Aula de álgebra destinada a alunos do 9 o  ano do ensino fundamental e revisão para alunos do 1 o  do ensino médio do CEAL. O objetivo deste trabalho, é introduzir o estudo das equações de forma descontraída, chamando atenção para as operações fundamentais e o uso das letras no estudo da matemática. Observa se ainda a evolução do aluno no decorrer de sua formação. Professora Enoêmia.
Equações Algébricas operações algébricas como: adição, subtração, multiplicação, divisão e radiciação. Equações algébricas são equações nas quais a incógnita x está sujeita a EAA
Equação do primeiro grau =  Os números reais a e b são os coeficientes da equação. (1 o  membro) (2 o  membro) a x +  b 0 EAA
Resolução de equações 1. x  + 8 = 15 x + 8 = 15 x = 7 - 8 2. x - 10 = 12 x = 12 + 10 x = 22 - 10 EAA
= 9 - 15 x =   (- 6) 3. + + 15 = 9 . 3 = - 6 15 x =   18 - x _ 3 3 _ x x _ _ 3 3 EAA
4 . 2x = 18 x = x = 3 2 __ 3 2 +15 +15 -15 2 x = 18 2 EAA
Equação do segundo grau a x² +   b x   +   c   = 0 Uma equação do segundo grau na  incógnita  x  é da forma: Os números reais a , b e c são os   coeficientes da equação. EAA
Exemplo: x² - 5 x + 6 = 0 Identificando os coeficientes:   a x² +  b x +  c  = 0 a = 1 b = -5 c = 6 EAA
Vamos   completar   a   tabela 1 - 6 8 1 1 - 1 - 10 25 2 4 14 0 1 2 0 x² - 10 x + 25 = 0 x² - 6x + 8 = 0   2x² + 4x + 14 = 0 x² + 1 = 0   - x² + 2x = 0 EAA c b a Equação
Fórmula de Bháskara  a x² +   b x   +   c   = 0 Bhaskara Acharya ( B. o Instruído )  viveu de 1 114 a 1 185 aprox . na India. { ( delta ) letra do alfabeto grego , usada para representar o valor da equação b² - 4ac  }. EAA
= b² - 4ac é o discriminante da equação de   2 o  grau  ax 2  + bx + c = 0.  onde  a  é o coeficiente de  x 2 ,   b  é o coeficiente de x  e  c  o termo independente. EAA
Exemplos 3 x² - 3x + 6 = 0 a = 3 b = -3 c = 6 , , 1.  Calcule o discriminante  na equação. = b² - 4ac (-3) 2   -4 .3 .6 =  9  - 4. 18 =  9  - 72 =  - 63 =  EAA
x² + 6x + 9 = 0 a = 1 b = -6 c = 9 , , 2.  Calcule o discriminante  na equação. = b² - 4ac (-6) 2   - 4 . 1 .9 =  36  - 36 =  0  =  EAA
x² + 2x - 3 = 0 a = 1 b = 2 c = -3 , , 3.  Calcule o discriminante  na equação. = b² - 4ac 2 2   - 4 . 2 .(-3) =  4  - 8. (-3) =  4  + 24 =  28 =  EAA
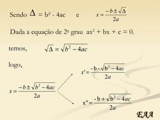
Sendo   = b² - 4ac  e  Dada a equação de 2 o  grau  ax 2  + bx + c = 0.  temos, logo, EAA
Exemplos 1.  x² - 5 x + 6 = 0 a=1 b=-5 c=6 , , x =   -(-5) + (-5) 2   ______________ 2.1 _ -4 .1 .6 x =   5 + 25  ____________ 2 - 24 _ x’ =   5 1  2 _ ____ x’ =   4 2 __ x” = 2 S ={2; 3} x” =   5 1  2 + ____ x”=   6 2 __ x” = 3 EAA
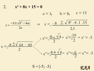
2.  x² + 8x + 15 = 0 a = 1 b = 8 c = 15 , , x =   - 8 + 8 2   ______________ 2.1 _ -4 .1 .15 x =   -8 + 64  ____________ 2 - 60 _ x’=   -8 4  2 _ ____ x’=   -10 2 __ x’ = -5 S ={-5; -3} x”=   -8 4  2 + ____ x”=   -6 2 __ x”= -3 EAA
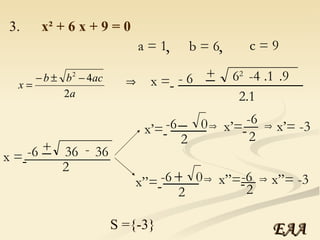
3.  x² + 6 x + 9 = 0 a = 1 b = 6 c = 9 , , x =   - 6 + 6 2   ______________ 2.1 _ -4 .1 .9 x =   -6 + 36  ____________ 2 - 36 _ x’=   -6 0  2 _ ____ x’=   -6 2 __ x’= -3 S ={-3} x”=   -6 0  2 + ____ x”=   -6 2 __ x”= -3 EAA
4.  3 x² - x + 3 = 0 a = 3 b = -1 c = 3 , , x =   - (-1) + (-1) 2   ______________ 2.3 _ -4 .3 .3 x =   1 + 1  ____________ 6 - 36 _ x=   1 -35  6 _ ______ S ={ } + x EAA
O discriminante   há três possíveis situações: 1.  Se   há duas soluções reais e diferentes: e  > 0 -b x’ = - _____ 2a -b x” =  + 2a _____ EAA
x² - 5 x + 6 = 0 a=1 b=-5 c=6 , , x =   -(-5) + (-5) 2   ______________ 2.1 _ -4 .1 .6 5 + 25  ____________ 2 - 24 _ x’ =   5 1  2 _ ____ x’ =   4 2 __ x’ = 2 A equação possui duas raízes diferentes. x” =   5 1  2 + ____ x” =   6 2 __ x” = 3 Logo,   > 0 Exemplo x =   EAA
x' = x”   2.  Se   há duas soluções reais iguais: = 0 EAA
x² + 6 x + 9 = 0 a = 1 b = 6 c = 9 , , x =   - 6 + 6 2   ______________ 2.1 _ -4 .1 .9 -6 + 36  ____________ 2 - 36 _ x’=   -6 0 2 _ ____ x’=   -6 2 __ x’= -3 A equação possui duas raízes iguais. x”=   -6 0  2 + ____ x”=   -6 2 __ x”= -3 Logo,   = 0 Exemplo x =   EAA
não há solução real, pois não existe raiz  logo, 3.  Se   < 0 quadrada real de número negativo. EAA
3 x² - x + 3 = 0 a = 3 b = -1 c = 3 , , x =   - (-1) + (-1) 2   ______________ 2.3 _ -4 .3 .3 x =   1 + 1  ____________ 6 - 36 _ x=   1 -35  6 _ ______ A equação não possui raízes reais. + x Logo,   < 0 Exemplo EAA
Exemplos 3 x² - 3x + 6 = 0 a = 3 b = -3 c = 6 , , 1. Determine o número de raízes na equação. = b² - 4ac (-3) 2   -4 .3 .6 =  9  - 4. 18 =  9  - 72 =  - 63 =  A equação não possui raízes reais. EAA
x² + 6x + 9 = 0 a = 1 b = -6 c = 9 , , 2. Determine o número de raízes na equação. = b² - 4ac (-6) 2   - 4 . 1 .9 =  36  - 36 =  0  =  A equação possui duas raízes iguais. EAA
x² + 2x - 3 = 0 a = 1 b = 2 c = -3 , , 3. Determine o número de raízes na equação. = b² - 4ac 2 2   - 4 . 2 .(-3) =  4  - 8. (-3) =  4  + 24 =  28 =  A equação possui duas raízes diferentes. EAA
Resolva as equações. a) x² - 3x + 2 = 0 b) 2y² - 14y + 12 = 0 c) - x² + 7x – 10 = 0 d) 5x² - x + 7 = 0 e) 7x² - 3x = 4x + x² f) z² - 8z + 12 = 0 g) y² - 25 = 0 h) x² - 1/4 = 0 i) 5x² - 10x = 0 j) 5 + x² = 9 EAA

EquçõEs AlgéBricas

  • 1.
    Aula de álgebradestinada a alunos do 9 o ano do ensino fundamental e revisão para alunos do 1 o do ensino médio do CEAL. O objetivo deste trabalho, é introduzir o estudo das equações de forma descontraída, chamando atenção para as operações fundamentais e o uso das letras no estudo da matemática. Observa se ainda a evolução do aluno no decorrer de sua formação. Professora Enoêmia.
  • 2.
    Equações Algébricas operaçõesalgébricas como: adição, subtração, multiplicação, divisão e radiciação. Equações algébricas são equações nas quais a incógnita x está sujeita a EAA
  • 3.
    Equação do primeirograu = Os números reais a e b são os coeficientes da equação. (1 o membro) (2 o membro) a x + b 0 EAA
  • 4.
    Resolução de equações1. x + 8 = 15 x + 8 = 15 x = 7 - 8 2. x - 10 = 12 x = 12 + 10 x = 22 - 10 EAA
  • 5.
    = 9 -15 x = (- 6) 3. + + 15 = 9 . 3 = - 6 15 x = 18 - x _ 3 3 _ x x _ _ 3 3 EAA
  • 6.
    4 . 2x= 18 x = x = 3 2 __ 3 2 +15 +15 -15 2 x = 18 2 EAA
  • 7.
    Equação do segundograu a x² + b x + c = 0 Uma equação do segundo grau na incógnita x é da forma: Os números reais a , b e c são os coeficientes da equação. EAA
  • 8.
    Exemplo: x² -5 x + 6 = 0 Identificando os coeficientes: a x² + b x + c = 0 a = 1 b = -5 c = 6 EAA
  • 9.
    Vamos completar a tabela 1 - 6 8 1 1 - 1 - 10 25 2 4 14 0 1 2 0 x² - 10 x + 25 = 0 x² - 6x + 8 = 0 2x² + 4x + 14 = 0 x² + 1 = 0 - x² + 2x = 0 EAA c b a Equação
  • 10.
    Fórmula de Bháskara a x² + b x + c = 0 Bhaskara Acharya ( B. o Instruído ) viveu de 1 114 a 1 185 aprox . na India. { ( delta ) letra do alfabeto grego , usada para representar o valor da equação b² - 4ac }. EAA
  • 11.
    = b² -4ac é o discriminante da equação de 2 o grau ax 2 + bx + c = 0. onde a é o coeficiente de x 2 , b é o coeficiente de x e c o termo independente. EAA
  • 12.
    Exemplos 3 x²- 3x + 6 = 0 a = 3 b = -3 c = 6 , , 1. Calcule o discriminante na equação. = b² - 4ac (-3) 2 -4 .3 .6 = 9 - 4. 18 = 9 - 72 = - 63 = EAA
  • 13.
    x² + 6x+ 9 = 0 a = 1 b = -6 c = 9 , , 2. Calcule o discriminante na equação. = b² - 4ac (-6) 2 - 4 . 1 .9 = 36 - 36 = 0 = EAA
  • 14.
    x² + 2x- 3 = 0 a = 1 b = 2 c = -3 , , 3. Calcule o discriminante na equação. = b² - 4ac 2 2 - 4 . 2 .(-3) = 4 - 8. (-3) = 4 + 24 = 28 = EAA
  • 15.
    Sendo = b² - 4ac e Dada a equação de 2 o grau ax 2 + bx + c = 0. temos, logo, EAA
  • 16.
    Exemplos 1. x² - 5 x + 6 = 0 a=1 b=-5 c=6 , , x = -(-5) + (-5) 2 ______________ 2.1 _ -4 .1 .6 x = 5 + 25 ____________ 2 - 24 _ x’ = 5 1 2 _ ____ x’ = 4 2 __ x” = 2 S ={2; 3} x” = 5 1 2 + ____ x”= 6 2 __ x” = 3 EAA
  • 17.
    2. x²+ 8x + 15 = 0 a = 1 b = 8 c = 15 , , x = - 8 + 8 2 ______________ 2.1 _ -4 .1 .15 x = -8 + 64 ____________ 2 - 60 _ x’= -8 4 2 _ ____ x’= -10 2 __ x’ = -5 S ={-5; -3} x”= -8 4 2 + ____ x”= -6 2 __ x”= -3 EAA
  • 18.
    3. x²+ 6 x + 9 = 0 a = 1 b = 6 c = 9 , , x = - 6 + 6 2 ______________ 2.1 _ -4 .1 .9 x = -6 + 36 ____________ 2 - 36 _ x’= -6 0 2 _ ____ x’= -6 2 __ x’= -3 S ={-3} x”= -6 0 2 + ____ x”= -6 2 __ x”= -3 EAA
  • 19.
    4. 3x² - x + 3 = 0 a = 3 b = -1 c = 3 , , x = - (-1) + (-1) 2 ______________ 2.3 _ -4 .3 .3 x = 1 + 1 ____________ 6 - 36 _ x= 1 -35 6 _ ______ S ={ } + x EAA
  • 20.
    O discriminante há três possíveis situações: 1. Se há duas soluções reais e diferentes: e > 0 -b x’ = - _____ 2a -b x” = + 2a _____ EAA
  • 21.
    x² - 5x + 6 = 0 a=1 b=-5 c=6 , , x = -(-5) + (-5) 2 ______________ 2.1 _ -4 .1 .6 5 + 25 ____________ 2 - 24 _ x’ = 5 1 2 _ ____ x’ = 4 2 __ x’ = 2 A equação possui duas raízes diferentes. x” = 5 1 2 + ____ x” = 6 2 __ x” = 3 Logo, > 0 Exemplo x = EAA
  • 22.
    x' = x” 2. Se há duas soluções reais iguais: = 0 EAA
  • 23.
    x² + 6x + 9 = 0 a = 1 b = 6 c = 9 , , x = - 6 + 6 2 ______________ 2.1 _ -4 .1 .9 -6 + 36 ____________ 2 - 36 _ x’= -6 0 2 _ ____ x’= -6 2 __ x’= -3 A equação possui duas raízes iguais. x”= -6 0 2 + ____ x”= -6 2 __ x”= -3 Logo, = 0 Exemplo x = EAA
  • 24.
    não há soluçãoreal, pois não existe raiz logo, 3. Se < 0 quadrada real de número negativo. EAA
  • 25.
    3 x² -x + 3 = 0 a = 3 b = -1 c = 3 , , x = - (-1) + (-1) 2 ______________ 2.3 _ -4 .3 .3 x = 1 + 1 ____________ 6 - 36 _ x= 1 -35 6 _ ______ A equação não possui raízes reais. + x Logo, < 0 Exemplo EAA
  • 26.
    Exemplos 3 x²- 3x + 6 = 0 a = 3 b = -3 c = 6 , , 1. Determine o número de raízes na equação. = b² - 4ac (-3) 2 -4 .3 .6 = 9 - 4. 18 = 9 - 72 = - 63 = A equação não possui raízes reais. EAA
  • 27.
    x² + 6x+ 9 = 0 a = 1 b = -6 c = 9 , , 2. Determine o número de raízes na equação. = b² - 4ac (-6) 2 - 4 . 1 .9 = 36 - 36 = 0 = A equação possui duas raízes iguais. EAA
  • 28.
    x² + 2x- 3 = 0 a = 1 b = 2 c = -3 , , 3. Determine o número de raízes na equação. = b² - 4ac 2 2 - 4 . 2 .(-3) = 4 - 8. (-3) = 4 + 24 = 28 = A equação possui duas raízes diferentes. EAA
  • 29.
    Resolva as equações.a) x² - 3x + 2 = 0 b) 2y² - 14y + 12 = 0 c) - x² + 7x – 10 = 0 d) 5x² - x + 7 = 0 e) 7x² - 3x = 4x + x² f) z² - 8z + 12 = 0 g) y² - 25 = 0 h) x² - 1/4 = 0 i) 5x² - 10x = 0 j) 5 + x² = 9 EAA