sangue  Cria†…o de falso trajeto  Edema subgl„tico  Estenose de laringe  Hemorragias/hematomas  Les…o de es•fago  Les…o de traqu‚ia TORACOCENTESE A toracocentese ‚ a pun†…o torƒcica atrav‚s de agulha. A principal indica†…o ‚ diante dos casos de pneumot„rax hipertensivo, que se apresenta clinicamente com grau avan†ado de dispn‚ia, turg€ncia jugular (pode se mostrar ausente, quando o paciente apresenta associado a hipovolemia), satura†…o de oxig€nio baixo, timpanismo Œ percuss…o, murm‰rio vesicular abolido do lado acometido, desvio da traqu‚ia. Š uma medida paliativa diante do pneumot„rax hipertensivo. O paciente deve se posicionar em ortostatismo, o m‚dico deve introduzir Jelco 14 com tampa tipo luer-lock, no segundo espaco intercostal, linha m‚dio-clavicular, no rebordo costal superior da terceira costela. Ap„s a introdu†…o do Jelco, com o esvaziamento, devemos conectar a tampa para fechƒ-lo, monitorizando, periodicamente. Portanto, ap„s a descompress…o, o m‚dico deverƒ fechar o Jelco com uma tampa e, caso o paciente apresente outro epis„dio, a tampa deverƒ ser removida. O tratamento definitivo ‚ com a drenagem torƒcica em selo d’ƒgua ou toracotomia. Complicações.  Hematoma local  Pneumot„rax  Les…o pulmonar DRENAGEM TOR…CICA A drenagem torƒcica ‚ realizada em regime de anestesia local, com uma incis…o transversa na pele (2 a 3 cm), no quinto espa†o intercostal, linha axilar m‚dia. O pr„ximo passo ‚ a divuls…o muscular com pin†a hemostƒtica, junto Œ borda superior da costela, com explora†…o digital. O dreno torƒcico ‚ introduzido para cima, em dire†…o Œ parede posterior e conectado ao sistema fechado em selo d’ƒgua (o borbulhamento indica a eficƒcia da t‚cnica). Em seguida, o tubo ‚ fixado Œ pele, com curativo. Alguns exames de controle, tais como radiografia, oximetria de pulso, gasometria arterial podem ser feitos. Complicações.  Les…o de „rg…os intratorƒcicos ou intraabdominais  Empiema pleural  Les…o de nervo, art‚ria e veia intercostal  Pneumot„rax e/ou Hemot„rax  Posicionamento incorreto do tubo MONITORIZA‚„O A oximetria de pulso ‚ uma medida auxiliar que deve ser preconizada jƒ no exame primƒrio. Atrav‚s do ox•metro, podemos evidenciar a frequ€ncia card•aca e a satura†…o de oxig€nio no sangue. As presilhas do ox•metro podem ser fixadas na ponta dos dedos ou l„bulos das orelhas. As altera†…o dos par‡metros podem estar associados aos seguintes casos:  Hip„xia (baixa perfus…o perif‚rica)  Hipotens…o  Hipotermia  Compress…o arterial  Anemia acentuada  Carboxihemoglobina  Luz ambiente intensa pode alterar a medi†…o
  • 76.
    Arlindo Ugulino Netto– MEDICINA DE URG•NCIA – MEDICINA P8 – 2011.1 76 MED RESUMOS 2011 NETTO, Arlindo Ugulino; LISBOA, Jo…o Bruno. MEDICINA DE URGÊNCIA E TERAPIA INTENSIVA INTRODUÇÃO À VENTILAÇÃO MECÂNICA (Professor Ciro Leite Mendes) A ventila†…o mec‡nica (VM) ou, como seria mais adequado chamarmos, o suporte ventilat„rio, consiste em um m‚todo de suporte para o tratamento de pacientes com insufici€ncia respirat„ria aguda ou cr•nica agudizada. Atualmente, a VM corresponde a um assunto de grande import‡ncia para os profissionais da terapia intensiva e para quem atende emerg€ncias, uma vez que a maioria dos pacientes que d…o entrada nestes servi†os necessita, em alguma fase de sua interna†…o, ser ventilada artificialmente. Para entender as bases da VM, ‚ necessƒrio um conhecimento m•nimo referente Œ f•sica dos gases e da fisiol„gica respirat„ria, principalmente no que diz respeito Œ maneira pela qual a caixa torƒcica e o pulm…o funcionam ou interagem entre si. FISIOLOGIA RESPIRAT†RIA B…SICA A inspira†…o ‚ um processo ativo e, portanto, exige um gasto de energia relativo para que a contra†…o de determinados m‰sculos realizem a expans…o pulmonar. Os m‰sculos inspirat„rios incluem diafragma, intercostais externos, internos, escalenos e o esternocleidomast„ideo. O diafragma ‚ o principal m‰sculo da inspira†…o, sendo ele inervado pelo nervo fr€nico (C3 a C5). Š constitu•do por uma por†…o central tendinosa e uma por†…o perif‚rica muscular que se liga as costelas inferiores e Œ coluna. Em condi†ˆes basais, ele apresenta uma convexidade voltada para o t„rax. No momento em que chega o est•mulo respirat„rio, o diafragma se retifica, perdendo sua convexidade e aumentado, relativamente, a cavidade torƒcica em seu di‡metro cr‡nio-caudal. Quando a musculatura intercostal ‚ ativada, por sua vez, as costelas se retificam e, com isso, aumenta-se o di‡metro ‡ntero-posterior do t„rax. Com a expans…o da cavidade torƒcica (e, consequentemente, da pleura parietal), os pulmˆes s…o obrigados a expandir junto, pois entre as pleuras, existe uma press…o negativa (vƒcuo) que sofre redu†…o com esta expans…o. No momento em que esta press…o interpleural se torna mais negativa, a pleura parietal “puxa” a pleura visceral e, com isso, o pulm…o se expande, junto Œ cavidade torƒcica, mesmo sem existir ligamento algum entre essas estruturas. No momento em que o pulm…o se expande, a press…o intrapulmonar tamb‚m reduz, gerando um gradiente de press…o quando em compara†…o com a atmosfera. No momento em que a press…o intrapulmonar torna-se inferior Œ press…o atmosf‚rica, esta diferen†a de press…o permite a forma†…o de um fluxo a‚reo que, se as vias a‚reas permanecerem abertas (p‚rvias), faz com que o ar entre no pulm…o e permita a troca gasosa, em n•vel alveolar, com o sangue que chega aos pulmˆes.
  • 77.
    Arlindo Ugulino Netto– MEDICINA DE URG•NCIA – MEDICINA P8 – 2011.1 77 A expira†…o, por sua vez, ‚ um processo passivo – basta apenas que os m‰sculos inspirat„rios relaxem. Contudo, dependendo da demanda metab„lica do organismo, como ocorre na expira†…o for†ada dos exerc•cios f•sicos, entra em a†…o a musculatura expirat„ria. Os m‰sculos expirat„rios s…o: m‰sculos da parede abdominal, intercostais internos. Portanto, o processo de ventila†…o, principalmente no que diz respeito Œ inspira†…o, ocorre gra†as a forma†…o de uma press…o negativa intrapulmonar, fazendo com que haja um gradiente de press…o com o meio, permitindo o deslocamento da coluna a‚rea. Partindo-se deste pressuposto, nota-se que a ventila†…o que ‚ feita durante o processo de ressuscita†…o cardiopulmonar (a chamada “respira†…o boca-a-boca”) consiste em uma ventila†…o por press…o positiva: ao inv‚s de criar uma press…o negativa dentro da caixa torƒcica e, assim criar fluxo a‚reo, na ventila†…o de reanima†…o cria-se uma press…o positiva responsƒvel por lan†ar a coluna de ar desde as vias a‚reas superiores at‚ as inferiores. A VM ou ventila†…o artificial funciona da mesma maneira. O ventilador mec‡nico garante uma respira†…o ou ventila†…o por press…o positiva, fazendo o papel que o reanimador faria atrav‚s de uma “respira†…o boca-a-boca”. Contudo, a VM consiste na utiliza†…o de um tubo, que deve ser inserido ao longo das vias a‚reas superiores (atrav‚s da boca – intubação orotraqueal – ou do nariz – intubação nasotraqueal , sendo esta muito pouco utilizada atualmente) ou diretamente na via a‚rea inferior atrav‚s de uma cricotireoidostomia (feita na urg€ncia) ou de uma traqueostomia (feita de carƒter eletivo). Independente da forma de inser†…o do tubo, cria-se um contato entre o meio externo e a traqueia do paciente e, com o aux•lio de um ventilador artificial, se estabelece uma ventilação por pressão positiva . HIST†RICO Na Universidade de Pƒdua, uma das mais importantes da Itƒlia, surgiram os trabalhos de Andreas Vesalius (Bruxelas, 1514 — Zƒkinthos, 1564), que publicou a obra De Humani Corporis Fabrica, em 1543, estabelecendo as imprescind•veis rela†ˆes anƒtomofisiol„gicas do corpo humano. Em sua obra, ele relatou: “...mas a vida pode ser restaurada ao animal, desde que uma abertura seja tentada no tronco da traqu…ia, na qual um tubo de bambu deve ser inserido. Voc• deverƒ entˆo soprar dentro dela, de tal forma que os pulm‰es se levantem e possam se encher de ar...” Neste texto, Vesalius descrevia o que at‚ ent…o era “in‚dito”: realiza†…o da primeira ventila†…o artificial em que se tem relato, a t‚cnica de traqueostomia e a reanima†…o cardiopulmonar. At‚ ent…o, as t‚cnicas de reanima†…o cardiopulmonar eram, no m•nimo, rudimentares: queimar o indiv•duo com ferro em brasa, jogƒ-lo ladeira abaixo em um barril, amarrƒ-lo a um cavalo a galope, fulmega†…o (introduzir fuma†a por via digestiva baixa), etc. Entretanto, por volta do s‚culo XVIII - XIX, quando surgiram a maioria dos conceitos que se tem da medicina atual, a ideia sugerida por Versalius caiu no esquecimento. Desta ‚poca, existem relatos de indiv•duos que tentavam a ventila†…o atrav‚s do uso de foles, acoplados diretamente na boca da v•tima em parada. Entretanto, a press…o gerada por estes instrumentos era muito elevada, provocando barotraumas. Depois de constatada que tal t‚cnica era ineficaz e perigosa, foram criadas ideias que tentavam imitar a respira†…o fisiol„gica. Foi criada, por exemplo, a t‚cnica do “pulm…o de a†o”, em que se colocava o corpo do indiv•duo dentro de um compartimento totalmente vedado, apenas com uma vƒlvula acoplada a aparelhos que geravam diferen†as de press…o dentro da c‡mara. Criava-se, ent…o, uma press…o negativa dentro do cilindro, o que fazia com que o sujeito respirasse, a partir da expans…o de seu t„rax. A ideia, considerada pertinente, foi aproveitada por empresas (como a DraggŸr) durante a d‚cada de 50 (s‚culo XX), e que passou a ser utilizado como padr…o de ventila†…o mec‡nica da ‚poca (quando n…o se admitia ventilar um indiv•duo que n…o fosse por press…o negativa).
  • 78.
    Arlindo Ugulino Netto– MEDICINA DE URG•NCIA – MEDICINA P8 – 2011.1 78 Depois das grandes guerras de meados do s‚culo XX, a medicina sofreu um grande avan†o (no que diz respeito, inclusive, a reanima†…o de pacientes). At‚ este momento, a principal causa de morte no ‡mbito respirat„rio se caracterizava por insufici€ncias respirat„rias decorrentes de patologias que alteravam, principalmente, o sistema neuromuscular – como a poliomielite, para ser mais espec•fico. Na ocasi…o, eram assistidas por estes aparelhos. Uma das principais cr•ticas Œ utiliza†…o destes aparelhos era a incapacidade que se tinha para realizar uma higiene adequada dos pacientes submetidos a esta terapia, aumentando-se os •ndices de infec†…o e escaras, al‚m da dificuldade em aspirar secre†ˆes. No p„s-Segunda Guerra Mundial, ocorreu uma grande epidemia de poliomielite nos pa•ses do hemisf‚rio norte, principalmente nos Estados Unidos e Pa•ses N„rdicos. A procura por hospitais que apresentavam o pulm…o de a†o como recurso era muito grande – mas a disponibilidade destes aparelhos era cada vez menor. Frente a esta defici€ncia, o professor Lassen, professor de uma universidade de medicina em Copenhagen, passou a traqueostomizar todos os pacientes e utilizar os aparelhos que compunham os carrinhos de anestesia (somente os anestesistas faziam uso da ventila†…o por press…o positiva durante as cirurgias, visto que esse procedimento levaria algumas horas, apenas). No momento em que esta conduta foi tomada, observou-se uma redu†…o de quase 50% da mortalidade dos pacientes, quando se comparava aos pacientes que faziam uso da ventila†…o por press…o negativa. Uma das razˆes que fez com que esse procedimento fosse mais efetivo que o pulm…o de a†o foi a capacidade de realizar uma melhor higiene e aspira†…o de secre†ˆes, evitando infec†ˆes. A partir da d‚cada de 50, a ventila†…o mec‡nica por press…o positiva passou a ser, efetivamente, utilizada de maneira rotineira, depois do surgimento das Unidades de Terapia Intensiva. Hoje em dia, praticamente, n…o se utiliza mais os pulmˆes de a†o nem outro m‚todo de ventila†…o por press…o negativa. CLASSIFICA‚„O DO SUPORTE VENTILAT†RIO Atualmente, classifica-se o suporte ventilat„rio em dois grandes grupos:  Ventila†…o mec‡nica invasiva  Ventila†…o n…o invasiva (VNI). Nas duas situa†ˆes, a ventila†…o artificial ‚ conseguida com a aplica†…o de press…o positiva nas vias a‚reas. A diferen†a entre elas fica na forma de libera†…o de press…o: enquanto na ventila†…o invasiva utiliza-se uma pr„tese introduzida na via a‚rea, isto ‚, um tubo oro ou nasotraqueal (menos comum) ou uma c‡nula de traqueostomia, na ventila†…o n…o invasiva, utiliza-se uma mƒscara como interface entre o paciente e o ventilador artificial.
  • 79.
    Arlindo Ugulino Netto– MEDICINA DE URG•NCIA – MEDICINA P8 – 2011.1 79 FUNDAMENTOS SOBRE O VENTILADOR PULMONAR ARTIFICIAL MICROPROCESSADO Sabe-se que o oxig€nio e o ar comprimido armazenados em reservat„rios hospitalares se apresentam em altas pressˆes. Se este oxig€nio fosse simplesmente ofertado para a via a‚rea do paciente, muito provavelmente, causar•amos barotraumas importantes. Š necessƒrio, portanto, um equipamento que aproveite esta press…o gerada nos reservat„rios e regule o fluxo dos gases (oxig€nio e ar comprimido) de tal forma que ele seja entregue ao paciente de uma maneira fisiol„gica, com pressˆes e fluxo adequados. Š a• onde entra a import‡ncia do ventilador mecânico (ou artificial). O ventilador mec‡nico (termo que deveria ser substitu•do por ventilador pulmonar artificial ou VPA) nada mais ‚ que um dispositivo que se interpˆe entre a fonte de oxig€nio/ar comprimido e o pulm…o; ele regula quando, quanto e como o ar deve ser ofertado aos pulmˆes, al‚m de cuidar tamb‚m da sa•da deste ar (ver OBS 1 e OBS 2 ). OBS1 : A expira†…o, seja no modo natural ou artificial, consiste em um processo puramente passivo. Como vimos anteriormente, ela ‚ iniciada com a desativa†…o do est•mulo previamente gerado pelo centro respirat„rio, os m‰sculos inspirat„rios relaxam e, associados a outros fatores (como a a†…o da elastina e do colƒgeno pulmonar, al‚m da pr„pria tens…o superficial alveolar), fazem com queocorra o aumento da press…o intrapulmonar, gerando um gradiente de press…o que tende a expulsar o ar, promovendo fluxo no sentido contrƒrio. OBS2 : Sabendo-se que a expira†…o ‚ um processo passivo at‚ mesmo durante a respira†…o artificial, o ventilador pulmonar mec‡nico participa da expira†…o apenas deixando de injetar ar na via a‚rea do paciente, abrindo a válvula expiratória ou de exalação, fazendo com que o ar deixe os pulmˆes gra†as ao recolhimento elƒstico dos pulmˆes e da caixa torƒcica. Portanto, o ventilador pulmonar artificial (VPA) atual consiste em um dispositivo dotado de componentes modernos, semelhantemente a um computador. A figura abaixo mostra de forma simplificada o funcionamento de um respirador microprocessado. Dentre os seus principais componentes, temos:  Uma vƒlvula ligada Œ fonte de oxig€nio/ar comprimido. Esta vƒlvula apresenta um mecanismo de controle que regula a velocidade de fluxo com que o ar entra no pulm…o do paciente.  Ramo inspirat„rio: consiste em um tubo que direciona todo o oxig€nio/arcomprimido oriundo do ventilador para a via a‚rea do paciente.  Uma vƒlvula de exala†…o ou vƒlvula expirat„ria que, quando ativada durante a fase de expira†…o, permite a sa•da do ar de forma passiva e realiza a leitura de dados referentes ao seu pr„prio funcionamento.  Transdutores de press…o e de fluxo, ligados a uma s‚rie de aparelhos informƒticos, como processadores, pain‚is de controle e monitor, fornecem ao operador as informa†ˆes necessƒrias para manejo correto da via a‚rea do paciente. A forma com que o VPA interage com o paciente e com o seu operador ‚ bastante simples. No painel de controle, o operador determina o modo que ele considera ser o mais efetivo para o paciente. Este modo ‚ ent…o interpretado por uma central de processamento (CPU, que funciona como um processador de um microcomputador qualquer) na forma de um algoritmo comum. Ap„s a programa†…o do modo e dos par‡metros ventilat„rios no painel de controle, o fluxo inspirat„rio ‚ liberado atrav‚s da vƒlvula inspirat„ria para o paciente pelo ramo inspirat„rio do circuito do ventilador. Al‚m disso, a CPU recebe informa†ˆes constantes referentes Œs caracter•sticas de fluxo e press…o nas vias a‚reas (atrav‚s de transdutores e sensores de press…o e fluxo conectados ao sistema de ventila†…o, que enviam tais dados para o CPU, onde s…o integrados e associados Œs informa†ˆes pr‚-determinadas pelo operador). A CPU ainda tem a fun†…o de controlar a vƒlvula de exala†…o e a vƒlvula de fluxo, a merc€ do comando do operador. O operador pode determinar, por exemplo, o tempo de inspira†…o do paciente. Se ele determinar no painel de controle uma “inspira†…o de 1 segundo”, a CPU processa esta informa†…o e envia a informa†…o para a vƒlvula de fluxo (ligada Œ fonte de oxig€nio/ar comprimido), a qual serƒ regulada para que o fluxo gerado seja o suficiente apenas para uma respira†…o que vai durar 1 segundo. O fluxo ‚, ent…o, checado por sensores para avaliar a efetividade deste comando. No momento em que o operador modificar o modo respirat„rio, a CPU processa este comando e todas as informa†ˆes que recebe dos sensores localizados no sistema de ventila†…o, dando ao operador as informa†ˆes necessƒrias para melhor regulagem das vƒlvulas de fluxo e de exala†…o.
  • 80.
    Arlindo Ugulino Netto– MEDICINA DE URG•NCIA – MEDICINA P8 – 2011.1 80
  • 81.
    Arlindo Ugulino Netto– MEDICINA DE URG•NCIA – MEDICINA P8 – 2011.1 81 INDICA‚ƒES B…SICAS DE VENTILA‚„O MECˆNICA Basicamente, devemos indicar a VM nas seguintes situações:  Insuficiência Respiratória Aguda (PaO2/FiO2 < 200)  Situação de risco à vida  Instalação súbita  Situações de perda do drive (ou força) respiratório(a) induzidas (previstas):  Intra-operatório: anestesia.  Pós-operatório: suporte na UTI a procedimentos de grande porte e recuperação anestésica. OBJETIVOS DA VENTILA‚„O MECˆNICA  Garantir a ventilação alveolar  Possibilitar a troca gasosa adequada  Aliviar a dispneia  Promover repouso e recondicionamento dos músculos respiratórios CICLO VENTILAT†RIO Para melhor entendimento dos modos da ventilação mecânica e interpretação os gráficos obtidos através deles, é necessário conhecer as bases do ciclo ventilatório. O ciclo ventilatório durante a ventilação mecânica com pressão positiva pode ser dividido em: 1. Fase inspiratória: Corresponde à fase do ciclo em que o ventilador realiza a insuflação pulmonar, conforme as propriedades elásticas e resistivas do sistema respiratório. Válvula inspiratória aberta; 2. Mudança de fase (ciclagem): Transição entre a fase inspiratória e a fase expiratória; 3. Fase expiratória: Momento seguinte ao fechamento da válvula inspiratória e abertura da válvula expiratória, permitindo que a pressão do sistema respiratório equilibre-se com a pressão expiratória final determinada no ventilador; e 4. Mudança da fase expiratória para a fase inspiratória (disparo): Fase em que termina a expiração e ocorre o disparo (abertura da válvula inspiratória) do ventilador, iniciando nova fase inspiratória. Este ciclo ventilatório é, portanto, determinado pelos fatores citados logo abaixo e, através da análise e da manipulação deles, nós deveremos ajustar os modos da ventilação mecânica:  Fluxo (Ṽ=volume/tempo): deslocamento de um volume de uma mistura gasosa  Pressƒo: resultante da interação entre fluxo e resistência ao seu deslocamento (circuito, tubo, vias aéreas).  Volume: quantidade de determinada mistura gasosa (L ou ml).  Tempo: tempo inspiratório (TI) e expiratório (TE). PARˆMETROS A SEREM REGULADOS Como estudaremos a partir deste momento, existem alguns parâmetros que caracterizam o funcionamento do ventilador mecânico. São eles que devem ser devidamente ajustados para cada paciente.  FiO2: é a fração de O2 (em porcentagem) na mistura gasosa oferecida ao paciente pelo ventilador mecânico. O valor mínimo aceito pelo ventilador é de 21%. De antemão, colocar a 100%, sendo readequada assim que se confirmar a SaO2% adequada (>93%).  Volume corrente: o volume a ser injetado nos pulmões a cada inspiração (em média 8-9 ml/kg de PBW/ciclo)  Modo: relaciona-se com a maneira que se iniciará a fase inspiratória do ciclo respiratório. O disparo é termo que se dá à forma pela qual o modo do ventilador mecânico inicia esta inspiração. Optar pelo modo Assistido-Controlado ou SIMV.  Ciclagem: corresponde ao fator que determina o final da fase inspiratória e começo da fase expiratória. Este fator, também pré-determinado pelo operador, encerra a inspiração e inicia a expiração. Optar pela ciclagem por volume, inicialmente.  Rela‚ƒo inspira‚ƒo:expira‚ƒo (TI:T2): depende da frequência respiratória, do fluxo inspiratório e o volume corrente.  PEEP (do ingl•s, positive end expiratory pressure): pressão positiva ao final da expiração. Geralmente, é de 5,0 cm H2O.  Frequ•ncia RespiratŠria (f prog): manter, geralmente, 14-16 rpm.  Fluxo: velocidade com que a mistura gasosa é injetada nos pulmões (em média 1 litro/kg)  Regulagem de alarmes: inicialmente, optar pelo alarme de pico de pressão e Volume Minuto.
  • 82.
    Arlindo Ugulino Netto– MEDICINA DE URG•NCIA – MEDICINA P8 – 2011.1 82 MODOS DA VENTILA‚„O MECˆNICA Š importante, durante o estudo de Introdu†…o Œ Ventila†…o Mec‡nica, conhecer os modos de VM que regulam esta prƒtica. O modo, na verdade, diz respeito Œ maneira pela qual a fase inspiratória do ciclo respirat„rio serƒ iniciada. Š importante salientar que o modo deve ser escolhido de acordo com a situa†…o cl•nica em que estƒ o paciente. Existem, basicamente, tr€s tipos de modo e seus respectivos tipos de disparo:  Modo controlado: o disparo da inspira†…o ‚ absolutamente controlado pelo computador, trabalhado referente a um tempo pr‚-determinado. o Disparo da inspira†…o a tempo: o disparo da inspira†…o ‚ marcado por intervalo de tempos regulados previamente determinados pelo operador. Pode-se determinar neste modo, por exemplo, que o paciente tenha um n‰mero exato de incursˆes respirat„rias por minuto. Se, por exemplo, o moderador determina uma frequ€ncia respirat„ria de 15 irpm, o computador passa a disparar e abrir a vƒlvula inspirat„ria a cada 4 segundos (somando, ao final, 15 disparos ao longo de um minuto).  Modo assistido-controlado (misto): os tipos de disparo deste modo trabalham de forma a atender as necessidades imediatas do paciente: o computador apenas auxilia, disparando a inspira†…o, caso o paciente n…o seja capaz de inspirar sozinho naquela ocasi…o. O modo misto trabalha em cima de tr€s tipos de disparo: o Disparo da inspira†…o Œ press…o o Disparo da inspira†…o Œ fluxo o Disparo da inspira†…o por est•mulo neural  Modo assistido: o ventilador continua a oferecer oxig€nio/ar comprimido em valores pr‚-determinados; entretanto, a respira†…o depende totalmente do esfor†o inspirat„rio do paciente – se ele n…o tentar inspirar, o VM n…o promove a respira†…o. Praticamente, n…o mais utilizado hoje em dia. MODO CONTROLADO Neste caso, o ventilador realiza todo o processo de ventila†…o, independente da vontade e est•mulo do paciente. A frequ€ncia respirat„ria programada (f prog) serƒ a frequ€ncia total. Com isso, conclui-se que este modo trabalho, exclusivamente, baseando-se no disparo a tempo. O modo controlado diz respeito, portanto, Œquela inspira†…o que ‚ iniciada a depender, exclusivamente, de um comando predeterminado pelo operador e controlado pelo ventilador pulmonar artificial, de modo que o paciente n…o tem poder sobre este controle. Antigamente, todos os ventiladores artificiais s„ apresentavam este modo como fun†…o exclusiva. Entretanto, atualmente, este modo s„ pode ser utilizado em uma circunst‡ncia: quando o paciente n…o apresentar nenhum tipo de est•mulo respirat„rio. Caracteriza esta circunst‡ncia um paciente completamente paralisado e/ou anestesiado. Portanto, trabalhando neste modo, o computador n…o s„ tem o controle absoluto sobre o tempo exato de quando vai acontecer a respira†…o como tamb‚m tem o poder de determinar quanto tempo vai durar a inspira†…o e a expira†…o. Baseando-se nisso, a utiliza†…o deste modo deve ser restrita para esses casos especiais, pois, nem sempre, o paciente necessita de uma frequ€ncia respirat„ria fixa (uma vez que fisiologicamente, a cada minuto, sofremos mudan†as na nossa FR a depender da demanda fisiol„gica moment‡nea). Desta forma, este modo pouco se assemelha Œs condi†ˆes fisiol„gicas – muito embora seu uso seja indispensƒvel para pacientes com completa depress…o respirat„ria. Com isso, se o paciente ‚ submetido ao modo puramente controlado (por tempo), ele pode estar respirando mais do que precisa, de modo que vai chegar a um determinado ponto em que o paciente vai necessitar “jogar ar para fora”, e o ventilador tentando “jogar ar para dentro”. Nestas situa†ˆes, al‚m do desconforto gerado ao paciente, hƒ o risco de barotrauma. MODO ASSISTIDO-CONTROLADO O modo assistido-controlado ‚ a fun†…o do VM utilizada para permitir uma intera†…o inicial entre paciente e ventilador, de modo que o paciente pode disparar a fase inspirat„ria a depender de sua vontade/necessidade. Os par‡metros deste ciclo disparado ser…o os mesmos dos ciclos controlados. Desta forma, neste modo, temos:  Frequ€ncia Total = Frequ€ncia programada + Frequ€ncia assistida  Neste modo, o pr„prio paciente determina sua pr„pria frequ€ncia respirat„ria e seu volume minuto, uma vez que a sua autonomia respirat„ria ‚ mantida. Portanto, o modo assistido-controlado ‚ o modo em que o ventilador pulmonar artificial apenas exerce um “aux•lio” Œ vontade de respirar do pr„prio paciente: ele trabalha monitorizando a fun†…o respirat„ria do paciente, permitindo que ele determine, a depender de sua vontade, o disparo da inspira†…o. Contudo, quando o paciente n…o se mostra capaz de inspirar, o computador processa esta incapacidade (a depender dos valores de par‡metros como o fluxo, a press…o ou o est•mulo neural da respira†…o) e passa a ventilar pelo paciente, fornecendo a ele o oxig€nio/ar comprimido necessƒrio para aquele ciclo respirat„rio. Este modo trabalha baseando-se em tr€s tipos de disparo:
  • 83.
    Arlindo Ugulino Netto– MEDICINA DE URG•NCIA – MEDICINA P8 – 2011.1 83  Disparo a pressão: como se sabe, no momento em que inspiramos, gera-se uma pressão negativa no interior das vias respiratórias para que o fluxo aéreo flua naturalmente para dentro dos pulmões. Desta forma, pode-se programar o ventilador para detectar um valor de pressão que possa caracterizar um esforço respiratório vigoroso (como -2cmH2O, por exemplo) e, consequentemente, a vontade própria do paciente em respirar, fazendo com que o ventilador auxilie no curso desta respiração. Portanto, a depender dos valores que os sensores de pressão do VPA detectam na via respiratória do paciente, o aparelho dispara a inspiração, auxiliando o doente a respirar no momento em que os valores pressóricos de sua via respiratória caem abaixo de valores pré-determinados pelo operador.  Disparo a fluxo: quando iniciamos uma inspiração, geramos um fluxo direcionado para a via aérea. Utilizando esta forma de disparo, o ventilador pulmonar artificial trabalha, agora, utilizando os seus sensores de fluxo e, no momento em que o paciente, por conta própria, esboça a criação de um determinado fluxo, o processador analisa (tomando como base o valor de fluxo pré-determinado pelo operador) e oferece oxigênio/ar comprimido ao sistema de tubos, fazendo isso sempre que for necessário, sem excluir a autonomia respiratória do paciente. O fluxo ideal é de cerca de 2 L de ar/min.  Disparo neural: consiste na utilização de um eletrodo (alojado na transição esôfago-gástrica) sensível a estímulos elétricos que chegam ao diafragma. Desta forma, quando diafragma recebe o estímulo neural, o eletrodo capta este potencial e ativa o ventilador para disparar a inspiração. É, na prática, um tipo de disparo pouco utilizado. Uma vez que este modo depende da vontade do paciente em respirar, ele só poderá ser utilizado quando o paciente ainda apresentar algum tipo de estímulo respiratório. Caracteriza esta circunstância aquele paciente que está em sedação leve ou que está em recuperação anestésica e bloqueadores musculares que, ao passo em que seus efeitos vão desaparecendo, o paciente começa a respirar por conta própria. Como o período de transição entre a incapacidade respiratória e o retorno da consciência é impreciso e perigoso (o paciente pode morrer asfixiado, se não for bem assistido), o modo assistido-controlado, através de seus disparos, mostra-se eficaz para o manejo deste paciente. Exemplo gráfico do disparo a tempo e disparo a fluxo Neste primeiro momento, nota-se um gráfico de fluxo x tempo, mas ajustado ao disparo a tempo do modo controlado pelo ventilador. Neste caso, o operador pré-determinou a frequência respiratório que ele acha prudente para aquele paciente. Isso pode ocorrer também em casos de modo assistido-controlado em que o paciente não conseguiu realizar o estímulo para disparo (ver OBS5 ) Neste momento, entretanto, nota-se uma curva de fluxo x tempo ajustado ao disparo a fluxo do modo assistido-controlado. A diferença está no pequeno entalhe localizado parte inicial da curva ascendente de fluxo, representando o fluxo inicial que o paciente, por conta própria, inspirou e que, logo em seguida, disparou a inspiração por conta do aparelho, injetando ar no pulmão do paciente. Exemplo gráfico do disparo a tempo e disparo a pressão Neste primeiro momento, nota-se um gráfico de pressão x tempo, mas ajustado ao disparo a tempo do modo controlado pelo ventilador. Neste caso, o operador pré-determinou a frequência respiratória que ele acha prudente para aquele paciente. Isso pode ocorrer também em casos de modo assistido-controlado em que o paciente não conseguiu realizar o estímulo para disparo (ver OBS5 ) Neste momento, entretanto, nota-se uma curva de pressão x tempo ajustado ao disparo a pressão do modo assistido- controlado. A diferença está no pequeno entalhe localizado parte inicial da curva de pressão, representando uma pressão negativa gerada pelo próprio paciente durante um esforço inspiratório, e que desencadeou o disparo do ventilador, injetando ar no pulmão do paciente.
  • 84.
    Arlindo Ugulino Netto– MEDICINA DE URG•NCIA – MEDICINA P8 – 2011.1 84 OBS3 : Feitas todas estas considera†ˆes at‚ ent…o, entende-se melhor o conceito de disparo – Disparo nada mais ‚ que o termo que se atribui Œ forma pela qual o modo de funcionamento do ventilador estƒ programada para iniciar a inspira†…o. Se for disparo a tempo, o tempo determinarƒ o in•cio da inspira†…o; se for disparo a fluxo, o fluxo a‚reo determinarƒ o in•cio da inspira†…o; etc. Portanto, em resumo, temos: quando o disparo ‚ a fluxo, o VPA se utiliza deste par‡metro para iniciar a inspira†…o; quando o disparo for apress…o, o VPA faz uso de valores press„ricos para determinar a necessidade de iniciar a inspira†…o. OBS4 : N…o existem crit‚rios espec•ficos que determinem a escolha entre o disparo, a n…o ser a aceita†…o cl•nica do paciente, sendo prudente a sua observa†…o cl•nica e o teste com os dois tipos de disparo, principalmente. Muito embora, a maioria dos ventiladores modernos analisa estes dois par‡metros de forma associada. OBS5 : Como vimos at‚ ent…o, o modo assistido-controlado funciona a depender de uma solicita†…o aut•noma do paciente, dependendo do seu desejo imediato de respirar. Entretanto, caso o paciente n…o consiga mais gerar estes est•mulos, o ventilador, simplesmente, passa a funcionar no modo controlado e ventilar, automaticamente, o paciente. Portanto, quando optamos pelo modo assistido-controlado, o ventilador dispara a tempo sempre que o paciente n…o realizar nenhum est•mulo respirat„rio; no momento em que ele esbo†ar a vontade de respirar, o ventilador volta a disparar a fluxo ou a press…o. Isso n…o ocorre no modo assistido puro. MODO ASSISTIDO Embora, praticamente, n…o seja mais utilizado, o modo assistido ‚ considerado a fun†…o de desmame para alguns ventiladores mais antigos, sem SIMV (Syncronized Intermitent Mandatory Ventilation) e PS. A frequ€ncia respirat„ria programada ‚ zero. O paciente realiza press…o negativa no circuito, disparando no aparelho um ciclo, com os parâmetros pré- estabelecidos, ou seja, independe da vontade e conforto do paciente em rela†…o a eles (VC, PP, fluxo, etc). A janela de tempo, nesse caso, serƒ infinita. INTERPRETAÇÃO GRÁFICA DOS MODOS DO VENTILADOR PULMONAR ARTIFICIAL Em resumo, temos:  Modo controlado com disparo a tempo: neste modo (puro), o ventilador realiza todo o processo de ventila†…o, independentemente da vontade ou est•mulo do paciente (muito embora, o modo controlado puro n…o ‚ mais utilizado – uma vez que os ventiladores mais modernos jƒ trazem o modo assisto-controlado). Š, teoricamente, indicado para os casos em que o paciente se apresenta com est•mulo respirat„rio marginal ou abolido (anestesia, coma profundo, paralisias severas, etc.). A frequ€ncia programada pelo computador serƒ a frequ€ncia respirat„ria total do paciente. Modo controlado puro Exemplo grƒfico de ventilador programado com disparo a tempo, em uma frequ€ncia de 15 irpm. Ao se determinar uma frequ€ncia respirat„ria, o computador divide 1 minuto pelo valor determinado e, do resultado, ele determina janelas de tempo que correspondem Œ dura†…o de cada ciclo respirat„rio (no caso do exemplo, janelas de 4 segundos). Com isso, a cada janela de tempo, tem-se o in•cio de uma inspira†…o. OBS: A Janela de Tempo corresponde ao per•odo entre os ciclos controlados: Janela de Tempo = 60 / Frequência programada (f prog)  Modo assistido-controlado com disparo a pressão: consiste no modo utilizado para permitir uma intera†…o inicial entre paciente e ventilador, onde o paciente pode disparar a fase inspirat„ria, a partir de dados referentes Œ press…o na sua via a‚rea. Š indicada para pacientes nas fases iniciais da Ventila†…o Mec‡nica ou que est…o se recuperando de situa†ˆes de anestesia e/ou coma induzido, por exemplo. Modo assistido-controlado Exemplo grƒfico de ventilador programado com disparo a press…o, programado a detectar o esfor†o inspirat„rio realizado pelo paciente e representado por um pequeno entalhe na curva de pressão x tempo. Se o paciente n…o realizar esfor†o inspirat„rio, o modo volta a funcionar de forma controlada, e passa a disparar a tempo (a uma frequ€ncia previamente determinada). No momento em que ele expressa novo esfor†o inspirat„rio, o aparelho dispara no modo assistido-controlado e zera a janela de tempo, iniciando uma nova contagem regressiva para um eventual disparo a tempo. Neste modo, portanto, o paciente pode respirar mais do que a frequ€ncia temporal pr‚-determinada pelo operador, mas nunca, pode respirar menos do que este valor.
  • 85.
    Arlindo Ugulino Netto– MEDICINA DE URG•NCIA – MEDICINA P8 – 2011.1 85  Modo assistido: consiste em um modo que não é mais utilizado, a não ser como um modo de desmame para alguns ventiladores mais antigos. A janela de tempo, nesse caso, será infinita. Tem-se a indicação de utilizar este modo nos casos em que se pretende iniciar o desmame ventilatório . Tem como vantagens: melhor sincronismo com o respirador e possibilidade de respiração espontânea . Sua utilização passou a ser substituída pelo modo assitido-controlado. Modo assistido puro Exemplo gráfico de ventilador programado com disparo a pressão, o ventilador está programado para detectar o esforço inspiratório realizado pelo paciente e representado por um pequeno entalhe na curva de pressão x tempo. Observe que no primeiro ciclo (janela 1) o realiza um esforço inspiratório, fazendo com que o aparelho assistida o paciente. No segundo ciclo em um primeiro momento o paciente faz um esforço inspiratório sendo auxiliado novamente pelo ventilador, só que neste mesmo ciclo o paciente faz um segundo esforço que não é suficiente para disparar o ventilador; observe que o aparelho, por não ter o um sistema de proteção, não irá entrar no modo controlado e promover suporte ao paciente (como ocorre no modo assistido-controlado). No último ciclo observe que o paciente faz um esforço inspiratório tendo assim o auxílio do ventilador, mas depois ele não fez nenhum esforço inspiratório e, com isso, o ventilador (que não tem o sistema de proteção) não entra no modo controlado, deixando o paciente em apnéia. Neste modo, portanto, o paciente é obrigado a fazer respirar (esforço inspiratório) para que o ventilador possa auxiliá-lo. Exemplo gráfico de Ventilação em modo controlado puro. Exemplo gráfico de ventilação em modo assitido-controlado. Exemplo gráfico de ventilação em modo assistido.
  • 86.
    Arlindo Ugulino Netto– MEDICINA DE URG•NCIA – MEDICINA P8 – 2011.1 86 CICLAGEM Enquanto que o modo estƒ relacionado com o que determina o in•cio da fase inspirat„ria, a ciclagem ‚ justamente o que se relaciona com o que determina o final da fase inspiratória e começo da fase expiratória. A ciclagem ‚, portanto, a transi†…o entre a inspira†…o e a expira†…o. Desta forma, temos:  Ciclagem a volume: o aparelho cessa a inspira†…o quando o volume corrente jƒ inspirado atinge um valor pr‚- estabelecido, dando, ent…o, in•cio Œ expira†…o. Para isso, o operador determina a quantidade de volume corrente que deve ser injetado na via a‚rea do paciente (800ml, por exemplo); feito isso, o ventilador inicia a inspira†…o, que s„ serƒ encerrada quando os 800ml de ar tiverem sido injetados (independentemente se o paciente tem necessidade de inspirar tal volume).  Ciclagem a pressão: o aparelho cessa a inspira†…o quando a press…o na via a‚rea do paciente atingir um valor pr‚-estabelecido (25cmH2O, por exemplo). Ultrapassado este valor, o computador entende que jƒ teria entrado ar suficiente no pulm…o do paciente e, com isso, encerra a inspira†…o e dƒ in•cio Œ expira†…o.  Ciclagem a fluxo: o aparelho cessa a inspira†…o quando o fluxo inspirat„rio detectado na via a‚rea atingir um valor pr‚-estabelecido (25% do valor de fluxo inicial, durante a parte ascendente da curva inspirat„ria), dando in•cio Œ expira†…o. Sabe-se que, fisiologicamente, o fluxo durante uma inspira†…o normal descreve, inicialmente, uma curva grƒfica ascendente bastante •ngreme (fluxo x tempo), mas que, na medida em que ar passa a ocupar o pulm…o, a curva inspirat„ria come†a a cair. Estudiosos descobriram que, quando a curva de fluxo decrescente cai a valores de 25% com rela†…o ao seu fluxo inicial mƒximo (valor mƒximo que a curva inspirat„ria ascendente alcan†ou), a musculatura respirat„ria ‚ desativada e, neste momento, a inspira†…o ‚ cessada e se inicia a expira†…o. Desta forma, quando ventilador trabalha com ciclagem a fluxo, ele ‚ capaz de identificar quando o paciente atinge o valor de 25% do fluxo inspirat„rio e realiza, neste momento, a abertura da vƒlvula expirat„ria para dar in•cio da expira†…o.  Ciclagem a tempo: o aparelho cessa a inspira†…o quando o tempo inspirat„rio alcan†ar um valor pr‚- estabelecido (1 segundo geralmente), dando in•cio Œ expira†…o. Š comum no modo controlado, e bastante utilizado para crian†as. Existem diferen†as entre esses tipos de ciclagem. Se a complac€ncia pulmonar ‚ normal (sendo complac€ncia a rela†…o entre Volume/Press…o), tanto faz utilizar o volume ou a press…o como preditor da ciclagem. Se, por exemplo, para um paciente como 60kg, ofertamos 360 ml/min (6mL de volume corrente/kg peso/min) e obtemos uma press…o de 15cmH2O, significa dizer que a complac€ncia ‚ normal. Entretanto, se este paciente desenvolve um broncoespasmo, a sua complac€ncia diminui. Neste caso, para injetar os mesmos 360ml/min, serƒ necessƒrio exercer pressˆes muito altas, uma vez que o ventilador encontra uma maior resist€ncia, jƒ que os br•nquios se encontram colabados. Essa press…o, ao inv‚s de 15, pode subir para valores com de 40cmH2O, hipoteticamente – o que ‚ perigoso, sob pena de estourar os alv‚olos do paciente e causar barotrauma (les…o pulmonar induzida por ventila†…o). Ent…o, a ciclagem a volume ou ciclagem a press…o ser…o op†ˆes a serem tomadas de acordo com a necessidade cl•nica que o paciente apresentar. Portanto, se o paciente tem uma complac€ncia muito baixa, ‚ interessante determinar a ciclagem por press…o, para que esta seja fixa (pr‚-determinada) e n…o seja excessiva nas vias a‚reas. PRESS„O DE SUPORTE Este ‚ um modo de ventila†…o mec‡nica espont‡nea, ou seja, disparado e ciclado pelo paciente, em que o ventilador assiste Œ ventila†…o atrav‚s da manuten†…o de uma press…o positiva pr‚-determinada pelo operador durante a inspira†…o at‚ que o fluxo inspirat„rio do paciente reduza-se a um n•vel cr•tico (normalmente 25% do pico de fluxo inspirat„rio atingido). Š, portanto, uma press…o de suporte utilizada para o modo de ciclagem a fluxo. Isto permite que o paciente controle a frequ€ncia respirat„ria e o tempo inspirat„rio e, dessa forma, o volume de ar inspirado. Assim, o volume corrente depende do esfor†o inspirat„rio, da press…o de suporte pr‚-estabelecida e da mec‡nica do sistema respirat„rio. Como desvantagem, este modo funciona apenas quando o paciente apresenta drive respirat„rio.
  • 87.
    Arlindo Ugulino Netto– MEDICINA DE URG•NCIA – MEDICINA P8 – 2011.1 87 RELA‚„O INSPIRA‚„O:EXPIRA‚„O A relação inspiração:expiração (TI/TE) é um dos parâmetros mais importantes da ventilação mecânica. Ela estabelece a relação entre o tempo inspiratório (TI: compreende o período entre a abertura da válvula inspiratória a abertura subsequente da válvula expiratória, no mesmo ciclo respiratório) e o tempo expiratório (TE: compreende a abertura da válvula expiratória e a abertura subsequente da válvula inspiratória, no mesmo ciclo cardíaco). A relação TI/TE é determinada, basicamente, pela frequência respiratória e pelo fluxo inspiratório (quanto maior o fluxo, menor o tempo inspiratório ou TI; o contrário é verdadeiro). Se, por exemplo, o paciente apresenta uma frequência de 15 irpm, sendo TI=1 segundo e TE=3 segundos, para aumentar a frequência para 30 irpm no intuito de manter a mesma relação TI/TE, devemos diminuir, na mesma proporção, tanto o TI quanto o TE (0,5:1,5); se, da mesma forma, aumentarmos a frequência para 20 irpm, como outro exemplo, também devemos diminuir TI e TE na mesma proporção. Desta forma, temos: 20 / 15 = 1,3 1 / 1,3 e 3 / 1,3 = 0,76 e 2,3 Portanto, a relação TI/TE para uma frequência de 20 irpm, neste caso, é de 0,76/2,3 COMPLICA‚ƒES DA VM A ventilação mecânica está associada a vários tipos de complicações que podem agravar a doença do paciente, prolongar o tempo de permanência no respirador ou causar sequelas permanentes. O uso de pressão positiva intratorácica pode prejudicar a ventilação alveolar e a perfusão arterial pulmonar. No recém-nascido pré-termo, devido à imaturidade do sistema respiratório os efeitos indesejáveis são mais frequentes e de maior gravidade. As complicações podem ser de vários tipos: barotrauma, volutrauma, comprometimento da função de outros órgãos e sistemas, problemas relacionados à intubação traqueal e infecção.  Barotrauma: termo utilizado para descrever as alterações patológicas que ocorrem quando o fator agressor primário é a hiperdistensão alveolar. Inclui várias entidades: pneumotórax, enfisema pulmonar intersticial, pneumomediastino, pneumopericárdio e pneumoperitônio.  Volutrauma: volumes elevados podem promover edema pulmonar, alterações importantes na permeabilidade, aumento da filtração e lesão alveolar difusa, enfisema subcutâneo, etc.  Biotrauma (infecções): a via artificial permite o acesso de patógenos à traquéia e vias respiratórias inferiores, com maior risco de pneumonia. Além disso, as bactérias gram-negativas que colonizam o trato gastrointestinal podem alcançar o trato respiratório através de refluxo e aspiração do conteúdo gástrico.  Alterações em órgãos e sistemas  Complicações durante a intubação traqueal e após a extubação CONSIDERA‚ƒES FINAIS  A Ventilação Mecânica evoluiu muito na segunda metade do século XX  Atualmente, existem modos avançados visando minimizar os prejuízos da Ventilação por pressão positiva intermitente (VPPI)  O modo controlado (CV) é modo para pacientes sedados ou sem drive respiratório  Os modos Assistido-Controlados são modos usados para permitir início de interação entre o paciente e o respirador, possibilitando mais conforto e o início eventual de desmame.
  • 88.
    Arlindo Ugulino Netto– MEDICINA DE URG•NCIA – MEDICINA P8 – 2011.1 88 MED RESUMOS 2011 NETTO, Arlindo Ugulino. MEDICINA DE URGÊNCIA E TERAPIA INTENSIVA INTERPRETAÇÃO DOS DISTÚRBIOS DO EQUILÍBRIO ÁCIDO-BÁSICO (Professor Ciro Leite Mendes) São várias as condições patológicas capazes de alterar o equilíbrio ácido-básico. Na célula, o principal mecanismo fisiopatológico que modifica este equilíbrio é a isquemia tecidual. Uma queda acentuada da perfusão tecidual impede a chegada de O2 e nutrientes para as células, assim como a retirada de CO2 e toxinas provenientes do metabolismo. O acúmulo de CO2, ácido lático (formado pelo metabolismo anaeróbio) e outras substâncias ácidas pouco conhecidas leva à progressiva diminuição do pH intracelular, juntamente à perda das reservas de energia celular (ATP). A consequência inicial é a disfunção celular. A consequência final, caso o processo isquêmico seja grave e prolongado, é a autólise e morte celular. O fenômeno isquêmico pode ser localizado em um determinado órgão, levando a um distúrbio ácido-básico tecidual local, ou haver repercussão do pH plasmático, ou ser um processo generalizado, como acontece no estado de choque prolongado e na sepse, levando à disfunção orgânica múltipla e à queda do pH plasmático, principalmente pelo acúmulo de ácido lático no sangue. Partindo do pressuposto que o distúrbio ácido-básico é uma condição extremamente comum nas unidades de terapia intensiva e nas salas de emergência, justificamos a importância de abordar tal assunto durante a graduação em medicina, principalmente quando analisamos as perspectivas a respeito deste assunto. PERSPECTIVAS E IMPORTˆNCIA DO EQUIL‡BRIO …CIDO-B…SICO Em um hospital universitário, 70% dos médicos afirmaram que sabiam interpretar distúrbios ácido-base. Depois da realização de testes, houve apenas 40% de acertos. Em um hospital escola, 1/3 das interpretações levavam a erros no tratamento. Frente a isso, estatísticas mostram que 9 entre 10 pacientes graves têm distúrbios ácido-base. Portanto, somando-se estas estatísticas, podemos concluir que o cenário não é nada favorável e que, a maioria desses pacientes graves tem seu distúrbio diagnosticado ou tratado de maneira inadequada. A manutenção do equilíbrio ácido-básico é fundamental para a homeostasia, uma vez que a maioria das reações químicas no organismo vivo, essenciais para o funcionamento normal das células, ocorrem em faixas estreitas de pH. Qualquer alteração nesta estreita faixa de pH faz com que a maioria destas reações deixem de acontecer (por desnaturação enzimática), fazendo com que as células dos mais variados tecidos entrem em colapso. Além disso, os distúrbios ácido-básico são frequentemente encontrados nos pacientes gravemente enfermos decorrente da doença que os acomete. CONSIDERA‚ƒES GERAIS Os distúrbios ácido-básicos que levam à redução do pH plasmático (acidemia) são chamados de acidoses. Os distúrbios ácido-básicos que levam ao aumento do pH plasmático (alcalemia) são chamados de alcalose. Os distúrbios ácido-básicos podem ainda ser de dois tipos: metabólicos e respiratórios. Os distúrbios ácido- básicos metabólicos são definidos pela alteração primária dos níveis de bicarbonato, enquanto que os distúrbios ácido- básicos respiratórios são definidos pela alteração primária dos níveis de CO2. A interpretação da gasometria arterial também será tema a ser abordado neste capítulo. NO‚ƒES QU‡MICAS B…SICAS Do ponto de vista químico, várias são as formas de definir uma substância ácida e uma substância básica. Do ponto de vista bioquímico, a melhor forma de defini-las se baseia na Classificação de Brönsted-Lowry, que afirma que:  Um ácido é uma substância que, em solução, é capaz de doar prótons (H+). Um ácido forte pode doar muitos íons hidrogênio para a solução, porque uma grande parte das suas moléculas se encontra no estado dissociado (estado iônico);  Uma base é uma substância que, em solução, é capaz de receber prótons. Uma base forte pode captar muitos íons hidrogênio de uma solução. O próton, considerando-se esta classificação, é representado pelo íon H + (uma vez que, o hidrogênio, quando perde seu elétron, passa a ser representado apenas por um próton).
  • 89.
    Arlindo Ugulino Netto– MEDICINA DE URG•NCIA – MEDICINA P8 – 2011.1 89 Portanto, segundo esta classifica†…o, toda subst‡ncia capaz de doar um •on H + ‚ classificada como um ƒcido; toda subst‡ncia capaz de receber este •on H + ‚ classificada como base. A depender da capacidade em doar estes •ons ou de receb€-los, classificados estas subst‡ncias como fortes ou fracas. medida que um ƒcido se torna mais forte, a sua base conjugada torna-se mais fraca ou ƒ medida que as bases tornam-se mais fortes, os seus ƒcidos conjugados tornam-se mais fracos. De forma geral, quando ocorre uma rea†…o ƒcido-base de Br¡nsted-Lowry, a posi†…o de equil•brio situa-se na dire†…o dos ƒcidos e bases mais fracos. DEFINIÇÃO DE pH “pH” ‚ o s•mbolo para a grandeza f•sico-qu•mica potencial hidrogeni•nico. Essa grandeza indica a acidez, neutralidade ou alcalinidade de uma solu†…o aquosa. Em outras palavras, o pH refere-se a uma medida que indica se uma solu†…o l•quida ‚ ƒcida (pH < 7, a 25 ˜C), neutra (pH = 7, a 25 ˜C), ou bƒsica/alcalina (pH > 7, a 25˜C). Uma solu†…o neutra s„ tem o valor de pH = 7 a 25 ˜C, o que implica varia†ˆes do valor medido conforme a temperatura. Matematicamente, o "pH" equivale ao sim‚trico do logaritmo (cologaritmo) de base 10 da atividade dos •ons a que se refere.  Para •ons H + : pH = -log10[aH + ], sendo que aH + representa a atividade  Em solu†ˆes dilu•das (abaixo de 0,1 mol dm −3 ), os valores da atividade se aproximam dos valores da concentra†…o, permitindo que a equa†…o anterior seja assim escrita: pH = -log10[H + ] Tomaremos como base do nosso estudo a mol‚cula da ƒgua, considerada uma subst‡ncia neutra. Levando-se em considera†…o que a mol‚cula de ƒgua se dissolve muito mal, temos: H2O H + + OH - A dissocia†…o da ƒgua forma 1 mol‚cula dissociada (formando um pr„ton H + ) para cada 10.000.000 mol‚culas n…o dissociadas. Desta forma, a concentra†…o de H + na ƒgua ‚ de: 1/10.000.000 ou 0,0000001 ou 1/10 7 ou 1x10 -7 ou 1nEq/l Portanto, a concentra†…o de hidrog€nio em uma solu†…o que s„ cont‚m ƒgua ‚ de 0,0000001 ou 1x10 -7 . Entretanto, ‚ dif•cil para a nossa mente imaginar um n‰mero t…o pequeno como ‚ a rela†…o de dissocia†…o dos pr„tons de ƒgua. Por isso, o pH foi criado. O pH nada mais ‚ que uma fun†…o logar•timica inversa (negativa) da concentra†…o de hidrog€nio. Sua utiliza†…o serve para facilitar a compreens…o e compara†…o destes n‰meros muito pequenos, utilizando-se o logaritmo negativo da concentra†…o de H + . Desta forma, jogando-se o valor de dissocia†…o da ƒgua na fun†…o logar•tmica do pH, teremos: pHH2o =-log1010 -7 = 7. Portanto, sendo a ƒgua uma subst‡ncia neutra, o pH=7 (que representa uma concentra†…o de •ons hidrog€nio de 1x10 -7 dissolvidos em ƒgua), para a qu•mica, representa um ponto neutro na escala de pH. Todavia, para a bioqu•mica, este valor pode ser aumentado a um intervalo (7,35 – 7,45), como veremos mais adiante. SISTEMAS TAMPÃO E EQUILÍBRIO ÁCIDO-BÁSICO A concentração de hidrogênio no plasma ‚ determinada pela rela†…o entre o di„xido de carbono (CO2) e o bicarbonato (HCO3 - ), nesta ordem. Esta rela†…o ‚ expressa pela equação de Henderson, sendo ela: [H + ]sangue = 24 x pCO2 / HCO3 -  pH = 7,4 representa uma concentra†…o de H + de 40 nanomol/L  pH = 7,1 representa uma concentra†…o de H + de 80 nanomol/L Portanto, utilizando-se esta f„rmula, toda vez que tivermos um aumento da press…o parcial de CO2 (pCO2 ou PaCO2), observamos um aumento das concentra†ˆes de H + ; toda vez que tivermos um aumento do HCO3 - , observamos uma diminui†…o dos •ons H + . Portanto, a concentra†…o de hidrog€nio ‚ diretamente proporcional Œ pCO2 e indiretamente proporcional Œs concentra†ˆes de bicarbonato.
  • 90.
    Arlindo Ugulino Netto– MEDICINA DE URG•NCIA – MEDICINA P8 – 2011.1 90 Entretanto, quando se quer determinar o pH do plasma, devemos inverter a relação previamente vista (partindo-se do pressuposto que o pH é uma relação inversa da concentração de hidrogênio), fazendo uso da fórmula de Henderson-Hasselbach. Com isso, temos: pHsangue= 6,10 x log___HCO3____ 0,03 x pCO2 Embora esta fórmula pareça complicada, ela nos permite tirar importantes conclusões acerca do pH sanguíneo, representando o principal conceito do equilíbrio ácido-básico do plasma: o pH plasmático depende da relação bicarbonato/CO2, de modo que, toda vez em que ocorrer aumento da pCO2, observamos uma queda no pH (acidemia, com consequente aumento da concentração de hidrogênio) e toda vez em que ocorrer aumento do bicarbonato, observamos aumento no pH (alcalemia, com consequente redução da concentração de hidrogênio); o inverso é verdadeiro. Isso pode ser explicado pelo fato de que tais substâncias se interconvertem continuamente, de acordo com a reação química abaixo: HCO3 - + H + H2CO3 CO2 + H2O ou, simplesmente: HCO3 - + H + CO2 + H2O Este é, portanto, o sistema bicarbonato-CO2, o principal sistema tampão do organismo, tendo ele o objetivo de evitar variações bruscas do pH sanguíneo, funcionando através deste mecanismo de interconversão. Perceba, com isso, que o bicarbonato é a base do sistema, pois consome íons H + (e quanto maior for a sua concentração no sangue, menor a presença de H + , aumentando o pH), enquanto que o CO2 funciona como ácido, já que libera o H + , após se transformar em ácido carbônico, por ação da anidrase carbônica das hemácias circulantes. TIPOS DE ÁCIDO Basicamente, os ácidos produzidos no organismo podem ser classificados em carbônicos e não-carbônicos. Desta forma, temos: Tipo de ácido Carbônico Não-carbônico Origem Carboidratos, gorduras Proteínas Taxa de produção Alta (15000 mmol/dia) Baixa (50 a 100 mmol/dia) Rota de eliminação Pulmões Rins Exemplos H2CO3 HCl, NH4, H2PO4 MANUTEN‚„O DO EQUIL‡BRIO …CIDO-B…SICO Para a manutenção do equilíbrio ácido-básico, a quantidade de ácidos (e bases) que entra no organismo deve ser a mesma que é eliminada. Isso é importante pois, de forma basal, apresentamos em nosso organismo uma carga definida de ácidos e bases. Entretanto, constantemente, reações metabólicas e outros mecanismos (alimentação, patologias, isquemias, etc.) continuam produzindo mais substâncias ácidas e básicas que tendem a quebrar o equilíbrio. Isto é evitado através da eliminação desses novos ácidos e bases, garantindo a manutenção do equilíbrio. Portanto, o organismo está, continuamente, lutando para manter o equilíbrio ácido-básico, eliminando o excesso de ácidos e bases. Esta eliminação pode ser dar pelos pulmões ou pelos rins. Em resumo, temos:  Fatores sanguíneos reagem com os ácidos e as bases produzidas em excesso a partir do metabolismo celular;  Os pulmões respondem às mudanças do equilíbrio sanguíneo alterando as taxas de excreção de ácido (CO2) para o meio externo, aumentando ou diminuindo a frequência respiratória.  Os rins respondem às mudanças de equilíbrio sanguíneo alterando a excreção de ácidos e bases pela urina.
  • 91.
    Arlindo Ugulino Netto– MEDICINA DE URG•NCIA – MEDICINA P8 – 2011.1 91 NOMENCLATURA Para dar continuidade a este capítulo, faz necessário definir o emprego de alguns sufixos referentes a este assunto:  -EMIA: concentração no sangue.  Acidemia: pH sanguíneo baixo.  Alcalemia: pH sanguíneo elevado.  -OSE: processo patológico.  Acidose: processo patológico em que existe adição de ácidos no sangue.  Alcalose: processo biológico caracterizado pelo aumento de bases no sangue. DEFINI‚„O DOS DISTŽRBIOS …CIDO-B…SICOS Como vimos até agora, o organismo tenta manter o pH plasmático em uma faixa de normalidade muito estreita, que gira em torno de 7,35 a 7,45. Os distúrbios ácido-básicos são caracterizados por alterações deste valor de pH. Os distúrbios que levam à redução do pH plasmático (acidemia) causam a chamada acidose. Os distúrbios ácido-básicos que levam ao aumento do pH plasmático (alcalemia) causam a chamada alcalose. Quando o distúrbio faz com que os valores de pH alcancem determinados extremos (aproximadamente 6,85 a 7,95), o dano celular passa a ser irreversível, caracterizando a morte celular, uma vez que as reações químicas em nível celular estarão, em boa parte, desativadas. FISIOLOGIA DO SISTEMA TAMP„O Como vimos anteriormente, o principal sistema tampão do compartimento extra-celular e do plasma é o sistema bicarbonato-dióxido de carbono. Nele, o HCO3 - funciona como base, e o CO2 como ácido. Esta é a reação química que rege o tamponamento extracelular: (rins) HCO3 - + H + H2CO3 H2O + CO2 (pulmões) O excesso de H + é tamponado pelo HCO3 - , formando H2CO3 (ácido carbônico) que, então, é prontamente dissociado a CO2 + H2O pela enzima anidrase carbônica presente nas hemácias circulantes. Este mecanismo não impede, mas ameniza as variações do pH plasmático nos distúrbios ácido-básicos. O pH plasmático depende diretamente da relação base/ácido do sistema tampão, isto é, da relação HCO3/CO2. Por isso, o excesso de H + , ao consumir HCO3 na reação do tamponamento, reduz a relação HCO3/CO2, fazendo cair o pH do plasma (por isso que podemos usar o CO2 como uma relação direta com o H + : quanto mais CO2 no sangue, maior a concentração de H + e menor é o pH). É o que acontece, por exemplo, na acidose metabólica. Por outro lado, a perda de H + é reposta pela CO2, que segue a reação de formação de HCO3 e, portanto, aumenta a relação HCO3/CO2, fazendo o pH plasmático elevar-se. É o que ocorre na alcalose metabólica. Embora seja um sistema bastante funcional (ver OBS 1 ), a eficácia do sistema tampão extracelular é limitada. Após 2-3 horas, as células e os ossos passam a contribuir, causando alterações nestas estruturas. OBS 1 : Para se ter uma ideia do funcionamento do sistema bicarbonato-dióxido de carbono para o equilíbrio ácido-básico do sangue, atente ao seguinte experimento: estudiosos, fazendo uso de um recipiente contendo água (pH = 7), gotejaram ácido clorídrico dentro deste recipiente durante 90 minutos; depois deste prazo, mediu-se o pH da água, que se mostrava pH = 1, 94. O mesmo experimento foi, então, feito com o sangue: gotejaram ácido clorídrico, durante 90 minutos, em um recipiente com sangue na mesmo volume e temperatura da água utilizada no outro experimento. Depois desse tempo, o pH do sangue, que era de 7,44, caiu para apenas 7,14. OBS 2 : Além do tampão bicarbonato-CO2, existem diversas outras substâncias que contribuem para o tamponamento no sangue e interstício. A hemoglobina das hemácias e algumas proteínas plasmáticas são os principais exemplos. Juntamente com o bicarbonato, constituem o total de bases (buffer base) presente no fluido extracelular.
  • 92.
    Arlindo Ugulino Netto– MEDICINA DE URG•NCIA – MEDICINA P8 – 2011.1 92 Para exemplificar o funcionamento deste sistema, tomemos como base um dist‰rbio patol„gico qualquer, que esteja produzindo uma grande concentra†…o de H + . Frente a esta produ†…o excessiva de pr„tons, o bicarbonato circulante (HCO3 - ) passa a se ligar a estes •ons e formar ƒcido carb•nico (H2CO3). Este ƒcido carb•nico sofrerƒ dissocia†…o em H2O (eliminada pelos rins) e CO2 (eliminada pelos pulmˆes). REGULA‚„O RESPIRAT†RIA DO PH Como vimos no que diz respeito Œ rea†…o do sistema tamp…o bicarbonato-di„xido de carbono, a partir do momento em que hƒ uma grande produ†…o de H + , este excesso se liga ao HCO3 e forma o ƒcido carb•nico, o qual sofre dissocia†…o (pela anidrase carb•nica) para formar H2O e CO2. A expira†…o pulmonar de CO2 ‚ equilibrada pela pr„pria produ†…o de CO2 do organismo. Este gƒs ‚ produzido continuamente pelas c‚lulas e difunde-se livremente para o sangue, para ser eliminado pelos pulmˆes. Portanto, o CO2 produzido a partir da rea†…o do sistema tamp…o ‚ eliminado atrav‚s da membrana alv‚olo- capilar, enquanto que a ƒgua ‚ eliminada pelos rins, impedindo a forma†…o de novo ƒcido carb•nico. Š desta forma que o excesso de ƒcido ‚ regulado pelos pulmˆes – atrav‚s da expira†…o de CO2. Para isso, o centro respirat„rio deve ser informado via quimioreceptores sobre a varia†…o do pH do sangue. Com isso, quando o pH do sangue cai (acidemia), o centro respiratório estimula a taquipnéia (eliminando mais CO2); quando o pH do sangue aumenta (alcalemia), o centro respiratório estimula a bradipnéia (retendo CO2). A quantidade fisiol„gica dissolvida de CO2 ‚ de 1,2 mol/l (pCO2 = 40 mmHg). E, gra†as a este mecanismo, um aumento na concentra†…o de H + desencadeia um aumento da ventila†…o alveolar, o que diminui o Pco2 e as concentra†ˆes de H + . Por‚m, essa capacidade do pulm…o de realizar um mecanismo respirat„rio de controle do pH tem efici€ncia de 50 a 75%. Portanto, o equil•brio ƒcido-bƒsico n…o depende t…o somente do pulm…o, mas tanto do pulm…o quanto dos rins. OBS 3 : Quando um indiv•duo estƒ sob ventila†…o mec‡nica, obviamente, este mecanismo estarƒ prejudicado (pois a sua musculatura pulmonar jƒ n…o pode obedecer ao centro respirat„rio mediante as varia†ˆes do pH). Nestas condi†ˆes, o operador do ventilador artificial pulmonar serƒ o responsƒvel por regular esta fun†…o. Sabendo que existe uma rela†…o linear entre volume minuto e concentra†…o de CO2 (se, por exemplo, aumentamos o volume minuto em 10%, a pCO2 cairƒ 10%), ‚ poss•vel calcular matematicamente esta rela†…o. REGULA‚„O RENAL DO PH Os rins tamb‚m s…o capazes de regular as concentra†ˆes de ƒcidos e bases no sangue, aumentando ou diminuindo a excre†…o dos mesmos. Em n•vel renal, o excesso de CO2 entra na c‚lula tubular e reage com a ƒgua, formando o ƒcido carb•nico que, por sua vez, se dissocia em HCO3 e H + . Este pr„ton ‚ trocado por um •on Na + , que se junta com o HCO3 - e forma bicarbonato de s„dio, um produto neutro, que n…o entra mais na rea†…o para formar CO2 novamente (lembrando que, para o nosso estudo, CO2 = H + ). Š atrav‚s deste mecanismo que os rins eliminam o excesso de ƒcido do organismo – neutralizando o CO2. CLASSIFICA‚„O DOS DISTŽRBIOS …CIDO-B…SICOS E MECANISMOS COMPENSAT†RIOS Como jƒ vimos anteriormente, hƒ duas formas de classificar o desequil•brio na rela†…o ƒcido-bƒsico, a depender dos valores de pH:  Quando o pH estƒ diminu•do (↓pH), e esta condi†…o foi decorrente de alguma doen†a, temos uma acidose.  Acidose metabólica: diminui†…o do pH por algum dist‰rbio no organismo (↓HCO3 - ).  Acidose respiratória: diminui†…o do pH por algum dist‰rbio pulmonar (↑pCO2).  Quando o pH estƒ aumentado (↑pH), e esta condi†…o foi decorrente de alguma doen†a, temos uma alcalose.  Alcalose metabólica: aumento do pH por algum dist‰rbio no organismo (↑HCO3 - ).  Alcalose respiratória: aumento do pH por algum dist‰rbio pulmonar (↓pCO2).
  • 93.
    Arlindo Ugulino Netto– MEDICINA DE URG•NCIA – MEDICINA P8 – 2011.1 93 Estes que acabaram de ser citados, podem configurar um dist‰rbio primƒrio – isto ‚, a causa que caracterizou o in•cio do desequil•brio. Entretanto, todo dist‰rbio primƒrio gera uma resposta secundƒria compensat„ria. Š importante salientar que se o dist•rbio prim‡rio for metabŠlico, a resposta secundaria ‹ respiratŠria; e vice-versa. Esta resposta secundaria tem como objetivo atenuar o efeito do dist‰rbio primƒrio sobre o pH. Dist•rbio prim‡rio Altera‚ƒo inicial Efeito no pH Resposta Secund‡ria Acidose metabŠlica ↓ HCO3 - ↓ ↓ pCO2 Alcalose metabŠlica ↑ HCO3 - ↑ ↑ pCO2 Acidose respiratŠria ↑ pCO2 ↓ ↑ HCO3 - Alcalose respiratŠria ↓ pCO2 ↑ ↓ HCO3 - Portanto, diante da varia†…o do pH decorrente de um dist‰rbio pulmonar ou renal, o organismo lan†a m…o de uma resposta secundƒria que realiza o evento contrƒrio, no intuito de atenuar (e n…o corrigir – ver OBS 4 ) o dist‰rbio, mantendo os valores de pH em uma faixa considerada “segura”. Desta forma, se o indiv•duo apresenta acidose em decorr€ncia de uma doen†a pulmonar (acidose respirat„ria), o rim passa a diminuir a excre†…o de HCO3 - , aumentando as suas concentra†ˆes sangu•neas (tendendo a uma alcalose metab„lica compensat„ria). Hƒ, todavia, um detalhe importante: os dist‰rbios metab„licos s…o mais facilmente corrigidos porque o centro respirat„rio atua muito mais rapidamente neste equil•brio ƒcido-bƒsico (‚, praticamente, uma resposta instant‡nea, com altera†ˆes imediatas na frequ€ncia respirat„ria), eliminando ou conservando CO2 com maior facilidade, gerando respostas respirat„rias ƒvidas para os dist‰rbios metab„licos. Ao contrƒrio disso, para que os dist‰rbios respirat„rios sejam compensados por respostas metab„licas, ‚ necessƒrio muito mais tempo (pelo menos 2 a 5 dias, a depender da fun†…o renal atual do indiv•duo). OBS 4 : Quando referimos que o objetivo da resposta secundƒria ‚ atenuar, e n…o corrigir, significa dizer que ‚ humanamente imposs•vel ao organismo criar artif•cios que debelem e estabilizem o equil•brio ƒcido-bƒsico. Isso porque o organismo s„ pode fazer uso de suas atuais reservas de HCO3 - e H + para buscar atenuar o dist‰rbio, sendo imposs•vel a ele criar estes produtos al‚m de suas reservas. Existe, portanto, um limite de compensa‚ƒo, a partir do qual, o organismo n…o ‚ mais capaz de lan†ar m…o de meios para atenuar o problema. Se o organismo ultrapassa este limite (e inicia uma suposta corre†…o do dist‰rbio), n…o teremos mais resposta secundƒria compensat„ria, mas sim, um outro dist‰rbio associado. Š necessƒria, ent…o, a interven†…o m‚dica para corre†…o efetiva do problema. ACIDOSE OU ACIDEMIA RESPIRAT’RIA: ↑pCO2, ↓pH, ↑HCO3 - O aumento da pCO2 no sangue desencadeia um aumento na produ†…o de ƒcido carb•nico, o qual vai ser dissociado em H + e HCO3 - (este tamb‚m aumenta como compensa†…o secundƒria do organismo). O aumento de H + sangu•neo causa uma diminui†…o do pH do sangue em um primeiro momento. Portanto, o aumento da pCO2 fala a favor de acidose; quando associada a uma resposta secundƒria de aumento de HCO3 - , justificamos uma acidose respirat„ria. A acidose respirat„ria pode ser aguda (at‚ por volta das primeiras 48 horas) ou cr•nica (depois das primeiras 48 horas de instala†…o), a depender da resposta renal secundƒria. As seguintes condi†ˆes podem causar acidose respirat„ria:  Queda do volume minuto (VM=VC+FR) ou hipoventila†…o. A queda do VM significa, diretamente, no aumento da PaCO2, o que diminui o pH.  Fal€ncia da musculatura respirat„ria.  Quadros obstrutivos graves.  Rebaixamento do n•vel de consci€ncia (coma) e depress…o respirat„ria. ALCALOSE OU ALCALEMIA RESPIRAT’RIA: ↓pCO2, ↑pH, ↓HCO3 - A diminui†…o da pCO2 no sangue desencadeia um maior consumo de H + (e, consequentemente, maior consumo de HCO3 - ) para a forma†…o de ƒcido carb•nico, o qual serƒ dissociado no intuito de formar H2O e CO2. O consumo de H + aumenta o pH do sangue, provocando a alcalose. Portanto, a diminui†…o da pCO2 fala a favor de alcalose; quando associada a uma resposta secundƒria de diminui†…o de HCO3 - , justificamos uma alcalose respirat„ria. A alcalose respirat„ria pode ser aguda (at‚ por volta das primeiras 48 horas) ou cr•nica (depois das primeiras 48 horas de instala†…o), a depender da resposta renal secundƒria. As seguintes condi†ˆes podem causar alcalose respirat„ria:  Aumento do volume minuto. O aumento do VM significa, diretamente, na diminui†…o da pCO2, o que aumenta o pH.  Hiperventila†…o de ansiedade e dor.  Quadros neurol„gicos.  Uso de medicamentos salicilatos pode estimular o centro respirat„rio.  Psiconeurose (histeria)  Grandes altitudes: a diminui†…o ambiental da concentra†…o de O2 provoca um aumento da frequ€ncia respirat„ria, o que diminui o pCO2 e, consequentemente, aumenta o pH.
  • 94.
    Arlindo Ugulino Netto– MEDICINA DE URG•NCIA – MEDICINA P8 – 2011.1 94 ACIDOSE OU ACIDEMIA METAB’LICA: ↓HCO3 - , ↓pH, ↓pCO2 A diminui†…o do bicarbonato (HCO3 - ) causa um maior consumo de CO2 para a maior produ†…o de ƒcido carb•nico e, deste modo, uma maior produ†…o de H + , o que diminui o pH. Esta condi†…o causa uma hiperpneia no intuito de diminuir a pCO2 e tentar compensar este excesso de ƒcido metab„lico. Portanto, a diminui†…o de HCO3 - , associada a uma resposta secundƒria que diminua a pCO2, justifica a acidose metab„lica. As seguintes condi†ˆes podem causar acidose metab„lica;  Aumento da produ†…o de ƒcidos metab„licos: acidose lƒtica, cetoacidose diab‚tica.  Adi†…o de ƒcidos metab„licos ao corpo por ingest…o, ou infus…o  Excre†…o prejudicada de ƒcidos: insufici€ncia renal.  Perda de bicarbonato: diarreia (como ocorre na c„lera), f•stulas enterocut‡neas, tubulopatias.  Choques s‚pticos e hipovol€micos (devido Œ acidose causada pela anaerobiose difusa).  Perda de bases dos l•quidos corporais:  Acidose tubular renal: defeito na excre†…o renal de H + ou na reabsor†…o de HCO3 - , ou de ambos  Diarr‚ia: perda de grande quantidade de bicarbonato nas fezes  V•mitos do conte‰do intestinal  Diabete mellito: aumento da produ†…o de ƒcidos metab„licos (ƒcido acetoac‚tico)  Ingest…o de ƒcido (AAS, ƒlcool met•lico)  Insufici€ncia renal:  filtra†…o glomerular   excre†…o de fosfatos e NH4 +   reabsor†…o de bicarbonato. ALCALOSE OU ALCALEMIA METAB’LICA: ↑HCO3 - , ↑pCO2, ↑pH O aumento do bicarbonato causa um maior consumo de H + para maior produ†…o de CO2 (o que aumenta o pCO2). O consumo de H + aumenta o pH sangu•neo. Portanto, o aumento de HCO3 - , associado a uma resposta secundƒria que aumente a pCO2, justifica a alcalose metab„lica. Assim como a alcalose respirat„ria, a alcalose metab„lica ‚ uma condi†…o rara, geralmente causada por medicamentos, e n…o por condi†ˆes org‡nicas. As principais situa†ˆes que cursam com este quadro s…o:  Perda de ƒcidos fixos: v•mitos de conte‰do gƒstrico (como ocorre por estenose pil„rica).  Ingest…o de ƒlcalis (soda cƒustica).  Alcalose de contra†…o que ocorre na desidrata†…o.  Excesso de aldosterona: reabsor†…o de s„dio + secre†…o de H + + reabsor†…o de HCO3 - +  [K + ]  Administra†…o de diur‚ticos (exceto os inibidores da anidrase carb•nica): FG   Fluxo tubular  reabsor†…o de s„dio e excre†…o de potƒssio + secre†…o de H + + reabsor†…o de HCO3 - . ALTERA‚ƒES ESPERADAS NOS DISTŽRBIOS …CIDO-B…SICOS Como vimos anteriormente, diante de altera†ˆes do pH decorrente de um dist‰rbio pulmonar ou renal, o organismo lan†a m…o de uma resposta secundƒria que realiza o evento contrƒrio, no intuito de atenuar o desequil•brio. Por meio de f„rmulas matemƒticas, podemos determinar a eficƒcia da resposta secundƒria: Tabela de Compensa‚ƒo †cido-B‡sico Dist•rbio prim‡rio Altera‚„es esperadas Acidose metab„lica pCO2 = 1,5 x HCO3 + (8 £ 2) Alcalose metab„lica pCO2 = 0,7 x HCO3 + (21 £ 2) Acidose respirat„ria aguda pH = 7,4 – [0,008 x (pCO2 – 40)] Acidose respirat„ria cr•nica pH = 7,4 – [0,003 x (pCO2 – 40)] Alcalose respirat„ria aguda pH = 7,4 + [0,008 x (40 – pCO2)] Alcalose respirat„ria cr•nica pH = 7,4 + [0,017 x (40 – pCO2)] Veremos mais adiante os valores gasom‚tricos normais para todas essas variƒveis. Entretanto, jƒ exemplificando o efeito ben‚fico da compensa†…o respirat„ria sobre o pH, observemos o seguinte quadro (os valores de pH foram calculados a partir da equa†…o de Henderson-Hasselbach): Status ‡cido-b‡sico HCO3 - pCO2 pH Coment‡rios Normal 24 40 7,40 A Acidose metab„lica 9 22 7,23 B Ac. Met. + Ac. Resp. 9 40 6,98 C Ac. Met. + Alc. Resp. 9 15 7,40 D
  • 95.
    Arlindo Ugulino Netto– MEDICINA DE URG•NCIA – MEDICINA P8 – 2011.1 95 A. Para que o pH gire em torno de 7,40 segundo a equação de Henderson-Hasselbach, é necessário que os valores de HCO3 - seja de 24mEq/L e de pCO2 seja de 40mmHg. Este valor de pH está dentro de uma faixa normal, assim como de HCO3 - e de pCO2. B. Na acidose metabólica, o distúrbio primário é caracterizado pela perda de HCO3 - , o que ativa a resposta secundária caracterizada pela diminuição da pCO2 (com aumento da frequência respiratória). No exemplo, o HCO3 - é de 9 (reduzido) e o pCO2 é de 22 (reduzido); mesmo assim, tal resposta não eliminou completamente a acidose, mas ainda deixa a faixa de pH em valores seguros. Isso ocorre porque as alterações dos níveis de HCO3 - e pCO2 foram proporcionais. C. Neste exemplo, com o mesmo HCO3 - de 9, a pCO2, ao invés de diminuir, aumentou para 40. Isso significa que o pulmão não está eliminando do CO2 que ele deveria estar. Por esta razão, neste caso, tem-se dois distúrbios: acidose metabólica e acidose respiratória associados (um distúrbio misto). D. Neste exemplo, com o mesmo HCO3 - de 9, mas ao contrário dos demais exemplos, o pulmão eliminou de forma exagerada o pCO2 (até mesmo mais do que deveria), de modo que seus valores caíram para 15mmHg. Note, inclusive, que o pH normalizou, o que caracteriza um distúrbio (uma vez que, como vimos na OBS 4 , o papel do organismo é atenuar, e não corrigir o distúrbio). Por esta razão, neste caso, tem-se uma acidose metabólica associada a uma alcalose respiratória (distúrbio associado). Diante desses exemplos, ratificando o que foi dito na OBS 4 , nós não devemos esperar que o organismo corrija, por si só, o desequilíbrio ácido-básico. Não é necessário, portanto, que o organismo bole uma resposta para normalizar o pH, mas sim, uma resposta matematicamente compatível com as fórmulas referentes às alterações esperadas (disponíveis na Tabela de Compensação Ácido-Básico). Portanto, com base nas equações da Tabela de Compensação Ácido-Básico, e tomando o exemplo da acidose metabólica relatada a pouco, se os valores de pCO2 não tiverem matematicamente inclusos no intervalo calculado e esperado para os valores de HCO3 - , significa dizer que o organismo apresenta outro distúrbio, além dessa acidose metabólica. Veremos, então, o porquê que, no exemplo B, a resposta foi adequada: Sabendo que o distúrbio se trata de uma acidose metabólica, temos a seguinte fórmula matemática: pCO2 = 1,5 x HCO3 + (8 ± 2) Desta forma, para valores de HCO3 - de 9mEq/l, temos: pCO2 = 1,5 x 9 + (8 ± 2) pCO2 = 13,5 + 8 (± 2) pCO2 = 21,5 ± 2 Com isso, consideramos normal a resposta secundária a esta acidose metabólica quando os valores de pCO2 estiverem entre 19,5 e 23,5, como é o caso do exemplo B, mesmo que o pH não esteja em uma faixa normal (pois o organismo já teria alcançado seu objetivo de atenuar o desequilíbrio). No exemplo C, os valores de pCO2 estão acima deste intervalo (caracterizando uma acidose respiratória associada); no exemplo D, os valores de pCO2 estão abaixo deste intervalo (caracterizando uma alcalose respiratória associada). Portanto, a conclusão importante que tiramos é: o pH não é o nosso guia principal para determinar a compensação da resposta, mas sim, a relação matemática adequada entre os valores de pCO2 e de HCO3 - , a depender da Tabela de Compensação Ácido-Básico. Por esta razão, para interpretar uma gasometria arterial, é fundamental identificar o tipo de distúrbio primário (e se há uma resposta secundária) para, então, poder utilizar as fórmulas disponíveis na Tabela de Compensação Ácido-Básico. RESPOSTA COMPENSATÓRIA NOS DISTÚRBIOS METABÓLICOS Como vimos anteriormente, esta reposta tem início quase imediato (em minutos). A variação o pH plasmático é captada por sensores de pH presentes no arco aórtico (quimioceptores), modulando impulsos aferentes pelo nervo vago, que chegam ao centro respiratório bulbar. A redução do pH nas acidoses metabólicas agudas estimula o centro respiratório, levando à hiperventilação (respiração de Kussmaul). A hiperventilação elimina mais CO2, reduzindo a pCO2. O aumento do pH na alcalose metabólica inibe o centro respiratório, promovendo hipoventilação. O resultado é a retenção de CO2, aumentando a pCO2. Apesar de bastante eficaz, este tipo de resposta compensatória não é perfeito, não evitando que o pH varie de forma perigosa nos distúrbios metabólicos graves. RESPOSTA COMPENSATÓRIA NOS DISTÚRBIOS RESPIRATÓRIOS Esta resposta é mais lenta, demorando 2-5 dias para se iniciar, pois depende da função renal. A título de informação, o pH das células tubulares acompanha o pH plasmático.
  • 96.
    Arlindo Ugulino Netto– MEDICINA DE URG•NCIA – MEDICINA P8 – 2011.1 96 Na acidose respirat„ria cr•nica, o pH das c‚lulas encontra-se baixo, estimulando a excre†…o de H + e a reten†…o de HCO3 - . O exemplo clƒssico de acidose respirat„ria cr•nica ‚ o paciente com DPOC em fase avan†ada – retentor cr•nico de CO2. A gasometria destes pacientes apresenta um pH no limite inferior da normalidade, mas uma pCO2 muito alta acompanhada de um HCO3 - bastante elevado (Ex: pH = 7,34; pCO2=80mmHg; HCO3=38mEq/L). Na alcalose respirat„ria cr•nica, o pH das c‚lulas esta alto, reduzindo a excre†…o renal de H + e promovendo a perda de HOC3 - . BUFFER BASE E BASE EXCESS O Buffer Base (BB) ‚ o total de bases presente no fluido extracelular do paciente. Pode ser representado como BBecf (ecf ‚ a abreviatura de extracelular fluid – aqui, o termo “fluido extracelular” inclui o interst•cio, o plasma e as hemƒcias). O bicarbonato ‚ a principal, mas n…o ‚ a ‰nica base deste compartimento. O BB pode ser, ent…o, interpretado como o “total de bases” e serve para cƒlculo do base excess. O Base Excess (BE) ‚ a diferen†a entre o BB do paciente e o BB normal (48mEq/L). Pode ser representado como BEecf. Sua utilidade pode ser explicada da seguinte forma:  Se o BE for positivo e maior que 2,0mEq/L, significa dizer que existe um aumento do total de bases, isto ‚, o organismo estƒ retendo bases, devido a um dist‰rbio metab„lico primƒrio (alcalose metab„lica) ou compensat„rio (reten†…o renal de HCO3 - para compensar o aumento da pCO2 de uma acidose respirat„ria cr•nica).  Se o BE for negativo, mais negativo do que -2,0mEq/L, significa que houve uma redu†…o do total de bases, ou seja, o organismo perdeu bases, devido a um dist‰rbio metab„lico primƒrio (acidose metab„lica) ou compensat„rio (excre†…o renal de HCO3 - para compensar a diminui†…o da pCO2 de uma alcalose respirat„ria cr•nica). Portanto, os valores normais de BE s…o -2,0 a +2,0 mEq/L (alguns autores consideram -3,0 a +3,0mEq/L). O BE ‚ calculado a partir de uma f„rmula matemƒtica determinada pela maioria dos aparelhos de gasometria na atualidade. O BE n…o se altera nos dist‰rbios respirat„rios agudos, pois n…o hƒ tempo hƒbil para a resposta compensat„ria renal. Em resumo, o base excess ‚ uma varia†…o total de bases, sendo positivo quando estas se acumulam (alcalose metab„lica e resposta compensat„ria da acidose respirat„ria), e negativo quando hƒ d‚ficit de base (acidose metab„lica e resposta compensat„ria da alcalose respirat„ria cr•nica). Em outras palavras, tomando agora um conceito mais t‚cnico: o BE corresponde Œ quantidade de base, expressa em mEq/L que se deve acidionar ao plasma para alcan†ar um pH de 7,40, quando a pCO2 for de 40mmHg e a temperatura de 37 o C. Sabendo que seu valor normal ‚ entre -2,0 e +2,0, temos:  BE +  Alcalose metab„lica  BE -  Acidose metab„lica GASOMETRIA ARTERIAL E MONITORIZA‚„O DO EQUIL‡BRIO …CIDO-B…SICO Por defini†…o, a gasometria consiste na leitura do pH e das pressˆes parciais de O2 e CO2 a partir de uma amostra de sangue. A leitura ‚ obtida pela compara†…o desses par‡metros na amostra com os padrˆes internos do gas•metro. Os principais par‡metros cl•nicos a serem avaliados no teste s…o: oxigena†…o e equil•brio ƒcido-bƒsico (pH, base excess, HCO3 - e pCO2). A amostra ser de sangue arterial ou venoso se a gasometria for arterial ou venosa, respectivamente. Para avalia†…o da performance pulmonar, deve ser sempre obtido sangue arterial, pois esta amostra informarƒ a respeito da hematose e permitirƒ o cƒlculo do conte‰do de oxig€nio que estƒ sendo oferecido aos tecidos. No entanto, se o objetivo for avaliar apenas a parte metab„lica, isso pode ser feito atrav‚s de uma gasometria venosa. A mensura†…o das tensˆes gasosas ‚ o teste respirat„rio por excel€ncia, jƒ que a manuten†…o da homeostase gasom‚trica e ƒcido-bƒsica ‚ a principal fun†…o pulmonar. Portanto, a gasometria arterial tem como principais objetivos:  Identificar os principais dist‰rbios ƒcido-bƒsico e suas respectivas compensa†ˆes.  Explicar fisiopatologia e comportamento da curva de dissocia†…o da hemoglobina no paciente em quest…o.  Interpreta†…o de gasometria. GASOMETRIA NORMAL Variáveis Gasometria arterial normal Gasometria venosa normal pH 7,35 – 7,45 7,33 – 7,43 pCO2 35 – 45 mmHg 38 – 50 mmHg HCO3 - 22 – 26 mEq/L 23 – 27 mEq/L Base excess £ 2 mEq/L £ 2 mEq/L pO2 80 – 100 mmHg 30 – 50 mmHg
  • 97.
    Arlindo Ugulino Netto– MEDICINA DE URG•NCIA – MEDICINA P8 – 2011.1 97 REGRAS PARA INTERPRETAÇÃO DA GASOMETRIA (REGRA DE PAUL MARINO) A interpreta†…o da gasometria pode ser feita de maneira simples, se o m‚todo seguir alguns passos bƒsicos. Em resumo, o diagn„stico do dist‰rbio ƒcido-bƒsico pela gasometria necessita, basicamente, de tr€s par‡metros: pH, pCO2 e HCO3 - . Os outros elementos dados pelo m‚todo (HCO3 - standard e o BEecf, principalmente) auxiliam no diagn„stico, mas n…o s…o t…o essenciais. Passo 1. Identificar o dist‰rbio ƒcido-bƒsico primƒrio. 1.1. Um dist‰rbio ƒcido-bƒsico estƒ presente se a pCO2 ou o pH ou ambos estiverem fora da faixa normal (portanto, pH normal ou pCO2 normal n…o excluem a presen†a de desequil•brio ƒcido-bƒsico; se os dois tiverem normais, exclui-se a hip„tese de desequil•brio). 1.2. Se o pH e a pCO2 s…o ambos anormais, compare a dire†…o das mudan†as. Se ambos se alteram na mesma dire†…o (aumento ou decr‚scimo) a desordem primaria ‚ metab„lica. Se forem em dire†ˆes opostas, a desordem primaria ‚ respirat„ria. Em resumo, temos:  ↑pH e ↑pCO2  Alcalose metab„lica.  ↓pH e ↓pCO2  Acidose metab„lica.  ↑pH e ↓pCO2  Alcalose respirat„ria  ↓pH e ↑pCO2  Acidose respirat„ria 1.3. Se o pH for normal e a pCO2 anormal ou vice-versa, hƒ uma desordem metab„lica e respirat„ria associada (uma ‚ acidose e a outra ‚ alcalose), pois n…o se espera que o organismo corrija, por si s„, o dist‰rbio. Se o pH ‚ normal, a dire†…o na mudan†a da pCO2 identifica a desordem primƒria respirat„ria. Se a pCO2 ‚ normal, a dire†…o da mudan†a no pH identifica a desordem primƒria metab„lica.  ↑pH e pCO2 normal  Alcalose metab„lica.  ↓pH e pCO2 normal  Acidose metab„lica.  pH normal e ↑pCO2  Acidose respirat„ria  pH normal e ↓pCO2  Alcalose respirat„ria Passo 2. Avaliar as respostas compensat„rias (Respostas Secundƒrias). 2.1. Se hƒ uma acidose ou alcalose metab„lica primƒria, use o bicarbonato s‚rico nas equa†ˆes da Tabela de Compensa†…o ¤cido-Bƒsico para identificar a pCO2 esperada:  Se as pCO2 medida e esperada s…o equivalentes, a condi†…o estƒ completamente compensada, e o dist‰rbio ‚ uma acidose/alcalose metab„lica “pura”.  Se a pCO2 medida ‚ maior do que a esperada, hƒ uma acidose respirat„ria associada ou mista.  Se a pCO2 medida ‚ menor do que a esperada, hƒ uma alcalose respirat„ria associada ou mista. 2.2. Se hƒ uma acidose ou alcalose respirat„ria primƒria, use a pCO2 nas equa†ˆes da Tabela de Compensa†…o ¤cido-Bƒsico para calcular o pH esperado.  Se o pH medido e esperado forem exatamente iguais, a condi†…o estƒ completamente compensada, e o dist‰rbio ‚ uma acidose/alcalose respirat„ria “pura”.  Se o pH medido for maior que o esperado, hƒ uma alcalose metab„lica associada ou mista.  Se o pH medido for menor que o esperado, hƒ uma acidose metab„lica associada ou mista. OBS 5 : Para alguns autores, a presen†a de dois dist‰rbios pode caracterizar um distúrbio misto (casos 7 e 8) ou um distúrbio associado (casos 9 e 10). De uma forma geral, temos:  Distúrbio misto: associa†…o de dist‰rbios com as mesmas caracter•sticas de pH (Ac. metab„lica + Ac. respirat„ria ou Alc. metab„lica + Alc. respirat„ria), trazendo, geralmente, grandes altera†ˆes no pH.  Distúrbio associado: associa†…o de dist‰rbios com caracter•sticas de pH diferentes (Acidose + Alcalose), normalizando, geralmente, o valor do pH do sangue (muito embora, o pCO2 e o HCO3 - estejam muito alterados). CASOS CLÍNICOS GERAIS Para facilitar o treinamento de interpreta†…o da gasometria arterial e, consequentemente, obter um aprendizado mais imediato, retomemos as tabelas de valores de uma gasometria arterial e a tabela de compensa†…o ƒcido-bƒsico. Variáveis Gasometria arterial normal pH 7,35 – 7,45 pCO2 35 – 45 mmHg HCO3 - 22 – 26 mEq/L Base excess £ 2 mEq/L pO2 80 – 100 mmHg
  • 98.
    Arlindo Ugulino Netto– MEDICINA DE URG•NCIA – MEDICINA P8 – 2011.1 98 Tabela de Compensação Ácido-Básico Distúrbio primário Alterações esperadas Acidose metab„lica pCO2 = 1,5 x HCO3 + (8 £ 2) Alcalose metab„lica pCO2 = 0,7 x HCO3 + (21 £ 2) Acidose respirat„ria aguda pH = 7,4 – [0,008 x (pCO2 – 40)] Acidose respirat„ria cr•nica pH = 7,4 – [0,003 x (pCO2 – 40)] Alcalose respirat„ria aguda pH = 7,4 + [0,008 x (40 – pCO2)] Alcalose respirat„ria cr•nica pH = 7,4 + [0,017 x (40 – pCO2)] OBS 5 : O conjunto cl•nico completo do paciente deve ser avaliado nos casos de dist‰rbios respirat„rios para determinarmos se seu quadro ‚ agudo ou cr•nico. Para os exemplos a seguir, consideremos qualquer dist‰rbio respirat„rio como agudo. Caso 1. pH arterial = 7,54 pCO2 = 23 mmHg 1.1. Existe dist‰rbio ƒcido-bƒsico, pois se observa um pH alto (7,54 - alcalose) e um pCO2 baixo (23mmHg). 1.2. Como o pH e o pCO2 est…o alterados, devemos observar a dire†…o da mudan†a: se ambas se alteram em dire†ˆes opostas, o dist‰rbio ‚ respirat„rio. Portanto, o dist‰rbio em quest…o ‚ uma alcalose respiratória. 1.3. N…o ‚ necessƒrio realizar este passo, pois nem o pH nem o pCO2 est…o normais. 2.2. Veremos se a varia†…o de pH estƒ adequada para uma alcalose respirat„ria aguda (ver OBS5 ): pH = 7,4 + [0,008 x (40 – pCO2)] pH = 7,4 + [0,008 x (40 – 23)] pH = 7,54 Como o pH ‚ exatamente igual ao esperado, podemos concluir que o paciente apresenta uma alcalose respirat„ria “pura” (ou compensada). R.: Alcalose respiratória pura. Caso 2. pH arterial = 7,32 pCO2 = 23 mmHg HCO3 s‚rico =15 mEq/l 1.1. Existe dist‰rbio ƒcido-bƒsico, pois se observa um pH baixo (7,32 - acidose) e um pCO2 baixo (23mmHg). 1.2. Como o pH e o pCO2 est…o alterados, devemos observar a dire†…o da mudan†a: se ambas se alteram na mesma dire†…o, que ‚ o caso, a desordem primƒria ‚ metab„lica. Portanto, o dist‰rbio em quest…o ‚ uma acidose metabólica. 1.3. N…o ‚ necessƒrio realizar este passo, pois nem o pH nem o pCO2 est…o normais. 2.1. Sendo o dist‰rbio uma alcalose metab„lica, devemos utilizar o bicarbonato s‚rico nas equa†ˆes da tabela de compensa†…o para se obter a pCO2 esperada. Desta forma, temos: pCO2 = 1,5 x HCO3 + (8 £ 2) pCO2 = 1,5 x 15 + (8 £ 2) pCO2 = 22,5 + 8 £ 2 pCO2 esperada = 30,5 ± 2 O intervalo esperado ‚: 28,5 < pCO2 < 32,5. Contudo, a pCO2 em quest…o estƒ mais baixa (23mmHg) do que o esperado. Tem-se, portanto, um dist‰rbio ƒcido-bƒsico secundƒrio, causado por uma tentativa exagerada do organismo em compensar o dist‰rbio primƒrio (o que significa que o organismo estƒ eliminando mais CO2 do que o necessƒrio). Tem-se, portanto, uma acidose metab„lica (dist‰rbio primƒrio) associada a uma alcalose respirat„ria (dist‰rbio secundƒrio). Se, ao contrƒrio, o pCO2 estivesse dentro desta faixa esperada, ter•amos uma acidose metab„lica “pura” ou compensada. 2.2. N…o ‚ necessƒrio este passo. R.: Acidose metabólica (distúrbio primário) associada a uma alcalose respiratória (distúrbio secundário).
  • 99.
    Arlindo Ugulino Netto– MEDICINA DE URG•NCIA – MEDICINA P8 – 2011.1 99 Caso 3. pH = 7,22 pO2 = 70 mmHg pCO2 = 70 mmHg HCO3 = 23 mEq 1.1.Existe dist‰rbio ƒcido-bƒsico, pois se observa um pH baixo (7,22 - acidose) e um pCO2 alto (70mmHg). 1.2.Como o pH e o pCO2 est…o alterados, devemos observar a dire†…o da mudan†a: se ambas se alteram em dire†ˆes opostas, o dist‰rbio ‚ respirat„rio. Portanto, o dist‰rbio em quest…o ‚ uma acidose respiratória. 1.3.N…o ‚ necessƒrio realizar este passo, pois nem o pH nem o pCO2 est…o normais. 2.2. Veremos se a varia†…o do pH estƒ adequada para este exuberante aumento de pCO2: pH = 7,4 – [0,008 x (pCO2 – 40)] pH = 7,4 - [0,008 x (70 – 40)] pH = 7,16 Nota-se que o valor esperado para o pH era de 7,16, isto ‚: esperava-se uma queda o pH bem maior, quando comparado a este valor de pCO2. Portanto, tem-se uma alcalose metab„lica secundƒria (pois o pH medido ‚ maior do que o esperado). Se, ao contrƒrio, o pH medido fosse de 7,16, tinha-se apenas uma acidose respirat„ria “pura” (ou compensada). R.: Acidose respiratória (distúrbio primário) associada a uma alcalose metabólica (distúrbio secundário). Caso 4. pH 7,26 pCO2 = 68 mm Hg pO2 = 53 mm Hg (90%) HCO3 = 41 mEq 1.1.Existe dist‰rbio ƒcido-bƒsico, pois se observa um pH baixo (7,26 - acidose) e um pCO2 alto (68mmHg). 1.2.Como o pH e o pCO2 est…o alterados, devemos observar a dire†…o da mudan†a: se ambas se alteram em dire†ˆes opostas, o dist‰rbio ‚ respirat„rio. Portanto, o dist‰rbio em quest…o ‚ uma acidose respiratória. 1.3.N…o ‚ necessƒrio realizar este passo, pois nem o pH nem o pCO2 est…o normais. 2.2. Veremos se a varia†…o do pH estƒ adequada para este exuberante aumento de pCO2: pH = 7,4 – [0,008 x (pCO2 – 40)] pH = 7,4 - [0,008 x (68 – 40)] pH = 7,17 Nota-se que o valor esperado para o pH era de 7,17, isto ‚: esperava-se uma queda o pH bem maior, quando comparado a este valor de pCO2. Portanto, tem-se uma alcalose metab„lica secundƒria (pois o pH medido ‚ maior do que o esperado). R.: Acidose respiratória (distúrbio primário) associada a uma alcalose metabólica (distúrbio secundário).
  • 100.
    Arlindo Ugulino Netto– MEDICINA DE URG•NCIA – MEDICINA P8 – 2011.1 100 Caso 5. pH = 7,52 pCO2 = 20mmHg HCO3 = 16mEq/l  pH alto; pCO2 baixo; HCO3 baixo  Alcalose respirat„ria.  pH = 7,4 + [0,008 x (40 – pCO2)] pH = 7,4 + 0,16  pH esperado = 7,56 R.: Alcalose respiratória associada a uma acidose metabólica. Caso 6. pH = 7,30 pCO2 = 27mmHg HCO3 = 13mEq/l  pH baixo; pCO2 baixo; HCO3 baixo  Acidose metab„lica.  pCO2 = 1,5 x HCO3 - + (8 £ 2) pCO2 = 19,5 + 8 (£ 2)  pCO2 esperado = 27,5 ± 2 R.: Acidose metabólica pura (compensada). Caso 7. pH = 7,05 pCO2 = 55mmHg HCO3 = 15mEq/l  pH baixo; pCO2 alto; HCO3 baixo  Ac. respirat„ria.  pH = 7,4 - [0,008 x (pCO2 - 40) pH = 7,4 – 0,12  pH esperado = 7,28 R.: Acidose mista (Ac. Respiratória + Ac. Metabólica) Caso 8. pH = 7,80 pCO2 = 48mmHg HCO3 = 50mEq/l  pH alto; pCO2 alto; HCO3 alto  Alc. metab„lica.  pCO2 = 0,7 + HCO3 - + (21 £ 2) pCO2 = 35 + 21 (£ 2)  pCO2 esperado = 56 ± 2 R.: Alcalose mista (Alc. Metabólica + Alc. Respiratória) Caso 9. pH = 7,42 pCO2 = 19mmHg HCO3 = 12mEq/l  pH normal; pCO2 baixo; HCO3 baixo  Alc.respirat„ria.  pH = 7,4 + [0,008 x (40 - pCO2) pH = 7,4 + 0,17  pH esperado = 7,57 R.: Alcalose respiratória associada a uma acidose metabólica. Caso 10. pH = 7,42 pCO2 = 60mmHg HCO3 = 38mEq/l  pH normal; pCO2 alto; HCO3 alto  Ac. respirat„ria.  pH = 7,4 - [0,008 x (pCO2 - 40) pH = 7,4 + 0,16  pH esperado = 7,24 R.: Acidose respiratória associada a uma alcalose metabólica.
  • 101.
    Arlindo Ugulino Netto– MEDICINA DE URG•NCIA – MEDICINA P8 – 2011.1 101 TRATAMENTO O tratamento dos dist‰rbios ƒcido-bƒsicos ‚ extremamente importante, principalmente quando partimos do pressuposto que altera†ˆes do pH plasmƒtico podem refletir no pH intracelular, levando a disfun†…o de vƒrias enzimas celulares, o que pode implicar em altera†ˆes do metabolismo, na hemodin‡mica e na resposta do paciente a interven†ˆes que venham a ser utilizadas em diversos tratamentos. Neste momento, faremos apenas uma breve defini†…o quando ao respectivo dist‰rbio ƒcido-bƒsico e abordaremos, logo em seguida, no†ˆes gerais de tratamento. ACIDOSE METABÓLICA A acidose metab„lica “pura” ‚ definida por um HCO3 - < 22mEq/L e um pH<7,35. Š um dist‰rbio muito comum na prƒtica m‚dica e possui uma infinidade de causas. Para o adequado tratamento e corre†…o da acidose metab„lica, ‚ fundamental e mandat„rio o diagn„stico de sua etiologia. Antes do tratamento, devemos, portanto, investigar se estamos diante de uma acidose lƒtica, cetoacidose diab‚tica, insufici€ncia renal grave, etc. Um lactato plasmƒtico de 2,5mMol/L confirma o diagn„stico da acidose lƒtica. A pesquisa da glicemia e corpos cet•nicos na urina (ceton‰ria) ‚ importante para a confirma†…o da cetoacidose diab‚tica e alco„lica. Al‚m do tratamento da causa de base, frequentemente faz-se necessƒria uma reposi†…o ex„gena de bases, sendo a mais utilizada o bicarbonato de s„dio (NaHCO3). Š de extrema import‡ncia para o m‚dico conhecer as situa†ˆes em que realmente estƒ indicada esta reposi†…o e as situa†ˆes nas quais ela n…o estƒ indicada (a hipocalcemia, por exemplo, contra-indica a reposi†…o). ALCALOSE METABÓLICA A alcalose metab„lica “pura” ‚ definida por um HCO3>26mmEq/L e um pH>7,45. Š um dist‰rbio frequente na prƒtica m‚dica e tem como principais causas os v•mitos e uso de diur‚ticos tiaz•dicos ou de al†a. O tratamento da alcalose metab„lica ‚ importante pois, al‚m de predispor a dist‰rbios mais graves, como a hipocalemia, a alcalose metab„lica grave pode ter repercussˆes cl•nicas diretas (vasoconstric†…o cerebral, tetania, parestesias, excitabilidade card•aca, hipoventila†…o pulmonar compensat„ria, aumento da produ†…o de lactato, etc.). Para o tratamento, na prƒtica, ‚ necessƒrio permitir que o rim do paciente elimine todo o excesso de bicarbonato. Um rim normal pode o fazer em 3-5 dias. Em algumas situa†ˆes, ‚ necessƒrio um manejo espec•fico:  Nas alcaloses que cursam com deple†…o de volume e cloreto, ‚ necessƒrio garantir ao paciente: (1) manter uma euvolemia; (2) manter a normocloria; (3) corrigir a deple†…o de cloreto. Para isso, utiliza-se soro fisiol„gico 0,9%, associado Œ reposi†…o (oral ou venosa) de KCl.  No paciente hipervol€mico e nas alcaloses n…o responsivas a cloreto, dependendo da gravidade, pode-se tentar a Acetazolamida (atentar sempre para a hipocalemia que essa droga pode induzir) ou, em casos mais graves ou que n…o respondem Œ Acetazolamida, devemos proceder com a infus…o de ƒcidos minerais (HCl ou monoidrocloreto de arginina).  Pacientes com hiperaldosteronismo ou hipercortisolismo, utilizar K+ e diur‚ticos poupadores de potƒssio, como a Espironolactona. ACIDOSE RESPIRATÓRIA A acidose respirat„ria “pura” ‚ definida por uma pCO2>45mmHg e um pH<7,35. O H + que se acumula ‚, por defini†…o, derivado do CO2. O mecanismo s„ pode ser a hipoventila†…o pulmonar. A acidose respirat„ria aguda deve ser prontamente revertida, pois as suas consequ€ncias cl•nicas podem ser grav•ssimas. O paciente costuma evoluir com a s•ndrome da carbonarcose. O CO2 ‚ um potente vasodilatador cerebral e, quando seus n•veis plasmƒticos tornam-se agudamente altos, o pH liqu„rico e cerebral caem vertiginosamente, dilatando os vasos cerebrais. O tratamento efetivo da acidose respirat„ria aguda deve ser a pronta intuba†…o traqueal e ventila†…o mec‡nica, trazendo-se a pCO2 para o valor ou pr‚vio e, principalmente, o pH para a faixa normal. A acidose respirat„ria cr•nica n…o precisa ser tratada, quando no estado compensado. A conduta visa apenas o tratamento da doen†a de base. Quando descompensam, devem ser intubados se houver fadiga respirat„ria ou pH<7,25. ALCALOSE RESPIRATÓRIA A alcalose respirat„ria “pura” ‚ definida por uma pCO2<35mmHg e um pH>7,45. O tratamento da alcalose respirat„ria aguda deve ser rƒpido, pois este dist‰rbio leva de forma instant‡nea Œ vasoconstric†…o cerebral e Œ s•ndrome do hipofluxo cerebral. A princ•pio, o tratamento ‚ voltado Œ causa bƒsica – ansiedade, depress…o, sepse, crise asmƒtica, TEP, etc. O uso de bolsas coletoras de ar ‚ necessƒrio nos casos graves e refratƒrios. O paciente exala o ar na bolsa e inspira uma fra†…o do ar exalado, rico em CO2. Se estiver em ventila†…o mec‡nica, podemos aumentar o espa†o morto, aumentando o circuito do respirador.
  • 102.
    Arlindo Ugulino Netto– MEDICINA DE URG•NCIA – MEDICINA P8 – 2011.1 102 MED RESUMOS 2011 NETTO, Arlindo Ugulino. MEDICINA DE URGÊNCIA E TERAPIA INTENSIVA EDEMA AGUDO DE PULMÃO (Professor Jorge Fonseca) Os pulmˆes s…o um dos „rg…os de maior conte‰do aquoso do nosso organismo. Apesar disso, os alv‚olos s…o mantidos relativamente secos, condi†…o fundamental para a eficƒcia das trocas gasosas. O edema agudo de pulm…o (EAP) ‚ uma condi†…o grave, resultando do fluxo aumentado de l•quidos, provenientes dos capilares pulmonares para o espa†o intersticial e alv‚olos, que se acumulam nestas regiˆes ao ultrapassarem a capacidade de drenagem dos vasos linfƒticos, comprometendo a adequada troca gasosa alv‚olo- capilar. O aumento do fluxo de flu•dos pelos capilares deve- se, geralmente, Œ eleva†…o da press…o hidrostƒtica como ocorre na disfun†…o card•aca aguda ou ao aumento da permeabilidade, como na s•ndrome do desconforto respirat„rio. Portanto, em outras palavras, o EAP representa uma s•ndrome cl•nica que caracteriza uma emerg€ncia m‚dica, determinada pelo ac‰mulo anormal de fluidos no compartimento extravascular pulmonar, resultando em:  Hipoxemia: decorrente ao aumento da espessura da membrana alv‚olo-capilar, dificultando as trocas gasosas e, consequentemente, causando baixa oxigena†…o do sangue.  Aumento do trabalho respirat„rio: a medida em que o interst•cio alveolar ‚ inundado, os pulmˆes tornam-se mais endurecidos, de modo que a complac€ncia pulmonar diminui e o esfor†o respirat„rio aumenta.  Diminiu†…o da complac€ncia pulmonar (C=V/P): pela maior resist€ncia Œ expans…o pulmonar.  Altera†…o da rela†…o ventila†…o-perfus…o: presen†a de ƒreas pulmonares perfundidas, mas pouco ventiladas (pois, a presen†a de l•quidos dentro dos pulmˆes simula uma condi†…o de shunt pulmonar). IMPORTˆNCIA EPIDEMIOL†GICA O EAP representa uma das principais causas de insufici€ncia respirat„ria aguda que motivam a procura da Emerg€ncia ou Unidade de Terapia Intensiva, sendo, nos Estados Unidos, a primeira causa de procura. A base fisiopatol„gica do EAP, como veremos mais adiante, estƒ relacionada a um desequil•brio das for†as de Starling. Fisiologicamente, como se sabe, o ventr•culo esquerdo recebe, de uma forma geral, todo o d‚bito card•aco oriundo do ventr•culo direito, que antes passa pela circula†…o pulmonar. Na vig€ncia de uma disfun†…o card•aca esquerda (insufici€ncia ventricular), se instala um aumento de press…o retr„grado a partir do ventr•culo esquerdo para a circula†…o veno-capilar pulmonar, causando ac‰mulo de l•quidos no interst•cio pulmonar, promovendo, inicialmente, uma congest…o pulmonar e, em seguida, o edema propriamente dito. Em consequ€ncia disso, a troca gasosa se encontra prejudicada, promovendo hipoxemia. Por esta raz…o, diz-se que o EAP ‚ a fase final de um quadro de insuficiência cardíaca, sendo a mais severa manifestação e a principal causa de morte neste grupo de pacientes (a maioria deles morre, portanto, decorrente de um edema agudo pulmonar causado por uma fal€ncia miocƒrdica, “afogados em seu pr„prio sangue”). ETIOLOGIA Qualquer condi†…o que leve ao aumento da press…o no ƒtrio esquerdo, onde desembocam as veias pulmonares, pode causar aumento da press…o na circula†…o pulmonar, predispondo ao extravasamento de sangue neste „rg…o. Al‚m disso, podemos citar disfun†ˆes ventriculares e sobrecarga vol€mica do ventr•culo esquerdo. Desta forma, as principais condi†ˆes s…o:  Condições que levam ao aumento da pressão no átrio esquerdo  Estenose mitral (comum em doen†a reumƒtica cr•nica)  Mixoma atrial  Insufici€ncia mitral aguda: disfun†…o isqu€mica, rotura de valva, degenera†…o mixomatosa  Insufici€ncia mitral cr•nica: doen†a reumƒtica. OBS1 : Š comum o quadro de mulheres com EAP que se apresentam com o hist„rico de dispn‚ia aos grandes esfor†os durante toda sua vida mas que, ao engravidar, cursaram com dispn‚ia franca causada pelo edema agudo. Este caso pode ser explicado pela presen†a pr‚via de estenose mitral em mulheres que, decorrente da hipervolemia fisiol„gica que ocorre na gravidez, descompensam.
  • 103.
    Arlindo Ugulino Netto– MEDICINA DE URG•NCIA – MEDICINA P8 – 2011.1 103  Disfun‚ƒo ventricular sistŠlica: se o ventrículo não é capaz de ejetar seu débito pré-determinado, o aumento de pressão reflete no átrio e, posteriormente, na circulação pulmonar.  Cardiopatia isquêmica  Cardiopatia hipertensiva  Cardiopatia inflamatória  Valvopatias crônicas  Disfun‚ƒo ventricular diastŠlica: caracteriza-se pelo paciente que se apresenta com quadro clínico franco de EAP, mas cuja radiografia de tórax mostra área cardíaca de dimensões preservadas.  Cardiopatia hipertrófica  Cardiopatia restritiva  Cardiopatia isquêmica  Cardiopatia hipertensiva  Sobrecarga vol•mica do ventr•culo esquerdo:  Insuficiência aórtica  Rotura do septo interventricular  Hipervolemia secundária a doença renal  Obstru‚ƒo da via de sa•da do ventr•culo esquerdo:  Estenose aórtica  Emergência hipertensiva FISIOPATOLOGIA Em duas condições fisiopatológicas ocorre a inundação dos alvéolos:  O desequilíbrio das forças que regem as trocas de fluido entre o meio intravascular e o interstício (Lei de Frank- Starling)  Alterações da membrana alvéolo-capilar DESEQUIL‰BRIO DAS FORŽAS DE STARLING A Lei de Frank-Starling que rege as trocas de fluido entre o meio intravascular e o interstício é representada pela seguinte fórmula: Q = K [(Phc – Phi) – (Pop – Poi)]  Q  movimento do fluxo  K  constante de permeabilidade  Phc  Pressão hidrostática capilar  Phi  Pressão hidrostática intersticial  Pop  Pressão oncótica plasmática  Poi  Pressão oncótica intersticial Na prática, em nível capilar, sabe-se que existe um balanço entre forças e pressões que fazem com que sangue saiam ou entrem no vaso. Desta forma, podemos destacar dois mecanismos:  Pressão hidrostática capilar e a pressão oncótica intersticial: favorecem a saída de líquido dos vasos para o meio extracelular.  Pressão oncótica plasmática e a pressão hidrostática intersticial: favorecem a entrada de líquido dos vasos para o meio intravascular.
  • 104.
    Arlindo Ugulino Netto– MEDICINA DE URG•NCIA – MEDICINA P8 – 2011.1 104 Este balan†o funciona sob um regime que garante que o sangue saia do vaso para nutrir as c‚lulas e, posteriormente retorne ao vaso, evitando a forma†…o de edemas generalizados. Entretanto, alguma parte deste l•quido que sai do vaso pode ficar acumulado no l•quido extra-celular. Da• a import‡ncia dos vasos linfƒticos, que reabsorvem o excesso de l•quido do espa†o intersticial. Sua capacidade de drenagem ‚ de, aproximadamente, 20ml/h, podendo chegar a cifras de 200ml/hora. Quando esta capacidade ‚ excedida, forma-se o edema. A fisiopatologia para a forma†…o do edema pulmonar depende, portanto, do equil•brio entre as forças de Starling, que se encontram resumidas na tabela ao lado. Observando-as, nota-se que existe um pequeno excedente de for†a para fora do capilar (0,3mmHg), mas que, em condi†ˆes fisiol„gicas, ‚ facilmente reabsorvido pelos vasos linfƒticos. Portanto, qualquer fator que aumente a press…o capilar pulmonar ou a press…o negativa do l•quido intersticial faz com que haja um grande extravasamento de l•quidos para fora dos vasos, superando a sua reabsor†…o, promovendo o EAP. A sequ€ncia de eventos fisiopatol„gicos que caracterizam o ac‰mulo de l•quidos ‚ a seguinte: 1. Aumento do fluxo de l•quidos e aumento da press…o hidrostƒtica capilar 2. Aumento no extravasamento do l•quido e/ou col„ides para o interst•cio 3. Incapacidade de drenagem linfƒtica + ac‰mulo de l•quido no interst•cio (fase intersticial). Neste momento, clinicamente, o paciente se apresenta apenas taquidispn‚ico, e que melhoram com a utiliza†…o de diur‚ticos. 4. Aumentos adicionais volume e distens…o de septos (neste momento, ocorre compress…o das vias respirat„rias terminais). 5. Inundação dos alvéolos. 6. Altera†ˆes na rela†…o ventila†…o-perfus…o. Inicia-se um quadro cl•nico cr•tico, com grave ang‰stia respirat„ria por hip„xia cerebral. 7. ¤reas bem perfundidas, por‚m hipoventiladas: isso ocorre porque, embora o fluxo sangu•neo alveolar esteja normal, o alv‚olo estƒ inundado por l•quidos, prejudicando o seu enchimento a‚reo. 8. Hipoxemia 9. Acidose metab„lica Todo este evento fisiopatol„gico acontece de maneira rƒpida e progressiva, de modo que o paciente ‚ inicialmente atendido na emerg€ncia, mas rapidamente encaminhado para a UTI. ALTERAÇÕES DA PERMEABILIDADE ALVÉOLO-CAPILAR O outro mecanismo importante para a fisiopatologia s…o altera†ˆes da permeabilide em n•vel da membrana alv‚olo-capilar, cuja base estƒ relacionada com a sua etiologia – que ‚ bastante variada, como veremos logo adiante. CLASSIFICA‚„O DO EAP SEGUNDO A SUA ETIOLOGIA Como vimos anteriormente, dois mecanismos bƒsicos est…o envolvidos com a fisiopatologia do EAP: (1) o desequil•brio das for†as de Starling; e (2) as altera†ˆes da membrana alv‚olo-capilar. Podemos classificar a EAP a partir de suas etiologias, tomando como base o principal evento fisiopatol„gico envolvido. CAUSAS DE DESEQUILÍBRIO DAS FORÇAS DE STARLING  Aumento da pressão hidrostática capilar: o Cardiog€nico:  ICC  IAM  Estenose mitral  Cardiovers…o el‚trica o N…o-cardiog€nico  Doen†a venoclusiva  Fibrose pulmonar com fluxo elevado  Estenose cong€nita ou adquirida de veias pulmonares  Hiperidrata†…o  Redução da pressão oncótica plasmática:  Hipoalbuminemias relacionadas a:  Nefropatias  Enteropatias  Hepatopatias  Dist‰rbios nutricionais Forças de Starling mmHg Forças medidas que tendem a deslocar o líquido para fora Press…o capilar m‚dia Press…o negativa do l•quido intersticial livre Press…o coloidosm„tica do l•quido intersticial FOR¥A TOTAL PARA FORA DO CAPILAR 17,3 3,0 8,0 28,3 Força média que tende a deslocar líquido para dentro Press…o coloidosm„tica plasmƒtica FOR¥A TOTAL PARA DENTRO 28,0 28,0 Resultante das forças Para fora Para dentro FOR¥A EFETIVA PARA FORA 28,3 28,0 0,3
  • 105.
    Arlindo Ugulino Netto– MEDICINA DE URG•NCIA – MEDICINA P8 – 2011.1 105  Aumento da negatividade da pressão intersticial  Rápida correção de pneumotórax  Doenças parenquimatosas pulmonares  Eclâmpsia  Pós-anestesia  Intoxicação CAUSAS DE ALTERAÇÕES DA MEMBRANA ALVÉOLO-CAPILAR As causas de alterações da permeabilidade alvéolo-capilar são diversas. As mais importantes delas são as causas infecciosas, sendo a síndrome da resposta inflamatória sistêmica (SRIS) e a sepse os mais importantes. As principais condições que promovem alterações no funcionamento da membrana alvéolo-capilar estão listadas logo abaixo.  Edema pulmonar infeccioso (pneumonia, sepse)  Pancreatite hemorrágica aguda  Inalação de agentes tóxicos  Toxinas circulantes  Substâncias vasoativas  Síndrome de extravasamento capilar difuso (vazamento capilar)  Coagulação intravascular disseminada (CIVD)  Reações imunológicas  Pneumonia por radiação  Uremia  Afogamento  Inalação de fumaças  Síndrome de angústia respiratória aguda A investigação clínica destes pacientes exclui possíveis causas cardíacas ou hipertensivas relacionadas com o EAP e, por isso, também caracterizam o EAP não- cardiogênico. OUTROS EVENTOS NÃO-CARDIOGÊNICOS Alterações da drenagem linfática. Embora não esteja frisado no tópico referente à Fisiopatologia do EAP, as alterações da drenagem linfática, que fazem com que este sistema passe a não reabsorver o excesso de líquido no interstício, podem promover acúmulo de líquido neste espaço, promovendo EAP. As principais causas são:  Após transplante pulmonar  Carcinomatose linfática  Linfangite fibrosante (silicose pulmonar) Etiologia desconhecida. Os edemas pulmonares de etiologia desconhecida podem estar relacionados com os seguintes eventos:  Edema pulmonar neurogênico: pós- TCE; pós-AVC.  Edema pulmonar de grandes altitudes  Embolia pulmonar  Pós-anestesia e pós-cardioversão.
  • 106.
    Arlindo Ugulino Netto– MEDICINA DE URG•NCIA – MEDICINA P8 – 2011.1 106 CLASSIFICA‚„O FISIOPATOL†GICA DO EAP Analisando as mais variadas etiologias do EAP, percebe-se que podemos, de uma forma geral, classificƒ-lo em duas vertentes: (1) o EAP cardiogênico, sendo este o mais comum e, basicamente, relacionado com o aumento da press…o hidrostƒtica capilar; e (2) o EAP não-cardiogênico, caracterizado, principalmente, por processos inflamat„rios da membrana alv‚olo-capilar, fazendo com que haja inunda†…o capilar.  EAP cardiogênico (EAPC): do ponto de vista fisiopatol„gico, o EAP cardiog€nico ‚ decorrente do aumento da pressão hidrostática capilar, sendo resultante de um aumento na press…o atrial esquerda secundƒrio a alguma altera†…o card•aca.  EAP não-cardiogênico: hƒ um aumento da permeabilidade capilar, gerando um incremento do fluxo de prote•nas. Como vimos, pode ser decorrente de sepse, pancreatite aguda, diminui†…o da press…o onc„tica plasmƒtica, insufici€ncia da drenagem linfƒtica (p„s-transplante pulmonar, linfangite carinomatosa), etc. EST…GIOS DO EDEMA AGUDO DE PULM„O Embora a fisiopatologia do EAP aconte†a de forma rƒpida, ela segue uma sequ€ncia de estƒgios que cursa com altera†ˆes cl•nicas e radiol„gicas espec•ficas, que podem ser divididas em 3 estƒgios: Estágio 1. Distensão e recrutamento de pequenos vasos pulmonares.  Aumentam trocas gasosas e difus…o de CO2  Ocorre apenas dispn‚ia aos esfor†os  O exame f•sico revela discretos estertores inspirat„rios por abertura das vias a‚reas  Radiografia: redistribui†…o da circula†…o (cefaliza†…o do fluxo) Estágio 2. Edema intersticial.  Ocorre compress…o das vias a‚reas menores  Pode haver broncoespasmo (asma cardíaca)  Ortopn‚ia pode, ocasionalmente, ocorrer.  Altera†ˆes da rela†…o ventila†…o-perfus…o, o que leva Œ hipoxemia proporcional Œ press…o capilar  Taquipn‚ia por estimula†…o dos receptores J e de estiramento do interst•cio  Radiografia: borramento peri-hilar bilateral e espessamento dos septos interlobulares (linhas “B” de Kerley). Estágio 3. Inundação alveolar.  Š a fase mais comum da admiss…o em emerg€ncias  Hipoxemia severa e hipocapnia  Em casos severos, pode haver hipercapnia  Presen†a de secre†…o r„sea espumosa (provocada por hemƒcias que, eventualmente, entraram no alv‚olo) ou esbranqui†ada  Estertores creptantes em “mar‚ montante”, que come†a em bases, depois em ter†o m‚dio e, por fim, em ƒpices  Radiografia: edema alveolar em “asa de borboleta”
  • 107.
    Arlindo Ugulino Netto– MEDICINA DE URG•NCIA – MEDICINA P8 – 2011.1 107 QUADRO CL‡NICO DO EAP CARDIOG•NICO O diagnóstico do EAP é, eminentemente, clínico. Todos os sintomas que caracterizam o quadro clínico do EAP se apresentam em conjunto e em caráter de emergência médica. A própria consulta inicial no pronto- atendimento pode demonstrar o quadro do EAP, pois, é frequente que o paciente não consiga conversar com o médico pela taquipnéia expressiva. ANAMNESE  Queixa principal: dispnéia de início súbito.  História da doença atual:  Histórico de dificuldade de respirar com início súbito e que nunca referiu igual  Sintomatologia dramática  Ansiedade e agitação que melhora quando está sentado com os membros pendentes  Dispnéia  Precordialgia  Expectoração rósea espumosa  Ausência de história pregressa de doença pulmonar  Antecedentes patológicos:  Cardiopatia hipertensiva  Cardiopatia isquêmica  Valvulopatias  Miocardiopatias EXAME FÍSICO  O paciente se apresenta ansioso, agitado, sentado com membros inferiores pendentes e utilizando intensamente a musculatura acessória  Dispnéia laboriosa, ortopnéia, tosse, escarro de cor rósea e espumoso  Asas do nariz dilatadas, retração intercostal e supraclavicular  Pele e mucosas frias, acinzentadas, às vezes, pálidas e cianóticas, com sudorese fria sistêmica  Quanto à pressão arterial:  Elevada na maioria dos casos, principalmente na crise hipertensiva. O EAP é uma emergência hipertensiva, assim como acidente vascular cerebral, infarto agudo do miocárdio, etc.  Entretanto, pode estar baixa, com sinais periféricos de choque, como ocorre na estenose mitral importante, miocardiopatias em fase terminal. Nas síndromes coronarianas agudas, pode haver tanto hipertensão como hipotensão arterial.  Ausculta respiratória:  Aumento na frequência respiratória  Roncos e sibilos, decorrentes do broncoespasmo secundário.  Estertores crepitantes e subcreptantes audíveis em extensão do tórax, que evoluem da base para o ápice.  Ausculta cardíaca:  Aumento da frequência cardíaca  Prejudicada pela respiração, que é muito ruidosa  É difícil detectar, mas pode haver ritmo de galope, com hiperfonese de P2, arritmias ou sopros.
  • 108.
    Arlindo Ugulino Netto– MEDICINA DE URG•NCIA – MEDICINA P8 – 2011.1 108 EXAMES COMPLEMENTARES Embora o diagn„stico do EAP seja eminentemente cl•nico, podemos lan†ar m…o de alguns exames complementares para confirma†…o diagn„stica. Radiografia de tórax.  Área cardíaca: o Cardiomegalia: miocardiopatia dilatada; ƒtrio esquerdo aumentado (falando a favor de estenose mitral) o Normal: EAP n…o-cardiog€nico, IAM, IC diast„lica; congest…o pulmonar.  Campos pulmonares: o Edema intersticial:  Aumento da press…o venocapilar pulmonar  Aumento do calibre dos vasos  Redistribui†…o da trama vascular pulmonar (cefaliza†…o do fluxo)  Transuda†…o de l•quidos para o interst•cio peri-hilar e bases pulmonares  Perda do contorno dos vasos h•lares  Espessamento das linhas septais intersticiais, na forma de linhas radiopacas horizontais e perif‚ricas (linhas B de Kerley)  Espessamento das linhas septais intersticiais, na forma de linhas radiopacas verticais e centrais peri-hilares (linhas A de Kerley)  Espessamento das fissuras interlobares  Derrame pleural o Edema alveolar:  Extravasamento de l•quido dentro do alv‚olo (o que significa PCP > 25mmHg)  Radiodensidade que se estende da regi…o peri-hilar at‚ a regi…o pleural (imagem em “asa de borboleta”) Eletrocardiograma. Š um exame ‰til para estabelecer diagn„sticos diferenciais, muito embora seja um exame inespec•fico para o EAP, pois, existem vƒrios padrˆes que podem ser vistos na ECG, mas se mostra importante para levantar suspeitas. Š importante, por exemplo, por, pelo menos, tr€s motivos: (1) analisar altera†…o da repolariza†…o ventricular (s•ndromes coronarianas agudas ou cr•nicas); (2) anƒlise de arritmias (bradi ou taquiarritmias); (3) detecta aumento ou sobrecarga das c‡maras card•acas. Podemos encontrar os seguintes padrˆes no ECG:  Normal  Taquicardia sinusal  Bradicardia sinusal  Altera†ˆes inespec•ficas da repolariza†…o ventricular  Sobrecarga atrial esquerda (em caso de estenose mitral)  Sobrecarga ventricular esquerda (HAS)  Supra ou infradesnivelamento de ST  Ondas Q de IAM  Bloqueios card•acos  Arritmias
  • 109.
    Arlindo Ugulino Netto– MEDICINA DE URG•NCIA – MEDICINA P8 – 2011.1 109 Gasometria arterial. As alterações do pH e gases sanguíneos guardam relação com a gravidade do quadro, daí a importância da gasometria. Além disso, através dela, a depender do grau de saturação do paciente, podemos determinar se o quadro exige uma ventilação invasiva ou não-invasiva. Inicialmente, podemos observar hipoxemia e hipocapnia por aumento da frequência respiratória (alcalose respiratória). Posteriormente, tem-se uma acentuação da hipoxemia e renteção de CO2, caracterizando a hipercapnia (acidose respiratória). Ecocardiograma. É importante na pesquisa das seguintes condições:  Valvulopatias  Choque cardiogênico  Isquemia miocárdica aguda (angina instável, IAM)  Avaliação da função contrátil: hipocontratilidade regional; hipocontratilidade global.  Avaliação do aparelho valvar: estenose mitral, insuficiência mitral, estenose aórtica, insuficiência aórtica.  Avaliação das complicações mecânicas: comunicação interventricular (CIV), rotura do músculo papilar com insuficiência mitral aguda, aneurisma do VE. DIAGN†STICO DIFERENCIAL  Edema agudo do pulmão não-cardiogênico  Doenças pulmonares: pneumonia, embolia  Doenças sistêmicas: sepse, pancreatite, politrauma  Crises asmáticas  Embolia pulmonar  Exacerbação do DPOC OBS 2 : O cateter Swan-Ganz é importante na monitorização da pressão capilar pulmonar para diferenciação entre EAP por disfunção sistólica de VE e alteração da permeabilidade alvéolo-capilar. Entretanto, sua utilização para tal finalidade é incomum, uma vez que o ecocardiograma fornece informações tão precisas quanto, e sem ser um exame invasivo. TRATAMENTO A estratégia terapêutica do EAP compreende a adoção de medidas não-específicas, seguidas da identificação e possível tratamento de fatores precipitantes, culminando com a eventual avaliação da cardiopatia de base. MEDIDAS GERAIS  Manter o paciente sentado, no intuito de reduzir o retorno venoso e, com isso, a pré-carga, além de favorecer a ação da musculatura respiratória  Oxigenioterapia: inicialmente, o paciente deve receber oxigênio suplementar por máscara facial (fluxo de 5 a 10L/min), no intuito de manter a saturação periférica maior que 95%. Deve-se evitar o cateter em EAP, uma vez que o FiO2 fornecido por ele é muito baixo. Se esta saturação não for possível, devemos proceder com ventilação mecânica não-invasiva ou invasiva. VENTILAÇÃO MECÂNICA NÃO-INVASIVA (VNI) A aplicação pressão positiva nas vias aéreas através de máscara facial fechada foi o grande avanço na terapia do EAPC. O benefício da pressão positiva está relacionado à redução da pré e pós carga, melhorando o desempenho contrátil do ventrículo esquerdo. Em relação ao pulmão, a pressão positiva em vias aéreas aumenta a complacência pulmonar devido ao recrutamento das unidades alveolares previamente colabadas. As duas formas de aplicação de pressão positiva em vias aéreas, de forma não invasiva, são:  Pressão positiva contínua (CPAP): é uma forma de ventilação que consiste na aplicação de uma pressão positiva única durante todo o ciclo respiratório. Desta forma, mesmo que o paciente não inspire, existe uma inalação basal de O2. Seu uso no EAPC deve ser iniciado com pressão entre 5 e 10 cmH2O, podendo alcançar até no máximo 12,5 cmH2O.  Ventilação em binível pressórico (BiPAP): é uma forma de ventilação que consiste na alternância de uma pressão positiva menor durante a expiração e uma pressão positiva maior durante a inspiração (sendo, com isso, mais fisiológica do que a CPAP), oferecendo um auxílio inspiratório, reduzindo assim o trabalho respiratório do
  • 110.
    Arlindo Ugulino Netto– MEDICINA DE URG•NCIA – MEDICINA P8 – 2011.1 110 paciente de forma direta. A pressão inspiratória inicial deve estar entre 8 a 10cmH2O alcançando no máximo 12,5cmH2O. As duas formas de ventilação não invasiva (CPAP e BiPAP), de acordo com vários estudos realizados, principalmente com pressão positiva contínua, aceleram a melhora clínica e gasométricas e diminuem a necessidade de intubação orotraqueal e posterior ventilação mecânica, quando comparada com a oxigenioterapia covencional. OBS 3 : A pressão positiva utilizada na inspiração na ventilação mecânica, invasiva ou não, se faz necessária pois ela evita o colabamento alveolar, aumentando a complacência pulmonar. SUPORTE VENTILATÓRIO INVASIVO Para paciente em EAPC, a intubação orotraqueal com ventilação por pressão positiva intermitente nas vias aéreas (VPPI) deve ser indicada nos seguintes casos:  Rebaixamento do nível de consciência  Sinais clínicos de fadiga da musculatura acessória  Hipoxemia refratária e/ou saturação de O2 insatisfatória  Acidose respiratória Esta conduta deve ser tomada inicialmente em pacientes com IAM com indicação de angioplastia primária, naqueles com taquiarritmias com necessidade de cardioversão elétrica e em pacientes com choque cardiogênico. É necessário lembrar que sempre antes do procedimento, o paciente deve ser hiperventilado com máscara e AMBU para diminuir possíveis complicações como arritmias ou piora da hipoxemia. TRATAMENTO MEDICAMENTOSO As drogas de primeira linha para o tratamento da EAPC são os diuréticos de alça, os nitratos e a morfina (narcótico). Podemos lançar mão também de vasodilatadores e drogas inotrópicas.  Diuréticos: a Furosemida (Lasix®), disponível em ampolas (20mg cada) é usada na dose 0,5 a 1mg/kg de peso, por via intravenosa.  Furosemida (Lasix®), 20 a 80mg EV (0,5 a 1,0mg/kg)  Para pacientes com insuficiência renal oligo-anúrica, devemos utilizar dose de 100-200mg/EV.  Seu uso diminui a pré-carga por dois efeitos: (1) venodilatação imediato; (2) efeito diurético e natriurétrico, diminuindo a pré-carga.  Espera-se ocorrer uma melhora no padrão respiratório devido a seu efeito venodilatador, que se inicia em 5 minutos.  Após 20-30 minutos, deverá ocorrer a diurese.  Se não houver melhora após 20 minutos da primeira aplicação, o dobro da dose deverá ser administrada.  Efeitos adversos:  Hipovolemia  Hipotensão arterial  Hipopotassemia  Hipocalcemia  Alcalose hipoclorêmica  Nitratos: o nitrato mais frequentemente usado é o Dinitrato de isossorbida, na dose de 5mg sublingual a cada 5 minutos, desde que a pressão arterial sistólica se mantenha acima de 90mmHg. o Dinitrato de isossorbida (Isordil®) 5 a 10mg SL  Dose: 5mg SL a cada 5 minutos (PAS > 90mmHg)  Diminuição da pré e pós-carga, melhorando o desempenho sistólico do ventrículo esquerdo. o Nitroglicerina (Tridil®)  É um potente venodilatador, capaz de reduzir a pré-carga de forma muito rápida  Dose inicial: 10mcg/min e elevar até 100mcg/min  Para cardiopatia isquêmica: 0,2 a 0,3 mcg/kg/min EV (evitar em PAS<100mmHg ou PAM<70mmHg).  Efeitos adversos:  Leva a tolerância  Hipotensão arterial
  • 111.
    Arlindo Ugulino Netto– MEDICINA DE URG•NCIA – MEDICINA P8 – 2011.1 111  Narcótico: a Morfina ‚ uma droga de grande aux•lio na terap€utica do edema pulmonar, pois promove venodilata†…o, reduz o retorno venoso e a ansiedade do paciente.  Morfina (Dimorf¦), ampolas 10mg/ml  Fun†…o: diminui a pr‚-carga; diminui os reflexos pulmonares; diminui a ansiedade; diminui o est•mulo adren‚rgico, levando Œ redu†…o da vasoconstric†…o generalizada observada na EAP.  Dose: 1 a 3mg EV a cada 5 minutos  Monitorar frequ€ncia card•aca, o n•vel de consci€ncia e a PA  Aten†…o com pneumopatas cr•nicos, com acidose metab„lica ou respirat„ria – seda†…o exagerada do centro respirat„rio pode levar a uma piora da acidose (hipoventila†…o) e causar apn‚ia.  Efeitos adversos:  Depress…o respirat„ria  Nƒuseas, v•mitos  Hipotens…o arterial  C„licas biliares  Vasodilatador: se ap„s o uso inicial destas drogas o paciente continuar desconfortƒvel, vasodilatadores venosos e arteriais em infus…o cont•nua podem ser administradas.  Nitroprussiato de s„dio (Nipride¦) 50mg/ml  Doses: 0,1 a 0,2 mcg/kg/min EV Aumentar 0,2 mcg/kg/min a cada 3 a 5 minutos  Fun†ˆes:  Vasodilatador misto: circula†…o arterial e venosa  Diminui a pr‚ e p„s-carga  Aumenta d‚bito card•aco  Reduz a press…o do capilar pulmonar e aumento do DC  Efeitos adversos: toxicidade pelo tiocianeto.  Drogas inotrópicas: a Dobutamina pode ser utilizada em pacientes com disfun†…o ventricular esquerda com quadro cl•nico refratƒrio e no paciente hipotenso bem perfundido. Em paciente em EAP associado a choque cardiog€nico, deve-se realizar a intuba†…o orotraqueal precoce e priorizar o uso de drogas vasopressoras como a Noradrenalina (na dose de 0,5 a 30mcg/kg/min, IV) ou Dopamina (5 a 15mcg/kg/min, IV) at‚ estabiliza†…o da press…o arterial. Atingida a estabilidade hemodin‡mica, devemos iniciar o uso de diur‚ticos e cogitar a associa†…o de vasodilatadores. o Dobutamina (Dobutex¦) 1 frasco = 250mg  Fun†…o: simpatomim‚tico (receptores dopa, alfa e beta adren‚rgicos); efeito inotr„pico positivo.  Doses:  5 a 10mcg/kg/min – efeito beta adren‚rgico - Aumento da contra†…o do cora†…o (inotropismo) - Aumento da frequ€ncia card•aca (cronotropismo) - Aumento do d‚bito card•aco  Doses superiores a 15mcg/kg/min t€m efeitos adren‚rgicos com vasoconstri†…o sist€mica e renal e, portanto, devem ser evitadas. LINHAS GERAIS DE TRATAMENTO 1. Manter o paciente sentado, com os membros inferiores pendentes.  Diminui o retorno venoso ao cora†…o  Melhora a expansibilidade do diafragma  Melhora as condi†ˆes respirat„rias 2. Administrar oxig€nio ‰mido cont•nuo, no intuito de melhorar a oxigena†…o e evitar a piora da hipoxemia  Mƒscara de Venturi: fluxo de 5 a 10L/min  Mƒscara de nebuliza†…o  Mƒscara de CPAP: indicada se n…o houver melhora com outros dispositivos mais simples. Atualmente, recomenda- se ventila†…o mec‡nica n…o invasiva com CPAP, pois melhora a oxigena†…o e diminui o trabalho respirat„rio.  Cateter nasal n…o ‚ indicado 3. Manter oximetria de pulso, pois o paciente pode evoluir com piora das condi†ˆes respirat„rias e diminui†…o da satura†…o. 4. Manter material de intuba†…o pr„ximo e ventilador mec‡nico para pronto uso, pois o paciente pode evoluir com fadiga respirat„ria e/ou uso de morfina, entrar em apn‚ia e parada respirat„ria. 5. Puncionar acesso venoso calibroso devido Œ necessidade de administrar drogas EV
  • 112.
    Arlindo Ugulino Netto– MEDICINA DE URG•NCIA – MEDICINA P8 – 2011.1 112 6. Manter monitoriza†…o card•aca pois o paciente pode estar taquicƒrdico. Sua indica†…o ‚ mais importante para pacientes com antecedentes card•acos (isquemia miocƒrdica e altera†ˆes no ECG). 7. Controlar PA frequente  Usar medica†…o vasodilatador para crise hipertensiva  Hipotens…o: risco de choque cardiog€nico 8. Administrar Morfina dilu•da EV (solu†…o decimal), podendo ser repetida, at‚ a melhora, a cada 5 a 10 minutos.  Diminui o retorno venoso  Melhora a ansiedade/dispn‚ia  Pode haver risco de depress…o respirat„ria 9. Administrar o Furosemida (diur‚tico) EV  Aumenta a capacit‡ncia venosa  Diminui a pr‚-carga  Aumenta a diurese 10. Administrar vasodilatadores (Nitroglicerina SL ou EV ou Nitroprussiato de s„dio), se PAS>100mmHg.  Reduz a resist€ncia vascular sist€mica (p„s-carga)  Venodilata†…o: diminui o retorno venoso e reduz a pr‚-carga 11. Administrar drogas vasoativas  Dobutamina (preferencial) – melhora a contratilidade  Dopamina e Noradrenalina – se houver hipotens…o severa Tratamento não-medicamentoso Medidas Observação Efeitos Medidas gerais Manter o paciente sentado, com os membros pendentes - Diminui†…o da pr‚-carga por diminui†…o do retorno venoso - Facilita o trabalho respirat„rio por favorecer a musculatura respirat„ria Oxigenioterapia Fluxo de 5 – 10 L/min para manter satura†…o >95% - Diminui†…o da press…o arterial - Aumento do d‚bito card•aco Ventila†…o n…o-invasiva (VNI) Oxig€nio ‰mido por mƒscara facial (CPAP) se a oxigenioterapia com mƒscara n…o for efetiva - Diminui†…o da pr‚ e p„s-carga - Melhora das trocas gasosas - Aumento da press…o alveolar - Recrutamento de alv‚olos n…o-ventilados - Diminui†…o do trabalho respirat„rio Ventila†…o mec‡nica invasvia - Casos graves e em casos nos quais o uso de VNI n…o obteve oxigena†…o satisfat„ria - Diminui†…o da pr‚ e p„s-carga - Melhora das trocas gasosas - Aumento da press…o alveolar - Recrutamento de alv‚olos n…o-ventilados - Diminui†…o do trabalho respirat„rio Tratamento medicamentoso Medidas Dose Efeitos Observações Morfina (Dimorf®) Ampolas de 2mg e 10mg 2mg EV a cada 5min at‚ reduzir a ansiedade ↓pr‚-carga ↓ansiedade ↓est•mulos adren‚rgicos - Pode causar narcose por reten†…o de CO2 - Ant•doto: Naloxone 0,4mg EV a cada 3min - Manter vigil‡ncia respirat„ria Furosemida (Lasix®) - In•cio: 40 a 80mg EV - Doses mais elevadas na presen†a de IR ↓pr‚-carga Efeito vasodilatador imediato Efeito diur‚tico Usar com cuidado para evitar deple†…o hidrosalina Nitroglicerina (Tridil®) - In•cio: 0,2mcg a 0,3mcg/kg/min - Aumentar a cada 3 a 5 minutos - Final do efeito com a suspens…o ↓pr‚-carga De grande valor nas cardiopatias isqu€micas - Evitar em PAS < 100mmHg - Evitar se PAM < 70mmHg - Aten†…o com a toler‡ncia Nitroprussiato (Nipride®) - In•cio: 0,1 a 0,2mcg/kg/min - Aumentar 0,2mcg/kg/min a cada 3 a 5 min - Final do efeito com a suspens…o ↓pr‚-carga De grande valor no EAP associado a HAS - Evitar em PAS < 100mmHg - Evitar se PAM < 70mmHg - Evitar em cardiopatias isqu€micas Dobutamina (Dobutrex®) - In•cio: 2,5mcg/kg/min EV - Efeito hemodin‡mico pode persistir mesmo ap„s a suspens…o ↑contratilidade miocƒrdica (efeito inotr„pico positivo) Efeito vasodilatador menos intenso - Manter dose < 15mcg/kg/min - Evitar taquicardia
  • 113.
    Arlindo Ugulino Netto– MEDICINA DE URG•NCIA – MEDICINA P8 – 2011.1 113 Ações Específicas para Edema Agudo de Pulmão Ações de primeira linha Ações de segunda linha Considerar em casos de IAM - Oxigênio 5-10L/min em máscara facial - Dinitrato de isossorbida 5mg SL a cada 5min se PAS>90mmHg - Furosemida 20-80 mg EV - Morfina 1-3mg EV a cada 5 minutos - Nitroglicerina EV - Nitroprussiato EV - Dopamina - Dobutamina - CPAP - Intubação com ventilação com PEEP - Angioplastia - Trombolítico - Balão intra-aórtico - Cirurgia de revascularização miocárdica
  • 114.
    Arlindo Ugulino Netto– MEDICINA DE URG•NCIA – MEDICINA P8 – 2011.1 114 CONSIDERA‚ƒES FINAIS Representando uma das mais sérias urgências clínicas a desafiar o médico socorrista, o EAP necessita de diagnóstico e tratamento imediatos; a presença constante ao lado do paciente até a completa reversão do quadro é mandatória. Pelas sérias implicações prognósticas, todo o esforço deve ser envidado não só no controle clínico da descompensação aguda, mas, também, na identificação de possíveis causas reversíveis, tais como isquemia miocárdica, taquiarritmias,defeitos valvares agudos, etc. Na eventualidade de disfunção ventricular crônica, o correto diagnóstico do fator descompensador (interrupção da medicação, erros dietéticos, infecções sistêmicas, anemia, disfunções tireoideanas, etc.) deverá ser sempre lembrado. Nunca será excessivo salientar a necessidade de evitarmos a evolução para a disfunção ventricular através da detecção precoce e do controle clínico de seus principais causadores, tais como a hipertensão arterial sistêmica, a isquemia miocárdica e o diabetes mellitus.
  • 115.
    Arlindo Ugulino Netto– MEDICINA DE URG•NCIA – MEDICINA P8 – 2011.1 115 MED RESUMOS 2011 NETTO, Arlindo Ugulino; ELOY, Yuri Leite. MEDICINA DE URGÊNCIA E TERAPIA INTENSIVA IMAGENS NO TRAUMA (Professor Fábio Almeida) A realiza†…o de exames por imagens n…o obedece severamente a uma etapa descrita pelo ATLS, pois, sua realiza†…o pode ser feita ap„s o exame primƒrio ou secundƒrio ao politraumatizado, a depender do tipo de exame. Como exemplo, uma radiografia de cervical, t„rax e pelve, em servi†os com estrutura adequada, s…o considerados medidas auxiliares do exame primƒrio, realizadas ainda na sala de emerg€ncia; enquanto que, urografias excretoras, arteriografias, broncoscopias, radiografias de membros, etc., referem-se a exame complementares que s…o realizados ap„s a avalia†…o secundƒria. Entretanto, independente do momento em que se encaixa a realiza†…o de exames por imagem, de uma forma geral, procedimentos diagn„sticos ou exames complementares s„ poder…o ser realizados depois que o paciente jƒ estiver estabilizado (com acesso venoso e infus…o de volume adequado, via a‚rea p‚rvia, hemorragias contidas e fraturas imobilizadas) e, contanto, que isso n…o venha a implicar em perda de tempo. CONSIDERA‚ƒES GERAIS E PRINCIPAIS EXAMES DE IMAGENS NO TRAUMA Seguindo-se os princ•pios do ATLS, no momento em que um paciente ou politraumatizado chega de forma cr•tica na sala de Emerg€ncia, devemos proceder de forma efetiva, buscando assistir ao paciente ainda nos “10 minutos de platina”, sempre que poss•vel. Portanto, devemos promover, para com o paciente grave: acesso a via a‚rea, aspirar secre†ˆes, instalar Guedel e/ou intubar, se for o caso; estabilizar a coluna cervical; observar o padr…o respirat„rio e procurar por ind•cios de pneumot„rax – se houver, promover a descompress…o; garantir uma acesso venoso perif‚rico, infundir volume, colher amostra de sangue, estancar hemorragias; proceder com exame neurol„gico (Glasgow e padr…o de rea†…o pupilar); estabilizar fraturas que, eventualmente, possam causar lesˆes mais importantes; garantir uma coberta para evitar hipotermia. Se forem detectadas lesˆes cr•ticas, devemos proceder com o seu tratamento. Depois de toda esta avalia†…o inicial e da estabiliza†…o do paciente (exclu•das, tamb‚m, lesˆes graves), podemos partir para uma segunda etapa do algoritmo do ATLS, que consiste no uso de medidas auxiliares. Obrigatoriamente, podemos lan†ar m…o dos seguintes exames:  Radiografias: tr€s radiografias s…o preconizadas pelo ATLS: coluna cervical, t„rax (em AP) e pelve. Teoricamente, estas radiografias devem ser realizadas, mesmo na vig€ncia de um exame f•sico normal.  Tomografia: realizada neste momento apenas se houver uma suspeita de les…o neurol„gica grave e cujo tratamento seja poss•vel ao servi†o e imediato – muito embora sua realiza†…o fuja um pouco Œ regra, por se tratar de um exame mais demorado.  Focused Assesment Sonography for Trauma (FAST): consiste na realiza†…o de ultrassonografia na sala Emerg€ncia. Configura um exame rƒpido e n…o invasivo, utilizado para detec†…o de trauma abdominal. A realiza†…o de outros exames complementares necessƒrios s„ deve ser considerada ap„s o exame secundƒrio. Estes exames, diferentemente dos obrigat„rios realizados previamente na ocasi…o das medidas auxiliares, s…o aqueles que custam mais tempo de realiza†…o e, portanto, s„ devem ser realizados com o paciente estabilizado. Os exames s…o solicitados sob crit‚rios m‚dicos, como radiografia de membros e extremidades, estudos radiol„gicos contrastados, arteriografias, urografias, endoscopias, ultrassonografias espec•ficas, etc. Teoricamente, o estudo radiol„gico realizado no paciente politraumatizado deve ser feito atrav‚s de uma sequ€ncia preconizada e pr‚-estabelecida, para que os m•nimos detalhes sejam avaliados e que nada seja desprezado ou esquecido. Desta forma, as regiˆes a serem estudadas, pragmaticamente, s…o:  Vias a‚reas e coluna cervical  T„rax  Abdome e pelve  Cr‡nio
  • 116.
    Arlindo Ugulino Netto– MEDICINA DE URG•NCIA – MEDICINA P8 – 2011.1 116 A. VIAS A‰REAS E COLUNA CERVICAL O passo A da avalia†…o radiol„gica do paciente politraumatizado consiste na radiografia em perfil da coluna cervical. Contudo, tal radiografia n…o ‚ uma conduta obrigat„ria para todos os pacientes traumatizados, mas somente naqueles com indica†ˆes claras relacionadas a depender da cinemƒtica do trauma. Muito embora, a princ•pio, pacientes que apresentem as seguintes caracter•sticas devem ser considerados como potenciais candidatos Œ realiza†…o desta radiografia:  Qualquer v•tima de trauma fechado;  N•vel de consci€ncia rebaixado ou intoxica†ˆes;  Cinemƒtica do trauma com grande transfer€ncia de energia ou desconhecida;  Dor e crepta†…o na regi…o cervical;  Presen†a de d‚ficit neurol„gico Com rela†…o Œ necessidade do colar cervical, mesmo que um traumatismo raquimedular tenha sido descartado por exame radiogrƒfico ou o exame tenha sido inconclusivo, o colar cervical n…o deve ser retirado, at‚ que seja realizada uma segunda avalia†…o mais detalhada. Geralmente, cerca de 12 a 24 horas ap„s o trauma, depois de realizada uma segunda radiografia e estando ela normal, associada a um exame neurol„gico com aus€ncia de parestesias e paresias, o colar cervical poderƒ ser retirado. A técnica para realiza†…o da radiografia em perfil da coluna cervical deve ser precisa. A imagem deve apresentar as 7 v‚rtebras cervicais e ainda a 1 a v‚rtebra torƒcica. Entretanto, esse padr…o raramente ‚ obtido nos atendimentos de urg€ncia e emerg€ncia. Podemos lan†ar m…o de algumas manobras para conseguir uma t‚cnica adequada, como a tra†…o dos membros superiores ou a incid€ncia do nadador. Os principais par‡metros observados neste exame s…o: I. Técnica: presen†a de 8 v‚rtebras na imagem: C1 – C7 + T1. II. Alinhamento  Face anterior dos corpos vertebrais  Margem anterior e posterior do canal medular  Extremidades dos processos espinhosos III. Ossos  Corpos vertebrais – contornos e altura  Ped•culos  Processos transversos e espinhosos IV. Cartilagens: anƒlise dos discos intervertebrais V. Partes Moles: avaliar o espa†o pr‚-vertebral e o espa†o entre os processos espinhosos. De acordo os par‡metros analisados na radiografia de coluna cervical, os achados que devem ser procurados e valorizados s…o:  Perda do alinhamento (desnivelamento das linhas imaginƒrias que seguem as margens anterior e posterior dos corpos vertebrais)  Estreitamento do canal de medular  Fraturas por achatamento dos corpos vertebrais: ocorre comumente em mergulhos em ƒguas rasas  Aumento do espa†o entre as partes moles e da dist‡ncia entre os processos espinhosos
  • 117.
    Arlindo Ugulino Netto– MEDICINA DE URG•NCIA – MEDICINA P8 – 2011.1 117 Na radiografia ao lado podemos perceber uma perda da congru€ncia da v‚rtebra C5 com as demais, que pode ser descrita como um desnivelamento da linha que tangencia o extremo anterior dos corpos vertebrais. Tal achado, ‚ indicativo de les…o de coluna cervical, com provƒvel les…o da medula. Para identificar a les…o medular, deve-se proceder com a correla†…o cl•nica-radiol„gica, realizando um exame f•sico e neurol„gico, avaliando as modalidades sensitivas e for†a muscular. B. AVALIA‚„O RADIOGR…FICA DO T†RAX A radiografia de tórax na v•tima de trauma deve sempre ser realizada em incid€ncia ‡ntero-posterior (AP). Embora algumas patologias possam ser devidamente reconhecidas atrav‚s do uso da radiografia de t„rax, o diagn„stico de tr€s entidades deve ser, acima de tudo, clínico, no momento em que a v•tima ‚ admitida pelo servi†o hospitalar. Isso porque as patologias citadas abaixo apresentam uma cl•nica exuberante e, geralmente, clƒssicas; mas cursam com potencial risco de morte, exigindo um diagn„stico cl•nico imediato e uma abordagem terap€utica subsequente. As entidades as quais nos referimos s…o:  Pneumot„rax hipertensivo: geralmente esses pacientes apresentam-se com ang‰stia respirat„ria, cian„ticos, em taquipn‚ia, sudorese intensa, t„rax instƒvel, murm‰rios vesiculares abolidos, turg€ncia jugular na aus€ncia de choque, desvio da traqu‚ia.  Pneumot„rax aberto: feridas torƒcicas aspirativas que podem ser controladas atrav‚s do uso de do “curativo dos 3 pontos” no atendimento pr‚-hospitalar ou por meio de uma cirurgia torƒcica efetiva, jƒ no atendimento hospitalar.  Tamponamento card•aco: deve ser identificado pela tr•ade clƒssica de Beck – abafamento de bulhas card•acas, ingurgitamento jugular e hipotens…o arterial. Nesses casos deve-se proceder com uma pericardiocentese. Outras lesˆes devem ser investigadas durante a proped€utica cl•nica e radiol„gica do t„rax, tais como:  Contus…o pulmonar  Pneumot„rax: pequenos em pacientes com grande reserva pulmonar, em que, os sinais cl•nicos est…o ausentes.  Hemot„rax  Les…o de ƒrvore traqueobr•nquica: que clinicamente se caracteriza por grandes enfisemas  Contus…o card•aca  Ruptura traumƒtica de aorta: os pacientes que n…o morrem imediatamente por esta condi†…o podem apresentar um alargamento do mediastino Œ radiografia do t„rax.  H‚rnia diafragmƒtica: ocorre quando hƒ grandes compressˆes, como nos atropelamentos, quando o ve•culo passa sobre o abdome da v•tima.  Pneumoperit•neo: pode ocorrer por trauma aberto ou fechado, por‚m, tamb‚m pode ocorrer sob circunst‡ncias cl•nicas, como na ‰lcera p‚ptica perfurada. Apesar de ser uma patologia da regi…o abdominal, ‚ uma condi†…o que pode ser identificada pela radiografia de t„rax, mostrando-se como a presen†a de ar (hipertranspar€ncia) na regi…o subdiafragmƒtica, abaixo das c‰pulas diafragmƒticas. Quanto Œ técnica de avaliação da radiografia de tórax, ou para qualquer outro exame complementar, devemos, inicialmente, confirmar o nome do paciente no prontuƒrio m‚dico com a identifica†…o presente no exame radiol„gico. Sempre que poss•vel, devemos valorizar e relacionar o exame com a cinemƒtica do trauma. A proped€utica radiol„gica do t„rax consiste no seguinte algoritmo: A. Vias Aéreas  Avaliar centraliza†…o da traqu‚ia  Br•nquios – alinhamento e infiltra†ˆes B. Respiração  Espa†o pleural e par€nquima pulmonar – hemot„rax, pneumot„rax, contus…o pulmonar  Trama vascular  Seios costofr€nicos
  • 118.
    Arlindo Ugulino Netto– MEDICINA DE URG•NCIA – MEDICINA P8 – 2011.1 118 C. Circula‚ƒo  Avaliar a silhueta card•aca  Pneumomediastino: sugere ruptura de es•fago ou traqu‚ia  Alargamento de mediastino: sugere ruptura de aorta D. Diafragma  C‰pula diafragmƒtica direita e esquerda  Eleva†ˆes, pneumoperit•nio e v•sceras ocas E. Esqueleto - arcabou‚o Šsseo do tŠrax  Clav•culas  Costelas: quando hƒ fratura de duas ou mais costelas em dois ou mais focos diferentes, promove o t„rax instƒvel (flail chest), com respira†…o paradoxal.  Escƒpulas: sua les…o com comprometimento das 3 primeiras costelas geralmente estƒ associada a les…o de grandes vasos, como ruptura traumƒtica de aorta.  Esterno: as lesˆes de esterno geralmente decorrem de traumas com grande energia cin‚tica e, por isso, podem estar associadas ao comprometimento card•aco. F. Partes Moles  Pesquisa por enfisema subcut‡neo G. Artefatos – drenos e cateteres  Tubo Orotraqueal  Dreno torƒcico  Cateter venoso  Sonda nasogƒstrica  Eletrodos Radiografia em inspira†…o for†ada. Notar o posicionamento do dreno (seta azul clara) e a pequena zona e pouco definida de pneumotorax do lado direito no v‚rtice do pulm…o (seta vermelha). Desta forma, temos: A – traqu‚ia relativamente centralizada B – Presen†a de discreto pneumot„rax Œ direita C – Silhueta card•aca normal, sem alargamento do mediastino D – Diafragma em posi†…o anat•mica, sem altera†ˆes de trauma E – Arcabou†o „sseo: clav•culas, costelas, escƒpulas e esterno com aus€ncia de fraturas. F – Partes moles G – Nota-se a presen†a de dreno torƒcico. A – Desvio da traqu‚ia Œ esquerda B – Grande pneumot„rax do lado direito e provƒvel contus…o pulmonar do lado esquerdo C – Desvio do mediastino para esquerda. D – Rebaixamento de c‰pula diafragmƒtica direita. E – Arcabou†o •sseo normal F – Sem altera†ˆes G – Ausente
  • 119.
    Arlindo Ugulino Netto– MEDICINA DE URG•NCIA – MEDICINA P8 – 2011.1 119 A – Traqu‚ia imposs•vel de ser avaliada B – Trama vascular normal do lado direito e pneumot„rax Œ esquerda C – Silhueta card•aca normal, apesar do pneumot„rax D – Rebaixamento de c‰pula diafragmƒtica esquerda E – Arcabou†o •sseo normal F – Aus€ncia de Enfisema subcut‡neo G – Ausente A – Traqu‚ia sem desvio B – Grande opacidade do lado direito, podendo ser secundƒria a contus…o pulmonar ou, ainda, empiema pulmonar C – Silhueta card•aca incapaz de ser avaliada D – C‰pula diafragmƒtica incapaz de ser avaliada E – Arcabou†o „sseo normal, sendo incapaz de avaliar as costelas inferiores F – Aus€ncia de enfisema subcut‡neo G – Eletrodos A – Traqu‚ia sem desvio B – Grande opacidade lateral esquerda, com velamento do seio costofr€nico, podendo indicar presen†a de l•quido. C – Silhueta card•aca normal D – C‰pula diafragmƒtica com velamento do lado esquerdo E – Arcabou†o •sseo normal, n…o avaliado costelas inferiores do lado esquerdo F – Aus€ncia de Enfisema subcut‡neo G – Ausente A – Traqu‚ia sem desvio B – Campos pulmonares normais, com preserva†…o de trama vascular C – Silhueta card•aca de limites normais D – C‰pula diafragmƒtica esquerda elevada e com hipertranspar€ncia, indicando pneumoperit•nio. E – Arcabou†o „sseo aparentemente normal. F – Aus€ncia de enfisema subcut‡neo G – Ausente
  • 120.
    Arlindo Ugulino Netto– MEDICINA DE URG•NCIA – MEDICINA P8 – 2011.1 120 A – Traqu‚ia sem desvio B – Opacidade lateral direita, secundƒria a hemot„rax. C – Silhueta card•aca de dif•cil visualiza†…o, por isso, n…o avaliada D – C‰pula diafragmƒtica esquerda elevada, indicando grande pneumoperit•nio. E – Arcabou†o •sseo indicando presen†a de fraturas de costelas do lado direito. F – Aus€ncia de Enfisema subcut‡neo G – Ausente A – Traqu‚ia sem desvio B – Pneumot„rax do lado direito C – Desvio da Silhueta card•aca D – C‰pula diafragmƒtica normal E – Arcabou†o •sseo n…o avaliado – radiografia muito penetrada F – Aus€ncia de Enfisema subcut‡neo G – Ausente C – Alargamento do mediastino G – Presen†a de cateter venoso central C – Pneumopericƒrdio F – Presen†a de enfisema subcut‡neo decorrente de ruptura de es•fago e/ou traqu‚ia. OBS 1 : Lesões torácicas associadas. Durante a avalia†…o radiol„gica do t„rax, alguns achados podem sugerir condi†ˆes graves correlacionadas. Desta forma, temos:  Esterno: contus…o card•aca  Escƒpulas (omoplatas) e tr€s primeiras costelas: les…o em grades vasos.  Duas ou mais costelas fraturadas em dois ou mais focos: flail chest  Pneumomediastino: les…o de es•fago ou de traqu‚ia.
  • 121.
    Arlindo Ugulino Netto– MEDICINA DE URG•NCIA – MEDICINA P8 – 2011.1 121 C. AVALIA‚„O RADIOGR…FICA DO CHOQUE E HEMORRAGIAS Na suspeita de choque, deve-se imediatamente identificar poss•veis sinais de sangramentos, especialmente nas extremidades. Quando o paciente n…o possui sangramentos externos, e n…o apresenta resposta a reposi†…o vol€mica, deve-se pensar em sangramentos internos, sendo necessƒrio avaliar, ent…o, a cavidade abdominal e a pelve (regiˆes que, quando acometidas por trauma, s…o as principais sedes dos dist‰rbios que cursam com hipovolemia e choque). Para isso, podemos lan†ar m…o de alguns m‚todos diagn„sticos para identifica†…o do local de sangramento, sendo os mais utilizados na emerg€ncia:  Lavagem Peritoneal Diagnóstica (LPD): embora n…o seja um m‚todo por imagem, ‚ um exame proped€utico que serve para sugerir sangramentos peritoneais na emerg€ncia. Realiza-se uma laparocentese, injeta-se certa quantidade de l•quido (soro fisiol„gico); depois disso, observa-se, na aspira†…o, a presen†a de sangue. Consiste em um m‚todo que estƒ em desuso, por ser invasivo e por ter uma alta incid€ncia de resultados falso-positivos.  FAST (Focused Assesment Sonography for Trauma): ‚ um exame rƒpido e n…o invasivo, desempenhando um papel de grande import‡ncia nos traumas fechados (contusos), e que vem substituindo a LPD. Š um exame realizado na emerg€ncia pelo pr„prio m‚dico que atendeu a v•tima. Deve ser realizado em 4 janelas e repetido a cada 30 minutos:  Janela epigƒstrica (pericƒrdica): investiga-se presen†a de hemopericƒrdio e tamponamento card•aco.  Hipoc•ndrio direito (hepato-renal): lesˆes de f•gado  Hipoc•ndrio esquerdo (espleno-renal): sangramentos provenientes do ba†o.  Pelve: cole†ˆes intrabdominais.  Radiografia da pelve em AP: A radiografia de bacia desempenha um papel de grande import‡ncia para identifica†…o de sangramentos, decorrentes de traumatismos p‚lvicos, especialmente as lesˆes em livro aberto. Por isso, a radiografia de pelve em AP, constitui umas das medidas do exame primƒrio desses pacientes. 1. Avalia†…o da s•nfise p‰bica: largura da s•nfise p‰bica maior 1 cm decorrente de disjun†…o p‚lvica sugere importante perda de sangue. 2. Ramos P‰bicos superiores e inferiores; 3. Acetƒbulo e cabe†a do F€mur; 4. Simetria do •leo e articula†…o sacroil•aca; 5. Simetria dos forames sacrais; 6. Fraturas dos processos Transversos de L5; 1 – Disjun†…o p‚lvica maior que 1 cm 2 – Fratura de Ramo P‰bico 3 – Acetƒbulo, cabe†a e colo femural sem altera†ˆes 4 – Afastamento da articula†…o sacroil•aca esquerda 5 – Forames Sacrais normais 6 – Ap„fise transversa de L5 1 – Aus€ncia de disjun†…o p‚lvica 2 – Aus€ncia de fratura de Ramo P‰bico 3 – Fratura do colo femural 4 – Articula†…o sacroil•aca esquerda •ntegra 5 – Forames Sacrais normais 6 – Ap„fise transversa de L5 normal OBS 2 : Todos os exames solicitados at‚ o momento devem ser realizados na sala de reanima†…o, ou seja, sala de emergência ou sala vermelha, podendo ser realizados pelo pr„prio m‚dico que atende a v•tima; n…o sendo necessƒria, teoricamente, a presen†a de um radiologista.
  • 122.
    Arlindo Ugulino Netto– MEDICINA DE URG•NCIA – MEDICINA P8 – 2011.1 122 D. TOMOGRAFIA DE CRˆNIO PARA AVALIA‚„O NEUROL†GICA A tomografia computadorizada (TC) para avalia†…o neurol„gica ‚ um exame que s„ deve ser considerado ap„s a realiza†…o da conduta inicial do ATLS – ABCDE. Em nenhuma hip„tese a TC pode retardar a reanima†…o ou transfer€ncia de um paciente, e ‚ prudente que ela s„ seja realizada em locais onde hƒ capacidade de resolu†…o de um eventual quadro neurol„gico, ou seja, em hospitais com servi†os de neurocirurgia. Uma importante peculiaridade ‚ a certifica†…o de que o exame foi realizado sem contraste, pois o contraste pode simular sangramentos. Com isso, conclu•mos que a TC para o trauma deve ser sem contraste, pois pode ser confundido com as seguintes condi†ˆes (“os 4 C’s da densidade aumentada”):  Coƒgulo  Celularidade (tumor)  Calcifica†ˆes fisiol„gicas (gl‡ndula pineal e plexo cor„ide)  Contraste Durante a proped€utica radiol„gica do cr‡nio, assim como para todos os outros exames, n…o podemos deixar de valorizar a cinemƒtica do trauma. A TC de cr‡nio, especificamente, deve ser avaliada da seguinte forma: I. Couro cabeludo: pesquisar por hematomas subgaleais II. Crânio: avaliar a presen†a de fraturas, afundamentos, trajetos de PAF, pneumoenc‚falo III. Giros e sulcos: avalia-se o par€nquima cerebral, assimetrias e edema cerebral (brain swelling). IV. Hemisférios cerebrais e cerebelares: hematomas intracerebrais (ƒreas densas), contusˆes cerebrais (ƒreas pontilhadas), les…o axonal difusa (densidade normal ou baixa, mas que pode cursar com brain swelling – edema cerebral). V. Ventrículos: simetria, densidade, hemorragias intraventriculares, desvios e compressˆes VI. Desvios da linha média: desvios acima de 5mm indicam hipertens…o intracraniana por les…o em massa. VII. Maxilo-facial: face, seios paranasais, base do cr‡nio. Hematoma Extradural.  Densidade Aumentada em forma biconvexa  Geralmente sangramentos arteriais (art‚ria men•ngea m‚dia)  Localizado fora da dura-mƒter, comprimindo sulcos e giros  Pode desviar a linha m‚dia e os ventr•culos  Mais frequentes nas regiˆes temporais e parieto-temporal  Menos frequentes que os subdurais  Clinicamente, presen†a do “intervalo l‰cido” Hematoma Subdural.  Mais frequentes e mais graves  Decorrem de sangramentos venosos  Densidade aumentada comprimindo giros e sulcos em todo o hemisf‚rio  Aparecem no interior do cr‡nio abaixo da dura-mƒter  Podem causar desvios da linha m‚dia e ventr•culos  Geralmente associadas a hematomas e contusˆes cerebrais OBS 3 : A radiografia de cr‡nio, um exame muito solicitado em servi†os de emerg€ncia, ‚, comprovadamente, um m‚todo dispensƒvel para pacientes com suspeita da TCE.
  • 123.
    Arlindo Ugulino Netto– MEDICINA DE URG•NCIA – MEDICINA P8 – 2011.1 123 MISCELˆNEA Grande nível hidroaéreo na topografia do tórax, sendo sugestivo de hérnia diafragmática traumática. Presença de Pneumoperitônio FAST mostrando a janela hepatorrenal demonstrando coleção de sangue em paciente com histórico de trauma fechado. Fratura de colo cirúrgico de úmero direito. Fratura de dos ramos isquiopúbicos superior direito e inferior esquerdo. Provavelmente, está associada a grande perda de sangue. Radiografia da coxa mostrando fratura cominutiva do fêmur, no terço médio e distal.
  • 124.
    Arlindo Ugulino Netto– MEDICINA DE URG•NCIA – MEDICINA P8 – 2011.1 124 Tomografia computadorizada não-contrastada mostrando hematoma subgaleal, fratura de crânio, grande hematoma intracerebral, hemorragia intraventricular, desvio da linha média. Fratura da clavícula direita Pneumoperitônio Pneumopericárdio. A arteriografia (assim como outros exames específicos: radiografia de membros e extremidades, estudos radiológicos contrastados, urografias, endoscopias, ultrassonografias específicas, etc.) só deve ser realizada após o exame secundário (e, no seu caso, se houver a presença do cirurgião vascular). Em A, arteriografia mostrando a presença de fístula arteriovenosa, com extravasamento de contraste. Em B, aspecto imediato após a embolização seletiva da artéria rota.
  • 125.
    Arlindo Ugulino Netto– MEDICINA DE URG•NCIA – MEDICINA P8 – 2011.1 125 MED RESUMOS 2011 CORREIA, Luiz Gustavo; NETTO, Arlindo Ugulino. MEDICINA DE URGÊNCIA E TERAPIA INTENSIVA TRAUMATISMO CRANIO-ENCEFÁLICO (Professor Fábio Almeida) O traumatismo crânio-encefálico (TCE) é considerado um evento traumático grave, cujas vítimas são críticas, com probabilidade de morte eminente. Diante disto, os preceitos estabelecidos pelo ATLS devem ser, a rigor, obedecidos: identificação do TCE pela avaliação primária somente após o ABCDE. Tradicionalmente, consideramos vítimas críticas aquelas que apresentam pelo menos um dos seguintes quadros: (1) TCE; (2) alterações respiratórias (insuficiência, principalmente); (3) perda de volume sanguíneo circulante (choque hipovolêmico), o que, geralmente, suscita que houve lesão em outras cavidades (até porque, a lesão intracraniana cursa com graus mínimos de sangramento e instabilidade hemodinâmica). Entretanto, na presença de um TCE, além de alterações neurológicas focais e globais, podem estar associados tais distúrbios respiratórios e choque hipovolêmico. Por esta razão, diante do paciente com TCE, devemos sempre obedecer ao protocolo, independentemente, da visualização da lesão craniana, priorizando a avaliação do acrômio ABCDE: A: Sequência de vias aéreas e imobilização da coluna cervical B: Sistema respiratório C: Controle do choque D: Avaliação neurológica simplificada E: controle e exposição da vítima Estando o paciente estável, devemos partir para o exame secundário, que consiste na identificação, bem como, do tratamento de lesões específicas. Portanto, para os pacientes que sofreram TCE leve, que se apresentam consciente, sem alterações respiratórias, com sinais de perfusão teciduais adequados (que impossibilita o choque), já devemos requisitar o exame secundário. Pela filosofia do ATLS, a demora e a falha do exame primário possibilita o óbito do paciente; enquanto que, a demora do exame secundário pode causar morbidades e sequelas, mas não leva ao óbito. EPIDEMIOLOGIA  50% dos óbitos por trauma  60% é causada por acidentes veículo-motor (principalmente, motociclistas)  Causa de óbitos por atropelamentos  TCE em militares: > 40% de óbitos  USA: 500.000 TCE/ano  10% morrem antes de chegar ao hospital  TCE leves: 80%  TCE moderados: 10%  TCE graves: 10%  100.000 pacientes sequelados ANATOMIA APLICADA CRˆNIO-ENCEF…LICA A anatomia do crânio e encéfalo é bastante complexa. Para o entendimento de alguns tipos de lesões neurológicas que ocorrem na vigência do TCE, se faz necessário a compreensão sistemática e simplificada da anatomia do crânio, envoltórios meníngeos, encéfalo e líquor. Do plano estratigráfico, de fora para dentro, podemos visualizar as seguintes camadas:  Couro cabeludo  Crânio  Meninges (Líquor)  Encéfalo  Ventrículos (Líquor) MENINGES O encéfalo, como um todo, é revestido por três membranas fibrosas que, de fora para dentro, são: dura-máter, aracnóide e pia-máter. Do ponto de vista funcional, além da proteção propriamente dita, as meninges também são importantes por formarem cavidades ou espaços (extra-dural, subdural e subaracnóideo), bem como, por participarem efetivamente da reabsorção do líquor. De todos os componentes da esfera anatômica, as meninges são as que devem ser melhores compreendidas para o TCE.  Espaço extra-dural: é o espaço entre a dura-máter e os ossos do crânio.  Espaço subdural: é um espaço meramente virtual, entre a dura-máter e aracnóide-máter, no vivo, é preenchida por uma pequena porção de líquido.  Espaço subaracnóideo: localiza-se entre a aracnóide e a pia-máter, é um espaço de ampla importância clínica, por represar o líquor.
  • 126.
    Arlindo Ugulino Netto– MEDICINA DE URG•NCIA – MEDICINA P8 – 2011.1 126 A dura-máter , correspondente anatômico da paquimeninge, é a membrana mais externa que reveste o encéfalo, composto por dois folhetos, interno e externo. Acima desta meninge existe um plexo arterial e, abaixo dela, um plexo venoso. A dura-máter é nutrida pelos vasos meníngeos, dentre os quais, se destaca a artéria meníngea média (que é ramo da artéria maxilar, sub-ramo da facial), que trajetam entre o folheto externo da dura-máter o os ossos do crânio. Portanto, fica fácil de compreender que, a ruptura da artéria meníngea média cursa com o evento traumático reconhecido pelo hematoma extra-dural, que se caracteriza pelo acúmulo de sangue entre o folheto externo da dura-máter e o osso craniano correspondente. Geralmente, a causa do hematoma extra-dural é a ruptura arterial, que acomete a região temporal. A aracnóide e pia-máter , em seu conjunto, são denominadas de leptomeninge. Além de protegerem o encéfalo contra traumatismos diários, também são importantes por formarem o espaço subaracnóideo, que se localiza entre as duas membranas previamente referidas, contendo o líquor. O espaço subdural é o que se localiza entre a dura-máter (folheto interno) e a aracnóide. O acúmulo de sangue no espaço subdural é denominado de hematoma subdural. O evento fisiopatológico envolvido é a ruptura traumática das veias em pontes (veias córtico-meníngeas), que atravessam o espaço subdural, ligando a superfície superior dos hemisférios cerebrais ao seio sagital superior. A localização mais frequente é a na região parietal e frontal. LÍQUOR O líquor é um líquido aquoso, rico em glicose, proteínas, imunoglobulinas, componentes leucocitários, que possui, dentre as demais funções, a capacidade de proteção do encéfalo, bem como a dissipação radial de um eventual trauma local. Circula pelo espaço subaracnóide, bem como pelas cavidades cisterno-ventriculares, até serem reabsorvidos pelas granulações subaracnóideas presentes na região do seio sagital superior, principalmente. A sua taxa de produção é de 20mL/hora. FISIOLOGIA APLICADA CRˆNIO-ENCEF…LICA O conteúdo craniano, hermeticamente fechado, é composto pela tríade: massa encefálica, sangue (arterial e venoso) e líquor. Portanto, o aumento de algum dos componentes previamente descritos ou outros (como tumores) promove um acrescimento da pressão intracraniana (PIC), que tem valor normal de 10 mmHg, levando em conta o fato que a cavidade craniana é fechada, com impossibilidade de distensão. O cérebro possui um mecanismo de auto- regulação, que tenta diminuir a possibilidade de uma hipertensão intracraniana, que foi primeiramente descrito por Monro-Kellie: “O conte€do craniano, apesar de constante, pode sofrer varia‹‰es que tentam compensar um provƒvel aumento da PIC”. De acordo com a doutrina de Monro -Kellie, o aumento de um dos três componentes do crânio, resulta em um mecanismo de auto-compensação. Na imagem, vemos que a presença de uma massa (que é representada por aumento do tecido nervoso), determina uma diminuição da produção do líquor, bem como do volume sanguíneo intracraniano. No caso dos TCE, ao percebermos que o hematoma subdural aumenta o conteúdo de sangue dentro do crânio, pela doutrina, o tecido nervoso não pode sofrer atrofia, mas o líquor, bem como a circulação arterial e venosa passam a sofrer um decréscimo, com a finalidade de diminuir a pressão da cavidade craniana.
  • 127.
    Arlindo Ugulino Netto– MEDICINA DE URG•NCIA – MEDICINA P8 – 2011.1 127 Os mecanismos de compensa†…o s…o representados pela fuga venosa e diminui†…o do l•quor (aumento de sua reabsor†…o). A primeira compensa†…o ‚ a diminuição da produção do líquor, bem como o aumento de sua reabsor†…o ou sa•da do cr‡nio. Caso, tal fen•meno n…o seja suficiente para demandar uma diminui†…o da PIC, o organismo lan†a m…o de um sistema efetivo que diminui o volume sanguíneo circulante dentro da cavidade intracraniana, de inicio, venoso e, em seguida, arterial. Neste ponto, ocorre uma redu†…o da press…o de perfus…o cerebral, com consequente isquemia e morte dos neur•nios. Depois disso, se inicia a compress…o e hernia†…o do par€nquima cerebral. FISIOPATOLOGIA Diante do TCE, podem ocorrer dois tipos de lesˆes, que dependem do mecanismo de trauma, bem como do manejo terap€utico do paciente: 1) les…o primƒria e 2) les…o secundƒria. A les…o primƒria ‚ a que ocorre no instante em que ocorreu o trauma, representada pelas contusˆes, fraturas, hemorragias, hematomas, concuss…o, les…o axonal difusa (com brain swelling). Jƒ as lesˆes cerebrais secundƒrias, s…o as que ocorrem em detrimento de processos complicadores, que se iniciam no momento do trauma, mas que somente s…o evidenciados, clinicamente, ap„s determinado per•odo (hipertens…o intracraniana, les…o cerebral hip„xica, edema cerebral).  Primária: ocorrem por les…o craniana direta, sendo inerente a: fraturas, concuss…o, hematomas, hemorragias (intraparenquimatosas).  Secundária: (1) Causas intracranianas: convuls…o, edema cerebral, hematomas, piora da hipertens…o intracraniana; (2) Causas sistêmicas: hip„xia, aumento ou diminui†…o da CO2, anemia, hipotens…o, aumento ou diminui†…o da glicemia. HEMATOMA SUBDURAL Mais frequente em rela†…o ao hematoma extradural, o hematoma subdural ocorre em at‚ 30% dos TCE, e ocorre pelo acometimento das veias c„rtico-men•ngeas, que s…o as veias em ponte que atravessam o espa†o subdural. Por este motivo, a localiza†…o mais frequente deste hematoma s…o as regiˆes parietais e frontais. Entretanto, o HSD tende a cobrir todo o hemisf‚rio cerebral, porque o sangue espalha-se livremente pelo espa†o subdural. Š uma condi†…o que causa muito dano cerebral e, por esta raz…o, s…o mais graves e trazem mais morbidade do que o hematoma extradural. O diagn„stico ‚ obtido pela TC de cr‡nio, que demonstra o aspecto de cunha ou em meia-lua do hematoma subdural (por vezes, laminares) e, um deslocamento da massa encefƒlica ipsilateral ao hematoma para o lado oposto, com s‰bita diminui†…o do espa†o ventricular. Na fase aguda, a les…o ‚ hiperdensa; na subaguda ‚ isodensa e, na cr•nica, hipodensa. OBS 1 : O hematoma subdural ‚ uma condi†…o mais frequente nos idosos, por conta da atrofia cerebral que ocorre, de modo fisiol„gico, nesta faixa etƒria. HEMATOMA EXTRADURAL Os hematomas epidurais/extradurais localizam-se entre a tƒbua „ssea e a l‡mina externa da dura-mƒter, sendo responsƒveis por 5-15% dos casos de morte por TCE, ocorrendo em 0,5% dos casos de TCE e em 9% dos comatosos. O mecanismo ocorre atrav‚s da ruptura da art‚ria men•ngea m‚dia, ou algum dos seus ramos, cursando com o ac‰mulo de sangue no espa†o compreendido entre o folheto externo da dura-mƒter e a estrutura „ssea. As principais localiza†ˆes s…o temporal ou t€mporo-parietal. Clinicamente hƒ o “intervalo l‰cido”, caracterizado pelo paciente que se apresenta, inicialmente, “bem”, mas que, ap„s um per•odo, apresenta convulsˆes ou rebaixamento do n•vel de consci€ncia (esta evolu†…o pode ocorrer em minutos ou em dias). Apresentam bom progn„stico quando reconhecidos e tratados rapidamente. Aqueles localizados na fossa posterior t€m maior mortalidade. O diagn„stico ‚ facilmente obtido pela TC de cr‡nio, que demonstra a configura†…o em “lente biconvexa” do hematoma, sem ultrapassar os limites da sutura, at‚ porque o folheto externo se insinua nas suturas, e isto impede que o sangue se espalhe e atravesse. OBS 2 : Apesar de o hematoma extradural, por defini†…o, ser causado por uma ruptura vascular arterial, em 10% dos casos, pode ser ocasionado pela lacera†…o dos seios venosos que, geralmente, est…o adjacentes.
  • 128.
    Arlindo Ugulino Netto– MEDICINA DE URG•NCIA – MEDICINA P8 – 2011.1 128
  • 129.
    Arlindo Ugulino Netto– MEDICINA DE URG•NCIA – MEDICINA P8 – 2011.1 129 OBS 3 : Š vƒlido salientar que o volume de sangue perdido nos casos de hematomas intracranianos ‚ de, aproximadamente, 30 – 50ml de sangue. Portanto, para v•timas de TCE que se apresentam em choque hipovol€mico, n…o devemos associar esta instabilidade hemodin‡mica ao sangramento intracraniano; certamente, deve haver outra forma de hemorragia mais importante a ser investigada. LES˜ES CEREBRAIS DIFUSAS S…o representadas pela concuss…o (les…o leve) e a les…o axonal difusa – LAD (les…o grave). A concuss…o ‚ um evento fisiopatol„gico primƒrio que pode cursar com assintomatologia ou sintomas leves. Na maioria das vezes, n…o ocorre altera†…o neurol„gica significativa, com ECG > 14. Em raros casos, podem ocorrer perda de consci€ncia, amn‚sia anter„grada, perguntas e afirma†ˆes repetitivas, confus…o, desorienta†…o, cefal‚ia e v•mitos. Os sinais e sintomas podem durar desde horas, at‚ dias e, em alguns casos, pode ocorrer a s•ndrome p„s-concuss…o, que dura algumas semanas. FRATURAS DE CR•NIO As fraturas de cr‡nio podem se apresentar, sob o ponto de vista morfol„gico, em vƒrios tipos. A fratura linear corresponde a mais de 80% dos casos e, a sua presen†a ‚ algo que deve aumentar a suspeita de hematoma intracraniano e de lesˆes cranianas traumƒticas (LCT).  Linear (representam 80% dos casos)  Afundamento  Exposta/fechada  Fratura de base de cr‡nio HIPERTENSŒO INTRACRANIANA Conforme foi dito anteriormente, o cr‡nio ‚ uma estrutura r•gida, que n…o pode acomodar sangramento ou edema, sob a pena de ocorrer morte neuronal. Portanto, o principal objetivo do manejo terap€utico da hipertens…o intracraniana (HIC) ‚ o de impedir que ocorra uma compress…o cerebral, bem como o de manter uma press…o de perfus…o cerebral adequada. A press…o de perfus…o cerebral (PPC) ‚ a diferen†a entre a press…o arterial m‚dia (85 – 95 mmHg) e a press…o intracraniana (10 – 20 mmHg), com valor que varia entre 70 e 80 mmHg. Quando a PIC aumenta, ocorre uma perda do gradiente de press…o, alterando tamb‚m a PPC.  PAM (press…o arterial m‚dia) = PD (press…o diast„lica) + 1/3 PP (press…o de perfus…o)  PP = PS (press…o sist„lica) – PD  PPC = PAM – PIC Sinais de alerta. Alguns autores intitularam que existem sinais de alerta de poss•vel aumento da PIC ou ainda hernia†…o eminente.  Diminui‚ƒo de 2 pontos ou mais na Escala de Coma de Glasgow (ECG)  Pupilas nƒo reativas ou com reflexo foto-motor lento  Aparecimento da hemiplegia, hemiparesia ou posturas patolŠgicas (decortifica†…o, decerebra†…o)  Fen™meno de Cushing: bradicardia, hipertens…o arterial, altera†…o do padr…o ventilat„rio (Cheyne-Stokes, por exemplo) Manifesta‚„es cl•nicas. O quadro cl•nico da HIC (hipertens…o intracraniana) ‚ dado de acordo com as caracter•sticas concomitantes da atividade da complac€ncia cerebral. O in•cio do quadro cl•nico da HIC poderƒ ser de uma assintomatologia. A explica†…o desta aus€ncia de sintomas no in•cio do quadro cl•nico da HIC ‚ dada pelo fato de que existe um sistema efetivo de auto-regula†…o do volume intracraniano (princ•pio de Monro-Kellie). Com o t‚rmino da complac€ncia, os sintomas gerais mais comuns come†am a se manifestar: cefal‚ia, v•mitos matinais (frutos de compress…o local de estruturas neuro-vasculares e dura-mƒter). Neste instante, ao se examinar o fundo de olho jƒ se ‚ poss•vel perceber o edema de papila „ptica (que resulta da compress…o da veia central da retina pelo LCR, surgindo as ondas de plat• no tra†ado eletroencefalogrƒfico). A partir deste ponto, se n…o ocorrer uma interven†…o m‚dica, os sintomas exuberantes passar…o a se manifestar: altera†ˆes do n•vel de consci€ncia (sonol€ncia e desorienta†…o), altera†ˆes da PA (press…o arterial), FC (frequ€ncia card•aca), ritmo respirat„rio. A evolu†…o final ‚ o quadro de coma, midr•ase e morte. O quadro cl‡ssico (tr•ade) da hipertens…o intracraniana ‚ a cefal‹ia, v™mitos e edema de papila. N…o se deve confundir com a tr•ade de Cushing, que ‚ a que ocorre em pacientes com hipertens…o intracraniana p„s- traumƒtica ou p„s-hemorragia (AVE), gerando: dispn‚ia, bradicardia e hipertens…o arterial. A tr•ade de Cushing ‚ uma tentativa de o organismo restaurar a PIC, de modo que, a press…o arterial ‚ elevada para manter o fluxo sangu•neo cerebral, a freqœ€ncia card•aca diminui pela fal€ncia de est•mulo neurol„gico.
  • 130.
    Arlindo Ugulino Netto– MEDICINA DE URG•NCIA – MEDICINA P8 – 2011.1 130 PRINC‡PIOS DO ATENDIMENTO O protocolo estabelecido pelo ATLS contém alguns princípios do atendimento da vítima com TCE. O atendimento deve ser seguro, o mais precoce possível, seguindo os seguintes princípios:  Prevenir lesões secundárias;  Fornecer oxigenação adequada; O sistema nervoso central depende da oximetria adequada. Diante do traumatismo crânio-encefálico, o aporte de oxigênio passa a ser comprometido, bem como nas situações em que se tem um grau de insuficiência respiratória. Apesar deste princípio ser declarado pelo ATLS, o próprio suporte básico de vida e o atendimento pré-hospitalar (PHTLS), também declaram que o fornecimento de oxigênio já deve acontecer durante o transporte da vítima ao hospital-referência.  Manter a PA, para aumentar o fluxo sanguíneo cerebral;  ABCDE (protocolo inicial do ATLS);  TC do crânio: No caso do TCE, a tomografia de crânio (TC) é indispensável e imprescindível para avaliação do paciente. Nas localidades remotas, tais como em cidades de interior, muitas das vezes a ausência da TC de crânio pode indicar uma falência no diagnóstico e tratamento do TCE. De acordo com o protocolo da ATLS, a TC de crânio é um exame complementar que pode ser suscitado logo após o exame primário. A TC pode ser deixada para o exame secundário quando a vítima estiver estável.  Avaliação pela equipe de Neurocirurgia. Os hospitais de referência, também denominados de hospital nível 3, obrigatoriamente, apresentam equipe de Neurocirurgia em regime de plantão. AVALIA‚„O DA V‡TIMA COM TCE EXAME PRIMÁRIO O exame primário é composto pelo acrômio ABCDE, que foi descrito pelo ATLS. Durante a abordagem, o primeiro atendimento visa avaliar as vias aéreas, bem como imobilizar a coluna cervical (A). Nas vítimas de TCE, muito comumente, podem ocorrer um rebaixamento do nível de consciência, o que pode obstruir as vias aéreas superiores, com queda da base da língua. Logo em seguida, o protocolo exige a avaliação da respiração (B), combater o choque e identificar pulso (C), avaliação neurológica simplificada (D), e exposição da vítima (E).  A: Cheque as vias aéreas e imobilize a coluna cervical. Neste instante, já devemos realizar a aspiração e instituir cânula de Guedel, até chegar ao ponto em que podemos utilizar a via aérea definitiva.  B: Avaliar a respiração e oximetria de pulso. Pacientes com ECG < 8 já devem ser submetidos à intubação orotraqueal.  C: Tratar agressivamente o choque com Ringer-lactato  D: Exame neurológico simplificado (Glasgow e pupilas) EXAME SECUNDÁRIO O exame secundário somente deve ser iniciado nos pacientes com estabilidade hemodinâmica, com manutenção dos sinais vitais e nível de consciência recuperado ou normal. Antes de se iniciar o exame secundário, é importante a avaliação do acrômio AMPLA (A: alergias, M: medicamentos, P - pregnancy: gravidez, L - last-food: última refeição e A: cenas do acidente, mecanismo de trauma). Logo após, iniciamos o exame secundário, que deve ser mais detalhado, avaliando todo o corpo.  Cabeça, pescoço, narinas e orelhas: Nesta etapa, o médico deve examinar, cuidadosamente, o indivíduo como um todo, iniciando-se na parte superior. Na cabeça, devemos avaliar deformidades, equimoses, sinais de fraturas, etc. Nas narinas e orelhas, principalmente, a presença de otolíquorreía/otorragia e rinorréia/rinorragia. A equimose periorbitária bilateral (sinal do guaxinim), bem como a equimose retroauricular (sinal de Battle) são indicativos de lesão de base de crânio.  Exame pupilar: O exame das pupilas deverá constar da avaliação dos reflexos fotomotor direto (contração da pupila homolateral ao estímulo luminoso) e consensual (contração da pupila oposta ao estímulo luminoso), isocoria pupilar (se ambas as pupilas se apresentam com o mesmo diâmetro), dentre outros.  Reavaliar Escala de coma de Glasgow: ocular, melhor resposta motora, verbal  Reavaliação: atentar para sinais de deterioração, principalmente, rebaixamento do nível de consciência e decréscimo de uma escala anterior de Glasgow.  TC de Crânio tem o seu valor em dois momentos do protocolo estabelecido pelo ATLS. A TC de crânio pode ser feita na abordagem complementar ao exame primário, quando o paciente for de gravidade ou ainda, nos pacientes com nível de consciência regular, sem gravidade, durante o exame secundário.
  • 131.
    Arlindo Ugulino Netto– MEDICINA DE URG•NCIA – MEDICINA P8 – 2011.1 131
  • 132.
    Arlindo Ugulino Netto– MEDICINA DE URG•NCIA – MEDICINA P8 – 2011.1 132
  • 133.
    Arlindo Ugulino Netto– MEDICINA DE URG•NCIA – MEDICINA P8 – 2011.1 133 OBS 4 : Uma das dúvidas frequentes durante o atendimento de vítimas de TCE é a indicação da tomografia (TC) de crânio. A TC é, sem duvidas, o exame de escolha para os pacientes com TCE. Deve ser efetuado sem a presença de contraste, com o auxílio e suporte da equipe de Neurocirurgia do atendimento. De nada adianta a presença do aparelho de tomografia, sem a o auxílio dos profissionais adequados para o manejo da TCE, que são os neurocirurgiões. O protocolo mais atualizado mostra que a TC de crânio deve ser indicada para todos os pacientes com ECG inferior a 13, ou nos indivíduos que apresentaram período de inconsciência ou deterioração neurológica nos sintomas focais, mesmo que agora se apresentem bem. OBS 5 : A radiografia simples de crânio não possui nenhuma indicação diante do paciente com TCE. As fraturas, afundamentos de crânio são visualizados na TC de crânio, bem como as suas conseqüências para o parênquima nervoso. MANEJO DO PACIENTE COM TCE DIRETRIZES TERAPÊUTICAS Independente da causa ou mecanismo, algumas medidas devem ser feitas diante de todas as vítimas de traumatismo crânio-encefálico. Via de regra, quatro prioridades devem caracterizar o manejo e suporte terapêutico:  Tratar e prevenir hipóxia: Desde o atendimento pré-hospitalar (PHTLS), indicamos a administração de oxigênio para manter a saturação de oxigênio (SaO2) acima de 95%.  Manter a PaCO2 normal: para manutenção da PaCO2 normal, lançamos mãos das seguintes condutas: suporte ventilatório, evitar hiperventilação exagerada, capnografia (se disponível, manter entre 30 e 35 mmHg).  Frequência ventilatória o Adultos: 10 vpm o Crianças: 20 vpm o Crianças menores: 25 vpm  Controlar hemorragias: O controle da hemorragia é algo que deve ser prioritariamente estabelecido diante de vítimas de TCE. Portanto, diante de pacientes que apresentem TCE e, co-associado, sangramento abdominal, de extremidades, devemos impedir que haja mais perda de volume, pois, de maneira direta, também afeta a oxigenação cerebral. Em casos de hematomas extradurais, este, assim que reconhecido pela TC, deve ser submetido à cirurgia imediata. TRATAMENTO DA HIC No caso dos pacientes que apresentam a tríade clínica clássica de síndrome da HIC (cefaléia, papiledema, vômitos), ou a tríade de Cushing, devemos adicionar ao esquema proposto pelas diretrizes, a terapia da HIC.  Elevar a cabeceira  Manutenção da pressão arterial  Sedação: pode ser feito com benzodiazepínicos, com muita cautela, para não sedar demasiadamente o individuo. Caso o paciente apresente convulsões, devemos indicar a Fenitoína, via EV, 1g. O Fenobarbital também pode ser utilizado, sob a ressalva de poder cursar com hipotensão e hipovolemia.  Curarização: Caso o paciente possua indicação para intubação de sequência rápida.  Osmoterapia: administração de manitol (1g/kg in bolus)  Hiperventilação leve e controlada, no intuito de manter a PaCO2 acima entre 25 e 35mmHg (abaixo deste valor, pode ocorrer vasoconstricção cerebral).  Não hiperhidratar (devemos manter uma volemia constante, até o ponto de não promover aumento do edema cerebral), evitar o uso de diuréticos (Lasix®), evitar o uso de corticóides. Se for necessário, devemos utilizar diuréticos osmóticos como o manitol (e de forma muito controlada). CRIT‰RIOS DE ALTA Ainda existe certa dificuldade para estabelecer os critérios de alta de paciente com TCE. Atualmente, o protocolo estabelece que o paciente deve ser avaliado, de modo rotineiro, sob os aspectos que serão abaixo relatados. No Brasil, além do julgamento técnico-científico, o médico também deve julgar socialmente o paciente. Até porque, independente das alterações clínicas, os pacientes com baixo nível socioeconômico, que residem em ambiente longe do hospital, devem passar por uma estadia intra-hospitalar prolongada. No geral, somente devemos dar alta ao paciente vítima de TCE, quando o mesmo se mostra sem nenhuma alteração clínica evidente por um período vigiado pelo médico/enfermeira de, no mínimo, 24 horas (sob observação confiável). Os parâmetros a serem avaliados são (e que devem estar ausentes):  Sonolência  Náuseas ou vômitos  Convulsões/espasmos  Cefaléia  Sangramentos narinas/orelhas  Paresias/plegias  Confusão mental  Anisocoria  Alterações no pulso e respiração  Baixo nível socioeconômico e cultural
  • 134.
    Arlindo Ugulino Netto– MEDICINA DE URG•NCIA – MEDICINA P8 – 2011.1 134
  • 135.
    Arlindo Ugulino Netto– MEDICINA DE URG•NCIA – MEDICINA P8 – 2011.1 135
  • 136.
    Arlindo Ugulino Netto– MEDICINA DE URG•NCIA – MEDICINA P8 – 2011.1 136 CONSIDERA‚ƒES FINAIS  Todos os pacientes comatosos ou com qualquer alteração importante do sensório devem ter suas vias aéreas protegidas (aspiração, instalação de Guedel, oferta de oxigênio) até o ponto de proceder com via aérea definitiva (ECG < 8).  Evitar hipóxia e manter normovolemia  Tratar, agressivamente, o choque com Riger lactato.  Realizar e reavaliar constantemente o exame neurológico básico: Escala de Coma de Glasgow e avaliação pupilar.  Presença imprescindível do neurocirurgião.  Sempre reavaliar o paciente e relatar em prontuário, incluindo dados clínicos, exames solicitados e condutas tomadas a cada avaliação.
  • 137.
    Arlindo Ugulino Netto– MEDICINA DE URG•NCIA – MEDICINA P8 – 2011.1 137 MED RESUMOS 2011 NETTO, Arlindo Ugulino. MEDICINA DE URGÊNCIA E TERAPIA INTENSIVA ACIDENTE VASCULAR CEREBRAL ISQUšMICO (Professor Jorge Fonseca) A defini†…o de Doen†as Cerebrovasculares (DCV) pelo National lnstitute of Neurological Disorders and Stroke (NINDS) engloba todas as desordens em que existe uma ƒrea do c‚rebro transit„ria ou permanentemente afetada por isquemia ou sangramento, e/ou onde um ou mais vasos do c‚rebro s…o primariamente afetados por processo patol„gico. Atualmente, 30 – 40% dos leitos em UTIs s…o ocupados por pacientes v•timas de Acidentes Vasculares Cerebrais (AVC), o prot„tipo das doen†as cerebrovasculares. O AVC ‚ uma emerg•ncia m‹dica e o sucesso do tratamento durante a fase aguda se baseia na identifica†…o precoce tanto pelo profissional de sa‰de como pelo p‰blico leigo, o qual deve estar atento aos sinais e sintomas de alerta, assim como a maioria da popula†…o jƒ tem conhecimento acerca da sintomatologia do infarto agudo do miocƒrdio. Este cap•tulo se reveste, pois, de fundamental import‡ncia para a forma†…o de futuros m‚dicos, tendo em vista que o AVC ‚ uma das emerg€ncias mais frequentes na cl•nica m‚dica; e o progn„stico do paciente depende, basicamente, de um diagn„stico precoce e de um tratamento efetivo. CONSIDERA‚ƒES GERAIS Desde a d‚cada de 90, a terapia de elei†…o para o AVC isqu€mico (AVCi, principal foco de estudo deste cap•tulo), consiste na terap€utica trombol•tica. Entretanto, a maioria dos pacientes com AVC n…o recebem tratamento adequado, pois eles n…o chegam aos hospitais capacitados em tempo hƒbil. Al‚m disso, a disponibilidade de Centros Hospitalares especializados em atendimento ao paciente v•tima de AVC ‚ muito precƒria. Todos estes fatores contribuem para os elevados •ndices de morbidade e mortalidade que giram em torno deste tema. Isso porque, ainda em analogia com o infarto agudo do miocƒrdio, a janela terap€utica para o AVCi ‚ muito pequena (janelas terap€uticas de 12 horas para o IAM, contra 3 horas para o AVCi), mesmo se tratando de uma mesma etiologia: a isquemia. Tal fato ‚ explicado pelo fato de o neur•nio suportar situa†ˆes de hip„xia por menos tempo, quando comparado Œ c‚lula muscular card•aca. Estes dados s…o t…o alarmantes que as pol•ticas de sa‰de americanas e europ‚ias, por exemplo, investem em campanhas educativas para que a popula†…o em geral, mesmo os leigos, saibam reconhecer sinais precoces de isquemia cerebral para que, no prazo de 1 hora, a v•tima seja bem assistida jƒ em ambiente hospitalar. Desta forma, podemos resumir, em 4 pontos, os fatores que contribuem para o sucesso do tratamento do AVC:  Rƒpida identifica†…o dos sinais de alerta  Imediato encaminhamento para o servi†o de emerg€ncia  Prioriza†…o do transporte pr‚ e intra-hospitalar para suspeita de AVC  Diagn„stico e tratamento baseados em protocolo pr‚-definido. De fato, como vimos anteriormente, em 1996, o FDA aprovou o uso de trombol•tico (ativador de plasminog•nio tecidual recombinante – rtPA) dentro das 3 horas de in•cio dos sintomas (de prefer€ncia, dentro dos primeiros 90 minutos ap„s o evento), como o ‰nico tratamento para a fase aguda do AVC isqu€mico. Em 2004, a publica†…o da metanƒlise de 6 ensaios cl•nicos com o uso do rtPA no AVCi agudo demonstrou que, quanto mais precoce o tratamento, melhor a evolu†…o. O grupo tratado at‚ 90 minutos teve uma chance de evolu†…o favorƒvel 2,8 vezes maiores que o grupo n…o tratado, mas houve benef•cio do tratamento at‚ 270 minutos (4 horas e meia). A partir deste estudo, ensaios cl•nicos foram iniciados para avaliar o tratamento entre 3 a 6 horas (IST 3 e ECAS III); a partir deles, centros de tratamento de AVC estenderam sua janela terap€utica para al‚m de 3 horas em pacientes bem selecionados (atualmente, costuma-se ampliar a janela terap•utica do AVC para 4 horas e meia). Apesar da eficƒcia demonstrada da terap€utica trombol•tica (ou reperfusão química), estima-se que menos de 5% dos AVCi s…o tratados com rtPA. Entre os fatores que contribuem para esta baixa elegibilidade para o tratamento estƒ a falta de organiza†…o e capacita†…o dos servi†os de emerg€ncia para rapidamente atender esses pacientes. Atualmente, a realidade terap€utica do AVC se baseia no uso da reperfusão mecânica por angioplastia, mas com o objetivo apenas de evitar complica†ˆes e sequelas mais graves.
  • 138.
    Arlindo Ugulino Netto– MEDICINA DE URG•NCIA – MEDICINA P8 – 2011.1 138 ASPECTOS ANAT•MICOS DA IRRIGA‚„O DO SISTEMA NERVOSO CENTRAL A rede intricada de vasos arteriais que suprem o SNC ‚ de grande import‡ncia fisiol„gica, pois, o metabolismo cerebral ‚, predominantemente, aer„bico com necessidade de n•veis elevados de oximetria e glicose. A irriga†…o do SNC ‚ provida por dois grandes sistemas: v‚rtebro-basilar e carot•deo interno. O sistema v‚rtebro-basilar, que corresponde a 20% do fluxo sangu•neo cerebral, ‚ responsƒvel pela irriga†…o do tronco encefƒlico, mesenc‚falo, lobo occipital, lobo temporal (parte inferior), maior parte do tƒlamo. O sistema carot•deo interno, responsƒvel por 80% do fluxo sangu•neo cerebral, irriga n‰cleos da base, cƒpsula interna, lobos frontal, parietal e parte lateral do lobo temporal. SISTEMA CAROTÍDEO INTERNO (CIRCULAÇÃO ANTERIOR) O sistema carot•deo interno ‚ formado pelos ramos colaterais e terminais da A. Carótida interna (ACI). A ACI origina-se da art‚ria car„tida comum, ao n•vel da margem superior da cartilagem tire„idea. A partir da•, a ACI passarƒ ao longo do pesco†o, penetrando no cr‡nio pelo canal carot•deo do osso temporal, perfurando a duramƒter e a aracn„ide. Ap„s distribuir alguns ramos importantes ao longo de seu trajeto (A. oftƒlmica, A. comunicante posterior e A. cori„idea anterior), a ACI bifurca-se em A. Cerebral Anterior e A. Cerebral M‚dia. A A. Cerebral Média constitui, pois, um dos maiores ramos da ACI. Os ramos corticais provenientes da ACM suprem a superf•cie cortical s‰pero-lateral. Dela, partem tamb‚m as importantes Aa. lentículo-estriadas, que irrigam estruturas internas do enc‚falo (como os n‰cleos da base). A A. Cerebral Anterior, por sua vez, dirige-se para diante e medialmente em dire†…o Œ fissura longitudinal cerebral. Seus ramos irrigam, principalmente, a face medial do enc‚falo. SISTEMA VÉRTEBRO-BASILAR (CIRCULAÇÃO POSTERIOR) Como se sabe, a A. Vertebral (AV) ‚ ramo da primeira por†…o da A. subclƒvia. Ela ascende nos forames transversƒrios das v‚rtebras C6-C1, perfurando a membrana atlanto-occipital e, ap„s passar pela duramƒter e aracn„ide, penetra na cavidade craniana pelo forame magno. Anteriormente ao bulbo, segue seu trajeto pr„ximo do clivus e termina ao n•vel do sulco bulbo-pontino formando um ‰nico tronco – a A. Basilar. Ocorre que, da AV, acontece a forma†…o das art‚rias espinhais anteriores, posteriores e das cerebelares. Al‚m delas, a A. Vertebral se bifurca para formar a importante A. Cerebral Posterior (ACP). OBS 1 : De todos os vasos do sistema arterial do c‚rebro, o vaso mais acometido por AVC ‚ a Artéria Cerebral Média e seus ramos.
  • 139.
    Arlindo Ugulino Netto– MEDICINA DE URG•NCIA – MEDICINA P8 – 2011.1 139 POLÍGONO DE WILLIS O pol•gono de Willis (circuito arterial do c‚rebro) consiste em uma rede de anastomose arterial situado na base do c‚rebro, sendo formado por por†ˆes proximais das art‚rias cerebrais anteriores, cerebrais m‚dias e cerebrais posteriores. Entre estas art‚rias, existem ramos comunicantes que fecham o circuito: as art‚rias comunicantes anteriores ligam as duas art‚rias cerebrais anteriores; as art‚rias comunicantes posteriores, ramos da ACI, comunicam esta art‚ria Œ art‚ria cerebral posterior. O pol•gono de Willis permite a manuten†…o de um fluxo sangu•neo cerebral em casos de obstru†…o de uma ou mais das quatro art‚rias que irrigam o c‚rebro. FISIOLOGIA DO FLUXO SANGU‡NEO CEREBRAL A fisiologia da circula†…o intracraniana trabalha em fun†…o do fluxo sanguíneo cerebral (FSC), que determina a quantidade de sangue em ml que irriga 100g de massa encefƒlica a cada minuto. Desta forma, a depender da histologia cerebral, temos os seguintes valores de refer€ncia:  Subst‡ncia cinzenta: 100ml/100g/min  Subst‡ncia branca: 50-70ml/100g/min Para a manuten†…o deste fluxo, cerca de 10 – 20% do d‚bito card•aco (800ml/min) ‚ destinado ao c‚rebro, o qual consome cerca de 20% de todo O2 do corpo. Portanto, conclui-se que o tecido cerebral apresenta um alto potencial metab„lico, e trabalha no limiar de hip„xia. Somado a isso, tem-se o fato de que o neur•nio n…o apresenta capacidade de armazenamento de glicose e, por esta raz…o, qualquer redu†…o do fluxo sangu•neo altera o metabolismo da c‚lula nervosa de forma drƒstica. O sistema arterial cerebral consiste, portanto, em um sistema de alto fluxo e de baixa resistência e, portanto, qualquer altera†…o do fluxo cerebral pode levar a altera†ˆes metab„licas importantes. Quando o FSC cai para valores abaixo de 50ml/100g/min, ocorre um aumento da capta†…o de oxig€nio por parte do neur•nio; em caso de FSC abaixo de 18-20ml/100g/min, jƒ ocorre preju•zo funcional, de modo que a membrana da c‚lula nervosa passa a apresentar dist‰rbios em bombas i•nicas; para ƒreas com FSC abaixo de 10-12ml/100g/min, considera-se uma les…o irrevers•vel.
  • 140.
    Arlindo Ugulino Netto– MEDICINA DE URG•NCIA – MEDICINA P8 – 2011.1 140 ETIOLOGIA DAS DOEN‚AS CEREBROVASCULARES O AVC, prot„tipo das DCV, ocorre por mecanismos que incluem intera†…o entre: vaso, elementos figurados do sangue e variƒveis hemodin‡micas, que levar…o Œ oclus…o (AVC isqu€mico e Ataque Isqu€mico Transit„io) ou ao rompimento do leito vascular (AVC hemorrƒgico). De fato, a maioria dos casos de isquemia cerebral focal ‚ causada por um bloqueio de uma art‚ria cerebral (e, por esta raz…o, este cap•tulo tem, por objetivo, caracterizar melhor o AVCi). Desta forma, em termos gerais, o AVC pode ser conceituado como um d‚ficit neurol„gico s‰bito, motivado por isquemia ou hemorragia no sistema nervoso central. A obstru†…o ao fluxo sangu•neo com interrup†…o do fornecimento de oxig€nio e glicose ao tecido cerebral afeta os processos metab„licos naquela ƒrea, causando a morte celular e, consequentemente, as repercussˆes cl•nicas do AVC. Do ponto de vista de incid€ncia, temos:  AVCi emb„lico – 32%  AVCi aterotromb„tico de pequenos vasos (lacunar) – 20%  AVCi aterotromb„tico de grandes vasos – 31%  Hemorragia intraparenquimatosa – 10%  Hemorragia subaracn„idea – 5 a 7% ACIDENTE VASCULAR HEMORRÁGICO (AVCh) O AVCh ‚ responsƒvel por cerca de 15-20% dos AVCs e abrange, por defini†…o, qualquer ac‰mulo de sangue dentro da caixa craniana. Ocorre pela ruptura de um vaso sangu•neo intracraniano. O sangue em contato com o par€nquima nervoso tem a†…o irritativa. Al‚m disso, a inflama†…o e o efeito de massa ou press…o exercida pelo coƒgulo de sangue no tecido nervoso prejudica e degenera o c‚rebro e a fun†…o cerebral. Quanto ao tipo de AVCh, podemos destacar:  AVCh intraparenquimatoso (10%): suas principais causas s…o: hipertens…o arterial sist€mica (70 a 90% dos casos); aneurismas cerebrais; malforma†ˆes vasculares; tumor cerebral; angiopatia amil„ide; dist‰rbios de coagula†…o; abuso de drogas; arterites; infarto hemorrƒgico.  AVCh por hemorragia subaracnóidea (5%): suas principais causas s…o: aneurismas cerebrais (80% dos casos); malforma†ˆes arteriovenosas (4 a 5%); dissec†…o das art‚rias cerebrais; dist‰rbios da coagula†…o; vasculites do SNC; etiologia desconhecida (14 a 22%).  Outras causas: hemorragias subdural (HSD) e subaracn„ideas (HSA). ATAQUE ISQUÊMICO TRANSITÓRIO (AIT) O conceito atual de AIT se caracteriza por um d‚ficit neurol„gico focal, encefƒlico ou retiniano, s‰bito e revers•vel, secundƒrio a uma doen†a vascular isqu€mica, com dura†…o menor que 1 hora e sem evid€ncia de les…o isqu€mica nos exames de imagem, causando sintomas que regridem em menos de 24 horas. Na realidade, a dura†…o do fen•meno isqu€mico varia, na maioria das vezes, de 2 a 20 minutos, a depender do sistema arterial acometido:  Sistema carot•deo interno – 14 minutos  Sistema v‚rtebro-basilar – 8 minutos Portanto, AIT e AVC isqu€mico s…o espectros de uma mesma doen†a vascular isqu€mica encefƒlica e a sua defini†…o dependerƒ dos m‚todos de imagem utilizados. Desta forma, a persist€ncia dos sinais cl•nicos ou a presen†a de altera†ˆes nos exames de imagem ‚ que definem o AVC isqu€mico. Quanto ao quadro cl•nico do AIT, destacamos sintomas passageiros, tais como d‚ficit motor, sensoriais, visuais e comunicativos (dist‰rbios verbais passageiros). Daqueles pacientes cujo os sintomas persistem por mais de 1 hora, apenas 14% regridem em 24 horas. Al‚m destes dados, ‚ importante salientar que 5% de v•timas de ATI sofrer…o um AVC nos pr„ximos 30 dias se n…o forem tratados e 10 a 20% sofrer…o um evento reincidente. Tais eventos reincidentes s…o sensivelmente reduzidos com o uso de medicamentos, endarterectomia ou stens. ACIDENTE VASCULAR CEREBRAL ISQUÊMICO (AVCi) O Acidente Vascular Cerebral Isqu€mico (AVCi) caracteriza-se, tipicamente, como o epis„dio de disfun†…o neurol„gica (focal ou global) decorrente de isquemia cerebral com sintomas t•picos durando mais do que 24 horas (ou levando Œ morte), sem outra causa aparente que n…o vascular, e com presen†a de les…o em exames de imagem (tomografia computadorizada ou resson‡ncia magn‚tica do cr‡nio). Representa a maioria dos casos de doen†a cerebrovascular, com incid€ncia de 80-85% dentro os tipos de AVCs.
  • 141.
    Arlindo Ugulino Netto– MEDICINA DE URG•NCIA – MEDICINA P8 – 2011.1 141 OBS1 : O AVC isqu€mico completo e o ataque isqu€mico transit„rio (AIT) t€m, portanto, a mesma fisiopatologia e s…o distingu•veis pela dura†…o da isquemia, suficiente para causar necrose do tecido cerebral, no caso do AVCi, e breve o suficiente para permitir a recupera†…o completa no caso do AIT, de forma que seus sintomas n…o podem durar mais do que 24h. As causas e tipos de AVCi est…o dispostos da seguinte maneira:  Trombótico (31% dos casos): ‚ causado por lesˆes ateromatosas pr‚-existentes. Acomete, principalmente, art‚rias de m‚dio e grande calibre. A aterosclerose das art‚rias causa um estreitamento da luz do vaso com agrega†…o plaquetƒria e obstru†…o ao fluxo sangu•neo. Tal evento ocorre comumente na bifurca†…o das art‚rias car„tidas. S…o pronunciados, em 50 a 60% dos pacientes, por sintomas transit„rios, na forma de AIT ou por AVC m•nimo.  Embólico (32% dos casos): pode ser causado por embolia inerente a material tromb„tico de origem vascular ou card•aca. O que ocorre ‚ a obstru†…o de um vaso por fragmentos emb„licos originados de uma ƒrea fora do c‚rebro (coƒgulos, fragmentos de vƒlvulas card•acas, tumores, l•quido amni„tico). O material emb„lico, ent…o, se aloja onde as art‚rias ramificam e costuma causar eventos neurol„gicos de forma repentina, com sintomas exuberantes.  Lacunar (20% dos casos): causados pela hipertrofia e, finalmente, comprometimento luminal dos pequenos vasos penetrantes, geralmente sob regime cr•nico de hipertens…o arterial sist€mica. Acomete, principalmente, art‚rias de pequeno calibre ou arter•olas (art‚rias perfurantes), determinando lesˆes de pequeno tamanho (mas cuja repercuss…o cl•nica pode ser exuberante). Dependendo da extens…o do campo de irriga†…o arterial do vaso comprometido, o AVCi pode ser classificado como global ou focal. O AVCi global caracteriza-se por uma isquemia difusa, inerente a uma parada card•aca, choque prolongado e hipotens…o grave. O AVCi focal, por sua vez, ‚ caracterizado por uma oclus…o arterial inerente a uma trombose, embolia ou por uma doen†a vascular. O tipo focal ‚ o mais comum. Como vimos anteriormente, o FSC normal ‚ de, aproximadamente, 50-70ml/100g/min. Em determinadas ƒreas do SNC, o fluxo sangu•neo ‚ maior, a exemplificar, as ƒreas do neoc„rtex que apresentam fluxo de 70 – 100ml/100g/minuto. Estudos neurofisiol„gicos evidenciaram que o fluxo sangu•neo lim•trofe para a fal€ncia de atividade el‚trica neuronal (sil€ncio el‚trico) ‚ de 16 a 18ml/100g/min, sem que haja ocorr€ncia de fal€ncia do metabolismo energ‚tico (potƒssio intracelular normal, sem dano neuronal). Considera-se que um fluxo menor que 10-12ml/100g/min ‚ determinante para o infarto cerebral. Na vig€ncia da instala†…o do AVCi, observam-se as seguintes ƒreas de altera†ˆes na regi…o da les…o nervosa: oliguemia; ƒrea (ou zona) de penumbra; e ƒrea de infarto (figura ao abaixo).  A oliguemia, que ‚ caracterizada pela diminui†…o do fluxo sangu•neo local, ‚ a ƒrea de tecido nervoso que n…o estƒ perfazendo o metabolismo ideal celular pela diminui†…o do aporte sangu•neo. Fisiologicamente, apresenta um fluxo sangu•neo que varia de 20 a 70ml/100g/minuto.  A zona mais central ‚ a área de infarto ou, caso esteja mais avan†ado, a ƒrea de necrose, onde existem perdas neuronais mais evidentes. Fisiologicamente, o tecido nervoso entra em infarto quando o fluxo atinge valores menores que 12ml/100g/minuto.  A ƒrea intermediƒria entre a ƒrea de infarto do tecido nervoso e a oliguemia ‚ conhecida como a área de penumbra. A penumbra isqu€mica representa a regi…o em que n…o hƒ dano neuronal significativo, onde o fluxo sangu•neo cerebral encontra-se entre o limiar de fal€ncia el‚trica e energ‚tica e colapso da bomba i•nica. Fisiologicamente, apresenta um fluxo sangu•neo que varia de 12 a 20 ml/100g/minuto. O termo "penumbra" ‚ puramente descritivo e faz uma analogia com o halo parcialmente sombreado que surge ao redor do centro de um eclipse solar completo. Na prƒtica, penumbra isqu€mica ‚ o anel tecidual que se forma ao redor do centro de um tecido densamente isqu€mico, que tende a evoluir centrifugamente e se tornar isqu€mica (ver OBS2 ). OBS 2 : A import‡ncia do entendimento da exist€ncia de 3 ƒreas durante um evento de AVC ‚ dada pelo fato de que o tratamento apresenta, como principal objetivo, conceder subsídios terapêuticos para que as áreas de penumbra e oliguemia retornem à normalidade que antecedia o evento vascular. Isso porque apenas a isquemia nestas ƒreas ‚ revers•vel (diferentemente da ƒrea de necrose, cujo tecido jƒ n…o tem mais salva†…o). Caso contrƒrio, isto ‚, se o tratamento n…o for institu•do prontamente, a ƒrea de penumbra ‚ totalmente invadida pela ƒrea de necrose ap„s um per•odo de tempo, que dura, em m‚dia, 3 – 4 horas a partir da isquemia inicial (ictus). Da• o famoso aforismo “time is brain” ou “tempo ‚ c‚rebro”.
  • 142.
    Arlindo Ugulino Netto– MEDICINA DE URG•NCIA – MEDICINA P8 – 2011.1 142 EPIDEMIOLOGIA  O AVC consiste na 3§ causa mais frequente de morte em pa•ses desenvolvidos (perdendo apenas para as doen†as coronƒrias e o c‡ncer; al‚m do trauma);  Consiste na principal causa de morbidade e incapacidade prolongada;  Estƒ relacionado com alto custo econ•mico e individual;  A maioria que sobrevive a fase aguda, apresenta d‚ficit neurol„gico e necessita de reabilita†…o:  70% n…o retornam ao trabalho;  30% necessitam de aux•lio para deambular.  Estimativas:  A cada 5 segundos, 1 pessoa sofre um AVC no mundo;  A cada 1 minuto, uma pessoa apresenta um AVC nos EUA;  A cada 3,3 minutos, algu‚m morre v•tima de AVC;  1/3 dos sobreviventes de um AVC terƒ outro epis„dio dentro de 5 anos;  Das pessoas acometidas, cerca de 20 a 30% sofrem perda gradual da cogni†…o e atingem a dem€ncia em 1 ano;  50% das mortes decorrentes de AVC ocorre antes de chegar ao hospital (principalmente nos casos de acometimento da ACM). FISIOPATOLOGIA A fisiopatologia do AVCi muito se assemelha Œ da doen†a coronariana, pois estƒ baseada na doença aterosclerótica inerente ao envelhecimento. De fato, a aterosclerose ‚ a causa mais comum dos eventos cerebrovasculares. Em resumo, a placa ateroscler„tica leva Œ forma†…o de um trombo/embolo que se desprende e leva Œ oclus…o vascular e, consequentemente, ao infarto cerebral. A oclus…o ou hipoperfus…o do vaso cerebral provoca a morte neuronal no centro da zona infartada. Como vimos anteriormente, a ƒrea que circunda a necrose (penumbra isqu€mica) cont€m tecido cerebral ainda viƒvel (cuja hipoxemia pode ser revertida se tratada prontamente). FATORES DE RISCO Os fatores de risco t€m uma rela†…o direta com a incid€ncia de AVC`s. Os fatores de risco podem ser modificƒveis (quando est…o ligados aos hƒbitos individuais) ou n…o-modificƒveis (os que n…o tem rela†…o com o hƒbito individual, nem sequer com caracter•sticas do meio em que o indiv•duo vive). As mortes por AVC podem ser reduzidas ou retardadas se for trabalhada a preven†…o e o controle dos fatores de risco modificƒveis.  Não-modificáveis  Modificáveis  Idade avan†ada  Ra†a  Sexo  Hist„ria familiar de AVC ou doen†a cardiovascular  HAS  Doen†as card•acas  Diabetes melito  Dislipidemias  Tabagismo  Obesidade  Sedentarismo QUADRO CL‡NICO DO AVCI Os sintomas e sinais, al‚m da gravidade do quadro, dependem de, pelo menos, tr€s fatores: (1) do territ„rio cerebral envolvido; (2) da extens…o da les…o e da presen†a de circula†…o colateral; (3) da possibilidade de estabelecimento rƒpido do fluxo sangu•neo. De um modo geral, alguns dos sintomas mais frequentes s…o:  Diminui†…o da for†a e sensibilidade contralateral ao evento isqu€mico  Afasia, apraxia e disartria  Hemianopsia parcial ou total  Altera†…o da consci€ncia  Diplopia, vertigem, nistagmo, ataxia OBS 3 : As pol•ticas de sa‰de americanas e europ‚ias lan†am campanhas, utilizando a pr„pria m•dia como ve•culo, ensinando leigos a reconhecer, prontamente, os principais sinais gerais de um AVC (stroke, do ingl€s). A campanha mais difundida ‚ conhecida como Stroke Heroes, e se baseia no seguinte acr•mio (act FAST):  F – face: paralisia ou plegia facial.  A – arm: diminui†…o da for†a no membro.  S – speech: dist‰rbio da linguagem  T – time: solicite servi†o de emerg€ncia m‚dica o mais rƒpido poss•vel.
  • 143.
    Arlindo Ugulino Netto– MEDICINA DE URG•NCIA – MEDICINA P8 – 2011.1 143 AVC DA ARTÉRIA CARÓTIDA INTERNA A artéria carótida interna irriga, através de seus ramos, a maior parte dos hemisférios cerebrais e o diencéfalo, entretanto, a sua oclusão é insidiosa e causa poucas manifestações clínicas (pois o polígono de Willis supre o território cerebral acometido, até certo ponto). Caracteriza-se por:  Amaurose fugaz ipsilateral  Afasia profunda (principalmente no acometimento do hemisfério direito)  Hemianopsia  Hemiplegia e hemiparesia contralateral  Nível alterado de responsividade AVC DA ARTÉRIA CEREBRAL ANTERIOR A ACA é ramo da ACI e irriga a parte medial dos lobos frontal e parietal, onde está presente, por exemplo, o córtex motor primário e o córtex somestésico primário pertinente aos membros inferiores, além de outros centros corticais não menos importantes. Entretanto, trata-se de um AVC raro (5% dos casos), pois o território de irrigação é suprido pelo polígono de Willis. Caracteriza-se por:  Confusão mental  Fraqueza e dormência ipsilateral  Déficit de mobilidade com maior sensação nos membros inferiores do que nos membros superiores  Paralisia da perna e pé contralateral  Perda da coordenação  Déficit de função sensitiva  Incontinência urinária AVC DA ARTÉRIA CEREBRAL MÉDIA A ACM irriga toda a superfície súpero-lateral dos lobos temporal e parietal, além de uma porção do lobo frontal. Neste território de irrigação, estão inclusas as áreas motoras e sensitivas primárias pertinentes à face, à musculatura da garganta e membros superiores (mão e braço). Além disso, no hemisfério dominante (esquerdo, em 90% da população), existe a área motora da linguagem (área de Broca) e a área sensitiva de linguagem (área de Wernicke). A maioria dos AVCs acomete parte ou todo o território da ACM (70%). Caracteriza-se por:  Alteração da comunicação (linguagem)  Afasia (por acometimento do hemisfério dominante)  Dificuldade de leitura (dislexia)  Disfagia  Perda sensorial contralateral com predomínio bráquio-facial  Déficit motor contralateral com predomínio bráquio-facial  Hemianopsia AVC DA ARTÉRIA CEREBRAL POSTERIOR A ACP irriga face inferior do lobo temporal, lobo occipital medial (inclusive área visual), tálamo e hipotálamo. Corresponde a 15% dos AVCs. Caracteriza-se por:  Hemianopsia contralateral  Dificuldade para leitura  Afasia (dificuldade para nomear os objetos)  Agnosia visual (desconhecimento de objetos)  Vertigem e ataxia  Hemiplegia  Hemianestesia AVC DO SISTEMA VÉRTEBRO-BASILAR Tal sistema irriga tronco cerebral e cerebelo. Caracteriza-se por:  Síndrome bulbar lateral (caracterizada por vertigem, náuseas, vômitos, nistagmo, ataxia)  Coma  Diplopia  Hemiplegia  Paralisia pseudo-bulbar  Tetraplegia e anestesia completa
  • 144.
    Arlindo Ugulino Netto– MEDICINA DE URG•NCIA – MEDICINA P8 – 2011.1 144 Artéria acometida Território isquêmico Quadro clínico Artéria cerebral média Artéria cerebral anterior Artéria cerebral posterior DIAGN†STICO CL‡NICO O diagnóstico clínico do AVC deve ser considerado em todo paciente com início súbito de déficit neurológico ou rebaixamento do nível de consciência, até que se prove o contrário. Neste momento, se faz necessário apenas estabelecer o diagnóstico diferencial ou outros quadros que mimetizam o AVC. O quadro clínico sugestivo de AVCi, de uma forma geral, caracteriza-se por:  Déficit focal neurológico  Dificuldade para falar  Formigamento ou déficit motor pronunciado  Perda visual parcial ou total  Visão dupla (diplopia)  Vertigem e desequilíbrio Para a população leiga, como vimos a propósito da OBS 3 , foram listados alguns sinais de alerta que sugerem o AVC, tais como: (1) dormência súbita ou fraqueza muscular em face, braço ou perna, especialmente em apenas um lado do corpo; (2) dor de cabeça severa e súbita; (3) dificuldade súbita em caminhar, tontura, balanço corporal e incoordenação motora; (4) confusão súbita de linguagem ou entendimento; (5) distúrbios visuais com um ou com os dois olhos.
  • 145.
    Arlindo Ugulino Netto– MEDICINA DE URG•NCIA – MEDICINA P8 – 2011.1 145 ESCALAS CLÍNICAS A partir destas caracteriza†ˆes cl•nicas, foram criadas escalas pr‚-hospitalares espec•ficas para o reconhecimento do AVC, o que aumenta a sensibilidade do diagn„stico. Devem ser utilizadas por param‚dicos em pacientes com fatores de risco. As principais s…o:  Escala pr‚-hospitalar de Cincinnati  Escala pr‚-hospitalar de Los Angeles Escala pré-hospitalar de Cincinnati. A Cincinnati Prehospital Stroke Scale – CPSS baseia-se na avalia†…o de tr€s achados f•sicos:  Queda/fraqueza facial  D‚ficit motor – queda do bra†o  Afasia – fala anormal (incapacidade de repetir a frase: “O Brasil … o paŒs do Futebol”). Se algum destes sinais for anormal, a probabilidade de um AVC ‚ de 72%. Se os tr€s achados estiverem presentes, a possibilidade ‚ maior que 85%. Esta escala ‚ mais utilizada na prƒtica. Escala pré-hospitalar de Los Angeles. A Los Angeles Prehospital Stroke Screen – LAPSS ‚ um pouco mais complexa do que a CPSS, mas apresenta um valor preditivo positivo bem maior do que esta escala. O paciente com achados positivos nos 8 crit‚rios listados pela escala apresenta 97% de probabilidade de ter um AVC. EXAME NEUROLÓGICO O exame neurol„gico tem, por responsabilidade, avaliar o n•vel de consci€ncia e de responsividade do paciente. Como ‚ de se esperar, quanto maior for a ƒrea infartada, maiores ser…o as altera†ˆes ao exame neurol„gico – quanto maior o rebaixamento do n•vel de consci€ncia, maior o risco de complica†…o dos pacientes. A Escala de coma de Glasgow e escala de d‚ficit neurol„gico do National lnstitute of Health Stroke Scale (NIHSS) s…o par‡metros que podem ser utilizados. A escala de coma de Glasgow, bastante utilizada para o trauma, tem uso limitado em paciente entubados, com trauma ocular e com d‚ficitos neurol„gicos pr‚vios. Entretanto, mesmo sendo de uso limitado para o AVC, ainda serve como um bom par‡metro para avaliar a evolu†…o do paciente (o aumento ou a diminui†…o de uma determinada pontua†…o de Glasgow dada previamente ao paciente, sugere que houve melhora ou piora do quadro, e sempre deve ser avaliada). A National Institute of Health Stroke Scale (NIHSS, sigla que, comumente, ‚ pronunciada em ingl€s) ‚ uma escala padr…o, validada, segura, quantitativa da severidade e magnitude do d‚ficit neurol„gico ap„s o AVC. Foi desenvolvida por pesquisadores americanos (University of Cincinnati Stroke Center) com dois objetivos principais: (1) avaliar a intensidade do d‚ficit neurol„gico; (2) avaliar a severidade do AVC. Ela ‚ composta por 11 itens, que somam 42 pontos padronizados para compara†…o de resultados entre outros centros. A escala deve ser aplicada por neurologista e deve levar, aproximadamente, 7 minutos para ser realizada.
  • 146.
    Arlindo Ugulino Netto– MEDICINA DE URG•NCIA – MEDICINA P8 – 2011.1 146 Quanto a pontuação da NIH, devemos interpretar:  Pontuação de 0 a 1 indica exame normal;  Pontuação de 0 a 4 indica um AVC leve;  Pontuação de 5 a 15 indica um AVC moderado;  Pontuação de 15 a 20 indica um AVC severamente moderado;  Pontuação acima de 20 indica um AVC severo;  NIH > 22 indica pior prognóstico com risco aumentado de complicações hemorrágicas. A partir desta escala, por exemplo, além de predizer o prognóstico do paciente, podemos sugerir alguns dados referentes ao tratamento: para pacientes com NIHSS menor que 4 ou maior que 22, contra-indica-se o tratamento com trombolítico, mesmo que ele chegue ao pronto-socorro com menos de 3 horas, pois o risco de transformação em AVC hemorrágico é muito grande para pacientes com NIH > 22 ou por se tratar de um evento isquêmico relativamente leve para NIH < 4. Cerca de 60 a 70% dos AVCi e NIHSS menor que 10 terá um prognóstico favorável após 1 ano, quando comparados com apenas 4 a 16% ao daqueles com NIHSS > 20 pontos. Dos 42 possíveis pontos na NIHSS, 7 pontos são diretamente relacionados com a linguagem (orientação, comandos 2, afasia 3) e somente 2 pontos relativos a negligência. Sendo o hemisfério esquerdo dominante para a linguagem em 99% dos indivíduos destros (90-95% da população) e 60% dos indivíduos sinistros, a NIHSS pode medir a severidade de extensão das lesões no hemisfério direito diferentemente do esquerdo. Assim, considera-se que a escala tende a subestimar a extensão da lesão no hemisfério cerebral direito (cerca de 6 pontos a menos) em relação ao hemisfério esquerdo. Diante disso, a pontuação mínima basal para lesão extensa do hemisfério esquerdo é 20 e do direito é 15. Associa-se com a pontuação na admissão:
  • 147.
    Arlindo Ugulino Netto– MEDICINA DE URG•NCIA – MEDICINA P8 – 2011.1 147  Lesão à tomografia computadorizada de crânio 3 meses pós-AVC.  Severidade clínica pós-AVC.  Risco de sangramento relativo à terapia trombolítica.  Probabilidade de demonstrar oclusão arterial em arteriografia cerebral convencional. DIAGN†STICO COMPLEMENTAR Alguns procedimentos complementares podem ser considerados para melhor firmar ou confirmar o diagnóstico de AVC. Dentre eles, temos:  Neuroimagem: tomografia computadorizada (TC) e ressonância nuclear magnética (RM), importantes para diferenciar AVCi do AVCh, cujos tratamentos são extremamente diferentes  Eletrocardiograma  Ultrassonografia  Testes laboratoriais NEUROIMAGEM A neuroimagem apresenta salutar importância para a decisão do tipo de terapia a ser implementada. Dentre os exames de imagem, destacamos a tomografia computadorizada (TC) e a ressonância nuclear magnética (RM). Na comunidade Européia, há tendência de abandono da TC e substituição para RM (entretanto, além de esta ser uma realidade remota para o Brasil, a TC se mostra como um excelente exame para afastar a possibilidade de AVCh). Nos dias atuais, os principais objetivos da neuroimagem são:  Identificar o AVC agudo e afastar outras causas (como o AVC hemorrágico)  Distinguir o tecido cerebral necrótico do isquêmico (isto é: definir a extensão da área de infarto e da penumbra)  Prever o risco de Hemorragia após trombólise  Prever agudamente o prognóstico a longo prazo  Estabelecer o momento em que o fluxo sanguíneo cerebral torna-se crítico e monitorizar sua recanalização Tomografia computadorizada (TC) de crânio sem contraste. A TC de crânio tem o objetivo principal de distinguir, de forma imediata, o AVC isquêmico do hemorrágico (isto é, excluir a possibilidade de AVCh, afastando a possibilidade de eventuais hemorragias), antes da realização da terapia trombolítica, pois consiste em um exame muito sensível no diagnóstico de hemorragias focais agudas. Além disso, podemos citar como fatores que fazem da TC o exame de escolha para a fase aguda do AVC: boa disponibilidade do exame, rapidez para realização e baixo custo. Os sinais precoces de isquemia dentro das primeiras 3 a 6 horas do início do evento isquêmico são:  Hipodensidade no leito isquêmico;  Apagamento dos sulcos corticais e cisternas;  Indefinição da transição córtico-subcortical;  Hiperdensidade no interior de uma artéria cerebral (ACM, principalmente). Os três primeiros sinais resultam do acúmulo de água (edema citotóxico) no tecido injuriado, sendo que a hipodensidade parece ser o sinal de maior gravidade. A presença de hiperdensidade no interior de um vaso se relaciona com trombo fresco e mais comumente ocorre na artéria cerebral media (sinal da artéria cerebral média hiperdensa). Quanto mais proximal o trombo, pior a evolução. Os sinais podem surgir isoladamente ou em qualquer combinação.
  • 148.
    Arlindo Ugulino Netto– MEDICINA DE URG•NCIA – MEDICINA P8 – 2011.1 148 O leito isqu€mico se manifesta como hipodensidade na TC devido ao ac‰mulo progressivo de ƒgua secundƒrio ao edema citot„xico. Geralmente a hipodensidade surge nas primeiras 3 horas ap„s o evento, fica marcada ap„s 24- 48hs e ‚ irrevers•vel. Por outro lado, a hemorragia se manifesta como uma les…o hiperdensa na TC, geralmente com uma densidade de 50-60HU, que aumenta nas primeiras horas devido Œ retra†…o do coƒgulo. A TC ‚, portanto, um m‚todo difundido, com custo baixo, e boa acurƒcia. Em algumas situa†ˆes o m‚todo permanece como principal exame de investiga†…o como no diagn„stico de hemorragia, traumatismo e calcifica†ˆes. Al‚m disto, ‚ extremamente ‰til para detectar complica†ˆes potencialmente letais como hernia†…o cerebral e hidrocefalia aguda. Em compara†…o com a RM, entretanto, a TC tem menor sensibilidade para detectar lesˆes isqu€micas, principalmente para detectar lesˆes na fossa posterior e, em menor grau, nos lobos temporais. Neste contexto, a RM pode ser necessƒria ap„s uma TC inconclusiva. Entretanto, a TC ainda tem prioridade nos protocolos de atendimento ao AVC. Ressonância nuclear magnética (RM). A RM apresenta alta sensibilidade e especificidade para diagn„stico de AVCi e AVCh, especialmente, de fossa posterior. Na maioria dos centros de AVC, a RM ‚ considerada um m‚todo fundamental para aumentar a elegibilidade de pacientes para terapia trombol•tica, principalmente ap„s as primeiras 3 horas de in•cio do evento. O princ•pio bƒsico ‚ aumentar a janela terap€utica atrav‚s da detec†…o de viabilidade tecidual. Neste contexto, a sequ€ncia da RM em difus…o auxilia a detec†…o do core isqu€mico e a sequ€ncia de perfus…o por RM mapeia a ƒrea penumbra (que ‚, justamente, a ƒrea a ser salva pela terapia trombol•tica). De uma forma geral, alguns comentƒrios podem ser feitos acerca das principais aquisi†ˆes da RM que podem ser utilizadas na admiss…o de um paciente com suspeita de AVC:  Difusão: essa sequ€ncia leva em considera†…o a difus…o da mol‚cula de ƒgua. A sequ€ncia de difus…o ‚ a melhor para definir a área de necrose tecidual (a qual se mostra com hipersinal).  Perfusão: a RNM por perfus…o determina a ƒrea de penumbra (podemos, inclusive, facilitar o aprendizado comparando o “P” de perfus…o com o “P” de penumbra). A mƒquina de RM capta mobiliza†…o das part•culas de ƒgua dentro do c‚rebro. No edema citot„xico, as mol‚culas de ƒgua est…o dentro do neur•nio, c‚lulas gliais. No AVC agudo existirƒ o edema citot„xico, com isso, as mol‚culas de ƒgua estar…o se movimentando menos, com diminui†…o do mapa de perfus…o.  T2* (T2-Estrela ou gradiente-eco): a sequ€ncia T2* ou gradiente eco ‚ a mais ‰til para definir se hƒ hemorragias, provavelmente, de grande import‡ncia para determinar o potencial de transforma†…o hemorrorƒgica de uma les…o inicialmente isqu€mica. As hemorragias cr•nicas s…o melhores visualizadas pela sequ€ncia T2*. A sequ€ncia T2* ‚ muito utilizada para se investigar presen†a de focos de sangue. De um modo geral, quando o paciente ‚ submetido ao exame de RNM, a primeira sequ€ncia a ser feita ‚ a T2* e, caso exista sangramento, aborta-se o restante do exame para dar seguimento ao tratamento espec•fico para a hemorragia. Em A, observamos a TC aparentemente normal de um paciente com suspeita de AVC realizada pouco tempo depois do ictus. Observe, em B, uma RM em perfus…o realizada 15 minutos ap„s a TC. Nela, jƒ ‚ poss•vel observar uma ƒrea de hipersinal, sugerindo sofrimento da transi†…o pontomesencefƒlica. Em A, observamos uma TC aparentemente normal realizada em um paciente minutos ap„s ele apresentar quadro de hemiparesia a direita e afasia. Em B, observa-se uma RM em perfus…o realizada pouco tempo depois do primeiro exame. Nela, observe a extensa ƒrea de sofrimento sylviano esquerdo na forma de um hipersinal na regi…o arterial da ACM.
  • 149.
    Arlindo Ugulino Netto– MEDICINA DE URG•NCIA – MEDICINA P8 – 2011.1 149 Portanto, as sequ€ncias da RM ponderadas em T2 s…o mais sens•veis do que a TC para o diagn„stico da hemorragia intracerebral. S…o ‰teis, por exemplo, na identifica†…o da quantidade da ƒrea infartada e do tecido cerebral em risco (oliguemia e penumbra), e que deve ser salvo terapeuticamente. Entretanto, ainda ‚ considerado um exame caro e de pouca disponibilidade. OBS 4 : Š oportuno, neste momento, definir um termo comum na cl•nica neurol„gica referente ao AVC, conhecido como mismatch. At‚ aqui, vimos que a perfus…o por RM busca definir a propor†…o de tecido cerebral que estƒ isqu€mico, por‚m ainda viƒvel (penumbra isqu€mica). Desta forma, pacientes com volume pequeno de les…o na difus…o (ƒrea isqu€mica pequena), mas com grande d‚ficit perfusional na perfus…o (penumbra extensa) seriam os candidatos ideais para terapia trombol•tica (princ•pio do mismatch difusão-perfusão), uma vez que, como vimos (OBS 2 ), a ƒrea de necrose ‚ irrevers•vel, diferentemente da ƒrea de penumbra. Desta forma, se a RM mostrar uma ƒrea de penumbra igual Œ ƒrea de necrose, n…o hƒ mismatch difus…o- perfus…o e, por este par‡metro, contra-indica-se a terapia trombol•tica (uma vez que a ƒrea de penumbra corresponde a pr„pria ƒrea de necrose e, desta forma, n…o pode ser revertida ou salva pela terapia trombol•tica). OBS 5 : Uma alternativa para detectar este fen•meno, sem a utiliza†…o da sequ€ncia em perfus…o, ‚ o mismatch clínico- difusão (quando a RM em difus…o – ou a pr„pria TC – mostra uma pequena ƒrea de necrose, mas o paciente apresenta uma cl•nica exuberante; o que prova que este paciente apresenta uma grande ƒrea de penumbra, que ainda ‚ revers•vel). Neste contexto, pacientes com pequenos volumes de tecido lesado na difus…o, mas com grandes d‚ficits cl•nicos (pontua†…o na escala de AVC do NIH > 8), seriam candidatos ideais para terapias de tromb„lise, pois nos faz pensar que a ƒrea de penumbra do paciente ‚ exuberante e tratƒvel (revers•vel), o que traz boas chances de regress…o do quadro. Eletrocardiograma. O ECG ‚ importante pela alta incid€ncia de doen†as card•acas nos pacientes com AVC. Ele ‚ importante n…o por firmar o diagn„stico, mas por sugerir uma provƒvel etiologia. Por meio do ECG, podemos avaliar a presen†a de cardiopatias embolig€nicas:  Fibrila†…o atrial  Infarto agudo do miocƒrdio Ultrassonografia.  Doppler de artérias extra e intracranianas: importante pois: pode mostrar oclusˆes e estenoses arteriais; avalia†…o de art‚rias colaterais; avalia†…o de recanaliza†…o.  Ecocardiografia transtorácica e esofágica: para avalia†…o de trombos intracard•acos. Testes laboratoriais. Incluem hematologia, estudo da coagula†…o, fun†…o hepƒtica, renal, etc. Desta forma, temos:  Hemograma  Glicemia  Ur‚ia  Creatinina  Eletr„litos  Gasometria arterial  Coagulograma  Colesterol total e fra†ˆes  Fibrinog€nio  TGO, TGP e Bilirrubinog€nio  Prote•na C, S, resist€ncia Œ ativa†…o da prote•na C TRATAMENTO DO AVCI O atendimento na fase aguda do AVC (at‚ 4 horas e meia ap„s o evento isqu€mico) tem os seguintes objetivos: (1) rƒpida identifica†…o dos sinais e sintomas que indicam um AVC; (2) manuten†…o das fun†ˆes vitais – ABC; (3) transporte rƒpido da v•tima a uma institui†…o apropriada; (4) notifica†…o pr‚-chegada a institui†…o que vai receber a v•tima. Os principais objetivos do tratamento do AVCi s…o:  Limitar a progress…o da oclus…o trombo-emb„lica;  Recuperar a ƒrea de penumbra;  Tratar poss•veis complica†ˆes cl•nicas e neurol„gicas, evitando a recorr€ncia do AVC;  Diminuir a morbimortalidade da patologia.
  • 150.
    Arlindo Ugulino Netto– MEDICINA DE URG•NCIA – MEDICINA P8 – 2011.1 150 MEDIDAS GERAIS NA FASE AGUDA DO AVC No que diz respeito ao atendimento do paciente em fase aguda de AVC (270 minutos ap„s o ictus), devemos proceder com uma s‚rie de medidas que podem ser adjuvantes ao tratamento espec•fico (tromb„lise). Desta forma, temos:  Exame do paciente para avaliar complica†ˆes potencialmente fatais (ABC)  Manuten†…o da via ƒrea (com Guedel, intuba†…o, etc)  Manter fun†…o respirat„ria (avaliar satura†…o).  Manter fun†…o circulat„ria (avaliar volemia e press…o arterial).  Os seguintes par‡metros devem ser cuidadosamente avaliados:  Medidas cl•nicas  Monitoriza†…o cardiosc„pica  Fun†…o pulmonar  Metabolismo da glicose  Temperatura  Press…o arterial Medidas clínicas. Š necessƒrio vigil‡ncia cl•nica para detectar:  Altera†ˆes da fun†…o respirat„ria  Avaliar oximetria de pulso (deve-se manter PaO2 > 95%)  Observar frequ€ncia respirat„ria – evitar taquipn‚ia e dispn‚ia.  Altera†ˆes da fun†…o circulat„ria  Avaliar pulsos central e perif‚rico  D‚bito urinƒrio horƒrio  Press…o arterial sist€mica  Altera†ˆes da fun†…o neurol„gica:  Checar estado de consci€ncia  Pupilas Monitorização cardioscópica. Manter monitoriza†…o cont•nua com monitor, principalmente durante as primeiras 48 horas do AVC, uma vez que boa parte dos AVCs apresenta uma patologia de base pr‚via, tais como: cardiopatia pr‚via conhecida; hist„rias de arritmias; press…o arterial instƒvel; sinais de insufici€ncia card•aca; ECG basal alterado. Função pulmonar. A oximetria de pulso deve ser prioridade ainda dentro dos cuidados gerais, uma vez que AVCs de tronco encefƒlico ou de ACM podem cursar com insufici€ncia respirat„ria por hipoventila†…o. Š importante, pois, tratar a hipoxemia precocemente, uma vez que a manuten†…o de uma oxigena†…o adequada (PaO2>95%) ‚ importante para preservar a zona de penumbra. Pode ser necessƒria a administra†…o de oxig€nio (com mƒscara de Venturi, VMNI, VMI) em caso de hipoxemia. Metabolismo de glicose. Š importante sempre manter uma monitoriza†…o rigorosa da glicemia (atrav‚s da glicemia capilar), principalmente nos pacientes diab‚ticos, pois estudos mostram que a glicemia estƒ diretamente relacionada com o n•vel de les…o neurol„gica pois, pacientes em hiperglicemia (e tamb‚m em hipoglicemia severa) apresentam maiores danos celulares na zona de penumbra. Š prudente manter n•veis de glicose entre 70 – 120mg/dl (glicemia abaixo deste valor contra-indicam a terapia com trombol•tico). O controle imediato da hiperglicemia ‚ fortemente recomendada na fase aguda do AVC com insulina. O tratamento da hipoglicemia, por sua vez, se faz com glicose hipert•nica e soro glicosado a 10%. Temperatura. A febre influencia negativamente o progn„stico do AVC, aumentando o tamanho do infarto por intensificar o metabolismo celular, mesmo que as c‚lulas estejam em hip„xia. Portanto, se houver, ‚ sempre necessƒrio procurar por um foco de infec†…o e iniciar tratamento espec•fico com antibi„tico. O controle rƒpido da hipertermia pode ser feito com drogas (antipir‚ticos) ou meios f•sicos (compressas, banhos). Pressão arterial. O controle da PA ‚ extremamente importante durante o tratamento do AVC, pois 50 a 70% dos pacientes na fase aguda do evento apresentam n•veis press„ricos elevados. Hƒ, entretanto, uma tend€ncia natural de redu†…o espont‡nea aos n•veis anteriores em 1 a 2 dias. O aumento da press…o arterial que ocorre no AVC pode estar relacionado com o estresse da doen†a, dor, bexigoma, resposta fisiol„gica Œ hip„xia ou Œ hipertens…o intracraniana (HIC), etc. A elimina†…o destes fatores pode ser o suficiente para o controle da PA. Š necessƒrio, entretanto, ter cuidado com a redu†…o abrupta da PA: pacientes com estenose significativa de vasos cranianos podem facilmente cursar com hipoperfus…o de territ„rios distais Œ estenose, podendo isso caracterizar o
  • 151.
    Arlindo Ugulino Netto– MEDICINA DE URG•NCIA – MEDICINA P8 – 2011.1 151 mecanismo do AVCi em 40% dos casos (mecanismo conhecido como infarto hemodinâmico). Portanto, n…o adianta tentar manter bons n•veis de PA se, por esta redu†…o, o paciente passou a apresentar sequelas ou maiores d‚ficits neurol„gicos – ‚ necessƒrio saber a medida certa para a redu†…o da PA. Al‚m da monitoriza†…o cont•nua, ‚ necessƒrio atentar Œs seguintes condutas:  Evitar redu†…o da press…o arterial (no atendimento pr‚-hospitailar), exceto em casos de valores extremamente elevados:  > 200/100 – AVCi  > 180/105 – AVCh  Evitar e tratar hipotens…o arterial (com fluidos e vasopressores)  PA recomentada:  At‚ 180/100-105mmHg para doentes com HAS  At‚ 160-180/90-100mmHg para doentes sem HAS Controle da PA em pacientes sem possibilidade de Trombólise (> 270 minutos de AVC) Valor pressórico Considerações e Tratamento PAD > 140mmHg  Droga: Nitroprussiato de s„dio  Dose: 0,5 micrograma/kg/min IV, com monitoriza†…o cont•nua da PA  Objetivo: Reduzir a PAD em torno de 10 a 20%. PAS > 220mmHg ou PAD =121 – 140mmHg  Tratar com betabloqueador endovenoso  Droga:  Labetalol Dose: 10 a 20mg EV em 1 a 2 minutos Repetir a dose a cada 10 minutos, at‚ dose mƒxima de 300mg ou  Enalapril 0,625mg IV dose de ataque; 1,25 – 5mg de 6/6horas  Objetivo: Reduzir a PA em torno de 10 a 15% PAS < 220mmHg ou PAD < 120mmHg ou PAM < 130 mmHg  N…o tratar (retardar a terapia anti-hipertensiva), a menos que haja comprometimento de „rg…os alvo (emerg€ncia hipertensiva): dissec†…o da aorta, IAM, edema agudo de pulm…o, encefalopatia hipertensiva.  Droga: Labetalol  Dose: 10 a 20mg EV em 1 a 2 minutos  Repetir a dose a cada 10 minutos (at‚ dose mƒxima de 300mg) Controle da PA em pacientes com possibilidade de Trombólise (< 270 minutos de AVC) Valor pressórico Considerações e Tratamento PAS > 185mmHg ou PAD > 100mmHg  Droga:  Labetalol Dose inicial: 10 a 20mg EV em 1 a 2 minutos Repetir a dose a cada 10 minutos, at‚ dose mƒxima de 300mg ou  Esmolol: 500“g/kg IV  Objetivo: Reduzir a PA a n•veis aceitƒveis para tromb„lise: 180/110mmHg  Se a PA n…o reduzir para n•veis inferiores a 180/110mmHg, contra-indicar o uso de rtPA (mesmo que o paciente esteja dentro do prazo de 270 minutos) Controle da PA em pacientes após a trombólise Valor pressórico Considerações e Tratamento PAD > 140mmHg  Droga: Nitroprussiato de s„dio  Dose: 0,5 micrograma/kg/min IV, com monitoriza†…o cont•nua da PA  Objetivo: Reduzir a PAD em torno de 10 a 20%. PAS > 230mmHg ou PAD = 121 - 149  Tratar com betabloqueador endovenoso  Droga:  Labetalol Dose: 10 a 20mg EV em 1 a 2 minutos Repetir a dose a cada 10 minutos, at‚ dose mƒxima de 300mg ou  Enalapril 0,625mg IV dose de ataque; 1,25 – 5mg de 6/6horas  Objetivo: Reduzir a PA em torno de 10 a 15% PAS = 180 – 230mmHg ou PAD = 105 – 120mmHg  Tratar com betabloqueador endovenoso  Droga:  Labetalol Dose inicial: 10 a 20mg EV em 1 a 2 minutos Repetir a dose a cada 10 minutos, at‚ dose mƒxima de 300mg ou  Esmolol: 500“g/kg IV  Iniciar dose cont•nua a 2 a 8mg/min
  • 152.
    Arlindo Ugulino Netto– MEDICINA DE URG•NCIA – MEDICINA P8 – 2011.1 152 MEDIDAS ESPEC‰FICAS NA FASE AGUDA Em resumo ao que foi visto at‚ aqui, o indiv•duo v•tima de AVC foi atendido pela equipe de param‚dicos, os quais, atrav‚s das escalas pr‚-hospitalares, avaliaram uma forte evid€ncia de AVC; ao ser admitido no hospital, ap„s o protocolo do ABC, foi realizada tomografia que descartou evento hemorrƒgico; foram tratadas as complica†ˆes e, neste momento, o indiv•duo deverƒ passar pelo tratamento espec•fico do AVC, que consiste na tromb„lise. A recanaliza†…o precoce da art‚ria cerebral oclu•da preserva o tecido neuronal reversivelmente danificado da zona de penumbra. Por esta raz…o, a recupera†…o neuronal reduz a incapacidade neurol„gica avaliada clinicamente. A terapia de reperfusƒo qu•mica (trombŠlise) com rtPA (ativador de plasminog€nio tecidual recombinante) ‚ o mais adequado para a fase aguda (e, mesmo que seus benef•cios sejam inferiores para pacientes com mais de 3 horas de evolu†…o, ainda existem efeitos at‚ as 4 horas e meia de administra†…o). OBS 6 : Escala de tempo para proceder com rtPA (NINDS – Settin et al, 2006):  Da admiss…o a avalia†…o m‚dica – 10 min  Da admiss…o a TC de cr‡nio – 25 min  Da admiss…o a interpreta†…o da TC – 45 min  Da admissƒo a infusƒo de rtPA – 60 min  Disponibilidade de neurologista – 15 min  Disponibilidade do neurocirurgi…o – 2 horas  Da admiss…o ao leito monitorizado – 3 horas TrombŠlise com rtPA. Todos os pacientes que apresentam-se em at‹ 3 horas do in•cio dos sintomas (ou at‚ 270 minutos de evolu†…o do AVCi) devem ser considerados para a terapia trombol•tica intravenosa com rtPA (Actilyse¦ ou Alteplase¦). Tal conduta estƒ relacionada com uma melhora da evolu†…o dos pacientes com AVC, principalmente se utilizado dentro das primeiras 3 horas. Este tratamento oferece cerca de 30% a mais de chances de ter uma boa evolu†…o neurol„gica. Entretanto, a janela terap€utica para tromb„lise ‚ muito curta, o que exige uma avalia†…o mais rƒpida e eficiente. Quanto aos crit‚rios de inclus…o e exclus…o para a realiza†…o da tromb„lise IV, podemos resumi-las na seguinte tabela. Na presen†a de contra-indica†ˆes absolutas, mesmo que o paciente tenha chegado com menos de 3 horas e apresente um grande mismatch difus…o-perfus…o (ver OBS 4 ), n…o podemos realizar a terapia trombol•tica. Crit‹rios de inclusƒo (todos SIM para rtPA) Crit‹rios de exclusƒo (todos NŒO para rtPA)  Idade > 18 anos  Diagn„stico cl•nico de AVCi em qualquer territ„rio arterial  Persist€ncia do d‚ficit neurol„gico  RM/TC de cr‡nio sem contraste sem evid€ncia de hemorragia  In•cio dos sintomas com menos de 4h e 30 minutos (se os sintomas foram notados ao acordar, considerar como “hora 0” o ‰ltimo horƒrio em que o paciente foi visto acordado e assintomƒtico)  Acometimento isqu€mico (na TC) < 1/3 do territ„rio de irriga†…o da ACM  Escala radiol„gica do ASPECTS > 7  NIH > 4 OBS: Cuidado se NIH > 22 e idade > 80 anos (para estes, ‚ necessƒrio avaliar caso a caso). OBS: A presen†a de mismatch difus…o-perfus…o ‚ sinal de boa evolu†…o ao tratamento. Absolutas.  Anticoagula†…o oral (heparina) nas ‰ltimas 4 horas e TTPA > limite superior  Uso recente de anticoagulante oral e eleva†…o do TP (INR > 1,7)  Plaquetas < 100.000/mm¨  Sintomas leves (NIH < 4), exceto afasia  Suspeita cl•nica de sangramento ativo (TGI)  Suspeita cl•nica de HSA, mesmo com TC normal  Hist„ria pr‚via de hemorragia intracraniana, MAV ou aneurisma cerebral  PAS > 185 ou PAD > 105  Melhora significativa do d‚ficit neurol„gico  Evid€ncia de pericardite ativa, endocardite ou €mbolo s‚ptico  Glicemia < 40mg/dl ou > 400mg/dl  Aborto recente (nas ‰ltimas 3 semanas), gravidez e puerp‚rio Relativas (avaliar risco-benef•cio).  Sangramento urinƒrio nos ‰ltimos 21 dias  Cirurgia de grande porte ou trauma hƒ menos de 14 dias  IAM recente  Pericardite ap„s-IAM Para pacientes adequados ao tratamento, o rtPA deve ser administrado assim que se complete a avalia†…o inicial. As vias de administra†…o dos trombol•ticos s…o: endovenosa e combinada (venosa e arterial). O trombol•tico venoso ‚ o Alteplase ¦ ou o Actilyse¦, na dosagem de 0,9mg/kg (at‚ uma dose mƒxima de 90mg). O seguimento trombol•tico ocorre em duas etapas: a primeira etapa ‚ a que se faz 10% do total de rtPA no modo infus…o rƒpida, em bolus, durante cerca de 1-2 minutos; o restante (ou seja, 90%) ‚ infundido via endovenosa em 1hora.
  • 153.
    Arlindo Ugulino Netto– MEDICINA DE URG•NCIA – MEDICINA P8 – 2011.1 153 O protocolo de reperfusão química do Hospital S•rio Libanes indica a seguinte sequ€ncia para a realiza†…o de tromb„lise IV, utilizando rtPA:  Rever crit‚rios de inclus…o e exclus…o  Paciente deve estar com monitoriza†…o cardiovascular e oximetria (a monitoriza†…o card•aca deve ser mantida por 48 horas, especialmente naqueles pacientes com miocardiopatia, suspeita de arritmias, PA instƒvel e infarto cerebral envolvendo o c„rtex insular)  Preencher consentimento informando sobre riscos e benef•cios dos procedimentos  Proceder com rtPA IV (avaliar peso do paciente)  Dose: 0,9mg/kg de peso (at‚ dose mƒxima de 90mg)  Dose de ataque em 1 minuto: 10% da dose total  Administrar o restante da dose IV (bomba de infus…o) em 60 minutos  Durante a administra†…o do trombol•tico, avaliar e otimizar a press…o arterial  PAS 180 – 230 ou PAD 105 – 120mmHg - Labetalol (10 a 20mg EV) - Nitroprussiato de s„dio (0,5“g/kg/min IV) - Manter PAS entre 160-180 mmHg  PAS > 230 ou PAD 121 – 140mmHg - Labetalol (10 a 20mg EV) - Nitroprussiato de s„dio (0,5“g/kg/min IV) - Manter PAS entre 160-180 mmHg  PAD > 140mmHg - Nitroprussiato de s„dio (0,5“g/kg/min IV)  Em caso de suspeita de sangramento intracraniano: suspender rtPA e solicitar neurocirurgi…o; realizar TC de cr‡nio de urg€ncia, TTPA, fibrinog€nio, hemograma.  Anotar o in•cio e t‚rmino do tratamento  Observar o n•vel de consci€ncia e par‡metros cl•nicos  Monitoriza†…o cont•nua com Doppler transcraniano para avaliar oclus…o arterial e recanaliza†…o segundo crit‚rios TIBI N…o deve ser dada medica†…o antiplaquetƒria ou anticoagulante complementar por 24 horas depois da tromb„lise IV devido ao risco de sangramento. Somente ap„s as 24 horas iniciais depois do tratamento, podemos fazer uso de antiagregantes plaquetƒrios, tais como AAS e Clopidogrel. Do ponto de vista farmacodin‡mico, a meia vida do rtPA ‚ de 4-5 minutos e, mesmo assim, o paciente apresentarƒ dificuldades de coagula†…o por 12-24horas. Ácido acetilsalicílico (ASS). Grandes estudos (IST, CAST) mostraram que a administra†…o de AAS (100 – 300mg) nas primeiras 48 horas do AVC reduz a mortalidade e a taxa de recorr€ncia. As recomenda†ˆes s…o:  100 – 300mg um dia ap„s o in•cio do AVCi (exceto em pacientes em uso de anticoagulantes); diferentemente do IAM, por exemplo,o que jƒ deve ser iniciado logo nas primeiras horas do evento;  Se for previs•vel o uso do trombol•tico, n…o administrar de imediato;  Iniciar ap„s as primeiras 24-48 horas depois do uso do trombol•tico.  Utilizar AAS como profilaxia secundƒria para pacientes admitidos com mais de 4,5h. Heparina.  N…o se recomenda o uso de heparina (anticoagula†…o plena) na fase aguda do AVCi  Hƒ evid€ncias de que a heparina em dose plena pode aumentar o risco de transforma†…o hemorrƒgica sintomƒtica  Existem evid€ncias de que possa ser ‰til em alguns subgrupos:  Aterosclerose nos grandes vasos cranianos e sintomas flutuantes  AVC de origem cardioemb„lica com alto risco de re-embolismo  Recomenda-se administra†…o em dose profilƒtica em pacientes acamados para reduzir o risco de trombose venosa profunda (TVP) e tromboembolismo pulmonar (TEP). TRATAMENTO DAS COMPLICAÇÕES  Edema e hipertensão intracraniana:  O edema cerebral ocorre durante as primeiras 24 – 48 horas ap„s o AVCi, e estƒ relacionado com a fal€ncia da bomba Na + /K + -ATPase inerente Œ isquemia cerebral.  Em infartos extensos da ACM, o edema leva a um aumento da press…o intracraniana (PIC) com risco de hernia†…o, les…o neuronal e comprometimento das fun†ˆes vitais.  A morte que ocorre na primeira semana geralmente ‚ causada por edema e hipertens…o intracraniana
  • 154.
    Arlindo Ugulino Netto– MEDICINA DE URG•NCIA – MEDICINA P8 – 2011.1 154  Apenas 10% desenvolve edema clinicamente importante  Pico do edema entre 3› e 5› dia  Terap€utica cl•nica:  Eleva†…o da cabeceira a 30›  Hiperventila†…o controlada: PCO2 30-35mmHg por 24h  Hipotermia  Oxigena†…o adequada  Controle da febre  Monitoriza†…o da PIC e manter press…o de perfus…o cerebral > 70mmHg.  Terap€utica medicamentosa:  Diur‚tico osm„tico: Manitol – 0,5 – 1,0g/kg (25-50g) a cada 4 a 6 horas  Barbit‰ricos: Tiopental – bolus de 250 a 500mg (tem curta a†…o e reduz rapidamente a PIC)  Crise convulsiva:  A frequ€ncia na fase aguda ‚ baixa;  90% delas aparece no 1› dia do AVC;  Tratamento medicamentoso:  Diazepam (10mg/dose IV)  Fenito•na (DA 20mg/kg IV; DM 50mg 8/8h IV)  Fenobarbital (200mg/dose IV)  Evitar tratamento profilƒtico  Transformação em AVCh:  Transforma†…o hemorrƒgica ‚ frequente ap„s o AVCi, sendo, geralmente, assintomƒtica;  Quando sintomƒtica, ‚ uma complica†…o grave, com alta mortalidade e piora funcional (por isso, ‚ considerada a complica†…o mais temida);  Em AVCi extenso, a transforma†…o em hemorrƒgico tem letalidade de 50%;  Os anticoagulantes e trombol•ticos aumentam as chances de transforma†…o hemorrƒgica sintomƒtica. FLUXOGRAMA DE ATENDIMENTO DO AVC – HOSPITAL SIRIO LIBANES
  • 155.
    Arlindo Ugulino Netto– MEDICINA DE URG•NCIA – MEDICINA P8 – 2011.1 155  Anotar o NIH ap„s a tromb„lise e reavaliar a cada 6 horas no primeiro dia; Realizar TC 24 horas ap„s a tromb„lise ou se houver piora neurol„gica a qualquer momento.  Suspender a tromb„lise se:  Evid€ncia de sangramento  Rebaixamento do n•vel de consci€ncia  Crise convulsiva  PAS > 185mmHg e/ou PAD>105, ou eleva†…o s‰bita da PA  V•mitos  Eleva†ˆes do escore do NIH  Em caso de PAS > 185mmHg ou PAD>115mmHg, utilizar Nitroprussiato de S„dio (1 ampola = 50mg; diluir em 250ml de SG 5%; usar de 0,5 – 5“g/kg/min).
  • 156.
    Arlindo Ugulino Netto– MEDICINA DE URG•NCIA – MEDICINA P8 – 2011.1 156  Suspeita de sangramento:  Piora do déficit neurológico com aumento de 4 pontos na escala do NIH  Sinais de choque refratário a volume  Proceder com:  Cuidados após o uso de trombolítico: CONSIDERA‚ƒES FINAIS O AVC, seja ele isquêmico ou hemorrágico, é uma patologia grave que quase sempre deixa sequelas ou, eventualmente, leva ao óbito. A melhor terapêutica é, sem dúvidas, a profilaxia; se esta não for possível, o reconhecimento e o tratamento precoce salvam muitas vidas.
  • 157.
    Arlindo Ugulino Netto– MEDICINA DE URG•NCIA – MEDICINA P8 – 2011.1 157 MED RESUMOS 2011 NETTO, Arlindo Ugulino; ELOY, Yuri Leite. MEDICINA DE URGÊNCIA E TERAPIA INTENSIVA SEDAÇÃO E ANALGESIA NO PACIENTE GRAVE (Professor Ciro Leite Mendes) A analgesia e a seda†…o s…o dois procedimentos comumente utilizados em pacientes gravemente enfermos, especialmente naqueles internados em terapia intensiva. O •nus para o Governo, em decorr€ncia da compra dessas drogas, ‚ extremamente elevado. Em 1995, estudos demonstraram que foram gastos o equivalente a US$80,8 bilhˆes foram gastos com a Terapia Intensiva – cerca de 10% deste valor foram destinados Œs drogas e, destes US$9 bilhˆes, cerca de 10 a 15% (US$0,8 a 1,2 bilhˆes) em drogas sedativas. Levando-se em considera†…o que uma conduta err•nea durante a seda†…o de um paciente, de modo que o mesmo permane†a um maior tempo internado ou seja submetido a uma seda†…o bastante profunda, faz com que ele permane†a por mais tempo em ventila†…o mec‡nica, o que pode predispor a outras complica†ˆes (tais como infec†ˆes de vias a‚reas, ‰lceras de press…o, etc.), al‚m de elevar consideravelmente os custos para o estado. FATORES ESTRESSANTES EM UTI Š importante salientar que, de um modo geral, o paciente em regime de terapia intensiva representa um grupo de enfermos que se queixam de muita dor, podendo este sintoma ter vƒrias causas tais como: infec†ˆes, pun†ˆes, drenos, cateteres, manuten†…o em uma mesma posi†…o durante horas, dias ou semanas. Donovan et al (1987) relataram que 79% de uma amostra aleat„ria de 454 pacientes experimentaram dor durante a hospitaliza†…o e 58% dos pacientes com dor descreviam-na como “excruciante”. Abbott et al (1992) avaliaram dor em 2.415 pacientes aleat„rios hospitalizados e relataram que 67% tinham tido dor nas ‰ltimas 24 horas e 21% descreveram a dor com moderada a grave. Em um estudo de 24 pacientes ap„s a transfer€ncia da UTI, 71% dos pacientes afirmaram sentir dor na UTI e 63% dos pacientes classificaram sua dor como de moderada a grave intensidade. A dor ‚ descrita como moderada, grave ou excruciante em 50% dos casos. Geralmente, a dor estƒ relacionada a suc†…o de tubo orotraqueal (TOT), remo†…o de drenos torƒcicos, cateteres etc. De fato, estima-se que cerca de 82% dos pacientes que est…o internados em UTI sentem dor. Como a dor ‚ um fator estressante para o paciente internado em UTI, por causa dela, hƒ libera†…o de horm•nios contra-reguladores e depress…o da imunidade, o que pode causar descompensa†…o cl•nica. Portanto, o combate a dor n…o ‚ s„ importante para o conforto do paciente – obviamente, este ‚ o objetivo principal; mas al‚m disso, o al•vio da dor ameniza as altera†ˆes fisiol„gicas que predispˆem o indiv•duo ao desenvolvimento de infec†ˆes e de respostas inflamat„rias. Portanto, o combate a dor tamb‚m representa uma prem€ncia fisiopatol„gica e, por vezes, necessƒrio do ponto de vista terap€utico. OBS 1 : O que comumente ocorre ‚ que alguns m‚dicos podem prescrever uma droga sedativa para os pacientes, como ‚ o caso dos Benzodiazep•nicos (drogas unicamente sedativas), com o intuito de provocar al•vio da dor; por‚m, n…o ‚ o que ocorre. Nesses casos, a droga faz apenas com que o paciente durma (devido ao sedativo), mas continue sentindo dor – o que, evidentemente, ‚ uma condi†…o muito desconfortƒvel. Hƒ, todavia, drogas que podem cursar com efeitos sedativo-analg‚sicos, como ‚ o caso dos derivados opiƒceos (Morfina, Fentanil, Alfentanil, etc.). Portanto, devemos ressaltar que, antes da seda†…o, devemos promover a analgesia. OBS 2 : Outro fator tamb‚m importante e relacionado Œ dor, ‚ que a utiliza†…o de drogas com potencial bloqueador muscular (drogas paralisantes ou curarizantes) n…o trata a dor. Essas drogas n…o possuem efeito analg‚sico e, com isso, pacientes submetidos ao seu uso permanecer…o no leito, totalmente im„veis, por‚m l‰cidos e, eventualmente, sentindo dor (o que pode ser considerado, inclusive, um tipo de tortura). Muitas vezes, essas drogas levam Œ depress…o respirat„ria. Por isso, antes de utilizar drogas paralisantes, deve-se certificar que o paciente encontra-se devidamente sedado e assistido do ponto de ventilat„rio. TIPOS DE SEDATIVOS E FARMACOLOGIA Considera-se que a droga que teria um efeito sedativo ideal seria aquela que apresentasse as seguintes caracter•sticas:  Rƒpido in•cio e fim de a†…o;  Sem risco de acumula†…o;  Titula†…o fƒcil para o n•vel de seda†…o desejada;  Toler‡ncia hemodin‡mica;  Sem efeitos respirat„rios;  Sem taquifilaxia ou s•ndrome de abstin€ncia;  Custo-efetividade (eficiente, mas de baixo custo).
  • 158.
    Arlindo Ugulino Netto– MEDICINA DE URG•NCIA – MEDICINA P8 – 2011.1 158 Para pacientes com dist‰rbios neurol„gicos, o sedativo ideal teria que atender algumas peculiaridades importantes tais como:  Redu†…o no CVO2  Sem efeito epileptog€nico  Sem fen•meno de retirada  Sem depress…o miocƒrdica  Sem diminui†…o no esvaziamento ou motilidade gƒstricas  Sem supress…o adrenal  Sem metab„litos nefrot„xicos  Sem efeitos musculares perif‚ricos  (rabdomi„lise, adinamia)  Clearance independente da fun†…o renal ou hepƒtica.  Sem metab„litos ativos  Sem efeito vasodilatador significante OPIÁCEOS Os opiƒceos s…o as drogas mais utilizadas em UTI, tendo como objetivo principal ocasionar efeitos sedativos e analg‚sicos associados. Apesar disso, s…o drogas que n…o produzem amn‚sia (nem anter„grada, nem retr„grada) nem ansi„lise (diminui†…o da ansiedade). Eventualmente, diminuem tosse e dispn‚ia. S…o consideradas as drogas de escolha para tratamento da dor em UTI, devido Œs seguintes caracter•sticas:  Analg‚sicos potentes:  Seda†…o moderada; nenhuma ansi„lise ou amn‚sia;  Redu†…o da tosse e dispn‚ia: principalmente morfina.  Efeitos adversos: seda†…o excessiva, depress…o respirat„ria e circulat„ria, nƒusea, v•mitos e anorexia, •leo paral•tico, constipa†…o, convers…o hepƒtica para metab„litos ativos que, por vezes, s…o at‚ mais potente do que a droga m…e. Morfina. Hƒ muito tempo, a Morfina ‚ considerada a droga de escolha para seda†…o e analgesia dos pacientes internados em UTI, especialmente devido Œ sua boa rela†…o custo-benef•cio (por ser a droga mais barata). Por isso, a Morfina ‚ o opiƒceo mais utilizado. Al‚m disso, podemos destacar suas principais caracter•sticas, que seguem:  Efeito de pico atrasado (30min) em rela†…o ao Fentanil (por ser 40x mais lipossol‰vel que a morfina, o Fentanil tem maior facilidade de entrar no neur•nio e, por isso, apresenta um tempo de a†…o em torno de 4 minutos e um efeito mais forte). Dessa forma, a quantidade de Fentanil que se administra deve ser menor do que a Morfina, para que seja atingido um determinado efeito no paciente.  Simpat„lise e efeitos diretos no n„ sinusal: a morfina tem a capacidade de diminuir a a†…o do SN simpƒtico, e ainda, promove efeitos diretos no n„ sinusal, provocando bradicardia.  Propens…o a depress…o respirat„ria, como toda droga opiƒcea;  Nƒusea, •leo e espasmo do esf•ncter de Oddi: devido a esta ‰ltima caracter•stica (isto ‚, levar ao espasmo do esf•ncter de Oddi, que consiste na abertura da ves•cula biliar), a Morfina estƒ contra-indicada para a seda†…o de pacientes com patologias das vias biliares.  Libera†…o de histamina: promove, desta forma, hipotens…o e prurido.  Meia vida de elimina†…o de 4 horas: como foi visto, a Morfina ‚ uma droga que tem um efeito de pico atrasado e uma meia vida de elimina†…o relativamente longa – caracter•sticas que fazem desta droga, o opiƒceo ideal quando se quer obter uma analgesia intermitente (a cada 4 a 6 horas).  Metab„lito ativo: morfina-6-glicuron•deo. Fentanil. O Fentanil difere da morfina principalmente por ter uma alta lipossolubilidade e, por conta disso, tem um pico mais rƒpido de a†…o. Seu tempo de a†…o tamb‚m ‚ considerado curto, pois gira em torno de 30 a 60 minutos. Outras caracter•sticas importantes dessa droga s…o:  75-100 x mais potente do que a morfina (talvez por ser mais lipossol‰vel);;  Sem metab„litos ativos;  Meia vida de elimina†…o mais curta.  Sem libera†…o significativa de histamina: e, por conta disso, n…o provoca hipotens…o e prurido.  Opiƒceo de escolha no pacientes hemodinamicamente instƒveis por n…o provocarem hipotens…o.  Analgesia cont•nua: n…o ‚ a droga ideal para realiza†…o de uma analgesia intermitente, devido ao seu curto tempo de a†…o. Ao contrƒrio disso, ‚ a droga Ideal para utiliza†…o na forma de bomba de infus…o (cont•nua). OBS1 : Quanto a escolha entre Morfina e Fantanil, podemos resumir:  A Morfina causa hipotens…o (diferentemente do Fentanil) e, portanto, n…o ‚ a droga de escolha para o paciente com instabilidade hemodin‡mica (para eles, utiliza-se Fentanil);  A Morfina ‚ droga ideal para seda†…o intermitente; o Fentanil ‚ a droga ideal para seda†…o cont•nua;  O Fentanil ‚ a droga ideal para seda†…o rƒpida e imediata (a Morfina tem um pico de a†…o mais atrasado);  Morfina tem mais efeitos colaterais (libera†…o de histamina);  N…o se deve utilizar Morfina em pacientes com coledocolit•ase ou crise de colecistite.
  • 159.
    Arlindo Ugulino Netto– MEDICINA DE URG•NCIA – MEDICINA P8 – 2011.1 159 Meperidina. É uma droga que está totalmente contra-indicada para utilização em pacientes na UTI. Os principais motivos para sua retirada foram:  Baixa potência em relação aos opiáceos: 1/8 da potência da morfina;  Pouco ou nenhum efeito no reflexo da tosse;  Efeitos adversos: causa inotropismo negativo (hipotensão), além de ser vagolítico (taquicardia),  Meia vida de eliminação: 3-4 horas, MAS  Normeperidina: consiste em um metabólito formado a partir da Meperidina, que pode promover um aumento do tempo de ação da droga de forma indeterminada (15 a 30 horas)  Perigoso na falência renal. OBS 2 : Em resumo, temos (Clinical practice guidelines for the sustained use of sedatives and analgesics in the critically ill adult, 2002):  Fentanil é o sedativo preferencial pelo rápido início de analgesia em pacientes agudamente angustiados. (Grau de recomendação C);  Fentanil é preferível para pacientes com instabilidade hemodinâmica ou insuficiência renal. (Grau de recomendação C);  Morfina e hidromorfona são preferíveis para terapia intermitente por causa do seu efeito mais prolongado. (Grau de recomendação C).  A sedação de pacientes críticos agitados só deve ser iniciada após assegurar analgesia adequada e tratamento de causas fisiológicas reversíveis. (Grau de recomendação C). BENZODIAZEPÍNICOS Os benzodiazepínicos constituem outra classe de drogas que tem um grande efeito sedativo e ansiolítico; apesar disso, não possuem nenhuma ação analgésica. Além disso, tem a vantagem de promover uma amnésia anterógrada. Assim as principais características dessas drogas são:  Excelentes sedativos e ansiolíticos;  Amnésia anterógrada;  Efeitos respiratórios: usualmente mínimos em ambiente de UTI. Fora de uma unidade de terapia intensiva essa droga deve ser utilizada com cautela devido ao risco de depressão respiratória, especialmente devido à ausência de equipamentos para ressuscitar o paciente.  Hipotensão: Pode ocorrer com hipovolemia ou disfunção cardíaca e ainda quando associada ao uso concomitante de opiáceos;  Importante solubilidade lipídica;  Metabolizado no fígado;  Metabólitos excretados pelo rim. Lorazepam. É uma drogada largamente utilizada em países como EUA, especialmente por ser ideal para realização de infusões prolongadas. Apesar disso, não existe essa droga endovenosa no Brasil, somente via oral. Suas características principais são:  Meia vida de 14 horas;  Apropriado para pacientes com falência hepática;  Dissolvido em propilenoglicol;  Não é disponível para uso IV no Brasil (apenas por via oral, na fórmula do Lorax®) Midazolam. É a droga Benzodiazepínica mais comumente usada em UTI brasileiras, sendo disponível para via endovenosa. Quando comparada com o Lorazepam, tem uma efetividade menor, porém, é mais barata e disponível para utilização em UTI no Brasil. Entre suas características principais temos:  Muito lipofílico: tendo por isso um rápido efeito de pico (5-10 min), duração curta (20-60 min); devido a essas características é utilizada principalmente para procedimentos curtos.  Metabólito ativo: 1-hydroximidazolam, que pode prolongar a ação da droga, tendo cerca de 1/10 da potência do midazolan;  Pode se acumular nos pacientes que apresentam insuficiência hepática e renal;  Taquifilaxia freqüente e síndrome de abstinência: há sempre a necessidade de se aumentar gradativamente a dosagem da droga para obter o mesmo efeito.  Alto custo
  • 160.
    Arlindo Ugulino Netto– MEDICINA DE URG•NCIA – MEDICINA P8 – 2011.1 160 Diazepam. O Diazepam ‚ uma droga de baixo custo financeiro; entretanto, possui algumas caracter•sticas indesejadas quando estas ocorrem em pacientes internados em UTI.  Dois metab„litos ativos: Oxazepam, Desmetildiazepam;  Meia vida de elimina†…o: 24-36 horas, prolongada na fal€ncia hepƒtica;  Ruim para infusˆes cont•nuas: devido Œ meia vida longa, precipita†…o no soro e irritante em veias de baixo fluxo, impossibilitando seu uso em veias perif‚ricas.  Baixo custo (considerada sua ‰nica vantagem). OBS 3 : Apesar dos diversos estudos, n…o foi poss•vel concluir qual a melhor droga para pacientes em cuidados de terapia intensiva. Ou seja, ‚ indiferente o uso de Midazolam, Lorazepam, Diazepam, devido ao tempo e dura†…o de a†…o dessas drogas serem semelhantes. OBS 4 : Outra op†…o para se obter os mesmos efeitos dos benzodiazep•nicos ‚ a utiliza†…o de drogas anest‚sicas, como ‚ o caso do Propofol. Para sua utiliza†…o, ela deve ser dilu•da em solu†…o lip•dica. Apesar disso, ainda ‚ uma droga de alto custo. Com rela†…o Œ efetividade desta droga, seus principais efeitos (amn‚sia, sedativos e ansiol•ticos) s…o semelhantes aos benzodiazep•nicos. Quanto ao Propofol, temos:  Propofol e Midazolam alcan†aram seda†…o ideal quando administrados atrav‚s de protocolos espec•ficos de dosagem;  Propofol teve um tempo de despertar mais rƒpido;  Tempo para seda†…o foi significativamente diferente;  VO2 diminuiu similarmente em ambos os grupos. Dexmedetomidina. Š uma droga derivada da clonidina, uma agonista alfa-2- central (receptor pr‚-sinƒptico que, quando ativado, promove efeito simpatol•tico), e ainda, tem a†…o em n•vel perif‚rico na medula que produz analgesia. Com isso, podemos dizer que ‚ uma droga analg‚sica e sedativa que se aproxima do ideal (pois, segundo especialistas, ela promove uma seda†…o muito pr„xima ao “sono fisiol„gico”), a n…o ser pelo pre†o. Alguns estudos recentes mostraram maior benef•cio do uso desta droga em rela†…o ao Midazolam, especialmente por n…o ter como principal efeito colateral o Delirium. Al‚m disso, a Dexmedetomidina estƒ relacionada com a redu†…o do tempo para promover a extuba†…o, bem como o tempo de interna†…o em terapia intensiva. Pelo seu efeito simpatol•tico, a Dexmedetomidina pode apresentar efeitos hipotensores. Apesar dos efeitos ben‚ficos da Dexmedetomidina sobre os Benzodiazep•nicos (redu†…o do tempo de ventila†…o mec‡nica, interna†…o e da incid€ncia do Delirium), ela ‚ uma droga de alto custo, que o Sistema ©nico de Sa‰de (SUS) n…o disponibiliza para os servi†os m‚dicos, apenas em casos espec•ficos. OBS 5 : Em resumo, temos:  Midazolam ou diazepam devem ser usados para rƒpida seda†…o de pacientes agudamente agitados. (Grau de recomenda†…o C)  Propofol ‚ o sedativo preferido quando o acordar rƒpido (ex: avalia†…o neurol„gica) ‚ importante. (Grau de recomenda†…o B)  Midazolam ‚ recomendado somente para uso em curto prazo, jƒ que produz tempo de despertar e de extuba†…o imprevis•veis com infusˆes mais longas que 48-72 horas. (Grau de recomenda†…o A)  Lorazepam ‚ recomendado para seda†…o em muitos pacientes, intermitente ou continuamente. (Grau de recomenda†…o B) DŽVIDAS FREQUENTES  Existe um agente analg‚sico preferencial para uso no paciente s‚ptico cr•tico? N…o; Grau de recomenda†…o C  Hƒ um agente sedativo preferencial para uso no paciente cr•tico necessitando ventila†…o mec‡nica? N…o; Grau de recomenda†…o C  Protocolos devem ser usados para a administra†…o de seda†…o em pacientes s‚pticos? Sim; Grau B  Uma escala subjetiva de seda†…o deve ser usada no acesso e ajuste da seda†…o em pacientes s‚pticos? Sim; Grau B.
  • 161.
    Arlindo Ugulino Netto– MEDICINA DE URG•NCIA – MEDICINA P8 – 2011.1 161 PROBLEMAS COM OS AGENTES ATUAIS Todas as drogas apresentam vantagens e desvantagens com relação a outra: quando uma é muito boa, apresenta-se de alto custo no mercado; quando ela é muito barata, pode apresentar vários efeitos indesejados. Entretanto, podemos utilizar drogas mais baratas e tirar delas apenas seus efeitos desejáveis a depender da forma de como a droga é utilizada (e é sobre isso que discutiremos nos próximos tópicos). OBS 6 : Características de um sedativo ideal em uma Unidade de Cuidados Neurocríticos:  Boa qualidade de sedação;  Início e fim de ação rápidos para permitir avaliação neurológica;  Não cumulativo;  Barato;  Manter autoregulação cerebral e a resposta cerebrovascular a PaCO2;  Reduzir a taxa de metabolismo cerebral para garantir um  EEG isoelétrico;  Reduzir o volume sangüíneo cerebral e PIC;  Reduzir atividade convulsiva;  Resultar em rápidas mudanças no SNC em resposta a mudanças de dose. SEDA‚„O / ANALGESIA Como foi visto até o momento, a maioria das drogas utilizadas para sedação e analgesia em pacientes de UTI, possui algum efeito adverso. Dessa forma, cabe ao médico saber escolher a melhor droga, levando em consideração as condições clínicas do paciente e, a partir daí, ajustar dose, tempo de administração, etc. Para isso, existem protocolos subjetivos que podem ser utilizados para o ajuste da droga em cada paciente. O médico pode avaliar a efetividade da droga quantificando, subjetivamente, o nível de sedação e analgesia. No que diz respeito a analgesia, pode-se questionar ao paciente, por exemplo, se o mesmo ainda está sentindo dor, ou solicitar a ele para graduar a sua dor em uma escala de 0 a 10. No que diz respeito à sedação, também se deve utilizar escalas para quantificar o quão um paciente está sedado. Kollef MH et al, Chest (1998) apresentaram um estudo em que foram comparados pacientes internados em Terapia Intensiva que foram submetidos a sedação contínua com pacientes que não utilizaram nenhum tipo de sedação ou que utilizaram sedação intermitente. Deste estudo, ele observou que a sedação contínua estava relacionada ao aumento do tempo de permanência na ventilação mecânica, internação hospitalar e reintubação mais frequente. A conclusão tirada foi que o uso de sedação endovenosa contínua está associado com prolongação da VM. Por esta razão, devemos sempre privilegiar a sedação intermitente. VANTAGENS / DESVANTAGENS A sedação, como se sabe, é um procedimento de extrema importância para os pacientes que se encontram em terapia intensiva, primeiramente por proporcionar o conforto, além de reduzir o efeito fisiopatológico da dor (liberação de hormônios contra-reguladores que podem descompensar clinicamente o paciente), excluir memórias de experiências desagradáveis e constrangedoras durante os procedimentos em UTI, diminuir a ansiedade, etc. Apesar disso, uma superdosagem nos procedimentos que podem levar a analgesia e sedação, pode expor o paciente a complicações graves, tais como:
  • 162.
    Arlindo Ugulino Netto– MEDICINA DE URG•NCIA – MEDICINA P8 – 2011.1 162  Depressão respiratória;  Hipotensão;  Bradicardia;  Estase venosa;  Tempo de ventilação aumentado  Tempo de UTI aumentado;  Maiores custos para o serviço hospitalar;  Impossibilidade de avaliação neurológica. Tais efeitos podem ser explicados a partir da farmacodinâmica destas drogas, principalmente no que diz respeito ao volume de distribuição das mesmas. Quando se injeta uma droga por via endovenosa em um paciente, consideram- se três possibilidades quanto a sua distribuição: (1) circulação na corrente sanguínea até ser metabolizada; (2) ação em seu determinado receptor (no SNC, por exemplo); e (3) uma parte se liga a tecidos periféricos (volume de distribuição), como é o caso da gordura (especialmente pelo fato de as drogas sedativas serem muito lipofílicas). Por esta razão, o uso contínuo de drogas sedativas faz com que a ação no SNC e o seu estoque no tecido adiposo aconteçam de maneira ininterrupta. Com isso, uma superdosagem pode ser causada pela presença de uma quantidade suficiente do metabólito ativo da droga armazenada no tecido adiposo. Com a interrupção da sedação/analgesia farmacológica após seu uso prolongado e contínuo, haverá uma queda da concentração plasmática da droga e, com isso, o estoque do tecido adiposo é transferido por difusão para corrente sanguínea, o que prolonga o estado de sedação do paciente, mesmo com a retirada das drogas. Obviamente, tal mecanismo é acompanhado de todos os efeitos indesejáveis da superdosagem. ESCOLHA DO SEDATIVO IDEAL NO PACIENTE CR‡TICO Diante do que foi discutido até então, para se obter uma sedação e analgesia adequada baseando-se nas condições clínicas do paciente, devemos levar em consideração dois princípios:  Individualizar o tratamento, correlacionando a utilização de uma droga (dose, tipo de infusão etc), para cada paciente  Seguir os protocolos de intervenção. ESTUDOS CIENTÍFICOS 1. The use of Continuos IV Sedation is associated with prolongation of Mechanical Ventilation. Foi realizado um estudo de coorte prospectivo observacional, avaliando um grupo de pacientes que, deste total de, 93 (38,4%) pacientes sob VPPI receberam sedação IV contínua e 149 (61.6%) pacientes receberam sedação IV em bolus (n=64) ou nenhuma sedação (n=85). Observou-se que a duração da VPPI foi significativamente maior para os pacientes recebendo sedação IV contínua, comparada àqueles pacientes sem sedação IV contínua (185±190 h vs 55,6 ±75,6h; p<0.001). A duração do tempo de internação em UTI (13,5 ± 33.7 dias vs 4,8 ± 4.1 dias; p<0.001) e hospitalização (21,0 ± 25,1 dias vs 12,8 ± 14,1 dias; p<0.001) foram estatisticamente maiores no grupo sedação IV contínua. Concluiu-se, pois, que o uso de drogas sedativas de maneira contínua aumentava o tempo de internação em UTI, de ventilação mecânica e o uso de re-intubações. Para os pacientes que não fizeram uso de sedação contínua, boa parte deles já estava livre da ventilação mecânica com 5 dias de internação, enquanto que a maioria dos pacientes em sedação contínua permaneciam em ventilação mecânica.
  • 163.
    Arlindo Ugulino Netto– MEDICINA DE URG•NCIA – MEDICINA P8 – 2011.1 163 2. Effect of a Nursing-Implemented Sedation Protocol on the duration of Mechanical Ventilation. Os mesmos autores do trabalho rec‚m apresentado mostraram que a necessidade de realização de um protocolo para utilização de sedativo-analgésicos nos pacientes de UTI era pertinente jƒ que, at‚ este momento, a decis…o de aumentar a dose ou retirar a seda†…o era feita pelo pr„prio m‚dico, a partir da simples observa†…o cl•nica do paciente e sem a utiliza†…o de nenhum crit‚rio objetivo. Para essa normatiza†…o, tais autores realizaram um estudo em que se comparou um grupo de pacientes que foi sedado seguindo um protocolo pr‚-estabelecido por eles com outro grupo cuja seda†…o ficava por responsabilidade do olhar cl•nico do m‚dico.  Objetivo: Comparar uma prƒtica de seda†…o dirigida por protocolo implementada por enfermeiros em pacientes sob VPPI com administra†…o de sedativos tradicional n…o protocolada;  Desenho: Estudo cl•nico controlado aleat„rio;  Contexto: UTI cl•nica (19 leitos) em Hospital Terciƒrio;  Pacientes: Pacientes necessitando VPPI (n = 321);  Intervenções: Pacientes foram randomizados para receber seda†…o dirigida por protocolo (n = 162) ou seda†…o n…o dirigida por protocolo (n = 159). Escala de Sedação de Ramsay.  Nível de Sedação: 1. Agitado e ansioso; 2. Cooperativo, orientado e tranqœilo; 3. Responde somente ao comando; 4. Resposta rƒpida a est•mulo doloroso (“tapinha”) na glabela ou est•mulos auditivos altos; 5. Lenta resposta a est•mulo doloroso na glabela ou est•mulos auditivos altos; 6. Nenhuma resposta a est•mulos. Escala de Agitação/Sedação de Richmond (RASS). Esta escala prev€ o comportamento do paciente levando em considera†…o o seu estado de agita†…o (0 a +4) e seda†…o (0 a -5). Š considerado um n•vel ideal de seda†…o aquele paciente que estƒ entre -2 e -3 na escala de Richmond (ou seja, seda†…o leve ou moderada). Escore Termo Descrição +4 Combativo Evidentemente combativo; violento; perigo imediato para os profissionais. +3 Muito Agitado Puxa ou remove tubo(s) ou cateter(es); agressivo +2 Agitado Movimentos despropositados freqœentes; ”briga” com o ventilador. +1 Inquieto Ansioso; movimentos n…o agressivos. 0 Alerta e Calmo (ideal para extubar) -1 Sonolento N…o completamente alerta, mas tem despertar sustentado (abertura ocular/contato ocular ≥10 segundos) ao comando vocal. -2 Sedação Leve Acordar breve com contato ocular ao comando vocal (<10 segundos). -3 Sedação Moderada Movimento ou abertura ocular ao comando vocal (mas sem contato ocular). -4 Sedação Profunda Nenhuma resposta ao comando vocal, mas movimento ou abertura ocular Œ estimula†…o f•sica. -5 Não Acorda Nenhuma resposta aos est•mulos vocais ou f•sicos (pr„prio para TCE grave e SARA) Diante do que foi descrito, uma forma rƒpida e fƒcil de determinar a pontua†…o correta de um paciente de acordo com a Escala da Richmond ‚ feita da seguinte maneira:  Paciente estƒ alerta, inquieto ou agitado: Escore 0 a +4  Se n…o estƒ alerta, chame o paciente pelo nome e solicite que abra os olhos e olhe para o examinador:  O paciente acorda com abertura sustentada e contato ocular: Escore -1  Acorda com abertura e contato oculares n…o sustentados: Escore -2  Tem qualquer movimento em resposta Œ voz, mas n…o tem contato ocular: Escore -3  Quando n…o houver resposta Œ estimula†…o verbal, estimule fisicamente (balan†ando o ombro ou friccionando o esterno).  Tem qualquer movimento Œ estimula†…o f•sica: Escore -4  Nenhuma resposta: Escore -5
  • 164.
    Arlindo Ugulino Netto– MEDICINA DE URG•NCIA – MEDICINA P8 – 2011.1 164 Protocolo utilizado pelo estudo. Com base neste protocolo, quando for necessário manter um nível de sedação RASS -2 a -3 para evitar agitação, e necessário, primeiramente, afastar causas reversíveis de agitação (obstrução do tubo endotraqueal, hipo ou hiperglicemia, crise hipertensiva, etc.); em segundo lugar, é necessário afastar causas dolorosas. Desta forma, temos:  Se o problema da agitação fosse a dor, optava-se pelo uso de analgésicos (Fentanil). Logo em seguida, observa-se se haveria necessidade para mais uso de Fentanil a cada 2 horas para manter a analgesia (uma vez que o Fentail tem um rápido tempo de ação). Se não houvesse esta possibilidade, lançava-se mão da Morfina a cada 2 horas; se, caso contrário, o Fentanil fosse necessário em intervalos cada vez menores, opta-se pela infusão contínua de Fentanil. Desta forma, os pesquisadores priorizavam a seguinte sequência de tratamento: (1) tratamento com analgesia simples; (2) analgesia intermitente; (3) analgesia contínua, se o uso de droga intermitente não promovesse analgesia adequada.  Se o problema da agitação não fosse dor ou qualquer outra causa reversível, optava-se, obviamente, pela sedação do paciente (para evitar conflitos com o ventilador e com a equipe médica, evitar edema cerebral, deterioração da consciência, etc.). Se não houvesse tanta necessidade de sedação imediata, poderia utilizar infusão de Midazolam a cada 2 horas; se houvesse necessidade clínica de sedação imedata, utilizava-se sedação intermitente com Diazepam ou Midazolam a cada 5 minutos. Se a necessidade aumentasse, poderia se optar pela infusão de Midazolam 1 a 20mg por hora. Independente do problema da agitação, depois de tentadas todas as possibilidades para cada caso, questionavam-se sobre o objetivo final: se realmente o alvo de sedação teria sido atingido. Se a resposta fosse negativa, opta-se pela readministração em bolus e aumento da infusão de Fentanil e/ou readministração em bolus ou aumento da infusão de Midazolam. Se a resposta fosse positiva, era prudente diminuir a infusão de Fentanil e/ou de Midazolam até descontinuação. Independente da reposta a esta nova tentativa, reavalia-se o regime de sedação utiliazando a escala de Ramsay a cada 4 horas, para avaliar se há necessidade de novo reajuste ou de diminuição das dosagens. Em resumo, este protocolo prioriza o controle da dor, seja através da retirada de causas reversíveis ou, somente se necessário, utilização de analgésicos. Se a analgesia for necessária, faz-se uso dela, primeiramente, de forma intermitente e, depois, de forma contínua. Se a dor não for a causa da agitação, parte-se então para a sedação do doente, também de maneira intermitente inicial e, só então, se necessário, de maneira contínua. O protocolo era revisto continuamente, a cada 4 horas, para avaliar a necessidade de reajustes de doses ou, eventualmente, desmamar a droga.
  • 165.
    Arlindo Ugulino Netto– MEDICINA DE URG•NCIA – MEDICINA P8 – 2011.1 165 Resultados do estudo. Os resultados obtidos foram: no grupo em que foi utilizada a seda†…o e analgesia segundo o protocolo aprestando, observou-se que a ventila†…o mec‡nica durou aproximadamente 35 horas (1dia e meio), enquanto que os pacientes para os quais n…o foi seguido o protocolo, permaneceram at‚ 6 dias sob necessidade de ventila†…o mec‡nica. Al‚m disso, observou-se que administra†…o de infus…o cont•nua foi bem menor no grupo que fazia uso do protocolo (o que era de se esperar, uma vez que o protocolo priorizada o uso de analgesia intermitente, o que diminui a utiliza†…o da infus…o cont•nua). Outro dado importante, foi a maior quantidade de Fentanil utilizada nos pacientes que seguiram o protocolo; fato este que pode ser interpretado pelo fato de a dor ter sido a principal causa de agita†…o do pacientes em estudo, explicando a maior necessidade da utiliza†…o desta droga. 3. Daily Interruption of Sedative Infusions in Critically III patients undergoing Mechanical Ventilation. Partindo-se do pressuposto que existe ac‰mulo de drogas no tecido adiposo, estes pesquisadores avaliaram a possibilidade de interromper, diariamente, a seda†…o (se poss•vel, ‚ l„gico), para estimular a sa•da gradual da droga do compartimento de redistribui†…o para que ela fosse utilizada ou metabolizada e, enfim, deixar o paciente com n•veis basais e pouco t„xicos da droga. Foi ent…o realizado um estudo controlado, randomizado, com 128 pacientes adultos sob VPPI e infus…o cont•nua de sedativos em UTI cl•nica. Dois grupos foram criados: (1) Grupo interven†…o: a infus…o de sedativos era interrompida diariamente at‚ que o paciente acordasse; (2) Grupo controle: as infusˆes eram interrompidas somente sob ordem m‚dica, a crit‚rio cl•nico. No grupo interven†…o, o investigador interrompia a seda†…o at‚ que os pacientes acordassem e pudessem seguir ordens ou at‚ ficarem desconfortƒveis ou agitados a ponto de novamente necessitarem de seda†…o. A seda†…o s„ era interrompida quando o paciente n…o estivesse sob a†…o de droga paral•tica. Se o paciente continuasse necessitando da seda†…o, a dose da infus…o era iniciada com metade da anterior Œ interrup†…o e reajustadas de acordo com a necessidade. O paciente era considerado “acordado” se pudesse realizar pelo menos tr€s das seguintes a†ˆes quando solicitado, avaliadas objetivamente:  Abrir os olhos;  Seguir o examinador com o olhar;  Apertar a m…o do examinador;  Mostrar a l•ngua. Os resultados observados para o grupo interven†…o (pacientes que tinham interrup†…o diƒria de seda†…o) foram:  Tempo de VM mais reduzido com rela†…o ao grupo controle;  Tempo de interna†…o em UTI reduzido;  Dose total de Midazolam utilizada bem menor.
  • 166.
    Arlindo Ugulino Netto– MEDICINA DE URG•NCIA – MEDICINA P8 – 2011.1 166 CONCLUSƒES  Sedação intermitente tem melhores resultados que a contínua e, portanto, deve ser prioridade.  Privilegiar a analgesia sempre, ou seja, uma vez que, a principal causa de agitação, inquietação, paciente ansioso no leito é a dor. Com isso, dispensando a necessidade de sedação, procedimento que não melhora a dor, e ainda, possui complicações.  Usar protocolo guiado pela equipe de enfermagem obtém melhores resultados que seguir opiniões médicas baseadas em observações clínicas.  Interromper sedação diariamente se possível (um exemplo de não realização dessa prática é paciente com SARA grave e TCE).
  • 167.
    Arlindo Ugulino Netto– MEDICINA DE URG•NCIA – MEDICINA P8 – 2011.1 167 MED RESUMOS 2011 NETTO, Arlindo Ugulino. MEDICINA DE URGÊNCIA E TERAPIA INTENSIVA NOVAS DIRETRIZES PARA REVERSÃO DA PARADA CARDIO-RESPIRATÓRIA (Professor Fábio Almeida) O Advanced Cardiological Life Suport (ACLS) consiste em uma série de intervenções e protocolos utilizados para o atendimento de emergências cardio- respiratórias. Esses protocolos são definidos a cada 5 anos em reuniões de diretrizes organizadas pelo Internacional Liaison Committee on Resuscitation (ILCOR) com o patrocínio de diversos orgãos como a American Heart Association (AHA). A última mudança nos protocolos do ACLS ocorreu em 2010, passando a vigorar no ano de 2011. Os protocolos se baseiam em uma série de algoritmos de atendimentos das mais diversas situações de emergência cardiovascular como: fibrilação ventricular/taquicardia ventricular sem pulso; AESP; Assistolia; Síndromes coronarianas; AVC; BLS; etc. As habilidades essenciais para o atendimento em emergências cardiovasculares são praticadas nos cursos de ACLS®. EPIDEMIOLOGIA A parada cardio-respiratória (PCR) caracteriza um fenômeno cardíaco grave e bastante prevalente em todo mundo. Atualmente, é considerada como sendo a primeira causa de mortes nos EUA (950.000 óbitos/ano) e na população em geral, representando um importante problema de saúde pública. No Brasil, anos anteriores, estatísticas dão conta que 273.000 pessoas morrem por causas cardiovasculares, o que equivale a uma morte a cada 2 minutos. Um dado intrigante é o fato que cerca de 50% das vítimas de PCR morrem antes de chegarem ao pronto- socorro. É baseando-se nestes dados que evidenciamos a importância do treinamento acerca do Suporte Básico de Vida (BLS) e do próprio ACLS para buscar uma redução da morbimortalidade associada a este fenômeno cardiovascular: partindo-se do pressuposto que praticamente metade das vítimas de PCR morre em casa, fica mais clara a importância de disseminar as condutas do BLS para leigos; para a outra parte das vítimas que alcançam o atendimento hospitalar, evidenciamos a importância do treinamento de médicos consoante as condutas do ACLS. Entretanto, independente do treinamento de leigos e médicos sobre as condutas relacionadas ao manejo do indivíduo vítima de PCR, é válido ressaltar que a única maneira de intervir diretamente nos altos índices de mortalidade desta doença é atuando sobre os fatores de risco, que seguem:  Obesidade  Tabagismo  Hipertensão  Dislipidemias  Sedentarismo  Estresse CONCEITOS Alguns conceitos básicos devem ser revistos para melhor acompanhamento do assunto aqui abordado. Dentre eles, temos o próprio conceito de PCR e de morte. Vale salientar, entretanto, que a definição de morte frente a uma vítima de PCR só pode ser instituída pelo médico.  Parada cardio-respiratória (PCR): configura a ausência de atividade mecânica cardíaca, confirmada pela ausência de pulso detectável, ausência de responsividade (vítima inconsciente) e apnéia agônica.  Morte súbita: morte inesperada de origem cardíaca, que ocorre em um período máximo de uma hora depois de decorridos os primeiros sintomas (muito embora, pode haver casos em que não houve, sequer, sintomas). Estudos mostram uma maior prevalência durante o período da manhã, em segundas-feiras e no inverno. Cerca de 84% das mortes súbitas acontecem em domicílio e 16% em via pública.  Morte biológica: deve ser definida como: (1) falha na RCP; (2) ausência de atividade elétrica do miocárdio; (3) dano irreversível ao sistema nervoso central (SNC), que ocorre, teoricamente, após 5 minutos em falta de oxigenação. ETIOLOGIA DA PCR A PCR é, portanto, uma situação dramática, responsável por morbimortalidade elevada, mesmo em situações de atendimento ideal. A etiologia da parada PCR varia com a idade. Partindo-se do pressuposto que, a depender da causa, a PCR pode ser muito ou pouco responsiva às manobras de ressuscitação cardiopulmonar (RCP), devemos conhecer as principais etiologias deste fenômeno:
  • 168.
    Arlindo Ugulino Netto– MEDICINA DE URG•NCIA – MEDICINA P8 – 2011.1 168  Causas cardíacas:  Coronariopatias  Arritmias  IAM  Valvulopatias  Miocardiopatias  Cardiopatias cong€nitas  Tumor intracard•aco  Tamponamento card•aco  Causas não-cardíacas:  Embolia pulmonar  Pneumot„rax hipertensivo  Engasgo  Drogas  AVC  Hip„xia  Hipoglicemia  Alcoolismo  Alergias agudas  Choque el‚trico Nota-se, desta anƒlise, que, al‚m das causas propriamente card•acas, a PCR pode estar relacionadas com condi†ˆes que caracterizam o trauma, tais como: pneumot„rax hipertensivo, tamponamento card•aco, engasgos (obstru†…o da via a‚rea superior por corpo estranho – OVACE), etc. Portanto, podemos afirmar que, em algumas situa†ˆes, o trauma pode provocar parada card•aca. Entretanto, mesmo diante desta afirma†…o, devemos salientar que n…o hƒ espa†o para a realiza†…o de RCP para v•timas de trauma em geral. Em adultos, por exemplo, a principal etiologia da PCR estƒ relacionada com hemorragias graves (causa mais comum) e lesˆes cerebrais/medulares extensas – situa†ˆes cujo tratamento consiste na remo†…o imediata para o servi†o hospitalar de emerg€ncia, e n…o a realiza†…o de RCP (n…o tem fundamento massagear o cora†…o ou tratƒ-lo com choque terap€utico, se n…o hƒ volume sangu•neo suficiente para garantir uma boa perfus…o). Admite-se que, em situa†ˆes de trauma, a ‰nica ocasi…o prudente para a realiza†…o das manobras de ressuscita†…o acontece quando a v•tima jƒ se encontra em ambiente cir‰rgico, com reposi†…o adequada de volume. Diferentemente disso, as causas cardiog€nicas (por exemplo: arritmias graves, IAM, AVC, problemas respirat„rios, choque, etc.) respondem bem ao tratamento que envolve RCP, drogas e desfibrila†…o. OBS 1 : Vale salientar, que no momento da emerg€ncia, o papel da equipe reanimadora n…o ‚ diagnosticar a causa do PCR – inclusive, a ‰ltima coisa com a qual devemos nos preocupar durante a RCP ‚ o diagn„stico da causa da PCR. Š dever da equipe identificar ou diagnosticar a PCR e tratƒ-la prontamente. Apenas diante de insucessos consecutivos das manobras de reanima†…o, devemos nos questionar acerca da poss•vel causa que impede a revers…o do quadro. CADEIA DE SOBREVIDA Como jƒ vimos em ocasiˆes passadas, a cadeia de sobrevida consiste em uma corrente interligada de fatos que sucedem o trauma. Š uma sequ€ncia l„gica de eventos desencadeada por uma pessoa (que pode ser leiga) para tentar salvar uma eventual v•tima de um trauma. Se todas as etapas desta cadeia forem realizadas com rapidez e efici€ncia, o tempo gasto entre o momento do trauma e o tratamento da v•tima serƒ bem menor e a sobrevida do mesmo serƒ prolongada. No que diz respeito ao ACLS, devemos incluir como primeiro elo da cadeia o treinamento de profissionais sobre as condutas a se fazer diante de uma v•tima de PCR. Desta forma, a cadeia de sobrevida para o ACLS consiste em:  Educa†…o/treinamento do ACLS para profissionais e BLS para leigos;  Contato rƒpido com o servi†o de atendimento m„vel: SAMU 192 (solicitar unidade de suporte avan†ado) ou Corpo de Bombeiros (desde a unidade m„vel desta corpora†…o disponha de equipe m‚dica e desfibriladores automƒticos, e que a cidade n…o apresente SAMU);  Iniciar ressuscita†…o cardiopulmonar (RCP) precoce (lan†ando m…o do suporte bƒsico de vida);  Acesso rƒpido ao servi†o m‚dico de emerg€ncia e ao suporte avan†ado de vida;  Desfibrila†…o precoce (pode ser feita tanto pelo desfibrilador automƒtico externo – DEA – como pelo desfibrilador mec‡nico da equipe de suporte avan†ado de vida que faz o atendimento);  Proceder com Suporte Avan†ado em Cardiologia (objetivo principal deste cap•tulo referente ao ACLS);  Preven†…o da les…o e de eventuais sequelas;  Reabilita†…o. O 5› passo da cadeia de sobrevida aqui relatada ‚, de fato, o Suporte Avan†ado em Cardiologia, que serƒ melhor detalhado neste cap•tulo. Tal passo pode ser realizado tanto pela equipe de UTI m„vel com suporte avan†ado de vida que chega ao local (estando eles equipados com desfibriladores, materiais para acesso venoso, drogas, etc.) ou pela equipe do servi†o de emerg€ncia hospitalar (que tamb‚m poderƒ proceder com artif•cios que incluem desfibriladores operador-dependentes, acessos venosos, drogas, tubos orotraqueais, etc.).
  • 169.
    Arlindo Ugulino Netto– MEDICINA DE URG•NCIA – MEDICINA P8 – 2011.1 169 OBS 2 : Dentre as diferen†as gerais entre o ACLS e o BLS, al‚m dos procedimentos que podem ser utilizados no primeiro e que n…o s…o poss•veis neste ‰ltimo, podemos citar o tipo de desfibrilador. No BLS, por se tratar de um suporte bƒsico que pode ser realizado por leigos, inclusive, podemos lan†ar m…o do desfibrilador automƒtico externo (DEA), que consiste em um aparelho operador-independente, uma vez que ele mesmo realiza a leitura do ritmo card•aco da v•tima e indica ou n…o o choque. O desfibrilador utilizado no suporte avan†ado ‚ um aparelho operador-dependente, pois, al‚m de necessitar da manipula†…o do profissional, n…o avalia o ritmo card•aco por si s„ – este deve ser avaliado por meio de tra†ados eletrocardiogrƒficos pelo pr„prio operador, sendo esta interpreta†…o um passo fundamental durante o processo de reanima†…o, como veremos. CONSIDERA‚ƒES GERAIS ACERCA DO SUPORTE B…SICO DE VIDA O Suporte Bƒsico de Vida (SBV) ou Basic Life Suport (BLS) tem, por objetivo, fornecer a qualquer indiv•duo (leigo ou profissional) a capacidade de: (1) reconhecer a PCR, ataque card•aco, AVC e obstru†…o de via ƒrea por corpo estranho (OVACE); (2) libera†…o de OVACE; (3) saber proceder com RCP e com DEA. As novas diretrizes do BLS baseiam-se na simplificação (Keep it Simple – KIS). A necessidade de simplificar as condutas do BLS para os leigos fez com que fossem abolidos alguns procedimentos e termos que poderiam ser mais complicados para esta parcela da popula†…o. Portanto, como mostra o diagrama ao lado, existem tr€s n•veis de profici€ncia do socorrista e, para cada n•vel, existe um protocolo adequado: (1) para profissionais em sa‰de, preconiza-se o suporte avan†ado de vida, que inclui uso de choque terap€utico, drogas, etc.; (2) para socorristas treinados (t‚cnicos de enfermagem, condutores de servi†os de emerg€ncia m„veis, policiais, etc.) podemos proceder com o treinamento de t‚cnicas menos avan†adas, por‚m de realiza†…o mais simplificada, como abrir vias a‚reas, insufla†…o com AMBU e compressˆes torƒcicas em ciclos regulares de RCP 30:2; (3) para leigos em geral, preconiza-se o curso bƒsico, que visa ensinar o reconhecimento de uma v•tima em parada e a realiza†…o de compressˆes torƒcicas (hands only). Portanto, no intuito de simplificar as condutas para com a v•tima de PCR, o BLS passou a adotar uma sequ€ncia diferente do antigo e conhecido protocolo do ABC: (A) estabilizar coluna cervical e abrir vias a‚reas; (B) avaliar respira†…o; (C) checar pulso. Atualmente, preconiza-se o protocolo CAB que, a depender do n•vel de profici€ncia do socorrista, temos:  CAB para leigos:  Identifica†…o: para o leigo, dispensa-se a necessidade de verifica†…o do pulso ou da respira†…o – o simples fato da v•tima se mostrar inconsciente jƒ deve ser “interpretado” como uma poss•vel PCR.  Pedir ajuda: solicitar o socorro ao servi†o de atendimento m„vel e do DEA.  Iniciar RCP: deve-se iniciar, primeiramente, pelas compressˆes torƒcicas ininterruptas. Na presen†a de um segundo socorrista, pode-se priorizar tamb‚m vias a‚reas (com ciclos de 30:2); caso contrƒrio, permanece apenas nas compressˆes.  CAB para socorristas treinados em SBV: estes devem identificar o pulso carot•deo e, caso esteja ausente, iniciar as manobras de RCP. Obviamente, caso o socorrista esteja em dupla, pode-se associar as compressˆes torƒcicas com as insufla†ˆes (30:2); mas devemos frisar que o objetivo primƒrio do novo protocolo s…o as compressˆes torƒcicas. Desta forma, o protocolo CAB para socorristas treinados obedece Œs seguintes condutas:
  • 170.
    Arlindo Ugulino Netto– MEDICINA DE URG•NCIA – MEDICINA P8 – 2011.1 170  Checar n•vel de consci€ncia: “Senhor(a), posso lhe ajudar?”  Passo C: checar pulso carot•deo.  Pedir ajuda: solicitar SAMU, pedindo o DEA  Iniciar RCP imediatamente: iniciar com compressˆes torƒcicas vigorosas e rƒpidas (ver OBS 3 ). Orienta-se que sejam realizadas ininterruptamente.  Caso esteja em dupla, devemos ainda abrir via a‚rea e lan†ar m…o da ventila†…o (respira†ˆes “boca-a-boca” ou, preferencialmente, com o uso da pocket mask). A ventila†…o, quando poss•vel, deve obedecer ao ritmo de 10 a 12 insufla†ˆes por minuto. OBS 3 : Segundo este novo protocolo do BLS, nota-se a import‡ncia das compressˆes torƒcicas para salvar vidas. Entretanto, al‚m da t‚cnica de compress…o e rebaixamento do gradil costal, ‚ vƒlido ressaltar que a eficƒcia da compress…o estƒ diretamente relacionada com o •ndice de revers…o da parada. Portanto, toda a t‚cnica de compress…o deve ser apurada, baseando-se em compressˆes vigorosas, rƒpidas e constantes, obedecendo a um ritmo que, segundo os autores do pr„prio BLS, se baseia na cad€ncia do hit Saturday Night Fever – Bee Gees. Portanto, a qualidade do RCP se baseia nos seguintes crit‚rios:  Compress…o vigorosa (rebaixamento do gradil costal em pelo menos 5cm) e com rapidez (mais de 100 vezes por minuto), realizada sobre uma superf•cie plana e r•gida (se necessƒrio, subir em algum apoio para adotar a postura correta).  Permitir o retorno total do gradil costal ao t‚rmino de cada compress…o  Minimizar as interrup†ˆes nas compressˆes  Recomenda-se que o socorrista deva ser substitu•do a cada 2 minutos para evitar a exaust…o  Evitar ventila†…o excessiva: 8 – 10 vezes por minuto, seguindo o ciclo de 30 compressˆes para 2 insufla†ˆes (30:2). Diferentemente disto, na presen†a de via a‚rea definitiva (VAD), isto ‚, quando o paciente estƒ intubado (o que ‚ poss•vel, teoricamente, apenas no Suporte Avan†ado de Vida), as compressˆes devem ser ininterruptas, independente da ventila†…o.  Manter uma capnografia quantitativa (PET) de CO2 entre 30-40mmHg CONSIDERA‚ƒES GERAIS SOBRE O ACLS O Suporte Avan†ado de Vida em Cardiologia (ACLS), portanto, diz respeito ao conjunto de protocolos e medidas que devem ser obedecidas para a realiza†…o de uma resposta em carƒter de emerg€ncia cardiocirculat„ria que deve envolver os seguintes profissionais: m‚dico, enfermeiro e, no m•nimo, dois t‚cnicos em enfermagem (nesta equipe, deve haver um l•der que, geralmente, ‚ constitu•do pelo m‚dico, sendo ele o responsƒvel por comandar a compress…o torƒcica, via a‚rea e quanto Œs indica†ˆes de terapia medicamentosa). N…o ‚ novidade que o ACLS trabalhe em virtude do aforismo “Tempo … C…rebro”: quando uma PCR ‚ testemunhada e a v•tima apresenta fibrila†…o ventricular (FV), a taxa de sobrevida diminui 7 a 10% a cada minuto perdido se nenhuma manobra de RCP for prontamente iniciada. Isso significa que, em 10 minutos de parada sem realiza†…o de RCP, hƒ, praticamente, 100% de chances de insucesso em reverter o quadro. Entretanto, o ACLS se diferencia de todas as demais correntes de Suporte a Vida pelo uso da desfibrilação – n…o s…o as compressˆes torƒcicas as responsƒveis por dar o ritmo card•aco previamente perdido. A utilidade das compressˆes se baseia na simples manuten†…o de um m•nimo fluxo cerebral enquanto se espera pelo choque terap€utico – este sim, ‚ o responsƒvel por converter a arritmia e, desta forma, restabelecer a fun†…o card•aca. Considera-se como desfibrila†…o precoce aquela em que o sistema de emerg€ncia pode chegar ao local do evento em at‚ 8 minutos em 90% das vezes. Entretanto, a desfibrila†…o s„ pode ser procedida na presen†a de ritmos pass•veis de choque (como ‚ o caso da fibrila†…o e da taquicardia ventricular sem pulso). Caso contrƒrio, n…o hƒ indica†…o para o choque. OBS4 : Quanto mais rƒpido o for o atendimento Œ v•tima de PCR, maiores s…o as chances de sobrevida. Estudos mostraram que a realiza†…o de RCP + DEA em menos de 4 minutos, seguida do apoio avan†ado de vida em at‚ 8 minutos, fornece chances sobrevida em 43% dos casos; destes, ª (5 – 25%) recebem alta hospitalar sem nenhuma sequela. Portanto, quanto mais rƒpido a v•tima receber uma correta compress…o, bem como o choque el‚trico (seja por DEA ou por desfibrilador mec‡nico) e drogas, maior serƒ a sua chance de sobreviv€ncia. TEMPO RESPOSTA E CONSIDERAÇÕES IMPORTANTES O tempo resposta ideal para o atendimento da PCR baseia-se no seguinte: 1. Atendimento na cena pelo socorrista: 30 segundos 2. Pedido de socorro: 1 minuto 3. Despacho do Servi†o de Emerg€ncia M‚dica: 30 segundos 4. Equipe na ambul‡ncia: 30 segundos 5. Deslocamento: 5 minutos 6. Atendimento na v•tima: 2 minutos 7. DEA na v•tima: 1 minuto TOTAL: 10 minutos.
  • 171.
    Arlindo Ugulino Netto– MEDICINA DE URG•NCIA – MEDICINA P8 – 2011.1 171 A anƒlise da resposta ideal ao paciente v•tima de PCR mostra que, mesmo seguindo um conjunto de condutas perfeitas e sincr•nicas, o tempo de atendimento ‚ relativamente longo (partindo-se da anƒlise do aforismo “tempo ‚ c‚rebro” e que, em 10min, hƒ 100% de diminui†…o de sobrevida). Portanto, tal anƒlise refor†a ainda mais a necessidade de treinamento de leigos para a realiza†…o de um atendimento inicial adequado e efetivo. FASES DO ATENDIMENTO À PARADA CARDIO-RESPIRATÓRIA Como veremos a prop„sito do protocolo preconizado pelo ATLS, a parada card•aca apresenta tr€s fases e, para cada uma, devemos proceder de uma maneira espec•fica.  Fase precoce: com at‚ 5 minutos de PCR (o que inclui paradas presenciadas), aplica-se o choque el‚trico imediato (se o ritmo for compat•vel). Se, entretanto, a parada foi presenciada, mais ainda n…o havia desfibrilador dispon•vel, devemos proceder com RCP at‚ a chegada do aparelho.  Fase intermediária (fase circulatória): com 5 – 10 minutos de PCR (e paradas n…o presenciadas), procedemos com 2 minutos de RCP (mesmo que o desfibrilador esteja presente) e, em seguida, utiliza-se o choque.  Fase tardia (fase metabólica): depois de 10 minutos, al‚m de fazer RCP, choque terap€utico e drogas, devemos proceder com a indu†…o de hipotermia terap€utica (utilizar gelo nas axilas e infus…o de soro fisiol„gico a 4›C), no intuito de manter a temperatura corporal entre 32 – 34›C. DESFIBRILAÇÃO A desfibrila†…o, como vimos anteriormente, ‚ a grande diferen†a da eficƒcia do ACLS com rela†…o aos demais protocolos. Somente ela ‚ capaz de reverter uma eventual arritmia card•aca e somente o m‚dico pode realizƒ-la. As pƒs do aparelho devem ser colocadas corretamente sobre o t„rax da v•tima: uma pƒ deve ser posicionada Œ direita do paciente, na linha para-esternal, na regi…o subclavicular direita; a outra, deve ser posicionada na linha axilar anterior esquerda, aproximadamente na regi…o do 5› espa†o intercostal, pr„ximo ao mamilo. Deve-se aplicar gel sobre a superf•cie metƒlica das pƒs e elas devem ser comprimidas manualmente sobre o t„rax da v•tima. Vale salientar que o desfibrilador do ACLS ‚ operador-dependente e a indica†…o da desfibrila†…o estƒ relacionada, basicamente, na anƒlise das seguintes variƒveis: ritmo card•aco ao eletrocardiograma (ECG) e a presen†a ou aus€ncia de pulso. Desta forma, temos:  Ritmos passíveis de choque (85%): o Fibrila†…o ventricular (FV) sem pulso: ‚ a contra†…o incoordenada do miocƒrdio em consequ€ncia da atividade ca„tica de diferentes grupos de fibras miocƒrdicas, resultando na inefici€ncia total do cora†…o em manter um rendimento de volume sangœ•neo adequado. No ECG, ocorre a aus€ncia de complexos ventriculares individualizados que s…o substitu•dos por ondas irregulares e em ziguezague, com amplitude e dura†…o variƒveis. o Taquicardia ventricular (TV) sem pulso: ‚ a sucess…o rƒpida de batimentos ect„picos ventriculares que podem levar Œ acentuada deteriora†…o hemodin‡mica, chegando mesmo a aus€ncia de pulso arterial palpƒvel, quando, ent…o, ‚ considerada uma modalidade de parada card•aca, devendo ser tratada com o mesmo vigor da FV. O ECG caracteriza-se pela repeti†…o de complexos QRS alargados n…o precedidos de ondas P e, se estas estiverem presentes, n…o guardam rela†…o com os complexos ventriculares. Podem ocorrer capturas isoladas de alguns complexos QRS. Em geral os ciclos ventriculares t€m sucess…o a intervalos irregulares  Ritmos que não respondem ao choque: o Ritmo card•aco com pulso: o tra†ado de ritmos card•acos (mesmo que sejam os apresentados anteriormente) na presen†a de pulso contra-indica o choque terap€utico. o Assistolia: ‚ a cessa†…o de qualquer atividade el‚trica ou mec‡nica dos ventr•culos. No eletrocardiograma (ECG) caracteriza-se pela aus€ncia de qualquer atividade el‚trica ventricular observada em, pelo menos, duas deriva†ˆes. o Atividade el‚trica sem pulso (AESP): ‚ caracterizada pela aus€ncia de pulso detectƒvel na presen†a de algum tipo de atividade el‚trica, com exclus…o de TV ou FV. A atividade el‚trica sem pulso incorpora a dissocia†…o eletromec‡nica (DEM) e um grupo heterog€neo de ritmos que inclui: pseudo DEM, ritmo idioventricular, ritmo de escape ventricular, ritmo idioventricular p„s desfibrila†…o e ritmos bradiassist„licos. Ao ECG, caracteriza-se pela presen†a de complexos QRS largos e bizarros que n…o produzem resposta de contra†…o miocƒrdica eficiente e detectƒvel. Entretanto, a AESP tamb‚m pode ser caracterizada por um tra†ado aparentemente normal (mas sem pulso). Esta situa†…o ‚ comum em pacientes jovens e com hipovolemia (pois seu cora†…o, por ser jovem, apresenta atividade el‚trica, mas n…o possui volume para bombear).
  • 172.
    Arlindo Ugulino Netto– MEDICINA DE URG•NCIA – MEDICINA P8 – 2011.1 172 Arritmias que revertem com choque Arritmias que não revertem com choque Estando o choque indicado, devemos instituir uma carga de 120 – 200J no desfibrilador bifƒsico; jƒ no desfibrilador monofƒsico, a carga ‚ de 300 – 360J. Independente da resposta do indiv•duo ao choque, sempre devemos retornar com as manobras de RCP (5 ciclos por mais 2 minutos). Logo em seguida, devemos reavaliar o pulso e os tra†ados no monitor e, caso haja indica†…o, realizar um novo choque; caso contrƒrio (isto ‚, volte ao ritmo sinusal), devemos proceder com a reavalia†…o completa do paciente. Antigamente, preconizavam-se tr€s choques imediatamente consecutivos. Atualmente, apenas um choque ‚ indicado a cada ciclo (depois de realizado um choque, deve-se realizar um novo ciclo de RCP por 2 minutos, checagem de ritmo/pulso e, s„ ent…o, se ainda houver indica†…o, novo choque). Podemos repetir, de acordo com a forma apresentada, dois a três choques intermitentes (isto ‚, interpostos por ciclos de RCP). TERAPIA MEDICAMENTOSA A terapia medicamentosa tamb‚m ‚ o outro diferencial do protocolo do ACLS. Devemos lan†ar m…o de drogas caso a primeira tentativa de revers…o da PCR com choque (e ap„s a RCP realizada subsequente ao choque) n…o tenha sido efetiva (na realidade, como mostra a OBS 5 , n…o hƒ tanta rigidez no protocolo quanto a op†…o entre o uso do choque ou o uso de drogas; ‚ certo que elas s„ devem ser tentadas ap„s a primeira tentativa de revers…o com choque; se esta n…o for efetiva, podemos optar novamente por choque, podemos utilizar a primeira droga ou realizar os dois). Os princ•pios gerais a serem seguidos quanto Œ terapia medicamentosa para a PCR s…o:  Assegurar acesso venoso logo na admiss…o da v•tima;  Iniciar drogas ap„s o primeiro ou segundo choques;  N…o interromper as manobras de RCP nem a desfibrila†…o para a administra†…o das mesmas;  Sempre proceder com Flush de 20ml de soro fisiol„gico ou ƒgua destilada (em bolus) ap„s inje†…o de qualquer droga (para melhorar a circula†…o da mesma) e elevar o membro onde foi injetado;  Vias de administra†…o:  Acesso venoso central: n…o recomendada durante RCP;  Acesso venoso perif‚rico: poder ser uma boa op†…o, pois n…o requer interrup†…o da RCP; sempre tentar diluir a droga em 20ml de soro fisiol„gico e depois elevar o membro por 10 a 20 segundos.  Via intra-„ssea: com o aux•lio da Bomb Injection Gun (BIG) ‚ poss•vel garantir um acesso venoso adequado ao n•vel do plat• tibial, servindo como segunda op†…o para o acesso venoso perif‚rico. A via intra-„ssea garante um plexo venoso que n…o colapsa, que garante uma disponibilidade da droga na circula†…o semelhante Œs veias centrais, garantindo uma boa reposi†…o de volume, drogas e coleta de sangue.  Via endotraqueal: para drogas que respondem Œ regra VANEL: Vasopressina, Atropina, Naloxone, Epinefrina e Lidoca•na. Devemos utilizƒ-las em doses 2 a 2,5 maiores do que a sua dosagem venosa (sempre dilu•das em 10ml de ƒgua destilada ou SF).
  • 173.
    Arlindo Ugulino Netto– MEDICINA DE URG•NCIA – MEDICINA P8 – 2011.1 173 As principais drogas que podem ser utilizadas ap„s uma primeira tentativa de revers…o frustrada com choque seguida de RCP s…o:  Primeira linha: o Adrenalina/Epinefrina: 1 mg a cada 3 - 5 minutos (cada ampola cont‚m 1 ml=1mg), dilu•da em uma propor†…o de 1:10.000. o Vasopressina: 40 U (que equivalem a 2ml), em dose ‰nica em bolus, dilu•da em 20 mL (Flush). As ampolas com 0,5ml cont€m 10U.  Segunda linha: s„ devem ser utilizadas ap„s o uso de uma das drogas de primeira linha. o Amiodarona (Atlansil¦): antiarritmico. 300mg em bolus (se necessƒrio, repetir pr„xima dose com 150mg, ap„s 10 – 15 minutos). Cada ampola com 3ml cont€m 150mg. o Lidoca•na: antiarr•tmo. 1 a 1,5mg/kg em bolus, podendo repetir a cada 3 – 5 minutos, com mƒximo de dosagem de 3 mg/kg de peso. o Atropina: parassimpatol•tico. N…o ‚ utilizada nas paradas convencionais, mas sim, quando ocorre assistolia ou bradicardia, sob a dosagem de 0,5mg a cada 3 – 5 minutos (no mƒximo de 3mg). Tem pouco efeito na atividade el‚trica sem pulso e na assistolia. o Sulfato de magn‚sio (MgSO4): especialmente utilizado em casos de taquicardia ventricular, na dosagem de 1 a 2g em bolus (2 a 4ml de solu†…o a 50%, dilu•dos em 10ml de SF). Š indicada em intoxica†ˆes digitƒlicas ou fibrila†…o em padr…o torsades de pointes (QRS alargado). o Gluconato de cƒlcio: a 10% (ampolas de 10ml) para hipercalemia, hipocalcemia, hipermagnesemia; 100 – 200mg/kg de peso. Cada 1ml=0,9mg de Ca2+ (0,47mEq). o NaHCO3: para acidose pr‚via ou hipercalemia, 1-2mEq/kg de peso. Seu uso ‚ controverso. VIA A…REA DEFINITIVA OU AVANŽADA A via a‚rea definitiva deve ser indicada diante de uma resposta insatisfat„ria depois de utilizados os tr€s choques preconizados ou a segunda utiliza†…o de drogas cardioversoras (frisamos, novamente, que a via a‚rea n…o ‚ prioridade diante de uma PCR, diferentemente do Suporte Avan†ado no Trauma - ATLS). Para uma via a‚rea definitiva no ACLS, podemos lan†ar m…o dos seguintes meios:  Tubo traqueal  Combitube  Kingtube  Mƒscara lar•ngea  Via a‚rea cir‰rgica (uso raro em ACLS) Ap„s as tentativas de reanima†…o, podemos, portanto, instalar um tubo na via a‚rea do paciente (intuba†…o). Neste caso, a rela†…o entre as compressˆes torƒcicas e a insufla†…o deve ser assincr•nica, de modo que n…o mais s…o necessƒrias 30 compressˆes para 2 insufla†ˆes – as compressˆes devem ser ininterruptas. De modo distinto, na vig€ncia da implanta†…o do AMBU ou pocket mask com assist€ncia ventilat„ria, as insufla†ˆes devem ser sincr•nicas, obedecendo ao ritmo 30:2. Uma vez intubado, devemos medir a capnografia quantitativa de CO2, que deve estar entre 30-40mmHg, garantindo a instala†…o do tubo na traqu‚ia (e n…o no es•fago). Em caso de uma via a‚rea de dif•cil acesso, podemos nos dedicar a boa ventila†…o mec‡nica com sistema Bolsa-Vƒlvula-Mƒscara (AMBU). RESUMO DO ALGORITMO DO ACLS O fundamento da realiza†…o dos protocolos do ACLS e, da mesma forma, um bom treinamento em suporte avan†ado de vida, depende da qualidade das bases do Suporte Bƒsico (BLS) – n…o adianta ao socorrista, independente do seu n•vel de profici€ncia, tentar aprender as condutas do ACLS se nem o bƒsico ele domina. Isso ‚ importante pois mesmo no ACLS ‚ necessƒria a pronta identifica†…o da aus€ncia de pulso, a necessidade de uma alta qualidade nas manobras de RCP e nas medidas de provid€ncia do desfibrilador em curto espa†o de tempo. Tais medidas, todas presentes no BLS, s…o fatores de sucesso na RCP e, eventualmente, na revers…o de uma PCR. Para proceder com o protocolo do ATLS, como vimos at‚ aqui, devemos lan†ar m…o das seguintes condutas: (1) desfibrila†…o manual; (2) manejo avan†ado de via a‚rea (muito embora a intuba†…o n…o seja uma prioridade maior do que a realiza†…o das compressˆes torƒcicas e nunca deve atrapalhƒ-las); (3) acesso venoso; (4) monitoriza†…o card•aca; (5) terap€utica farmacol„gica; (6) investiga†…o de causas secundƒrias; (7) cuidados p„s-PCR. De um modo geral, podemos obedecer ao seguinte protocolo: 1. Avaliar n•vel de consci€ncia 2. A – Vias a‚reas: devemos lan†ar m…o da c‡nula de Guedel caso o paciente esteja inconsciente e com risco de queda da base da l•ngua. 3. B – Padr…o respirat„rio e satura†…o arterial (ox•metro). Apesar do passo “B” vir antes do passo “C” na perspectiva de prioridades, ‚ vƒlido lembrar que a intuba†…o n…o ‚ prioridade no ACLS – o objetivo principal ‚ a compress…o torƒcica ou o choque. 4. C – Checar pulso e co-relacionar com o tra‚ado eletrocardiogr‡fico. Antes de iniciar qualquer compress…o torƒcica, devemos avaliar o pulso da v•tima e relacionƒ-lo ao tra†ado eletrocardiogrƒfico. Neste instante, os t‚cnicos de enfermagem jƒ devem proceder do acesso venoso e, a depender da fase de atendimento da parada card•aca, proceder com choque ou RCP.
  • 174.
    Arlindo Ugulino Netto– MEDICINA DE URG•NCIA – MEDICINA P8 – 2011.1 174 a) Caso o achado eletrocardiogrƒfico demonstre um padr…o que responda ao choque (taquicardia ventricular e/ou fibrila†…o ventricular) e o m‚dico detecte a ausência de pulso, o pr„ximo passo ‚ a avalia†…o do tempo de parada.  Se a PCR foi presenciada ou n…o haja d‰vidas que ela tenha ocorrido a menos de 5 minutos, devemos jƒ instituir a aplica†…o do choque el‚trico de imediato.  Se a PCR n…o foi presenciada e teve mais de 5 minutos, devemos realizar 2 minutos de manobras de RCP e, em seguida, utilizar o desfibrilador. Ap„s isso, reavalia-se o pulso e o ritmo no ECG. Levando-se em conta que a maioria das paradas intra-hospitalares ‚ presenciada, devemos proceder com a descarga elétrica com desfibrilador, utilizando 200 J (bifƒsico) ou 360J (monofƒsico, preferencialmente). Em seguida, iniciar manobras de RCP (30 compressˆes torƒcicas para 2 insufla†ˆes pulmonares), por dois minutos, independente se o paciente retornou ou n…o a consci€ncia. Logo ap„s isso, checamos o ritmo card•aco na tela do monitor, bem como o pulso arterial. Caso ainda n…o se tenha nenhum efeito, podemos repetir este ciclo (choque – RCP – reavalia†…o) por mais duas a tr€s vezes (desde, ‚ claro, que o ritmo visto na reavalia†…o ainda seja compat•vel com a realiza†…o do choque) ou jƒ lan†ar m…o de drogas. Se a op†…o for a realiza†…o de um novo choque, devemos proceder com o mesmo ciclo: choque – RCP – reavalia†…o. Se as tentativas com choque foram em v…o (sendo prudente apenas 2 ou 3 tentativas), a pr„xima etapa consiste na administração de drogas, como a Adrenalina/Epinefrina ou Vasopressina. Ap„s a administra†…o de drogas, proceder com mais 2 minutos de RCP. Se necessƒrio, devemos adicionar uma segunda droga (Amiodarona, principalmente) ou proceder com outro choque (ver OBS 5 ). Sempre ap„s choque ou droga, proceder com novo ciclo: RCP por 2 minutos – checar pulso/ritmo. Se, por ventura, mesmo ap„s a institui†…o da segunda droga o paciente ainda persista com a mesma altera†…o inicial, devemos proceder com via a‚rea avan†ada, atrav‚s da intuba†…o ou mƒscara lar•ngea. Neste caso, devemos ainda associar a avalia†…o com a capnografia que certifique que o tubo esteja na traqu‚ia. Se a parada for revertida em qualquer um destes processos, devemos sempre proceder com uma nova reavalia†…o por completo do paciente e iniciar cuidados p„s-RCP. Entretanto, diante do insucesso tratamento, devemos investigar uma poss•vel causa e buscar instituir um tratamento (encaminhar para bloco cir‰rgico em caso de hemorragias internas, por exemplo).
  • 175.
    Arlindo Ugulino Netto– MEDICINA DE URG•NCIA – MEDICINA P8 – 2011.1 175 b) Caso o achado eletrocardiogrƒfico demonstre um padr…o que não responda ao choque (assistolia ou AESP), n…o podemos indicar o choque com o desfibrilador. Ao inv‚s disso, devemos iniciar com o uso de drogas (Epinefrina, Amiodarona, Lidoca•na), seguidas de compressões torácicas (RCP). OBS 5 : Note que o protocolo n…o ‚ t…o exigente quando ao padr…o de utiliza†…o de choque e de drogas. Š importante, apenas, iniciar com choque o mais rƒpido poss•vel (se o padr…o do EEG permitir, obviamente) e, se este n…o foi efetivo, optar por um novo choque ou jƒ instituir uma primeira droga. Se a conduta tomada novamente n…o foi efetiva, podemos optar por um novo choque ou a adi†…o de uma outra droga. Inclusive, alguns autores defendem que o segundo e terceiro choque podem ser realizados ao passo em que as drogas s…o administradas (o que n…o ‚ recomendado). Š importante considerar, pelo menos, o choque como a primeira op†…o. OBS 6 : Podemos simplificar o algoritmo do ATLS, resumindo aos seguintes passos:  Ap„s a admiss…o do paciente, checar os pulsos e o tra†ado do EEG;  Proceder com a regra SCREAM:  S – Shock: se os tra†ados no EEG forem compat•veis, devemos proceder com choque terap€utico 360J uma vez (se necessƒrio, utilizar outro choque ap„s 2 minutos).  C – CPR: proceder com 2 minutos de RCP (5 ciclos de 30:2) ap„s cada choque terap€utico.  R – Rhythim: checar o pulso e o tra†ado eletrocardiogrƒfico sempre ap„s cada 2 minutos de RCP; se indicado, lan†ar m…o de um novo choque (repetir o ciclo at‚ aqui por 2 a 3 vezes). Na persist€ncia do insucesso, devemos lan†ar m…o do uso de drogas.  E – Epinefrina ou Vasopressina, como primeira escolha + 2 minutos de RCP;  AM – Antiarhythimic medications: Amiodarona ou Lidoca•na ou Sulfato de Magn‚sio, se depois do passo E n…o houver revers…o do quadro. OBS 7 : O protocolo do ACLS tamb‚m n…o define o prazo mƒximo para a realiza†…o dos procedimentos de reanima†…o. Entretanto, considera-se o prazo m•ninmo de 30 – 40 minutos como sendo um intervalo prudente. CONSIDERAÇÕES FINAIS SOBRE O RCP  Dar prioridade Œs compressˆes torƒcicas, e nunca interromp€-las para proceder com a ventila†…o.  Quanto Œ ventila†…o, temos:  Ritmo da ventila†…o deve ser 8 a 10 insufla†ˆes por minuto  Uma vez intubado, n…o ‚ mais necessƒrio manter o ciclo 30:2, mas sim, manter compressˆes cont•nuas  Evitar hiperinsufla†…o  Sempre depois de um choque ou do uso de drogas, realizar RCP por 2 minutos e, ao t‚rmino deste prazo, checar pulso e ritmo para determinar a nova conduta  Pensar em poss•veis causas etiol„gicas caso o quadro continue irrevers•vel  Parar RCP se o paciente voltar a apresentar pulso ou, caso contrƒrio, ap„s 30-40 minutos de tentativas frustradas de reanima†…o. CRITÉRIOS DE RETORNO À CIRCULAÇÃO ESPONTÂNEA  Pulso cheio e press…o arterial estabilizada  Oximetria de pulso: satura†…o entre 94 e 99%  PET CO2 > 40 mmHg  N…o confundir pulso versus estado neurovegetativo  N…o confundir tra†ado versus pulso CUIDADOS PÓS-RCP  Aperfei†oe a ventila†…o e oxigena†…o, pois o indiv•duo pode ter retornado ao pulso, mas ainda sem respirar.  Manter SaO2 maior que 94%  Tratar a hipotens…o arterial (< 90 mmHg): dopamina IV infus…o 5 a 10 mcg/kg/min  Instalar ECG nas 12 deriva†ˆes  Avaliar quadro neurol„gico  Considerar hipotermia induzida (soro fisiol„gico a 4 o C)  Considerar 12 causas reversíveis de PCR:  Hipovolemia  Hip„xia  Hipo/hipercalemia  Hipotermia  Hipoglicemia  Tens…o do t„rax por pneumot„rax  Tamponamento card•aco  Toxina (digitƒlico/overdose por coca•na)  Trombose pulmonar  Trombose coronariana  Encaminhar para o diagn„stico e tratamento definitivo  Cuidados intensivos avan†ados
  • 176.
    Arlindo Ugulino Netto– MEDICINA DE URG•NCIA – MEDICINA P8 – 2011.1 176
  • 177.
    Arlindo Ugulino Netto– MEDICINA DE URG•NCIA – MEDICINA P8 – 2011.1 177